Next Article in Journal
Dynamic Thermal Modeling of Photovoltaic Systems’ Vulnerability Under Future Climate Scenarios: Implications for Central–Eastern Europe
Previous Article in Journal
Motivational Mechanisms in CDIO-Based Sustainability Education: Effects of Experiential and AI-Supported Learning on Interest and Satisfaction
Previous Article in Special Issue
Sustainability and Smart Technology in Supply Chains, Law, and Economic Development: A Comparative Study of Logistics Performance in Smart Ports of China and Pakistan
 
 
Font Type:
Arial Georgia Verdana
Font Size:
Aa Aa Aa
Line Spacing:
Column Width:
Background:
Article

Game-Theoretic Analysis of Green Emission Reduction in Financially Constrained Dual-Channel Seafood Supply Chain: The Role of E-Commerce Platform Investment

1
Logistics Engineering College, Shanghai Maritime University, Shanghai 201306, China
2
Innovation Center, Shandong Port Rizhao Port Group Co., Ltd., Rizhao 276800, China
3
Faculty of Mechanical Engineering, University of Belgrade, 11120 Belgrade, Serbia
*
Author to whom correspondence should be addressed.
Sustainability 2026, 18(6), 2731; https://doi.org/10.3390/su18062731
Submission received: 15 January 2026 / Revised: 12 February 2026 / Accepted: 6 March 2026 / Published: 11 March 2026

Abstract

This study investigates the optimal pricing and green investment strategies within a dual-channel seafood supply chain comprising a seafood manufacturer and an e-commerce platform, where the manufacturer faces capital constraints. In response to the emerging model of e-commerce platform financing, we develop a Stackelberg game model to analyze two scenarios: single green investment (by the manufacturer only) and joint green investment (by both the manufacturer and the platform). We derive the equilibrium decisions for both parties under each scenario. The results indicate that enhanced market competitiveness of the direct sales channel increases the manufacturer’s wholesale revenue from the self-operated channel and its direct sales revenue, while also enabling the platform to achieve higher profits through a premium pricing strategy. Furthermore, the choice of green investment mode is contingent upon the intensity of channel competition and the platform’s commission rate. Specifically, when both parameters are low, a single green investment strategy constitutes an equilibrium. Conversely, when direct channel competition is sufficiently intense, a joint green investment strategy emerges as the Pareto-dominant equilibrium, leading to a win–win outcome regardless of the commission rate. These findings offer actionable insights for managers of seafood companies and e-commerce platforms in formulating sustainable channel cooperation and financing strategies.

1. Introduction

The rapid development of cold chain logistics and e-commerce has driven explosive growth in the online sales of fresh seafood, establishing it as one of the mainstream channels for consumers to purchase high-quality seafood products [1]. Currently, fresh food e-commerce platforms predominantly adopt two sales models: firstly, the platform directly procures products from seafood producers or processors (e.g., large-scale aquaculture farms, fishing companies) and sells them through its self-operated section, i.e., the distribution channel [2]; secondly, seafood producers establish brand flagship stores on the platform, taking responsibility for product promotion and sales while paying the platform a commission fee as a service charge, i.e., the direct sales channel [3]. Premium seafood suppliers with strong reputations and sustainability certifications have become sought-after partners for major e-commerce platforms. By encouraging these suppliers to simultaneously engage in both self-operated and flagship store channels, platforms aim to diversify their product offerings, enhance credibility, and ultimately expand overall sales scale. For instance, renowned seafood enterprises like Zhangzidao and Guolian Aquatic Products have implemented dual-channel strategies on platforms such as JD Fresh and Tmall Fresh. Consequently, online dual-channel sales are increasingly becoming a vital marketing model for branded seafood companies.
Capital constraints are a prevalent challenge in the seafood supply chain. Seafood producers often require substantial capital for upgrading sustainable aquaculture technologies, investing in environmentally friendly equipment, securing fishing licenses, and managing inventory turnover. Susceptible to seasonal and market fluctuations, they commonly face liquidity pressures. In traditional supply chain financing, producers in need of funds typically apply for loans from commercial banks. However, they frequently encounter issues such as high collateral requirements, lengthy approval cycles, and delayed disbursements, making it difficult to meet urgent production and sales demands [4]. Concurrently, with the advancement of internet finance, several large e-commerce platforms, leveraging their contextual and data advantages, have begun to engage in supply chain financial services. Through their financial subsidiaries, they offer flexible financing solutions to merchants on their platforms. For instance, JD Finance provides products like “Credit Loan” and “Order Loan” to platform merchants, while Ant Group has launched “Green Supply Chain Finance” services targeting fresh produce businesses. This platform-based financing approach aligns well with the seasonal demand for short-term working capital of seafood enterprises.
Based on this context, we aim to explore the following questions: In a scenario where the e-commerce platform provides financing service, how should a financially constrained seafood manufacturer and the e-commerce platform formulate pricing strategies to optimize their respective profits? How does the market competitiveness of a seafood brand’s flagship store (direct sales channel) influence the overall pricing and profit distribution within the dual-channel supply chain? What impact does the platform’s commission rate have on the decision-making of various supply chain parties? How does the platform’s financing interest rate alter the optimal equilibrium outcomes?
Furthermore, driven by increasing public environmental awareness and sustained policy advocacy, the sustainability and green consumption of seafood products are receiving growing attention. In response to market demands and regulatory requirements, many seafood producers have begun investing in green production practices, such as sustainable fishing certifications (e.g., MSC), ecological aquaculture technologies, and carbon emission reduction processes [5]. Concurrently, e-commerce platforms are actively investing in green marketing campaigns, eco-friendly packaging solutions, and promotional services for dedicated sustainable seafood sections. The green investments made by platforms not only impact their own cost structures and brand images but also reshape their collaborative preferences with producers regarding green investment models [6]. For instance, platform-led green promotions can significantly enhance the online sales volume and consumer willingness to pay for related products, thereby increasing the attractiveness of the platform channel. This may, to some extent, weaken producers’ bargaining power and present them with more complex choices in channel cooperation formats.
This study distinguishes itself from the existing literature by revealing the strategic dynamics arising from the intersection of green investment, platform financing, and dual-channel competition dynamics that cannot be inferred by examining these elements in isolation. While conventional green supply chain finance models tend to treat financing merely as a passive enabler, and platform channel models often overlook capital constraints, the findings of this paper demonstrate that the interaction between direct channel competitiveness and platform commission rates fundamentally reshapes the equilibrium structure of green investment. Specifically, we identify a non-monotonic relationship: joint green investment yields Pareto improvements only when direct channel competition is sufficiently intense; otherwise, a single investment strategy dominates. Furthermore, we challenge the conventional assumption that platform financing is universally beneficial to capital-constrained suppliers, revealing that under certain conditions, manufacturers may strategically avoid platform-led green investment in order to preserve their wholesale pricing power. These insights not only extend the theoretical boundaries of green supply chain finance but also deepen the understanding of the operational mechanisms underlying e-commerce dual-channel systems, offering practically meaningful implications for sustainable seafood management.
The following sections are arranged as follows: Section 2 mainly summarizes the relevant literature. Section 3 details the model setting and relevant assumptions. Section 4 mainly conducts modeling and finds a Pareto-optimal equilibrium solution for two scenarios. Section 5 analyzes the green investment mode selection strategy and focuses on the analysis of the impact of several important parameters on supply chain decision-making. Section 6 provides important conclusions and future prospects.

2. Literature Review

At present, many researchers focus on the decision-making problem in dual-channel supply chains, and the traditional dual-channel mainly focuses on offline and online dual-channels. Some scholars have also carried out research on online mixed channels. Wang and Din (2019) constructed a dual-channel supply chain model based on e-commerce platform sales composed of suppliers and e-commerce platforms, and studied supply chain pricing strategies under centralized and decentralized decision-making [7]. Tian et al. (2018) studied the impact of upstream competition intensity on retailers’ sales models under three alternative sales models: dealer sales, online market sales and mixed sales [8]. Ryan et al. (2012) considered that a single retailer can sell its products through its own website or pay a certain share of revenue to sell its products through the online market, analyzed the price decision of the retailer and the online market, and obtained the optimal sales mode of the retailer [9]. He et al. (2020) studied logistics service sharing and its competition in the dual-channel e-commerce supply chain composed of manufacturers and retailers [10]. Wang et al. (2019) studied the decision-making and coordination problems of manufacturers’ fairness concerns in the e-commerce supply chain [11]. Fang and Sheng (2023) analyzed the optimal decision of the manufacturer’s sales model and its impact on the e-commerce platform, considering the sales service and cost difference in online sales [12]. Ha et al. (2022) considered a supply chain composed of a manufacturer and an online retail platform, and explored the decision of whether to enter the downstream market and the information sharing decision of the platform [13]. Ha et al. (2022a) discussed the channel selection problem under the condition that e-commerce platforms can increase market demand through input service through a game analysis model [14]. Most of the aforementioned studies focus on traditional online and offline sales models, with only a limited number exploring online hybrid channel sales models. These investigations primarily concentrate on sales strategies and online channel selection, while overlooking the issue of green emission reduction in dual-channel green seafood supply chains. In contrast to previous research, this paper focuses on the optimal pricing and green emission reduction decisions of sustainable seafood manufacturers and e-commerce platforms under an e-commerce dual-channel sales model.
Traditional supply chain finance primarily focuses on both internal and external financing of supply chain members. Cao et al. (2019) find that the supplier’s trade credit financing is a unique financing equilibrium for the manufacturer, regardless of whether carbon emission reduction investment is considered [15]. With the development of e-commerce, e-commerce-finance has become a focused area of frontier research. Zhen et al. (2020) investigated third-party platforms, banks, and retailer credit, identifying the optimal financing strategies for manufacturers under three financing models [16]. Yan et al. (2020) primarily focused on whether adopting e-commerce platform financing can yield positive benefits in the presence of price competition [17]. Xia et al. (2021) studied the optimal financing decision under bank financing and trade credit financing channels by constructing a Stackelberg game model of manufacturers and retailers [18]. Hua et al. (2021) studied and explained the reasons why third-party logistics enterprises are willing to provide financing services for retailers and believed that low interest rates could help third-party logistics enterprises improve their financing performance [19]. The above studies mostly consider traditional internal and external financing, and the e-commerce platforms studied in this literature only provide transaction information and financing services in the supply chain system, without paying attention to the impact of e-commerce platform financing on seafood supply chain operation strategies.
Platform financial services have solved the financing problems faced by small- and medium-sized enterprises well, and have also attracted extensive attention from scholars. Wang et al. (2019) compared and analyzed the impact of platform financing and bank financing on supply chain decision-making [20]. Based on a similar supply chain structure, Gong et al. (2020) studied the purchasing and pricing decisions of retailers as well as the usage rate and interest rate decisions of the platform under the two models of platform and bank financing [21]. Yu et al. (2017) analyzed the selection conditions of bank lending and e-commerce lending, as well as the supply chain performance under different financing models [22]. Yan et al. (2020) studied the value of e-commerce financing and examined the impact of various financing, operational and consumer-related factors on pricing and channel structure [17]. On the basis of this study, Yan et al. (2021) revealed that the free-rider effect would affect the willingness of financially constrained suppliers to accept platform financing [23]. Wang et al. (2019) studied whether small- and medium-sized e-commerce platforms with financial constraints should adopt loan strategies, as well as supply chain services and pricing strategies to guide manufacturers to share service costs [24]. Similarly, Lin et al. (2021) studied a supply chain system of an e-commerce platform constrained by manufacturers and capital, and analyzed the platform’s procurement and pricing decisions under the influence of bankruptcy risk and corporate income tax [25]. Although many scholars at home and abroad have studied the decision-making problem of e-commerce platforms providing financing services to financially constrained manufacturers or suppliers, the above literature does not consider the case of green emission reduction models. In contrast to previous studies, this paper, grounded in the practical management of platform-based supply chains, explores and compares the impact of e-commerce platform financing strategies on supply chain operational decisions under different green emission reduction investment modes. This is done by considering the dual roles of the e-commerce platform as both a price decision-maker and a loan provider for seafood manufacturers selling on the platform.

3. Model Description and Basic Assumptions

3.1. Model Description

This paper constructs a dual-channel e-commerce supply chain consisting of a seafood manufacturer (SM) and an e-commerce platform (ECP). They cooperate in two marketing modes: self-operating mode (self-operating channel) and platform mode (direct channel). In the self-run model, the SM wholesales the products to the ECP at the price w , and the ECP as a self-run merchant sells the products to consumers at the retail price p r .
In the platform mode, the SM enters the ECP, and the ECP only provides the sales platform and charges a certain platform commission. The SM directly sells the products to consumers at the retail price p d . Meanwhile, the SM needs to pay a certain revenue share to the ECP at the end of the sales period, in which the platform rate is φ . In addition, this paper assumes that all market information is symmetric and that all decision makers are risk neutral. In order to enhance the readability of this paper, all symbol descriptions in this paper are shown in Table 1.
Seafood manufacturers achieve emission reduction targets through green production technologies in the production of green products. This investment approach exists in the operations of companies such as Walmart, Dell, and Coca-Cola, where supply chain members benefit from market demand with a low carbon bias, but seafood manufacturers bear the cost of investing in green production technologies. In addition, since environmental advertising can positively affect consumers’ purchasing behavior, e-commerce enterprises should consider using low-carbon advertising and other promotional means to provide consumers with pre-sale services to better sell products. For the e-commerce platform, investing in low-carbon promotions will affect the demand for e-commerce retail channels. Based on this, this paper assumes that market consumers have low-carbon preferences, and that the seafood manufacturer’s green emission reduction investment has an impact on both the self-operating and direct sales channels of the e-commerce dual-channel supply chain. That is, the higher the level of green emission reduction, the greater the consumer demand for the product.

3.2. Basic Assumptions

Assumption 1.
The seafood manufacturer only considers the green emission reduction cost h θ 2 / 2 generated in the green production process, and does not consider other costs such as inventory and transportation. This quadratic functional form implies that the marginal cost of green investment increases with the seafood manufacturer’s investment level in green production θ , meaning that achieving a higher level of abatement requires disproportionately higher additional costs. This reflects the widely observed low-hanging fruit principle in technological upgrading and deep decarbonization practices, and also provides a realistic micro-foundation for the investment decisions analyzed in the subsequent sections. The assumption that the investment cost function is a quadratic function accurately reflects the characteristics of the investment cost. Specifically, a high level of product sustainability corresponds to a higher level of investment, which requires more advanced technology and more capital investment. Therefore, the investment cost increases with the increase in the investment level, and the increase in the cost is greater than the increase in the greening level [26].
Assumption 2.
Market demand is linearly related to the emission reduction level of supply chain members. Since carbon emissions will affect product demand, the higher the emission reduction level of seafood manufacturers, the lower the unit carbon emissions of their products, and the higher the market demand. As consumers become more environmentally aware, they also prefer low-carbon products [27]. We assume that green investment affects both channels equally, which reflects that green effort (e.g., obtaining a sustainable fishery certification) enhances the overall brand image and environmental reputation of the product, thereby exerting a fundamental and homogeneous positive impact on demand across both channels.
Assumption 3.
The seafood manufacturer with financial constraints can turn to the e-commerce platform for financing. The amount of capital required by the seafood manufacturer before the start of the selling season is h θ 2 / 2 , the initial capital of the seafood manufacturer is K , and the financing amount of the seafood manufacturer is h θ 2 / 2 K . At the end of the sales quarter, the seafood manufacturer repays the principal and interest ( h θ 2 / 2 K ) ( 1 + r ) according to the interest rate r set by the e-commerce platform.
Assumption 4.
Risk preference is not considered in this paper, and the decision makers aim to maximize their own profits. In the context of the seafood supply chain examined in this study, manufacturers typically possess core production technologies and green emission reduction processes, serving as value creators and determinants of the products’ green attributes. Consequently, they often occupy a dominant position within the channel’s power structure. For example, under the ‘brand-owned flagship store’ model on platforms such as JD Fresh and Tmall Supermarket, brand manufacturers (e.g., Sandu Gang and Zhangzidao) exercise substantial autonomy in pricing and green strategies. To concentrate on the central research question, this paper first analyzes this common power structure. Therefore, we assume that seafood manufacturers have the wholesale control and pricing power of the product, so both parties participated in the Stackelberg game led by the seafood manufacturer.
Assumption 5.
Platform rate φ is an exogenous variable, because, in reality, e-commerce platforms always set a fixed platform fee for a specific product, and the platform rate does not change with external conditions. Taking JD.com as an example, according to the data of JD’s official website, for sportswear products, the unified platform rate is 5%, and the platform rate of nutrition and health products is 8%. Amazon has adopted a similar platform fee business model; for example, the maternal and infant products platform fee is 10% and mobile communication products only charge 4%. In this study, φ is set as an exogenous variable to focus on the strategic interactions among financing, pricing, and green investment.

4. The Model

This paper divides into two scenarios for modeling and analysis according to whether the e-commerce platform participates in green promotion service. One is that only the SM directly participates in the emission reduction process by investing in green production technologies, and the ECP does not participate in low-carbon promotional service investment, which is defined as single green investment strategy. The other is that the seafood manufacturer invests in green production and the e-commerce platform invests in green promotional service, which is defined as joint green investment. In both scenarios, the two members need to make trade-offs between product pricing, emission reduction level and actual profit, and then make corresponding business decisions. Figure 1 depicts the dual-channel supply chain structure.

4.1. Scenario 1: Single Green Investment Model

In this scenario, two gamers make decisions to maximize their own profits. Referring to [28], this paper adopts a linear demand function to represent the market demand D r of the self-operating channel and market demand D d of the direct channel, respectively. The linear form is adopted for model tractability and to maintain comparability with existing studies on dual-channel green supply chains. The expressions of the demand functions in scenario 1 are as follows:
D r S = a p r + p d + e   θ
D d S = a p d + τ   p r + e   θ
where a is a constant. τ indicates the market competition intensity of the direct channel, and the subscripts r and d represent the self-operating channel and direct channel, respectively. The e-commerce platform is better at establishing distribution networks in practice [29]. For example, e-commerce enterprises can use advertising or promotion to attract consumers, which gives them greater marketing power than manufacturers; so, we assume 0 < τ < 1 . e indicates consumers’ preference for the green products produced by the seafood manufacturer. The larger e is, the more consumers like the green products, and the more market demand the seafood manufacturer will gain by investing in emission reduction. The objective functions are as follows:
max Π M S = ( 1 φ ) p d D d S + w D r S h θ 2 / 2 r   [ h θ 2 / 2 K ] +
max Π E S = p r w D r S + φ   p d D d S     + r   [ h θ 2 / 2 K ] +
When the seafood manufacturer needs to raise money from the e-commerce platform (i.e., h θ 2 / 2 > K ), the profit functions of both parties are as follows: Π M S = ( 1 φ ) p d D d S + w D r S h θ 2 / 2 r ( h θ 2 / 2 K ) h θ 2 / 2 , Π E S = ( p r w ) D r S + φ   p d D d S + r ( h θ 2 / 2 K ) .
The game sequence is as follows: Firstly, the ECP decides whether to invest in a green promotion service; in this scenario, the ECP chooses not to participate in emission reduction investment. Subsequently, the SM determines green investment level θ , wholesale price w and direct channel price p d by observing the emission reduction investment decisions of the e-commerce platform. Then, the ECP determines the price p r according to the SM’s decisions in the previous step. Finally, the SM pays a platform fee of φ to the e-commerce platform. Two gamers achieve market demand and profits.
We use backward induction to solve this problem. The results are summarized in the following lemma (all proofs are provided in Appendix A, unless indicated otherwise). In particular, when h θ 2 / 2 < K , the seafood manufacturer will not raise money from the e-commerce platform. In this special case, the parameter is r = 0 .
Lemma 1.
In scenario 1, the equilibrium between the seafood manufacturer and the e-commerce platform is only reached after the Stackelberg game; it can achieve Pareto optimality, and the optimal solutions are shown in Table 2.
From Lemma 1, we can analyze the changes in wholesale price and green investment level with the intensity of channel competition, consumers’ green preference and green investment cost coefficient, and obtain Corollary 1.
Corollary 1.
In scenario 1, we have the following: w S τ > 0 , θ S τ > 0 ; w S e > 0 , θ S e > 0 ; w S h < 0 , θ S h < 0 .
Corollary 1 shows that the increase in channel competition intensity and consumers’ green preference will lead the seafood manufacturer to increase their green investment level and wholesale price. This is because in order to cater to the green preferences of consumers, the seafood manufacturer increases green investment in products to expand the market and improve market competitiveness. At the same time, as the intensity of channel competition increases, the demand in the direct sales channel increases, thus reducing dependence on e-commerce retail channels, resulting in the seafood manufacturer increasing the wholesale price. For the seafood manufacturer, in order to produce green products, they need to invest a certain amount of money. If the investment cost factor increases, resulting in the cost being too high, it will lead to a decrease in the level of green investment of the seafood manufacturer. With the decrease in the green investment level, the channel demand of the seafood manufacturer will also decrease. In order to reduce the loss caused by the decrease in demand, the seafood manufacturer will push the e-commerce platform to increase the purchase quantity by reducing the wholesale price.

4.2. Scenario 2: Joint Green Investment Model

The platform’s green promotional efforts (e.g., directing traffic through a green channel and eco-labeling certification services) represent a form of channel-specific service. These investments are primarily made in its self-operated retail business to enhance the differentiated competitive advantage and appeal of that channel, which aligns with the rational behavior of the platform as an independent, profit-seeking entity. The demand increment brought by the participation of the e-commerce platform in green investment to the self-operating channel is e   σ [17]. Meanwhile, the manufacturer’s green manufacturing investment θ continues to affect products across all channels. In this scenario, the demand functions of the two channels are as follows:
D r J = a p r + p d + e   ( θ + σ )
D d J = a p d + τ   p r + e   θ
The objective functions are as follows:
max Π M J = ( 1 φ ) p d D d J + w D r J h θ 2 / 2 r   [ h θ 2 / 2 K ] +
max Π E J = p r w c D r J + φ   p d D d J     + r   [ h θ 2 / 2 K ] +
When the seafood manufacturer needs to raise money from the e-commerce platform (i.e., h θ 2 / 2 > K ), the profit functions of both parties are as follows: Π M J = ( 1 φ ) p d D d J + w D r J h θ 2 / 2 r   ( h θ 2 / 2 K ) , Π E J = ( p r w c ) D r J + φ   p d D d J + r   ( h θ 2 / 2 K ) . In particular, when h θ 2 / 2 < K , the seafood manufacturer will not raise money from the e-commerce platform. In this special case, the parameter is r = 0 . The game sequence in scenario 2 is as follows: Firstly, the ECP decides to invest in green promotion service. Subsequently, the SM determines green investment level θ , wholesale price w and direct channel price p d . Then, the ECP determines the price p r according to the SM’s decisions in the previous step. Finally, the seafood manufacturer pays a platform fee of φ to the ECP. The two gamers achieve market demand and profits. We use backward induction to solve this problem. The results are summarized in Lemma 2 (all proofs are provided in Appendix A, unless indicated otherwise).
Lemma 2.
In scenario 2, the equilibrium between the seafood manufacturer and the e-commerce platform is only reached after the Stackelberg game; it can achieve Pareto optimality, and the optimal solutions are shown in Table 3.
From Lemma 2, we can obtain Corollary 2.
Corollary 2.
In scenario 2, we have the following: w J e > 0 , θ J e > 0 , p r J e > 0 , p d J e > 0 .
Corollary 2 shows that if consumers are sensitive to green products and have environmental awareness, they prefer to buy green products. This will attract the seafood manufacturer to increase the level of green investment and the demand in the two channels will also increase, leading the seafood manufacturer and the e-commerce platform to raise their selling prices to seek higher profits.

5. Equilibrium Analysis

In this section, based on the above model equilibrium solutions, we analyze decision-makers’ green investment mode selection strategy, and focus on the impact analysis of several important parameters (financing interest rate r , platform rate φ and direct channel competition intensity τ ) on supply chain decision-making.

5.1. Green Investment Mode Selection Strategy Analysis

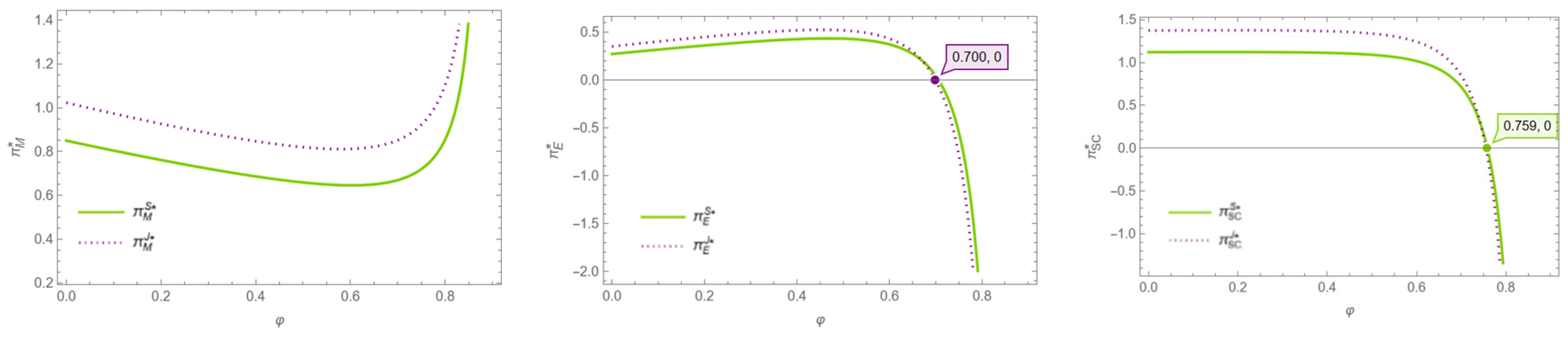
When there is a financial constraint, the SM raises financing from the ECP. We set a , k , e , h , c , σ , r = 1,0 , 1,10,0.2,0.1,0.1 ; all parameter values are reasonably assumed based on the relevant literature (e.g., [30]) and real-world business contexts (e.g., common ranges of platform commission rates and reference values of bank loan interest rates), aiming to conduct numerical illustrations and sensitivity analyses for theoretical derivations. By comparing the optimal profit in two scenarios, we analyzed the influence of the platform rate φ and financing interest rate r on the green investment strategy choice of the game parties. Figure 2 describes the comparison of the SM’s profit and ECP’s profit in two scenarios with the change in platform rate φ and direct channel competition intensity τ . Figure 3 describes the combined effect of φ and r on the green investment strategy selection of both parties.
Figure 2a shows that when the direct channel competition intensity τ is low, the profit of the seafood manufacturer in scenario 1 is higher than that in scenario 2. This is because a low τ means the competitiveness of the direct sales channel is weak. If the seafood manufacturer chooses joint green investment, the demand of the self-operating channel will increase, resulting in an increase in the ECP’s profit, and a reduction in the SM’s profit. In addition, when the direct channel’s competition intensity τ is high, the choice of joint green investment mode will lead to a decrease in the demand for the seafood manufacturer’s direct sales channel; the increase in demand caused by higher channel competition intensity can make up for the economic losses caused by joint green investment. Therefore, the seafood manufacturer choosing a joint green investment strategy can gain more profits than choosing a single green investment strategy.
Figure 2b shows that only when the direct channel competition intensity τ and platform rate φ are low, the profit of the e-commerce platform in scenario 1 is higher than that in scenario 2. However, when one of these two parameters is low and the other is high, the profit of the ECP in scenario 2 is higher than that in scenario 1. This is because when τ and φ are low, the demand brought by joint green investment will increase, but the increase in revenue from increased demand is not enough to cover the cost of green investments in the ECP. When τ is low and φ is high, it is easier for the ECP to take the initiative in the joint green investment strategy, and a high platform rate will also increase the revenue of the ECP. In addition, high competition intensity and a low platform rate are beneficial to the seafood manufacturer; this is because through joint participation in green investment, the demand of the ECP will increase. The increase in costs resulting from the participation of the ECP in green investment can be compensated for by the increase in profit resulting from increased demand, so that the ECP under the joint green investment mode will have higher profits.
Figure 3 indicates that only when the direct channel’s competition intensity τ and platform rate φ are low, both the profits of the ECP and the SM in scenario 1 are higher than in scenario 2. The two sides can reach an agreement, that is, choose a single green investment strategy for cooperation, as the SM is not willing to participate in green emission reduction investment, and the ECP will not actively choose to participate in green investment. In addition, when the direct channel competition intensity τ is very high, both the ECP and the SM choose the joint green investment strategy to obtain higher profits, and then the two sides reach an agreement again.

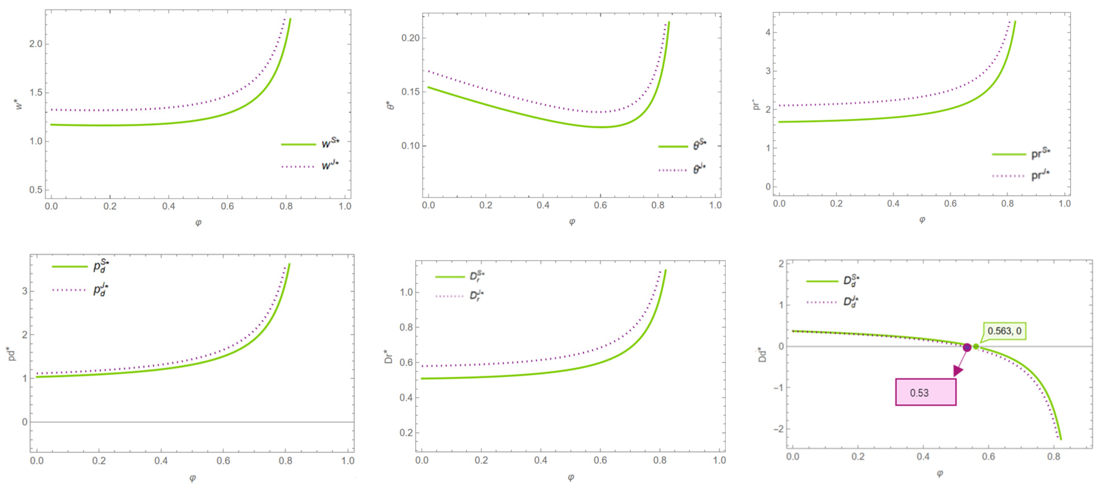
5.2. Sensitivity Analysis

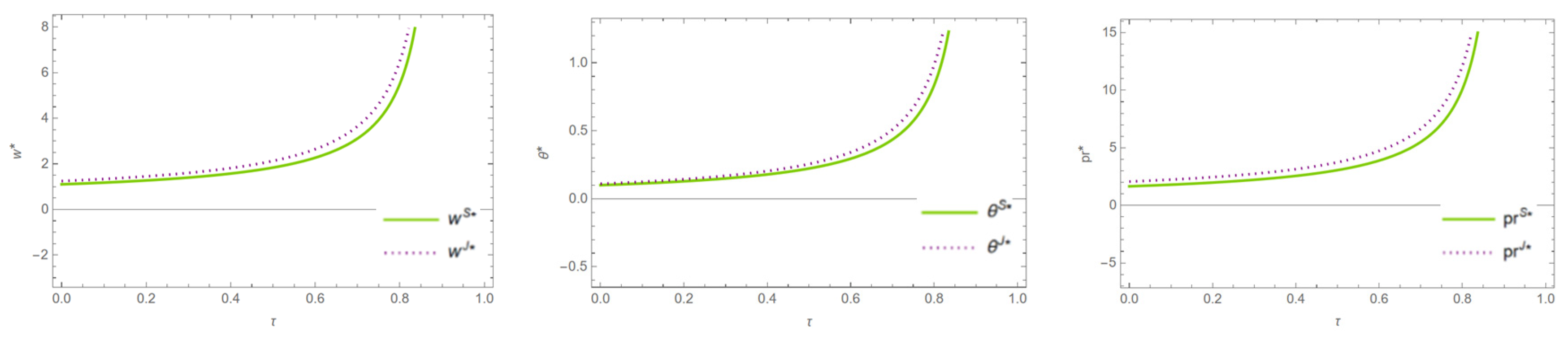
In this part, we mainly analyze the sensitivity of financing interest rate r , platform rate φ and direct channel competition intensity τ . We set a , k , e , h , c , σ = 1,0 , 1,10,0.2,0.1 . Figure 4, Figure 5 and Figure 6 show the related analysis results.
Figure 4 describes the influence of the financing rate r on the optimal results in the two scenarios. Thus, all the optimal results decrease with the increase in r . This is because the increase in the interest rate reduces the demand and sales price of the two channels, resulting in a decrease in the profits of the SM and ECP, which will lead to the SM being unwilling to participate in the investment of green production technology. This, in turn, exacerbates the decrease in demand and ultimately leads to a decline in the overall profit of the supply chain.
Figure 5 shows that with the increase in the platform rate, the SM’s profit decreases first and then increases, the profit of the ECP increases first and then decreases, and the total profit of the supply chain decreases steadily, and then the decline speed increases. This is because when the seafood manufacturer faces a shortage of funds and the e-commerce platform rate is large enough, the SM is unwilling to provide the ECP with a lower wholesale price, and the cost increase in both sides will increase the retail prices in two channels. The seafood manufacturer would rather choose the self-operating mode to charge high wholesale income, but the ECP is not willing to pay wholesale costs that are too high. Therefore, the ECP can formulate reasonable platform rates according to the profits of both sides, to avoid damaging their own interests and the interests of the entire supply chain.
Figure 6 indicates that with the enhancement of the direct selling channel’s marketing capability, the profits of all parties and the total profit of the supply chain show a trend of steady increase at first and then accelerated increase. The greater the value of τ , the stronger the market competitiveness of the direct marketing channel, leading to the seafood manufacturer seizing more market share by increasing the wholesale price and the investment level of green production technology. The SM’s wholesale revenue from the self-operating channel and sales revenue from the direct sales channel will increase. Although the wholesale cost of products to be paid to the SM will increase, consumers’ preference for green products will increase the sales volume of products with more green technology content. The revenue increment obtained by the ECP from selling more environmentally friendly products is enough to make up for the loss caused by the rise in wholesale price, and the ECP can obtain greater benefits under the high-price sales strategy. This can also explain that in Figure 3, when the competition intensity of the direct sales channel is very high, the two gamers reach an agreement and choose the joint green investment strategy to achieve a win–win situation. Therefore, when producing and selling green products, the SM should focus on improving the market competitiveness of direct marketing channels.

6. Conclusions and Future Research

Aiming at e-commerce financing, a new supply chain finance model, this paper constructs a dual-channel supply chain consisting of a seafood manufacturer and e-commerce platform. Considering the financial constraint of the seafood manufacturer and the green emission reduction investment of the ECP, this paper discusses the optimal decision-making behavior and green investment strategy in two scenarios. We analyzed the effects of the financing interest rate, platform rate and direct channel competition intensity on the optimal decisions and profits of all gamers. Through comparative analysis of the Pareto-optimal equilibrium of the two parties in two scenarios, the following conclusions and relevant management implications can be obtained:
(1) For the seafood manufacturer, when the competition intensity of the direct marketing channel is low, the profit in scenario 1 is higher than that in scenario 2; when the channel competition intensity is high, the SM has less demand in the direct sales channel, while the increase in demand caused by higher channel competition intensity can make up for the economic losses caused by decreased demand, so the seafood manufacturer prefers the joint green investment strategy.
(2) The profit of the ECP in scenario 1 is higher than that in scenario 2, only when the direct channel competition intensity τ and platform rate φ are low. However, when one of these two parameters is low and the other is high, the increase in costs resulting from the participation of the ECP in green investment can be compensated for by the increase in profit resulting from increased demand, so the ECP prefers the joint green investment strategy.
(3) Under the joint influence of direct marketing channel competition intensity and platform rate, when the two parameters are small, the two gamers can reach an agreement and choose the single green investment strategy. In addition, when the intensity of competition in the direct sales channel is high, they can reach an agreement again and achieve a win–win situation by choosing the joint green investment strategy.
(4) When the seafood manufacturer faces a shortage of funds and the e-commerce platform rate is large enough, the seafood manufacturer would rather choose the self-operating mode to charge high wholesale income, but the e-commerce platform is not willing to pay wholesale costs that are too high. Therefore, the e-commerce platform can formulate reasonable platform rates according to the profits of both sides, to avoid damaging their own interests and the interests of the entire supply chain.
(5) The stronger the market competitiveness of the direct marketing channel, the more the seafood manufacturer’s wholesale revenue from the self-operating channel and sales revenue from the direct sales channel will increase, and the e-commerce platform can obtain greater benefits under the high-price sales strategy. Therefore, when producing and selling green products, seafood manufacturers should focus on improving the market competitiveness of direct marketing channels.
This paper conducts research on the basis of certain assumptions. As can be seen from Figure 4, if the seafood manufacturer does not raise financing from the e-commerce platform ( r = 0 ), the profit of the supply chain is the highest. In the case of the seafood manufacturer facing a shortage of funds, are there other financing models (such as third-party financial platform financing)? The platform’s overlapping roles as retailer, marketplace operator, and lender may lead to incentive misalignments (e.g., potential conflicts between maximizing loan interest income and sustaining channel demand). Future research could employ multi-objective optimization or principal–agent frameworks to model such trade-offs.
As an exploratory theoretical model, this study focuses on the strategic interactions among financing, investment, and pricing. Future research could further consider the perishability of seafood products, cold chain logistics costs, and inventory losses in the seafood supply chain. By incorporating these operational factors—particularly integrating green investment with freshness-keeping efforts (e.g., low-carbon cold chain)—how should supply chain partners adjust their decision-making? In the case of multiple financing models to choose from, how should the gamers in the e-commerce dual-channel supply chain make optimal decisions? Endogenizing the commission rate as a decision variable of the platform, how should participants in the e-commerce dual-channel seafood supply chain make optimal decisions when the platform acts as the leader? How do the strategies of supply chain members change when consumers in different channels exhibit varying sensitivity to green attributes? These are academic questions that can continue to be discussed in the future.

Author Contributions

Conceptualization, M.Y.; Methodology, M.Y., X.L. and N.Z.; Software, M.Y., X.L., M.W. and X.F.; Validation, M.Y. and X.F.; Formal analysis, M.Y. and X.L.; Investigation, M.Y., X.L. and X.F.; Resources, M.Y.; Data curation, M.Y., X.L., M.W. and N.Z.; Writing—original draft, M.Y.; Writing—review & editing, M.Y.; Visualization, M.Y., X.L., M.S. and N.Z.; Supervision, X.L., M.S. and X.F.; Project administration, M.Y., X.L. and N.Z.; Funding acquisition, X.L. All authors have read and agreed to the published version of the manuscript.

Funding

This work was funded by the following grants: 1. The Intelligent Operations Technology and Equipment Development for Alongshore Container Terminals Project (Grant No. 2025CXGC010712) from the Key R&D Program of Shandong Province. 2. The Bilateral Exchange Project on Green and Low-Carbon Key Technologies for Large Bulk Ports (Grant No. 20240605) from the Ministry of Science and Technology of China. 3. The Overall Design Study of a Multi-Dimensional Motion Active Wave Compensation Crane for Offshore Wind Power Operations and Maintenance (Grant No. 22dz1204102) from the Shanghai Science and Technology Committee Innovation Program.

Institutional Review Board Statement

Not applicable.

Informed Consent Statement

Not applicable.

Data Availability Statement

The datasets used and/or analyzed during the current study are available from the corresponding author on reasonable request.

Acknowledgments

The authors would like to thank three anonymous reviewers for very detailed and helpful comments and suggestions on this work.

Conflicts of Interest

Author Minhua Song and Min Wang was employed by the company Shandong Port Rizhao Port Group Co., Ltd. The remaining authors declare that the research was conducted in the absence of any commercial or financial relationships that could be construed as a potential conflict of interest.

Appendix A

Proof of Lemma 1. 
Firstly, the e-commerce platform decides p r , by solving the first-order condition Π E p r = 0 , we derive p r = 1 2 ( a + w + e θ + p d + τ φ p d ) . Then, the seafood manufacturer decides w ,     p d ,     θ ; the first-order conditions are Π M p d = w ( 1 + τ φ ) / 2 + ( 1 φ ) ( 1 + τ ( 1 + τ φ ) / 2 ) p d + ( 1 φ ) ( a + e θ p d + τ ( a + w + e θ + ( 1 + τ φ ) p d ) / 2 ) , Π M θ = e w 2 h θ h r θ + ( e + e τ 2 ) ( 1 φ ) p d , Π M w = 1 2 ( a 2 w + e θ + ( 1 + τ 2 τ φ ) p d ) . By solving these three equations simultaneously, Π M p d = 0 , Π M θ = 0 , Π M w = 0 , we can derive the optimal solutions. The sufficient conditions for the existence of the optimal solution are as follows:
First-order condition is as follows: 2 Π M θ 2 < 0 .
Second-order condition is aa follows:
D e t 2 Π M θ 2 2 Π M θ p d 2 Π M p d θ 2 Π M p d 2 = D e t h h r ( e + e τ / 2 ) ( 1 φ ) ( e + e τ / 2 ) ( 1 φ ) ( φ 1 ) ( τ 2 + τ 2 φ )
= ( 1 φ ) ( e 2 2 + τ 2 ( φ 1 ) 4 h ( 1 + r ) ( τ 2 + τ 2 φ ) ) / 4 > 0
Third-order condition is as follows:
D e t 2 Π M θ 2 2 Π M θ p d 2 Π M θ w 2 Π M p d θ 2 Π M p d 2 2 Π M p d w 2 Π M w θ 2 Π M w p d 2 Π M w 2 = D e t h h r ( e + e τ / 2 ) ( 1 φ ) e / 2 ( e + e τ / 2 ) ( 1 φ ) ( 1 φ ) ( τ 2 + τ 2 φ ) 1 2 ( 1 + τ 2 τ φ ) e / 2 ( 1 + τ 2 τ φ ) / 2 1
= 1 4 ( h ( 1 + r ) ( τ 1 ) ( 7 + τ 8 φ ) + 2 e 2 ( φ 1 ) ( 2 ( φ 2 ) + τ 2 ( 2 φ 1 ) + τ ( 4 φ 3 ) ) ) < 0 .
Proof of Lemma 2. 
Firstly, the e-commerce platform decides p r ; by solving the first-order condition Π E p r = 0 , we derive p r = 1 2 a + c + w + e σ + e θ + p d + τ φ p d . Then, the seafood manufacturer decides w ,     p d ,     θ . The first-order conditions are Π M p d = 1 2 ( a ( 2 + τ ) ( 1 φ ) ( 2 e θ + c τ + e ( σ + θ ) τ ) ( φ 1 ) + w ( 1 + τ 2 τ φ ) 2 ( φ 1 ) ( τ 2 + τ 2 φ ) p d ) , Π M θ = e w 2 h θ h r θ + ( e + e τ 2 ) ( 1 φ ) p d , Π M w = 1 2 ( a c 2 w + e σ + e θ + ( 1 + τ 2 τ φ ) p d ) . By solving these three equations simultaneously, Π M p d = 0 , Π M θ = 0 , Π M w = 0 , we can derive the optimal solutions. The sufficient conditions for the existence of the optimal solutions are the same as above. □

References

  1. Fu, Y.; Zhang, Z.; Liu, C.; Li, Z.; Chen, Y.; Liu, X.; Lin, J.; Zhang, C.; Lin, T.; Huang, J.; et al. Integrated indicator assessment of coastal sustainable development capacity: Informing policy and prioritizing management actions in developing countries. Ocean Coast. Manag. 2026, 273, 108050. [Google Scholar] [CrossRef]
  2. Salminen, E.A.; Murguzur, F.J.A.; Ollus, V.M.S.; Engen, S.; Hausner, V.H. Using Public Participation GIS (PPGIS) to relate local concerns over growth in tourism and aquaculture to integrated coastal zone management in the Tromsø region, Norway. Ocean Coast. Manag. 2025, 261, 107510. [Google Scholar] [CrossRef]
  3. Zhao, Y.; Zhang, M.; Zhao, D.; Duo, L.; Lu, C. Optimizing the ecological network of resource-based cities to enhance the resilience of regional ecological networks. Environ. Sci. Pollut. Res. 2024, 31, 17182–17205. [Google Scholar] [CrossRef]
  4. Yang, M. Green Promotion Service Allocation and Information Sharing Strategy in a Dual-Channel Circumstance. Sustainability 2024, 16, 7361. [Google Scholar] [CrossRef]
  5. Jin, Y.; Yang, S.; Jiang, S.; Liu, Z.; Li, S. Modeling spatio-temporal variations in the habitat utilization of cetaceans in the East China Sea. Ocean Coast. Manag. 2026, 271, 107987. [Google Scholar] [CrossRef]
  6. Yang, M. Green investment and e-commerce sales mode selection strategies with cap-and-trade regulation. Comput. Ind. Eng. 2023, 177, 109036. [Google Scholar] [CrossRef]
  7. Wang, W.B.; Din, J.F. Research on the influence of mixed sales channels on supply chain decision based on e-commerce platform. J. Oper. Manag. 2019, 28, 89–97. [Google Scholar]
  8. Tian, L.; Vakharia, A.J.; Tan, Y.L. Marketplace, reseller, or hybrid: Strategic analysis of an emerging e-commerce model. Prod. Oper. Manag. 2018, 27, 1595–1610. [Google Scholar] [CrossRef]
  9. Ryan, J.K.; Sun, D.; Zhao, X.Y. Competition and coordination in online marketplaces. Prod. Oper. Manag. 2012, 21, 997–1014. [Google Scholar] [CrossRef]
  10. He, P.; Wen, J.Y.; Ye, S. Logistics service sharing and competition in a dual-channel e-commerce supply chain. Comput. Ind. Eng. 2020, 149, 106849. [Google Scholar] [CrossRef]
  11. Wang, Y.; Yu, Z.; Shen, L. Study on the decision-making and coordination of an e-commerce supply chain with manufacturer fairness concerns. Int. J. Prod. Res. 2019, 57, 2788–2808. [Google Scholar] [CrossRef]
  12. Fang, D.B.; Sheng, J.L. Manufacturer’s online sales modes selection considering sales service and service cost difference. Chin. J. Manag. 2023, 20, 568–577. [Google Scholar]
  13. Ha, A.Y.; Luo, H.; Shang, W. Supplier encroachment, information sharing, and channel structure in online retail platforms. Prod. Oper. Manag. 2022, 31, 1235–1251. [Google Scholar] [CrossRef]
  14. Ha, A.Y.; Tong, S.; Wang, Y. Channel structures of online retail platforms. Manuf. Serv. Oper. Manag. 2022, 24, 1547–1561. [Google Scholar] [CrossRef]
  15. Cao, E.; Du, L.X.; Ruan, J.H. Financing preferences and performance for an emission-dependent supply chain: Supplier vs. bank. Int. J. Prod. Econ. 2019, 208, 383–399. [Google Scholar] [CrossRef]
  16. Zhen, X.P.; Shi, D.; Li, Y.J. Manufacturer’s financing strategy in a dual-channel supply chain: Third-part platform, bank, and retailer credit financing. Transp. Res. Part E Logist. Transp. Rev. 2020, 133, 101820. [Google Scholar] [CrossRef]
  17. Yan, N.; Liu, Y.; Xu, X.; He, X. Strategic dual channel pricing games with e-retailer finance. Eur. J. Oper. Res. 2020, 283, 138–151. [Google Scholar] [CrossRef]
  18. Xia, L.J.; Qiao, L.X.; Ma, X.C. Optimal Operation and Financing Decisions in Green Supply Chain with a Capital-Constrained Manufacturer. Discret. Dyn. Nat. Soc. 2021, 2021, 7220648. [Google Scholar] [CrossRef]
  19. Hua, S.; Sun, S.; Liu, Z.; Zhai, X. The Benefits of Third-party Logistics Firms as Financing Providers. Eur. J. Oper. Res. 2021, 294, 174–187. [Google Scholar] [CrossRef]
  20. Wang, C.F.; Fan, X.J.; Yin, Z. Financing online retailers: Bank vs. electronic business platform, quilibrium, and coordinating strategy. Eur. J. Oper. Res. 2019, 276, 343–356. [Google Scholar] [CrossRef]
  21. Gong, D.Q.; Liu, S.F.; Liu, J.; Ren, L. Who benefits from online financing? A sharing economy E-tailing platform perspective. Int. J. Prod. Econ. 2020, 222, 107490. [Google Scholar] [CrossRef]
  22. Yu, H.; Li, X.; Wang, Y.W. Electronic Commerce Platform-Joint Supply Chain Financing Mode: Bank Lending VS. Electronic Commercial Platform Lending. Chin. J. Manag. Sci. 2017, 25, 134–140. [Google Scholar]
  23. Yan, N.; Zhang, Y.P.; Xu, X.; Gao, Y. Online finance with dual channels and bidirectional freeriding effect. Int. J. Prod. Econ. 2021, 231, 107834. [Google Scholar] [CrossRef]
  24. Wang, Y.Y.; Yu, Z.Q.; Jin, M.Z. Ecommerce supply chains under capital constraints. Electron. Commer. Res. Appl. 2019, 35, 42–53. [Google Scholar] [CrossRef]
  25. Lin, Z.P.; Shi, R.X.; Stecke, K.E. Selling to a financially constrained E-commerce retailer with bankruptcy cost and tax. Transp. Res. Part E Logist. Transp. Rev. 2021, 146, 102180. [Google Scholar] [CrossRef]
  26. Yang, M.; Zhang, T. Demand forecasting and information sharing of a green supply chain considering data company. J. Comb. Optim. 2023, 45, 119. [Google Scholar] [CrossRef]
  27. Yang, M.; Gong, X.M. Optimal decisions and Pareto improvement for green supply chain considering reciprocity and cost-sharing contract. Environ. Sci. Pollut. Res. 2021, 28, 29859–29874. [Google Scholar] [CrossRef]
  28. Shao, F.D.; Chong, H.; Xia, Y.; Wen, Z.T. Voluntary green technology adoption: The effects of regulatory uncertainty and competition. Eur. J. Oper. Res. 2024, 315, 528–540. [Google Scholar]
  29. Yang, M.; Zhang, T.; Wang, C.X. The optimal e-commerce sales mode selection and information sharing strategy under demand uncertainty. Comput. Ind. Eng. 2021, 162, 107718. [Google Scholar] [CrossRef]
  30. Yang, M.; Zhang, T.; Zhang, Y. Optimal pricing and green decisions in a dual-channel supply chain with cap-and-trade regulation. Environ. Sci. Pollut. Res. 2022, 29, 28208–28225. [Google Scholar] [CrossRef]
Figure 1. Dual-channel supply chain structure.
Figure 1. Dual-channel supply chain structure.
Sustainability 18 02731 g001
Figure 2. Profit comparison in two scenarios.
Figure 2. Profit comparison in two scenarios.
Sustainability 18 02731 g002
Figure 3. Comprehensive profit comparison in two scenarios.
Figure 3. Comprehensive profit comparison in two scenarios.
Sustainability 18 02731 g003
Figure 4. Sensitivity analysis of financing rate. Note: { τ , φ } = { 0.2,0.2 } . The horizontal axis r represents the financing rate; the vertical axis represents the optimal equilibrium solutions and optimal values.
Figure 4. Sensitivity analysis of financing rate. Note: { τ , φ } = { 0.2,0.2 } . The horizontal axis r represents the financing rate; the vertical axis represents the optimal equilibrium solutions and optimal values.
Sustainability 18 02731 g004
Figure 5. Sensitivity analysis of platform rate. Note: τ , r = 0.15,0.1 . The horizontal axis φ represents platform rate; the vertical axis represents the optimal equilibrium solutions and optimal values.
Figure 5. Sensitivity analysis of platform rate. Note: τ , r = 0.15,0.1 . The horizontal axis φ represents platform rate; the vertical axis represents the optimal equilibrium solutions and optimal values.
Sustainability 18 02731 g005aSustainability 18 02731 g005b
Figure 6. Sensitivity analysis of direct channel competition intensity τ . Note: r , φ = 0.1,0.5 . The horizontal axis τ represents direct channel competition intensity; the vertical axis represents the optimal equilibrium solutions and optimal values.
Figure 6. Sensitivity analysis of direct channel competition intensity τ . Note: r , φ = 0.1,0.5 . The horizontal axis τ represents direct channel competition intensity; the vertical axis represents the optimal equilibrium solutions and optimal values.
Sustainability 18 02731 g006aSustainability 18 02731 g006b
Table 1. Summary of notations.
Table 1. Summary of notations.
NotationDescription
Parameters
K Initial funding constraint for the seafood manufacturer
τ Market competition intensity of direct channel
r Financing rate for the e-commerce platform
a The market capacity
e Consumer preference for green products produced by the seafood manufacturer
c Green investment cost of unit product of the e-commerce platform
φ Platform rate
σ Low carbon promotion service level of the e-commerce platform
h The degree of sensitivity of market demand to the level of green investment
D r i Demand in self-operating channel, i ∈ {S,J}.
D d i Demand in direct channel, i ∈ {S,J}.
Π M i Profit of the seafood manufacturer i ∈ {S,J}.
Π E i Profit of the e-commerce platform i ∈ {S,J}.
Π S C i Profit of the whole supply chain i ∈ {S,J}.
Decision variables
θ The seafood manufacturer’s investment level of green production
w The wholesale price
p r The sales price in self-operating channel
p d The sales price in direct channel
Notes: The S denotes scenario 1; The J denotes scenario 2.
Table 2. The optimal solutions in Lemma 1.
Table 2. The optimal solutions in Lemma 1.
Optimal Solutions
p d S = a h ( 1 + r ) ( 5 3 τ + 4 ( 1 + τ ) φ ) h ( 1 + r ) ( τ 1 ) ( 7 + τ 8 φ ) + 2 e 2 ( φ 1 ) ( 2 ( 1 + τ ) 2 φ 4 3 τ τ 2 )
θ S = 2 a e ( 1 φ ) ( 2 ( 1 + τ ) 2 φ 4 3 τ τ 2 ) h ( 1 + r ) ( τ 1 ) ( 7 + τ 8 φ ) + 2 e 2 ( φ 1 ) ( 2 ( 1 + τ ) 2 φ 4 3 τ τ 2 )
D r S = a h ( 1 + r ) ( 3 + 2 τ + τ 2 ) ( 1 φ ) h ( 1 + r ) ( τ 1 ) ( 7 + τ 8 φ ) + 2 e 2 ( φ 1 ) ( 2 ( φ 2 ) + τ 2 ( 2 φ 1 ) + τ ( 4 φ 3 ) )
w S = a h ( 1 + r ) ( 1 φ ) ( τ ( 1 + τ ) ( 1 + 4 φ ) 6 ) h ( 1 + r ) ( τ 1 ) ( 7 + τ 8 φ ) + 2 e 2 ( φ 1 ) ( 2 ( 1 + τ ) 2 φ 4 3 τ τ 2 )
p r S = a h ( 1 + r ) ( τ 9 + 9 φ 2 τ φ + τ 2 φ ) h ( 1 + r ) ( τ 1 ) ( 7 + τ 8 φ ) + 2 e 2 ( φ 1 ) ( 2 ( φ 2 ) + τ 2 ( 2 φ 1 ) + τ ( 4 φ 3 ) )
D d S = a h ( 1 + r ) ( τ 1 ) ( 2 τ ( φ 2 ) 4 φ + τ 2 φ ) h ( 1 + r ) ( τ 1 ) ( 7 + τ 8 φ ) + 2 e 2 ( φ 1 ) ( 2 ( φ 2 ) + τ 2 ( 2 φ 1 ) + τ ( 4 φ 3 ) )
Note: Among the symbols used throughout the text, the superscript * indicates the optimal equilibrium value.
Table 3. The optimal solutions in Lemma 2.
Table 3. The optimal solutions in Lemma 2.
Optimal Solutions
p d J = c ( h ( 1 + r ) ( 1 τ ) e 2 ( 1 + τ ) ( φ 1 ) ) + a h ( 1 + r ) ( 4 φ 5 + τ ( 4 φ 3 ) ) + e σ ( e 2 ( φ 1 ) + h ( 1 + r ) ( τ 4 φ 3 1 ) ) h ( 1 + r ) ( τ 1 ) ( 7 + τ 8 φ ) + 2 e 2 ( φ 1 ) ( 2 ( φ 2 ) + τ 2 ( 2 φ 1 ) + τ ( 4 φ 3 ) )
p r J = a h ( 1 + r ) ( τ 9 + 9 φ 2 τ φ + τ 2 φ ) + e σ ( e 2 ( φ 1 ) ( 3 φ 3 2 τ + 3 τ φ ) + h ( 1 + r ) ( 2 τ 6 + 6 φ 3 τ φ + τ 2 φ ) ) + c ( h ( 1 + r ) ( 1 τ ) ( 2 φ 1 ) + e 2 ( φ 1 ) ( φ 5 + τ 2 φ + τ ( 2 φ 1 ) ) ) h ( 1 + r ) ( 1 + τ ) ( 7 + τ 8 φ ) + 2 e 2 ( 1 + φ ) ( 2 ( 2 + φ ) + τ 2 ( 1 + 2 φ ) + τ ( 3 + 4 φ ) )
w J = ( φ 1 ) ( c ( h ( 1 + r ) ( 3 τ 4 + τ 2 ) + e 2 ( 2 + 3 τ + τ 2 ) ( φ 1 ) ) + a h ( 1 + r ) ( τ 4 φ 1 6 + τ 2 ( 4 φ 1 ) ) + e σ ( e 2 ( 2 + τ ) ( 1 φ ) + h ( 1 + r ) ( τ 4 + τ 2 ( 4 φ 1 ) ) ) ) h ( 1 + r ) ( τ 1 ) ( 7 + τ 8 φ ) + 2 e 2 ( φ 1 ) ( 2 ( φ 2 ) + τ 2 ( 2 φ 1 ) + τ ( 4 φ 3 ) )
θ J = e ( 1 + φ ) ( c ( 3 + 2 τ + τ 2 ) + e σ ( 3 + τ ( 3 + 4 φ ) + τ 2 ( 2 + 4 φ ) ) + a ( 4 ( 2 + φ ) + τ 2 ( 2 + 4 φ ) + τ ( 6 + 8 φ ) ) ) h ( 1 + r ) ( 1 + τ ) ( 7 + τ 8 φ ) + 2 e 2 ( 1 + φ ) ( 2 ( 2 + φ ) + τ 2 ( 1 + 2 φ ) + τ ( 3 + 4 φ ) )
D r J = ( a h ( 1 + r ) ( 3 + 2 τ + τ 2 ) + e σ ( h ( 1 + r ) ( 2 + τ + τ 2 ) e 2 ( 1 + τ ) ( 1 + φ ) ) + c ( 2 h ( 1 + r ) ( 1 τ ) + e 2 1 + τ 2 ( φ 1 ) ) ) ( 1 + φ ) h ( 1 + r ) ( τ 1 ) ( 7 + τ 8 φ ) + 2 e 2 ( 1 + φ ) ( 2 ( 2 + φ ) + τ 2 ( 1 + 2 φ ) + τ ( 3 + 4 φ ) )
D d J = a h ( 1 + r ) ( τ 1 ) ( 2 τ ( φ 2 ) 4 φ + τ 2 φ ) + e σ ( h ( 1 + r ) ( τ 1 ) ( τ 2 φ 1 2 τ ( φ 1 ) ) e 2 ( φ 1 ) ( τ φ 2 + τ 2 φ ) ) + c ( e 2 ( 1 + τ ) ( φ 1 ) ( τ φ 2 + τ 2 φ ) h ( 1 + r ) ( τ 1 ) ( τ 2 φ 1 1 ) ) h ( 1 + r ) ( 1 + τ ) ( 7 + τ 8 φ ) + 2 e 2 ( 1 + φ ) ( 2 ( 2 + φ ) + τ 2 ( 1 + 2 φ ) + τ ( 3 + 4 φ ) )
Disclaimer/Publisher’s Note: The statements, opinions and data contained in all publications are solely those of the individual author(s) and contributor(s) and not of MDPI and/or the editor(s). MDPI and/or the editor(s) disclaim responsibility for any injury to people or property resulting from any ideas, methods, instructions or products referred to in the content.

Share and Cite

MDPI and ACS Style

Yang, M.; Liu, X.; Song, M.; Wang, M.; Zrnic, N.; Fu, X. Game-Theoretic Analysis of Green Emission Reduction in Financially Constrained Dual-Channel Seafood Supply Chain: The Role of E-Commerce Platform Investment. Sustainability 2026, 18, 2731. https://doi.org/10.3390/su18062731

AMA Style

Yang M, Liu X, Song M, Wang M, Zrnic N, Fu X. Game-Theoretic Analysis of Green Emission Reduction in Financially Constrained Dual-Channel Seafood Supply Chain: The Role of E-Commerce Platform Investment. Sustainability. 2026; 18(6):2731. https://doi.org/10.3390/su18062731

Chicago/Turabian Style

Yang, Man, Xiangwei Liu, Minhua Song, Min Wang, Nenad Zrnic, and Xiuwen Fu. 2026. "Game-Theoretic Analysis of Green Emission Reduction in Financially Constrained Dual-Channel Seafood Supply Chain: The Role of E-Commerce Platform Investment" Sustainability 18, no. 6: 2731. https://doi.org/10.3390/su18062731

APA Style

Yang, M., Liu, X., Song, M., Wang, M., Zrnic, N., & Fu, X. (2026). Game-Theoretic Analysis of Green Emission Reduction in Financially Constrained Dual-Channel Seafood Supply Chain: The Role of E-Commerce Platform Investment. Sustainability, 18(6), 2731. https://doi.org/10.3390/su18062731

Note that from the first issue of 2016, this journal uses article numbers instead of page numbers. See further details here.

Article Metrics

Back to TopTop