Combination of an Automated 3D Field Phenotyping Workflow and Predictive Modelling for High-Throughput and Non-Invasive Phenotyping of Grape Bunches
Abstract
1. Introduction
2. Materials and Methods
2.1. Plant Material and Sampling
2.2. Field and Lab Scans
2.3. Statistical Analysis
2.3.1. Correlation between 360°-Lab vs. Field Scans to Investigate Important Grape Bunch traits
2.3.2. Data Setting and Preprocessing
2.3.3. Comparison of Different Regression Models
2.4. QTL-Analysis
3. Results
3.1. Relationship between Lab and Field Scans
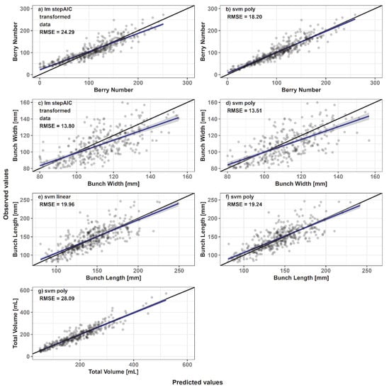
3.2. Regression Modelling and Comparison of Performance
3.3. Residuals over Phenotypic Groups
3.4. Variable Importance
3.5. Comparison of Lab, Modelled, and Field Data for QTL Application
4. Discussion
4.1. Relationship and Model Comparison Framework
4.2. Application for QTL-Analysis
4.3. Future Prospects
5. Conclusions
Supplementary Materials
Author Contributions
Funding
Acknowledgments
Conflicts of Interest
References
- Töpfer, R.; Hausmann, L.; Harst, M.; Maul, E.; Zyprian, E. New Horizons for Grapevine Breeding. In Methods Temperate Fruit Breeding; Fruit, Vegetable and Cereal Science and Biotechnology; Global Science Books, Ltd.: Ikenobe, Japan, 2011; ISBN 1752-3419. [Google Scholar]
- Vail, M.; Marois, J. Grape cluster architecture and the susceptibility of berries to Botrytis cinerea. Phytopathology 1991, 81, 188–191. [Google Scholar] [CrossRef]
- Vail, M.E.; Wolpert, J.A.; Gubler, W.D.; Rademacher, M.R. Effect of Cluster Tightness on Botrytis Bunch Rot in Six Chardonnay Clones. Plant Dis. 1998, 82, 107–109. [Google Scholar] [CrossRef]
- Hed, B.; Ngugi, H.; TRavis, J. Relationship between cluster compactness and bunch rot in Vignoles grapes. Am. Phytopath Soc. 2009, 93, 1195–1201. [Google Scholar] [CrossRef]
- Molitor, D.; Behr, M.; Hoffman, L.; Evers, D. Impact of grape cluster division on cluster morphology and bunch rot epidemic. Am. J. Enol. Vitic. 2012, 63, 508–514. [Google Scholar] [CrossRef]
- Gabler, F.M.; Smilanick, J.L.; Mansour, M.; Ramming, D.W.; Mackey, B.E. Correlations of Morphological, Anatomical, and Chemical Features of Grape Berries with Resistance to Botrytis cinerea. Phytopathology 2003, 93, 1263–1273. [Google Scholar] [CrossRef]
- Herzog, K.; Wind, R.; Töpfer, R. Impedance of the grape berry cuticle as a novel phenotypic trait to estimate resistance to Botrytis cinerea. Sensors 2015, 15, 12498–12512. [Google Scholar] [CrossRef]
- Rist, F.; Herzog, K.; Mack, J.; Richter, R.; Steinhage, V.; Töpfer, R. High-Precision Phenotyping of Grape Bunch Architecture Using Fast 3D Sensor and Automation. Sensors 2018, 18, 763. [Google Scholar] [CrossRef]
- Tello, J.; Ibáñez, J. What do we know about grapevine bunch compactness? A state-of-the-art review. Aust. J. Grape Wine Res. 2018, 24, 6–23. [Google Scholar] [CrossRef]
- Organization Internationale de la Vigne et du Vin (OIV). OIV Descriptor List for Grape Varieties and Vitis Species; OIV (Office International de la Vigne et du Vin): Paris, France, 2007. [Google Scholar]
- Tello, J.; Ibáñez, J. Evaluation of indexes for the quantitative and objective estimation of grapevine bunch compactness. Vitis J. Grapevine Res. 2014, 53, 9–16. [Google Scholar]
- Nuske, S.; Achar, S.; Bates, T.; Narasimhan, S.; Singh, S. Yield Estimation in Vineyards by Visual Grape Detection. In Proceedings of the IEEE/RSJ International Conference on Intelligent Robots and Systems, San Francisco, CA, USA, 25–30 September 2011; pp. 2352–2358. [Google Scholar]
- Furbank, R.; Tester, M. Phenomics–technologies to relieve the phenotyping bottleneck. Trends Plant Sci. 2011, 16, 635–644. [Google Scholar] [CrossRef]
- Kicherer, A.; Roscher, R.; Herzog, K.; Šimon, S.; Förstner, W.; Töpfer, R. BAT (Berry Analysis Tool): A high-throughput image interpretation tool to acquire the number, diameter, and volume of grapevine berries. VITIS J. Grapevine Res. 2015, 52, 129–135. [Google Scholar]
- Diago, M.P.; Tardaguila, J.; Aleixos, N.; Millan, B.; Prats-Montalban, J.M.; Cubero, S.; Blasco, J. Assessment of cluster yield components by image analysis. J. Sci. Food Agric. 2015, 95, 1274–1282. [Google Scholar] [CrossRef] [PubMed]
- Chen, X.; Ding, H.; Yuan, L.M.; Cai, J.R.; Chen, X.; Lin, Y. New approach of simultaneous, multi-perspective imaging for quantitative assessment of the compactness of grape bunches. Aust. J. Grape Wine Res. 2018, 24, 413–420. [Google Scholar] [CrossRef]
- Richter, R.; Gabriel, D.; Rist, F.; Töpfer, R.; Zyprian, E. Identification of co—Located QTLs and genomic regions affecting grapevine cluster architecture. Theor. Appl. Genet. 2018, 132, 1159–1177. [Google Scholar] [CrossRef]
- Ma, Y.; Soatto, S.; Košecká, J.; Sastry, S.S. An Invitation to 3-D Vision; Interdisciplinary Applied Mathematics; Springer: New York, NY, USA, 2004; Volume 26, ISBN 978-1-4419-1846-8. [Google Scholar]
- Paulus, S.; Behmann, J.; Mahlein, A.K.; Plümer, L.; Kuhlmann, H. Low-Cost 3D Systems: Suitable Tools for Plant Phenotyping. Sensors 2014, 14, 3001–3018. [Google Scholar] [CrossRef]
- Vázquez-Arellano, M.; Griepentrog, H.; Reiser, D.; Paraforos, D. 3-D Imaging Systems for Agricultural Applications—A Review. Sensors 2016, 16, 618. [Google Scholar] [CrossRef]
- Paulus, S. Measuring crops in 3D: using geometry for plant phenotyping. Plant Methods 2019, 15, 103. [Google Scholar] [CrossRef]
- Wahabzada, M.; Paulus, S.; Kersting, K.; Mahlein, A.K. Automated interpretation of 3D laserscanned point clouds for plant organ segmentation. BMC Bioinform. 2015, 16, 248. [Google Scholar] [CrossRef]
- Schöler, F.; Steinhage, V. Automated 3D reconstruction of grape cluster architecture from sensor data for efficient phenotyping. Comput. Electron. Agric. 2015, 114, 163–177. [Google Scholar] [CrossRef]
- Tello, J.; Cubero, S.; Blasco, J.; Tardaguila, J.; Aleixos, N.; Ibáñez, J. Application of 2D and 3D image technologies to characterise morphological attributes of grapevine clusters. J. Sci. Food Agric. 2016, 96, 4575–4583. [Google Scholar] [CrossRef]
- Mack, J.; Trakowski, A.; Rist, F.; Herzog, K.; Töpfer, R. Experimental Evaluation of the Performance of Local Shape Descriptors for the Classification of 3D Data in Precision Farming. J. Comput. Commun. 2017, 5, 1–12. [Google Scholar] [CrossRef][Green Version]
- Mack, J.; Lenz, C.; Teutrine, J.; Steinhage, V. High-precision 3D detection and reconstruction of grapes from laser range data for efficient phenotyping based on supervised learning. Comput. Electron. Agric. 2017, 135, 300–311. [Google Scholar] [CrossRef]
- Mack, J.; Schindler, F.; Rist, F.; Herzog, K.; Töpfer, R.; Steinhage, V. Semantic labeling and reconstruction of grape bunches from 3D range data using a new RGB-D feature descriptor. Comput. Electron. Agric. 2018, 155, 96–102. [Google Scholar] [CrossRef]
- Herrero-Huerta, M.; González-Aguilera, D.; Rodriguez-Gonzalvez, P.; Hernández-López, D. Vineyard yield estimation by automatic 3D bunch modelling in field conditions. Comput. Electron. Agric. 2015, 110, 17–26. [Google Scholar] [CrossRef]
- Rose, J.C.; Kicherer, A.; Wieland, M.; Klingbeil, L.; Töpfer, R.; Kuhlmann, H. Towards automated large-scale 3D phenotyping of vineyards under field conditions. Sensors 2016, 16, 2136. [Google Scholar] [CrossRef]
- Hacking, C.; Poona, N.; Manzan, N.; Poblete-Echeverría, C. Investigating 2-D and 3-D Proximal Remote Sensing Techniques for Vineyard Yield Estimation. Sensors 2019, 19, 3652. [Google Scholar] [CrossRef]
- Andújar, D.; Fernández-Quintanilla, C.; Dorado, J. Matching the Best Viewing Angle in Depth Cameras for Biomass Estimation Based on Poplar Seedling Geometry. Sensors 2015, 15, 12999–13011. [Google Scholar] [CrossRef]
- Yang, H.; Wang, X.; Sun, G. Three-Dimensional Morphological Measurement Method for a Fruit Tree Canopy Based on Kinect Sensor Self-Calibration. Agronomy 2019, 9, 741. [Google Scholar] [CrossRef]
- Kuhn, M.; Johnson, K. Applied Predictive Modeling; Springer: New York, NY, USA, 2013; ISBN 978-1-4614-6848-6. [Google Scholar]
- Breiman, L. Statistical modeling: The two cultures. Stat. Sci. 2001, 16, 199–215. [Google Scholar] [CrossRef]
- Coombe, B.G. Growth Stages of the Grapevine: Adoption of a system for identifying grapevine growth stages. Aust. J. Grape Wine Res. 1995, 1, 104–110. [Google Scholar] [CrossRef]
- Mosteller, F.; Tukey, J.W.; John, W. Data Analysis and Regression: A Second Course in Statistics; Addison-Wesley Pub. Co.: Boston, MA, USA, 1977; ISBN 9780201048544. [Google Scholar]
- Hastie, T.; Tibshirani, R.; Friedman, J. The Elements of Statistical Learning; Springer: New York, NY, USA, 2009; ISBN 978-0-387-84857-0. [Google Scholar]
- Burnham, K.P.; Anderson, D.R.; Burnham, K.P. Model Selection and Multimodel Inference: A Practical Information-Theoretic Approach; Springer: Berlin/Heidelberg, Germany, 2002; ISBN 9780387224565. [Google Scholar]
- Faraway, J.J. Extending the Linear Model with R: Generalized Linear, Mixed Effects and Nonparametric Regression Models; CRC Press: Boca Raton, FL, USA, 2006; ISBN 158488424X. [Google Scholar]
- Gelman, A.; Jakulin, A.; Pittau, M.G.; Su, Y.S. A weakly informative default prior distribution for logistic and other regression models. Ann. Appl. Stat. 2008, 2, 1360–1383. [Google Scholar] [CrossRef]
- Ripley, B.D.; Venables, W.N.; William, N. Modern Applied Statistics with S; Springer: Berlin/Heidelberg, Germany, 2013; ISBN 9780387217062. [Google Scholar]
- Breiman, L. Random Forests. Mach. Learn. 2001, 45, 5–32. [Google Scholar] [CrossRef]
- Kuhn, M. Futility Analysis in the Cross-Validation of Machine Learning Models. arXiv 2014, arXiv:14056974. [Google Scholar]
- Kewley, R.H.; Embrechts, M.J.; Breneman, C. Data strip mining for the virtual design of pharmaceuticals with neural networks. IEEE Trans. Neural Netw. 2000, 11, 668–679. [Google Scholar] [CrossRef]
- Cortez, P.; Embrechts, M.J. Using sensitivity analysis and visualization techniques to open black box data mining models. Inf. Sci. (N. Y.) 2013, 225, 1–17. [Google Scholar] [CrossRef]
- R Core Team. R: A Language and Environment for Statistical Computing; R Foundation for Statistical Computing: Vienna, Austria, 2018; Available online: http://www.r-project.org (accessed on 15 October 2019).
- Kuhn, M. Building predictive models in R using the caret package. J. Stat. Softw. 2008, 28, 1–26. [Google Scholar] [CrossRef]
- Wickham, H. Ggplot2: Elegant Graphics for Data Analysis; Springer: New York, NY, USA, 2009; ISBN 978-0-387-98140-6. [Google Scholar]
- Kassambara, A. ggpubr: “ggplot2” Based Publication Ready Plots. R Package Version 0.1.7. 2018. CRAN Repository. Available online: https://CRAN.R-project.org/package=ggpubr (accessed on 15 October 2019).
- Cheshire, J. Lattice: Multivariate Data Visualization with R. J. R. Stat. Soc. Ser. A Stat. Soc. 2009, 173, 275–276. [Google Scholar] [CrossRef]
- Russell, L. Emmeans: Estimated Marginal Means, Aka Least-Squares Means. R Packag. Version 1.1.2. 2018. Available online: https://CRAN.R-project.org/package=emmeans (accessed on 15 October 2019).
- Cortez, P. Data Mining with Neural Networks and Support Vector Machines Using the R/rminer Tool; Lecture Notes in Computer Science (including subseries Lecture Notes in Artificial Intelligence and Lecture Notes in Bioinformatics); Springer: Berlin/Heidelberg, Germany, 2010. [Google Scholar]
- Van Ooijen, J.W. MapQTL ® 6, Software for the Mapping of Quantita Tive Trait Loci in Experimental Populations of Diploid Species; Kyazma B.V.: Wageningen, The Netherlands, 2009. [Google Scholar]
- Zyprian, E.; Ochßner, I.; Schwander, F.; Šimon, S.; Hausmann, L.; Bonow-Rex, M.; Moreno-Sanz, P.; Grando, M.S.; Wiedemann-Merdinoglu, S.; Merdinoglu, D.; et al. Quantitative trait loci affecting pathogen resistance and ripening of grapevines. Mol. Genet. Genom. 2016, 291, 1573–1594. [Google Scholar] [CrossRef]
- Sun, G.; Wang, X. Three-Dimensional Point Cloud Reconstruction and Morphology Measurement Method for Greenhouse Plants Based on the Kinect Sensor Self-Calibration. Agronomy 2019, 9, 596. [Google Scholar] [CrossRef]
- Gredell, D.A.; Schroeder, A.R.; Belk, K.E.; Broeckling, C.D.; Heuberger, A.L.; Kim, S.Y.; King, D.A.; Shackelford, S.D.; Sharp, J.L.; Wheeler, T.L.; et al. Comparison of Machine Learning Algorithms for Predictive Modeling of Beef Attributes Using Rapid Evaporative Ionization Mass Spectrometry (REIMS) Data. Sci. Rep. 2019, 5, 5721. [Google Scholar] [CrossRef]
- Canizo, B.V.; Escudero, L.B.; Pellerano, R.G.; Wuilloud, R.G. Data mining approach based on chemical composition of grape skin for quality evaluation and traceability prediction of grapes. Comput. Electron. Agric. 2019, 162, 514–522. [Google Scholar] [CrossRef]
- Barnard, D.M.; Germino, M.J.; Pilliod, D.S.; Arkle, R.S.; Applestein, C.; Davidson, B.E.; Fisk, M.R. Cannot see the random forest for the decision trees: selecting predictive models for restoration ecology. Restor. Ecol. 2019, 27, 1053–1063. [Google Scholar] [CrossRef]
- Maimaitiyiming, M.; Sagan, V.; Sidike, P.; Kwasniewski, M.T. Dual activation function-based Extreme Learning Machine (ELM) for estimating grapevine berry yield and quality. Remote Sens. 2019, 11, 740. [Google Scholar] [CrossRef]
- Houlahan, J.E.; McKinney, S.T.; Anderson, T.M.; McGill, B.J. The priority of prediction in ecological understanding. Oikos 2017, 126, 1–7. [Google Scholar] [CrossRef]
- Anderson, R. Modern Methods for Robust Regression—Robert Andersen—Google Books; Sage: Newcastle upon Tyne, UK, 2008. [Google Scholar]
- Yao, X.J.; Panaye, A.; Doucet, J.P.; Zhang, R.S.; Chen, H.F.; Liu, M.C.; Hu, Z.D.; Fan, B.T. Comparative Study of QSAR/QSPR Correlations Using Support Vector Machines, Radial Basis Function Neural Networks, and Multiple Linear Regression. J. Chem. Inf. Comput. Sci. 2004, 44, 1257–1266. [Google Scholar] [CrossRef] [PubMed]
- Al Zoubi, O.; Wong, C.K.; Kuplicki, R.T.; Yeh, H.W.; Mayeli, A.; Refai, H.; Paulus, M.; Bodurka, J. Predicting age from brain EEG signals-a machine learning approach. Front. Aging Neurosci. 2018, 10, 184. [Google Scholar] [CrossRef]
- Papachristou, N.; Puschmann, D.; Barnaghi, P.; Cooper, B.; Hu, X.; Maguire, R.; Apostolidis, K.; Conley, Y.P.; Hammer, M.; Katsaragakis, S.; et al. Learning from data to predict future symptoms of oncology patients. PLoS ONE 2018, 13, e0208808. [Google Scholar] [CrossRef]
- Han, L.; Yang, G.; Dai, H.; Xu, B.; Yang, H.; Feng, H.; Li, Z.; Yang, X. Modeling maize above-ground biomass based on machine learning approaches using UAV remote-sensing data. Plant Methods 2019, 15, 10. [Google Scholar] [CrossRef]
- Millan, B.; Velasco-Forero, S.; Aquino, A.; Tardaguila, J. On-the-go grapevine yield estimation using image analysis and boolean model. J. Sens. 2018, 2018, 9634752. [Google Scholar] [CrossRef]
- Li-Mallet, A.; Rabot, A.; Geny, L. Factors controlling inflorescence primordia formation of grapevine: Their role in latent bud fruitfulness? A review. Botany 2015, 94, 147–163. [Google Scholar] [CrossRef]
- Nuske, S.; Wilshusen, K.; Achar, S.; Yoder, L.; Singh, S. Automated visual yield estimation in vineyards. J. Field Robot. 2014, 31, 837–860. [Google Scholar] [CrossRef]
- Kicherer, A.; Herzog, K.; Pflanz, M.; Wieland, M.; Rüger, P.; Kecke, S.; Kuhlmann, H.; Töpfer, R. An automated field phenotyping pipeline for application in grapevine research. Sensors 2015, 15, 4823–4836. [Google Scholar] [CrossRef] [PubMed]
- Pérez-Zavala, R.; Torres-Torriti, M.; Cheein, F.A.; Troni, G. A pattern recognition strategy for visual grape bunch detection in vineyards. Comput. Electron. Agric. 2018, 151, 136–149. [Google Scholar] [CrossRef]
- Liu, S.; Whitty, M. Automatic grape bunch detection in vineyards with an SVM classifier. J. Appl. Log. 2015, 13, 643–653. [Google Scholar] [CrossRef]
- Di Gennaro, S.F.; Toscano, P.; Cinat, P.; Berton, A.; Matese, A. A Low-Cost and Unsupervised Image Recognition Methodology for Yield Estimation in a Vineyard. Front. Plant Sci. 2019, 10, 559. [Google Scholar] [CrossRef]







| Model | Concept | Hyper Parameters | Concept Description |
|---|---|---|---|
| Lm 1 | Simple linear regression | none | The linear regression is based on ordinary least squares (OLS) and estimates the linear effect of one or more explanatory variables on the dependent variable [37]. |
| lm stepAIC 2 | Multiple linear regression with stepwise feature selection for raw data | none | The multivariate linear regression model is also based on OLS but performs a stepwise feature selection according to the Akaike information criterion (AIC) on raw and transformed data as predictor variables [37]. The AIC is used to find the most parsimonious model among a set of candidate models as it weights the goodness of fit against the number of estimated parameters in a model [38]. |
| Multiple linear regression with stepwise feature selection for transformed data | none | ||
| glmAIC_model 2 | Generalized Linear Model with Stepwise Feature Selection | none | The generalized linear models are an extension to a linear model since it allows different probability distribution for the response variable (e.g., Poisson) and different link functions (e.g., log), which specifies the relationship between the mean of the response and the covariates through the linear predictor [39]. Also, for Generalized Linear Models GLMs, a stepwise feature section based on AIC was applied. |
| bayes glm 2 | Bayesian Generalized Linear Model | none | A generalized linear model, extended with a posterior probability, i.e., a prior distribution as recommended by [39,40]. |
| glm_NB 2 | Negative Binomial Generalized Linear Model | link | The generalized linear model assuming a negative binomial distribution [41]. |
| glmnet_model 2 | Lasso and Elastic-Net Regularized Generalized Linear Model | alpha, lambda | Generalized linear model with lasso (alpha = 1), ridge (alpha = 0) or elastic-net regularization (alpha > 0 and < 1) is a useful method for the N << p case (i.e., relatively small sample size in comparison to many explanatory variables) since it prevents overfitting through a correction factor lambda, which shrinks coefficient estimates towards or to zero [37]. These methods usually decrease the error variance at the cost of introducing some bias. |
| svm 2 | Support Vector Machines with Linear Kernel | C | The support vector machine is a machine learning algorithm useful for classification and regression. It minimizes the prediction error by transforming the predictor variables into higher dimensions using kernel functions [37]. |
| Support Vector Machines with Polynomial Kernel | degree, scale, C | ||
| rf 2 | Random forest | mtry, splitrule, min.node.size | Random forest is an ensemble learning method useful for classification and regression. It is based on bagging (bootstrap aggregation) but modified in a way that it builds numerous de-correlated decision trees, which get averaged to reduce variance [37,42]. |
| Field vs. Lab | r |
|---|---|
| Berry Number | 0.89 |
| Mean Diameter | 0.94 |
| Mean Volume | 0.96 |
| Total Volume | 0.91 |
| CVH | 0.79 |
| Bunch Width | 0.74 |
| Bunch Length | 0.82 |
| Berry Number | ||||||
| Dataset | Training | Validation | Test | |||
| Model | RMSE | R2 | RMSE | R2 | RMSE | R2 |
| lm | 28.03 | 0.74 | 27.79 | 0.77 | 18.58 | 0.86 |
| lm stepAIC untransformed data | 25.75 | 0.79 | 27.72 | 0.75 | 19.05 | 0.85 |
| lm stepAIC transformed data | 26.64 | 0.77 | 26.45 | 0.79 | 24.29 | 0.83 |
| bayes glm untransformed data | 29.18 | 0.75 | 32.71 | 0.66 | 25.69 | 0.79 |
| glmnet_model | 25.74 | 0.79 | 27.65 | 0.75 | 18.63 | 0.85 |
| glmAIC_model | 29.29 | 0.75 | 32.71 | 0.66 | 25.69 | 0.79 |
| glm_NB | 25.93 | 0.79 | 27.56 | 0.75 | 18.49 | 0.85 |
| svm linear | 25.87 | 0.79 | 27.62 | 0.75 | 18.21 | 0.86 |
| svm poly | 25.77 | 0.79 | 27.50 | 0.76 | 18.20 | 0.86 |
| random forest | 26.95 | 0.77 | 27.84 | 0.75 | 18.53 | 0.85 |
| Bunch Width [mm] | ||||||
| Dataset | Training | Validation | Test | |||
| Model | RMSE | R2 | RMSE | R2 | RMSE | R2 |
| lm | 16.38 | 0.43 | 16.33 | 0.46 | 18.61 | 0.58 |
| lm stepAIC untransformed data | 14.06 | 0.59 | 14.76 | 0.53 | 14.28 | 0.71 |
| lm stepAIC transformed data | 14.04 | 0.58 | 14.45 | 0.58 | 13.80 | 0.71 |
| bayes glm untransformed data | 14.61 | 0.56 | 15.08 | 0.52 | 15.74 | 0.69 |
| glmnet_model | 14.02 | 0.59 | 14.65 | 0.54 | 15.02 | 0.71 |
| glmAIC_model | 14.53 | 0.56 | 15.10 | 0.52 | 15.57 | 0.70 |
| svm linear | 14.07 | 0.58 | 14.74 | 0.54 | 14.30 | 0.71 |
| svm poly | 13.91 | 0.60 | 14.70 | 0.54 | 13.51 | 0.71 |
| random forest | 14.17 | 0.58 | 14.69 | 0.54 | 14.57 | 0.70 |
| Bunch Length [mm] | ||||||
| Data Set | Training | Validation | Test | |||
| Model | RMSE | R2 | RMSE | R2 | RMSE | R2 |
| lm | 17.69 | 0.66 | 18.44 | 0.61 | 19.91 | 0.68 |
| lm stepAIC untransformed data | 17.60 | 0.65 | 17.43 | 0.66 | 19.70 | 0.68 |
| lm stepAIC transformed data | 17.33 | 0.67 | 18.12 | 0.62 | 20.02 | 0.69 |
| bayes glm untransformed data | 17.84 | 0.65 | 17.85 | 0.65 | 20.49 | 0.66 |
| glmnet_model | 17.58 | 0.66 | 17.35 | 0.66 | 19.76 | 0.68 |
| glmAIC_model | 17.74 | 0.65 | 17.84 | 0.65 | 20.62 | 0.66 |
| svm linear | 17.74 | 0.65 | 17.26 | 0.67 | 19.96 | 0.67 |
| svm poly | 17.64 | 0.65 | 17.40 | 0.66 | 19.24 | 0.70 |
| random forest | 17.77 | 0.65 | 18.04 | 0.64 | 21.03 | 0.64 |
| Total Volume [mL] | ||||||
| Dataset | Training | Validation | Test | |||
| Model | RMSE | R2 | RMSE | R2 | RMSE | R2 |
| lm | 41.54 | 0.77 | 41.81 | 0.77 | 28.58 | 0.91 |
| lm stepAIC untransformed data | 40.28 | 0.80 | 36.34 | 0.82 | 29.57 | 0.91 |
| lm stepAIC transformed data | 39.25 | 0.80 | 38.80 | 0.81 | 32.02 | 0.90 |
| bayes glm untransformed data | 51.47 | 0.72 | 47.85 | 0.74 | 34.48 | 0.89 |
| glmnet_model | 40.23 | 0.80 | 36.39 | 0.82 | 29.19 | 0.91 |
| glmAIC_model | 51.74 | 0.73 | 47.86 | 0.74 | 34.47 | 0.89 |
| svm linear | 40.37 | 0.80 | 36.54 | 0.82 | 28.29 | 0.91 |
| svm poly | 40.34 | 0.79 | 36.11 | 0.82 | 28.09 | 0.91 |
| random forest | 41.44 | 0.78 | 36.92 | 0.81 | 30.41 | 0.90 |
| Population GF x VB (n =150) | ||||||||||
|---|---|---|---|---|---|---|---|---|---|---|
| Lab | Model | Field | ||||||||
| Trait | Chromosome | LODmax Position | LODmax | Chr. Spec. Sig | LODmax Position | LODmax | Chr. Spec. Sig | LODmax Position | LODmax | Chr. Spec. Sig |
| Berry Number | 4 | 7.47 | 4.16 | 3 | 11.14 | 4.15 | 3.1 | 11.14 | 4.41 | 3 |
| 7 | 45.91 | 2.85 | 2.8 | |||||||
| 8 | 21.22 | 3.11 | 3 | |||||||
| 9 | 12.09 | 2.97 | 2.9 | 12.09 | 4.06 | 2.9 | ||||
| 10 | 69.86 | 3.06 | 2.8 | 69.86 | 3.01 | 3 | 69.86 | 3.46 | 2.9 | |
| 12 | 40.35 | 3.3 | 3 | 40.35 | 3.04 | 2.8 | ||||
| 13 | 57.06 | 2.93 | 2.9 | |||||||
| 17 | 6.32 | 3.25 | 2.8 | 6.32 | 3.17 | 2.7 | 6.32 | 3.27 | 2.7 | |
| 19 | 42.44 | 3.59 | 2.9 | |||||||
| Width | 10 | 69.86 | 3.77 | 2.9 | 13.75 | 3.72 | 3.1 | 13.75 | 3.86 | 3 |
| 18 | 2.00 | 3.14 | 3.1 | |||||||
| 19 | 49.40 | 3.39 | 2.9 | 30.82 | 3.11 | 2.9 | ||||
| Length | 1 | 35.34 | 4.10 | 3.2 | 35.34 | 3.34 | 3.2 | 35.34 | 3.93 | 3.2 |
| 7 | 72.78 | 2.92 | 2.8 | |||||||
| 8 | 39.11 | 3.54 | 3.1 | 20.48 | 3.77 | 2.9 | 39.11 | 3.65 | 3.3 | |
| 9 | 1.00 | 3.10 | 3.1 | 10.62 | 4.14 | 2.8 | 9.62 | 3.34 | 2.9 | |
| 10 | 44.95 | 3.04 | 2.9 | |||||||
| 12 | 62.97 | 3.31 | 3 | |||||||
| 19 | 30.82 | 3.35 | 2.9 | 30.82 | 4.4 | 2.9 | 30.82 | 3.99 | 2.9 | |
| Total Volume | 7 | |||||||||
| 12 | 62.97 | 3.60 | 2.8 | 63.968 | 3.5 | 2.9 | 63.97 | 3.61 | 2.8 | |
| 19 | 42.44 | 2.98 | 2.7 | - | ||||||
| QTL Total | 14 | 13 | 15 | |||||||
| Match | 9 | 10 | ||||||||
© 2019 by the authors. Licensee MDPI, Basel, Switzerland. This article is an open access article distributed under the terms and conditions of the Creative Commons Attribution (CC BY) license (http://creativecommons.org/licenses/by/4.0/).
Share and Cite
Rist, F.; Gabriel, D.; Mack, J.; Steinhage, V.; Töpfer, R.; Herzog, K. Combination of an Automated 3D Field Phenotyping Workflow and Predictive Modelling for High-Throughput and Non-Invasive Phenotyping of Grape Bunches. Remote Sens. 2019, 11, 2953. https://doi.org/10.3390/rs11242953
Rist F, Gabriel D, Mack J, Steinhage V, Töpfer R, Herzog K. Combination of an Automated 3D Field Phenotyping Workflow and Predictive Modelling for High-Throughput and Non-Invasive Phenotyping of Grape Bunches. Remote Sensing. 2019; 11(24):2953. https://doi.org/10.3390/rs11242953
Chicago/Turabian StyleRist, Florian, Doreen Gabriel, Jennifer Mack, Volker Steinhage, Reinhard Töpfer, and Katja Herzog. 2019. "Combination of an Automated 3D Field Phenotyping Workflow and Predictive Modelling for High-Throughput and Non-Invasive Phenotyping of Grape Bunches" Remote Sensing 11, no. 24: 2953. https://doi.org/10.3390/rs11242953
APA StyleRist, F., Gabriel, D., Mack, J., Steinhage, V., Töpfer, R., & Herzog, K. (2019). Combination of an Automated 3D Field Phenotyping Workflow and Predictive Modelling for High-Throughput and Non-Invasive Phenotyping of Grape Bunches. Remote Sensing, 11(24), 2953. https://doi.org/10.3390/rs11242953

