Comparison of Seven Inversion Models for Estimating Plant and Woody Area Indices of Leaf-on and Leaf-off Forest Canopy Using Explicit 3D Forest Scenes
Abstract
1. Introduction
- Two key components of leaf-on forest canopy, such as the needles of shoots and woody component, were not modeled by the forest scenes generated in previous studies [18,20,46]. However, these two components significantly affected the gap fraction measurements, thereby influencing the PAI and LAI estimation via optical methods [8,9,15,47]. Compared with the forest scenes in previous studies [20,26,46], the explicit 3D forest scenes in the present study provide a detailed description of all components of forest canopy, such as stems, branches, needles, shoots, leaves, flowers, and fruits, using a large number of small primitive shapes (e.g., triangles, cylinders, spheres, and ellipsoids) [48,49]. The explicit 3D tree models which were used to generate the explicit 3D forest scenes were constructed based on the field measurements of structural attributes (e.g., height, diameter at breast height [DBH], crown width, leaf length, leaf width, first branch height, and number of branch levels) of the tree canopy and available single-tree modeling methods (e.g., parametric and L-system-based modeling) [49,50]. Therefore, the explicit 3D forest scenes can provide leaf-on and leaf-off forest scenes with detailed description of canopy structure similar to the real leaf-on and leaf-off field plots as the optical methods undertaking [18]. The investigation and conclusions drawn based on the explicit 3D forest scene series would be more reliable and applicable.
- Although some studies attempted to assess the effect of inversion models on the PAI estimation of the leaf-on forest canopy, few commonly used inversion models were assessed by these studies, and the number of field plots covered were limited [16,18,22,23,24]. Moreover, the zenith angle dependent of and were not considered by some studies in evaluating the performance of inversion models to estimate the PAI of leaf-on forest canopy [20,22,24]. However, previous studies showed that the PAI and WAI estimation of the leaf-on and leaf-off forest canopy from optical methods was significantly affected by the , , and [15,18,34,36,45]; therefore, they should be considered in evaluating the performance of the inversion models to estimate the PAI and WAI estimation of the leaf-on and leaf-off forest canopy.
- The WAI estimation of the leaf-off forest canopy from optical methods is essential to derive the accurate LAI of the leaf-on forest canopy, as the latter is usually estimated by subtracting WAI from PAI. So far, no study has attempted to evaluate the effect of inversion models on the WAI estimation of the leaf-off forest canopy through optical methods with consideration of and .
2. Theory
3. Materials and Methods
3.1. Generation of Explicit 3D Forest Scenes and DHP Images
3.2. Data Processing
4. Results
4.1. Factors Contributing to Differences between or , Which Were Derived from Seven Inversion Models
4.1.1. Inversion Model
4.1.2. and
4.1.3. , , and
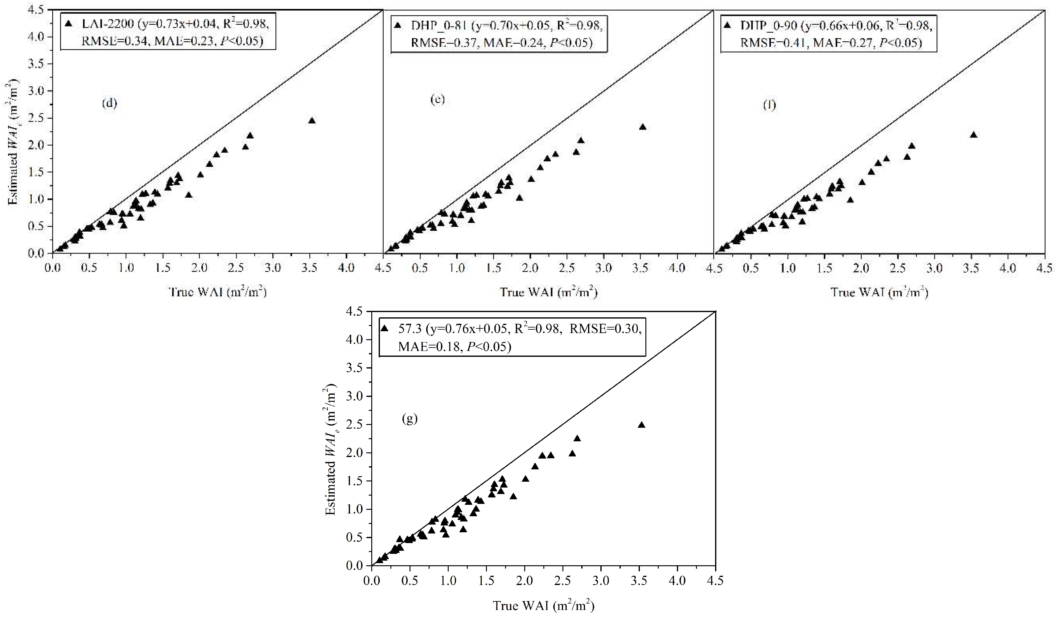
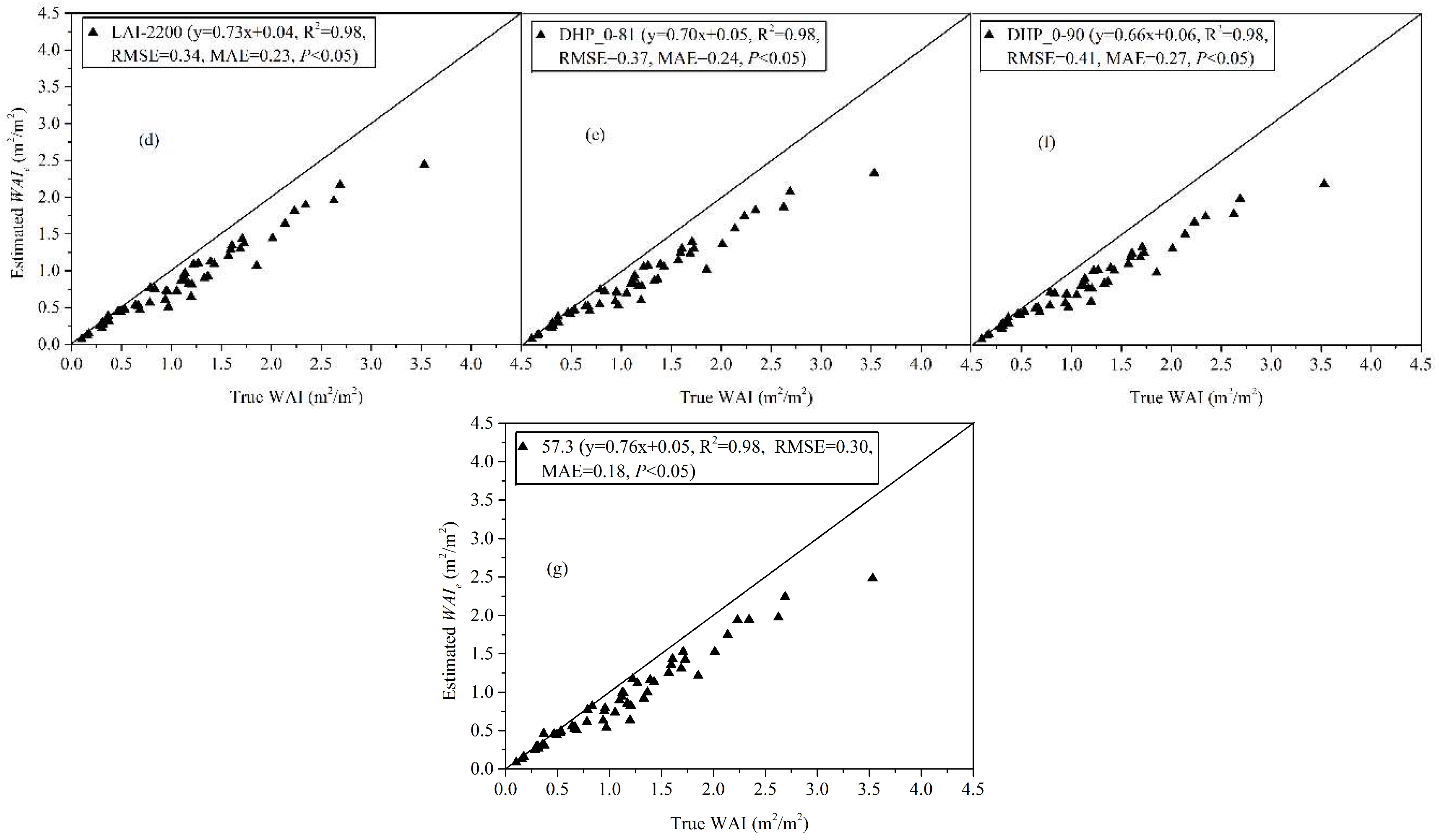
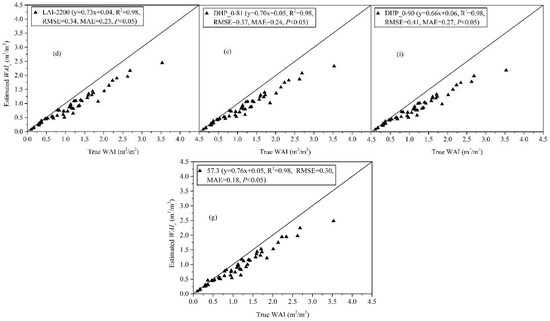
4.2. Estimation of the , PAI, and WAI of Leaf-on and Leaf-off Forest Scenes from the Seven Inversion Models
4.2.1. Leaf-on Forest Scenes
4.2.2. Leaf-off Forest Scenes
5. Discussion
5.1. Reason for Differences between , PAI, and WAI Estimates Estimated from the Seven Inversion Models with or without Consideration of , , , , and
5.2. Can PAI or WAI be Estimated Accurately from the Currently Available Inversion Models without Field Measurements of and of Forest Canopy
5.3. Can the and of Leaf-on and Leaf-off Forest Canopy be Effectively Estimated based on the DHP Images Using the Currently Available Algorithms
5.4. Which Inversion Model(s) is (are) More Reliable to Estimate the PAI and WAI of the Leaf-on and Leaf-off Forest Canopy
5.5. Limitations and Perspectives
6. Conclusions
Author Contributions
Funding
Conflicts of Interest
Appendix A. List of Symbols
- 57.3 the 57.3 inversion model (Equation (4))
- the projection coefficient at the canopy element inclination angle of and the view zenith angle of
- CC the gap size distribution algorithm
- CLX the combination of gap size and logarithmic averaging algorithm
- CMN the modified gap size distribution algorithm
- DBH diameter at breast height
- DCP digital cover photography
- DHP digital hemispherical photography
- DHP_0-81 the DHP_0-81 inversion model (Equation (9))
- DHP_0-90 the DHP_0-90 inversion model (Equation (10))
- canopy element angle distribution function
- woody component angle distribution function, is the woody component inclination angle
- canopy element projection function
- woody component projection function
- the mean projection of unit surface area of the canopy element on the plane perpendicular to the view zenith angle of
- the mean projection of unit surface area of the woody component on the plane perpendicular to the view zenith angle of
- the estimate of the ith annulus
- the estimate of the ith annulus
- ILMSVP In situ LAI Measurements Simulation and Validation Platform software
- JBSS Järvselja birch stand (summer)
- JBSW Järvselja birch stand (winter)
- JPSS Järvselja pine stand (summer)
- LAI leaf area index
- LAI-2200 the LAI-2200 inversion model (Equation (7))
- LUT look-up table
- LX the logarithmic averaging algorithm
- LXW the modified logarithmic averaging algorithm
- MAE mean absolute error
- MCI multispectral canopy imager
- Miller_0-90 the Miller theorem (Equation (3))
- Miller_10-65 the Miller_10-65 inversion model (Equation (5))
- Miller_0-80 the Miller_0-80 inversion model (Equation (6))
- MTVSP the measurement tools of vegetation structural parameters software
- OPSW Ofenpass pine stand (winter)
- PAI plant area index
- effective plant area index
- effective plant area index estimated from Equation (3) with the assumption that or is equal to 1
- effective plant area index estimated from Equation (4) with the assumption that or is equal to 1
- effective plant area index estimated from Equation (5) with the assumption that or is equal to 1
- effective plant area index estimated from Equation (6) with the assumption that or is equal to 1
- effective plant area index estimated from Equation (7) with the assumption that or is equal to 1
- effective plant area index estimated from Equation (9) with the assumption that or is equal to 1
- effective plant area index estimated from Equation (10) with the assumption that or is equal to 1
- PCS the Pielou’s coefficient of spatial segregation algorithm
- canopy element gap fraction at
- the canopy element gap fraction of the ith annulus at
- R2 pearson correlation coefficient
- RMSE the root mean square error
- SPS Scots pine scenes
- TRAC tracing radiation and architecture of canopies
- WAI woody area index
- effective woody area index
- effective woody area index estimated from Equation (3) with the assumption that is equal to 1
- effective woody area index estimated from Equation (4) with the assumption that is equal to 1
- effective woody area index estimated from Equation (5) with the assumption that is equal to 1
- effective woody area index estimated from Equation (6) with the assumption that is equal to 1
- effective woody area index estimated from Equation (7) with the assumption that is equal to 1
- effective woody area index estimated from Equation (9) with the assumption that is equal to 1
- effective woody area index estimated from Equation (10) with the assumption that is equal to 1
- the weight factor of the ith annulus
- zenith angle
- the center zenith angle of the ith annulus
- the single zenith angle (or centered at an angle for a range of angles) of the PAI estimation
- canopy element clumping index
- woody component clumping index
- canopy element clumping index at
- woody component clumping index at
- the estimate of the ith annulus
- the estimate of the ith annulus
- needle-to-shoot area ratio
Appendix B. In Situ LAI Measurements Simulation and Validation Platform (ILMSVP)
Appendix C. Factors that Affect the Performance of the Seven Inversion Models to Estimate the PAI and WAI of Leaf-on and Leaf-off Forest Scenes
Appendix C.1. Inversion Model, and , Estimation Algorithm, and Segment Size
Appendix C.1.1. Leaf-on Forest Scenes
| Inversion Models | PAI Estimation | Sub-Series Scenes | R2 | Intercept | Slope | RMSE | MAE |
|---|---|---|---|---|---|---|---|
| Miller_10-65 | Considering and (CC) | JPSS, OPSW | 0.98 | 0.05 | 0.40 | 1.80 | 1.53 |
| SPS | 0.93 | −0.62 | 0.70 | 2.05 | 2.19 | ||
| JBSS | 0.95 | 0.14 | 0.32 | 2.83 | 2.40 | ||
| Considering and (CLX_15) | JPSS, OPSW | 0.98 | −0.01 | 0.62 | 1.20 | 0.96 | |
| SPS | 0.93 | −0.24 | 0.84 | 1.10 | 0.90 | ||
| JBSS | 0.97 | 0.34 | 0.40 | 2.27 | 1.82 | ||
| Considering and (CLX_30) | JPSS, OPSW | 0.98 | 0.07 | 0.56 | 1.31 | 1.05 | |
| SPS | 0.93 | −0.33 | 0.83 | 1.24 | 1.0 | ||
| JBSS | 0.96 | 0.34 | 0.38 | 2.39 | 1.92 | ||
| Considering and (CLX_45) | JPSS, OPSW | 0.97 | 0.11 | 0.53 | 1.37 | 1.10 | |
| SPS | 0.93 | −0.41 | 0.82 | 1.35 | 1.18 | ||
| JBSS | 0.96 | 0.34 | 0.36 | 2.46 | 2.0 | ||
| Considering and (LX_5) | JPSS, OPSW | 0.98 | −0.21 | 0.67 | 1.23 | 1.01 | |
| SPS | 0.93 | −0.34 | 0.87 | 1.08 | 0.89 | ||
| JBSS | 0.98 | 0.14 | 0.46 | 2.22 | 1.87 | ||
| Considering and (LX_15) | JPSS, OPSW | 0.98 | −0.21 | 0.57 | 1.52 | 1.34 | |
| SPS | 0.93 | −0.77 | 0.89 | 1.39 | 1.09 | ||
| JBSS | 0.97 | 0.07 | 0.41 | 2.50 | 2.08 | ||
| Considering and (LX_30) | JPSS, OPSW | 0.98 | −0.20 | 0.52 | 1.68 | 1.49 | |
| SPS | 0.93 | −0.92 | 0.87 | 1.61 | 1.33 | ||
| JBSS | 0.96 | 0.05 | 0.37 | 2.66 | 2.21 | ||
| Considering and (PCS) | JPSS, OPSW | 0.86 | 1.57 | 0.97 | 1.69 | 1.37 | |
| SPS | 0.54 | 4.73 | 0.17 | 1.80 | 1.48 | ||
| JBSS | 0.81 | 2.39 | 0.41 | 1.30 | 0.89 | ||
| Miller_0-80 | Considering and (CC) | JPSS, OPSW | 0.98 | −0.03 | 0.66 | 1.09 | 0.97 |
| SPS | 0.92 | −0.83 | 1.10 | 0.89 | 0.59 | ||
| JBSS | 0.94 | 0.19 | 0.46 | 2.18 | 1.73 | ||
| Considering and (CLX_15) | JPSS, OPSW | 0.98 | 0.05 | 0.90 | 0.39 | 0.21 | |
| SPS | 0.91 | 0.12 | 1.17 | 1.27 | 0.88 | ||
| JBSS | 0.96 | 0.46 | 0.56 | 1.55 | 1.04 | ||
| Considering and (CLX_30) | JPSS, OPSW | 0.98 | 0.11 | 0.83 | 0.49 | 0.31 | |
| SPS | 0.91 | −0.12 | 1.18 | 1.13 | 0.78 | ||
| JBSS | 0.96 | 0.44 | 0.53 | 1.68 | 1.16 | ||
| Considering and (CLX_45) | JPSS, OPSW | 0.98 | 0.14 | 0.79 | 0.57 | 0.40 | |
| SPS | 0.92 | −0.30 | 1.18 | 1.02 | 0.67 | ||
| JBSS | 0.96 | 0.43 | 0.51 | 1.76 | 1.23 | ||
| Considering and (LX_5) | JPSS, OPSW | 0.98 | −0.25 | 0.98 | 0.40 | 0.28 | |
| SPS | 0.91 | 0.09 | 1.19 | 1.32 | 0.84 | ||
| JBSS | 0.97 | 0.22 | 0.62 | 1.45 | 1.02 | ||
| Considering and (LX_15) | JPSS, OPSW | 0.98 | −0.29 | 0.86 | 0.73 | 0.62 | |
| SPS | 0.91 | −0.62 | 1.25 | 1.10 | 0.82 | ||
| JBSS | 0.96 | 0.11 | 0.57 | 1.77 | 1.34 | ||
| Considering and (LX_30) | JPSS, OPSW | 0.98 | −0.31 | 0.80 | 0.92 | 0.82 | |
| SPS | 0.92 | −0.93 | 1.25 | 0.99 | 0.87 | ||
| JBSS | 0.95 | 0.08 | 0.53 | 1.96 | 1.51 | ||
| Considering and (PCS) | JPSS, OPSW | 0.86 | 2.51 | 1.22 | 3.28 | 3.23 | |
| SPS | 0.55 | 6.70 | 0.27 | 3.75 | 3.50 | ||
| JBSS | 0.84 | 2.90 | 0.53 | 1.58 | 1.27 | ||
| Miller_0-90 | Considering and (CC) | JPSS, OPSW | 0.98 | −0.11 | 0.89 | 0.51 | 0.37 |
| SPS | 0.93 | −0.79 | 1.38 | 1.40 | 0.68 | ||
| JBSS | 0.93 | −0.02 | 0.69 | 1.46 | 1.24 | ||
| Considering and (CLX_15) | JPSS, OPSW | 0.98 | −0.02 | 1.14 | 0.53 | 0.42 | |
| SPS | 0.91 | 0.65 | 1.33 | 2.40 | 1.85 | ||
| JBSS | 0.95 | 0.34 | 0.75 | 0.93 | 0.61 | ||
| Considering and (CLX_30) | JPSS, OPSW | 0.98 | 0.03 | 1.07 | 0.41 | 0.31 | |
| SPS | 0.91 | 0.31 | 1.37 | 2.25 | 1.62 | ||
| JBSS | 0.95 | 0.32 | 0.72 | 1.04 | 0.74 | ||
| Considering and (CLX_45) | JPSS, OPSW | 0.98 | 0.07 | 1.03 | 0.35 | 0.30 | |
| SPS | 0.92 | 0.04 | 1.40 | 2.14 | 1.30 | ||
| JBSS | 0.94 | 0.31 | 0.70 | 1.11 | 0.81 | ||
| Considering and (LX_5) | JPSS, OPSW | 0.98 | −0.33 | 1.22 | 0.53 | 0.37 | |
| SPS | 0.91 | 0.58 | 1.36 | 2.49 | 1.93 | ||
| JBSS | 0.96 | 0.11 | 0.82 | 0.83 | 0.54 | ||
| Considering and (LX_15) | JPSS, OPSW | 0.98 | −0.39 | 1.11 | 0.34 | 0.28 | |
| SPS | 0.92 | −0.29 | 1.46 | 2.18 | 1.29 | ||
| JBSS | 0.95 | −0.0 | 0.76 | 1.13 | 0.92 | ||
| Considering and (LX_30) | JPSS, OPSW | 0.98 | −0.41 | 1.04 | 0.41 | 0.26 | |
| SPS | 0.92 | −0.82 | 1.52 | 2.0 | 0.94 | ||
| JBSS | 0.94 | −0.04 | 0.73 | 1.31 | 1.12 | ||
| Considering and (PCS) | JPSS, OPSW | 0.86 | 2.86 | 1.33 | 3.94 | 3.89 | |
| SPS | 0.77 | 7.10 | 0.43 | 4.72 | 4.64 | ||
| JBSS | 0.88 | 2.85 | 0.71 | 1.96 | 1.79 | ||
| LAI-2200 | Considering and (CC) | JPSS, OPSW | 0.98 | 0.02 | 0.76 | 0.77 | 0.63 |
| SPS | 0.93 | −1.12 | 1.30 | 1.01 | 0.91 | ||
| JBSS | 0.95 | 0.26 | 0.54 | 1.79 | 1.33 | ||
| Considering and (CLX_15) | JPSS, OPSW | 0.98 | 0.07 | 1.07 | 0.43 | 0.34 | |
| SPS | 0.92 | −0.10 | 1.43 | 2.19 | 1.54 | ||
| JBSS | 0.97 | 0.59 | 0.67 | 1.01 | 0.53 | ||
| Considering and (CLX_30) | JPSS, OPSW | 0.98 | 0.16 | 0.98 | 0.32 | 0.27 | |
| SPS | 0.92 | −0.37 | 1.44 | 1.97 | 1.28 | ||
| JBSS | 0.96 | 0.57 | 0.63 | 1.17 | 0.68 | ||
| Considering and (CLX_45) | JPSS, OPSW | 0.98 | 0.21 | 0.93 | 0.31 | 0.21 | |
| SPS | 0.92 | −0.56 | 1.43 | 1.80 | 0.94 | ||
| JBSS | 0.96 | 0.56 | 0.61 | 1.26 | 0.75 | ||
| Considering and (LX_5) | JPSS, OPSW | 0.98 | −0.30 | 1.16 | 0.40 | 0.31 | |
| SPS | 0.92 | −0.18 | 1.47 | 2.26 | 1.54 | ||
| JBSS | 0.98 | 0.29 | 0.75 | 0.89 | 0.57 | ||
| Considering and (LX_15) | JPSS, OPSW | 0.98 | −0.34 | 1.01 | 0.39 | 0.28 | |
| SPS | 0.92 | −1.04 | 1.53 | 1.90 | 0.93 | ||
| JBSS | 0.97 | 0.16 | 0.68 | 1.28 | 0.96 | ||
| Considering and (LX_30) | JPSS, OPSW | 0.98 | −0.34 | 0.93 | 0.58 | 0.51 | |
| SPS | 0.92 | −1.38 | 1.52 | 1.60 | 0.87 | ||
| JBSS | 0.96 | 0.13 | 0.63 | 1.52 | 1.19 | ||
| Considering and (PCS) | JPSS, OPSW | 0.86 | 3.01 | 1.54 | 4.72 | 4.73 | |
| SPS | 0.54 | 8.21 | 0.31 | 5.35 | 5.27 | ||
| JBSS | 0.83 | 3.75 | 0.64 | 2.60 | 2.50 | ||
| DHP_0-81 | Considering and (CC) | JPSS, OPSW | 0.98 | −0.06 | 0.80 | 0.72 | 0.62 |
| SPS | 0.91 | −1.04 | 1.35 | 1.27 | 1.03 | ||
| JBSS | 0.94 | 0.24 | 0.52 | 1.87 | 1.36 | ||
| Considering and (CLX_15) | JPSS, OPSW | 0.98 | 0.13 | 1.03 | 0.37 | 0.30 | |
| SPS | 0.89 | 0.21 | 1.39 | 2.32 | 1.78 | ||
| JBSS | 0.96 | 0.56 | 0.61 | 1.24 | 0.71 | ||
| Considering and (CLX_30) | JPSS, OPSW | 0.98 | 0.16 | 0.96 | 0.30 | 0.22 | |
| SPS | 0.90 | −0.11 | 1.40 | 2.12 | 1.48 | ||
| JBSS | 0.96 | 0.52 | 0.59 | 1.38 | 0.84 | ||
| Considering and (CLX_45) | JPSS, OPSW | 0.98 | 0.19 | 0.92 | 0.30 | 0.16 | |
| SPS | 0.90 | −0.34 | 1.41 | 1.96 | 1.12 | ||
| JBSS | 0.95 | 0.51 | 0.57 | 1.46 | 0.90 | ||
| Considering and (LX_5) | JPSS, OPSW | 0.98 | −0.21 | 1.12 | 0.36 | 0.28 | |
| SPS | 0.89 | 0.24 | 1.40 | 2.39 | 1.82 | ||
| JBSS | 0.97 | 0.31 | 0.69 | 1.13 | 0.70 | ||
| Considering and (LX_15) | JPSS, OPSW | 0.98 | −0.30 | 1.01 | 0.38 | 0.25 | |
| SPS | 0.90 | −0.61 | 1.48 | 2.06 | 1.18 | ||
| JBSS | 0.96 | 0.19 | 0.64 | 1.45 | 1.05 | ||
| Considering and (LX_30) | JPSS, OPSW | 0.98 | −0.33 | 0.95 | 0.54 | 0.44 | |
| SPS | 0.90 | −1.01 | 1.49 | 1.81 | 1.04 | ||
| JBSS | 0.95 | 0.15 | 0.60 | 1.64 | 1.23 | ||
| Considering and (PCS) | JPSS, OPSW | 0.86 | 3.05 | 1.29 | 4.02 | 4.02 | |
| SPS | 0.55 | 7.67 | 0.35 | 5.04 | 4.87 | ||
| JBSS | 0.86 | 3.09 | 0.57 | 1.81 | 1.55 | ||
| DHP_0-90 | Considering and (CC) | JPSS, OPSW | 0.98 | 0.03 | 0.72 | 0.87 | 0.73 |
| SPS | 0.91 | −1.06 | 1.31 | 1.17 | 1.22 | ||
| JBSS | 0.95 | 0.25 | 0.49 | 2.0 | 1.50 | ||
| Considering and (CLX_15) | JPSS, OPSW | 0.97 | 0.17 | 0.93 | 0.31 | 0.19 | |
| SPS | 0.90 | −0.09 | 1.38 | 2.04 | 1.47 | ||
| JBSS | 0.96 | 0.53 | 0.58 | 1.39 | 0.85 | ||
| Considering and (CLX_30) | JPSS, OPSW | 0.97 | 0.21 | 0.88 | 0.35 | 0.19 | |
| SPS | 0.90 | −0.33 | 1.39 | 1.87 | 1.24 | ||
| JBSS | 0.96 | 0.50 | 0.56 | 1.52 | 0.96 | ||
| Considering and (CLX_45) | JPSS, OPSW | 0.97 | 0.24 | 0.84 | 0.41 | 0.21 | |
| SPS | 0.90 | −0.51 | 1.39 | 1.74 | 0.93 | ||
| JBSS | 0.96 | 0.49 | 0.54 | 1.59 | 1.01 | ||
| Considering and (LX_5) | JPSS, OPSW | 0.98 | −0.13 | 1.02 | 0.29 | 0.19 | |
| SPS | 0.90 | −0.10 | 1.40 | 2.10 | 1.50 | ||
| JBSS | 0.97 | 0.30 | 0.65 | 1.29 | 0.85 | ||
| Considering and (LX_15) | JPSS, OPSW | 0.98 | −0.20 | 0.91 | 0.52 | 0.41 | |
| SPS | 0.90 | −0.81 | 1.46 | 1.83 | 1.01 | ||
| JBSS | 0.96 | 0.19 | 0.60 | 1.60 | 1.16 | ||
| Considering and (LX_30) | JPSS, OPSW | 0.98 | −0.22 | 0.86 | 0.69 | 0.58 | |
| SPS | 0.90 | −1.12 | 1.46 | 1.62 | 0.96 | ||
| JBSS | 0.95 | 0.16 | 0.56 | 1.78 | 1.33 | ||
| Considering and (PCS) | JPSS, OPSW | 0.87 | 2.69 | 1.23 | 3.49 | 3.42 | |
| SPS | 0.69 | 6.61 | 0.47 | 4.43 | 4.19 | ||
| JBSS | 0.86 | 2.92 | 0.55 | 1.64 | 1.31 | ||
| 57.3 | Considering and (CC) | JPSS, OPSW | 0.97 | −0.15 | 0.84 | 0.70 | 0.47 |
| SPS | 0.93 | −1.78 | 1.51 | 1.36 | 0.72 | ||
| JBSS | 0.95 | 0.11 | 0.60 | 1.67 | 1.34 | ||
| Considering and (CLX_15) | JPSS, OPSW | 0.97 | 0.22 | 1.09 | 0.64 | 0.47 | |
| SPS | 0.89 | 0.16 | 1.43 | 2.49 | 1.96 | ||
| JBSS | 0.97 | 0.65 | 0.66 | 1.00 | 0.50 | ||
| Considering and (CLX_30) | JPSS, OPSW | 0.97 | 0.30 | 1.0 | 0.45 | 0.36 | |
| SPS | 0.90 | −0.29 | 1.47 | 2.27 | 1.67 | ||
| JBSS | 0.96 | 0.56 | 0.63 | 1.17 | 0.67 | ||
| Considering and (CLX_45) | JPSS, OPSW | 0.97 | 0.33 | 0.94 | 0.39 | 0.30 | |
| SPS | 0.91 | −0.59 | 1.51 | 2.15 | 1.32 | ||
| JBSS | 0.96 | 0.52 | 0.62 | 1.25 | 0.75 | ||
| Considering and (LX_5) | JPSS, OPSW | 0.98 | −0.31 | 1.23 | 0.59 | 0.39 | |
| SPS | 0.90 | −0.04 | 1.48 | 2.53 | 1.85 | ||
| JBSS | 0.97 | 0.29 | 0.76 | 0.87 | 0.48 | ||
| Considering and (LX_15) | JPSS, OPSW | 0.98 | −0.34 | 1.06 | 0.38 | 0.24 | |
| SPS | 0.91 | −1.14 | 1.60 | 2.18 | 1.18 | ||
| JBSS | 0.96 | 0.15 | 0.69 | 1.25 | 0.89 | ||
| Considering and (LX_30) | JPSS, OPSW | 0.97 | −0.36 | 0.99 | 0.51 | 0.42 | |
| SPS | 0.92 | −1.72 | 1.66 | 1.97 | 1.11 | ||
| JBSS | 0.96 | 0.12 | 0.65 | 1.44 | 1.11 | ||
| Considering and (PCS) | JPSS, OPSW | 0.82 | 3.52 | 1.57 | 5.38 | 5.33 | |
| SPS | 0.47 | 8.53 | 0.25 | 5.46 | 5.34 | ||
| JBSS | 0.83 | 3.53 | 0.55 | 2.14 | 1.96 |
Appendix C.1.2. Leaf-off Forest Scenes
| Inversion Models | PAI Estimation | R2 | Intercept | Slope | RMSE | MAE |
|---|---|---|---|---|---|---|
| Miller_10-65 | Considering (CC) | 0.99 | 0.05 | 0.42 | 0.74 | 0.59 |
| Considering (CLX_15) | 0.96 | 0.21 | 0.51 | 0.50 | 0.30 | |
| Considering (CLX_30) | 0.96 | 0.25 | 0.45 | 0.55 | 0.35 | |
| Considering (CLX_45) | 0.96 | 0.27 | 0.42 | 0.57 | 0.38 | |
| Considering (LX_5) | 0.98 | 0.03 | 0.53 | 0.60 | 0.47 | |
| Considering (LX_15) | 0.98 | 0.03 | 0.48 | 0.68 | 0.54 | |
| Considering (LX_30) | 0.98 | 0.03 | 0.45 | 0.71 | 0.56 | |
| Considering (PCS) | 0.98 | 0.21 | 0.76 | 0.23 | 0.10 | |
| Miller_0-80 | Considering (CC) | 0.98 | 0.07 | 0.60 | 0.49 | 0.34 |
| Considering (CLX_15) | 0.97 | 0.25 | 0.69 | 0.27 | 0.17 | |
| Considering (CLX_30) | 0.97 | 0.30 | 0.63 | 0.31 | 0.21 | |
| Considering (CLX_45) | 0.97 | 0.31 | 0.60 | 0.34 | 0.21 | |
| Considering (LX_5) | 0.98 | 0.05 | 0.74 | 0.32 | 0.22 | |
| Considering (LX_15) | 0.98 | 0.04 | 0.67 | 0.41 | 0.29 | |
| Considering (LX_30) | 0.98 | 0.04 | 0.64 | 0.45 | 0.32 | |
| Considering (PCS) | 0.98 | 0.31 | 0.98 | 0.33 | 0.31 | |
| Miller_0-90 | Considering (CC) | 0.96 | −0.03 | 0.82 | 0.32 | 0.21 |
| Considering (CLX_15) | 0.96 | 0.18 | 0.89 | 0.22 | 0.15 | |
| Considering (CLX_30) | 0.95 | 0.21 | 0.83 | 0.23 | 0.17 | |
| Considering (CLX_45) | 0.95 | 0.22 | 0.81 | 0.24 | 0.17 | |
| Considering (LX_5) | 0.97 | −0.06 | 0.95 | 0.21 | 0.12 | |
| Considering (LX_15) | 0.96 | −0.04 | 0.88 | 0.26 | 0.18 | |
| Considering (LX_30) | 0.96 | −0.05 | 0.86 | 0.29 | 0.18 | |
| Considering (PCS) | 0.97 | 0.24 | 1.16 | 0.47 | 0.42 | |
| LAI-2200 | Considering (CC) | 0.98 | 0.09 | 0.72 | 0.32 | 0.20 |
| Considering (CLX_15) | 0.97 | 0.33 | 0.84 | 0.24 | 0.18 | |
| Considering (CLX_30) | 0.97 | 0.38 | 0.76 | 0.25 | 0.17 | |
| Considering (CLX_45) | 0.97 | 0.40 | 0.73 | 0.26 | 0.16 | |
| Considering (LX_5) | 0.98 | 0.07 | 0.90 | 0.15 | 0.07 | |
| Considering (LX_15) | 0.98 | 0.06 | 0.81 | 0.23 | 0.14 | |
| Considering (LX_30) | 0.98 | 0.05 | 0.77 | 0.28 | 0.19 | |
| Considering (PCS) | 0.97 | 0.39 | 1.22 | 0.68 | 0.66 | |
| DHP_0-81 | Considering (CC) | 0.98 | 0.08 | 0.69 | 0.36 | 0.22 |
| Considering (CLX_15) | 0.97 | 0.29 | 0.78 | 0.21 | 0.15 | |
| Considering (CLX_30) | 0.97 | 0.32 | 0.72 | 0.24 | 0.16 | |
| Considering (CLX_45) | 0.97 | 0.34 | 0.69 | 0.25 | 0.18 | |
| Considering (LX_5) | 0.98 | 0.07 | 0.84 | 0.20 | 0.11 | |
| Considering (LX_15) | 0.98 | 0.06 | 0.76 | 0.28 | 0.19 | |
| Considering (LX_30) | 0.98 | 0.06 | 0.73 | 0.32 | 0.21 | |
| Considering (PCS) | 0.98 | 0.37 | 1.07 | 0.48 | 0.47 | |
| DHP_0-90 | Considering (CC) | 0.98 | 0.09 | 0.65 | 0.40 | 0.25 |
| Considering (CLX_15) | 0.97 | 0.28 | 0.74 | 0.23 | 0.15 | |
| Considering (CLX_30) | 0.97 | 0.32 | 0.68 | 0.26 | 0.17 | |
| Considering (CLX_45) | 0.97 | 0.33 | 0.65 | 0.28 | 0.18 | |
| Considering (LX_5) | 0.98 | 0.08 | 0.79 | 0.24 | 0.14 | |
| Considering (LX_15) | 0.98 | 0.07 | 0.72 | 0.33 | 0.21 | |
| Considering (LX_30) | 0.98 | 0.07 | 0.69 | 0.37 | 0.24 | |
| Considering (PCS) | 0.98 | 0.35 | 1.02 | 0.40 | 0.40 | |
| 57.3 | Considering (CC) | 0.98 | 0.05 | 0.76 | 0.30 | 0.18 |
| Considering (CLX_15) | 0.97 | 0.46 | 0.73 | 0.28 | 0.22 | |
| Considering (CLX_30) | 0.97 | 0.46 | 0.66 | 0.29 | 0.16 | |
| Considering (CLX_45) | 0.96 | 0.45 | 0.65 | 0.29 | 0.16 | |
| Considering (LX_5) | 0.98 | 0.08 | 0.89 | 0.16 | 0.06 | |
| Considering (LX_15) | 0.98 | 0.06 | 0.81 | 0.23 | 0.12 | |
| Considering (LX_30) | 0.98 | 0.06 | 0.78 | 0.27 | 0.14 | |
| Considering (PCS) | 0.97 | 0.44 | 1.16 | 0.67 | 0.65 |
Appendix C.2. The True PAI and WAI of Leaf-on and Leaf-off Forest Scenes
Appendix C.3. The Reference and of Leaf-on and Leaf-off Scenes

References
- Aber, J.; Neilson, R.P.; McNulty, S.; Lenihan, J.M.; Bachelet, D.; Drapek, R.J. Forest processes and global environmental change: Predicting the effects of individual and multiple stressors: We review the effects of several rapidly changing environmental drivers on ecosystem function, discuss interactions among them, and summarize predicted changes in productivity, carbon storage, and water balance. BioScience 2001, 51, 735–751. [Google Scholar]
- Jonckheere, I.; Fleck, S.; Nackaerts, K.; Muys, B.; Coppin, P.; Weiss, M.; Baret, F. Review of methods for in situ leaf area index determination: Part I. Theories, sensors and hemispherical photography. Agric. For. Meteorol. 2004, 121, 19–35. [Google Scholar] [CrossRef]
- Running, S.W.; Coughlan, J.C. A general model of forest ecosystem processes for regional applications I. Hydrologic balance, canopy gas exchange and primary production processes. Ecol. Model. 1988, 42, 125–154. [Google Scholar] [CrossRef]
- Sellers, P.J.; Dickinson, R.E.; Randall, D.A.; Betts, A.K.; Hall, F.G.; Berry, J.A.; Collatz, G.J.; Denning, A.S.; Mooney, H.A.; Nobre, C.A.; et al. Modeling the exchanges of energy, water, and carbon between continents and the atmosphere. Science 1997, 275, 502–509. [Google Scholar] [CrossRef] [PubMed]
- Watson, D.J. Comparative physiological studies in the growth of field crops: I. Variation in net assimilation rate and leaf area between species and varieties, and within and between years. Ann. Bot. 1947, 11, 41–76. [Google Scholar] [CrossRef]
- Chen, J.M.; Black, T.A. Defining leaf area index for non-flat leaves. Plant Cell Environ. 1992, 15, 421–429. [Google Scholar] [CrossRef]
- Ross, J. The Radiation Regime and Architecture of Plant Stands; Dr. W. Junk Publishers: The Hague, The Netherlands, 1981. [Google Scholar]
- Zou, J.; Yan, G.; Zhu, L.; Zhang, W. Woody-to-total area ratio determination with a multispectral canopy imager. Tree Physiol. 2009, 29, 1069–1080. [Google Scholar] [CrossRef] [PubMed]
- Bréda, N.J.J. Ground-based measurements of leaf area index: A review of methods, instruments and current controversies. J. Exp. Bot. 2003, 54, 2403–2417. [Google Scholar] [CrossRef] [PubMed]
- Chen, J.M.; Rich, P.M.; Gower, S.T.; Norman, J.M.; Plummer, S. Leaf area index of boreal forests: Theory, techniques, and measurements. J. Geophys. Res. Atmos. 1997, 102, 29429–29443. [Google Scholar] [CrossRef]
- Duursma, R.A.; Marshall, J.D.; Robinson, A.P. Leaf area index inferred from solar beam transmission in mixed conifer forests on complex terrain. Agric. For. Meteorol. 2003, 118, 221–236. [Google Scholar] [CrossRef]
- Levy, P.E.; Jarvis, P.G. Direct and indirect measurements of lai in millet and fallow vegetation in hapex-sahel. Agric. For. Meteorol. 1999, 97, 199–212. [Google Scholar] [CrossRef]
- Monsi, M.; Saeki, T. Uber den lichtfaktor in den pflanzengesellschaften und seine bedeutung für die stoffproduktion. Jpn. J. Bot. 1953, 14, 22–52. [Google Scholar]
- Nilson, T. A theoretical analysis of the frequency of gaps in plant stands. Agric. Meteorol. 1971, 8, 25–38. [Google Scholar] [CrossRef]
- Weiss, M.; Baret, F.; Smith, G.J.; Jonckheere, I.; Coppin, P. Review of methods for in situ leaf area index (LAI) determination: Part II. Estimation of lai, errors and sampling. Agric. For. Meteorol. 2004, 121, 37–53. [Google Scholar] [CrossRef]
- Chianucci, F.; Cutini, A. Estimation of canopy properties in deciduous forests with digital hemispherical and cover photography. Agric. For. Meteorol. 2013, 168, 130–139. [Google Scholar] [CrossRef]
- Leblanc, S.G.; Chen, J.M.; Fernandes, R.; Deering, D.W.; Conley, A. Methodology comparison for canopy structure parameters extraction from digital hemispherical photography in boreal forests. Agric. For. Meteorol. 2005, 129, 187–207. [Google Scholar] [CrossRef]
- Leblanc, S.G.; Fournier, R.A. Hemispherical photography simulations with an architectural model to assess retrieval of leaf area index. Agric. For. Meteorol. 2014, 194, 64–76. [Google Scholar] [CrossRef]
- Miller, J. A formula for average foliage density. Aust. J. Bot. 1967, 15, 141–144. [Google Scholar] [CrossRef]
- Cao, B.; Du, Y.; Li, J.; Li, H.; Li, L.; Zhang, Y.; Zou, J.; Liu, Q. Comparison of five slope correction methods for leaf area index estimation from hemispherical photography. IEEE Geosci. Remote Sens. Lett. 2015, 12, 1958–1962. [Google Scholar] [CrossRef]
- Perry, S.G.; Fraser, A.B.; Thomson, D.W.; Norman, J.M. Indirect sensing of plant canopy structure with simple radiation measurements. Agric. For. Meteorol. 1988, 42, 255–278. [Google Scholar] [CrossRef]
- Liu, Z.; Jin, G.; Chen, J.; Qi, Y. Evaluating optical measurements of leaf area index against litter collection in a mixed broadleaved-Korean pine forest in China. Trees 2015, 29, 59–73. [Google Scholar] [CrossRef]
- Thimonier, A.; Sedivy, I.; Schleppi, P. Estimating leaf area index in different types of mature forest stands in Switzerland: A comparison of methods. Eur. J. For. Res. 2010, 129, 543–562. [Google Scholar] [CrossRef]
- Macfarlane, C.; Grigg, A.; Evangelista, C. Estimating forest leaf area using cover and fullframe fisheye photography: Thinking inside the circle. Agric. For. Meteorol. 2007, 146, 1–12. [Google Scholar] [CrossRef]
- Van Gardingen, P.R.; Jackson, G.E.; Hernandez-Daumas, S.; Russell, G.; Sharp, L. Leaf area index estimates obtained for clumped canopies using hemispherical photography. Agric. For. Meteorol. 1999, 94, 243–257. [Google Scholar] [CrossRef]
- Gonsamo, A.; Walter, J.-M.N.; Pellikka, P. Sampling gap fraction and size for estimating leaf area and clumping indices from hemispherical photographs. Can. J. For. Res. 2010, 40, 1588–1603. [Google Scholar] [CrossRef]
- Chianucci, F. Canopy Properties Estimation in Deciduous Forests with Digital Photography. Ph.D. Thesis, Università degli studi della Tuscia-Viterbo, Viterbo, Italy, 2013. [Google Scholar]
- Neumann, H.H.; Den Hartog, G.; Shaw, R.H. Leaf area measurements based on hemispheric photographs and leaf-litter collection in a deciduous forest during autumn leaf-fall. Agric. For. Meteorol. 1989, 45, 325–345. [Google Scholar] [CrossRef]
- LI-COR. Lai-2000 Plant Canopy Analyzer Instruction Manual; Li-cor Cor.: Lincoln, NE, USA, 1992. [Google Scholar]
- LI-COR. Lai-2200 Plant Canopy Analyzer Instruction Manual; Li-cor Cor.: Lincoln, NE, USA, 2009. [Google Scholar]
- Barclay, H.J.; Trofymow, J.A.; Leach, R.I. Assessing bias from boles in calculating leaf area index in immature douglas-fir with the LI-COR canopy analyzer. Agric. For. Meteorol. 2000, 100, 255–260. [Google Scholar] [CrossRef]
- Cutini, A.; Matteucci, G.; Mugnozza, G.S. Estimation of leaf area index with the LI-COR LAI 2000 in deciduous forests. For. Ecol. Manag. 1998, 105, 55–65. [Google Scholar] [CrossRef]
- Ryu, Y.; Nilson, T.; Kobayashi, H.; Sonnentag, O.; Law, B.E.; Baldocchi, D.D. On the correct estimation of effective leaf area index: Does it reveal information on clumping effects? Agric. For. Meteorol. 2010, 150, 463–472. [Google Scholar] [CrossRef]
- Leblanc, S.G.; Chen, J.M. Tracing Radiation and Architecture of Canopies Trac Manual Version 2.1.3; Natural Resources Canada: Ottawa, ON, Canada, 2002; p. 25.
- Chen, J.M. Optically-based methods for measuring seasonal variation of leaf area index in boreal conifer stands. Agric. For. Meteorol. 1996, 80, 135–163. [Google Scholar] [CrossRef]
- Pisek, J.; Sonnentag, O.; Richardson, A.D.; Mõttus, M. Is the spherical leaf inclination angle distribution a valid assumption for temperate and boreal broadleaf tree species? Agric. For. Meteorol. 2013, 169, 186–194. [Google Scholar] [CrossRef]
- Woodgate, W.; Disney, M.; Armston, J.D.; Jones, S.D.; Suarez, L.; Hill, M.J.; Wilkes, P.; Soto-Berelov, M.; Haywood, A.; Mellor, A. An improved theoretical model of canopy gap probability for leaf area index estimation in woody ecosystems. For. Ecol. Manag. 2015, 358, 303–320. [Google Scholar] [CrossRef]
- Raabe, K.; Pisek, J.; Sonnentag, O.; Annuk, K. Variations of leaf inclination angle distribution with height over the growing season and light exposure for eight broadleaf tree species. Agric. For. Meteorol. 2015, 214–215, 2–11. [Google Scholar] [CrossRef]
- Ryu, Y.; Sonnentag, O.; Nilson, T.; Vargas, R.; Kobayashi, H.; Wenk, R.; Baldocchi, D.D. How to quantify tree leaf area index in an open savanna ecosystem: A multi-instrument and multi-model approach. Agric. For. Meteorol. 2010, 150, 63–76. [Google Scholar] [CrossRef]
- Macfarlane, C.; Arndt, S.K.; Livesley, S.J.; Edgar, A.C.; White, D.A.; Adams, M.A.; Eamus, D. Estimation of leaf area index in eucalypt forest with vertical foliage, using cover and fullframe fisheye photography. For. Ecol. Manag. 2007, 242, 756–763. [Google Scholar] [CrossRef]
- Gonsamo, A.; Pellikka, P. The computation of foliage clumping index using hemispherical photography. Agric. For. Meteorol. 2009, 149, 1781–1787. [Google Scholar] [CrossRef]
- Jonckheere, I.; Nackaerts, K.; Muys, B.; van Aardt, J.; Coppin, P. A fractal dimension-based modelling approach for studying the effect of leaf distribution on LAI retrieval in forest canopies. Ecol. Model. 2006, 197, 179–195. [Google Scholar] [CrossRef]
- Walter, J.-M.N.; Fournier, R.A.; Soudani, K.; Meyer, E. Integrating clumping effects in forest canopy structure: An assessment through hemispherical photographs. Can. J. Remote Sens. 2003, 29, 388–410. [Google Scholar] [CrossRef]
- Woodgate, W.; Armston, J.D.; Disney, M.; Jones, S.D.; Suarez, L.; Hill, M.J.; Wilkes, P.; Soto-Berelov, M. Quantifying the impact of woody material on leaf area index estimation from hemispherical photography using 3D canopy simulations. Agric. For. Meteorol. 2016, 226–227, 1–12. [Google Scholar] [CrossRef]
- Woodgate, W. In-Situ Leaf Area Index Estimate Uncertainty in Forests: Supporting Earth Observation Product Calibration and Validation. Ph.D. Thesis, RMIT University, Melbourne, Australia, 2015. [Google Scholar]
- Schleppi, P.; Conedera, M.; Sedivy, I.; Thimonier, A. Correcting non-linearity and slope effects in the estimation of the leaf area index of forests from hemispherical photographs. Agric. For. Meteorol. 2007, 144, 236–242. [Google Scholar] [CrossRef]
- Gower, S.T.; Kucharik, C.J.; Norman, J.M. Direct and indirect estimation of leaf area index, fapar, and net primary production of terrestrial ecosystems. Remote Sens. Environ. 1999, 70, 29–51. [Google Scholar] [CrossRef]
- Andreas, D.; Carsten, C.; Oliver, D.; Philipp, S. In realistic and interactive visualization of high-density plant ecosystems. In Proceedings of the First Eurographics Conference on Natural Phenomena, Dublin, Ireland, 30 August 2005; Galin, E., Poulin, P., Eds.; Eurographics Association: Dublin, Ireland, 2005; pp. 73–81. [Google Scholar]
- Widlowski, J.-L.; Mio, C.; Disney, M.; Adams, J.; Andredakis, I.; Atzberger, C.; Brennan, J.; Busetto, L.; Chelle, M.; Ceccherini, G.; et al. The fourth phase of the radiative transfer model intercomparison (RAMI) exercise: Actual canopy scenarios and conformity testing. Remote Sens. Environ. 2015, 169, 418–437. [Google Scholar] [CrossRef]
- Lintermann, B.; Deussen, O. Interactive modeling of plants. IEEE Comput. Graph. Appl. 1999, 19, 56–65. [Google Scholar] [CrossRef]
- Leblanc, S.G.; Fournier, R.A. Measurement of forest structure with hemispherical photography. In Hemispherical Photography in Forest Science: Theory, Methods, Applications; Fournier, R.A., Hall, R.J., Eds.; Springer: Dordrecht, The Netherlands, 2017; pp. 53–83. [Google Scholar]
- Gonsamo, A.; Pellikka, P. Methodology comparison for slope correction in canopy leaf area index estimation using hemispherical photography. For. Ecol. Manag. 2008, 256, 749–759. [Google Scholar] [CrossRef]
- Disney, M.; Lewis, P.; Saich, P. 3D modelling of forest canopy structure for remote sensing simulations in the optical and microwave domains. Remote Sens. Environ. 2006, 100, 114–132. [Google Scholar] [CrossRef]
- Sumida, A.; Nakai, T.; Yamada, M.; Ono, K.; Uemura, S.; Hara, T. Ground-Based Estimation of Leaf Area Index and Vertical Distribution of Leaf Area Density in a Betula Ermanii Forest. SILVA FENN. 2009, 43, 799–816. [Google Scholar]
- Walter, J.M.N.; Himmler, C.G. Spatial heterogeneity of a scots pine canopy: An assessment by hemispherical photographs. Can. J. For. Res. 1996, 26, 1610–1619. [Google Scholar] [CrossRef]
- Zou, J.; Yan, G.; Chen, L. Estimation of canopy and woody components clumping indices at three mature picea crassifolia forest stands. IEEE J. Sel. Top. Appl. Earth Obs. Remote Sens. 2015, 8, 1413–1422. [Google Scholar] [CrossRef]
- Lang, A.R.G.; Yueqin, X. Estimation of leaf area index from transmission of direct sunlight in discontinuous canopies. Agric. For. Meteorol. 1986, 37, 229–243. [Google Scholar] [CrossRef]
- Chen, J.M.; Cihlar, J. Plant canopy gap-size analysis theory for improving optical measurements of leaf-area index. Appl. Opt. 1995, 34, 6211–6222. [Google Scholar] [CrossRef] [PubMed]
- Chen, J.M.; Cihlar, J. Quantifying the effect of canopy architecture on optical measurements of leaf area index using two gap size analysis methods. IEEE Trans. Geosci. Remote Sens. 1995, 33, 777–787. [Google Scholar] [CrossRef]
- Pisek, J.; Lang, M.; Nilson, T.; Korhonen, L.; Karu, H. Comparison of methods for measuring gap size distribution and canopy nonrandomness at Järvselja RAMI (radiation transfer model intercomparison) test sites. Agric. For. Meteorol. 2011, 151, 365–377. [Google Scholar] [CrossRef]
- Chen, J.M. Remote sensing of leaf area index of vegetation covers. In Remote Sensing of Natural Resources; CRC Press: Boca Raton, FL, USA, 2013; pp. 375–398. [Google Scholar]
- Baret, F.; de Solan, B.; Lopez-Lozano, R.; Ma, K.; Weiss, M. Gai estimates of row crops from downward looking digital photos taken perpendicular to rows at 57.5° zenith angle: Theoretical considerations based on 3D architecture models and application to wheat crops. Agric. For. Meteorol. 2010, 150, 1393–1401. [Google Scholar] [CrossRef]
- Pisek, J.; Ryu, Y.; Alikas, K. Estimating leaf inclination and g-function from leveled digital camera photography in broadleaf canopies. Trees 2011, 25, 919–924. [Google Scholar] [CrossRef]
- Kucharik, C.J.; Norman, J.M.; Gower, S.T. Measurements of branch area and adjusting leaf area index indirect measurements. Agric. For. Meteorol. 1998, 91, 69–88. [Google Scholar] [CrossRef]
- Brendan, L.; Przemyslaw, P. Generating spatial distributions for multilevel models of plant communities. In Proceedings of the Graphics Interface 2002, Calgary, AB, Canada, 27–29 May 2002; pp. 69–80. [Google Scholar]
- Majasalmi, T.; Rautiainen, M.; Stenberg, P.; Rita, H. Optimizing the sampling scheme for LAI-2000 measurements in a boreal forest. Agric. For. Meteorol. 2012, 154–155, 38–43. [Google Scholar] [CrossRef]
- Nackaerts, K.; Coppin, P.; Muys, B.; Hermy, M. Sampling methodology for lai measurements with LAI-2000 in small forest stands. Agric. For. Meteorol. 2000, 101, 247–250. [Google Scholar] [CrossRef]















| Plant Function Types | Broadleaved Deciduous Scenes | Evergreen Coniferous Scenes | |||
|---|---|---|---|---|---|
| Sub-series scenes | JBSS | JBSW | JPSS | OPSW | SPS |
| Phenological period | Leaf-on | Leaf-off | Leaf-on | ||
| Dominant species | Betula pendula | Pinus sylvestris | Pinus montana | Pinus sylvestris | |
| WAI | 0.10–3.53 | 0.46–1.63 | 0.06–0.76 | 0.31–3.16 | |
| PAI | 0.51–8.0 | 0.10–3.53 * | 1.52–5.86 | 0.59–2.64 | 2.06–7.26 |
| Reference | 0.39–0.92 | 0.55–1.30 ** | 0.55–0.96 | 0.20–1.03 | 0.48–1.35 |
| 1 | 1.32 | 1.48 | 2.12 | ||
| Mean tree height (m) | 8.91–23.0 | 12.32–15.55 | 3.53–9.92 | 4.78–10.26 | |
| Tree species composition | 6 | 1 | 1 | 1 | |
| Number of scenes | 54 | 54 | 21 | 19 | 12 |
| Stand density (stems ha−1) | 250–3000 | 250–3000 | 550–2800 | 500–2150 | 550–4000 |
| Stem distribution mode | Random, Regular, Clumped, Natural | ||||
| Inversion Model | Miller_10-65 | Miller_0-80 | Miller_0-90 | LAI_2200 | DHP_0-81 | DHP_0-90 | 57.3 |
|---|---|---|---|---|---|---|---|
| leaf-on coniferous scenes | 0.92 | 1.39 | 1.97 | 1.64 | 1.64 | 1.54 | 1.75 |
| leaf-on deciduous scenes | 1.25 | 1.84 | 2.45 | 2.18 | 2.14 | 2.02 | 2.39 |
| leaf-off deciduous scenes | 0.46 | 0.70 | 0.87 | 0.83 | 0.83 | 0.79 | 0.93 |
| Inversion Model | Miller_10-65 | Miller_0-80 | LAI_2200 | DHP_0-81 | DHP_0-90 | 57.3 |
|---|---|---|---|---|---|---|
| leaf-on coniferous scenes | 0.85 | 1.39 | 1.59 | 1.70 | 1.59 | 1.74 |
| leaf-on deciduous scenes | 1.25 | 1.84 | 2.18 | 2.14 | 2.02 | 2.38 |
| leaf-off deciduous scenes | 0.49 | 0.71 | 0.86 | 0.83 | 0.80 | 0.90 |
| Plant Function Types | Inversion Model | Miller_10-65 | Miller_0-80 | Miller_0-90 | LAI_2200 | DHP_0-81 | DHP_0-90 | 57.3 |
|---|---|---|---|---|---|---|---|---|
| Leaf-on coniferous scenes | Considering | 1.42 | 2.14 | 3.05 | 2.52 | 2.52 | 2.37 | 2.68 |
| Considering (CC) | 1.04 | 1.53 | 2.12 | 1.83 | 1.78 | 1.68 | 1.82 | |
| Considering (CLX_15) | 1.54 | 2.16 | 2.76 | 2.62 | 2.46 | 2.30 | 2.67 | |
| Considering (LX_30) | 1.16 | 1.69 | 2.28 | 2.02 | 1.97 | 1.84 | 2.03 | |
| Considering (PCS) | 3.77 | 4.90 | 5.56 | 6.11 | 5.34 | 5.0 | 6.29 | |
| Leaf-on deciduous scenes | Considering (CC) | 1.36 | 1.95 | 2.57 | 2.33 | 2.25 | 2.13 | 2.41 |
| Considering (CLX_15) | 1.88 | 2.58 | 3.22 | 3.15 | 2.91 | 2.76 | 3.18 | |
| Considering (LX_30) | 1.50 | 2.15 | 2.74 | 2.54 | 2.44 | 2.34 | 2.62 | |
| Considering (PCS) | 3.94 | 4.92 | 5.55 | 6.17 | 5.27 | 5.03 | 5.65 | |
| Leaf-off deciduous scenes | Considering (CC) | 0.48 | 0.71 | 0.89 | 0.85 | 0.85 | 0.81 | 0.93 |
| Considering (CLX_15) | 0.72 | 1.0 | 1.18 | 1.21 | 1.14 | 1.09 | 1.32 | |
| Considering (LX_30) | 0.49 | 0.74 | 0.91 | 0.88 | 0.87 | 0.83 | 0.97 | |
| Considering (PCS) | 0.97 | 1.35 | 1.54 | 1.65 | 1.53 | 1.44 | 1.80 |
© 2018 by the authors. Licensee MDPI, Basel, Switzerland. This article is an open access article distributed under the terms and conditions of the Creative Commons Attribution (CC BY) license (http://creativecommons.org/licenses/by/4.0/).
Share and Cite
Zou, J.; Zhuang, Y.; Chianucci, F.; Mai, C.; Lin, W.; Leng, P.; Luo, S.; Yan, B. Comparison of Seven Inversion Models for Estimating Plant and Woody Area Indices of Leaf-on and Leaf-off Forest Canopy Using Explicit 3D Forest Scenes. Remote Sens. 2018, 10, 1297. https://doi.org/10.3390/rs10081297
Zou J, Zhuang Y, Chianucci F, Mai C, Lin W, Leng P, Luo S, Yan B. Comparison of Seven Inversion Models for Estimating Plant and Woody Area Indices of Leaf-on and Leaf-off Forest Canopy Using Explicit 3D Forest Scenes. Remote Sensing. 2018; 10(8):1297. https://doi.org/10.3390/rs10081297
Chicago/Turabian StyleZou, Jie, Yinguo Zhuang, Francesco Chianucci, Chunna Mai, Weimu Lin, Peng Leng, Shezhou Luo, and Bojie Yan. 2018. "Comparison of Seven Inversion Models for Estimating Plant and Woody Area Indices of Leaf-on and Leaf-off Forest Canopy Using Explicit 3D Forest Scenes" Remote Sensing 10, no. 8: 1297. https://doi.org/10.3390/rs10081297
APA StyleZou, J., Zhuang, Y., Chianucci, F., Mai, C., Lin, W., Leng, P., Luo, S., & Yan, B. (2018). Comparison of Seven Inversion Models for Estimating Plant and Woody Area Indices of Leaf-on and Leaf-off Forest Canopy Using Explicit 3D Forest Scenes. Remote Sensing, 10(8), 1297. https://doi.org/10.3390/rs10081297

