Infrared Small Target Detection Based on Non-Convex Optimization with Lp-Norm Constraint
Abstract
1. Introduction
1.1. Track before Detection
1.2. Detection before Track
1.3. Motivation
2. Methodology
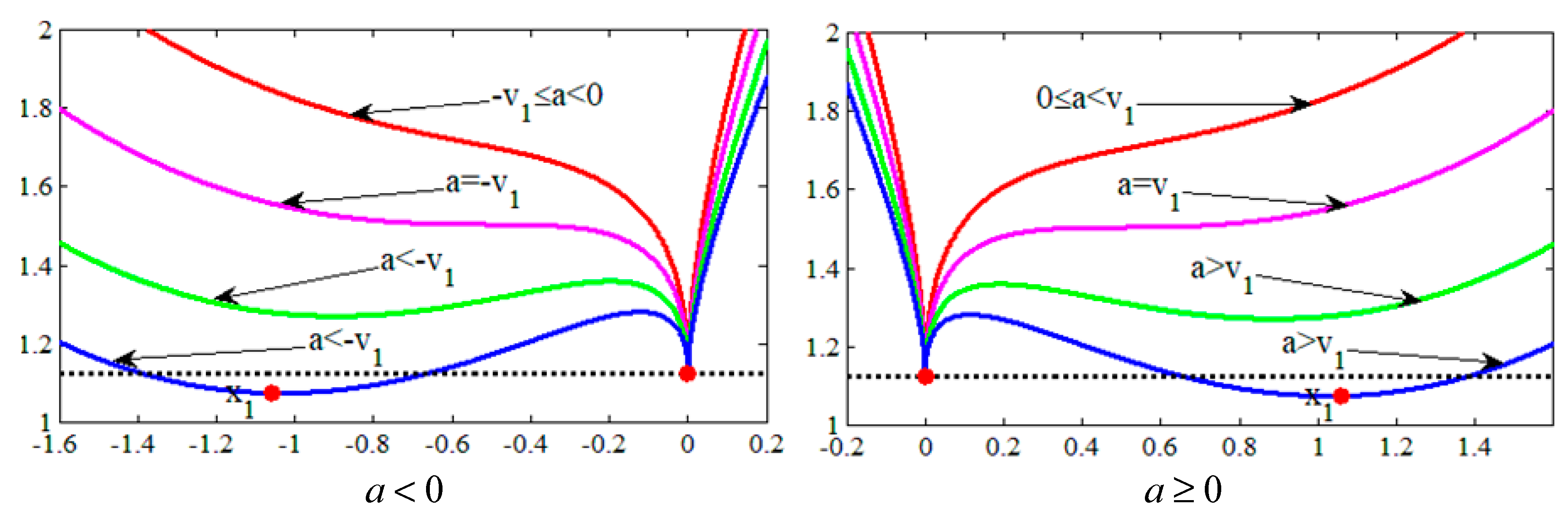
2.1. Schatten q-norm and Lp-norm
2.2. The Proposed Method
2.3. Solution of NOLC model
| Algorithm 1 Solving the objective function of NOLC model |
|
2.4. Detection Procedure
3. Experiments
3.1. Experimental Setting
3.2. Algorithm Validity
3.3. Parameter Analysis
3.4. Comparison to State-of-the-Art
4. Discussion
5. Conclusions
Author Contributions
Funding
Conflicts of Interest
References
- Shao, X.; Fan, H.; Lu, G.; Xu, J. An improved infrared dim and small target detection algorithm based on the contrast mechanism of human visual system. Infrared Phys. Technol. 2012, 55, 403–408. [Google Scholar] [CrossRef]
- Chen, Y.; Xin, Y. An Efficient Infrared Small Target Detection Method Based on Visual Contrast Mechanism. IEEE Geosci. Remote Sens. Lett. 2016, 13, 962–966. [Google Scholar] [CrossRef]
- Han, J.; Ma, Y.; Huang, J.; Mei, X.; Ma, J. An Infrared Small Target Detecting Algorithm Based on Human Visual System. IEEE Geosci. Remote Sens. Lett. 2016, 13, 452–456. [Google Scholar] [CrossRef]
- Peng, Z.; Zhang, Q.; Wang, J.; Zhang, Q. Dim target detection based on nonlinear multi-feature fusion by Karhunen-Loeve transform. Opt. Eng. 2004, 43, 2954–2958. [Google Scholar]
- Peng, Z.; Zhang, Q.; Guan, A. Extended target tracking using projection curves and matching pel count. Opt. Eng. 2007, 46, 066401. [Google Scholar]
- Zheng, X.; Peng, Z.; Dai, J. Criterion to evaluate the quality of iInfrared target images based on scene features. Elektronika ir Elektrotechnika 2014, 20, 44–50. [Google Scholar] [CrossRef]
- Fan, X.; Xu, Z.; Zhang, J.; Huang, Y.; Peng, Z. Dim small targets detection based on self-adaptive caliber temporal-spatial filtering. Infrared Phys. Technol. 2017, 85, 465–477. [Google Scholar] [CrossRef]
- Wang, X.; Peng, Z.; Zhang, P.; He, Y. Infrared Small Target Detection via Nonnegativity-Constrained Variational Mode Decomposition. IEEE Geosci. Remote Sens. Lett. 2017, 14, 1700–1704. [Google Scholar] [CrossRef]
- Wang, X.; Peng, Z.; Kong, D.; He, Y. Infrared Dim and Small Target Detection Based on Stable Multisubspace Learning in Heterogeneous Scene. IEEE Trans. Geosci. Remote Sens. 2017, 99, 1–13. [Google Scholar] [CrossRef]
- Gu, Y.; Wang, C.; Liu, B.X.; Zhang, Y. A Kernel-Based Nonparametric Regression Method for Clutter Removal in Infrared Small-Target Detection Applications. IEEE Geosci. Remote Sens. Lett. 2010, 7, 469–473. [Google Scholar] [CrossRef]
- Reed, I.S.; Gagliardi, R.M.; Stotts, L.B. Optical moving target detection with 3-D matched filtering. IEEE Trans. Aerosp. Electron. Syst. 2002, 24, 327–336. [Google Scholar] [CrossRef]
- Li, M. Moving weak point target detection and estimation with three-dimensional double directional filter in IR cluttered background. Opt. Eng. 2005, 44, 107007. [Google Scholar] [CrossRef]
- Modestino, J.W. Spatiotemporal multiscan adaptive matched filtering. In Signal and Data Processing of Small Targets; International Society for Optics and Photonics: Bellingham, WA, USA, 1995. [Google Scholar]
- Braganeto, U.M.; Choudhury, M.; Goutsias, J.I. Automatic target detection and tracking in forward-looking infrared image sequences using morphological connected operators. J. Electron. Imaging 2004, 13, 802. [Google Scholar]
- Dong, X.; Huang, X.; Zheng, Y.; Bai, S.; Xu, W. A novel infrared small moving target detection method based on tracking interest points under complicated background. Infrared Phys. Technol. 2014, 65, 36–42. [Google Scholar] [CrossRef]
- Li, Y.; Tan, Y.; Li, H.; Li, T.; Tian, J. Biologically inspired multilevel approach for multiple moving targets detection from airborne forward-looking infrared sequences. J. Opt. Soc. Am. A Opt. Image Sci. Vis. 2014, 31, 734. [Google Scholar] [CrossRef] [PubMed]
- Li, Y.; Zhang, Y.; Yu, J.G.; Tan, Y.; Tian, J.; Ma, J. A novel spatio-temporal saliency approach for robust dim moving target detection from airborne infrared image sequences. Inf. Sci. 2016, 369, 548–563. [Google Scholar] [CrossRef]
- Tom, V.T.; Peli, T.; Leung, M.; Bondaryk, J.E. Morphology-based algorithm for point target detection in infrared backgrounds. In Signal and Data Processing of Small Targets; International Society for Optics and Photonics: Bellingham, WA, USA, 1993. [Google Scholar]
- Venkateswarlu, R. Max-mean and max-median filters for detection of small targets. In Signal and Data Processing of Small Targets; International Society for Optics and Photonics: Bellingham, WA, USA, 1999; Volume 3809, pp. 74–83. [Google Scholar]
- Wang, G.D.; Chen, C.Y.; Shen, X.B. Facet-based infrared small target detection method. Electron. Lett. 2005, 41, 1244–1246. [Google Scholar] [CrossRef]
- Qi, S.; Xu, G.; Mou, Z.; Huang, D.; Zheng, X. A fast-saliency method for real-time infrared small target detection. Infrared Phys. Technol. 2016, 77, 440–450. [Google Scholar] [CrossRef]
- Borji, A.; Itti, L. State-of-the-Art in Visual Attention Modeling. IEEE Trans. Pattern Anal. Mach. Intell. 2013, 35, 185–207. [Google Scholar] [CrossRef] [PubMed]
- Chen, C.P.; Li, H.; Wei, Y.; Xia, T.; Tang, Y.Y. A Local Contrast Method for Small Infrared Target Detection. IEEE Trans. Geosci. Remote Sens. 2014, 52, 574–581. [Google Scholar] [CrossRef]
- Han, J.; Ma, Y.; Zhou, B.; Fan, F.; Liang, K.; Fang, Y. A Robust Infrared Small Target Detection Algorithm Based on Human Visual System. IEEE Geosci. Remote Sens. Lett. 2014, 11, 2168–2172. [Google Scholar]
- Deng, H.; Sun, X.; Liu, M.; Ye, C.; Zhou, X. Small Infrared Target Detection Based on Weighted Local Difference Measure. IEEE Trans. Geosci. Remote Sens. 2016, 54, 4204–4214. [Google Scholar] [CrossRef]
- Wei, Y.; You, X.; Li, H. Multiscale patch-based contrast measure for small infrared target detection. Pattern Recognit. 2016, 58, 216–226. [Google Scholar] [CrossRef]
- Bai, X.; Bi, Y. Derivative Entropy-Based Contrast Measure for Infrared Small-Target Detection. IEEE Trans. Geosci. Remote Sens. 2018, 99, 1–15. [Google Scholar] [CrossRef]
- Shi, Y.; Wei, Y.; Yao, H.; Pan, D.; Xiao, G. High-Boost-Based Multiscale Local Contrast Measure for Infrared Small Target Detection. IEEE Geosci. Remote Sens. Lett. 2018, 15, 1–5. [Google Scholar] [CrossRef]
- Gao, C.; Meng, D.; Yang, Y.; Wang, Y.; Zhou, X.; Hauptmann, A.G. Infrared Patch-Image Model for Small Target Detection in a Single Image. IEEE Trans. Image Process. 2013, 22, 4996–5009. [Google Scholar] [CrossRef] [PubMed]
- He, Y.J.; Li, M.; Zhang, J.L.; An, Q. Small infrared target detection based on low-rank and sparse representation. Infrared Phys. Technol. 2015, 68, 98–109. [Google Scholar] [CrossRef]
- Wang, C.; Qin, S. Adaptive detection method of infrared small target based on target-background separation via robust principal component analysis. Infrared Phys. Technol. 2015, 69, 123–135. [Google Scholar] [CrossRef]
- Dai, Y.; Wu, Y.; Song, Y. Infrared small target and background separation via column-wise weighted robust principal component analysis. Infrared Phys. Technol. 2016, 77, 421–430. [Google Scholar] [CrossRef]
- Takeda, H.; Farsiu, S.; Milanfar, P. Kernel Regression for Image Processing and Reconstruction. IEEE Trans. Image Process. 2007, 16, 349–366. [Google Scholar] [CrossRef] [PubMed]
- Dai, Y.; Wu, Y. Reweighted Infrared Patch-Tensor Model with Both Nonlocal and Local Priors for Single-Frame Small Target Detection. IEEE J. Sel. Top. Appl. Earth Observ. Remote Sens. 2017, 10, 3752–3767. [Google Scholar] [CrossRef]
- Goldfarb, D.; Qin, Z. Robust Low-rank Tensor Recovery: Models and Algorithms. Siam J. Matrix Anal. Appl. 2013, 35, 225–253. [Google Scholar] [CrossRef]
- Wu, Z.; Wang, Q.; Jin, J.; Shen, Y. Structure tensor total variation-regularized weighted nuclear norm minimization for hyperspectral image mixed denoising. Signal Process. 2017, 131, 202–219. [Google Scholar] [CrossRef]
- Dai, Y.; Wu, Y.; Song, Y.; Guo, J. Non-negative infrared patch-image model: robust target-background separation via partial sum minimization of singular values. Infrared Phys. Tech. 2017, 81, 182–194. [Google Scholar] [CrossRef]
- Wang, X.; Peng, Z.; Kong, D.; Zhang, P.; He, Y. Infrared dim target detection based on total variation regularization and principal component pursuit. Image Vis. Comput. 2017, 63, 1–9. [Google Scholar] [CrossRef]
- Kong, D.; Peng, Z.; Fan, H.; He, Y. Seismic random noise attenuation using directional total variation in shearlet domain. J. Seismic Explor. 2016, 25, 321–338. [Google Scholar]
- Kong, D.; Peng, Z. Seismic random noise attenuation using shearlet and total generalized variation. J. Geophys. Eng. 2015, 12, 1024–1035. [Google Scholar] [CrossRef]
- Zhang, L.; Peng, L.; Zhang, T.; Cao, S.; Peng, Z. Infrared small target detection via non-convex rank approximation minimization joint l2,1 norm. Remote Sens. 2018, 10, 1821. [Google Scholar] [CrossRef]
- Liu, X.; Chen, Y.; Peng, Z.; Wu, J.; Wang, Z. Infrared image super-resolution reconstruction based on quaternion fractional order total variation with Lp quasinorm. Appl. Sci. 2018, 8, 1864. [Google Scholar] [CrossRef]
- Chartrand, R. Exact Reconstruction of Sparse Signals via Nonconvex Minimization. IEEE Signal Process. Lett. 2007, 14, 707–710. [Google Scholar] [CrossRef]
- Chartrand, R.; Staneva, V. Restricted isometry properties and nonconvex compressive sensing. Inverse Probl. 2010, 24, 657–682. [Google Scholar]
- Chartrand, R.; Yin, W.T. Iteratively reweighted algorithms for compressive sensing. In Proceedings of the 2008 IEEE International Conference on Acoustics, Speech and Signal Processing, Las Vegas, NV, USA, 31 March–4 April 2008. [Google Scholar]
- Elad, M. Sparse and Redundant Representations; Springer: New York, NY, USA, 2010; pp. 8–12. [Google Scholar]
- Chen, X.; Xu, F.; Ye, Y. Lower bound theory of nonzero entries in solutions of l2-lp minimization. SIAM J. Sci. Comput. 2010, 32, 2832–2852. [Google Scholar] [CrossRef]
- Marjanovic, G.; Solo, V. On lq Optimization and Matrix Completion. IEEE Trans. Signal Process. 2012, 60, 5714–5724. [Google Scholar] [CrossRef]
- Kwak, N. Principal Component Analysis by Lp-Norm Maximization. IEEE Trans. Cybern. 2014, 44, 594–609. [Google Scholar] [CrossRef] [PubMed]
- Nie, F.; Wang, H.; Huang, H.; Ding, C. Joint Schatten p-norm and lp-norm robust matrix completion for missing value recovery. Knowl. Inf. Syst. 2015, 42, 525–544. [Google Scholar] [CrossRef]
- Xie, Y.; Gu, S.; Liu, Y.; Zuo, W.; Zhang, W.; Zhang, L. Weighted Schatten p-Norm Minimization for Image Denoising and Background Subtraction. IEEE Trans. Image Process. 2015, 25, 4842–4857. [Google Scholar] [CrossRef]
- Lin, Z.; Chen, M.; Ma, Y. The Augmented Lagrange Multiplier Method for Exact Recovery of Corrupted Low-Rank Matrices. arXiv, 2010; arXiv:1009.5055. [Google Scholar]
- Boyd, S.; Parikh, N.; Chu, E.; Peleato, B.; Eckstein, J. Distributed optimization and statistical learning via the alternating direction method of multipliers. Found. Trends Mach. Learn. 2011, 3, 1–122. [Google Scholar] [CrossRef]
- Cai, J.F.; Candès, E.J.; Shen, Z. A Singular Value Thresholding Algorithm for Matrix Completion. Siam J. Opt. 2008, 20, 1956–1982. [Google Scholar] [CrossRef]
- Zhang, L.; Peng, Z. Infrared Small Target Detection Based on Partial Sum of the Tensor Nuclear Norm. Remote Sens. 2019, 11, 382. [Google Scholar] [CrossRef]



















| Algorithm Name | Abbreviation | Parameter Setting |
|---|---|---|
| Tophat Method | Tophat | Structure shape: disk Structure size: |
| Max Median Method | MaxMedian | Support size: |
| Local Contrast Method | LCM | Window radius: 1,2,3,4 |
| Multiscale Patch-based Contrast Measure | MPCM | Window radius: 1,2,3,4 |
| Infrared Patch Image model | IPI | Patch size: Slide step: 10, L: 1 Lambda: |
| Reweighted Infrared Patch Tensor model | RIPT | Patch size: Slide step: 10, L: 1 Lambda: h: 10, : 0.01 |
| Non-Convex Rank Approximation Minimization | NRAM | Patch size: Slide step: 10, L: 1 Lambda: |
| Non-Convex Optimization with Lp-Norm Constraint | NOLC | Patch size: Slide step: 10 Lambda: L: 1, p: 0.5 |
| Sequence | Resolution | Image Description |
|---|---|---|
| Seq1 | The target is a long strip, the target is relatively pure, but there is a lot of horizontal cloud interference above the image. | |
| Seq2 | The target is close to a circle with noise interference around it, and there are a lot of irregular clouds at the edges of the image. | |
| Seq3 | The target is relatively bright, and it shuttles through the clouds. There are a lot of structural disturbances around it. At the same time, the target changes greatly in the field of view, and the background changes quickly. | |
| Seq4 | The target occupies a small number of pixels, and there is vertical clutter interference around the target, there is cluttered grass under the image, and the brightness around the target is uneven. |
| Seq1 | Seq2 | Seq3 | Seq4 | |
|---|---|---|---|---|
| Tophat | 0.8591 | 0.9384 | 0.8814 | 0.9974 |
| MaxMedian | 0.0688 | 0.7698 | 0.9679 | 1.0000 |
| LCM | 0.9828 | 0.9369 | 0.4835 | 0.7855 |
| MPCM | 0.9731 | 0.9712 | 0.9494 | 0.9996 |
| IPI | 0.8900 | 0.9489 | 0.9721 | 1.0000 |
| RIPT | 0.7256 | 0.8781 | 0.9959 | 1.0000 |
| NRAM | 0.8769 | 0.9535 | 1.0000 | 1.0000 |
| NOLC | 0.9866 | 0.9657 | 0.9996 | 1.0000 |
| Seq1 | Seq2 | Seq3 | Seq4 | |||||
|---|---|---|---|---|---|---|---|---|
| Evaluation Indicators | SCR Gain | BSF | SCR Gain | BSF | SCR Gain | BSF | SCR Gain | BSF |
| Tophat | 10.78 | 5.196 | 3.936 | 2.764 | 11.68 | 14.62 | 2.451 | 1.864 |
| MaxMedian | 0.850 | 3.237 | 3.975 | 2.092 | 4.882 | 12.18 | 3.638 | 2.643 |
| LCM | 3.047 | 1.575 | 2.742 | 1.772 | 6.007 | 6.428 | 7.524 | 5.806 |
| MPCM | 102.2 | 111.3 | 193.8 | 138.9 | Inf | Inf | 129.1 | 116.9 |
| IPI | 121.3 | 53.50 | 48.06 | 25.19 | 218.5 | 190.6 | 22.10 | 12.80 |
| RIPT | 122.7 | 68.44 | Inf | Inf | Inf | Inf | 12.97 | 9.929 |
| NRAM | Inf | Inf | Inf | Inf | Inf | Inf | Inf | Inf |
| NOLC | Inf | Inf | Inf | Inf | Inf | Inf | Inf | Inf |
© 2019 by the authors. Licensee MDPI, Basel, Switzerland. This article is an open access article distributed under the terms and conditions of the Creative Commons Attribution (CC BY) license (http://creativecommons.org/licenses/by/4.0/).
Share and Cite
Zhang, T.; Wu, H.; Liu, Y.; Peng, L.; Yang, C.; Peng, Z. Infrared Small Target Detection Based on Non-Convex Optimization with Lp-Norm Constraint. Remote Sens. 2019, 11, 559. https://doi.org/10.3390/rs11050559
Zhang T, Wu H, Liu Y, Peng L, Yang C, Peng Z. Infrared Small Target Detection Based on Non-Convex Optimization with Lp-Norm Constraint. Remote Sensing. 2019; 11(5):559. https://doi.org/10.3390/rs11050559
Chicago/Turabian StyleZhang, Tianfang, Hao Wu, Yuhan Liu, Lingbing Peng, Chunping Yang, and Zhenming Peng. 2019. "Infrared Small Target Detection Based on Non-Convex Optimization with Lp-Norm Constraint" Remote Sensing 11, no. 5: 559. https://doi.org/10.3390/rs11050559
APA StyleZhang, T., Wu, H., Liu, Y., Peng, L., Yang, C., & Peng, Z. (2019). Infrared Small Target Detection Based on Non-Convex Optimization with Lp-Norm Constraint. Remote Sensing, 11(5), 559. https://doi.org/10.3390/rs11050559

