Next Article in Journal
Cellulose Nanocrystals Obtained from Cynara Cardunculus and Their Application in the Paper Industry
Previous Article in Journal
Emergy Synthesis and Regional Sustainability Assessment: Case Study of Pan-Pearl River Delta in China
 
 
Font Type:
Arial Georgia Verdana
Font Size:
Aa Aa Aa
Line Spacing:
Column Width:
Background:
Article

The Dynamic Coordinated Development of a Regional Environment-Tourism-Economy System: A Case Study from Western Hunan Province, China

1
Business School, Huaihua University, No. 612, Yingfeng Road, Huaihua 418008, China
2
Business School, Sichuan University, No. 24 South Section 1, Yihuan Road, Chengdu 610065, China
*
Author to whom correspondence should be addressed.
Sustainability 2014, 6(8), 5231-5251; https://doi.org/10.3390/su6085231
Submission received: 15 April 2014 / Revised: 7 July 2014 / Accepted: 5 August 2014 / Published: 13 August 2014
(This article belongs to the Section Economic and Business Aspects of Sustainability)

Abstract

:
Based on regional coordination theory and system theory, the authors constructed an evaluation index system for the coordinated development of a regional environment-tourism-economy system with a pressure-state-response (PSR) model. With a coordinated development model, it further empirically analyzed the coordinated development state of an environment-tourism-economy system in western Hunan from 2001 to 2012. The results showed that, although this environment-tourism-economy system failed to achieve a high benefit index, inter-subsystem coupling extent, and coordinated development index, the three indices presented an increasing overall trend. This outcome suggested that the sub-systems in this system were developing towards their optimal proportions: the development of these sub-systems (environmental, tourism, and economic) was unbalanced in western Hunan. The environment therein sees only slow development although provided with a favorable ecological foundation. Economic development, which has long been lagging, acted as the main factor restricting the coordinated development of a regional environment-tourism-economy system. To promote its coordinated development in western Hunan, the following recommendations were proposed: strengthen the prediction and warnings on the evolution of the whole system; optimize the industry’s structure; reinforce environmental management.

1. Introduction

The key mechanism for the orderly development of a system lies in the coordination of the sub-systems therein: these determine the characteristics of any system transformation. The coordinated development of the system refers to harmonious and consistent development among its sub-systems [1]. It reflects the process of a system’s development from disorder state to order. As development becomes the theme of the age, local governments make tourism a pillar industry in many regions in China. There is often a blind pursuit of the rapid development of tourism, while fails to deal with the relationships between tourism, the economy, and environment. As a result, regional tourism, the economy, and environment develop in an unbalanced fashion, which goes against the tenets of sustainable development. Regional economy, tourism, and environment constitute an inter-coupled system [2]. In case of benign coordination of the regional environment, touristic, and economic systems, the circulation of value among the three sub-systems will be mutually beneficial with regards the healthy, sustainable development thereof [3]. In recent years, with the rapid development of the tourism industry, the relationship between tourism, the regional economy, and its environment has become a research focus. The environment lays the basis for regional tourism, while the development of tourism and regional economic development usually have a destructive impact on the environment. Therefore, how to harmonize development with concern for the environment becomes an important topic. However, before the 1990s, scholars seldom studied the regional environment, tourism, and economy simultaneously in a system. Instead, they mostly investigated the coordinated development of any two of them, such as the coordinated development links between environment and the economy, environment and tourism, or the economy and tourism. Research into the coordinated development of environment and economy started as long ago as the 1920s, and then developed rapidly around the 1980s. Yu et al. (1984) discussed the restricting mechanism of the environment on economic development, and suggested that proper development can guarantee the coordination between the environment and the economy [4]; Niu (1988) systematically investigated the interactions between the economy and the environment, and found that technological innovations in economic development are a major driving force behind harmonised development of both the regional economy and its environment [5]; Costanza, R. et al. (2008) constructed a simulation model of dynamic interaction of economic and environmental processes to identify some environmental benefits [6]. The coordination of development between an economy and tourism has drawn research attention since the 1970s: research on this topic witnessed rapid growth in the 1990s. In many nations, tourism was considered as an alternative development strategy for the economic regeneration of rural areas (Hannigan, 1994) [7]; In Eastern Europe, tourism has been identified as a catalyst to stimulate economic growth (Simpson, Chapman and Mahne, 1998) [8]; Toh Mun Heng (1993) used input-output methodology to analyze the economic impact of Singapore’s tourist industry and to evaluate its prospects for development [9]. In China many scholars such as Xu (1993), Bao (1994), Wu (1997) et al. also studied the coordinated development between their respective regional tourism industries and their economies and analyzed the problems caused by the overly rapid development of regional tourism [10,11,12]. Research into the coordinated development between tourism and the environment exhibited rapid development in 1990s: Dimitrios Buhais (1993) emphasized the importance of maintaining quality and continuously monitoring the impact of tourism on environment, and thought that there was some need for further research on the impact of tourism, refinement of development policies, wider application of the environmental approach, and greater efforts directed toward achieving implementation of environmentally oriented plans [13]; Peter U.C. Dieke (1993) thought tourist activities would substantially impact on the environment, resulting in “change of land cover and land use”, “use of energy and its impacts”, “exchange of biota and species extinction”, and “dispersion of diseases” [14]; Hunter, C. (1995) investigated Tourism’s environmental impacts on the natural, and constructed an assessment model [15]; Wang (1996) and Wang (1999) analyzed some cases of uncoordinated development between tourism and the environment and their impact [16,17]; Collins, A (1998) thought tourism-centric development policies were also reasoned to be of inherently limited value in achieving strong sustainability objectives in protection of the environment. However, research into the coordinated development of the sub-systems of environment, tourism, and the economy has only been developed of late.
At present, the coordinated development of ecology-tourism-economy systems is mainly qualitatively researched: little quantitative research exists. Murphy, P.E. (1998, 2004) found that tourism was simultaneously portrayed as a destroyer of environment, undermining social norms and economics, and believed it was the community participation in tourism management that promote the coordinated development of the environment, tourism and economy [18,19]. Zhu (2000), and Yan (2002), considered that the regional economy and tourism have to develop in a step with the environment [20,21]. They proposed a development strategy, which highlights regional characteristics, efficiency, and environmental protection, for a regional environment-tourism-economy system. Gossling, S. et al. (2005) analyzed the interplay of environmental damage and economic gains within the context of tourism [22]. Zhang et al. (2008) investigated the coordination of tourism, economy, and the environment in Guilin City in China, and concluded that coordination lay at a low-to-medium level [23]; Li and Wei (2012) put forward countermeasures for the coordinated development of their regional environment, economy and tourism industry from the perspective of the low carbon economy [24]; Liu and Yang (2011) analysed the mechanics of coordinated development in a regional environment-tourism-economy system [25]; Zhong and Liu (2012) conducted research into grading the coordinated development of an environment-tourism-economy system in Guangdong Province, China [26]. Qualitative research fails to describe the harmony among the sub-systems in regional environment-tourism-economy systems, and it cannot reflect the extent to which development is coordinated within the system. Regarding previous quantitative research into the coordinated development of regional environment-tourism-economy systems, the investigation methods adopted were mainly analytic hierarchy processes, fuzzy multiple judgments, order parameter efficacy functions, etc.; while for determining an indexing system, expert consultation methods and literature search-based methods were most commonly used. Environment-tourism-economy systems, as complex dissipative structures, show, in their development, characteristics of non-linear coupling and consistency. The results obtained using these evaluation models fail to explore the non-linearity of the coordinated development of environment-tourism-economy systems and the temporal variation of the coordinated development thereof. Therefore, they cannot describe the characteristics and governing laws of operation of the system. Additionally, the indices determined using an expert consultation method and a literature survey-based method are incapable of reflecting their contributions to the coordinated development of the system. So doubt remains as to their validity.
The evolutionary characteristics of a system depend on the interactions between its elements and their effects. To move towards an ordered mechanism, the most important thing is neither the balance of the current system, nor the distance of the system from equilibrium. What is most important is the coordination among the sub-systems within the system. Order parameters play a leading role in system development, and whether phase change of system happens or not is determined by the changes of order parameters. Coordination refers to the cooperation, harmony, and virtuous circles extant among multiple systems or their elements. The degree of coordination represents the extent to which systems or their elements are consistent with regards their development. These phenomena show the trend by which a system becomes more orderly. Development differs from growth. Growth refers to the volume expansion of the system, but development refers to the orderly evolution based on the coordination of each part within the system. Sometimes, a reorientation of economic priorities may lead to growth, but it may be always away from growth. So we must enhance human well-being through a more environmentally-friendly way to guarantee the development of environment-economic-society system (Gregory M. Mikkelson, 2013) [27]. Considering environment-tourism-economy systems as complex, and large, based on system theory and coordination theory, we can further analyze the factors influencing the orderly evolution of the system, and discover the underlying problems influencing that orderly evolution, then construct a reasonable coordination mechanism for the promotion of orderly development of the regional environment-tourism-economy system. Research on dynamic coordinated development of the system must probe into the order changes of order parameter during the evolution of the system. To study the dynamic coordinated development of regional environment-tourism-economy, we should analyze the order changes of environment benefit index, tourism benefit index and economy benefit index which are determined by interactions among environmental sub-system, tourism sub-system and economic sub-system, and analyze the changes of coordinated development determined by regional interactions of sub-systems of environment, tourism, and economy and the benefit index of them.
As an undeveloped region, western Hunan contains a mix of minorities with an imbalanced development of its economy, society, and environment. The region is rich in tourism resources, which is not only an important domestic tourism destination of China, but also is becoming an international tourism destination. The rapid development of tourism damages the environment. Meanwhile, owing to the backward state of its economy, there is no basis upon which the development of tourism can be supported. All these result from many problems with the sustainable development of regional tourism and these are pressing issues for the coordinated development of the environment-tourism-economy system of western Hunan. Therefore, on the basis of previous research, this study firstly constructed an evaluation index system based on regional coordinated development theory, system theory, and the PSR conceptual framework. The evaluation index system was determined according to the accumulative contribution rate by rotating factor loading using principal component analysis. With a related evaluation model, it quantitatively investigated the coordinated development of the environment-tourism-economy system in western Hunan, explored the dynamic evolution of the system and revealed the internal mechanism of the coordinated development of the environment, tourism, and the economy. It purported to promote a profound recognition of the problems arising from the development of the environment, tourism, and the economy and in doing so proposed favorable countermeasures.

2. Methods

2.1. Construction of Evaluation Index System

To measure the coordinated development of an environment-tourism-economy system, it was necessary to follow three principles when determining the evaluation index system: the scientific principle required that index selection that should be based on practical conditions and that those indices selected can facilitate the analysis; the completeness principle refers to the completeness of these indices, that is, the indices selected should focus on the evaluation and comprehensively reflect these objectives without omission or bias; the principle of feasibility required that the data relating to the indices were easily accessible and calculable.
This research adopted a PSR (pressure-state-response) model for the evaluation index system. The PSR conceptual model was proposed by the Organisation for Economic Co-operation and Development (OECD) in 1994 to evaluate global environmental conditions. Shortly after the model was established, many types of modified models were proposed, such as PSIR (pressure-state-impact-response), DSR (drivingforce-state-response), and DPSIR (drivingforce-pressure-state-impact-response) conceptual models. The PSR conceptual model can clearly reflect the causal relationships between elements and monitor the continuous feedback mechanism from each factor [28,29]. Moreover, it was effective when exploring causal links between human economic activities and their influences on the environment. This model considered that there were interactions between anthropogenic economic and social activities and the environment: humans acquire various resources from their environment and exert certain pressures thereon in doing so (pressure). Meanwhile, being subjected to that pressure, the environment responds (state); society should take responsibility for these changes and take measures to prevent ecological deterioration or promote its restoration by making the necessary responses (response). The pressure-state-response relationship between human activities and the environment is thereby formed, which effectively reflects the interdependences of nature, the economy, and resources. The PSR model, as an advanced resource and environment management system, is mainly applied to the management and protection of resources including: water, soil, agriculture, biota, and the scientific decision-making and implementation of environmental management. It is designed to reflect the causal relationships between the interactions of humans and the environment. Although successfully used abroad, the PSR model, in China, is mainly applied during research into evaluation index systems for environmental management, and the sustainable utilization of soil and water resources. Any unreasonable touristic development can also bring pressure to bear on the ecological and economic environment in tourist destinations. Therefore, capital investment is required for tourism development and allied construction activities. Healthy regional economic development can promote the local tourism industry and provide the destination with favorable conditions for both tourism development and the environment. A depressed regional economy may hinder tourism and any associated environmental protection [30]. Overly rapid regional economic development or inapplicable development models are prone to exerting serious influences on the environment. To achieve sustainable, healthy development of any environment-tourism-economy system, it is necessary to respond to the “pressure” arising from uncoordinated development of the system. In the index system constructed with a PSR model, the pressure index is used to express characteristic factors of human activities, consumption mode, or the economic system, which cause unsustainable development; the state index reflects the states of each system in sustainable development; and the response index indicates the countermeasures deployed by humans in the process of sustainable development. According to the PSR concept model, this study evaluated the coordinated development of an environment-tourism-economy system with 33 indices selected from nine aspects of the region, including: the state of the environment, the problems therein, environmental management measures, tourism industry strength, the state of current touristic developments, the income structure stemming from tourism, the strength of the economy, and current economic developments and structures (Table 1). These indices were determined according to the accumulative contribution rate (85%) by rotating factor loading using principal component analysis. In this way, the validity and representativeness of the indices are guaranteed. To eliminate the influence produced by the quantitative and dimensional differences in the data, the data were standardized by range standard method. The weights of the indices were determined by Delphi and analytical hierarchy process [31,32]. Expert group was made up of 35 experts from 5 fields: scenic area management, tourism research, environment management, regional economy and administration, and each field contain 7 experts.
Table 1. Evaluation index system for the coordinated development of an environment-tourism-economy system in western Hunan.
Table 1. Evaluation index system for the coordinated development of an environment-tourism-economy system in western Hunan.
Target LayerSystem LayerElement LayerIndex Layer
environmentenvironment system f(x)State of environmentx1-forest coverage rate (0.115); x2-biological diversity (0.119); x3-precipitation (0.087); x4-sediment quantity (0.069); x5-runoff volume (0.073)
Problemsx6-soil and water loss rate (0.079); x7-tourism wastewater discharge (0.057); x8-tourism emissions (0.058); x9-tourism material discharge (0.073); x10-tourism land use area (0.066)
management measuresx11-ecological construction strength (0.101); x12-ecological protection consciousness (0.103)
TourismTourism system g(y)Tourism strengthy1-regional total tourism revenue (0.137); y2-total tourism income and the proportion in GDP (0.111); y3-the total number of tourists (0.137)
Tourism development situationy4-tourist growth rate (0.103); y5-growth rate of total tourism revenue (0.103)
Tourism Income structurey6-scenic income (0.061); y7-income from tourism accommodation industry (0.073); y8-income from tourism catering industry (0.076); y9-income from tourism transportation (0.055); y10-income from tourism shopping industry (0.075); y11-the income from tourism entertainment industry (0.069)
Economic composite systemEconomic system h(z)Economic strengthz1-per capita GDP (0.123); z2-per capita gross domestic product (0.127); z3-Workforce Index (0.097)
Economic developmentz4-the growth rate of GDP (0.111); z5-the growth rate of per capita GDP (0.110); z6-per capita disposable income (0.119); z7-the general consumer price (0.111)
Economic structurez8-the proportion of primary industries (0.065); z9-the proportion of second industries (0.067); z10-the proportion of tertiary industries (0.070)

2.2. System Evaluation Model for Coordinated Development

This study used a coordinated development degree model (Liao, 1999; Yang, 1994, 1999; Li and Wei, 2005; Dang and Yao, 2013) based on regional coordinated development theory, system theory, and dispersion coefficient minimization theory [33,34,35,36,37]. According to the benefit coefficient of an environment-tourism-economy system at time t and the coupling degree of the sub-systems, it measured the development level of the system at time t. The model is expressed as:
Sustainability 06 05231 i001
Sustainability 06 05231 i002
Sustainability 06 05231 i003
Sustainability 06 05231 i004
C(t) = αf(t, x) + βg(t, y) + γh(t, z)
Sustainability 06 05231 i005
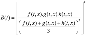
where, B(t) refers to the degree of coupling of the sub-systems, namely: environment, tourism, and economy. It denotes the balance of the interactions of the three systems. As B(t) approaches 1, the more balanced the interaction in these sub-systems; f(t, x), g(t, y), and h(t, z) which represent the benefit functions of environment, tourism, and economy at time t respectively; k is the adjustment coefficient, k ≥ 2. In this study, k = 6; x1, x2, x3, …, xm are the m indices describing the characteristics of the environment which were standardized as Sustainability 06 05231 i006 respectively; y1, y2, y3, …, yn are the n indices depicting the tourism system which were standardized as Sustainability 06 05231 i007 respectively; z1, z2, z3, …, zj are the j indices pertaining to the economy which were standardized as Sustainability 06 05231 i008 respectively; ai is the weight of index I in the environment system; bi is the weight of index I in the tourism system; ci is the weight of index I in the economic system; C(t) is a comprehensive benefit evaluation index for environment, tourism, and the economy which reflects the overall benefit of the system; α, β, and γ are undetermined coefficients, α > 0, β > 0, γ > 0, and α + β + γ = 1. Both regional environment and economic development play an important role in tourism development; the interactions are asymmetric. Even rapid development of the tourism industry can promote regional economic development, while the development of the regional economy is a result of the combined interactions of multiple elements. The development of a regional environment can effectively promote tourism, while tourism may interfere with, or damage, the environment [6]. Therefore, according to expert advice, we set α = 0.4, β = 0.2, and γ = 0.4; D is the coordinated development degree which expresses the level of coordinated development in the system and the overall coordination effects of regional environmental-touristic-economic development; it may be deduced that 0 < D < 1. In cases where the coordinated development degree is 1, the system is in an optimal coordinated development state; otherwise, the lower the coordinated development degree, the more uncoordinated the system. To effectively illustrate the evolution of coordinated development of the environment-tourism-economy system, a fuzzy membership degree was introduced to establish fuzzy level classification criteria for coordinated development (Table 2).
Table 2. Fuzzy level classification criteria for the coordinated development of a regional environment-tourism-economy system.
Table 2. Fuzzy level classification criteria for the coordinated development of a regional environment-tourism-economy system.
Coordinated Development DegreeFuzzy LevelScoring Standard
V1High imbalance0–0.100
V2Serious imbalance0.101–0.200
V3Moderate imbalance0.201–0.300
V4Slight imbalance0.301–0.400
V5Approaching imbalance0.401–0.500
V6Barely coordinated0.501–0.600
V7Primarily coordinated0.601–0.700
V8Moderate coordination0.701–0.800
V9Favourable coordination0.801–0.900
V10Highly Coordinated0.901–1.000
A regional environment-tourism-economy system is a complex dissipative structure, and it develops non-linearly. Based on the evaluation model, the benefits of regional environment, tourism, and economy are calculated annually, along with the yearly comprehensive benefit and extent of coordination therein. By analyzing the relationships between these factors and the development trends, the non-linear principle for the coordinated development of a regional environment-tourism-economy system is revealed.

2.3. Data Source

The data related to the economic income and tourism development in western Hunan were obtained from the “2001–2012 Statistical Yearbook” of Zhangjiajie City, Xiangxi Autonomous Prefecture, and Huaihua City; the data related to the condition of the environment were collected from the Forestry Bureau, Environmental Protection Bureau, Land Bureau, Tourism Bureau, and hydrological monitoring stations of the three cities in western Hunan; therein, the data related to forest coverage and biological diversity were collected from the Forestry Bureau of the three cities in western Hunan; data related to precipitation, sediment quantity, runoff volume, and soil and water loss rates were obtained from the Environmental Protection Bureau in each of the three cities; the tourism land use area was calculated according to the tourism building area, hotel building area, main tourism roads, tourism shopping area, tourist transport centers, etc., which were collected from the Land Bureau. Tourism emissions are mainly composed of CO2, SO2 and NOx. Its CO2 mainly comes from hotels, tourist traffic, and tourists themselves, and its SO2 and NOx mainly comes from hotels and tourist traffic. The data relating to emissions from hotels and tourist traffic were calculated according to the related data provided by the Environmental Protection Bureau and Tourism Bureau (hotel emissions were calculated according to their yearly energy consumption; tourist traffic in the region mainly consists of tourist buses and self-drive vehicles, and such data are recorded annually); The amount of CO2 discharged by tourists was calculated using an assumed rate of 0.9 kg/person/day (i.e., a person consumes 0.75 kg oxygen and exhales 0.9 kg CO2) (Zhang, 2008) [38]. The tourism wastewater and material discharges were acquired from wastewater and waste material amounts in hotels, scenic regions, and tourist transport areas as collected from the Environmental Protection Bureau. Data about public awareness of ecological protection were collected by questionnaire survey conducted by the research team (the questionnaire is used annually to investigate the awareness of ecological protection amongst the region’s public, including both residents and tourists, using a Delphi method. The awareness of ecological protection intensity lies within the range [0, 1]); the ecological construction strength was obtained by calculating the proportions of ecological protection and construction investment funded by, and in, the total financial expenditure of the three cities in western Hunan from 2001 to 2012.

3. Results and Analysis

3.1. Basic Conditions of the Research Region

Western Hunan in this research refers to the western region of Hunan Province in a geographical sense, including Zhangjiajie City, Huaihua City and Xiangxi Autonomous Prefecture. This region borders Guizhou Province and Chongqing City to the west. To the north, it is bordered by Hubei Province. To the south, it is connected with Guangxi Autonomous Region. To the east, it borders Changde City, Yiyang City, Loudi City and Shaoyang City in Hunan Province. The area covers longitude 108°47′ E to 111°20′ E and latitude 25°52′ N to 29°48′ N. It contains 23 counties or county-level cities and has an area of 52,578 km2. The total population is 8,898,900, with 167 persons per km2. Topographically, the region is mainly mountainous or hilly: it is in a transition zone and has a sub-tropical humid monsoon climate which endows this region with four distinct seasons, a mild climate, concentrated rainfall, and rich solar and thermal resources. The average temperature lies between 16 °C to 18 °C. The average temperatures in January and July are 4.9 °C and 28.1 °C respectively. T average annual precipitation is 1300–1700 mm. This region has a dense river network and rich river-water resources. However, the volume of river water undergoes significant seasonal changes, with spring and summer being the rainy season and autumn and winter being the dry season. According to general classification system of vegetation, the system of forest ecosystem in the Xiangxi area mainly consists of warm evergreen coniferous forest, deciduous broadleaf forest, evergreen and deciduous broad-leaved mixed forest, evergreen broad-leaved forest, evergreen sclerophyllous broad-leaved forest, warm shrubs, evergreen leather leaf brush and herbaceous swamp. The soils are mainly red yellow, yellow and yellow brown soils in deep strata, with 4.5 ≤ pH ≤ 5.5. The parent rocks are mainly sandstones and shales. The soils are distributed vertically, with coverage between 700 and 1000 m altitude comprising mountainous yellow soil, 700 to 1200 m with yellow soil, and yellow brown soils above 1200 m. The region is diverse with regard to its tourism resources. According to the classification method of tourism resources in the Classification, Investigation and Evaluation of Tourism Resources, edited by The Chinese Academy of Sciences and National Tourism Administration, there are 121 types of tourism resources in the region, accounting for 78.5% of the fundamental types of tourism resources in China. Additionally, the region is rich in tourism resources, of which, geological and folk tourism are the most famous. The Wulingyuan Geological Park, which is on World Natural Heritage and World Geopark lists, and three national geological parks (Fenghuang Mountain, Wulong Mountain, and Guzhanghong Stone Forest) are located in the region. Moreover, there are 46 national minorities living in the region. They are characterized by their distinct lifestyles, diet, dress, artisanal handicraft production, marriage rites, family customs, villages, festivals, burial rites, religion, etc.
Although being less developed economically, this region experiences rapid economic growth. Its GDP reached ¥149,525 million (CNY) in 2011, an increase of 12.8% from 2010. The primary, secondary, and tertiary industries grew by 3.7%, 13.2% and 13.1% respectively. The three sectors were (proportionally) 15.1:39.5:45.4; in 2012, the GDP reached ¥173,778 million, an increase of 16.22% from that in 2011; the primary, secondary and tertiary industry sectors grew by 3.9%, 11.1% and 12.3% respectively. The sectors were (proportionally) 14.9:39.1:46.0. Tourism in this region witnessed rapid redevelopment; in 2011, western Hunan received 44,517,000 tourists and earned tourism revenue worth ¥34,016 million (increases of 19.16% and 21.31% over 2010 figures respectively). In 2012, these increased to 54,801,000 tourists and ¥42,622 million respectively (increases of 18.04% and 24.74% respectively). Regarding the region, tourists mainly come from China, inbound tourists account for a small proportion of total visitor numbers (this is because the rapid economic development of China itself draws an increasing number of tourists). While the number of inbound tourists saw a rapid increase: in 2002, the number of inbound tourists was 357,300, while it grew to 1,259,000 in 2007 and 2,978,700 by 2012. The inbound tourists mainly came from South Korea, Japan, etc.

3.2. Results and Analysis

Using the aforementioned method, the data for western Hunan during the years 2001 to 2012 were used to calculate f(x), g(y), h(z), B, C, and D for the environment-tourism-economy system, as shown in Table 3, Table 4, Table 5, Table 6, Figure 2, Figure 3, Figure 4 and Figure 5.
Table 3. The benefit index, coupling degree and coordinated development level of the environment, tourism and economy system in western Hunan during 2001–2012.
Table 3. The benefit index, coupling degree and coordinated development level of the environment, tourism and economy system in western Hunan during 2001–2012.
Index200120022003200420052006200720082009201020112012
f(x)0.57120.61630.62040.62610.65450.67750.67790.67860.67870.67890.71520.7634
g(y)0.39030.51150.17140.51310.61620.68310.37450.37210.38150.70740.75860.8043
h(z)0.15150.20870.13210.20310.25580.37970.26750.25740.32170.38970.44890.4831
B0.08380.16970.01240.14900.23100.53230.25720.23230.38270.53840.62640.6409
C0.36170.43230.33530.43430.48740.55950.45300.44880.47630.56890.61740.6595
D0.17540.27090.06450.25430.33550.54580.34140.33290.42690.55340.62190.6501
Table 4. The benefit index, coupling degree and coordinated development level of the environment, tourism and economy system in Zhangjiajie City during 2001–2012.
Table 4. The benefit index, coupling degree and coordinated development level of the environment, tourism and economy system in Zhangjiajie City during 2001–2012.
Index200120022003200420052006200720082009201020112012
f(x)0.61520.65340.64780.65140.66570.68170.68620.68720.63740.68410.76010.7851
g(y)0.51620.60160.19740.58130.71320.76350.42040.41030.41530.81540.89140.9123
h(z)0.35610.40210.15630.35610.41470.45610.31070.30650.31520.48250.51320.5212
B0.63740.68060.02400.55960.61170.65710.37820.35980.46480.38280.62860.6182
C0.49180.54250.36110.51930.57480.60780.48280.47960.48410.63370.68760.7050
D0.55990.60770.09310.53910.59300.63200.46010.41540.43050.64610.65740.6602
Table 5. The benefit index, coupling degree and coordinated development level of the environment, tourism and economy system in Xiangxi Autonomous Prefecture during 2001–2012.
Table 5. The benefit index, coupling degree and coordinated development level of the environment, tourism and economy system in Xiangxi Autonomous Prefecture during 2001–2012.
Index200120022003200420052006200720082009201020112012
f(x)0.54120.59630.58340.59610.62450.66050.66110.66160.66530.67890.69520.7132
g(y)0.31030.45150.13140.41310.48620.56310.34450.32210.34150.59740.64860.7313
h(z)0.13150.16870.11210.19310.26580.35970.18750.16580.18970.29970.36890.4561
B0.06120.09880.00480.16250.34010.56820.09790.06610.09870.34740.51040.6704
C0.33110.39630.30440.39830.45340.52070.40830.39540.41100.51090.55540.6140
D0.14230.19790.03820.25440.39270.54390.19990.15540.20140.42120.53240.6416
Table 6. The benefit index, coupling degree and coordinated development level of the environment, tourism and economy system in Huaihua City during 2001–2012.
Table 6. The benefit index, coupling degree and coordinated development level of the environment, tourism and economy system in Huaihua City during 2001–2012.
Index200120022003200420052006200720082009201020112012
f(x)0.62410.66750.64670.66370.70980.75140.75410.75760.75970.76890.79520.8161
g(y)0.15630.16750.11340.27910.39320.66310.36450.34210.36050.67420.70860.7574
h(z)0.18750.21870.15210.21360.28580.39970.34520.33580.34370.41970.45890.4893
B0.02610.03230.03960.10840.27030.53330.29640.25070.28260.56240.62030.6484
C0.35590.38790.34220.40670.47690.59310.51150.50580.51350.61030.64340.6736
D0.09640.111910.03650.20980.35900.56240.38940.35610.38090.58590.63170.6608
Figure 1. The region of Western Hunan of Hunan Province.
Figure 1. The region of Western Hunan of Hunan Province.
Sustainability 06 05231 g001
Figure 2. The change of the benefit index, coupling degree and coordinated development level of the environment, tourism and economy system in western Hunan during 2001–2012.
Figure 2. The change of the benefit index, coupling degree and coordinated development level of the environment, tourism and economy system in western Hunan during 2001–2012.
Sustainability 06 05231 g002
Figure 3. The change of the benefit index, coupling degree and coordinated development level of the environment, tourism and economy system in Zhangjiajie City during 2001–2012.
Figure 3. The change of the benefit index, coupling degree and coordinated development level of the environment, tourism and economy system in Zhangjiajie City during 2001–2012.
Sustainability 06 05231 g003
Figure 4. The change of the benefit index, coupling degree and coordinated development level of the environment, tourism and economy system in Xiangxi Autonomous Prefecture during 2001–2012.
Figure 4. The change of the benefit index, coupling degree and coordinated development level of the environment, tourism and economy system in Xiangxi Autonomous Prefecture during 2001–2012.
Sustainability 06 05231 g004
Figure 5. The change of the benefit index, coupling degree and coordinated development level of the environment, tourism and economy system in Huaihua City during 2001–2012.
Figure 5. The change of the benefit index, coupling degree and coordinated development level of the environment, tourism and economy system in Huaihua City during 2001–2012.
Sustainability 06 05231 g005

3.2.1. Benefit Changes in the Environment, the Tourism Sector and the Economy

As shown in Table 3, Table 4, Table 5, Table 6, Figure 2, Figure 3, Figure 4 and Figure 5, the environment, tourism, and the economy in western Hunan all benefitted from 2001 to 2012. In particular, the tourism benefit index g(y), economic benefit index h(z), and comprehensive benefit index C of the environment-tourism-economy system grew rapidly from 0.3903, 0.1515, and 0.3617 in 2012 to 0.8043, 0.4831, and 0.6595 in 2012 respectively. Of the benefit indices in western Hunan including f(x), g(y) and h(z), the environment benefit index remained relatively high with a slow growth trend. It was 0.5712 in 2001 and 0.7634 in 2012, with an increase rate of only 2.80% over those 12 years. This result suggested that, compared with economy and tourism, the foundation of environmental development in this region is better. However, due to difficulties in improving the process, the effect was less than may be otherwise supposed. The tourism benefit index saw the fastest growth, with an average increase of 8.84% over the 12 years. This was caused by the constant economic, social, and cultural development tin China and abroad, as well as sustained investment in the tourism resources, the tourism market, and the continuous improvement in the tourism environment in the region in recent years. The g(y), h(z), C for western Hunan showed certain variations. The curves of the three indices present two obvious lows during the 12 years. In 2003, g(y), h(z) and C decreased by 66.49%, 36.07% and 24.01% from those in 2002. In 2004, they returned to their 2002 levels. In 2007, g(y), h(z) and C decreased by 45.18%, 29.55% and 18.87% from the previous year. In 2008 and 2009, they continued to decrease. In 2010, they rebounded to their 2006 levels. However, in the two lows in the development of g(y), h(z) and C, the environmental benefit showed slight growth. This result suggested that the tourism and economy in this region were fragile to some extent. The prevalence of “SARS” in 2003 and the global financial crisis which started in 2007 affected both tourism and economic development in this region. On the other hand, it has been shown that tourism and economic development are important factors influencing the development of the environment. Therefore, when tourism and the economy develop slowly or even shrink, the environment may actually improve. Of course, this result also verified the importance of the role of the self-organizing characteristics of the environment with its natural ability to self-maintain.
On the whole, the development of f(x), g(y), h(z) and C in the three cities in western Hunan were consistent with the overall situation indicated above. However, as shown in Table 3, Table 4, Table 5, Table 6, Figure 2, Figure 3, Figure 4 and Figure 5, they were unbalanced in different cities: Huaihua City had the highest environmental benefit, while Zhangjiajie City exhibited both high tourism and economic benefits. But the growth rate of tourism and economic benefits is slow in Zhangjiajie City, and the average annual growth rate of them were only 0.698%, 4.21% respectively during 2001–2012, which indicated that the development advantages based on tourism industry were becoming weak gradually. In addition, Huaihua witnessed the fastest tourism benefit growth. In 2001, the tourism benefit index of Huaihua was 0.1563, which was only 30.29% and 50.37% of that of Zhangjiajie City and Xiangxi Prefecture respectively. However, in 2006, it jumped to 0.6631. This value was significantly higher than that of Xiangxi Prefecture and 85.85% of that of Zhangjiajie City. On the one hand, western Hunan attached great importance to the integration of its regional tourism development in recent years, especially to the integration of tourism resource systems and tourism market systems. Therefore, tourism in Huaihua City, with slightly poorer tourism resources, was driven by tourism in Xiangxi Prefecture and Zhangjiajie City. The tourism development pattern of western Hunan changed gradually. On the other hand, with transportation improvements in Huaihua City in recent years, the geographical location advantages of Huaihua City, namely, linking western and eastern regions, became increasingly prominent. Comparatively, the importance to traffic of the location of Xiangxi Prefecture in south-western China was weakened to some extent relative to that of Huaihua. Therefore, the tourism development superiority of Huaihua City was highlighted. As for the two lows in the development of g(y), h(z) and C, Zhangjiajie suffered the most, followed by Xiangxi Prefecture. This suggested that tourism and the economy of Zhangjiajie were the most vulnerable. This was because the economic income of Zhangjiajie was mainly derived from tourism. Since tourism in Zhangjiajie has been preferentially developed both in China and abroad, the economy and tourism in Zhangjiajie depend on external development conditions to a large extent. So, any crisis pertaining to the development of tourism in China and abroad causes the economy of Zhangjiajie to be disproportionately affected. In contrast, tourists travelling to Xiangxi and Huaihua mainly come from the surrounding provinces; the international tourism markets of the two regions have not been effectively developed. Therefore, the two regions are less restricted by large-scale tourism development factors in China and abroad. In addition, compared with the other two cities, Huaihua has established relatively complete industry clusters. Tourism revenue is only a small part of its income. Therefore, this city had the least economic vulnerability and two shallow lows in its development of g(y), h(z) and C.

3.2.2. Analysis of the Coupling Pattern of the Environment, Tourism and Economy

The coupling degree B expresses the degree of balance in the interactions of the factors in a system, and the nearer B(t) approaches 1, the more balanced the interaction in these sub-systems. As shown in Table 3, Table 4, Table 5, Table 6, Figure 2, Figure 3, Figure 4 and Figure 5, in western Hunan the coupling degree of the sub-system of environment, tourism and economy is not high, and the B value of which varied from 0.0838 to 0.5384 during 2001–2010. This was mainly due to the lagging development of its tourism and economy, especially the under-developed economic subsystem in this area had greatly restricted the coupling development of the environment- tourism- economy system. In 2001, the economy benefit index and tourism benefit index of western Hunan were 0.0838 and 0.3903% respectively, which were only 26.52% and 63.33% of its environment benefit index. Then, with the development of economy and tourism, the coupling degree B of the environment-tourism-economy system in western Hunan increased gradually. While in 2007, the world economic crisis brought serious impact on the development of tourism and economy in this area, especially in 2008, the economy benefit index and tourism benefit index reduced from 0.3797 and 0.6831 in 2006 to 0.3745 and 0.2574. This situation did not get better until 2009. This outcome proved that the interactions of the three sub-systems in western Hunan were unbalanced because of lagging development of its tourism and economy from 2001 to 2010. The environment played the dominant role in the development of the environment-tourism-economy system. However, western Hunan saw a rapid expansion of tourism and economic order parameters and an increase of the extent of coupling of the three sub-systems in the same period. In 2010, the regional government adjusted their economic and tourism development policies and formulated more favorable industrial cluster development policies. Moreover, it strengthened the development of eco-tourism. Compared with the extensive development before, the government of western Hunan focuses on the protection of the ecological environment in tourism development at present, for example, restricting the number of tourists in some main scenic spots, using environmentally friendly cars in most of scenic areas to reduce tourism traffic emission, and strengthening environmental education for the community and tourists. But all of these were ignored in this region before. Therefore, the coupling degree of the three sub-systems increased to 0.6409 in 2012. Meanwhile, after 2010, the role of the environment gradually declined in the development of the environment-tourism-economy system in this region, while the dominant role of tourism was highlighted. Additionally, the coupling degree variations of the three sub-systems in these three cities in western Hunan also varied. From 2001 to 2012, Zhangjiajie presented the highest B value overall, while having lowest rate of increase and the largest variations. In 2011, B reached 0.6374, which was the highest of the three cities. However, in 2012, it decreased to be the lowest value of the three cities. Especially in the “SARS” year (2003), the B value was only 0.024. This result implied that economic development had become a bottleneck restricting the development of the environment in Zhangjiajie; The B value for Huaihua increased most rapidly. In 2001, it was only 0.0261. By 2012, it had increased to 0.6484 at an average annual rate of increase of 5.19%.

3.2.3. Analysis about the Coordinated Development Pattern

As suggested by Table 7, Figure 2, Figure 3, Figure 4 and Figure 5, the environment-tourism-economy system of western Hunan was almost uncoordinated from 2001 to 2009. In 2001, the coordination degree D of this system was only 0.1754, which proved the uncoordinated state of this system. Especially in 2003, when D was only 0.0645, a highly uncoordinated state prevailed. This result implied that the “SARS” effect exerted a serious impact on the system. Under such an impact, the system almost collapsed; from 2005 to 2009, the D value of this system varied between 0.3 and 0.5, implying that the three sub-systems (environment, tourism, and economy) were mutually antagonistic. In 2010, the environment-tourism-economy system of western Hunan showed a barely coordinated state and rapid improvement thereafter. In 2012, the D value increased to 0.6501, implying a primary coordination state. This outcome revealed that the order parameter adjustment of the environment-tourism-economy system of western Hunan showed favorable positive effects after several years of development. The sub-systems therein were developing towards a state of correct proportional importance and mutual synergistic growth. Through the flows of investment, effort, and information flow, continuous promotion of the improvement of the environment-tourism-economy system was achieved.
Table 7. The coordinated development of the environment-tourism-economy system of western Hunan from 2001 to 2012.
Table 7. The coordinated development of the environment-tourism-economy system of western Hunan from 2001 to 2012.
YearCoordinated Development Degree DCoordination StateYearCoordinated Development Degree DCoordination State
20010.1754Serious imbalance20070.3414Slight imbalance
20020.2709Moderate imbalance20080.3329Slight imbalance
20030.0645High imbalance20090.4269Approaching imbalance
20040.2543Moderate imbalance20100.5534Bare coordination
20050.3355Slight imbalance20110.6219Primary coordination
20060.5458Bare coordination20120.6501Primary coordination
However, the coordinated development of the environment-tourism-economy system of western Hunan still faces great challenges. As shown in Table 3, Table 4, Table 5, Table 6, Figure 2, Figure 3, Figure 4 and Figure 5, it can be seen from the benefit indices f(x), g(y), and h(z) of this region from 2001 to 2012 that, although the three indices presented increasing trends on the whole, these increases were not synchronized. The economic benefit index lagged the environment index. Moreover, its growth was slower than that of the tourism benefit index. Lagging economic development will restrict environmental and touristic development; In contrast, the tourism benefits index grew too rapidly. In 2012, the tourism index g(y) of western Hunan was 0.8043, which exceeded the index f(x) (environment benefit). In particular, g(y) for Zhangjiajie was as high as 0.9123, which was far higher than the values of f(x) and h(z). The rapid and advanced tourism development in this city brought pressure to bear upon the environmental and economic foundations. In case of a failure to effectively control tourism development and alter the original extensive tourism development mode in Zhangjiajie, the environment-tourism-economy system in this city will become disordered once more. The environment-tourism-economy systems in the three cities in western Hunan also present unbalanced coordinated development. On the whole, the environment-tourism-economy system of Zhangjiajie exhibited the best coordinated development foundation albeit with the slowest development. In 2001, Zhangjiajie entered a primary coordination state with a D value of 0.5599. However, after 12 years’ development, it was still in a primary coordination state with a D value of 0.6602 in 2012 (increasing by an annual average rate of 0.84%). The environment-tourism-economy system of Huaihua showed the poorest coordinated development foundation albeit with the fastest development. In 2001, the D value of Huaihua was 0.0964. In 2012, it had increased to 0.6608 at an average annual growth rate of 4.70%. This D value was the highest of the three cities chosen.

4. Conclusions and Suggestions

An environment-tourism-economy system is a complex system with continuous material, energy and information exchanges and perplexing interactive effects between its sub-systems [39]. Due to the development degree differences in the sub-systems, the coupling degrees therein varied over time. Therefore, the coordinated development of an environment-tourism-economy system was subjected to a complicated evolution process. The coordinated development model has certain advantages in evaluating the environment-tourism-economy system, and it can explore the non-linearity of the coordinated development of environment-tourism-economy systems. By quantitatively describing the degree of coordination between sub-systems, it can reflect the development degree and the state of the system, as well as the characteristics of the system operation, which can help us to forecast the developing trend of regional environment-tourism-economy system, and propose scientific measures to improve the system. Based on the PSR conceptual model, the evaluation index system for the regional environment-tourism-economy system was determined by principal component analysis, which ensures that the evaluation indices were both valid and representative. It was revealed that the coordination degree D of the environment-tourism-economy system varied within the range [0–0.5] during 2001–2009 in western Hunan, that is to say, the environment-tourism-economy system in western Hunan had been in an uncoordinated state from 2001 to 2009 based on the coordinated development model. However, the system presented a rapidly increasing trend. The coordination degree D was more than 0.6 in 2011. It revealed that the order parameter adjustment to the environment-tourism-economy system of western Hunan showed favorable positive effects after several years of development, suggesting a transition in the system from disordered development to orderly development. The coordinated development of the environment-tourism-economy system in western Hunan was affected by many factors such as the economic crisis, illness, tourism development policy and economic development policy, etc., and the strength that these factors affected the ecological environment subsystems, tourism subsystems, and economic subsystems was not the same in different time, so the coordinated development of the environment-tourism-economy system in western Hunan had non-linear characteristics. The coordinated development was unbalanced in different cities in western Hunan. The environment-tourism-economy system of Zhangjiajie exhibited the best coordinated development foundation albeit with the slowest development speed. During 2001–2012, D value of its average growth rate was only 0.84%, while in Huaihua City it was 4.70%, which is the highest among the three cities in western Hunan. The economic benefit index ranged from 0.1321 to 0.4831, and the long-term under-developed economy of western Hunan has become the main factor restricting the coordinated development of the environment-economy system of western Hunan; although it has been provided with favorable foundations, the environment in this region has developed slowly. Moreover, in case of a failure to control the rapid development of tourism, this region may re-enter its previous uncoordinated development phase. That is to say, the environment becomes the main factor restricting tourism and economic development in the region. Regardless of the rapid development, tourism industry in this region had the characteristics of fluctuation. In 2003 and 2008, the economic benefit index dropped to 0.1714 and 0.3721 respectively, which showed considerable vulnerability of tourism industry in western Hunan. This was consistent with the actual situation of the environment-tourism-economy system in western Hunan and thus proved the applicability of the evaluation method in reflecting objective facts.
To promote the coordinated development of the environment-tourism-economy system in western Hunan, the following recommendations were proposed: (1) Strengthening the investigation of the forecasting and early-warning of the evolution of the environment-tourism-economy system and more deeply revealing the relationships between its sub-systems; scientifically and reasonably regulating the development process of this system by exploring the evolution mechanism and evolution laws. (2) Guiding the development of the economy, tourism, and environment in this region with system coordination development theory. Considering inter-dependence, inter-promotion, inter-constriction, integrity and comprehensiveness of the sub-systems, it was deemed important to establish system integrity awareness and a regional development view for regional sustainable coordinated development of the environment-tourism-economy system. (3) Scientific sustainable development planning of the environment-tourism-economy system should be made, and economy and tourism should be develop appropriately based on the correct forecast and early-warning of the evolution of environment-tourism-economy system to ensure that the environmental assets and conditions can be maintained well. (4) Optimizing its industrial structure. It is inadvisable to develop the economy and tourism at the expense of the environment. With regard to economic and tourism development, it is suggested that we continuously reinforce industrial clustering of construction to optimize the industrial structure; moreover, by improving the security of the tourism and economic systems, their vulnerability is reduced. (5) Strengthening environmental management; increasing investment in ecological construction and protection; improving ecological compensation mechanisms, and enhancing public awareness of environmental protection are necessary. (6) Improving the resource utilization rate in the economy and in tourism; establishing effective economic and tourism developments; reducing the damage caused by economic and tourism developments on the environment are also necessary.
In this paper, some further studies need to be done. Firstly, indices weights were determined with strong subjectivity. Though AHP was used to remedy this defect, its subjectivity cannot be eliminated completely. Secondly, due to different development levels and different conditions of environment, tourism and economy, there are different levels of dynamic coordinated development among different regions. Comparative Studies were not done between western Hunan and other regions because of limited data.

Acknowledgments

This research was supported by The Hunan Province Natural Science Fund Project (No. 13JJ6076), The Hunan Province Soft Science Research Project (No. 2011ZK2038 and 2012ZK2041), The National Natural Science Foundation of China (No. 71261001, 71371130 and 71302134), the Major International Joint Research Program of the National Natural Science Foundation of China (No. 71020107027), The National High-Technology Research and Development Major Programme of China (Programme 863) (No. 2008AA04A107), Projects 985 and 211 of Sichuan University, and the Doctoral Fund of The Ministry of Education of China (No. 20110181110034). We would like to thank the anonymous referees for commenting on this paper.

Author Contributions

Yaoqing Yuan made contribution to the study design and drafting of the manuscript. Maozhu Jin not only collected data, but also carried out most of the analyses. Mingming Hu and Jinfei Ren reviewed and edited the manuscript. Peiyu Ren provided a wide range of advice and support through the study. All authors read and approved the final manuscript.

Conflicts of Interest

The authors declare no conflict of interest.

References

  1. Yang, S.Q.; Yang, Z.L. Influence of different harmony functions on the harmony degree of ecology-economy-society system. Chin. J. Eco-Agric. 2007, 15, 151–154. [Google Scholar]
  2. Dang, J.J.; Yao, S.B. Coordinated development of a county ecological-economic-social system in Zhidan. Resour. Sci. 2013, 35, 1984–1991. [Google Scholar]
  3. Xiong, Y.; Zeng, G.M. Quantitative evaluation of the uncertainties in the coordinated development of urban human settlement environment economy. Acta Geogr. Sin. 2007, 162, 397–406. [Google Scholar]
  4. Yu, G.Y. Strive to achieve coordinated development. Beijing China Environ. Sci. Press 1984, 5, 87–97. [Google Scholar]
  5. Niu, W.Y. Research principles of regional development patterns and optimization of man-land system. Geogr. Inf. Sci. 1988, 12, 13–16. [Google Scholar]
  6. Robert, C.; Gottlieb, S. Modelling ecological and economic systems with STELLA: Part II. Ecol. Model. 1998, 112, 81–84. [Google Scholar]
  7. Hannigan, J. A regional analysis of tourism growth in Ireland. Reg. Stud. 1994, 28, 208–214. [Google Scholar]
  8. Simpson, F.; Chapman, M.; Mahne, L. Partnership Approaches to Tourism and Rural Development in Post Socialist Europe, the Experience of Notranjski Kras, Slovenia. In Proceedings of the Rural Tourism Management: Sustainable Options International Conference, Auchincruive, UK, 9–12 September 1998.
  9. Heng, T.M.; Low, L. Economic impact of tourism in singapore. Ann. Tour. Res. 1993, 17, 246–269. [Google Scholar]
  10. Xu, C.X. Study on development of non-optimal tourism resources. Econ. Geogr. 1993, 2, 17–22. [Google Scholar]
  11. Bao, J.G. Study on the distribution of theme parks. Geogr. Res. 1994, 3, 19–23. [Google Scholar]
  12. Wu, B.H. Study on destination choice behavior of chinese urban residents. Sci. Georaphica Sin. 1997, 2, 21–27. [Google Scholar]
  13. Buhais, D.; Westlake, J. Environment and tourism. Ann. Tour. Res. 1993, 20, 779–782. [Google Scholar]
  14. Dieke, P.U.C. Tourism and development policy in the Gambia. Ann. Tour. Res. 1993, 20, 423–429. [Google Scholar]
  15. Hunter, C.; Green, H. Tourism and the Environment: A Sustainable Relationship? Routledge: London, UK, 1995. [Google Scholar]
  16. Wang, L.J. Discussion on ecological tourism in China. Hum. Geogr. 1996, 2, 31–35. [Google Scholar]
  17. Wang, X.L. An analysis of social impact of travel in the Changbaishan Biological Cycle Nature Reserve. Tour. Trib. 1999, 2, 17–22. [Google Scholar]
  18. Murphy, P.E. Community driven tourism planning. Tour. Manag. 1998, 9, 96–104. [Google Scholar]
  19. Murphy, P.E.; Marphy, A.E. Strategic Management for Tourism Communities: Bridging the Gaps; Aspects of Tourism Series Channel View Publication: Clevedon, England, 2004. [Google Scholar]
  20. Zhu, T.Z. Ecological economic city: Ideal model of future city. Ecol. Econ. 2000, 3, 11–15. [Google Scholar]
  21. Yan, Y.B. Study on scenic management. J. Xiangtang Univ. Philos. Soc. Sci. 2004, 5, 21–26. [Google Scholar]
  22. Gossling, S.; Peeters, P.; Ceron, J.P. The eco-efficiency of tourism. Ecol. Econ. 2005, 54, 417–443. [Google Scholar]
  23. Zhang, Y.; Xu, J.H. Construction of evaluation model and empirical study of sustainable coordinated development of tourism economy ecological system. Tour. Sci. 2011, 22, 31–35. [Google Scholar]
  24. Li, Y.; Wei, Q.F. Study on coupling degree of regional economy-ecology-tourism based on low-carbon economy. Shaanxi J. Agric. Sci. 2012, 20, 160–190. [Google Scholar]
  25. Liu, D.H.; Yang, Y.C. Coupling coordinative degree of regional economy-tourism-ecological environment. Resour. Environ. Yangtze Basin 2011, 20, 892–896. [Google Scholar]
  26. Zhong, X.; Liu, Y.H. Coupled coordination degree of tourism-economy-ecological system in Guangdong Province. China Popul. Resour. Environ. 2013, 42, 13–21. [Google Scholar]
  27. Mikkelson, G.M. Growth is the problem; Equality is the solution. Sustainability 2013, 5, 432–439. [Google Scholar]
  28. Yang, M.X. Study on ecological security problem in scenery district. Yunnan Geogr. Environ. Res. 2007, 5, 106–110. [Google Scholar]
  29. Tan, Z.J.; Dai, S.M. Studies on the effect of recreation activities on soil microbial biomass carbon, soil microbial biomass nitrogen and soil microbial biomass phosphorus in Zhangjiajie National Forest Park. Acta Sci. Circumst. 2007, 11, 297–309. [Google Scholar]
  30. Jin, X.H.; Liu, L. Review on research methods of tourism ecology. Acta Phytoecol. Sin. 2008, 28, 2343–2356. [Google Scholar]
  31. Wu, W.H.; Liu, S.W. Evolutional analysis of coupling between population and resource-environment in China. J. Nat. Resour. 2006, 21, 853–861. [Google Scholar]
  32. Wu, Y.M.; Lang, D.F. Coordinated degree model of environment-economy system and its indicator system. China population. Resou. Environ. 1996, 46, 47–50. [Google Scholar]
  33. Liao, C.B. Quantitative judgment and classification system for coordinated development of environment and economy. Trop. Geogr. 1999, 2, 171–176. [Google Scholar]
  34. Yang, S.H. A study on the forecast and regulation of coordinated development between urban environment and economy. Geogr. Sin. 1994, 2, 136–143. [Google Scholar]
  35. Yang, S.H. Influence of urbanization on ecological environment of the Pearl River delta and countermeasures for the sustainable development. J. South China Norm. Univ. Nat. Sci. 1999, 3, 74–78. [Google Scholar]
  36. Li, X.K.; Wei, J. The evolution analysis and probing into strategy of coordination development between environment and economy in Chongqing City. Econ. Geogr. 2005, 25, 387–392. [Google Scholar]
  37. Dang, J.J.; Yao, S.B. Coordinated Development of a County Ecological-Economic-Social System in Zhidian. Resour. Sci. 2013, 10, 1984–1990. [Google Scholar]
  38. Zhang, J.H. Measuring the ecological impact of tourist wastes methodology and cases study of Jiuzhaigou and Huangshan National Park. Acta Ecol. Sin. 2008, 6, 2764–2773. [Google Scholar]
  39. Chen, D.L.; Peng, B.C. The coupling characteristics of eco-economic system in Dongting Lake area. Sci. Georaphica Sin. 2013, 3, 49–56. [Google Scholar]

Share and Cite

MDPI and ACS Style

Yuan, Y.; Jin, M.; Ren, J.; Hu, M.; Ren, P. The Dynamic Coordinated Development of a Regional Environment-Tourism-Economy System: A Case Study from Western Hunan Province, China. Sustainability 2014, 6, 5231-5251. https://doi.org/10.3390/su6085231

AMA Style

Yuan Y, Jin M, Ren J, Hu M, Ren P. The Dynamic Coordinated Development of a Regional Environment-Tourism-Economy System: A Case Study from Western Hunan Province, China. Sustainability. 2014; 6(8):5231-5251. https://doi.org/10.3390/su6085231

Chicago/Turabian Style

Yuan, Yaoqing, Maozhu Jin, Jinfei Ren, Mingming Hu, and Peiyu Ren. 2014. "The Dynamic Coordinated Development of a Regional Environment-Tourism-Economy System: A Case Study from Western Hunan Province, China" Sustainability 6, no. 8: 5231-5251. https://doi.org/10.3390/su6085231

APA Style

Yuan, Y., Jin, M., Ren, J., Hu, M., & Ren, P. (2014). The Dynamic Coordinated Development of a Regional Environment-Tourism-Economy System: A Case Study from Western Hunan Province, China. Sustainability, 6(8), 5231-5251. https://doi.org/10.3390/su6085231

Article Metrics

Back to TopTop