An End-to-End Local-Global-Fusion Feature Extraction Network for Remote Sensing Image Scene Classification
Abstract
1. Introduction
2. Related Work
2.1. Remote Sensing Image Scene Classification
2.2. Discriminative Feature Representation for Remote Sensing
3. The Proposed Approach
3.1. Global Feature Extraction from Channel Dimension
3.2. Local Feature Extraction from Spatial Dimension
3.3. Further Analysis to Local Feature Extraction Module
4. Experiments and Analysis
4.1. Datasets Description
4.2. Experimental Setup
4.3. Experimental Results and Comparisons
4.3.1. Experiment 1: UC Merced Land-Use (UCM) Dataset
4.3.2. Experiment 2: Aerial Image Dataset (AID)
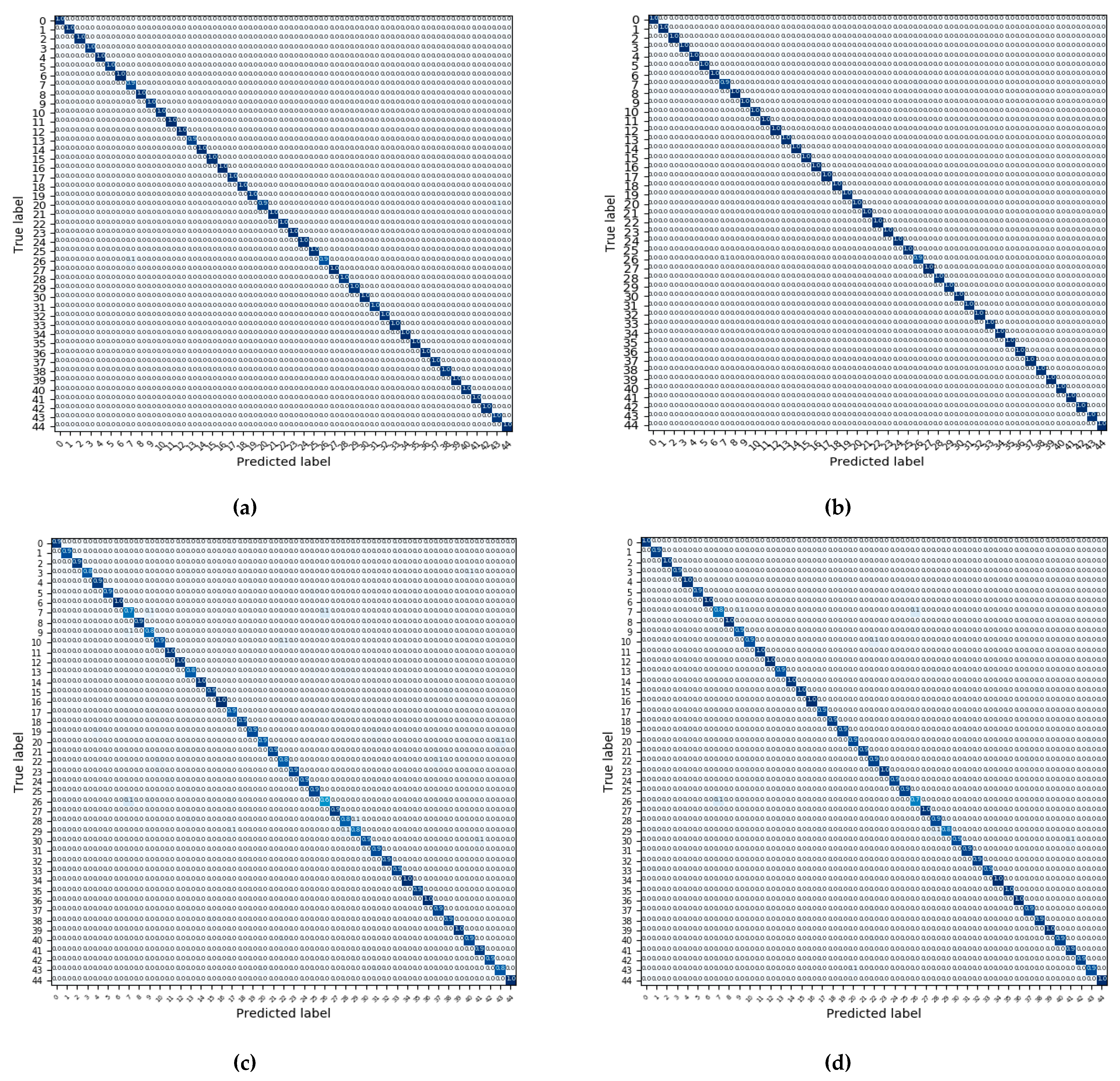
4.3.3. Experiment 3: NWPU-RESISC45 Dataset (NWPU45)
4.3.4. Experiment 4: OPTIMAL-31
5. Discussion
5.1. Ablation Studies of our Proposed Local-Global-Fusion Feature Extractor (LGFFE)
5.2. The Limits of the Proposed LGFFE
6. Conclusions
Author Contributions
Funding
Acknowledgments
Conflicts of Interest
References
- Cheng, G.; Han, J.; Guo, L.; Liu, Z.; Bu, S.; Ren, J. Effective and Efficient Midlevel Visual Elements-Oriented Land-Use Classification Using VHR Remote Sensing Images. IEEE Trans. Geosci. Remote Sens. 2015, 53, 4238–4249. [Google Scholar] [CrossRef]
- Gómez-Chova, L.; Tuia, D.; Moser, G.; Camps-Valls, G. Multimodal Classification of Remote Sensing Images: A Review and Future Directions. Proc. IEEE. 2015, 103, 1560–1584. [Google Scholar] [CrossRef]
- Cheng, G.; Han, J.; Zhou, P.; Guo, L. Multi-class geospatial object detection and geographic image classification based on collection of part detectors. ISPRS J. Photogramm. Remote Sens. 2014, 98, 119–132. [Google Scholar] [CrossRef]
- Krizhevsky, A.; Sutskever, I.; Hinton, G.E. ImageNet Classification with Deep Convolutional Neural Networks. Adv. Neural Inf. Process. Syst. 2012, 141, 1097–1105. [Google Scholar] [CrossRef]
- Zhang, L.; Zhang, L.; Du, B. Deep Learning for Remote Sensing Data: A Technical Tutorial on the State of the Art. IEEE Geosci. Remote Sens. Mag. 2016, 4, 22–40. [Google Scholar] [CrossRef]
- Cheng, G.; Ma, C.; Zhou, P.; Yao, X.; Han, J. Scene classification of high resolution remote sensing images using convolutional neural networks. In Proceedings of the International Geoscience and Remote Sensing Symposium, Beijing, China, 10–15 July 2016; pp. 767–770. [Google Scholar]
- He, K.; Zhang, X.; Ren, S.; Sun, J. Deep Residual Learning for Image Recognition. In Proceedings of the 2016 IEEE Conference on Computer Vision and Pattern Recognition (CVPR), Las Vegas, NV, USA, 27–30 June 2016; pp. 770–778. [Google Scholar]
- Simonyan, K.; Zisserman, A. Very Deep Convolutional Networks for Large-Scale Image Recognition. In Proceedings of the 2015 International Conference on Learning Representations (ICLR), San Diego, CA, USA, 7–9 May 2015. [Google Scholar]
- Huang, G.; Liu, Z.; Van Der Maaten, L.; Weinberger, K.Q. Densely Connected Convolutional Networks. In Proceedings of the 2017 IEEE Conference on Computer Vision and Pattern Recognition (CVPR), Honolulu, HI, USA, 21–26 July 2017; pp. 2261–2269. [Google Scholar]
- Hu, F.; Xia, G.; Yang, W.; Zhang, L.J. Recent Advances and Opportunities in Scene Classification of Aerial Images with Deep Models. In Proceedings of the 2018 IEEE International Geoscience and Remote Sensing Symposium (IGARSS 2018), Valencia, Spain; 22–27 July 2018; pp. 4371–4374. [Google Scholar]
- Cheng, G.; Yang, C.; Yao, X.; Guo, L.; Han, J. When Deep Learning Meets Metric Learning: Remote Sensing Image Scene Classification via Learning Discriminative CNNs. IEEE Trans. Geosci. Remote Sens. 2018, 56, 2811–2821. [Google Scholar] [CrossRef]
- Liu, Y.; Zhong, Y.; Qin, Q. Scene Classification Based on Multiscale Convolutional Neural Network. IEEE Trans. Geosci. Remote Sens. 2018, 56, 7109–7121. [Google Scholar] [CrossRef]
- Marcos, D.; Volpi, M.; Kellenberger, B.; Tuia, D. Land cover mapping at very high resolution with rotation equivariant CNNs: Towards small yet accurate models. ISPRS J. Photogramm. Remote Sens. 2018, 145, 96–107. [Google Scholar] [CrossRef]
- Cheng, G.; Zhou, P.; Han, J. RIFD-CNN: Rotation-Invariant and Fisher Discriminative Convolutional Neural Networks for Object Detection. In Proceedings of the Computer Vision and Pattern Recognition, Xi’an, China, 26 June–1 July 2016; pp. 2884–2893. [Google Scholar]
- Li, P.; Ren, P.; Zhang, X.; Wang, Q.; Zhu, X.; Wang, L. Region-Wise Deep Feature Representation for Remote Sensing Images. Remote Sens. 2018, 10, 871. [Google Scholar] [CrossRef]
- Yuan, Y.; Fang, J.; Lu, X.; Feng, Y. Remote Sensing Image Scene Classification Using Rearranged Local Features. IEEE Trans. Geosci. Remote Sens. 2019, 57, 1779–1792. [Google Scholar] [CrossRef]
- Wang, Q.; Liu, S.; Chanussot, J.; Li, X. Scene Classification with Recurrent Attention of VHR Remote Sensing Images. IEEE Trans. Geosci. Remote Sens. 2019, 57, 1155–1167. [Google Scholar] [CrossRef]
- Swain, M.J.; Ballard, D.H. Color indexing. Int. J. Comput. Vis. 1991, 7, 11–32. [Google Scholar] [CrossRef]
- Ojala, T.; Pietikainen, M.; Maenpaa, T.J.; Intelligence, M. Multiresolution gray-scale and rotation invariant texture classification with local binary patterns. IEEE Trans. Pattern Anal. Mach. Intell. 2002, 24, 971–987. [Google Scholar] [CrossRef]
- Jain, A.K.; Ratha, N.K.; Lakshmanan, S. Object detection using gabor filters. Pattern Recognit. 1997, 30, 295–309. [Google Scholar] [CrossRef]
- Oliva, A.; Torralba, A. Modeling the Shape of the Scene: A Holistic Representation of the Spatial Envelope. Int. J. Comput. Vis. 2001, 42, 145–175. [Google Scholar] [CrossRef]
- Lowe, D.G. Distinctive Image Features from Scale-Invariant Keypoints. Int. J. Comput. Vis. 2004, 60, 91–110. [Google Scholar] [CrossRef]
- Bay, H.; Tuytelaars, T.; Van Gool, L.J. SURF: Speeded up robust features. Int. J. Comput. Vis. 2006, 3951, 404–417. [Google Scholar]
- Yang, Y.; Newsam, S. Bag-of-visual-words and spatial extensions for land-use classification. In Proceedings of the 18th SIGSPATIAL International Conference on Advances in Geographic Information Systems, San Jose, CA, USA, 2–5 November 2010; pp. 270–279. [Google Scholar]
- Blei, D.M.; Ng, A.Y.; Jordan, M. Latent dirichlet allocation. J. Mach. Learn. Res. 2003, 3, 993–1022. [Google Scholar]
- Zhong, Y.; Cui, M.; Zhu, Q.; Zhang, L. Scene classification based on multifeature probabilistic latent semantic analysis for high spatial resolution remote sensing images. IEEE Trans. Geosci. Remote Sens. 2015, 9, 095064. [Google Scholar] [CrossRef]
- Bosch, A.; Zisserman, A.; Muñoz, X. Scene Classification Via pLSA; Springer: Berlin/Heidelberg, Germany, 2006; pp. 517–530. [Google Scholar]
- Penatti, O.A.B.; Nogueira, K.; Santos, J.A.D. Do deep features generalize from everyday objects to remote sensing and aerial scenes domains? In Proceedings of the 2015 IEEE Conference on Computer Vision and Pattern Recognition Workshops (CVPRW), Boston, MA, USA, 7–12 June 2015; pp. 44–51. [Google Scholar]
- Castelluccio, M.; Poggi, G.; Sansone, C. Verdoliva. Land Use Classification in Remote Sensing Images by Convolutional Neural Networks. arXiv 2015, arXiv:1508.00092. [Google Scholar]
- Nogueira, K.; Penatti, O.A.B.; dos Santos, J.A. Towards better exploiting convolutional neural networks for remote sensing scene classification. Pattern Recognit. 2017, 61, 539–556. [Google Scholar] [CrossRef]
- Zou, Q.; Ni, L.; Zhang, T.; Wang, Q. Deep Learning Based Feature Selection for Remote Sensing Scene Classification. IEEE Geosci. Remote Sens. Lett. 2015, 12, 2321–2325. [Google Scholar] [CrossRef]
- Zhang, F.; Du, B.; Zhang, L. Scene Classification via a Gradient Boosting Random Convolutional Network Framework. IEEE Trans. Geosci. Remote Sens. 2016, 54, 1793–1802. [Google Scholar] [CrossRef]
- Zhu, Q.; Zhong, Y.; Liu, Y.; Zhang, L.; Li, D. A Deep-Local-Global Feature Fusion Framework for High Spatial Resolution Imagery Scene Classification. Remote Sens. 2018, 10, 568. [Google Scholar]
- Lu, X.; Wang, B.; Zheng, X.; Li, X. Exploring Models and Data for Remote Sensing Image Caption Generation. IEEE Trans. Geosci. Remote Sens. 2018, 56, 2183–2195. [Google Scholar] [CrossRef]
- Yang, Z.; He, X.; Gao, J.; Deng, L.; Smola, A. Stacked Attention Networks for Image Question Answering. In Proceedings of the 2016 IEEE Conference on Computer Vision and Pattern Recognition (CVPR), as Vegas, NV, USA, 27–30 June 2016; pp. 21–29. [Google Scholar]
- Gregor, K.; Danihelka, I.; Graves, A.; Rezende, D.J.; Wierstra, D.J. DRAW: A Recurrent Neural Network for Image Generation. In Proceedings of the 32nd International Conference on Machine Learning (ICML), Lille, France, 6–11 July 2015; pp. 1462–1471. [Google Scholar]
- Rush, A.M.; Chopra, S.; Weston, J. A Neural Attention Model for Abstractive Sentence Summarization. arXiv 2015, arXiv:1509.00685. [Google Scholar]
- Hermann, K.M.; Kočiský, T.; Grefenstette, E.; Espeholt, L.; Kay, W.; Suleyman, M.; Blunsom, P. Teaching machines to read and comprehend. In Proceedings of the 28th International Conference on Neural Information Processing Systems-Volume 1, Montreal, QC, Canada, 7–12 December 2015; pp. 1693–1701. [Google Scholar]
- Xiong, W.; Lv, Y.; Cui, Y.; Zhang, X.; Gu, X. A Discriminative Feature Learning Approach for Remote Sensing Image Retrieval. Remote Sens. 2019, 11, 281. [Google Scholar] [CrossRef]
- Chaib, S.; Liu, H.; Gu, Y.; Yao, H. Deep Feature Fusion for VHR Remote Sensing Scene Classification. IEEE Trans. Geosci. Remote Sens. 2017, 55, 4775–4784. [Google Scholar] [CrossRef]
- Xia, G.; Tong, X.; Hu, F.; Zhong, Y.; Datcu, M.; Zhang, L. Exploiting Deep Features for Remote Sensing Image Retrieval: A Systematic Investigation. arXiv 2017, arXiv:1707.07321. [Google Scholar]
- Lin, Y.; Pang, Z.; Wang, D.; Zhuang, Y.; Recognition, P. Task-driven Visual Saliency and Attention-based Visual Question Answering. arxiv 2017, arXiv:1702.06700. [Google Scholar]
- Cho, K.; Van Merrienboer, B.; Gulcehre, C.; Bahdanau, D.; Bougares, F.; Schwenk, H.; Bengio, Y.J. Learning Phrase Representations using RNN Encoder–Decoder for Statistical Machine Translation. In Proceedings of the 2014 IEEE Conference on Computation and Language 2014, Doha, Qatar, 25–29 October 2014; pp. 1724–1734. [Google Scholar]
- Chung, J.; Gulcehre, C.; Cho, K.; Bengio, Y.; Computing, E. Empirical Evaluation of Gated Recurrent Neural Networks on Sequence Modeling. arXiv 2014, arXiv:1412.3555. [Google Scholar]
- Jozefowicz, R.; Zaremba, W.; Sutskever, I. An empirical exploration of recurrent network architectures. In Proceedings of the 32nd International Conference on International Conference on Machine Learning-Volume 37, Lille, France, 6–11 July 2015; pp. 2342–2350. [Google Scholar]
- Xia, G.; Hu, J.; Hu, F.; Shi, B.; Bai, X.; Zhong, Y.; Zhang, L.; Lu, X. AID: A Benchmark Data Set for Performance Evaluation of Aerial Scene Classification. IEEE Trans. Geosci. Remote Sens. 2017, 55, 3965–3981. [Google Scholar] [CrossRef]
- Cheng, G.; Han, J.; Lu, X. Remote Sensing Image Scene Classification: Benchmark and State of the Art. Proc. IEEE 2017, 105, 1865–1883. [Google Scholar] [CrossRef]













| Methods | Training Radio | |
|---|---|---|
| 20% | 50% | |
| VGG16_LGFFE | 89.36 | 94.06 |
| VGG19_LGFFE | 89.61 | 93.94 |
| ResNet_LGFFE | 90.83 | 94.46 |
| Methods | Overall Accuracy (%) |
|---|---|
| VGG16 [46] | 95.211.2 |
| GoogLeNet [46] | 94.310.89 |
| CNN-Region [15] | 95.85 |
| ARCNet [17] | 99.120.4 |
| LGFF [33] | 99.760.06 |
| RL_feature [16] | 94.971.16 |
| Fusion-by-add [40] | 97.421.79 |
| MCNN [12] | 96.660.9 |
| Finetune_ResNet50 | 94.550.96 |
| ResNet_LGFFE (ours) | 98.620.88 |
| Methods | Training radio | |
|---|---|---|
| 20% | 50% | |
| VGG16 [46] | 86.590.29 | 89.640.30 |
| CaffeNet [46] | 86.860.47 | 89.530.31 |
| GoogLeNet [46] | 83.440.40 | 86.390.55 |
| Fusion-by-add [40] | 91.870.36 | |
| MCNN [12] | 91.800.22 | |
| ARCNet [17] | 88.750.40 | 93.100.55 |
| Finetune_ResNet50 | 86.480.49 | 89.220.34 |
| ResNet_LGFFE (ours) | 90.830.55 | 94.460.48 |
| Methods | Training Radio | |
|---|---|---|
| 10% | 20% | |
| AlexNet [47] | 81.220.19 | 85.160.18 |
| VGG_16 [47] | 87.150.45 | 90.360.18 |
| GoogleNet [47] | 86.020.18 | 86.020.18 |
| D_CNN [11] | 89.220.5 | 91.890.22 |
| LGFF [33] | 93.610.1 | 96.370.05 |
| Finetune_ResNet50 | 89.880.26 | 92.350.19 |
| ResNet_LGFFE (ours) | 97.560.08 | 98.790.04 |
| Methods | Overall Accuracy (%) |
|---|---|
| VGG_VD_16 [46] | 89.120.35 |
| Finetune_GoogLeNet [17] | 82.570.12 |
| Finetune_VGG16 [17] | 87.450.45 |
| Finetune_Alexnet [17] | 81.220.19 |
| ARCNet_VGG16 [17] | 92.700.35 |
| ARCNet_Resnet34 [17] | 91.280.45 |
| Finetune_ResNet50 | 90.460.38 |
| VGG16_LGFFE (ours) | 92.910.26 |
| ResNet_LGFFE (ours) | 94.550.36 |
| Methods | UCM | AID (50%) | NWPU45 (20%) | OPTIMAL-31 |
|---|---|---|---|---|
| ResNet (baseline) | 94.550.96 | 89.220.34 | 92.350.19 | 90.460.38 |
| ResNet_LGFFE _Conc (ours) | 98.620.88 | 94.460.48 | 98.790.04 | 94.550.36 |
| ResNet_LGFFE _Add | 97.230.86 | 93.780.51 | 97.860.09 | 94.170.39 |
| Methods | UCM | AID (50%) | NWPU45 (20%) | OPTIMAL-31 |
|---|---|---|---|---|
| ResNet (baseline) | 9 s | 29 s | 35 s | 8 s |
| ResNet_LGFFE(ours) | 13 s | 39 s | 49 s | 12 s |
© 2019 by the authors. Licensee MDPI, Basel, Switzerland. This article is an open access article distributed under the terms and conditions of the Creative Commons Attribution (CC BY) license (http://creativecommons.org/licenses/by/4.0/).
Share and Cite
Lv, Y.; Zhang, X.; Xiong, W.; Cui, Y.; Cai, M. An End-to-End Local-Global-Fusion Feature Extraction Network for Remote Sensing Image Scene Classification. Remote Sens. 2019, 11, 3006. https://doi.org/10.3390/rs11243006
Lv Y, Zhang X, Xiong W, Cui Y, Cai M. An End-to-End Local-Global-Fusion Feature Extraction Network for Remote Sensing Image Scene Classification. Remote Sensing. 2019; 11(24):3006. https://doi.org/10.3390/rs11243006
Chicago/Turabian StyleLv, Yafei, Xiaohan Zhang, Wei Xiong, Yaqi Cui, and Mi Cai. 2019. "An End-to-End Local-Global-Fusion Feature Extraction Network for Remote Sensing Image Scene Classification" Remote Sensing 11, no. 24: 3006. https://doi.org/10.3390/rs11243006
APA StyleLv, Y., Zhang, X., Xiong, W., Cui, Y., & Cai, M. (2019). An End-to-End Local-Global-Fusion Feature Extraction Network for Remote Sensing Image Scene Classification. Remote Sensing, 11(24), 3006. https://doi.org/10.3390/rs11243006

