Research on Intergovernmental Collaboration Mechanisms in Rural Water Environmental Governance Based on Complex Network Evolutionary Game
Abstract
1. Introduction
2. Constructing a Multi-Agent Evolutionary Game Model Based on Complex Networks
2.1. Constructing a Complex Network Model
2.2. Constructing an Evolutionary Game Model
2.2.1. Game Strategy Analysis
2.2.2. Payoff Matrix
2.2.3. Copying Dynamic Equations
2.2.4. Stability Analysis of the Equilibrium Point
2.3. Evolution Rules of Complex Networks
3. Simulation Analysis
3.1. Simulation Program
3.2. Parameter Settings
3.3. Simulation Results
3.3.1. The Impact of External Driving Factors on Network Evolution
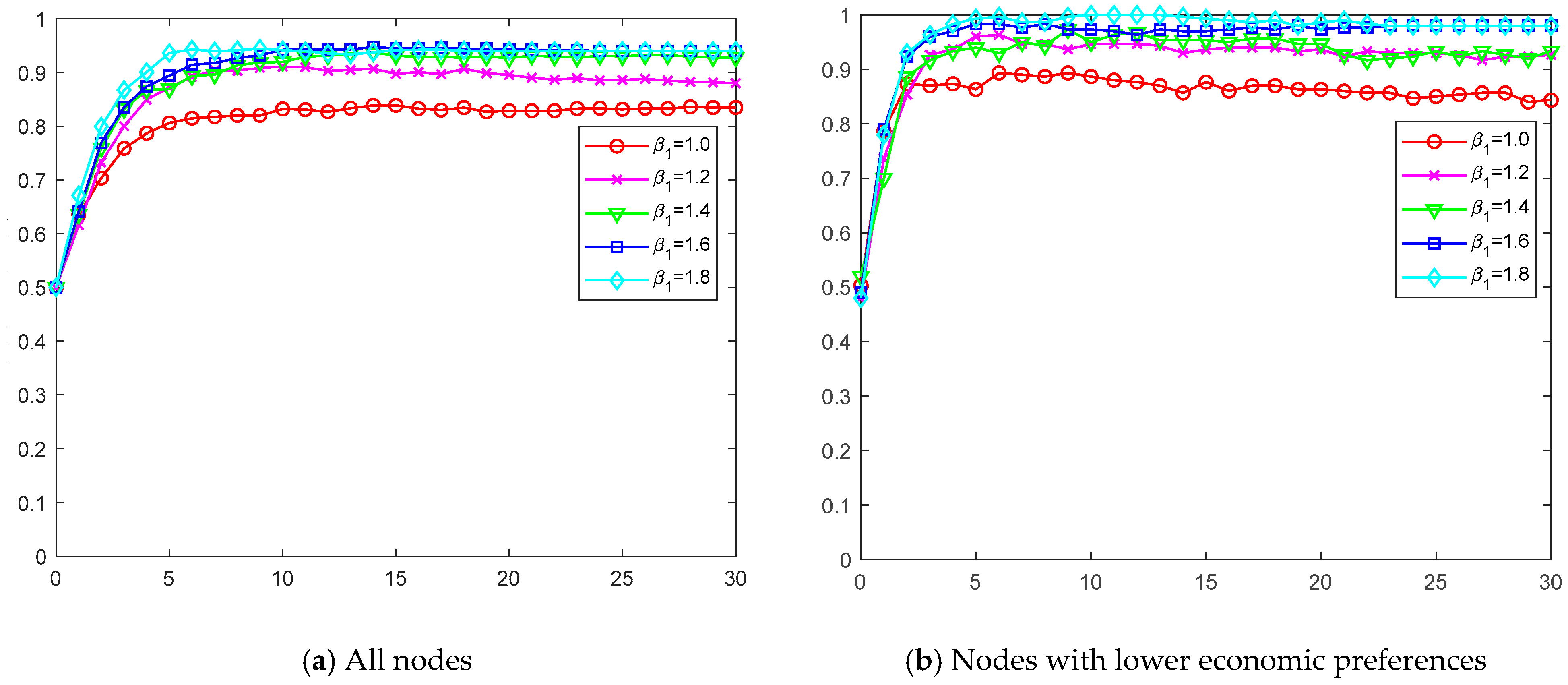
3.3.2. The Impact of Synergy and Loss Effect Coefficients on Network Evolution
3.3.3. The Impact of Cost and Benefit Allocation Coefficients on Network Evolution
3.3.4. The Impact of Heterogeneity on Network Evolution
4. Discussion
5. Conclusions
Author Contributions
Funding
Institutional Review Board Statement
Informed Consent Statement
Data Availability Statement
Conflicts of Interest
Appendix A
| Responsible Agency | Issue and Disseminate Implementation Plans | Scientifically Select Governance Models Based on Local Conditions | Make All-Out Efforts to Secure Pilot Projects | Scientifically Plan and Layout Governance Facilities | Promote Integrated Village–Town Governance in a Coordinated Manner | Coordinate the Rural Toilet Revolution with Wastewater Treatment | Improve Facility Construction and Operation & Maintenance Mechanisms | Advance Governance in Phases with Emphasis on Key Priorities | Give Equal Emphasis to Construction and Management and Strengthen Routine Supervision | Control Agricultural Non-Point Source Pollution |
|---|---|---|---|---|---|---|---|---|---|---|
| People’s Government | S | S | S | S | S | S | P | P | S | |
| Ecology and Environment Bureau | P | P | P | S | P | P | S | S | S | P |
| Development and Reform Commission | S | S | S | |||||||
| Agriculture and Rural Affairs Bureau | S | S | S | S | S | P | S | S | S | P |
| Housing and Urban–Rural Development Bureau | S | S | S | S | P | S | S | S | S | |
| Rural Revitalization Bureau | S | S | S | S | S | S | S | S | ||
| Water Resources Bureau | S | S | S | S | P | |||||
| Forestry Bureau | ||||||||||
| Finance Bureau | S | P | S | |||||||
| Civil Affairs Bureau | S | |||||||||
| Health Commission | S | S | S | |||||||
| Culture and Tourism Bureau | S | S | ||||||||
| Science and Technology Bureau | S | S | ||||||||
| Forestry and Grassland Bureau | S | |||||||||
| Natural Resources and Planning Bureau | S | S | P | S | S | S | ||||
| Administrative Committee | S | S | S | S | S | S | ||||
| Water Resources and Lakes Bureau | S | |||||||||
| Commerce Bureau | ||||||||||
| Transportation Commission | ||||||||||
| Market Supervision Administration | ||||||||||
| Government Supervision Office | ||||||||||
| Urban Management Bureau | S | S | S | S | ||||||
| Municipal Publicity Department of the CPC | ||||||||||
| Communist Youth League Committee | ||||||||||
| Women’s Federation | ||||||||||
| River Chief Office | ||||||||||
| Municipal Landscaping Department | ||||||||||
| Comprehensive Administrative Law Enforcement Bureau | ||||||||||
| Industry and Information Technology Bureau |
| Responsible Agency | Treat Industrial and Service-Sector Wastewater | Remove Internal Pollution Sources and Solid Waste | Restore Aquatic Ecosystems | Encourage Governance Through Utilization | Strengthen Maintenance and Management of Small and Micro Water Bodies in Rural Areas | Improve Policy Support for Operation and Maintenance of Rural Wastewater Collection and Treatment Facilities | Establish and Improve Diversified Investment Mechanisms to Ensure Governance Funding | Advocate Source Reduction and Promote Co-creation | Strengthen Zoned and Categorized Governance | Deepen Resource-Oriented Utilization |
|---|---|---|---|---|---|---|---|---|---|---|
| People’s Government | P | S | S | S | S | S | ||||
| Ecology and Environment Bureau | S | S | S | S | S | S | S | P | P | |
| Development and Reform Commission | S | S | S | |||||||
| Agriculture and Rural Affairs Bureau | S | S | P | S | P | S | S | S | S | |
| Housing and Urban–Rural Development Bureau | S | S | S | S | ||||||
| Rural Revitalization Bureau | S | S | S | |||||||
| Water Resources Bureau | S | S | S | P | S | |||||
| Forestry Bureau | S | |||||||||
| Finance Bureau | P | P | ||||||||
| Civil Affairs Bureau | ||||||||||
| Health Commission | ||||||||||
| Culture and Tourism Bureau | S | |||||||||
| Science and Technology Bureau | ||||||||||
| Forestry and Grassland Bureau | ||||||||||
| Natural Resources and Planning Bureau | ||||||||||
| Administrative Committee | S | S | ||||||||
| Water Resources and Lakes Bureau | ||||||||||
| Commerce Bureau | S | |||||||||
| Transportation Commission | S | |||||||||
| Market Supervision Administration | ||||||||||
| Government Supervision Office | ||||||||||
| Urban Management Bureau | ||||||||||
| Municipal Publicity Department of the CPC | ||||||||||
| Communist Youth League Committee | ||||||||||
| Women’s Federation | ||||||||||
| River Chief Office | ||||||||||
| Municipal Landscaping Department | ||||||||||
| Comprehensive Administrative Law Enforcement Bureau | ||||||||||
| Industry and Information Technology Bureau |
| Responsible Agency | Accelerate the Renovation of Abnormally Operating Facilities | Coordinate the Remediation of Rural Black and Odorous Water Bodies | Organize Follow-Up Inspections of Completed Facilities | Strengthen Technological R&D and Standardized Governance | Strengthen Supervision and Performance Assessment | Promote Circular Utilization of Water for Rural Production and Living | Strictly Implement Standards for Comprehensive Utilization and Discharge | Strictly Enforce Construction Quality and Acceptance Procedures for Rural Domestic Wastewater Treatment Facilities | Conduct Extensive Public Awareness and Mobilization Campaigns | Fully Implement the Construction of Rural Domestic Wastewater Treatment Facilities |
|---|---|---|---|---|---|---|---|---|---|---|
| People’s Government | S | S | S | S | S | S | S | P | ||
| Ecology and Environment Bureau | P | P | P | S | P | S | S | P | S | S |
| Development and Reform Commission | S | S | ||||||||
| Agriculture and Rural Affairs Bureau | S | S | S | S | S | S | S | S | S | |
| Housing and Urban–Rural Development Bureau | S | S | S | S | S | S | S | S | S | |
| Rural Revitalization Bureau | S | S | ||||||||
| Water Resources Bureau | S | S | S | P | ||||||
| Forestry Bureau | ||||||||||
| Finance Bureau | S | S | S | |||||||
| Civil Affairs Bureau | S | |||||||||
| Health Commission | S | |||||||||
| Culture and Tourism Bureau | ||||||||||
| Science and Technology Bureau | S | |||||||||
| Forestry and Grassland Bureau | ||||||||||
| Natural Resources and Planning Bureau | S | |||||||||
| Administrative Committee | S | S | S | S | ||||||
| Water Resources and Lakes Bureau | ||||||||||
| Commerce Bureau | ||||||||||
| Transportation Commission | ||||||||||
| Market Supervision Administration | S | |||||||||
| Government Supervision Office | S | |||||||||
| Urban Management Bureau | S | S | S | S | ||||||
| Municipal Publicity Department of the CPC | P | |||||||||
| Communist Youth League Committee | S | |||||||||
| Women’s Federation | S | |||||||||
| River Chief Office | ||||||||||
| Municipal Landscaping Department | ||||||||||
| Comprehensive Administrative Law Enforcement Bureau | ||||||||||
| Industry and Information Technology Bureau |
| Responsible Agency | Promote the Construction and Renovation of Sanitary Toilets in Rural Areas | Advance Source Interception and Rain–Sewage Diversion Projects | Establish a Stable Operation and Maintenance Management System for Rural Wastewater Facilities | Comprehensively Promote High-Quality and High-Standard Upgrading of Rural Domestic Wastewater Governance | Implement Water System Connectivity | Deepen the River–Lake–Canal–Pond Chief System | Establish Long-Term Operation and Maintenance Mechanisms for Rural Black and Odorous Water Remediation | Standardize Protection of Rural Water Source Areas | Strengthen Remediation of Rural Water Sources | Establish and Improve Long-Term Management Mechanisms for Rural Drinking Water Sources |
|---|---|---|---|---|---|---|---|---|---|---|
| People’s Government | P | S | S | S | S | S | S | S | S | |
| Ecology and Environment Bureau | S | S | S | P | S | P | P | P | ||
| Development and Reform Commission | ||||||||||
| Agriculture and Rural Affairs Bureau | S | S | S | S | S | S | ||||
| Housing and Urban–Rural Development Bureau | S | S | ||||||||
| Rural Revitalization Bureau | ||||||||||
| Water Resources Bureau | S | P | S | P | P | |||||
| Forestry Bureau | S | |||||||||
| Finance Bureau | S | S | S | P | ||||||
| Civil Affairs Bureau | ||||||||||
| Health Commission | P | P | ||||||||
| Culture and Tourism Bureau | ||||||||||
| Science and Technology Bureau | ||||||||||
| Forestry and Grassland Bureau | ||||||||||
| Natural Resources and Planning Bureau | S | |||||||||
| Administrative Committee | ||||||||||
| Water Resources and Lakes Bureau | ||||||||||
| Commerce Bureau | ||||||||||
| Transportation Commission | ||||||||||
| Market Supervision Administration | ||||||||||
| Government Supervision Office | ||||||||||
| Urban Management Bureau | S | S | S | |||||||
| Municipal Publicity Department of the CPC | ||||||||||
| Communist Youth League Committee | ||||||||||
| Women’s Federation | ||||||||||
| River Chief Office | S | |||||||||
| Municipal Landscaping Department | S | |||||||||
| Comprehensive Administrative Law Enforcement Bureau | S | |||||||||
| Industry and Information Technology Bureau |
| Responsible Agency | Strictly Enforce Environmental Access Controls | Strengthen Remediation of Heavily Polluting Industries | Accelerate the Phase-Out of Outdated Production Capacity | Strengthen Centralized Treatment in Industrial Parks |
|---|---|---|---|---|
| People’s Government | S | S | S | S |
| Ecology and Environment Bureau | P | P | P | P |
| Development and Reform Commission | P | P | ||
| Agriculture and Rural Affairs Bureau | ||||
| Housing and Urban–Rural Development Bureau | P | |||
| Rural Revitalization Bureau | ||||
| Water Resources Bureau | P | |||
| Forestry Bureau | ||||
| Finance Bureau | ||||
| Civil Affairs Bureau | ||||
| Health Commission | ||||
| Culture and Tourism Bureau | ||||
| Science and Technology Bureau | ||||
| Forestry and Grassland Bureau | ||||
| Natural Resources and Planning Bureau | ||||
| Administrative Committee | ||||
| Water Resources and Lakes Bureau | ||||
| Commerce Bureau | P | |||
| Transportation Commission | ||||
| Market Supervision Administration | ||||
| Government Supervision Office | ||||
| Urban Management Bureau | ||||
| Municipal Publicity Department of the CPC | ||||
| Communist Youth League Committee | ||||
| Women’s Federation | ||||
| River Chief Office | ||||
| Municipal Landscaping Department | ||||
| Comprehensive Administrative Law Enforcement Bureau | ||||
| Industry and Information Technology Bureau | P | P | P | P |
Appendix B
| Source | Target | Weight |
|---|---|---|
| People’s Government | Ecology and Environment Bureau | 33 |
| People’s Government | Development and Reform Commission | 9 |
| People’s Government | Agriculture and Rural Affairs Bureau | 29 |
| People’s Government | Housing and Urban–Rural Development Bureau | 22 |
| People’s Government | Rural Revitalization Bureau | 13 |
| People’s Government | Water Resources Bureau | 17 |
| People’s Government | Forestry Bureau | 2 |
| People’s Government | Finance Bureau | 11 |
| People’s Government | Civil Affairs Bureau | 2 |
| People’s Government | Health Commission | 6 |
| People’s Government | Culture and Tourism Bureau | 2 |
| People’s Government | Science and Technology Bureau | 3 |
| People’s Government | Forestry and Grassland Bureau | 1 |
| People’s Government | Natural Resources and Planning Bureau | 6 |
| People’s Government | Administrative Committee | 12 |
| People’s Government | Water Resources and Lakes Bureau | 1 |
| People’s Government | Commerce Bureau | 1 |
| People’s Government | Transportation Commission | 1 |
| People’s Government | Urban Management Bureau | 11 |
| People’s Government | Municipal Publicity Department of the CPC | 1 |
| People’s Government | Communist Youth League Committee | 1 |
| People’s Government | Women’s Federation | 1 |
| People’s Government | River Chief Office | 1 |
| People’s Government | Municipal Landscaping Department | 1 |
| People’s Government | Comprehensive Administrative Law Enforcement Bureau | 1 |
| People’s Government | Industry and Information Technology Bureau | 4 |
| Ecology and Environment Bureau | Development and Reform Commission | 8 |
| Ecology and Environment Bureau | Agriculture and Rural Affairs Bureau | 31 |
| Ecology and Environment Bureau | Housing and Urban–Rural Development Bureau | 24 |
| Ecology and Environment Bureau | Rural Revitalization Bureau | 13 |
| Ecology and Environment Bureau | Water Resources Bureau | 18 |
| Ecology and Environment Bureau | Forestry Bureau | 2 |
| Ecology and Environment Bureau | Finance Bureau | 10 |
| Ecology and Environment Bureau | Civil Affairs Bureau | 2 |
| Ecology and Environment Bureau | Health Commission | 5 |
| Ecology and Environment Bureau | Culture and Tourism Bureau | 3 |
| Ecology and Environment Bureau | Science and Technology Bureau | 3 |
| Ecology and Environment Bureau | Forestry and Grassland Bureau | 1 |
| Ecology and Environment Bureau | Natural Resources and Planning Bureau | 8 |
| Ecology and Environment Bureau | Administrative Committee | 12 |
| Ecology and Environment Bureau | Water Resources and Lakes Bureau | 1 |
| Ecology and Environment Bureau | Commerce Bureau | 2 |
| Ecology and Environment Bureau | Transportation Commission | 1 |
| Ecology and Environment Bureau | Market Supervision Administration | 1 |
| Ecology and Environment Bureau | Government Supervision Office | 1 |
| Ecology and Environment Bureau | Urban Management Bureau | 11 |
| Ecology and Environment Bureau | Municipal Publicity Department of the CPC | 1 |
| Ecology and Environment Bureau | Communist Youth League Committee | 1 |
| Ecology and Environment Bureau | Women’s Federation | 1 |
| Ecology and Environment Bureau | River Chief Office | 1 |
| Ecology and Environment Bureau | Municipal Landscaping Department | 1 |
| Ecology and Environment Bureau | Comprehensive Administrative Law Enforcement Bureau | 1 |
| Ecology and Environment Bureau | Industry and Information Technology Bureau | 4 |
| Development and Reform Commission | Agriculture and Rural Affairs Bureau | 8 |
| Development and Reform Commission | Housing and Urban–Rural Development Bureau | 8 |
| Development and Reform Commission | Rural Revitalization Bureau | 5 |
| Development and Reform Commission | Water Resources Bureau | 5 |
| Development and Reform Commission | Forestry Bureau | 1 |
| Development and Reform Commission | Finance Bureau | 5 |
| Development and Reform Commission | Civil Affairs Bureau | 1 |
| Development and Reform Commission | Health Commission | 1 |
| Development and Reform Commission | Culture and Tourism Bureau | 1 |
| Development and Reform Commission | Science and Technology Bureau | 1 |
| Development and Reform Commission | Natural Resources and Planning Bureau | 2 |
| Development and Reform Commission | Administrative Committee | 6 |
| Development and Reform Commission | Commerce Bureau | 1 |
| Development and Reform Commission | Urban Management Bureau | 1 |
| Development and Reform Commission | Industry and Information Technology Bureau | 2 |
| Agriculture and Rural Affairs Bureau | Housing and Urban–Rural Development Bureau | 24 |
| Agriculture and Rural Affairs Bureau | Rural Revitalization Bureau | 13 |
| Agriculture and Rural Affairs Bureau | Water Resources Bureau | 15 |
| Agriculture and Rural Affairs Bureau | Forestry Bureau | 2 |
| Agriculture and Rural Affairs Bureau | Finance Bureau | 11 |
| Agriculture and Rural Affairs Bureau | Civil Affairs Bureau | 2 |
| Agriculture and Rural Affairs Bureau | Health Commission | 5 |
| Agriculture and Rural Affairs Bureau | Culture and Tourism Bureau | 3 |
| Agriculture and Rural Affairs Bureau | Science and Technology Bureau | 2 |
| Agriculture and Rural Affairs Bureau | Forestry and Grassland Bureau | 1 |
| Agriculture and Rural Affairs Bureau | Natural Resources and Planning Bureau | 7 |
| Agriculture and Rural Affairs Bureau | Administrative Committee | 12 |
| Agriculture and Rural Affairs Bureau | Water Resources and Lakes Bureau | 1 |
| Agriculture and Rural Affairs Bureau | Commerce Bureau | 1 |
| Agriculture and Rural Affairs Bureau | Transportation Commission | 1 |
| Agriculture and Rural Affairs Bureau | Government Supervision Office | 1 |
| Agriculture and Rural Affairs Bureau | Urban Management Bureau | 11 |
| Agriculture and Rural Affairs Bureau | Municipal Publicity Department of the CPC | 1 |
| Agriculture and Rural Affairs Bureau | Communist Youth League Committee | 1 |
| Agriculture and Rural Affairs Bureau | Women’s Federation | 1 |
| Agriculture and Rural Affairs Bureau | River Chief Office | 1 |
| Agriculture and Rural Affairs Bureau | Municipal Landscaping Department | 1 |
| Agriculture and Rural Affairs Bureau | Comprehensive Administrative Law Enforcement Bureau | 1 |
| Housing and Urban–Rural Development Bureau | Rural Revitalization Bureau | 12 |
| Housing and Urban–Rural Development Bureau | Water Resources Bureau | 10 |
| Housing and Urban–Rural Development Bureau | Forestry Bureau | 1 |
| Housing and Urban–Rural Development Bureau | Finance Bureau | 8 |
| Housing and Urban–Rural Development Bureau | Civil Affairs Bureau | 2 |
| Housing and Urban–Rural Development Bureau | Health Commission | 5 |
| Housing and Urban–Rural Development Bureau | Culture and Tourism Bureau | 2 |
| Housing and Urban–Rural Development Bureau | Science and Technology Bureau | 2 |
| Housing and Urban–Rural Development Bureau | Forestry and Grassland Bureau | 1 |
| Housing and Urban–Rural Development Bureau | Natural Resources and Planning Bureau | 7 |
| Housing and Urban–Rural Development Bureau | Administrative Committee | 11 |
| Housing and Urban–Rural Development Bureau | Water Resources and Lakes Bureau | 1 |
| Housing and Urban–Rural Development Bureau | Commerce Bureau | 1 |
| Housing and Urban–Rural Development Bureau | Government Supervision Office | 1 |
| Housing and Urban–Rural Development Bureau | Urban Management Bureau | 9 |
| Housing and Urban–Rural Development Bureau | Municipal Publicity Department of the CPC | 1 |
| Housing and Urban–Rural Development Bureau | Communist Youth League Committee | 1 |
| Housing and Urban–Rural Development Bureau | Women’s Federation | 1 |
| Housing and Urban–Rural Development Bureau | Comprehensive Administrative Law Enforcement Bureau | 1 |
| Rural Revitalization Bureau | Water Resources Bureau | 5 |
| Rural Revitalization Bureau | Forestry Bureau | 1 |
| Rural Revitalization Bureau | Finance Bureau | 4 |
| Rural Revitalization Bureau | Civil Affairs Bureau | 1 |
| Rural Revitalization Bureau | Health Commission | 3 |
| Rural Revitalization Bureau | Culture and Tourism Bureau | 2 |
| Rural Revitalization Bureau | Science and Technology Bureau | 1 |
| Rural Revitalization Bureau | Forestry and Grassland Bureau | 1 |
| Rural Revitalization Bureau | Natural Resources and Planning Bureau | 6 |
| Rural Revitalization Bureau | Administrative Committee | 9 |
| Rural Revitalization Bureau | Water Resources and Lakes Bureau | 1 |
| Rural Revitalization Bureau | Urban Management Bureau | 4 |
| Water Resources Bureau | Forestry Bureau | 2 |
| Water Resources Bureau | Finance Bureau | 3 |
| Water Resources Bureau | Civil Affairs Bureau | 1 |
| Water Resources Bureau | Health Commission | 3 |
| Water Resources Bureau | Culture and Tourism Bureau | 1 |
| Water Resources Bureau | Science and Technology Bureau | 2 |
| Water Resources Bureau | Forestry and Grassland Bureau | 1 |
| Water Resources Bureau | Natural Resources and Planning Bureau | 5 |
| Water Resources Bureau | Administrative Committee | 6 |
| Water Resources Bureau | Transportation Commission | 1 |
| Water Resources Bureau | Urban Management Bureau | 5 |
| Water Resources Bureau | Comprehensive Administrative Law Enforcement Bureau | 1 |
| Water Resources Bureau | Industry and Information Technology Bureau | 1 |
| Forestry Bureau | Administrative Committee | 1 |
| Forestry Bureau | Urban Management Bureau | 1 |
| Forestry Bureau | Comprehensive Administrative Law Enforcement Bureau | 1 |
| Finance Bureau | Civil Affairs Bureau | 1 |
| Finance Bureau | Health Commission | 2 |
| Finance Bureau | Culture and Tourism Bureau | 1 |
| Finance Bureau | Natural Resources and Planning Bureau | 3 |
| Finance Bureau | Administrative Committee | 4 |
| Finance Bureau | Urban Management Bureau | 2 |
| Finance Bureau | River Chief Office | 1 |
| Finance Bureau | Municipal Landscaping Department | 1 |
| Civil Affairs Bureau | Health Commission | 2 |
| Civil Affairs Bureau | Culture and Tourism Bureau | 1 |
| Civil Affairs Bureau | Natural Resources and Planning Bureau | 1 |
| Civil Affairs Bureau | Administrative Committee | 2 |
| Civil Affairs Bureau | Urban Management Bureau | 2 |
| Civil Affairs Bureau | Municipal Publicity Department of the CPC | 1 |
| Civil Affairs Bureau | Communist Youth League Committee | 1 |
| Civil Affairs Bureau | Women’s Federation | 1 |
| Health Commission | Culture and Tourism Bureau | 2 |
| Health Commission | Science and Technology Bureau | 1 |
| Health Commission | Forestry and Grassland Bureau | 1 |
| Health Commission | Natural Resources and Planning Bureau | 3 |
| Health Commission | Administrative Committee | 3 |
| Health Commission | Urban Management Bureau | 4 |
| Health Commission | Municipal Publicity Department of the CPC | 1 |
| Health Commission | Communist Youth League Committee | 1 |
| Health Commission | Women’s Federation | 1 |
| Culture and Tourism Bureau | Natural Resources and Planning Bureau | 2 |
| Culture and Tourism Bureau | Administrative Committee | 1 |
| Culture and Tourism Bureau | Commerce Bureau | 1 |
| Culture and Tourism Bureau | Urban Management Bureau | 2 |
| Science and Technology Bureau | Forestry and Grassland Bureau | 1 |
| Science and Technology Bureau | Natural Resources and Planning Bureau | 1 |
| Science and Technology Bureau | Administrative Committee | 2 |
| Science and Technology Bureau | Market Supervision Administration | 1 |
| Science and Technology Bureau | Urban Management Bureau | 1 |
| Forestry and Grassland Bureau | Natural Resources and Planning Bureau | 1 |
| Forestry and Grassland Bureau | Administrative Committee | 1 |
| Forestry and Grassland Bureau | Urban Management Bureau | 1 |
| Natural Resources and Planning Bureau | Administrative Committee | 3 |
| Natural Resources and Planning Bureau | Urban Management Bureau | 3 |
| Administrative Committee | Water Resources and Lakes Bureau | 1 |
| Administrative Committee | Urban Management Bureau | 4 |
| Administrative Committee | Municipal Publicity Department of the CPC | 1 |
| Administrative Committee | Communist Youth League Committee | 1 |
| Administrative Committee | Women’s Federation | 1 |
| Water Resources and Lakes Bureau | Urban Management Bureau | 1 |
| Commerce Bureau | Industry and Information Technology Bureau | 1 |
| Urban Management Bureau | Municipal Publicity Department of the CPC | 1 |
| Urban Management Bureau | Communist Youth League Committee | 1 |
| Urban Management Bureau | Women’s Federation | 1 |
| Urban Management Bureau | Comprehensive Administrative Law Enforcement Bureau | 1 |
| Municipal Publicity Department of the CPC | Communist Youth League Committee | 1 |
| Municipal Publicity Department of the CPC | Women’s Federation | 1 |
| Communist Youth League Committee | Women’s Federation | 1 |
| River Chief Office | Municipal Landscaping Department | 1 |
Appendix C
| Figure(s) | Panel/Group | Network Size | Varied Parameter | Parameter Value | Mean Final Participation ± SD (Est.) | Mean Convergence Iteration ± SD (Est.) |
|---|---|---|---|---|---|---|
| Figure 3 and Figure 4 | All nodes | 29 | K | 4 | 0.00 ± 0.01 | 8 ± 2 |
| Figure 3 and Figure 4 | All nodes | 29 | K | 5 | 0.00 ± 0.01 | 20 ± 3 |
| Figure 3 and Figure 4 | All nodes | 29 | K | 6 | 0.52 ± 0.05 | 15 ± 3 |
| Figure 3 and Figure 4 | All nodes | 29 | K | 7 | 1.00 ± 0.01 | 6 ± 1 |
| Figure 3 and Figure 4 | All nodes | 29 | K | 8 | 1.00 ± 0.01 | 4 ± 1 |
| Figure 3 and Figure 4 | Lower economic preference | 29 | K | 4 | 0.00 ± 0.01 | 10 ± 2 |
| Figure 3 and Figure 4 | Lower economic preference | 29 | K | 5 | 0.05 ± 0.02 | 18 ± 3 |
| Figure 3 and Figure 4 | Lower economic preference | 29 | K | 6 | 0.75 ± 0.04 | 12 ± 2 |
| Figure 3 and Figure 4 | Lower economic preference | 29 | K | 7 | 1.00 ± 0.01 | 6 ± 1 |
| Figure 3 and Figure 4 | Lower economic preference | 29 | K | 8 | 1.00 ± 0.01 | 4 ± 1 |
| Figure 3 and Figure 4 | All nodes | 50 | K | 4 | 0.00 ± 0.01 | 10 ± 2 |
| Figure 3 and Figure 4 | All nodes | 50 | K | 5 | 0.00 ± 0.01 | 25 ± 4 |
| Figure 3 and Figure 4 | All nodes | 50 | K | 6 | 0.60 ± 0.05 | 18 ± 3 |
| Figure 3 and Figure 4 | All nodes | 50 | K | 7 | 1.00 ± 0.01 | 6 ± 1 |
| Figure 3 and Figure 4 | All nodes | 50 | K | 8 | 1.00 ± 0.01 | 4 ± 1 |
| Figure 3 and Figure 4 | Lower economic preference | 50 | K | 4 | 0.00 ± 0.01 | 12 ± 2 |
| Figure 3 and Figure 4 | Lower economic preference | 50 | K | 5 | 0.00 ± 0.01 | 22 ± 4 |
| Figure 3 and Figure 4 | Lower economic preference | 50 | K | 6 | 0.65 ± 0.05 | 18 ± 3 |
| Figure 3 and Figure 4 | Lower economic preference | 50 | K | 7 | 1.00 ± 0.01 | 6 ± 1 |
| Figure 3 and Figure 4 | Lower economic preference | 50 | K | 8 | 1.00 ± 0.01 | 4 ± 1 |
| Figure 5 and Figure 6 | All nodes | 29 | F | 12 | 1.00 ± 0.01 | 5 ± 1 |
| Figure 5 and Figure 6 | All nodes | 29 | F | 14 | 1.00 ± 0.01 | 6 ± 1 |
| Figure 5 and Figure 6 | All nodes | 29 | F | 16 | 0.68 ± 0.05 | 10 ± 2 |
| Figure 5 and Figure 6 | All nodes | 29 | F | 18 | 0.12 ± 0.04 | 22 ± 4 |
| Figure 5 and Figure 6 | All nodes | 29 | F | 20 | 0.00 ± 0.01 | 15 ± 3 |
| Figure 5 and Figure 6 | Lower economic preference | 29 | F | 12 | 1.00 ± 0.01 | 5 ± 1 |
| Figure 5 and Figure 6 | Lower economic preference | 29 | F | 14 | 1.00 ± 0.01 | 6 ± 1 |
| Figure 5 and Figure 6 | Lower economic preference | 29 | F | 16 | 0.60 ± 0.05 | 12 ± 2 |
| Figure 5 and Figure 6 | Lower economic preference | 29 | F | 18 | 0.10 ± 0.04 | 24 ± 4 |
| Figure 5 and Figure 6 | Lower economic preference | 29 | F | 20 | 0.00 ± 0.01 | 15 ± 3 |
| Figure 5 and Figure 6 | All nodes | 50 | F | 12 | 1.00 ± 0.01 | 5 ± 1 |
| Figure 5 and Figure 6 | All nodes | 50 | F | 14 | 1.00 ± 0.01 | 6 ± 1 |
| Figure 5 and Figure 6 | All nodes | 50 | F | 16 | 0.68 ± 0.05 | 12 ± 2 |
| Figure 5 and Figure 6 | All nodes | 50 | F | 18 | 0.02 ± 0.01 | 25 ± 4 |
| Figure 5 and Figure 6 | All nodes | 50 | F | 20 | 0.00 ± 0.01 | 18 ± 3 |
| Figure 5 and Figure 6 | Lower economic preference | 50 | F | 12 | 1.00 ± 0.01 | 5 ± 1 |
| Figure 5 and Figure 6 | Lower economic preference | 50 | F | 14 | 1.00 ± 0.01 | 6 ± 1 |
| Figure 5 and Figure 6 | Lower economic preference | 50 | F | 16 | 0.58 ± 0.05 | 14 ± 3 |
| Figure 5 and Figure 6 | Lower economic preference | 50 | F | 18 | 0.02 ± 0.01 | 25 ± 4 |
| Figure 5 and Figure 6 | Lower economic preference | 50 | F | 20 | 0.00 ± 0.01 | 18 ± 3 |
| Figure 7 and Figure 8 | All nodes | 29 | λ | 1.0 | 0.22 ± 0.04 | 25 ± 4 |
| Figure 7 and Figure 8 | All nodes | 29 | λ | 1.4 | 0.52 ± 0.05 | 20 ± 3 |
| Figure 7 and Figure 8 | All nodes | 29 | λ | 1.8 | 0.82 ± 0.04 | 12 ± 2 |
| Figure 7 and Figure 8 | All nodes | 29 | λ | 2.2 | 0.98 ± 0.01 | 6 ± 1 |
| Figure 7 and Figure 8 | All nodes | 29 | λ | 2.6 | 1.00 ± 0.01 | 4 ± 1 |
| Figure 7 and Figure 8 | Lower economic preference | 29 | λ | 1.0 | 0.25 ± 0.04 | 25 ± 4 |
| Figure 7 and Figure 8 | Lower economic preference | 29 | λ | 1.4 | 0.55 ± 0.05 | 18 ± 3 |
| Figure 7 and Figure 8 | Lower economic preference | 29 | λ | 1.8 | 0.85 ± 0.04 | 10 ± 2 |
| Figure 7 and Figure 8 | Lower economic preference | 29 | λ | 2.2 | 0.98 ± 0.01 | 6 ± 1 |
| Figure 7 and Figure 8 | Lower economic preference | 29 | λ | 2.6 | 1.00 ± 0.01 | 4 ± 1 |
| Figure 7 and Figure 8 | All nodes | 50 | λ | 1.0 | 0.10 ± 0.04 | 28 ± 4 |
| Figure 7 and Figure 8 | All nodes | 50 | λ | 1.4 | 0.50 ± 0.05 | 22 ± 4 |
| Figure 7 and Figure 8 | All nodes | 50 | λ | 1.8 | 0.92 ± 0.02 | 10 ± 2 |
| Figure 7 and Figure 8 | All nodes | 50 | λ | 2.2 | 0.99 ± 0.01 | 6 ± 1 |
| Figure 7 and Figure 8 | All nodes | 50 | λ | 2.6 | 1.00 ± 0.01 | 4 ± 1 |
| Figure 7 and Figure 8 | Lower economic preference | 50 | λ | 1.0 | 0.12 ± 0.04 | 28 ± 4 |
| Figure 7 and Figure 8 | Lower economic preference | 50 | λ | 1.4 | 0.52 ± 0.05 | 20 ± 3 |
| Figure 7 and Figure 8 | Lower economic preference | 50 | λ | 1.8 | 0.93 ± 0.02 | 10 ± 2 |
| Figure 7 and Figure 8 | Lower economic preference | 50 | λ | 2.2 | 0.99 ± 0.01 | 6 ± 1 |
| Figure 7 and Figure 8 | Lower economic preference | 50 | λ | 2.6 | 1.00 ± 0.01 | 4 ± 1 |
| Figure 9 and Figure 10 | All nodes | 29 | β | 1.0 | 0.85 ± 0.04 | 10 ± 2 |
| Figure 9 and Figure 10 | All nodes | 29 | β | 1.2 | 0.88 ± 0.04 | 10 ± 2 |
| Figure 9 and Figure 10 | All nodes | 29 | β | 1.4 | 0.90 ± 0.02 | 10 ± 2 |
| Figure 9 and Figure 10 | All nodes | 29 | β | 1.6 | 0.92 ± 0.02 | 10 ± 2 |
| Figure 9 and Figure 10 | All nodes | 29 | β | 1.8 | 0.94 ± 0.02 | 10 ± 2 |
| Figure 9 and Figure 10 | Lower economic preference | 29 | β | 1.0 | 0.90 ± 0.02 | 8 ± 2 |
| Figure 9 and Figure 10 | Lower economic preference | 29 | β | 1.2 | 0.92 ± 0.02 | 8 ± 2 |
| Figure 9 and Figure 10 | Lower economic preference | 29 | β | 1.4 | 0.94 ± 0.02 | 8 ± 2 |
| Figure 9 and Figure 10 | Lower economic preference | 29 | β | 1.6 | 0.96 ± 0.02 | 8 ± 2 |
| Figure 9 and Figure 10 | Lower economic preference | 29 | β | 1.8 | 0.97 ± 0.02 | 8 ± 2 |
| Figure 9 and Figure 10 | All nodes | 50 | β | 1.0 | 0.86 ± 0.04 | 10 ± 2 |
| Figure 9 and Figure 10 | All nodes | 50 | β | 1.2 | 0.88 ± 0.04 | 10 ± 2 |
| Figure 9 and Figure 10 | All nodes | 50 | β | 1.4 | 0.90 ± 0.02 | 10 ± 2 |
| Figure 9 and Figure 10 | All nodes | 50 | β | 1.6 | 0.93 ± 0.02 | 10 ± 2 |
| Figure 9 and Figure 10 | All nodes | 50 | β | 1.8 | 0.95 ± 0.02 | 10 ± 2 |
| Figure 9 and Figure 10 | Lower economic preference | 50 | β | 1.0 | 0.90 ± 0.02 | 8 ± 2 |
| Figure 9 and Figure 10 | Lower economic preference | 50 | β | 1.2 | 0.93 ± 0.02 | 8 ± 2 |
| Figure 9 and Figure 10 | Lower economic preference | 50 | β | 1.4 | 0.95 ± 0.02 | 8 ± 2 |
| Figure 9 and Figure 10 | Lower economic preference | 50 | β | 1.6 | 0.97 ± 0.02 | 8 ± 2 |
| Figure 9 and Figure 10 | Lower economic preference | 50 | β | 1.8 | 0.99 ± 0.01 | 8 ± 2 |
| Figure 11 and Figure 12 | All nodes | 29 | θ | 0.1 | 1.00 ± 0.01 | 5 ± 1 |
| Figure 11 and Figure 12 | All nodes | 29 | θ | 0.3 | 1.00 ± 0.01 | 5 ± 1 |
| Figure 11 and Figure 12 | All nodes | 29 | θ | 0.5 | 1.00 ± 0.01 | 6 ± 1 |
| Figure 11 and Figure 12 | All nodes | 29 | θ | 0.7 | 0.68 ± 0.05 | 12 ± 2 |
| Figure 11 and Figure 12 | All nodes | 29 | θ | 0.9 | 0.35 ± 0.04 | 15 ± 3 |
| Figure 11 and Figure 12 | Lower economic preference | 29 | θ | 0.1 | 1.00 ± 0.01 | 5 ± 1 |
| Figure 11 and Figure 12 | Lower economic preference | 29 | θ | 0.3 | 1.00 ± 0.01 | 5 ± 1 |
| Figure 11 and Figure 12 | Lower economic preference | 29 | θ | 0.5 | 1.00 ± 0.01 | 6 ± 1 |
| Figure 11 and Figure 12 | Lower economic preference | 29 | θ | 0.7 | 0.68 ± 0.05 | 12 ± 2 |
| Figure 11 and Figure 12 | Lower economic preference | 29 | θ | 0.9 | 0.38 ± 0.04 | 15 ± 3 |
| Figure 11 and Figure 12 | All nodes | 50 | θ | 0.1 | 1.00 ± 0.01 | 5 ± 1 |
| Figure 11 and Figure 12 | All nodes | 50 | θ | 0.3 | 1.00 ± 0.01 | 5 ± 1 |
| Figure 11 and Figure 12 | All nodes | 50 | θ | 0.5 | 1.00 ± 0.01 | 6 ± 1 |
| Figure 11 and Figure 12 | All nodes | 50 | θ | 0.7 | 0.68 ± 0.05 | 14 ± 3 |
| Figure 11 and Figure 12 | All nodes | 50 | θ | 0.9 | 0.22 ± 0.04 | 18 ± 3 |
| Figure 11 and Figure 12 | Lower economic preference | 50 | θ | 0.1 | 1.00 ± 0.01 | 5 ± 1 |
| Figure 11 and Figure 12 | Lower economic preference | 50 | θ | 0.3 | 1.00 ± 0.01 | 5 ± 1 |
| Figure 11 and Figure 12 | Lower economic preference | 50 | θ | 0.5 | 1.00 ± 0.01 | 6 ± 1 |
| Figure 11 and Figure 12 | Lower economic preference | 50 | θ | 0.7 | 0.68 ± 0.05 | 14 ± 3 |
| Figure 11 and Figure 12 | Lower economic preference | 50 | θ | 0.9 | 0.25 ± 0.04 | 18 ± 3 |
| Figure 13 | All nodes (heterogeneity removed) | 29 | K | 4 | 1.00 ± 0.01 | 4 ± 1 |
| Figure 13 | All nodes (heterogeneity removed) | 29 | K | 5 | 1.00 ± 0.01 | 3 ± 1 |
| Figure 13 | All nodes (heterogeneity removed) | 29 | K | 6 | 1.00 ± 0.01 | 3 ± 1 |
| Figure 13 | All nodes (heterogeneity removed) | 29 | K | 7 | 1.00 ± 0.01 | 3 ± 1 |
| Figure 13 | All nodes (heterogeneity removed) | 29 | K | 8 | 1.00 ± 0.01 | 3 ± 1 |
| Figure 13 | All nodes (heterogeneity removed) | 29 | F | 12 | 1.00 ± 0.01 | 3 ± 1 |
| Figure 13 | All nodes (heterogeneity removed) | 29 | F | 14 | 1.00 ± 0.01 | 3 ± 1 |
| Figure 13 | All nodes (heterogeneity removed) | 29 | F | 16 | 1.00 ± 0.01 | 3 ± 1 |
| Figure 13 | All nodes (heterogeneity removed) | 29 | F | 18 | 1.00 ± 0.01 | 3 ± 1 |
| Figure 13 | All nodes (heterogeneity removed) | 29 | F | 20 | 1.00 ± 0.01 | 3 ± 1 |
| Figure 13 | All nodes (heterogeneity removed) | 29 | λ | 1.0 | 1.00 ± 0.01 | 4 ± 1 |
| Figure 13 | All nodes (heterogeneity removed) | 29 | λ | 1.4 | 1.00 ± 0.01 | 3 ± 1 |
| Figure 13 | All nodes (heterogeneity removed) | 29 | λ | 1.8 | 1.00 ± 0.01 | 3 ± 1 |
| Figure 13 | All nodes (heterogeneity removed) | 29 | λ | 2.2 | 1.00 ± 0.01 | 3 ± 1 |
| Figure 13 | All nodes (heterogeneity removed) | 29 | λ | 2.6 | 1.00 ± 0.01 | 3 ± 1 |
| Figure 13 | All nodes (heterogeneity removed) | 29 | β | 1.0 | 1.00 ± 0.01 | 3 ± 1 |
| Figure 13 | All nodes (heterogeneity removed) | 29 | β | 1.2 | 1.00 ± 0.01 | 3 ± 1 |
| Figure 13 | All nodes (heterogeneity removed) | 29 | β | 1.4 | 1.00 ± 0.01 | 3 ± 1 |
| Figure 13 | All nodes (heterogeneity removed) | 29 | β | 1.6 | 1.00 ± 0.01 | 3 ± 1 |
| Figure 13 | All nodes (heterogeneity removed) | 29 | β | 1.8 | 1.00 ± 0.01 | 3 ± 1 |
References
- Liu, Y.; Tan, Y.; Zhang, X. The long-term economic impact of water quality: Evidence from rural drinking water program in China. J. Asian Econ. 2024, 94, 101796. [Google Scholar] [CrossRef]
- Mishra, S.; Kumar, R.; Kumar, M. Use of treated sewage or wastewater as an irrigation water for agricultural purposes-Environmental, health, and economic impacts. Total Environ. Res. Themes 2023, 6, 100051. [Google Scholar] [CrossRef]
- Abarzúa, G.E.B.; Glückler, J. Network governance at the margin of the state: Rural drinking water communities in Chile. Environ. Manag. 2023, 71, 451–464. [Google Scholar] [CrossRef] [PubMed]
- Khan, H.; Anum, H.; Yan, Z.; Chunjie, Q. Modernizing Rural Water Governance: A Systematic Review of Transitions, Dynamics, Influential Factors, and Challenges. Water Resour. Manag. 2025, 39, 979–997. [Google Scholar] [CrossRef]
- Luo, Y.; Wu, J.; Xu, Y. Can self-governance tackle the water commons?—Causal evidence of the effect of rural water pollution treatment on farmers’ health in China. Ecol. Econ. 2022, 198, 107471. [Google Scholar] [CrossRef]
- Xu, Q.; Boelens, R.; Veldwisch, G.J. The evolution of China’s rural water governance: Water, techno-political development and state legitimacy. J. Peasant Stud. 2024, 51, 717–737. [Google Scholar] [CrossRef]
- Wang, J.; Zhao, X. Goal orientation and effectiveness of water environment governance in China. Ecohydrol. Hydrobiol. 2025, 25, 100673. [Google Scholar] [CrossRef]
- Xu, Q.; Boelens, R.; Veldwisch, G.J. Rural drinking water governance politics in China: Governmentality schemes and negotiations from below. Political Geogr. 2022, 97, 102703. [Google Scholar] [CrossRef]
- Ansell, C.; Gash, A. Collaborative governance in theory and practice. J. Public Adm. Res. Theory 2008, 18, 543–571. [Google Scholar] [CrossRef]
- Tantoh, H.B.; McKay, T. Assessing community-based water management and governance systems in North-West Cameroon using a cultural theory and systems approach. J. Clean. Prod. 2021, 290, 125804. [Google Scholar] [CrossRef]
- Wiek, A.; Larson, K.L. Water, people, and sustainability—A systems framework for analyzing and assessing water governance regimes. Water Resour. Manag. 2012, 26, 3153–3171. [Google Scholar] [CrossRef]
- Dakyaga, F.; Kosoe, E.A.; Alhassan, G. Everyday politics in collaborative governance of (non) networked water infrastructures in rural and small towns of Ghana. Habitat Int. 2023, 139, 102904. [Google Scholar] [CrossRef]
- Dobbin, K.B.; Kuo, M.; Lubell, M.; Bostic, D.; Mendoza, J.; Echeveste, E. Drivers of (in) equity in collaborative environmental governance. Policy Stud. J. 2023, 51, 375–395. [Google Scholar] [CrossRef]
- Feng, J.; Tang, Y.; Xue, S.; Zhang, K. Study on cooperative strategies of rural water environment governance PPP project between companies and farmers from the perspective of evolutionary game. Environ. Dev. Sustain. 2022, 24, 138–155. [Google Scholar] [CrossRef]
- Cui, Y.; Huang, Y.; Li, J.; Liu, H.; Jia, X.; Zhou, Y. Implementation Path of Collaborative Treatment of Rural Domestic Sewage in Beijing-Tianjin-Hebei in the New Era. Chin. J. Environ. Manag. 2025, 17, 30–39. (In Chinese) [Google Scholar] [CrossRef]
- Yin, F.-F.; Shi, X.; Guo, H.-F.; Shen, Y.-R. Performance evaluation of rural water environment governance based on AHP: A case study of the Beitang River Basin. Water Sci. Technol. 2023, 88, 2661–2676. [Google Scholar] [CrossRef]
- Liu, M.; Li, T.; Liu, Y.; Li, J.; Jiang, H.; Wang, L.; An, S. Grading identification and pollution source determination of rural water based on the black-odorous water quality index model. J. Water Process Eng. 2025, 75, 108076. [Google Scholar] [CrossRef]
- Dobbin, K.B. “Good luck fixing the problem”: Small low-income community participation in collaborative groundwater governance and implications for drinking water source protection. Soc. Nat. Resour. 2020, 33, 1468–1485. [Google Scholar] [CrossRef]
- Gansauer, G.; Haggerty, J.; Dunn, J. Public water system governance in rural Montana, USA: A ‘slow drip’ on community resilience. Soc. Nat. Resour. 2023, 36, 1257–1276. [Google Scholar] [CrossRef]
- Wang, C.; Wang, P.; Qian, J.; Hu, B.; Yin, J. Construction of Synergistic Governance System for Agricultural Non-point Source Pollution in the Yangtze River Delta. Strateg. Study CAE 2024, 26, 181–189. (In Chinese) [Google Scholar] [CrossRef]
- Dong, L.; Fan, R. Dynamic analysis of the optimal guiding mechanism for second emission trading market in China. J. Clean. Prod. 2023, 418, 138145. [Google Scholar] [CrossRef]
- Ge, T.; Chen, X.; Geng, Y.; Yang, K. Does regional collaborative governance reduce air pollution? Quasi-experimental evidence from China. J. Clean. Prod. 2023, 419, 138283. [Google Scholar] [CrossRef]
- Liu, X.; Wang, W.; Wu, W.; Zhang, L.; Wang, L. Using cooperative game model of air pollution governance to study the cost sharing in Yangtze River Delta region. J. Environ. Manag. 2022, 301, 113896. [Google Scholar] [CrossRef] [PubMed]
- Si, L.; Liu, X. Nip risks in the bud: Research data ethics governance framework and collaborative network from the perspective of UK policy. Aslib J. Inf. Manag. 2025, 77, 599–619. [Google Scholar] [CrossRef]
- Liu, S.; Wu, Y.; Jiang, G.; Dong, J. System dynamics modeling of collaborative governance in smart cities: A case study of Dongguan, China. Sci. Rep. 2024, 14, 31758. [Google Scholar] [CrossRef]
- Peng, Y.; Peng, X.; Li, X.; Lu, M.; Yin, M. Effectiveness in rural governance: Influencing factors and driving pathways—Based on 20 typical cases of rural governance in China. Land 2023, 12, 1452. [Google Scholar] [CrossRef]
- Wei, Y.; Zhang, A.; Ma, Y. A bibliometric review of rural living environment improvement research in China based on CNKI database: 1992–2022. Sustainability 2023, 15, 6561. [Google Scholar] [CrossRef]
- Aumann, R.J. Rationality and bounded rationality. Games Econ. Behav. 1997, 21, 2–14. [Google Scholar] [CrossRef]
- Weitz, J.S.; Eksin, C.; Paarporn, K.; Brown, S.P.; Ratcliff, W.C. An oscillating tragedy of the commons in replicator dynamics with game-environment feedback. Proc. Natl. Acad. Sci. USA 2016, 113, E7518–E7525. [Google Scholar]
- Friedman, D. On economic applications of evolutionary game theory. J. Evol. Econ. 1998, 8, 15–43. [Google Scholar] [CrossRef]
- Szabó, G.; Tőke, C. Evolutionary prisoner’s dilemma game on a square lattice. Phys. Rev. E 1998, 58, 69–73. [Google Scholar] [CrossRef]
- Szolnoki, A.; Perc, M.; Szabó, G. Topology-independent impact of noise on cooperation in spatial public goods games. Phys. Rev. E Stat. Nonlinear Soft Matter Phys. 2009, 80, 056109. [Google Scholar] [CrossRef]
- Li, J.; Jiao, J.; Tang, Y. An evolutionary analysis on the effect of government policies on electric vehicle diffusion in complex network. Energy Policy 2019, 129, 1–12. [Google Scholar] [CrossRef]
- Wang, Q.; Wang, H.; Zhang, Z.; Li, Y.; Liu, Y.; Perc, M. Heterogeneous investments promote cooperation in evolutionary public goods games. Phys. A Stat. Mech. Its Appl. 2018, 502, 570–575. [Google Scholar] [CrossRef]
- Li, G.; Sun, X. Evolutionary game on a growing multilayer network. Phys. A Stat. Mech. Its Appl. 2021, 578, 126110. [Google Scholar] [CrossRef]
- Fan, R.; Wu, T. Research on small-world network evolutionary game of regional environmental cooperation governance with multiple heterogeneity. J. Ind. Eng. Eng. Manag. 2025, 39, 140–154. (In Chinese) [Google Scholar] [CrossRef]
- Yang, X.; He, G.; Zhang, S.; Zhao, S.; Qi, L. Research on mechanism design and evolution path for synergistic governance of water pollution in watersheds: A case study of the Xin’an River Basin. J. Saf. Environ. 2024, 24, 3659–3670. (In Chinese) [Google Scholar] [CrossRef]
- Chen, J.; Liu, Z.; Cai, Q.; Zhang, W.; Ma, F. Diffusion of low-carbon policies among cities: A complex network and evolutionary game approach. J. Clean. Prod. 2025, 536, 147204. [Google Scholar] [CrossRef]
- Tang, X.; Lan, T.; Du, F.; Li, D.; Zhong, H.; Hu, Y.; Cai, B.; Li, H. Promoting Data Sharing Diffusion in the Automotive Industry: An Evolutionary Game Model on Complex Networks. Expert Syst. Appl. 2025, 286, 127992. [Google Scholar] [CrossRef]
- Ulibarri, N. Collaborative governance: A tool to manage scientific, administrative, and strategic uncertainties in environmental management? Ecol. Soc. 2019, 24, 15. [Google Scholar] [CrossRef]
- Sun, X.; Wang, W.; Pang, J.; Liu, X.; Zhang, M. Study on the evolutionary game of central government and local governments under central environmental supervision system. J. Clean. Prod. 2021, 296, 126574. [Google Scholar] [CrossRef]
- Zhao, J.; Zhang, C.; Wu, Y.; Zhu, J.; Ji, Y.; Sun, J. The influence mechanism of multi-government environmental regulation synergy on corporate environmental responsibility. Econ. Anal. Policy 2024, 82, 1296–1319. [Google Scholar] [CrossRef]
- Nazari, S.; Ahmadi, A. Non-cooperative stability assessments of groundwater resources management based on the tradeoff between the economy and the environment. J. Hydrol. 2019, 578, 124075. [Google Scholar] [CrossRef]
- Chen, Y.; Zhang, J.; Tadikamalla, P.R.; Gao, X. The relationship among government, enterprise, and public in environmental governance from the perspective of multi-player evolutionary game. Int. J. Environ. Res. Public Health 2019, 16, 3351. [Google Scholar] [CrossRef]
- Cheng, C.; Fang, Z.; Zhou, Q.; Wang, Y.; Li, N.; Zhou, H. Improving the effectiveness of watershed environmental management—Dynamic coordination through government pollution control and resident participation. Environ. Sci. Pollut. Res. 2023, 30, 57862–57881. [Google Scholar] [CrossRef]
- Hu, Z.; Wang, Y.; Zhang, H.; Liao, W.; Tao, T. An evolutionary game study on the collaborative governance of environmental pollution: From the perspective of regulatory capture. Front. Public Health 2024, 11, 1320072. [Google Scholar] [CrossRef]













| Parameter | Meaning Explanation |
|---|---|
| The gains obtained through unilateral governance by one party | |
| The cost incurred through unilateral governance by a single party | |
| The synergy coefficient is when both parties actively participate in collaborative governance | |
| Cost and benefit distribution coefficient for rural water environment governance | |
| The rewards and penalties applied to local governments that actively participate versus those that do not engage in the collaborative governance of the rural water environment | |
| The economic preferences of local governments | |
| The benefits obtained by local governments from pursuing economic growth | |
| The lack of active participation by local governments in collaborative governance has resulted in regional losses | |
| Indicating the trend of increased losses when neither party actively participates in collaborative governance | |
| Reputation benefits |
| Strategy | Local Government 1 | Local Government 2 |
|---|---|---|
| (Actively participate, actively participate) | ||
| (Actively participate, not actively participate) | ||
| (Not actively participate, actively participate) | ||
| (Not actively participate, not actively participate) |
| Local Equilibrium Point | ||
|---|---|---|
| Conditions | Local Equilibrium Point | Stability | ||
|---|---|---|---|---|
| , | + | − | ESS | |
| + | + | Unstable | ||
| + | + | Unstable | ||
| + | − | ESS | ||
| , | − | Not fixed | Saddle point | |
| + | + | Unstable | ||
| − | Not fixed | Saddle point | ||
| + | − | ESS | ||
| , | − | Not fixed | Saddle point | |
| − | Not fixed | Saddle point | ||
| + | + | Unstable | ||
| + | − | ESS | ||
| , | + | + | Unstable | |
| − | Not fixed | Saddle point | ||
| − | Not fixed | Saddle point | ||
| + | − | ESS |
| Parameters | Numerical Value | Parameters | Numerical Value |
|---|---|---|---|
| The gains obtained through unilateral governance by one party | 25 | Award/Punishment Amount | 6.5 |
| The cost incurred through unilateral governance by a single party | 23 | The benefits obtained by local governments from pursuing economic growth | 15 |
| The lack of active participation by local governments in collaborative governance has resulted in regional losses | 6 | Synergistic gain coefficient | 1.8 |
| Reputation benefits | 8 | The coefficient of the trend of increasing losses | 1.3 |
Disclaimer/Publisher’s Note: The statements, opinions and data contained in all publications are solely those of the individual author(s) and contributor(s) and not of MDPI and/or the editor(s). MDPI and/or the editor(s) disclaim responsibility for any injury to people or property resulting from any ideas, methods, instructions or products referred to in the content. |
© 2026 by the authors. Licensee MDPI, Basel, Switzerland. This article is an open access article distributed under the terms and conditions of the Creative Commons Attribution (CC BY) license.
Share and Cite
Dong, G.; Li, X.; Zhang, Y. Research on Intergovernmental Collaboration Mechanisms in Rural Water Environmental Governance Based on Complex Network Evolutionary Game. Sustainability 2026, 18, 2564. https://doi.org/10.3390/su18052564
Dong G, Li X, Zhang Y. Research on Intergovernmental Collaboration Mechanisms in Rural Water Environmental Governance Based on Complex Network Evolutionary Game. Sustainability. 2026; 18(5):2564. https://doi.org/10.3390/su18052564
Chicago/Turabian StyleDong, Guanghua, Xin Li, and Yaru Zhang. 2026. "Research on Intergovernmental Collaboration Mechanisms in Rural Water Environmental Governance Based on Complex Network Evolutionary Game" Sustainability 18, no. 5: 2564. https://doi.org/10.3390/su18052564
APA StyleDong, G., Li, X., & Zhang, Y. (2026). Research on Intergovernmental Collaboration Mechanisms in Rural Water Environmental Governance Based on Complex Network Evolutionary Game. Sustainability, 18(5), 2564. https://doi.org/10.3390/su18052564
