A Cloud-Based Evaluation of the National Land Cover Database to Support New Mexico’s Food–Energy–Water Systems
Abstract
1. Introduction
2. Study Area and Data
3. Method
3.1. Data Preprocessing
3.2. Reference Data Collection
3.3. Assessment and Area Estimation
3.4. SEPAL: A Cloud-Based Land Monitoring Platform
4. Results
4.1. Reference Data
4.2. Accuracy Assessment
4.2.1. User’s and Producer’s Accuracies
4.2.2. Overall Accuracy
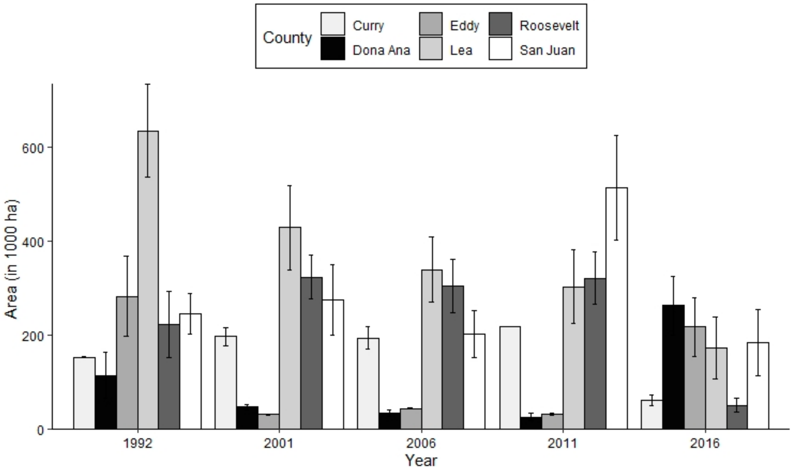
4.3. Area Estimation
5. Discussion
5.1. Accuracy Assessment
5.1.1. User’s Accuracy and Producer’s Accuracy
5.1.2. Overall Accuracy
5.2. Area Estimation and Observed Trends
5.2.1. Bias-Adjusted and Pixel Counting Area Estimates
5.2.2. Class Specific Area Estimates Uncertainty
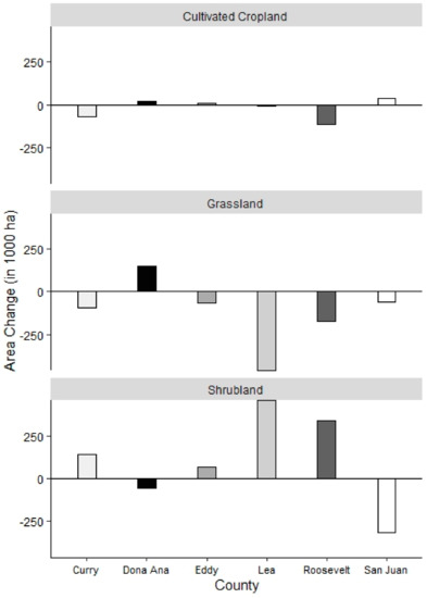
5.2.3. Observed Trends
6. LULC Change and FEWS: A Perspective
7. Limitations and Future Work
8. Conclusions
- Provide standardized, robust, and semi-automated protocols for LULC accuracy assessment, and uncertainty analysis.
- Allow the comparison of multitemporal land cover data of the same location at local and national mapping scales by facilitating access to several remote sensing data sources
- Conserves storage and computational resources needs by providing and integrating inbuilt access to other cloud-based platforms as well as data sources.
- Provide improved computational efficiency and it is easily adaptable, as it requires minimal local computing capacities and human resources.
Author Contributions
Funding
Acknowledgments
Conflicts of Interest
Appendix A
| Level 1 | Level II | LULC Classes Description |
|---|---|---|
| Water | Open Water (11) Perennial Ice/Snow (12) | (11) Areas of open water, generally with less than 25% cover of vegetation or soil. (12) Areas characterized by a perennial cover of ice and/or snow, generally greater than 25% of total cover. |
| Developed | Open Space (21) Low Intensity (22) Medium Intensity (23) High Intensity (24) | (21) Areas with a mixture of constructed materials, but mostly vegetation in the form of lawn grasses with 20% impervious surfaces (e.g., large-lot single-family housing units, parks, and golf courses). (22) Areas with a mixture of constructed materials and vegetation. Impervious surfaces account for 20% to 49% percent of total cover (e.g., single-family housing units), (23) like (22) but with 50% to 79% of impervious surfaces. (24) Highly developed areas (e.g., apartment complexes, row houses, and commercial/industrial) with 80% to 100% impervious surfaces. |
| Barren | Barren Land (31) (Rock/Sand/Clay) | Areas of bedrock, desert pavement, scarps, talus, slides, volcanic material, glacial debris, sand dunes, strip mines, gravel pits and other accumulations of earthen material. Generally, vegetation accounts for less than 15% of total cover. |
| Forest | Deciduous Forest (41) Evergreen Forest (42) Mixed Forest (43) | (41) Areas dominated by trees generally greater than 5 meters tall, and > 20% of total vegetation cover with more than 75% of the tree species shed foliage simultaneously in response to seasonal change. (42) Areas with more than 75% of the tree species maintain their leaves all year and canopy never without green foliage. (43) Area with more than 75% of the tree species maintain their leaves all year and neither deciduous nor evergreen species are greater than 75% of total tree cover. |
| shrubland | Dwarf Scrub (51) Shrub/Scrub (52) [or shrubland] | (51) Areas dominated by shrubs; less than 5 meters tall with shrub canopy typically greater than 20% of total vegetation. (52) This class includes true shrubs, young trees in an early successional stage or trees stunted from environmental conditions. |
| grassland | grassland/ Herbaceous (71) Sedge/Herbaceous (72) Lichens (73) Moss (74) | (71) Areas dominated by graminoid or herbaceous vegetation, generally greater than 80% of total vegetation. These areas are not subject to intensive management, such as tilling but can be utilized for grazing. (72), (73), and (74) are Alaska only classes. |
| Planted/ Cultivated | Pasture/ Hay (81) Cultivated Crops (82) | (81) Areas of grasses, legumes, or grass-legume mixtures planted for livestock grazing or the production of seed or hay crops, typically on a perennial cycle. (82) Areas used to produce annual crops, such as corn, soybeans, vegetables, tobacco, and cotton, and perennial woody crops such as orchards and vineyards. This class also includes all land being actively tilled |
| Wetlands | Woody Wetlands (90) Emergent Herbaceous Wetlands (95) | (90) Areas where forest or shrubland vegetation accounts for greater than 20% of vegetative cover and the soil or substrate is periodically saturated with or covered with water. (95) Areas where perennial herbaceous vegetation accounts for greater than 80% of vegetative cover and the soil or substrate is periodically saturated with or covered with water. |
Appendix B
| County | 1992 | |||||||
|---|---|---|---|---|---|---|---|---|
| Accuracy | WB | DEV | BRL | FRL | PSL | WW | EHW | |
| Curry | PA | 57 | 30 | 52 | 100 | |||
| UA | 100 | 100 | 83 | 82 | ||||
| Doña Ana | PA | 81 | 100 | 20 | 20 | 72 | 0 | 97 |
| UA | 82 | 82 | 95 | 84 | 48 | 0 | 80 | |
| Eddy | PA | 100 | 45 | 35 | 98 | 16 | 100 | |
| UA | 75 | 97 | 96 | 88 | 95 | 48 | ||
| Lea | PA | 99 | 11 | 98 | 100 | 74 | 100 | 100 |
| UA | 100 | 86 | 60 | 5 | 85 | 44 | 44 | |
| Roosevelt | PA | 98 | 85 | 100 | 100 | |||
| UA | 71 | 52 | 14 | 83 | ||||
| San Juan | PA | 100 | 91 | 26 | 100 | 14 | 98 | |
| UA | 91 | 86 | 85 | 64 | 32 | 52 | ||
| County | 2001 | |||||||
|---|---|---|---|---|---|---|---|---|
| Accuracy | WB | DEV | BRL | FRL | PSL | WW | EHW | |
| Curry | PA | 82 | 54 | 50 | 100 | |||
| UA | 88 | 99 | 87 | 100 | ||||
| Doña Ana | PA | 26 | 44 | 100 | 66 | 13 | 7 | 4 |
| UA | 77 | 91 | 83 | 92 | 75 | 100 | 85 | |
| Eddy | PA | 77 | 39 | 19 | 93 | 21 | 47 | |
| UA | 92 | 96 | 73 | 93 | 80 | 70 | ||
| Lea | PA | 76 | 94 | 81 | 0 | 43 | 100 | |
| UA | 100 | 78 | 63 | 0 | 89 | 53 | ||
| Roosevelt | PA | 95 | 20 | 8 | 0 | 9 | ||
| UA | 96 | 97 | 44 | 0 | 92 | |||
| San Juan | PA | 95 | 30 | 37 | 88 | 96 | 100 | 26 |
| UA | 86 | 85 | 100 | 100 | 81 | 70 | 85 | |
| County | 2006 | |||||||
|---|---|---|---|---|---|---|---|---|
| Accuracy | WB | DEV | BRL | FRL | PSL | WW | EHW | |
| Curry | PA | 88 | 65 | 2 | 56 | 96 | 3 | |
| UA | 76 | 86 | 95 | 67 | 72 | 89 | ||
| Doña Ana | PA | 96 | 97 | 94 | 96 | 26 | 20 | 61 |
| UA | 85 | 87 | 97 | 92 | 75 | 81 | 20 | |
| Eddy | PA | 76 | 10 | 4 | 26 | 0 | 9 | 5 |
| UA | 71 | 90 | 64 | 61 | 55 | 96 | 53 | |
| Roosevelt | PA | 88 | 100 | 4 | 100 | 100 | 97 | |
| UA | 100 | 82 | 91 | 100 | 67 | 39 | ||
| San Juan | PA | 92 | 90 | 100 | 62 | 87 | 99 | 100 |
| UA | 95 | 88 | 96 | 100 | 85 | 59 | 78 | |
| Lea | PA | 59 | 26 | 57 | 0 | 47 | 100 | |
| UA | 100 | 78 | 72 | 0 | 100 | 70 | ||
| County | 2011 | |||||||
|---|---|---|---|---|---|---|---|---|
| Accuracy | WB | DEV | BRL | FRL | PSL | WW | EHW | |
| Curry | PA | 3 | 49 | 1 | 11 | 1 | 62 | |
| UA | 100 | 95 | 75 | 100 | 88 | 58 | ||
| Doña Ana | PA | 100 | 47 | 21 | 99 | 16 | 99 | 100 |
| UA | 88 | 84 | 100 | 84 | 66 | 76 | 50 | |
| Eddy | PA | 74 | 91 | 2 | 27 | 3 | 10 | 12 |
| UA | 88 | 90 | 88 | 99 | 73 | 92 | 77 | |
| Roosevelt | PA | 100 | 47 | 80 | 100 | 59 | 87 | |
| UA | 91 | 86 | 85 | 64 | 32 | 52 | ||
| San Juan | PA | 15 | 15 | 47 | 100 | 17 | 18 | 50 |
| UA | 91 | 94 | 74 | 92 | 79 | 80 | 92 | |
| Lea | PA | 63 | 40 | 75 | 100 | 72 | 16 | |
| UA | 92 | 81 | 81 | 76 | 100 | 48 | ||
| County | 2016 | |||||||
|---|---|---|---|---|---|---|---|---|
| Accuracy | WB | DEV | BRL | FRL | PSL | WW | EHW | |
| Curry | PA | 85 | 80 | 1 | 100 | 0 | 99 | |
| UA | 88 | 96 | 84 | 100 | 100 | 82 | ||
| Doña Ana | PA | 99 | 21 | 50 | 24 | 0 | 1 | |
| UA | 89 | 82 | 76 | 92 | 100 | 95 | ||
| Eddy | PA | 96 | 96 | 21 | 33 | 43 | 96 | |
| UA | 98 | 67 | 80 | 88 | 92 | 85 | ||
| Roosevelt | PA | 90 | 27 | 6 | 20 | 100 | 16 | |
| UA | 96 | 93 | 83 | 80 | 48 | 63 | ||
| San Juan | PA | 89 | 86 | 4 | 38 | 95 | 22 | 85 |
| UA | 97 | 82 | 93 | 93 | 83 | 88 | 37 | |
| Lea | PA | 93 | 30 | 54 | 100 | 69 | 100 | |
| UA | 88 | 78 | 72 | 100 | 84 | 72 | ||
Appendix C
| Reference Data (2006) | ||||||||||
|---|---|---|---|---|---|---|---|---|---|---|
| Map | 11 | 20 | 31 | 52 | 71 | 82 | 90 | 95 | UA | |
| Map data (2006) | 11 | 96 | 0 | 0 | 0 | 0 | 0 | 0 | 0 | 100 |
| 20 | 0 | 3 | 3 | 33 | 21 | 4 | 0 | 0 | 78 | |
| 31 | 9 | 6 | 56 | 6 | 0 | 0 | 0 | 0 | 72 | |
| 52 | 0 | 5 | 0 | 83 | 0 | 0 | 0 | 0 | 94 | |
| 71 | 0 | 2 | 0 | 22 | 62 | 2 | 0 | 0 | 70 | |
| 82 | 0 | 3 | 3 | 10 | 0 | 80 | 0 | 0 | 82 | |
| 90 | 0 | 0 | 0 | 0 | 0 | 0 | 100 | 0 | 100 | |
| 95 | 0 | 0 | 0 | 0 | 15. | 0 | 1.5 | 70 | 70 | |
| WPA (%) | 59 | 26 | 57 | 82 | 99 | 65 | 45 | 100 | ||
| AE (ha) | 1272 | 64,313 | 5,476 | 692,112 | 338,707 | 35,258 | 98 | 242 | ||
| SE (ha) | 286 | 26,825 | 1,160 | 41,157 | 35,397 | 12,222 | 28 | 36 | ||
| 95% CI (ha) | 560 | 52,576 | 2,273 | 80,668 | 69,379 | 23,956 | 56 | 71 | ||
| Reference Data (2011) | |||||||||||
|---|---|---|---|---|---|---|---|---|---|---|---|
| Map | 11 | 20 | 31 | 40 | 52 | 71 | 81 | 82 | UA | ||
| Map data (2011) | 11 | 82 | 0 | 8 | 2 | 0 | 0 | 0 | 0 | 88 | |
| 20 | 8 | 95 | 3 | 0 | 0 | 0 | 0 | 0 | 90 | ||
| 31 | 0 | 6 | 55 | 0 | 2 | 0 | 0 | 0 | 88 | ||
| 40 | 0 | 1 | 0 | 79 | 0 | 0 | 0 | 0 | 99 | ||
| 52 | 0 | 0 | 39 | 10 | 88 | 0 | 0 | 2 | 59 | ||
| 71 | 0 | 0 | 2 | 6 | 2 | 100 | 0 | 0 | 91 | ||
| 81 | 0 | 0 | 0 | 35 | 0 | 0 | 95 | 0 | 73 | ||
| 82 | 0 | 3 | 3 | 0 | 9 | 0 | 0 | 88 | 86 | ||
| WPA (%) | 74 | 91 | 55 | 27 | 100 | 100 | 3 | 54 | |||
| AE (ha) | 5474 | 16,666 | 259,892 | 94,486 | 574,183 | 31,354 | 105 | 26,391 | |||
| SE (ha) | 464 | 836 | 50,197 | 28,915 | 56287 | 1403 | 101 | 13,342 | |||
| 95% CI (ha) | 910 | 1639 | 98,386 | 56,674 | 110,322 | 2750 | 199 | 26151 | |||
| Reference Data (1992) | ||||||||
|---|---|---|---|---|---|---|---|---|
| Map | 11 | 20 | 31 | 52 | 71 | 82 | UA | |
| Map data (1992) | 11 | 96 | 0 | 0 | 0 | 0 | 0 | 100 |
| 20 | 0 | 3.4 | 29 | 33 | 20 | 4 | 78 | |
| 31 | 9 | 6.3 | 56 | 6 | 0 | 0 | 72 | |
| 52 | 0 | 5 | 0 | 82 | 0 | 0 | 94 | |
| 71 | 0 | 2.2 | 0 | 22 | 62 | 2 | 70 | |
| 82 | 0 | 33 | 3 | 10 | 0 | 80 | 83 | |
| WPA(%) | 59 | 26 | 57 | 100 | 100 | 65 | ||
| AE (ha) | 1272 | 64,313 | 5476 | 692,112 | 33,8707 | 35,258 | ||
| SE (ha) | 286 | 26,825 | 11,560 | 41,157 | 35,397.2 | 12,222 | ||
| 95% CI (ha) | 559.7 | 52,576.3 | 2272.5 | 80,668 | 69,379 | 23,956 | ||
| Reference Data (2006) | ||||||||||
|---|---|---|---|---|---|---|---|---|---|---|
| Map | 11 | 20 | 31 | 52 | 71 | 82 | 90 | 95 | UA | |
| Map Data (2006) | 11 | 82 | 0 | 5 | 3 | 0 | 0 | 16 | 0 | 88 |
| 20 | 0 | 99 | 10 | 0 | 1 | 0 | 0 | 0 | 65 | |
| 31 | 3 | 0 | 62 | 0 | 0 | 0 | 0 | 0 | 2 | |
| 52 | 0 | 0 | 8 | 97 | 3 | 0 | 0 | 6 | 100 | |
| 71 | 0 | 2 | 2 | 0 | 83 | 0 | 2 | 0 | 98 | |
| 82 | 0 | 1 | 1 | 0 | 1 | 0 | 0 | 0 | 91 | |
| 90 | 2 | 0 | 0 | 0 | 5 | 98 | 0 | 0 | 96 | |
| 95 | 5 | 0 | 1 | 0 | 0 | 1 | 91 | 40 | 3 | |
| WPA (%) | 88 | 65 | 62 | 56 | 100 | 98 | 91 | 40 | ||
| AE (ha) | 186 | 24,070 | 10,491 | 3,326 | 193,468 | 127,438 | 48 | 5618 | ||
| SE (ha) | 18 | 6179 | 6174 | 182 | 11,874 | 9032 | 4 | 5436 | ||
| 95% CI (ha) | 35 | 12,111 | 12,100 | 357 | 23,272 | 17,703 | 7 | 10,654 | ||
| Reference (2011) | ||||||||||
|---|---|---|---|---|---|---|---|---|---|---|
| Map | 11 | 20 | 31 | 40 | 52 | 71 | 81 | 82 | UA | |
| Map Data (2011) | 11 | 15 | 0 | 1 | 0 | 0 | 0 | 0 | 0 | 91 |
| 20 | 0 | 15 | 0 | 0 | 0 | 0 | 0 | 0 | 94 | |
| 31 | 2 | 9 | 47 | 0 | 2 | 2 | 2 | 0 | 74 | |
| 40 | 0 | 3 | 0 | 100 | 3 | 0 | 0 | 0 | 92 | |
| 52 | 3 | 24 | 3 | 0 | 99 | 54 | 6 | 3 | 50 | |
| 71 | 3 | 0 | 0 | 0 | 0 | 51 | 8 | 0 | 83 | |
| 81 | 0 | 0 | 0 | 0 | 0 | 0 | 17 | 4 | 79 | |
| 82 | 0 | 2 | 0 | 0 | 0 | 0 | 0 | 50 | 89 | |
| 90 | 0 | 1 | 0 | 0 | 0 | 0 | 1 | 0 | 80 | |
| 95 | 0 | 2 | 0 | 0 | 0 | 0 | 2 | 0 | 92 | |
| WPA(%) | 15 | 15 | 47 | 100 | 99 | 51 | 17 | 50 | ||
| AE (ha) | 32,403 | 139,012 | 26,832 | 97,464 | 465,505 | 512,881 | 82,270 | 34,637 | ||
| SE (ha) | 19,119 | 37,503 | 14,070 | 3295 | 57,366 | 56,532 | 29,188 | 14,128 | ||
| 95%CI (ha) | 37,473 | 73,506 | 27,578 | 6458 | 112,438 | 110,802 | 57,209 | 27,691 | ||
References
- U.S. Global Change Research Program Fourth National Climate Assessment. Available online: https://nca2018.globalchange.gov/downloads/ (accessed on 16 October 2019).
- Karabulut, A.; Egoh, B.N.; Lanzanova, D.; Grizzetti, B.; Bidoglio, G.; Pagliero, L.; Bouraoui, F.; Aloe, A.; Reynaud, A.; Maes, J.; et al. Mapping water provisioning services to support the ecosystem–water–food–energy nexus in the Danube river basin. Ecosyst. Serv. 2016, 17, 278–292. [Google Scholar] [CrossRef]
- Flammini, A.; Puri, M.; Pluschke, L.; Dubois, O. Walking the Nexus Talk: Assessing the Water-Energy-Food Nexus in the Context of the Sustainable Energy For All Initiative. In Environment and Natural Resources Management Working Paper; Climate, Energy and Tenure Division (NRC), Food and Agriculture Organization of the United Nations: Rome, Italy, 2014; ISBN 978-92-5-108487-8. [Google Scholar]
- Zhu, Z.; Woodcock, C.E.; Olofsson, P. Continuous monitoring of forest disturbance using all available Landsat imagery. Remote Sens. Environ. 2012, 122, 75–91. [Google Scholar] [CrossRef]
- Ramankutty, N.; Evan, A.T.; Monfreda, C.; Foley, J.A. Farming the planet: 1. Geographic distribution of global agricultural lands in the year 2000: GLOBAL AGRICULTURAL LANDS IN 2000. Glob. Biogeochem. Cycles 2008, 22, 1–19. [Google Scholar] [CrossRef]
- Allred, B.W.; Smith, W.K.; Twidwell, D.; Haggerty, J.H.; Running, S.W.; Naugle, D.E.; Fuhlendorf, S.D. Ecosystem services lost to oil and gas in North America. Science 2015, 348, 401–402. [Google Scholar] [CrossRef] [PubMed]
- IPCC (2) (PDF) Completion of the 2006 National Land Cover Database for the Conterminous United States. Available online: https://www.researchgate.net/publication/279868428_Completion_of_the_2006_National_Land_Cover_Database_for_the_Conterminous_United_States (accessed on 30 October 2019).
- Tilman, D. Forecasting Agriculturally Driven Global Environmental Change. Science 2001, 292, 281–284. [Google Scholar] [CrossRef] [PubMed]
- Ramankutty, N.; Foley, J.A. Estimating historical changes in global land cover: Croplands from 1700 to 1992. Glob. Biogeochem. Cycles 1999, 13, 997–1027. [Google Scholar] [CrossRef]
- Lambin, E.F.; Meyfroidt, P. Global land use change, economic globalization, and the looming land scarcity. Proc. Natl. Acad. Sci. USA 2011, 108, 3465–3472. [Google Scholar] [CrossRef]
- Dale, V.H.; Efroymson, R.A.; Kline, K.L. The land use–climate change–energy nexus. Landsc. Ecol. 2011, 26, 755–773. [Google Scholar] [CrossRef]
- Loveland, T.R.; Sohl, T.L.; Stehman, S.V.; Gallant, A.L.; Sayler, K.L.; Napton, D.E. A Strategy for Estimating the Rates of Recent United States Land Cover Changes. Photogramm. Eng. 2002, 68, 1091–1099. [Google Scholar]
- Webb, J. Image-based Change Estimation for Land Cover and Land Use Monitoring. In Moving from Status to Trends: Forest Inventory and Analysis Symposium 2012; CreateSpace Independent Publishing Platform: Scotts Valley, CA, USA, 2015; pp. 46–53. [Google Scholar]
- Gonzalez, P.G.M.; Garfin, D.D.; Breshears, K.M.; Brooks, H.E.; Brown, E.H.; Elias, A.; Gunasekara, N.; Huntly, J.K.; Maldonado, N.J.; Mantua, H.G.; et al. Impacts, Risks, and Adaptation in the United States: Fourth National Climate Assessment; Reidmiller, D.R.C.W., Avery, D.R., Easterling, K.E., Kunkel, K.L.M., Lewis, T.K., Maycock Stewart, B.C., Eds.; U.S. Global Change Research Program: Washington, DC, USA, 2018; Volume 2, pp. 1101–1184.
- WRI (World Resources Insatiate). Aqueduct Water Risk Atlas. Available online: https://www.wri.org/resources/maps/aqueduct-water-risk-atlas (accessed on 4 January 2020).
- Allison, R.C.D.; Ashcroft, N. New Mexico Range Plants; New Mexico State University Cooperative Extension Service and Agricultural Experiment Station Publications: Las Cruces, NM, USA, 2011; p. 48. [Google Scholar]
- McIntosh, M.; Holechek, J.L.; Spiegal, S.; Cibils, A.F.; Estell, R. Long term declining trends in Chihuahuan Desert forage production in relation to precipitation and ambient temperature. Rangel. Ecol. 2019, 72, 976–987. [Google Scholar] [CrossRef]
- Zaied, A.J.; Geli, H.M.E.; Holechek, J.L.; Cibils, A.F.; Sawalhah, M.N.; Gard, C.C. An Evaluation of Historical Trends in New Mexico Beef Cattle Production in Relation to Climate and Energy. Sustainability 2019, 11, 6840. [Google Scholar] [CrossRef]
- Sawalhah, M.; Holechek, J.L.; Cibils, A.F.E.H.; Zaied, H.E. Rangeland Livestock Production in Relation to Climate and Vegetation Trends in New Mexico. Rangel. Ecol. Manag. 2019, 72, 832–845. [Google Scholar] [CrossRef]
- Zaied, A.J.; Geli, H.M.E.; Sawalhah, M.N.; Holechek, J.L.; Cibils, A.F.; Gard, C.C. Historical Trends in New Mexico Forage Crop Production in Relation to Climate, Energy, and Rangelands. Sustainability 2020, 12, 2051. [Google Scholar] [CrossRef]
- Geli, H.M.E.; Hayes, M.; Fernald, A.; Cibils, A.F.; Erickson, C.; Peach, J. National Science Foundation Award#1739835—INFEWS/T1 Towards Resilient Food-Energy-Water Systems in Response to Drought Impacts and Socioeconomic Shocks. Available online: https://www.nsf.gov/awardsearch/showAward?AWD_ID=1739835&HistoricalAwards=false (accessed on 1 May 2020).
- Yadav, K.; Geli, H.M.E. Understanding the Dynamic Behavior of New Mexico’s Food-Energy-Water Resources in Response to Drought Using Remote Sensing. Available online: https://agu.confex.com/agu/fm19/meetingapp.cgi/Person/818547 (accessed on 17 February 2020).
- Gedefaw, M.G.; Geli, H.M.E.; Yadav, K. Detection of Rangeland Degradation in New Mexico using Time Series Segmentation and Residual Analysis (TSS-RESTREND). In Proceedings of the American Geophysical Union-AGU Fall Meeting, San Francisco, CA, USA, 9–13 December 2019. [Google Scholar]
- Alexander, P.; Rounsevell, M.D.A.; Dislich, C.; Dodson, J.R.; Engström, K.; Moran, D. Drivers for global agricultural land use change: The nexus of diet, population, yield and bioenergy. Glob. Environ. Change 2015, 35, 138–147. [Google Scholar] [CrossRef]
- Leemhuis, C.; Thonfeld, F.; Näschen, K.; Steinbach, S.; Muro, J.; Strauch, A.; López, A.; Daconto, G.; Games, I.; Diekkrüger, B. Sustainability in the Food-Water-Ecosystem Nexus: The Role of Land Use and Land Cover Change for Water Resources and Ecosystems in the Kilombero Wetland, Tanzania. Sustainability 2017, 9, 1513. [Google Scholar] [CrossRef]
- French, A.; Schmugge, T.; Ritchie, J.; Hsu, A.; Jacob, F.; Ogawa, K. Detecting land cover change at the Jornada Experimental Range, New Mexico with ASTER emissivities. Remote Sens. Environ. 2008, 112, 1730–1748. [Google Scholar] [CrossRef]
- Gibbens, R.P.; McNeely, R.P.; Havstad, K.M.; Beck, R.F.; Nolen, B. Vegetation changes in the Jornada Basin from 1858 to 1998. J. Arid Environ. 2005, 61, 651–668. [Google Scholar] [CrossRef]
- Laliberte, A.S.; Rango, A.; Havstad, K.M.; Paris, J.F.; Beck, R.F.; McNeely, R.; Gonzalez, A.L. Object-oriented image analysis for mapping shrub encroachment from 1937 to 2003 in southern New Mexico. Remote Sens. Environ. 2004, 93, 198–210. [Google Scholar] [CrossRef]
- Havstad, K.M.; Kustas, W.P.; Rango, A.; Ritchie, J.C.; Schmugge, T.J. Jornada Experimental Range: A Unique Arid Land Location for Experiments to Validate Satellite Systems. Remote Sens. Environ. 2000, 73, 13–25. [Google Scholar] [CrossRef]
- Yang, L.; Jin, S.; Danielson, P.; Homer, C.; Gass, L.; Bender, S.M.; Case, A.; Costello, C.; Dewitz, J.; Fry, J.; et al. A new generation of the United States National Land Cover Database: Requirements, research priorities, design, and implementation strategies. ISPRS J. Photogramm. Remote Sens. 2018, 146, 108–123. [Google Scholar] [CrossRef]
- Congalton, R.G.; Gu, J.; Yadav, K.; Thenkabail, P.; Ozdogan, M. Global Land Cover Mapping: A Review and Uncertainty Analysis. Remote Sens. 2014, 6, 12070–12093. [Google Scholar] [CrossRef]
- Vogelmann, J.E.; Vogelmann, J.E. Completion of the 1990s National Land Cover Data Set for the Conterminous United States from Landsat Thematic Mapper Data and Ancillary Data Sources. Photogramm. Eng. Remote Sens. 2001, 2, 650–662. [Google Scholar]
- Homer, C.; Huang, C.; Yang, L.; Wylie, B.; Coan, M. Development of a 2001 National Land-Cover Database for the United States. Photogramm. Eng. Remote Sens. 2004, 70, 829–840. [Google Scholar] [CrossRef]
- Wickham, J.D.; Stehman, S.V.; Gass, L.; Dewitz, J.; Fry, J.A.; Wade, T.G. Accuracy assessment of NLCD 2006 land cover and impervious surface. Remote Sens. Environ. 2013, 130, 294–304. [Google Scholar] [CrossRef]
- Jin, S.; Yang, L.; Danielson, P.; Homer, C.; Fry, J.; Xian, G. A comprehensive change detection method for updating the National Land Cover Database to circa 2011. Remote Sens. Environ. 2013, 132, 159–175. [Google Scholar] [CrossRef]
- Homer, C.; Dewitz, J.; Yang, L.; Jin, S.; Danielson, P.; Xian, G.; Coulston, J.; Herold, N.; Wickham, J.; Megown, K. Completion of the 2011 National Land Cover Database for the conterminous United States—Representing a decade of land cover change information. Photogramm. Eng. Remote Sens. 2015, 81, pp. 345–354.
- Wickham, J.D.; Stehman, S.V.; Smith, J.H.; Yang, L. Thematic accuracy of the 1992 National Land-Cover Data for the western United States. Remote Sens. Environ. 2004, 91, 452–468. [Google Scholar] [CrossRef]
- Stehman, S.V.; Wickham, J.D.; Smith, J.H.; Yang, L. Thematic accuracy of the 1992 National Land-Cover Data for the eastern United States: Statistical methodology and regional results. Remote Sens. Environ. 2003, 86, 500–516. [Google Scholar] [CrossRef]
- Wickham, J.; Stehman, S.V.; Gass, L.; Dewitz, J.A.; Sorenson, D.G.; Granneman, B.J.; Poss, R.V.; Baer, L.A. Thematic accuracy assessment of the 2011 National Land Cover Database (NLCD). Remote Sens. Environ. 2017, 191, 328–341. [Google Scholar] [CrossRef]
- Wickham, J.D.; Stehman, S.V.; Fry, J.A.; Smith, J.H.; Homer, C.G. Thematic accuracy of the NLCD 2001 land cover for the conterminous United States. Remote Sens. Environ. 2010, 114, 1286–1296. [Google Scholar] [CrossRef]
- FAO. SEPAL Repository; Open Foris. Available online: https://github.com/openforis/sepal (accessed on 1 May 2020).
- FAO Open Foris. Available online: http://www.openforis.org/home.html (accessed on 24 May 2020).
- Tenneson, K.; Rounds, E.; Lindquist, E. Forest Cover Change Detection with SEPAL – Manual; US Department of Agriculture and US Forest Service, Geospatial Technology and Applications Center – Change Manual. p. 101. Available online: https://drive.google.com/file/d/1pTjItfECUt1mhQCxwrHwaAVVM7GoCFiK/view (accessed on 1 May 2020).
- Olofsson, P.; Foody, G.M.; Herold, M.; Stehman, S.V.; Woodcock, C.E.; Wulder, M.A. Good practices for estimating area and assessing accuracy of land change. Remote Sens. Environ. 2014, 148, 42–57. [Google Scholar] [CrossRef]
- New Mexico Topo Maps and Outdoor Places to Visit. Available online: https://www.anyplaceamerica.com/directory/nm/ (accessed on 24 November 2019).
- Data | Multi-Resolution Land Characteristics (MRLC) Consortium. Available online: https://www.mrlc.gov/data (accessed on 21 September 2019).
- USDA/NASS QuickStats Ad-hoc Query Tool. Available online: https://quickstats.nass.usda.gov/ (accessed on 21 September 2019).
- New Mexico Profile. Available online: https://www.eia.gov/state/print.php?sid=NM#47 (accessed on 19 October 2019).
- EMNRD—OCD GIS. Available online: http://www.emnrd.state.nm.us/OCD/ocdgis.html (accessed on 21 September 2019).
- Bey, A.; Sánchez-Paus Díaz, A.; Maniatis, D.; Marchi, G.; Mollicone, D.; Ricci, S.; Bastin, J.-F.; Moore, R.; Federici, S.; Rezende, M.; et al. Collect Earth: Land Use and Land Cover Assessment through Augmented Visual Interpretation. Remote Sens. 2016, 8, 807. [Google Scholar] [CrossRef]
- Saah, D.; Johnson, G.; Ashmall, B.; Tondapu, G.; Tenneson, K.; Patterson, M.; Poortinga, A.; Markert, K.; Quyen, N.H.; San Aung, K.; et al. Collect Earth: An online tool for systematic reference data collection in land cover and use applications. Environ. Model. Softw. 2019, 118, 166–171. [Google Scholar] [CrossRef]
- FAO Collect Earth. Available online: http://www.openforis.org/tools/collect-earth.html (accessed on 24 May 2020).
- Abatzoglou, J.T.; McEvoy, D.J.; Redmond, K.T. The West Wide Drought Tracker: Drought Monitoring at Fine Spatial Scales. Bull. Amer. Meteor. Soc. 2017, 98, 1815–1820. [Google Scholar] [CrossRef]
- Cochran, W.G. Sampling Techniques. In Wiley Series in Probability and Mathematical Statistics, 3rd ed.; Wiley: New York, NY, USA, 1977; ISBN 978-0-471-16240-7. [Google Scholar]
- Map Accuracy Assessment and Area Estimation: A Practical Guide | Land Portal | Securing Land Rights through Open Data. Available online: https://landportal.org/library/resources/faodocrepe5ea45b8-3fd7-4692-ba29-fae7b140d07e/map-accuracy-assessment-and-area (accessed on 17 October 2019).
- Anderson, R.J.; Hardy, E.E.; Roach, T.J.; Witmer, E.R. A Land Use and Land Cover Classification System for Use with Remote Sensor Data; Geological Survey; United States Government Printing Office: Washington, DC, USA, 1976.
- Collect Earth: Open Foris. Available online: http://www.openforis.org/tools/collect-earth.html (accessed on 21 September 2019).
- Birigazzi, L.; Gregoire, T.G.; Finegold, Y.; Cóndor Golec, R.D.; Sandker, M.; Donegan, E.; Gamarra, J.G.P. Data quality reporting: Good practice for transparent estimates from forest and land cover surveys. Environ. Sci. Policy 2019, 96, 85–94. [Google Scholar] [CrossRef]
- Yadav, K.; Congalton, R.G. Accuracy Assessment of Global Food Security-Support Analysis Data (GFSAD) Cropland Extent Maps Produced at Three Different Spatial Resolutions. Remote Sens. 2018, 10, 1800. [Google Scholar] [CrossRef]
- Yadav, K.; Congalton, R.G. Evaluating Sampling Designs for Assessing the Accuracy of Cropland Extent Maps in Different Cropland Proportion Regions. J. Geogr. Environ. Earth Sci. Int. 2019, 1–20. [Google Scholar] [CrossRef]
- Wardlow, B.D.; Egbert, S.L. A State-Level Comparative Analysis of the GAP and NLCD Land-Cover Data Sets. Photogramm. Eng. Remote Sens. 2003, 69, 1387–1397. [Google Scholar] [CrossRef]
- Egbert, S.L.; Peterson, D.L.; Stewart, A.M.; Lauver, C.L.; Blodgett, C.F.; Price, K.P.; Martinko, E.A. The Kansas GAP land cover map: Final report. Kans. Biol. Surv. Rep.#982001. Available online: http://kars.ku.edu/media/uploads/maps/Landcover/gap_finalrep.pdf (accessed on 2 June 2020).
- Gallego, F.J. Remote sensing and land cover area estimation. Int. J. Remote Sens. 2004, 25, 3019–3047. [Google Scholar] [CrossRef]
- McRoberts, R.E. Probability- and model-based approaches to inference for proportion forest using satellite imagery as ancillary data. Remote Sens. Environ. 2010, 114, 1017–1025. [Google Scholar] [CrossRef]
- McRoberts, R.E. Satellite image-based maps: Scientific inference or pretty pictures? Remote Sens. Environ. 2011, 115, 715–724. [Google Scholar] [CrossRef]
- Olofsson, P.; Foody, G.M.; Stehman, S.V.; Woodcock, C.E. Making better use of accuracy data in land change studies: Estimating accuracy and area and quantifying uncertainty using stratified estimation. Remote Sens. Environ. 2013, 129, 122–131. [Google Scholar] [CrossRef]
- USGS. The Gap Analysis Program. In Scientific Investigations Report; U.S. Geological Survey: Reston, VA, USA, 2019. [Google Scholar]
- Lark, T.J.; Mueller, R.M.; Johnson, D.M.; Gibbs, H.K. Measuring land-use and land-cover change using the U.S. department of agriculture’s cropland data layer: Cautions and recommendations. Int. J. Appl. Earth Obs. Geoinf. 2017, 62, 224–235. [Google Scholar] [CrossRef]
- USDA-NASS CropScape—NASS CDL Program. Available online: https://nassgeodata.gmu.edu/CropScape/ (accessed on 23 March 2020).
- Homer, C.; Dewitz, J.; Jin, S.; Xian, G.; Costello, C.; Danielson, P.; Gass, L.; Funk, M.; Wickham, J.; Stehman, S.; et al. Conterminous United States land cover change patterns 2001–2016 from the 2016 National Land Cover Database. ISPRS J. Photogramm. Remote Sens. 2020, 162, 184–199. [Google Scholar] [CrossRef]
- Jones, M.O.; Allred, B.W.; Naugle, D.E.; Maestas, J.D.; Donnelly, P.; Metz, L.J.; Karl, J.; Smith, R.; Bestelmeyer, B.; Boyd, C.; et al. Innovation in rangeland monitoring: Annual, 30 m, plant functional type percent cover maps for U.S. rangelands, 1984–2017. Ecosphere 2018, 9, e02430. [Google Scholar] [CrossRef]
- USDA-NRCS Rangeland Analysis Platform. Available online: https://rangelands.app/ (accessed on 24 March 2020).
- Archer, S. Woody plant encroachment into southwestern grasslands and savannas: Rates, patterns and proximate causes. In Ecological Implications of Livestock Herbivory in the West; Vavra, M., Laycock, W.A., Pieper, R.D., Eds.; Society for Range Management: Denver, CO, USA, 1994; pp. 13–69. 297p. [Google Scholar]
- Magnuson, M.L.; Julie, P.E.; Valdez, M.; Lawler, C.R.; Nelson, M.; Petronis, L. NEW MEXICO WATER USE BY CATEGORIES 2015. New Mexico Water Use by Categories; New Mexico Office of State Engineer: Santa Fe, NM, USA, 2019; pp. 1–142. [Google Scholar]
- Rawling, G.C.; Rinehart, A.J. Lifetime Projections for the High Plains Aquifer in East-Central New Mexico; New Mexico Bureau of Geology and Mineral Resources: Socorro, NM, USA, 2018; ISBN 1-883905-45-1. [Google Scholar]
- Joshi, N.; Baumann, M.; Ehammer, A.; Fensholt, R.; Grogan, K.; Hostert, P.; Jepsen, M.R.; Kuemmerle, T.; Meyfroidt, P.; Mitchard, E.T.A.; et al. A Review of the Application of Optical and Radar Remote Sensing Data Fusion to Land Use Mapping and Monitoring. Remote Sens. 2016, 8, 70. [Google Scholar] [CrossRef]
- Lu, D.; Chen, Q.; Wang, G.; Liu, L.; Li, G.; Moran, E. A survey of remote sensing-based aboveground biomass estimation methods in forest ecosystems. Int. J. Digit. Earth 2016, 9, 63–105. [Google Scholar] [CrossRef]
- Griffiths, P.; Kuemmerle, T.; Baumann, M.; Radeloff, V.C.; Abrudan, I.V.; Lieskovsky, J.; Munteanu, C.; Ostapowicz, K.; Hostert, P. Forest disturbances, forest recovery, and changes in forest types across the Carpathian ecoregion from 1985 to 2010 based on Landsat image composites. Remote Sens. Environ. 2014, 151, 72–88. [Google Scholar] [CrossRef]
- Estel, S.; Kuemmerle, T.; Alcántara, C.; Levers, C.; Prishchepov, A.; Hostert, P. Mapping farmland abandonment and recultivation across Europe using MODIS NDVI time series. Remote Sens. Environ. 2015, 163, 312–325. [Google Scholar] [CrossRef]
- Dong, J.; Xiao, X.; Menarguez, M.A.; Zhang, G.; Qin, Y.; Thau, D.; Biradar, C.; Moore, B. Mapping paddy rice planting area in northeastern Asia with Landsat 8 images, phenology-based algorithm and Google Earth Engine. Remote Sens. Environ. 2016, 185, 142–154. [Google Scholar] [CrossRef]
- Rigge, M.; Homer, C.; Cleeves, L.; Meyer, D.K.; Bunde, B.; Shi, H.; Xian, G.; Schell, S.; Bobo, M. Quantifying Western U.S. Rangelands as Fractional Components with Multi-Resolution Remote Sensing and In Situ Data. Remote Sens. 2020, 12, 412. [Google Scholar] [CrossRef]
- Albrecht, T.R.; Crootof, A.; Scott, C.A. The Water-Energy-Food Nexus: A systematic review of methods for nexus assessment. Environ. Res. Lett. 2018, 13, 1–26. [Google Scholar] [CrossRef]








| County | Livestock | Field Crop | Energy | ||
|---|---|---|---|---|---|
| All Beef Cattle 1000 (Head) | Milk 1000 (Kg) | Alfalfa 1000 (Kg) | Crude Oil 106 (L) | Natural Gas 106 (m3) | |
| Curry (1.2) * | 175 (17) ** | 881,602 (24) | 7,500 (1) | - | - |
| Roosevelt (2) | 115 (8) | 713,592 (19) | 10,000 (1) | 36 (0.18) | 0.05 |
| Lea (3.6) | 90 (6) | 343,188 (9) | - | 11,352 (56) | 8.5 (23) |
| Doña Ana (3.1) | 88 (6) | 385,554 (10) | - | - | - |
| Eddy (3.5) | 56 (4) | 91,399 (2) | 137,000 (14) | 8144 (40) | 10.3 (28) |
| San Juan (4.6) | 22 (2) | - | 152,000 (16) | 608 (3) | 20 (27) |
| New Mexico | 1430 | 2,415,335 | 306,500 | 20,140 | 39 |
| Reference | |||||
|---|---|---|---|---|---|
| Class 1 | Class 2 | Class 3 | Total | ||
| Map | Class 1 | ||||
| Class 2 | |||||
| Class 3 | |||||
| Total | 1 | ||||
| Land Cover Class | No. of Pixels | Conjectured User’s Accuracy (Ui) | SEPAL Generated Samples on Map i(ni) | Total Reference Samples |
|---|---|---|---|---|
| Open Water | 696,503 | 0.85 | 917 | 889 |
| Developed | 7,332,760 | 0.75 | 2490 | 2481 |
| Barren land | 3,801,347 | 0.75 | 1195 | 1177 |
| Forest | 7,469,450 | 0.85 | 1025 | 923 |
| Shrubland | 186,302,455 | 0.85 | 1911 | 1826 |
| Grassland | 85,725,854 | 0.75 | 1164 | 1138 |
| Pasture | 1,107,707 | 0.75 | 470 | 454 |
| cultivated cropland | 19,826,881 | 0.85 | 1295 | 1252 |
| Woody Wetland | 598,696 | 0.85 | 694 | 684 |
| Emergent Herbaceous Wetlands | 433,596 | 0.75 | 623 | 606 |
| County | Reference Samples | ||||
|---|---|---|---|---|---|
| 1992 | 2001 | 2006 | 2011 | 2016 | |
| Curry (1.2) * | 270 | 381 | 574 | 324 | 236 |
| Roosevelt (2) | 343 | 355 | 544 | 562 | 294 |
| Lea (3.6) | 399 | 886 | 478 | 576 | 392 |
| Doña Ana (3.1) | 372 | 313 | 305 | 343 | 247 |
| Eddy (3.5) | 218 | 250 | 310 | 324 | 246 |
| San Juan (4.6) | 324 | 374 | 370 | 397 | 421 |
| Total | 1926 | 2559 | 2581 | 2526 | 1836 |
| County | Accuracy measures | 1992 | 2001 | 2006 | 2011 | 2016 | ||||||||||
|---|---|---|---|---|---|---|---|---|---|---|---|---|---|---|---|---|
| SL | GL | CC | SL | GL | CC | SL | GL | CC | SL | GL | CC | SL | GL | CC | ||
| Curry | UA | 72 | 97 | 92 | 100 | 90 | 100 | 90 | 88 | 93 | 100 | 79 | 90 | 97 | 86 | 88 |
| PA | 97 | 93 | 98 | 99 | 100 | 96 | 99 | 98 | 91 | 56 | 100 | 99 | 98 | 93 | 94 | |
| Doña Ana | UA | 65 | 39 | 84 | 98 | 89 | 78 | 100 | 69 | 89 | 83 | 5 2 | 82 | 71 | 83 | 83 |
| PA | 71 | 100 | 88 | 100 | 95 | 100 | 98 | 100 | 99 | 97 | 100 | 98 | 99 | 80 | 80 | |
| Eddy | UA | 90 | 58 | 95 | 90 | 89 | 81 | 63 | 89 | 81 | 59 | 91 | 86 | 89 | 91 | 81 |
| PA | 70 | 100 | 96 | 99 | 100 | 22 | 98 | 71 | 68 | 100 | 100 | 54 | 91 | 100 | 89 | |
| Lea | UA | 77 | 75 | 68 | 89 | 75 | 83 | 94 | 70 | 83 | 93 | 60 | 80 | 90 | 76 | 88 |
| PA | 57 | 90 | 81 | 82 | 85 | 62 | 82 | 100 | 65 | 74 | 96 | 99 | 96 | 69 | 100 | |
| Roosevelt | UA | 92 | 63 | 85 | 62 | 88 | 71 | 100 | 76 | 85 | 100 | 79 | 90 | 95 | 73 | 61 |
| PA | 25 | 100 | 66 | 95 | 94 | 81 | 49 | 100 | 99 | 55 | 100 | 99 | 92 | 84 | 100 | |
| San Juan | UA | 100 | 79 | 90 | 94 | 85 | 96 | 100 | 69 | 90 | 50 | 83 | 89 | 62 | 63 | 95 |
| PA | 94 | 100 | 16 | 97 | 100 | 96 | 90 | 99 | 98 | 99 | 51 | 50 | 94 | 64 | 56 | |
| NLCD 2001 Reference | |||||||||||
|---|---|---|---|---|---|---|---|---|---|---|---|
| Map data (2001) | Class Code | 11 | 20 | 31 | 40 | 52 | 71 | 82 | 90 | 95 | UA (%) |
| 11 | 100 | 00 | 0 | 0 | 0 | 0 | 0 | 0 | 0 | 100 | |
| 20 | 0 | 78 | 3 | 1 | 13 | 4 | 2 | 0 | 0 | 78 | |
| 31 | 6 | 22 | 63 | 0 | 9 | 0 | 0 | 0 | 0 | 63 | |
| 52 | 0 | 0 | 0 | 0 | 89 | 11 | 0 | 0 | 0 | 90 | |
| 71 | 0 | 0 | 0 | 0 | 23 | 75 | 3 | 0 | 0 | 75 | |
| 83 | 0 | 0 | 0 | 0 | 17 | 0 | 83 | 0 | 0 | 83 | |
| 90 | 0 | 0 | 0 | 5 | 5 | 0 | 0 | 89 | 0 | 90 | |
| 95 | 0 | 0 | 11 | 0 | 21 | 0 | 0 | 16 | 53 | 53 | |
| WPA(%) | 94 | 78 | 36 | 0 | 54 | 84 | 85 | 95 | 85 | ||
| AE (ha) | 1084 | 16,141 | 3168 | 20 | 656,006 | 427,872 | 33,155 | 92 | 174 | ||
| SE (ha) | 178 | 857 | 482 | 188 | 44,506 | 45,348 | 12,254 | 29 | 39 | ||
| CI (95%) (ha) | ±35 | ±1,679 | ±945 | ±369 | ±87,233 | ±8,882 | ±24,018 | ±56 | ±76 | ||
| NLCD Year | NLCD # OA (%) | County OA (%) | ||||||
|---|---|---|---|---|---|---|---|---|
| Curry | Doña Ana | Eddy | Lea | Roosevelt | San Juan | Average/Total | ||
| 1992 | 44* | 90 | 73 | 85 | 73 | 71 | 80 | 79 |
| 2001 | 89 | 91 | 88 | 88 | 77 | 78 | 86 | 85 |
| 2006 | 89 | 81 | 81 | 77 | 80 | 83 | 85 | 81 |
| 2011 | 88 | 100 | 79 | 85 | 79 | 80 | 82 | 84 |
| 2016 | 89** | 91 | 82 | 82 | 82 | 78 | 79 | 82 |
| Reference Samples | 1785 (16%)+ | 2098 (18%) | 2731 (24%) | 1580 (14%) | 1348 (12%) | 1886 (17%) | 11,428 (100%) | |
| County | Relative LULC Area Change between 1992 and 2016 Period (%) | ||
|---|---|---|---|
| Grassland | Shrubland | Cultivated Cropland | |
| Curry | (−) 60 | (+) 4255 * | (−) 36 |
| Roosevelt | (−) 84 | (+) 267 | (−) 63 |
| Lea | (−) 73 | (+) 113 | (−) 24 |
| Doña Ana | (+) 130 | (−) 10 | (+) 109 |
| Eddy | (−) 23 | (+) 10 | (+) 187 |
| San Juan | (−) 25 | (−) 31 | (+) 318 |
© 2020 by the authors. Licensee MDPI, Basel, Switzerland. This article is an open access article distributed under the terms and conditions of the Creative Commons Attribution (CC BY) license (http://creativecommons.org/licenses/by/4.0/).
Share and Cite
Gedefaw, M.G.; Geli, H.M.E.; Yadav, K.; Zaied, A.J.; Finegold, Y.; Boykin, K.G. A Cloud-Based Evaluation of the National Land Cover Database to Support New Mexico’s Food–Energy–Water Systems. Remote Sens. 2020, 12, 1830. https://doi.org/10.3390/rs12111830
Gedefaw MG, Geli HME, Yadav K, Zaied AJ, Finegold Y, Boykin KG. A Cloud-Based Evaluation of the National Land Cover Database to Support New Mexico’s Food–Energy–Water Systems. Remote Sensing. 2020; 12(11):1830. https://doi.org/10.3390/rs12111830
Chicago/Turabian StyleGedefaw, Melakeneh G., Hatim M.E. Geli, Kamini Yadav, Ashraf J. Zaied, Yelena Finegold, and Kenneth G. Boykin. 2020. "A Cloud-Based Evaluation of the National Land Cover Database to Support New Mexico’s Food–Energy–Water Systems" Remote Sensing 12, no. 11: 1830. https://doi.org/10.3390/rs12111830
APA StyleGedefaw, M. G., Geli, H. M. E., Yadav, K., Zaied, A. J., Finegold, Y., & Boykin, K. G. (2020). A Cloud-Based Evaluation of the National Land Cover Database to Support New Mexico’s Food–Energy–Water Systems. Remote Sensing, 12(11), 1830. https://doi.org/10.3390/rs12111830

