Next Article in Journal
Visual Perspective and Psychological Restoration: Differential Pathways to Cognitive and Emotional Recovery in Mediated Nature Exposure
Previous Article in Journal
Research on Intergovernmental Collaboration Mechanisms in Rural Water Environmental Governance Based on Complex Network Evolutionary Game
Previous Article in Special Issue
Experimental Study on Preparation of Sustainable Low Carbon Magnesium Oxysulfate Cement (MOSC) Based on Brucite and Dilute Sulfuric Acid
 
 
Font Type:
Arial Georgia Verdana
Font Size:
Aa Aa Aa
Line Spacing:
Column Width:
Background:
Review

Durability Behavior of Portland Cement Mortars with Recycled Powder from Concrete Waste as a Cement Partial Replacement: A Review

CTAC—Centre for Territory, Environment and Construction, Department of Civil Engineering, University of Minho, 4800-058 Guimaraes, Portugal
*
Author to whom correspondence should be addressed.
Sustainability 2026, 18(5), 2561; https://doi.org/10.3390/su18052561
Submission received: 22 January 2026 / Revised: 13 February 2026 / Accepted: 2 March 2026 / Published: 5 March 2026
(This article belongs to the Special Issue Advances in Sustainable Building Materials and Concrete Technologies)

Abstract

Rapid urban expansion and industrial development have significantly increased waste generation while simultaneously intensifying the demand for construction materials. This dual pressure has accelerated the depletion of natural resources and raised serious environmental concerns. To address these challenges, considerable research efforts have focused on developing sustainable cementitious materials with reduced environmental impact and improved durability performance. One promising approach involves partially substituting Portland cement (PC) with supplementary cementitious materials (SCMs), which can enhance material performance while reducing environmental footprint and production costs. Recently, recycled powder (RP) derived from construction and demolition waste (CDW) has attracted growing attention as a sustainable alternative binder component. This review provides a comprehensive evaluation of the durability performance of Portland cement mortars incorporating RP obtained from concrete waste. Key durability indicators, including water absorption, capillary transport, chloride penetration resistance, freeze–thaw behavior, carbonation resistance, sulfate attack resistance, and drying shrinkage, are critically examined under various activation methods. In addition, the environmental and economic implications associated with RP utilization, including cost efficiency and CO2 emission reduction potential, are analyzed. The findings provide a structured understanding of RP activation strategies and their effectiveness in improving the durability and sustainability of cement-based materials.

1. Introduction

Globally, increasing emphasis has been placed on climate change mitigation, carbon emission reduction, and the advancement of sustainable development [1]. Increasing environmental pollution and the depletion of natural resources have made environmental protection and sustainable resource management critical concerns for many countries [2]. In several developing nations, prolonged economic growth and gross domestic product (GDP) expansion have not aligned with ecological preservation, leading to excessive resource consumption and severe environmental degradation [3,4]. Reversing this trend remains challenging in the short term due to the rigid and high energy demands of traditional industrial sectors [5].
Compared to other industries, the construction sector is a major contributor to environmental pollution [6,7,8,9]. Its environmental impact includes noise, air, water, and solid waste pollution [6,7]. Moreover, the construction industry is characterized by intensive resource use and the production of large amounts of construction and demolition waste (CDW), both of which contribute to elevated carbon emissions [10,11,12].
CDW is generated throughout the phases of new construction, renovation, and demolition, comprising materials such as concrete, wood, and ceramics [13,14]. Globally, CDW generation exceeds 10 billion tons annually, with the United States producing over 700 million tons, the European Union over 800 million tons, and China approximately 2.3 billion tons—nearly 40% of total solid waste—due to rapid urbanization and large-scale urban regeneration projects [10]. Many developing countries lack the infrastructure and technical capacity to recycle CDW, leading to environmentally harmful disposal practices [15]. Landfilling remains the dominant management method worldwide, with over 35% of CDW disposed of in landfills, posing risks of air, soil, and water contamination [16].
The cement industry is one of the largest contributors to greenhouse gas emissions, second only to power generation [17,18,19]. Global cement production currently exceeds 4.1 billion metric tons per year, accounting for approximately 8–10% of total anthropogenic CO2 emissions [17,18,19]. Production is expected to continue rising, further increasing atmospheric CO2 concentrations. To mitigate this impact, it has been suggested that the industry reduces clinker production by 60% and adopts carbon capture and storage (CCS) technologies by 2050 [18].
For this reason, incorporating alternative binders or supplementary cementitious materials (SCMs) as partial replacements for cement has emerged as an effective approach to enhance the environmental sustainability of cement-based materials [19].
The valorization of CDW generates fine powder (<150 µm), known as recycled powder (RP), which typically contains concrete, brick, roof tile, wall and floor tile, and sanitary ware residues. RP may account for 20–30% of total recycled CDW, depending on its composition [20,21]. It is characterized by fine particles and a loose texture that easily becomes airborne, potentially causing secondary environmental pollution [22]. Recent studies have proposed using RP as a partial replacement for Portland cement (PC) [21], offering a sustainable approach to simultaneously address the depletion of natural resources and the growing volume of construction waste [23,24]. However, due to the heterogeneous nature and complex composition of CDW, the physical and chemical properties of RP differ significantly from those of conventional mineral admixtures such as fly ash, slag, and silica fume [21].
Current studies show that RP contains approximately 36–70% SiO2, 6–19% Al2O3, 3–6% Fe2O3, and less than 20% CaO, indicating its potential as a viable supplementary cementitious material (SCM) [21,25,26,27]. Its reactivity as an SCM improves further when the particle size is reduced to below 75 µm [28]. Schoon et al. [29] reported that both particle size distribution and chemical composition significantly influence the performance of RP, with finer particles being more suitable as raw material for Portland cement clinker production. Zhu et al. [30] observed that the morphology of RP particles differs notably from that of fly ash; RP particles are irregular, with angular corners and rough surfaces, rather than spherical and smooth.
Alongside hydration products, RP contains non-hydrated cementitious materials with higher porosity and impurity levels. Several studies have shown that incorporating RP into mortar and concrete affects strength development, limiting its widespread use [21]. Xiao et al. [31] examined concrete containing highly refined RP obtained through additional grinding of mixed CDW. Their results indicated that both workability and early-age cracking were negatively affected, although mechanical properties improved when the cement replacement ratio remained below 30%. Liu et al. [32] investigated the pozzolanic behavior of hybrid RPs derived from waste concrete and clay brick powders, finding that pozzolanic activity depended on the powders’ microstructure and chemical composition. Similarly, Ge et al. [33] reported that finer clay brick powders enhanced both the mechanical and durability properties of concrete, confirming their suitability as partial cement replacements.
Conversely, Kim and Choi [34] observed that recycled concrete powder (RCP) has larger particle sizes than PC, leading to reduced compressive strength and fluidity in mortar. Moon et al. [35] also noted that RCP incorporation generally weakens the mechanical performance of concrete, although these effects can be mitigated through quality control measures or the use of additional admixtures. Jaroslav and Zdenek [36] found that RCP contains non-hydrated cement particles and that its micro-aggregate filling effect enables limited cement substitution at low concentrations. Furthermore, Schoon et al. [29] and Kwon et al. [37] demonstrated that waste cementitious powder retains some hydration reactivity, making it a potential raw material for Portland cement production, though substitution levels should not exceed 10%.
In summary, enhancing the reactivity of RP is crucial to expand its application as a SCM and to promote the sustainable reuse of fine recycled materials [21].
The main activation methods used to enhance the reactivity of cementitious materials include thermal, mechanical, chemical, biomineralization, carbonation, and nano-activation techniques [21]. Mechanical activation involves grinding cementitious materials to increase their surface area and induce structural changes. This process introduces new active sites, accelerates reaction kinetics through mechanical energy input, and can transform crystalline phases into more reactive amorphous forms [38]. Chemical activation improves the hydration and hardening processes through the addition of organic or inorganic activators, resulting in cementitious systems with enhanced strength and increased water demand due to greater reaction activity [39,40]. Thermal activation enhances the reactivity of mineral admixtures by exposing them to elevated temperatures. Because the reaction kinetics of cementitious materials are strongly influenced by temperature, heat treatment accelerates hydration and contributes to improved overall performance [41,42].
Carbonation activation involves the gradual diffusion of carbon dioxide into porous cementitious materials, increasing their density through the transformation of calcium hydroxide (CH) into calcium carbonate (CaCO3), which results in a volume expansion of approximately 1.1–1.4 times [43]. This process alters the molar solid volumes of hydrates and carbonated phases, typically reducing porosity and enhancing compactness, although some studies have reported increased porosity in systems containing SCMs. Biomineralization is a biologically driven process in which microorganisms precipitate mineral phases through metabolic activity, potentially improving the microstructure and performance of cementitious systems [44].
In addition to mechanical strength and the static requirements prescribed by standards, durability has become a crucial consideration in recent years [45,46]. Durability refers to the ability of mortar or concrete to resist degradation under service conditions. It depends on factors such as low porosity, high resistance to alkali–silica reaction and sulfate attack, enhanced protection against corrosion, reduced heat of hydration, improved resistance to chloride ingress, and greater resilience to aggressive environmental exposures [47].
Several review articles published have addressed the reuse of recycled concrete powder (RCP) or recycled powder (RP) as a supplementary cementitious material (SCM), with a primary focus on material characterization, mechanical performance, and general sustainability aspects [44,47,48,49,50,51,52,53,54,55,56,57,58,59,60,61,62,63,64,65,66]. These studies have provided valuable overviews of production routes, chemical composition, and strength development of cementitious systems incorporating RP. Recent reviews have also expanded the concept of concrete durability beyond chemical degradation, such as the assessment of concrete resilience under mechanical water forces and abrasion in hydraulic structures [67,68,69,70].
However, a critical examination of the existing literature reveals that durability-related performance is often treated in a fragmented manner, typically limited to individual properties or discussed qualitatively without cross-comparison between activation strategies. In particular, systematic comparisons of durability indicators—such as water transport properties, chloride ingress, carbonation resistance, freeze–thaw performance, and sulfate resistance—across different RP activation methods remain limited.
The present review distinguishes itself from previous works in three key aspects. First, it focuses explicitly on the durability behavior of Portland cement mortars, rather than concrete, enabling a more consistent comparison of transport-related and degradation mechanisms. Second, it provides a comparative synthesis of multiple activation approaches (mechanical, thermal, chemical, mineral, carbonation, biomineralization, and nano-activation), highlighting their relative effectiveness across specific durability indicators. Third, instead of a purely narrative discussion, the review incorporates a semi-quantitative analysis of reported experimental data, aggregating replacement levels, activation conditions, and durability outcomes to identify recurring trends, optimal ranges, and performance thresholds.
By emphasizing cross-study comparison and durability-driven performance assessment, this review complements the existing literature and offers a more structured basis for selecting RP treatment strategies aimed at durability and environmental efficiency.

2. Research Methodology

This review adopts a structured literature survey approach to analyze the durability performance of Portland cement (PC) mortars incorporating recycled powder (RP) derived from concrete waste (CW). The objective is to systematically identify, screen, and synthesize peer-reviewed studies addressing durability-related properties, activation methods, and environmental performance of RP-based cementitious systems.
The literature search was conducted using major scientific databases, including Scopus, Web of Science, ScienceDirect, and Google Scholar. Publications published between January 2000 and December 2025 were considered, corresponding to the period during which recycled concrete powder was actively investigated as a supplementary cementitious material.
Search queries were constructed using combinations of the following keywords: recycled concrete powder, recycled powder, waste concrete powder, cement replacement, supplementary cementitious material, durability, carbonation, chloride penetration, sulfate resistance, drying shrinkage, freeze–thaw, and activation methods. Boolean operators (AND/OR) were applied to refine results and ensure comprehensive coverage of relevant studies.
Once the initial literature search was completed, duplicate publications were excluded, and the remaining records were screened based on their titles and abstracts to filter out irrelevant studies. A detailed full-text assessment was then carried out in accordance with predefined inclusion and exclusion criteria.
The final set of eligible studies examined RP derived from concrete waste and evaluated durability-related performance of PC mortars, including water transport properties, carbonation, chloride resistance, sulfate attack, shrinkage, and freeze–thaw behavior. Studies examining powders derived from materials other than concrete—such as brick-only waste, aerated or autoclaved concrete, hydrated cement paste, slurry residues, or cellular concrete—were excluded. Studies addressing concrete mixtures without durability assessment were also excluded.
The final dataset comprised experimental studies and relevant review articles reporting quantitative durability indicators and/or mechanistic insights related to RP incorporation.
Data extracted from the selected studies were organized according to RP replacement level, activation method, and durability parameter to enable comparative and semi-quantitative synthesis. Replacement levels and activation strategies were systematically classified to identify recurring trends, performance thresholds, and condition-dependent behavior.
Although a formal meta-analysis was not performed due to variability in test methods, exposure conditions, and reporting formats, the adopted classification and synthesis approach ensures transparency, reproducibility, and consistency in cross-study comparison. Frequency distributions, trend plots, and comparative ranges were used to synthesize results beyond isolated experimental observations.
For clarity and consistency, the term recycled powder (RP) is used throughout this review as a general designation for fine powders derived from recycled concrete waste and employed as partial replacements for Portland cement. In the literature, similar materials are also referred to as recycled concrete powder (RCP), waste concrete powder (WCP), or recycled fine powder (RFP), depending on source material and processing route. In this review, these terms are treated as subsets of RP and are used only when directly referring to the terminology adopted in the original studies.
The review focuses on the durability behavior of PC mortars incorporating RP, with particular attention given to carbonation depth, chloride transport, sulfate resistance, drying shrinkage, freeze–thaw resistance, and water transport characteristics. In addition, the environmental implications of RP utilization—particularly cost and CO2 emission reduction mechanisms—are examined.
For each reviewed durability aspect, the optimal RP incorporation range is identified by considering the effects of different activation strategies, including mechanical grinding, thermal treatment, carbonation, chemical modification, biomineralization, mineral blending, and nanomaterial enhancement. The comparative evaluation emphasizes condition-dependent performance rather than absolute improvement, enabling identification of practical and sustainable application windows.
In summary, this review offers a structured and in-depth analysis of how RP derived from concrete waste affects both the durability and environmental characteristics of cement-based materials, with specific attention given to Portland cement mortars.

3. Durability Behavior of Mortars with RP

3.1. Water Absorption by Immersion

Figure 1 shows the range of RP substitution levels examined in mechanically activated systems with respect to immersion water absorption [42,71,72,73,74,75,76,77,78]. The results indicate that 15% replacement of cement with RP is the most frequently applied dosage in the evaluated mixtures.
Water absorption tends to increase with the rate of RP replacement, particularly at higher substitution levels of 30–50% [42,71,72,73,74,75,76,77,78]. Figure 2 summarizes these observations, showing that the most pronounced deviations from the reference mix occur when a high percentage of RP replaces PC.
The incorporation of RP reduces the content of active components and hydration products, leading to an increase in both the size and number of pores—particularly harmful and more harmful pores—which, in turn, facilitates water ingress and results in higher water absorption [42,71,72,73,74,75,76,77,78]. Moreover, at a 50% RP replacement level, the microstructure of cementitious composites becomes considerably looser and more porous, thereby markedly enhancing water transport behavior [77,78,79].
Water absorption increases with the enlargement of RP particle size; in particular, the incorporation of RP with coarser particles leads to a pronounced rise in water absorption [77,78,79].
The filler effect and pozzolanic activity of RP are enhanced with decreasing particle size, leading to an improved microstructure and, consequently, reduced water transport in cementitious composites [77]. In contrast, RP with coarser particle sizes exhibits limited filler effect and pozzolanic reactivity, both of which contribute to the notable increase in water absorption observed upon its incorporation [77,79].
Furthermore, environmental degradation factors—such as mechanical loading, freeze–thaw cycles, and exposure to elevated temperatures—further increase the water absorption of RP mortars [77].
Regarding thermal activation, at a 30% replacement level of thermally activated RP, water absorption decreases as the activation temperature of the waste powder increases up to 1000 °C [42,75,80]. This improvement is attributed to the formation of new calcium oxide (CaO) in the thermally activated RP through the decomposition of portlandite (CH) and calcium carbonate (CaCO3). The resulting active CaO participates in hydration reactions, enhancing the water absorption resistance of the mortar [42,75,80]. However, a pronounced increase in water absorption is observed when the activation temperature reaches 1200 °C, as the formation of gypsum in RP-1200 °C adversely affects the pore structure, thereby increasing water permeability [42,75].
Although a wide range of thermal activation temperatures (300–1200 °C) has been reported in the literature, these values should not be interpreted as equally viable from an industrial or environmental perspective. High-temperature treatments (≥900 °C) are primarily explored to elucidate phase transformation mechanisms and upper-bound performance improvements rather than to propose practical low-carbon processing routes for recycled powder [42,55,75,81,82,83,84,85].
Chen et al. [80] reported that mortars incorporating thermally activated RP can more effectively absorb the water film adsorbed on the aggregate surface in concrete, thereby reducing the effective water–cement ratio within the interfacial transition zone (ITZ), suppressing the formation of CH, and enhancing the overall microstructural integrity of the cement-based material.
Wu et al. [42] reported that thermal treatment of waste concrete powder (WCP) at 300 °C facilitates the decomposition of calcium silicate hydrate (C–S–H) and ettringite, thereby enhancing its reactivity and improving the performance of the resulting mortar. When WCP is calcined at 600 °C, the decomposition of hydrated phases and calcite produces reactive components, while the newly formed belite (C2S), alite (C3S), and CaO participate in subsequent hydration reactions. These processes contribute to the refinement of the pore structure and a reduction in the water absorption of the prepared mortar. Upon thermal activation of WCP at 900 °C, a distinct difference is observed compared to mortar-containing unmodified WCP (WCP-20C). The mortar incorporating WCP-900C exhibits significantly lower water absorption, with the improvement in water resistance being particularly pronounced when 50% WCP is used. WCP-900C contains a higher concentration of reactive phases such as CaO, C2S, and C3S, which enhances the properties of the newly formed mortar. Although the paste containing WCP-900C shows higher porosity and a larger average pore diameter than that with WCP-20C, the overall pore structure is more refined, resulting in reduced water absorption. In contrast, when WCP is thermally modified at 1200 °C, the mortar incorporating WCP-1200C exhibits higher water absorption compared to that containing WCP-900C, and a similar level to that with WCP-20C. The WCP-1200C, characterized by a smoother microstructure, shows diminished nucleation and filler effects, leading to increased porosity in the mortar relative to WCP-900C.
With respect to activation through mineral addition, the incorporation of mineral admixtures enhances the properties and water transport resistance of cementitious composites, primarily due to the pozzolanic activity exhibited by these supplementary materials [74,77,79].
Wu et al. [77] reported that when the replacement rate of RP is 20%, an additional substitution of 10% cement by a mineral admixture significantly decreases the water absorption of RP-based mortar. The recycled mortar incorporating RP with mineral admixtures shows water absorption comparable to or lower than that of plain mortar. Among the combinations tested, metakaolin (MK) and silica fume (SF) exhibited superior water transport resistance compared to fly ash (FA) and mineral powder (MP), owing to their higher pozzolanic activity. At a total substitution rate of 30%, replacing part of RP with mineral admixtures further reduced the water absorption of the composites. This improvement is attributed to the high aluminum oxide and silicon oxide contents of the mineral admixtures, which react with calcium hydroxide to promote secondary hydration, refine the pore structure, and diminish water transport. Additionally, the finer particle size of MK and SF enhances both the filler effect and pozzolanic reactivity, resulting in recycled mortars with substantially lower water permeability than those incorporating FA or MP.
Sun et al. [74] observed that increasing the substitution ratio of eco-powder leads to higher water absorption in green mortar. However, the combined influence of the filling effect of recycled concrete powder (RCP) and the pozzolanic reaction of spontaneous combustion gangue powder (SCGP) mitigates the adverse impact on porosity when 30% of cement is replaced by RCP and SCGP. This phenomenon was attributed to the distinct roles of RCP and SCGP within the binder system. Although RCP exhibits lower pozzolanic activity than SCGP, it primarily contributes through its filling effect, owing to its high fineness. RCP is a porous powder with a specific surface area approximately 1.2 times that of cement; its particles can fill microcracks and pores but do not impede water penetration, and some inactive RCP remains water-absorbent. In contrast, the pozzolanic activity of SCGP promotes the formation of additional hydration gels, which refine and complicate the water transport pathways, thereby enhancing the mortar’s resistance to water penetration.
Wu et al. [79] reported that replacing 10% of RCP with active mineral admixtures significantly reduces the water absorption of fully recycled mortar, with MK showing the most pronounced effect. The incorporation of active mineral admixtures was found to improve the pore structure and lower the water absorption, as well as decrease the depth of water penetration in fully recycled mortar. Furthermore, Wu et al. [60] examined the influence of adding a recycled brick powder-recycled fine powder (RBP–RFP) mixture on the water absorption of mortars containing both recycled fine aggregate (RFA) and RFP. They observed that at a total binder replacement rate of 30%, substituting 10–20% of RFP with RBP further reduces water absorption. Additionally, fully recycled mortars containing RFA and a mixture of multiple RFPs exhibited lower water absorption compared to those incorporating RFA with a single RFP.
Regarding nano-activation, the incorporation of nanomaterials enhances the properties and water transport resistance of cementitious composites [86]. Wu et al. [86] reported that, at a constant replacement level of RCP, the water absorption of RCP-based mortar decreases with increasing nanosilica (NS) content. This improvement is attributed to the ability of NS to refine the pore structure by reducing pore diameter and impeding water ingress within the mortar matrix.
According to Hu et al. [78], mortars containing 100% RP showed marginally higher water absorption than the control specimens prepared without RP. The application of alkali activation resulted in a slight increase in absorption, mainly due to pore formation linked to the accumulation of hydrated calcium silicate produced during activation. Despite this, the study concluded that alkali-activated mortars exhibited substantially improved resistance to water absorption compared with non-activated cement-based mortars.

3.2. Capillary Absorption

Figure 3 illustrates the most utilized RP replacement percentages in studies applying mechanical activation with respect to capillary absorption [42,73,75,77,79,86,87]. Among these, the inclusion of 25% RP as a partial cement replacement is the most frequently adopted proportion in the mixtures.
The capillary absorption coefficient follows a trend analogous to that of water absorption, exhibiting a progressive increase with rising RP incorporation, particularly at replacement levels exceeding 30% [42,71,72,73].
Figure 4 demonstrates the variation in the capillary absorption coefficient for mechanical activation with increasing RP replacement levels. A progressive increase in the coefficient is observed at higher incorporation rates, particularly beyond 30% RP [42,71,72,73].
Nevertheless, finer RP tends to reduce capillary absorption due to its enhanced filling effect and potential reactivity. This reduces the content of active components and hydration products while creating additional capillary pathways for water ingress in blended mortar [42,72,73]. Moreover, water transport in recycled mortars containing fine RP particles is generally lower than in those with coarse RP, as the finer particles increase both the filler effect and pozzolanic activity [42,72,73,77].
Figure 5 illustrates how RP content influences the capillarity coefficient, highlighting the role of fine recycled particles in moisture transport [42,73,75,77,79,86,87]. As RP levels change, the pore structure and capillary behavior of the material are affected, providing insight into the impact of RP on water absorption and overall durability.
Kim et al. [72] reported that increases in both immersion water absorption and capillary uptake, driven by higher replacement ratios and multiple recycling cycles of RCP, lead to a reduction in mortar durability.
The incorporation of thermally modified RP in mortar, compared with untreated RP, shows that thermal treatment—particularly at 900 °C—reduces its negative effect on the water transport resistance of the resulting mortar [42].
Figure 6 shows the distribution of thermal treatment temperatures reported in the literature [42,75,86,87]. The highest concentrations occur at 600 °C and 1200 °C, while intermediate temperatures such as 800 °C and 1000 °C are moderately represented. Lower frequencies at 300–400 °C and 900 °C indicate that these temperatures are less commonly adopted in RP modification studies.
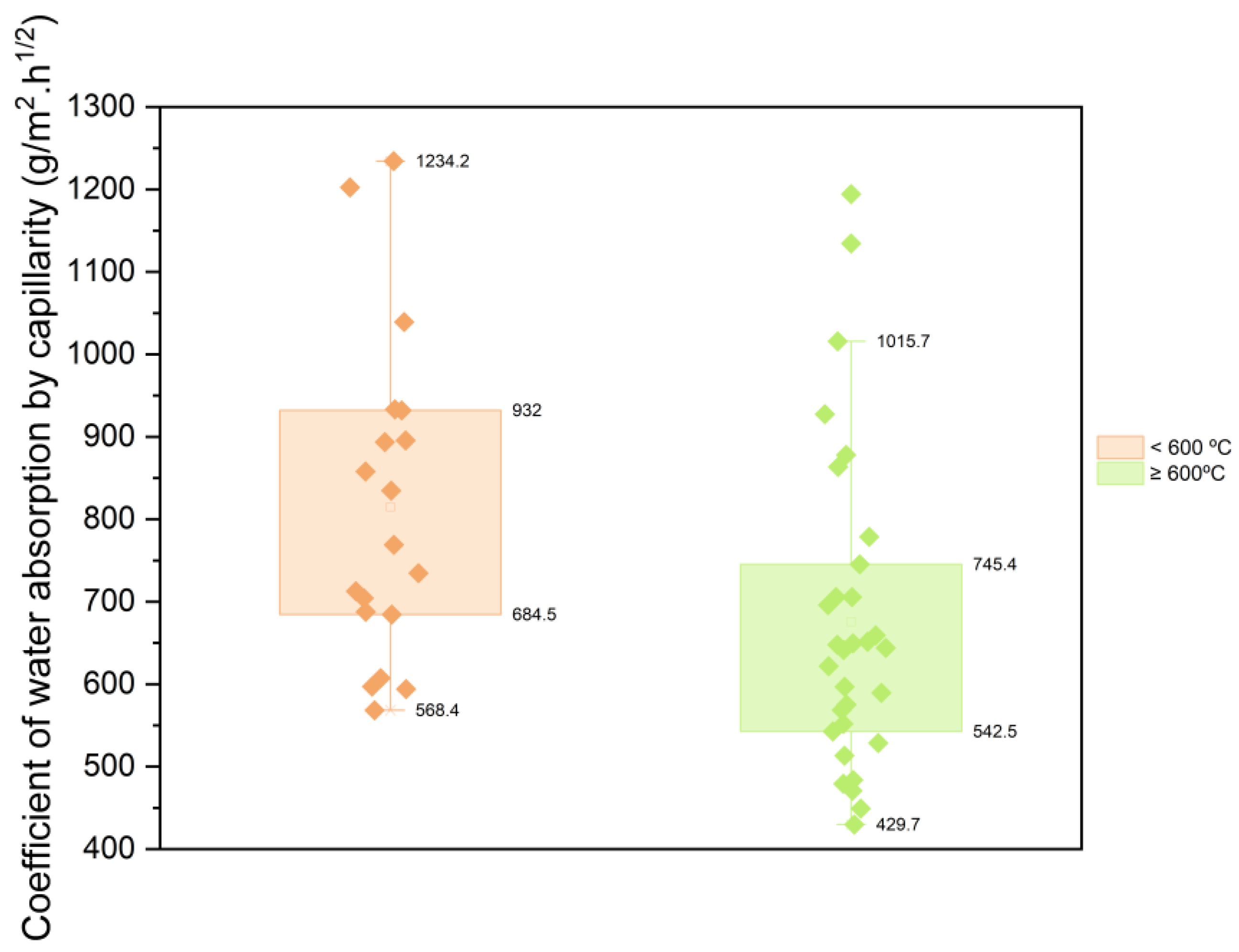
Figure 7 compares the capillarity coefficient of mortars incorporating RP subjected to different thermal treatments [42,75,86,87]. RP treated at temperatures below 600 °C exhibits higher capillary absorption, with values ranging roughly from 570 to 1230 g/m2·h1/2. In contrast, RP thermally treated at temperatures equal to or above 600 °C shows a noticeable reduction in water absorption by capillarity, with values concentrated between approximately 430 and 1015 g/m2·h1/2. The lower median and narrower distribution in the ≥600 °C group indicate that higher-temperature thermal treatment mitigates the negative influence of RP on water transport, enhancing the capillary resistance of the resulting mortar.
Figure 8 shows how both thermal treatment and RP content jointly influence water absorption by capillarity, with higher temperatures generally associated with reduced capillary uptake [42,75,86,87].
The incorporation of mineral additions generally results in a reduction in the capillary absorption coefficient [77,79,88].
Gao et al. [88] reported that incorporating RCP and RBP reduces capillary water absorption compared with conventional cement mortar, primarily due to the filler action of these powders. After 24 h, mortars containing 30% RCP or RBP exhibited capillary absorption rates of 74.37% and 61.14% of those of cement mortar, respectively. Wu et al. [77] noted the time-dependent nature of water absorption in cementitious materials, with capillary forces diminishing over time. They further observed that combining multiple RPs improves particle size distribution and mineral composition, enhancing both filler effect and reactivity; thus, co-utilizing different RPs effectively reduces water transport in RP-based mortars. Wu et al. [79] found that incorporating RFA and RFP adversely affects water absorption and total porosity, with a linear correlation between the capillary absorption coefficient and total porosity in sustainable mortars containing these materials. Additionally, using 10% SF and 10% MK yielded reductions of 31.4% and 48.4% in the capillary absorption coefficient of fully recycled mortars co-doped with RFA and RFP, respectively.
Nano-activation has been shown to reduce the water absorption of PC mortars containing RP [86]. Wu et al. [86] reported that while the incorporation of waste concrete powder increases the total porosity and water absorption of mortar, the addition of nano-SiO2 effectively decreases both parameters. Moreover, the beneficial effect of nano-SiO2 becomes more pronounced at higher replacement levels of waste concrete powder, leading to a greater reduction in water absorption.

3.3. Chloride Ion Intrusion

The incorporation of RP has been shown to increase chloride ion concentrations, largely due to the higher diffusivity coefficients introduced by RP addition [24,75,78,89,90,91]. The lower reactivity of RP reduces the formation of hydration products, which in turn enlarges pore size and increases overall porosity [24,75,78,89,90,91]. Nevertheless, these adverse effects can be partially mitigated by employing finer RP, as its improved particle packing contributes to a denser microstructure and reduced permeability [24,89,91].
Figure 9 illustrates the distribution of RP replacement levels (10%, 30%, and 50%) used in mechanically activated mortar mixtures assessed for chloride ion intrusion, showing that 30% RP is most adopted, followed by 50% and 10% [24,75,78,89,90,91].
Figure 10 shows that the chloride diffusion coefficient increases with higher RP replacement levels across all referenced studies, indicating that greater RP incorporation generally leads to higher chloride penetrability due to increased porosity and reduced matrix densification [75,87,90].
Sun et al. [24] observed that increasing RCP content has detrimental effects on chloride penetration. Owing to its low reactivity and fine particle size, RCP alters the microstructure and porosity of mortar, where reduced hydration product formation leads to higher porosity and increased micro-cracking. At higher replacement levels, the negative effects associated with low activity outweigh any beneficial particle packing, resulting in a looser microstructure and consequently greater chloride ion penetrability, particularly at 50% RCP. Bian et al. [91] reported that mortars containing 10% RFP exhibited lower chloride diffusion coefficients and electric flux than those without RFP, indicating improved resistance to chloride ingress at this optimal dosage. They attributed this improvement to enhanced filling and pozzolanic effects, as well as the substantial amorphous Al2O3 content in RFP, which facilitates the substitution of Si2+ with Al3+ in C–S–H. This substitution creates a negatively charged silico-oxygen tetrahedron that promotes the formation of a double electric layer—an adsorption layer of cations followed by a diffusion layer of anions (Cl, OH)—thereby improving the chloride binding capacity of the mortar [14]. However, when RFP content exceeds 10%, the significant reduction in hydration products and the formation of interconnected voids between RFP particles facilitate chloride transport, ultimately diminishing chloride ion resistance.
The chloride diffusion coefficient of RP-based mortar decreases as the thermal treatment temperature of RP increases up to 1000 °C [75,90]. The formation of CaO, C2S, and C3S during the thermal activation of WCP promotes secondary hydration, thereby enhancing the chloride penetration resistance of the resulting mortar [75,90].
Figure 11 presents the distribution of studies conducted at various thermal treatment temperatures [75,87,90]. Most studies were performed at 800 °C, accounting for the highest proportion. This is followed by 600 °C (25%), while temperatures of 400 °C, 900 °C, and 1200 °C each represent roughly 12% of the studies. Overall, the data indicates a strong research focus around 800 °C, with considerably fewer studies conducted at lower or higher temperatures.
Figure 12 illustrates the chloride diffusion coefficients of mortars incorporating RP subjected to different thermal treatment temperatures [75,87,90]. Among the studies, the diffusion coefficient generally decreases as the RP temperature increases from ambient to approximately 800–1000 °C. This trend is observed by both 30% and 50% RP replacement levels, with the lowest diffusion values typically occurring between 600 °C and 1000 °C. At temperatures above 1000 °C, some increase in diffusion coefficient is observed, suggesting a reduction in reactivity at excessively high temperatures. Overall, the results indicate that thermally activating RP enhances chloride resistance up to an optimal temperature range, after which the benefits diminish.
Wu et al. [75] reported that the chloride diffusion coefficient of M-30WCP-1200C was higher than that of M-30WCP-1000C, attributing this increase to the formation of gypsum at 1200 °C, which creates a smoother microstructure that adversely affects the transport properties of the resulting mortar. In contrast, Hu et al. [90] observed that, at a constant WCP replacement level, mortars incorporating heat-modified WCP exhibited lower chloride migration than those containing unmodified WCP. They further noted that both the relative electric flux and the chloride diffusion coefficient decreased linearly with increasing WCP heat-treatment temperature up to 800 °C, and that the beneficial effects of thermal activation on chloride resistance became more pronounced at higher WCP replacement levels.
The use of mineral admixtures contributes to increased chloride durability in mortar systems [24,92]. Sun et al. [24] reported a slight increase in chloride concentration in recycled mortar mixtures containing RCP or SCGP at a 30% replacement level; however, the combined use of RCP and SCGP (15% each) produced a synergistic effect, yielding acceptable chloride penetrability compared with the control mix. Sun et al. [92] attributed the improved performance of SCGP-containing mortars to the higher Al2O3 content of SCGP relative to PC and RCP, which increases the chloride-binding capacity. Consequently, the enhanced microstructure and elevated chloride-binding ability provided by SCGP result in eco-efficient mortars with excellent chloride resistance.
Nano-activation has been shown to reduce chloride ion permeability [93]. Zhang et al. [69] demonstrated that incorporating WGRP decreased the chloride permeability of PC mortars, as indicated by reductions in electric flux. At 28 days, the electric flux of the PC control mortar was 6741 C, which decreased to 6633 C with 2% WGRP and further to 6527 C with 4% WGRP, indicating improved resistance to chloride ingress and enhanced durability. Similarly, Liu et al. [89] reported a steady decline in both the chloride ion migration coefficient and electric flux with the addition of NS; however, increasing the NS content to 3% caused both parameters to rise. These findings indicate that an optimal dosage of NS enhances chloride resistance by refining the microstructure of RCP-modified mortar, whereas excessive NS leads to particle agglomeration and negatively affects performance.
In addition to transport-related effects, chloride resistance in RP-based mortars is strongly influenced by chloride-binding mechanisms, which are not governed solely by pore structure refinement [75,87,90,94,95,96,97,98,99]. Chloride ions may be physically adsorbed on hydration products or chemically bound through interactions with aluminate phases. The incorporation of RP alters the availability and chemistry of these binding phases, particularly due to its variable contents of amorphous Al2O3, residual clinker minerals, and carbonated products [97,98,99].
Several studies indicate that limited RP incorporation can enhance chloride binding capacity by promoting Al-substitution in C–S–H, leading to the formation of C–(A)–S–H phases with a higher affinity for chloride ions [97,100,101,102]. This mechanism contributes to reduced free chloride concentration even when total porosity increases. However, at higher RP replacement levels, the dilution of reactive aluminates and reduced formation of hydration products outweigh these benefits, resulting in weaker chloride binding and increased chloride mobility. Consequently, the durability performance of RP-based mortars under chloride exposure is controlled by a balance between pore refinement, phase assemblage, and chloride-binding chemistry rather than transport properties alone [95,96,97,100,101,102].

3.4. Freeze–Thaw Resistance

Increasing the number of freezing–thawing cycles, combined with the substitution of PC with RP, results in greater mass loss, indicating reduced freeze–thaw resistance [48,49,74,88,103]. However, several studies have noted that increasing the fineness of RP can mitigate this negative effect on durability [49,74,103].
The freeze–thaw resistance of mortar is governed by several factors, including its pore structure (pore size, quantity, and connectivity), the degree of saturation (amount of freezable water), the tensile strength of the constituent materials, and the applied cooling regime [49,74,103].
Mortars incorporating RP exhibit larger volumes of harmful pores (>20 nm) and greater average pore diameters, which reduce water impermeability and lead to higher degrees of saturation during immersion; this increased saturation adversely affects freeze–thaw resistance [74,88,103]. In addition, the weak interfacial transition zone between RP particles and the HCP matrix may further reduce the tensile strength of the mortar, thereby contributing to diminished freeze–thaw performance [49,74,88].
Sun et al. [74] observed that deterioration in mortar specimens initiates at surface pores. With increasing freeze–thaw cycles, these pores gradually enlarge and interconnect, leading to the detachment of small mortar fragments from the specimen surface. In addition to pore damage, the edges and corners of the specimens are highly vulnerable to erosion and progressively degrade with continued cycling, resulting in reductions in both mass and strength. Although the inclusion of RCP and SCGP was found to enhance compressive strength after 300 days, Sun et al. [74] reported that it adversely affects freeze–thaw resistance. This contrasting behavior is attributed to the distinct influences of RCP and SCGP on pore structure: SCGP enhances frost resistance due to the denser packing of hydration products, whereas RCP diminishes it because of its inert particle characteristics. The combined use of both eco-powders allows the beneficial effects of SCGP to partially compensate for the negative impacts associated with RCP.
Gao et al. [88] also documented a marked increase in mass loss during 50 freeze–thaw cycles in fully recycled fiber-reinforced mortars containing RCP. Furthermore, Wu et al. [62] reported that incorporating appropriate nano-particles enhances long-term performance and improves resistance to freeze–thaw cycling.

3.5. Carbonation Depth

Carbonation resistance of RP-based mortars is strongly influenced by the balance between pore structure refinement and the availability of alkaline buffering phases, particularly calcium hydroxide [88,91,95,96,102,104,105,106,107,108,109,110]. While limited RP incorporation may locally densify the microstructure through filler effects, the overall replacement of Portland cement inevitably reduces the Ca(OH)2 content available to neutralize carbon dioxide, thereby affecting long-term carbonation resistance [88,91,95,96,102,104,105,106,107,108,109,110].
Based on the reviewed literature, RP replacement levels below approximately 10–15% may maintain carbonation resistance comparable to conventional mortars, whereas higher substitution rates generally lead to increased carbonation depth under long-term exposure [88,91,104].
The increase in carbonation depth in recycled mortar is mainly attributed to the reaction of CO2 with Ca(OH)2 and C–S–H gel. During the carbonation process, three reactions occur simultaneously. First, the existing hydration products undergo carbonation. Second, any unhydrated cement particles continue to hydrate. Finally, RP participates in a pozzolanic reaction [88,91].
Several long-term exposure studies indicate that carbonation depth in RP-containing mortars increases markedly when replacement levels exceed approximately 15–20%. This behavior is primarily attributed to the combined effects of reduced calcium hydroxide buffering capacity and increased porosity resulting from cement dilution. Although fine RP particles may initially slow CO2 ingress through micro-filling effects, these benefits diminish over time as carbonation progressively consumes hydration products and advances into the matrix [96,102,105,107,108,109,110].
Figure 13 presents the distribution of research studies investigating carbonation depth at various RP replacement levels [88,91,104]. The 10% RP and 20% RP categories each constitute 33.33% of the total, indicating that these lower replacement ratios have been the primary focus in carbonation-related investigations. In contrast, studies employing 30% RP and 50% RP each represent 16.67% of the dataset, reflecting comparatively fewer experimental evaluations at higher replacement levels. Overall, the chart demonstrates that research on carbonation depth is more concentrated on mixes with modest RP incorporation, while higher replacement levels remain less frequently examined.
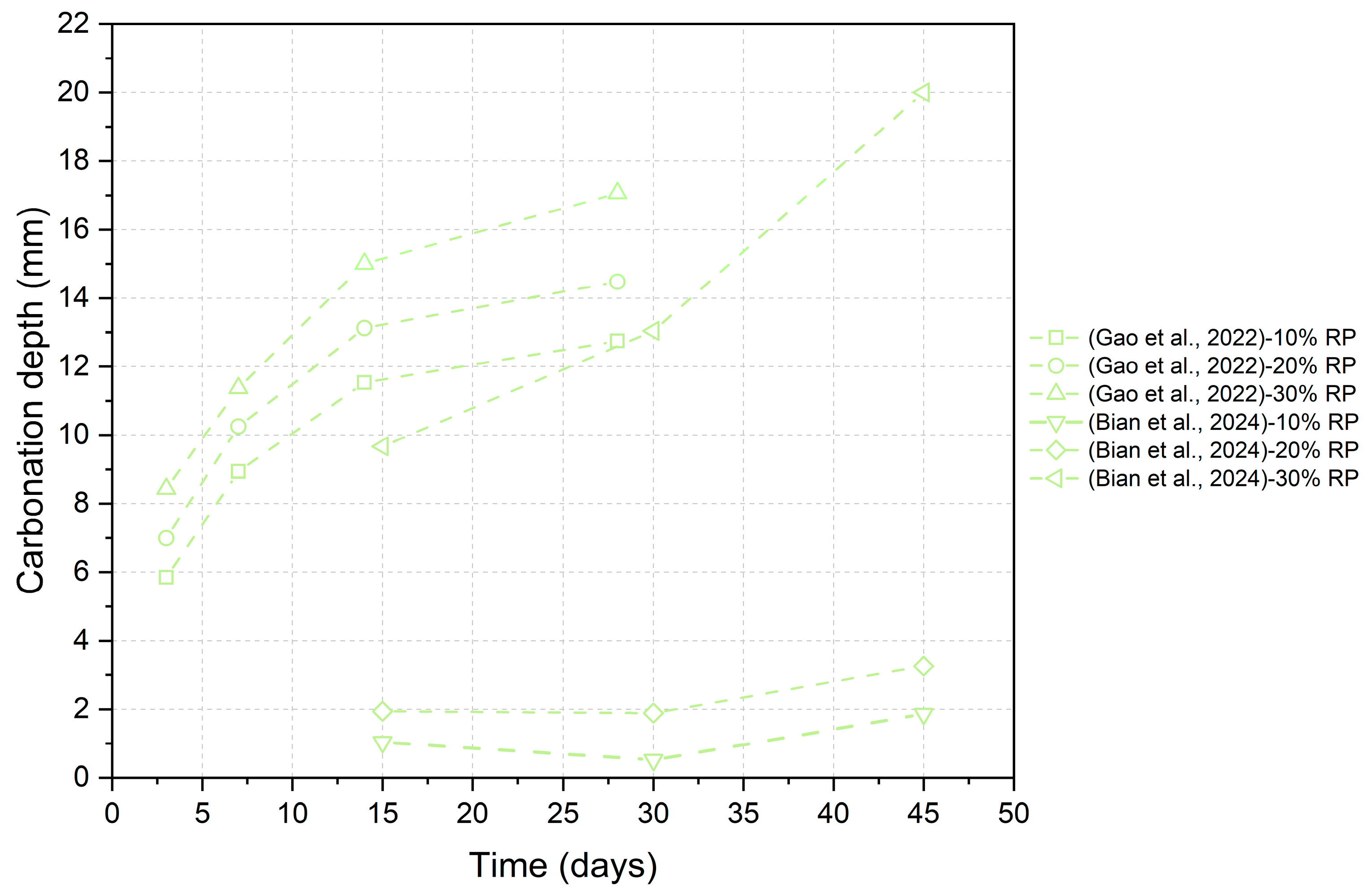
Figure 14 presents the development of carbonation depth over time for reference mixes incorporating 10%, 20%, and 30% RP [88,91]. Carbonation depth increases steadily with exposure time for all mixtures. In both reference groups, the mixes with higher RP contents—particularly 30% RP—show greater carbonation depths, while the 10% RP mixes consistently display the lowest values. Overall, the results indicate that increasing RP content reduces carbonation resistance in both reference mortars.
It is important to distinguish between short-term carbonation results and long-term performance. Short-duration tests may indicate marginal reductions or comparable carbonation depths at low RP contents due to early-age pore refinement. However, extended exposure periods consistently reveal accelerated carbonation rates in RP-based mortars relative to reference mixes, particularly at moderate-to-high replacement levels. Therefore, short-term improvements should not be interpreted as evidence of sustained carbonation resistance. [96,102,105,107,108,109,110].

3.6. Drying Shrinkage

The influence of recycled powder on drying shrinkage is governed by two competing mechanisms: (i) the dilution and filler effects associated with cement replacement level, and (ii) the reactivity enhancement associated with increased fineness or mechanical activation. Apparent inconsistencies reported in the literature arise primarily from variations in these parameters rather than from contradictory experimental evidence [42,71,73,74,76,111,112,113,114,115].
In general, replacing PC with RP at moderate levels (below 30%) has a beneficial effect on drying shrinkage [24,42,71,72,73,74,75,76,77,78]. However, the use of high RP contents results in a more porous microstructure, leading to increased shrinkage in the mortar [42,71,73,74,76].
At constant replacement levels, moderate RP fineness may reduce drying shrinkage due to enhanced filler effects; however, excessive grinding or prolonged mechanical activation increases RP reactivity and hydration kinetics, which can lead to higher shrinkage strains [42,71,73,74,76,111,112,113,114,115].
The improvement in drying shrinkage performance associated with RP addition is largely related to its low chemical reactivity and dilution effect, which influence hydration progression, including C–S–H development, and modify the internal pore network. Drying shrinkage mainly results from capillary tension generated during moisture loss from pore spaces [24,42,53,54]. Because RP exhibits limited reactivity, its incorporation reduces hydration product formation and decreases gel pore volume relative to conventional mixtures. In addition, the fine particle size of RP enhances particle packing through a filler effect, reducing mesopore content and contributing to lower shrinkage strain [24,42,71,73,74,76].
At moderate replacement levels (typically below 30%), low-reactivity RP primarily acts as an inert or weakly reactive filler, reducing the volume of hydration products and gel pores responsible for capillary stress development during drying. This dilution effect generally leads to reduced drying shrinkage compared with reference mortars [42,71,73,74,76,111,112,113,114,115].
In contrast, increasing RP fineness through prolonged grinding enhances its pozzolanic and nucleation activity, accelerating hydration and increasing the formation of fine gel pores. Although this refinement may improve mechanical performance, it also intensifies capillary stresses during moisture loss, thereby increasing drying shrinkage. Consequently, RP fineness and grinding duration must be considered independently from replacement level when evaluating shrinkage behavior [42,71,73,74,76,111,112,113,114,115].
Figure 15 illustrates the distribution of studies employing various RP replacement levels in drying shrinkage investigations [24,42,71,72,73,74,75,76,77,78]. The 10% RP and 30% RP mixtures account for 33.33% of the total, indicating they are the most frequently examined proportions. The 20% RP mixtures represent 22.22%, while 50% RP appears least commonly, comprising only 11.11% of the dataset. Overall, the chart shows that research on drying shrinkage primarily focuses on low to moderate RP contents, with high-volume RP use being comparatively limited.
Figure 16 presents the development of drying shrinkage in mortar mixtures containing different amounts of RP, measured over a 30-day period [42,71,72]. All mixtures exhibit a gradual increase in shrinkage with time. Mixtures with higher RP contents, especially 20% and 30%, tend to show greater shrinkage throughout the testing period. In contrast, mixtures with lower RP contents or produced under enhanced mechanical activation conditions display reduced shrinkage values. Overall, the results indicate that drying shrinkage is influenced by both the proportion of RP and the processing conditions, with higher RP incorporation generally leading to increased shrinkage.
Sun et al. [24] evaluated the drying shrinkage of mortars incorporating RCP, SCGP, and their combined use. They found that although RCP alone has a beneficial effect on reducing drying shrinkage—primarily due to enhanced C–S–H formation through the pozzolanic reaction with SCGP—the simultaneous incorporation of both materials ultimately leads to reduced shrinkage resistance in recycled mortar. Similarly, Wu et al. [71] observed that replacing cement with WCF lowers drying shrinkage up to a 20% substitution level; however, at 30% replacement, shrinkage increases and exceeds that of the control mix.
Li et al. [72] found that mortars with different RPs experience rapid shrinkage development up to 28 days, followed by a slower increase to 90 days. They noted that the high capillary pore volume in RP increases capillary voids in mortar, reducing internal water content and lowering disjoining pressure, which ultimately diminishes shrinkage resistance. Sun et al. [73] reported that SCGP increases drying shrinkage, while RCP reduces it. However, shrinkage rises as the grinding duration of RCP increases: finer particles produced after 50–75 min of grinding enhance hydration and dispersion effects, leading to higher shrinkage strains. Kim et al. [74] observed that 10% and 20% RCP can reduce drying shrinkage, though this benefit declines with additional recycling cycles.
Wu et al. [42] showed that WCP replacement up to 30% improves shrinkage resistance, whereas 50% replacement increases shrinkage. They also found that WCP calcined at higher temperatures affects shrinkage differently, with WCP-900C increasing shrinkage due to higher reactivity, while WCP-1200C reduces shrinkage because of its smoother microstructure. Sasui et al. [75] reported that WCP treated at 800 °C (TWCP-800) exhibits the most significant physical and chemical changes, and its use as a supplementary binder in ground granulated blast furnace slag (GGBS) mortar does not alter strength or shrinkage, supporting its applicability.
Horsakulthai [76] stated that mortars with 30% RCP show lower drying shrinkage than fresh mortars, mainly due to the stiff quartz and CaCO3 micro-particles in RCP, which limit shrinkage development. The inclusion of RFP also reduces hydration products and autogenous shrinkage. Wu et al. [77] found that RCP slightly reduces drying shrinkage in paste. They noted that adding nano-SiO2 increases shrinkage while decreasing water loss. The substantial quartz and calcite content in RCP helps form a stable internal structure that mitigates shrinkage in blended paste.
Overall, the effect of RP on drying shrinkage is not unidirectional but depends on the balance between dilution-induced shrinkage reduction and activation-induced shrinkage amplification. Optimal performance is generally achieved at moderate replacement levels with controlled RP fineness.

3.7. Sulfate Resistance

RP mortars exhibit notable strength degradation under acidic conditions due to the porous nature of RP, its irregular particle shape, and its weak bonding with the cement matrix, all of which increase susceptibility to acid attack [91,116]. Moreover, these detrimental effects become more pronounced as the RP content increases [91,116].
Sulfate attack in RP-based mortars is governed by a combination of chemical reactions, microstructural evolution, and transport processes. Sulfate attack typically begins with the diffusion of sulfate ions (SO42−) into the cement matrix, where they chemically react with calcium hydroxide and aluminate-rich compounds, forming gypsum and secondary ettringite. These expansion-related reaction products create internal stresses that result in crack development, loss of material cohesion, and progressive reduction in strength. The addition of RP typically increases the material’s sensitivity to sulfate attack, as its greater porosity, non-uniform particle structure, and weaker interfacial transition zone with the cement matrix allow easier sulfate ion infiltration [91,96,116,117,118].
At moderate RP contents, partial pore refinement and continued hydration of residual cementitious phases may temporarily mitigate sulfate penetration. However, higher RP replacement levels reduce the availability of reactive calcium aluminates and weaken the matrix, accelerating sulfate-induced deterioration under prolonged exposure [91,96,116,117,118].
Belkadi et al. [116] found that the combined micro-filler effect of gypsum powder (GP) and the continued hydration of RP reduce interconnected porosity and restrict acid ingress. The control mortar showed a 1.56% mass loss due to acid attack on Ca(OH)2 and C–S–H, which increased capillary porosity. RP introduced heterogeneity, acid-reactive sites, and additional porosity from adhered aged paste, leading to greater deterioration. Ternary GP–RP mortars exhibited intermediate mass loss, with the GP–RP combination offering better acid resistance than RP alone through improved packing, enhanced pozzolanic activity, and the presence of aged hydrates. Increasing GP and RP contents further decreased mass loss, highlighting the effectiveness of balanced ternary blends.
Bian et al. [91] reported that strength and mass changes in recycled mortar under sulfate exposure are a result of AFt transformation, gypsum formation, and subsequent matrix expansion. Early immersion increased strength and mass as voids filled with AFt and gypsum. Continued exposure led to further hydration and accumulation of these phases, maintaining this trend. At later stages, excessive AFt and gypsum caused expansion and cracking, reducing strength and mass. RFP was found to extend hydration and reduce gypsum formation, but higher RFP contents ultimately led to greater reductions in both properties.
In addition to conventional sulfate attack mechanisms, the potential for thaumasite sulfate attack (TSA) is a critical durability concern for RP-based systems, particularly under low-temperature and high-moisture conditions. Thaumasite formation involves the transformation of calcium silicate hydrate (C–S–H) into calcium silicate carbonate sulfate hydrate, leading to a complete loss of mechanical integrity rather than expansive cracking alone. This mechanism is favored in systems containing carbonate sources, reactive silicates, and sustained sulfate exposure—conditions that may be exacerbated by the presence of carbonated RP and limestone-rich recycled materials [119,120,121,122,123,124,125,126,127].
Although direct experimental evidence on TSA in RP-containing mortars remains limited, the increased carbonate availability, reduced alkalinity, and altered phase assemblage associated with RP incorporation suggest a heightened vulnerability to this degradation pathway. Consequently, the long-term sulfate resistance of RP-based mortars—particularly in cold or underground environments—should not be evaluated solely on short-term mass loss or strength retention but must also consider the potential for thaumasite-driven deterioration [119,120,121,122,123,124,125,126,127].

3.8. Other Properties

Electrical resistivity (ER) reflects the ability of ions to move through a material under an electric field. In cement-based systems, ion transport is governed by the pore structure, including pore size distribution, connectivity, and total pore volume. A denser and less interconnected pore network results in higher ER, while ER decreases as porosity increases [76].
The incorporation of RP generally reduces ER due to its dilution effect, which lowers the amount of hydration products and increases pore connectivity, thereby facilitating ion movement [49,76]. Using 10% RP has been shown to shorten corrosion initiation time in accelerated tests. However, applying surface treatment with tannic acid (TA) at levels above 0.3% improves performance beyond that of the reference mortar by increasing hydration product density and enhancing mechanical resistance [128].
Nano-indentation results further indicate that RP increases both the unhydrated and pore phases [49]. In contrast, adding 0.5% TA reduces pore phases and increases high-modulus hydration products, as TA can retain calcium ions, promote localized mineralization, and densify the hydration structure. TA also contributes to nucleation by filling pores and refining the microstructure [128].
Beyond chloride penetration, carbonation, and sulfate exposure, recent studies have also highlighted the impact of mechanical water action and abrasion on the durability of concrete [67,68,69,70]. Concrete resilience under the impact of water forces: a review of abrasion resistance in hydraulic structures reviews mechanisms of surface damage due to hydraulic forces and highlights material factors—such as surface hardness, pore structure, and aggregate–matrix bond—that influence resistance to abrasion [67,68,69,70].

3.9. Comparative Synthesis and Optimal Performance Conditions

The durability and mechanical performance of recycled powder-based mortars reported in the literature exhibit apparent variability, which has sometimes been interpreted as conflicting behavior. However, a comparative assessment reveals that these discrepancies are primarily governed by differences in RP replacement level, activation strategy, and evaluation timeframe. This subsection synthesizes the key findings across durability indicators to identify the conditions under which RP performs optimally.
To facilitate cross-study comparison, Table 1 summarizes the reported effects of RP on strength and durability as a function of activation method and replacement level, highlighting dominant mechanisms, benefits, and limitations.
As shown in Table 1, RP performance is strongly condition-dependent rather than inherently contradictory. Favorable behavior is consistently observed at low replacement levels (≤10–15%), where RP primarily acts as a micro-filler, resulting in comparable mechanical strength and, in some cases, improved durability. At moderate replacement levels (15–30%), outcomes depend critically on the activation strategy: mechanical activation and increased fineness may enhance early-age strength but often lead to increased drying shrinkage and accelerated carbonation due to intensified hydration kinetics and reduced alkaline buffering.
Table 1 further indicates that thermal activation introduces a clear performance threshold. Moderate calcination temperatures (approximately 500–800 °C) offer a balanced improvement in reactivity- and durability-related transport properties, whereas higher temperatures (≥900 °C) yield clinker-like behavior that improves strength but compromises sustainability due to elevated energy demand and CO2 emissions. Blended systems combining RP with conventional supplementary cementitious materials or controlled nano-additives emerge as the most robust approach, as they consistently mitigate RP-related durability drawbacks through synergistic pozzolanic reactions and pore refinement.
Overall, the comparative synthesis demonstrates that RP performance is condition-dependent rather than inherently inconsistent, and that optimal results are achieved within clearly defined activation and replacement windows.

4. Analysis of Cost and CO2 Emissions

The cost and CO2 emission analyses presented in this section are intended to provide a comparative and trend-based assessment rather than absolute or location-specific values. Unit prices, energy costs, and emission factors for Portland cement production and recycled powder processing vary significantly with geographic region, energy mix, and temporal market conditions. Consequently, the values reported in the reviewed literature should be interpreted as indicative benchmarks used to identify relative performance trends rather than universally applicable figures.
The high cost and substantial carbon emissions associated with PC are the main drivers behind the increasing use of low-carbon SCMs and industrial by-products as partial substitutes. Conducting a detailed analysis of both cost and CO2 emissions enables a comprehensive evaluation of the feasibility of incorporating RP into mortar mixtures. Such an assessment also supports identifying the optimal cement replacement level when using these CDW powders.

4.1. Cost Analysis

Implementing activated or non-activated RP as a partial substitute for PC reduces the production cost of mortar [75,80,116,129,130,131].
Figure 17 shows a positive relationship between replacement percentage and cost saving, indicating that higher replacement levels generally lead to greater economic benefits [76,80,116,129,132]. At low RP values, cost savings remain limited, while mid-range replacement (20–40%) results in noticeably higher savings. The greatest savings occur at RP values above 50%, where cost reductions exceed 40% in several cases. Despite some variation among datasets, the overall trend clearly suggests that increasing RP enhances cost efficiency.
Regarding the activation methods of RP, samples with thermally treated RP provide significantly lower costs compared to chemically activated samples [80]; thermally treated RP at optimal temperatures (i.e., 600 °C) results in better cost performance of the blended mortar compared to the grinding treatment [75,130].
Furthermore, the utilization of alkali-activated RP mortar and incorporation of mineral admixture offer better economic advantages [116,130,131].
Zhang et al. [129] proposed that the cost of mortar required to achieve a unit compressive strength of 1 MPa could serve as an indicator for evaluating the cost-performance of RCP when used as a partial replacement for PC in blended mortar. Based on this approach, two cost indices were introduced: Cc, representing the cost of achieving compressive strength per unit, and CF, representing the cost of achieving flexural strength per unit. Their results showed that producing 1 m3 of blended mortar was 3.7–11.0% cheaper than standard PC mortar when RCP replaced 10–30% of the cement. They further reported that Cc rises with increasing RCP content, implying that the cost associated with achieving an additional unit of compressive strength becomes higher at greater replacement levels. In contrast, CF demonstrated a cost advantage in achieving equivalent flexural strength, provided the substitution did not exceed 20%. Overall, Zhang et al. [129] concluded that a 10% replacement level offers the best cost efficiency.
Chen et al. [80] applied the same evaluation method as Zhang et al. [129] and reported that thermally activated RFP offered a significant reduction in production costs compared to PC. They observed that increasing the RFP replacement ratio further enhanced economic benefits, thereby supporting CDW recycling and encouraging wider utilization of RFP in mortar applications. In contrast, chemically activated RFP provided noticeably lower economic and environmental gains relative to thermally activated samples. Overall, the findings indicated that higher substitution levels under thermal activation resulted in more pronounced cost reductions.
Wu et al. [75] reported that although thermal activation of waste powder requires more cost and energy than processing untreated waste powder, it remains less demanding than cement production. Replacing cement with thermally activated waste powder enhances the performance of newly developed cementitious materials and broadens their use in high-performance and structural applications, thereby supporting environmentally beneficial CDW recycling. Thus, the adoption of thermal activation treatment and its use as a cement substitute is considered both feasible and promising.
Similarly, the cost assessment by Belkadi et al. [116] demonstrated strong economic viability when incorporating RP and GP as partial cement replacements in eco-mortar production. All mixtures with 10–20% substitution levels fulfilled the required performance criteria, yielding at least a 10% reduction in cost relative to ordinary Portland cement mortar. Overall, the cost savings ranged from 9.8% to 19.8%, with greater reductions achieved at higher replacement rates.
Zhang et al. [130] reported that calcinating the CDW powder at suitable temperatures (e.g., 600 °C for RCP) improved the cost performance of the blended mortar compared to the grinding treatment. They also stated that the cost incurred to attain per unit compressive or flexural strength of blended mortar can be reduced through the calcination of powder at suitable temperatures compared to PC mortar.
It should be noted that thermal activation of recycled powder introduces additional energy demand associated with calcination, which depends on treatment temperature, residence time, and furnace efficiency. While this process increases processing costs relative to untreated recycled powder, multiple studies report that the overall cost remains substantially lower than that of Portland cement clinker production, particularly when calcination temperatures are limited to moderate ranges (approximately 500–800 °C). Furthermore, when waste heat recovery or industrial symbiosis is employed, the marginal cost contribution of calcination can be further reduced [19,21,41,42,55,75,80,81,133,134,135,136,137,138].

4.2. CO2 Emission Analysis

Carbon emission reduction associated with the utilization of recycled powder in cementitious materials arises from several interrelated mechanisms. The most significant contribution stems from the partial replacement of Portland cement clinker, whose production is inherently carbon-intensive due to limestone calcination and high-temperature kiln operation. Substituting clinker with RP directly reduces process-related CO2 emissions by lowering both fuel consumption and calcination-derived emissions [4,7,18,92,139,140,141,142,143,144,145,146,147,148].
Emission savings are further enhanced by reducing reliance on newly extracted raw materials, particularly virgin limestone and clay. The reuse of concrete-derived powder also contributes to circular economy objectives by diverting construction and demolition waste from landfills, thereby mitigating emissions associated with waste transport, disposal, and secondary material processing [4,7,18,92,139,140,141,142,143,144,145,146,147,148].
When activation of RP is required, the carbon efficiency of the system depends strongly on the chosen treatment pathway. Mechanical activation and low-to-medium-temperature thermal treatment introduces substantially lower energy demand than clinker production, preserving net CO2 savings. In contrast, high-temperature calcination approaches diminish or negate emission reduction benefits by approaching clinker-like energy consumption [4,7,18,92,139,140,141,142,143,144,145,146,147,148].
At the system level, RP utilization can further reduce carbon emissions through material efficiency gains, including improved particle packing, reduced binder demand for equivalent performance, and synergistic use with other supplementary cementitious materials. Consequently, carbon reduction should be evaluated not only on a mass-replacement basis but also in relation to functional performance and service-life extension.
In comparison to PC, both activated and non-activated RP mortar significantly decreases associated CO2 emissions. Furthermore, higher levels of RP replacement enhance environmental benefits by promoting construction waste recycling and increasing the utilization rate of recycled powder [75,80,92,116,129,131,149,150,151].
Figure 18 illustrates a clear positive relationship between RP (%) and carbon dioxide saving (%), indicating that increases in RP are associated with progressively higher CO2 savings [76,80,116,129,132]. At low RP values (below approximately 15%), carbon dioxide savings remain modest, generally under 15%, whereas at moderate RP levels (around 25–40%), savings increase more rapidly, reaching roughly 25–45%. The highest RP values (above 60%) correspond to the greatest carbon dioxide reductions, exceeding 55% and approaching 70%, suggesting a nonlinear but consistently upward trend. Although some dispersion is observed among data points—likely reflecting differences in sample size or system conditions—the overall pattern demonstrates that higher RP levels substantially enhance carbon dioxide savings.
In comparison to PC, the thermally activated RP [75,80,150] and carbonated RP [152] substantially reduces CO2 emissions. Chemical activation has significantly lower environmental advantages than thermal activation [61]. Increasing the RP substitution rate in the thermal activation approach is more beneficial for the decrease in CO2 emissions [56,61,79]. Furthermore, the incorporation of recycled materials (mineral admixtures) yields beneficial environmental effects [68,71,76].
While calcination at temperatures above 900 °C can significantly enhance RP reactivity through the formation of CaO, belite, and alite phases, such treatments approach or exceed the thermal conditions of Portland cement clinker production. As a result, the associated energy consumption and CO2 emissions may offset or even surpass the environmental benefits gained from cement substitution. This represents a fundamental trade-off between performance enhancement and sustainability, which must be explicitly considered when evaluating thermal activation strategies [68,71,76].
From an industrial feasibility standpoint, thermally activated RP can only be considered a low-carbon supplementary cementitious material when treated at moderate temperatures, typically below 700–800 °C. Within this range, partial dehydration, decarbonation of portlandite, and limited phase restructuring can be achieved with substantially lower energy demand than clinker production. In contrast, calcination at 900–1200 °C requires energy inputs comparable to those of cement kilns and therefore undermines the primary objective of reducing embodied carbon.
Zhang et al. [74] reported that employing RCP as a partial substitute for PC can reduce CO2 emissions in mortar while maintaining compressive and flexural strength on a per-unit basis, with the replacement level generally not exceeding 30%. The maximum reduction in CO2 emissions was observed at an RCP replacement rate of approximately 10%, when mortar strength is taken into account.
Oliveira et al. [80] reported that matrices incorporating RCP can reduce CO2 emissions per ton of cement by up to 25%, while simultaneously lowering binder consumption per m3/MPa by 9% and carbon emissions per m3/MPa by 8%, indicating improved material efficiency. Sun et al. [68] also reported that cement production is responsible for approximately 80–95% of the total CO2 emissions generated during mortar manufacturing. They further observed that variations in CO2 emissions among eco-efficient mortars in Series B were primarily attributable to differences in the grinding duration of RCP, highlighting the influence of processing parameters on environmental performance.
According to Belkadi et al. [72], CO2 emission evaluations reveal considerable opportunities to lower emissions by incorporating RP and GP as partial substitutes for Portland cement in mortars. Both RP- and GP-based mortars showed significant decreases in carbon footprint, ranging from 9.7% to 19.7% for RP and 9.8% to 19.7% for GP, compared with conventional Portland cement mortars.
Ohemeng and Naghizadeh [131] evaluated multiple environmental impact indicators, including abiotic depletion potential (ADP), global warming potential (GWP), ozone depletion potential (ODP), photochemical ozone creation potential (POCP), acidification potential (AP), and eutrophication potential (EP), and concluded that the incorporation of FA can reduce the demand for natural resources in cement mortars containing WCP while also alleviating global solid waste disposal issues. Furthermore, Hu et al. [59] reported that activating cement mortar with an appropriate sodium silicate solution can substantially reduce CO2 emissions, achieving up to a 67.9% reduction at an excitation ratio of 100–1.6 M.
The reported CO2 emission reductions are highly sensitive to assumptions regarding electricity carbon intensity, fuel type used during calcination, and system boundaries adopted in individual studies. For example, thermal activation powered by fossil-based energy sources may significantly reduce net CO2 savings compared with systems relying on renewable electricity or waste-derived fuels. Despite conservative estimates, the use of recycled powder as a replacement for clinker-heavy cement reliably decreases embodied CO2 emissions, as clinker manufacturing is the main contributor to total carbon emissions [4,7,18,92,139,140,141,142,143,144,145,146,147,148].
Geographic context plays a decisive role in determining the economic and environmental feasibility of RP utilization. Regions with high landfill costs, limited natural aggregate availability, or carbon-intensive cement production are likely to experience greater benefits from RP incorporation. Conversely, in regions with low cement prices or fossil-dominated energy systems, the relative advantages may be reduced. Future studies should therefore integrate region-specific cost structures and energy mixes to refine the applicability of RP-based cementitious systems [4,7,18,92,139,140,141,142,143,144,145,146,147,148].

4.3. Practical Barriers and Industrial Applicability of Recycled Powder

Despite its proven economic and environmental benefits, the large-scale use of recycled powder in the construction industry remains constrained by various practical limitations. One of the primary challenges is the inherent variability in construction and demolition waste composition, which leads to significant fluctuations in the chemical, mineralogical, and physical properties of recycled powder. This variability complicates quality control and makes it difficult to guarantee consistent performance in cementitious systems [16,17,60,64,139,144,145,146,153,154,155,156,157,158,159,160,161,162,163]
Processing-related constraints also affect real-world feasibility. Additional operations such as selective demolition, sorting, grinding, and, where applicable, thermal activation increase processing complexity and cost. While these costs remain lower than clinker production in many cases, they can reduce economic competitiveness in regions with low cement prices or limited recycling infrastructure [16,17,60,64,139,144,145,146,153,154,155,156,157,158,159,160,161,162,163].
Regulatory and standardization barriers further hinder industrial implementation. Current cement and concrete standards in many regions do not explicitly recognize recycled powder as a SCM, restricting its use to non-structural or experimental applications. The absence of standardized classification, performance thresholds, and durability-based acceptance criteria limits confidence among practitioners and regulators [16,17,60,64,139,144,145,146,153,154,155,156,157,158,159,160,161,162,163].
From an industrial perspective, the successful adoption of recycled powder will depend on the development of robust quality control protocols, performance-based standards, and region-specific techno-economic assessments. Integrating recycled powder into existing cement production chains through industrial symbiosis, co-processing, or low-temperature activation strategies may help overcome logistical and regulatory challenges while maximizing environmental benefits [16,17,60,64,139,144,145,146,153,154,155,156,157,158,159,160,161,162,163].

4.4. Comparative Assessment of Activation Methods: Energy Demand, Cost, and Scalability

While cost savings and CO2 reduction potential provide important indicators of sustainability, the practical implementation of recycled powder also depends on the energy demand, processing cost, and scalability of the selected activation method. To support a realistic evaluation of RP utilization pathways, this subsection comparatively assesses the main activation strategies reported in the literature from an industrial feasibility perspective.
Table 2 summarizes the relative energy consumption, cost implications, scalability, and environmental impact associated with mechanical, thermal, chemical, and nano-activation and mineral addition methods, highlighting their respective advantages and limitations in practical applications.
As shown in Table 2, activation strategies that rely on moderate mechanical processing or low-to-medium-temperature thermal treatment provide the most favorable balance between performance enhancement and practical feasibility. Mechanical activation is cost-effective and highly scalable, but excessive grinding must be avoided to limit shrinkage-related durability issues.
Thermal activation at moderate temperatures (approximately 500–800 °C) offers improved reactivity and transport-related durability while maintaining a substantially lower energy demand than clinker production. In contrast, calcination at temperatures exceeding 900 °C, although effective in enhancing strength, exhibits poor scalability and high environmental impact, thereby contradicting the primary objective of reducing embodied carbon.
Chemical and nano-activation methods demonstrate promising performance at laboratory scale but remain constrained by material cost, processing complexity, and limited scalability. Consequently, blended systems combining RP with conventional supplementary cementitious materials emerge as the most practical and environmentally efficient pathway for near-term industrial adoption.
Overall, the comparative assessment indicates that activation strategies for recycled powder must be selected not only based on durability performance but also on their energy efficiency, economic viability, and scalability to ensure meaningful environmental benefits.

5. Conclusions

This review comprehensively examined the durability performance, cost implications, and CO2 emission characteristics of Portland cement mortars incorporating RP derived from concrete waste as a partial cement replacement. The findings clearly demonstrate that RP has significant potential to contribute to sustainable construction by reducing cement consumption, lowering production costs, and mitigating environmental impacts, particularly carbon emissions. However, the influence of RP on durability is strongly dependent on its replacement level, particle fineness, and activation method. At low-to-moderate replacement ratios—generally not exceeding 20–30%—RP can maintain or even improve certain durability-related properties such as drying shrinkage and carbonation resistance, primarily due to filler effects and microstructural densification. In contrast, higher RP contents tend to increase porosity and permeability, adversely affecting water absorption, capillary transport, chloride penetration, freeze–thaw resistance, and sulfate resistance.
Activation techniques play a crucial role in overcoming the inherent limitations of RP. Mechanical grinding, thermal treatment (particularly within the range of 600–900 °C), carbonation, mineral admixture addition, and nano-activation have all been shown to enhance RP reactivity, refine pore structure, and improve durability performance. Synergistic combinations of RP with supplementary cementitious materials such as fly ash, metakaolin, silica fume, or other eco-powders are especially effective in offsetting durability losses while maximizing environmental benefits. From an economic and environmental perspective, replacing Portland cement with RP consistently reduces material costs and CO2 emissions, with thermally activated and carbonated RP showing the most pronounced advantages. Overall, the reviewed literature confirms that RP is a promising low-carbon supplementary material for cementitious systems, provided that its processing, dosage, and activation strategy are carefully optimized.
Although high-temperature thermal activation (>900 °C) has been shown to improve the reactivity- and durability-related performance of recycled powder, such conditions are not compatible with the fundamental objective of developing low-carbon cementitious systems. Based on the reviewed literature, thermally activated RP processed at moderate temperatures (approximately 500–800 °C) represents the most realistic compromise between performance enhancement, energy efficiency, and CO2 reduction. Consequently, future research and industrial implementation should prioritize low-to-medium-temperature activation strategies rather than clinker-like calcination regimes.
Beyond technical performance and environmental benefits, the practical feasibility of recycled powder remains strongly influenced by material variability, processing requirements, and regulatory acceptance.
The outcomes of this review offer valuable guidance for advancing the practical and sustainable reuse of concrete waste in cement-based materials and highlight the importance of durability-oriented design in future low-carbon construction practices.

6. Future Studies

Future investigations should prioritize the optimization of mixture design variables and broaden performance assessments to fully exploit the capabilities of recycled and blended cementitious materials. Adjusting the fixed water-to-cement (w/c) ratio prescribed by current standards may better capture the true strength potential of blended cement matrices, while detailed investigations into hydration mechanisms are needed to clarify nucleation and filling effects. Greater emphasis should be placed on exploiting synergistic combinations of recycled powders (e.g., RCP with SCGP, MK, SF, or other eco-powders) to improve pore structure, long-term strength, and durability, with particular attention to identifying optimal compounding ratios. Long-term curing behavior, including the evolution of newly formed hydration phases, warrants further study, alongside optimization of particle size distribution and water-to-binder ratios. Beyond mechanical performance, comprehensive assessments covering drying shrinkage, durability, cost–performance, and life-cycle environmental impacts—including CO2 emissions and resource depletion—are essential to evaluate practical feasibility. Additionally, the effects of environmental exposure and transport properties in recycled powder-based composites, as well as the role of combined activation methods, should be systematically investigated to ensure sustainable and large-scale utilization of solid waste-derived materials in cementitious applications.
Future research should consider not only the chemical degradation mechanisms traditionally associated with supplementary cementitious materials (e.g., carbonation, chloride binding, sulfate attack) but also physical durability concerns such as abrasion resistance in hydraulic or high-flow environments.
Future development of RP as a reliable SCM requires not only improved activation strategies but also the establishment of consistent evaluation criteria and performance parameters. Unlike conventional SCMs, RP exhibits high variability in composition, fineness, and residual hydration products, making standardized assessment particularly critical.
From a material characterization perspective, key evaluation parameters should include particle size distribution, specific surface area, amorphous phase content, carbonate content, and residual clinker mineralogy. These parameters directly influence RP reactivity, water demand, and interaction with cement hydration products.
In terms of performance-based evaluation, future studies should prioritize durability-oriented indicators rather than strength alone. Relevant parameters include long-term carbonation rate, chloride binding capacity, sulfate resistance (including thaumasite susceptibility), drying shrinkage, and freeze–thaw durability under realistic exposure conditions. The relationship between RP replacement level and alkaline buffering capacity should be explicitly quantified to ensure durability in aggressive environments.
From an environmental and practical standpoint, evaluation frameworks should integrate energy demand of activation, CO2 emission intensity, and cost efficiency relative to performance gains. Activation strategies that enhance durability while maintaining low embodied carbon—such as moderate thermal treatment, mineral blending, or controlled mechanical activation—should be favored over high-energy approaches.
Ultimately, the future adoption of RP in cementitious systems will depend on the development of standardized, performance-based evaluation criteria that link RP characteristics to durability, sustainability, and service-life requirements rather than relying solely on replacement ratios.
Although substantial progress has been made in understanding the individual durability mechanisms of RP-based mortars—such as carbonation, chloride ingress, sulfate attack, and shrinkage—their long-term performance under combined environmental exposures remains insufficiently investigated. In real service conditions, cementitious materials are often subjected simultaneously to multiple stressors, including moisture fluctuations, chloride penetration, carbonation, sulfate exposure, freeze–thaw cycling, and mechanical loading.
The interaction between these degradation mechanisms may lead to synergistic effects that cannot be captured through isolated laboratory tests. For example, carbonation-induced pore refinement may alter chloride transport behavior, while sulfate exposure combined with freeze–thaw cycling can accelerate microstructural damage. Consequently, future research should prioritize long-term and multi-factor durability studies that more accurately reflect field exposure conditions, enabling a realistic assessment of service-life performance for RP-based cementitious systems.

Author Contributions

Conceptualization, K.K. and S.C.; methodology, K.K.; software, K.K. and S.C.; validation, K.K. and S.C.; formal analysis, K.K.; investigation, K.K.; resources, K.K., S.C. and J.A.; data curation, K.K. and S.C.; writing—original draft preparation, K.K.; writing—review and editing, K.K., S.C. and J.A.; visualization, K.K. and S.C.; supervision, S.C. and J.A. All authors have read and agreed to the published version of the manuscript.

Funding

This work was supported by Fundação Para a Ciência e Tecnologia (FCT) under the R&D Unit Center for Territory, Environment and Construction (CTAC), reference UID/04047/2025 (https://doi.org/10.54499/UID/04047/2025).

Institutional Review Board Statement

Not applicable.

Informed Consent Statement

Not applicable.

Data Availability Statement

No new data were created or analyzed in this study.

Conflicts of Interest

The authors declare no conflicts of interest.

Abbreviations

The following abbreviations are used in this manuscript:
AFt Ettringite
CCS Carbon Capture and Storage
CDWConstruction and Demolition Waste
CFCost index for flexural strength
CHCalcium Hydroxide
CO2Carbon Dioxide
C2SDicalcium Silicate (Belite)
C3STricalcium Silicate (Alite)
C–S–HCalcium Silicate Hydrate
EPEutrophication Potential
ERElectrical Resistivity
FAFly Ash
GGBSGround Granulated Blast Furnace Slag
GPGypsum Powder
GWPGlobal Warming Potential
HCP Hardened Cement Paste
ITZInterfacial Transition Zone
MKMetakaolin
MPMineral Powder
NSNano-Silica
ODPOzone Depletion Potential
PCPortland Cement
POCPPhotochemical Ozone Creation Potential
RBPRecycled Brick Powder
RCPRecycled Concrete Powder
RFARecycled Fine Aggregate
RFPRecycled Fine Powder
RPRecycled Powder
SCGPSpontaneous combustion gangue powder
SCMSupplementary Cementitious Material
SFSilica Fume
TATannic Acid
WCPWaste Concrete Powder
WCWaste Concrete
WGRPWaste Glass Recycled Powder
w/cWater-to-Cement Ratio

References

  1. Lian, G.; Xu, A.; Zhu, Y. Substantive green innovation or symbolic green innovation? The impact of ER on enterprise green innovation based on the dual moderating effects. J. Innov. Knowl. 2022, 7, 100203. [Google Scholar] [CrossRef]
  2. Song, M.; Fisher, R.; Kwoh, Y. Technological challenges of green innovation and sustainable resource management with large scale data. Technol. Forecast. Soc. Change 2019, 144, 361–368. [Google Scholar] [CrossRef]
  3. Pan, X.; Yang, Y.; Zhang, W. Spatial effect analysis of foreign direct investment (FDI) on carbon intensity in China. Environ. Eng. Manag. J. 2014, 13, 1251–1255. [Google Scholar] [CrossRef]
  4. Wang, S.; Song, M. Review of hidden carbon emissions, trade, and labor income share in China, 2001–2011. Energy Policy 2014, 74, 395–405. [Google Scholar] [CrossRef]
  5. Chen, C.M.; Delmas, M.A. Measuring eco-inefficiency: A new frontier approach. Oper. Res. 2012, 60, 1064–1079. [Google Scholar] [CrossRef]
  6. Qi, G.Y.; Shen, L.Y.; Zeng, S.X.; Jorge, O.J. The drivers for contractors’ green innovation: An industry perspective. J. Clean. Prod. 2010, 18, 1358–1365. [Google Scholar] [CrossRef]
  7. Ball, J. Can ISO 14000 and eco-labeling turn the construction industry green? Build. Environ. 2002, 37, 421–428. [Google Scholar] [CrossRef]
  8. Hendrickson, C.; Horvath, A. Resource use and environmental emissions of U.S. construction sectors. J. Constr. Eng. Manag. 2000, 126, 38–44. [Google Scholar] [CrossRef]
  9. Morledge, R.; Jackson, F.R. Reducing environmental pollution caused by construction plant. Environ. Manag. Health 2001, 53, 270–280. [Google Scholar] [CrossRef]
  10. Guo, F.; Wang, J.; Song, Y. Research on high quality development strategy of green building: A full life cycle perspective on recycled building materials. Energy Build. 2022, 273, 112406. [Google Scholar] [CrossRef]
  11. He, L.; Chen, L. The incentive effects of different government subsidy policies on green buildings. Renew. Sustain. Energy Rev. 2021, 135, 110123. [Google Scholar] [CrossRef]
  12. Mahpour, A. Prioritizing barriers to adopt circular economy in construction and demolition waste management. Resour. Conserv. Recycl. 2018, 134, 216–227. [Google Scholar] [CrossRef]
  13. Azevedo, A.R.G.; Cecchin, D.; Carmo, D.F.; Silva, F.C.; Campos, C.M.O.; Shtrucka, T.G.; Marvila, M.T.; Monteiro, S.N. Analysis of the compactness and properties of the hardened state of mortars with recycling of construction and demolition waste (CDW). J. Mater. Res. 2020, 9, 5942–5952. [Google Scholar] [CrossRef]
  14. da Silva, S.R.; Cimadon, F.N.; Borges, P.M.; Schiavon, J.Z.; Possan, E.; de Oliveira Andrade, J.J. Relationship between the mechanical properties and carbonation of concretes with construction and demolition waste. Case Stud. Constr. Mat. 2022, 16, 00860. [Google Scholar] [CrossRef]
  15. da Silva, T.R.; de Azevedo, A.R.G.; Cecchin, D.; Marvila, M.T.; Amran, M.; Fediuk, R.; Vatin, N.; Karelina, M.; Klyuev, S.; Szelag, M. Application of plastic wastes in construction materials: A review using the concept of life-cycle assessment in the context of recent research for future perspectives. Materials 2021, 14, 3549. [Google Scholar] [CrossRef]
  16. Chen, K.; Wang, J.; Yu, B.; Wu, H.; Zhang, J. Critical evaluation of construction and demolition waste and associated environmental impacts: A scientometric analysis. J. Clean. Prod. 2021, 287, 125071. [Google Scholar] [CrossRef]
  17. Shen, W.; Liu, Y.; Yan, B.; Wang, J.; He, P.; Zhou, C.; Huo, X.; Zhang, W.; Xu, G.; Ding, Q. Cement industry of China: Driving force, environment impact and sustainable development. Renew. Sustain. Energy Rev. 2017, 75, 618–628. [Google Scholar] [CrossRef]
  18. Poudyal, L.; Adhikari, K. Environmental sustainability in cement industry: An integrated approach for green and economical cement production. Resour. Environ. Sustain. 2021, 4, 100024. [Google Scholar] [CrossRef]
  19. Zhang, Z.; Thiéry, M.; Baroghel-Bouny, V. Investigation of moisture transport properties of cementitious materials. Cem. Concr. Res. 2016, 89, 257–268. [Google Scholar] [CrossRef]
  20. Cantero, B.; Del Bosque, I.S.; De Rojas, M.S.; Matías, A.; Medina, C. Durability of concretes bearing construction and demolition waste as cement and coarse aggregate substitutes. Cem. Concr. Compos. 2022, 134, 104722. [Google Scholar] [CrossRef]
  21. Zhang, D.; Zhang, S.; Huang, B.; Yang, Q.; Li, J. Comparison of mechanical, chemical, and thermal activation methods on the utilisation of recycled concrete powder from construction and demolition waste. J. Build. Eng. 2022, 61, 105295. [Google Scholar] [CrossRef]
  22. Meng, T.; Hong, Y.; Ying, K. Comparison of technical properties of cement pastes with different activated recycled powder from construction and demolition waste. Cem. Concr. Compos. 2021, 120, 104065. [Google Scholar] [CrossRef]
  23. Oliveira, T.C.; Dezen, B.G.; Possan, E. Use of concrete fine fraction waste as a replacement of Portland cement. J. Clean. Prod. 2020, 273, 123126. [Google Scholar] [CrossRef]
  24. Sun, C.; Chen, L.; Xiao, J.; Singh, A.; Zeng, J. Compound utilization of construction and industrial waste as cementitious recycled powder in mortar. Resour. Conserv. Recycl. 2021, 170, 105561. [Google Scholar] [CrossRef]
  25. Duan, Z.; Hou, S.; Xiao, J.; Li, B. Study on the essential properties of recycled powders from construction and demolition waste. J. Clean. Prod. 2020, 253, 119865. [Google Scholar] [CrossRef]
  26. Asensio, E.; Medina, C.; Frías, M.; Sánchez de Rojas, M.I. Characterization of ceramic-based construction and demolition waste: Use as pozzolan in cements. J. Am. Ceram. Soc. 2016, 99, 4121–4127. [Google Scholar] [CrossRef]
  27. Ma, Z.; Li, W.; Wu, H.; Cao, C. Chloride permeability of concrete mixed with activity recycled powder obtained from C&D waste. Construct. Build. Mater. 2019, 199, 652–663. [Google Scholar] [CrossRef]
  28. Zhao, Y.; Gao, J.; Liu, C.; Chen, X.; Xu, Z. The particle-size effect of waste clay brick powder on its pozzolanic activity and properties of blended cement. J. Clean. Prod. 2020, 242, 118521. [Google Scholar] [CrossRef]
  29. Schoon, J.; Buysser, K.D.; Driessche, I.V.; Belie, N.D. Fines extracted from recycled concrete as alternative raw material for Portland cement clinker production. Cem. Concr. Compos. 2015, 58, 70–80. [Google Scholar] [CrossRef]
  30. Zhu, N.; Mao, X.; Qu, W.; Li, Z.; Ma, Z.J. Investigation of using recycled powder from waste of clay bricks and cement solids in reactive powder concrete. Construct. Build. Mater. 2016, 113, 246–254. [Google Scholar] [CrossRef]
  31. Xiao, J.; Ma, Z.; Sui, T.; Akbarnezhad, A.; Duan, Z. Mechanical properties of concrete mixed with recycled powder produced from construction and demolition waste. J. Clean. Prod. 2018, 188, 720–731. [Google Scholar] [CrossRef]
  32. Liu, Q.; Tong, T.; Liu, S.; Yang, D.; Yu, Q. Investigation of using hybrid recycled powder from demolished concrete solids and clay bricks as a pozzolanic supplement for cement. Constr. Build. Mater. 2014, 73, 754–763. [Google Scholar] [CrossRef]
  33. Ge, Z.; Wang, Y.; Sun, R.; Wu, X.; Guan, Y. Influence of ground waste clay brick on properties of fresh and hardened concrete. Constr. Build. Mater. 2015, 98, 128–136. [Google Scholar] [CrossRef]
  34. Kim, Y.J.; Choi, Y.W. Utilization of waste concrete powder as a substitution material for cement. Construct. Build. Mater. 2012, 30, 500–504. [Google Scholar] [CrossRef]
  35. Moon, D.J.; Kim, Y.B.; Ryou, J. An approach for the recycling of waste concrete powder as cementitious materials. J. Ceram. Process. Res. 2008, 9, 278–281. [Google Scholar] [CrossRef]
  36. Jaroslav, T.; Zdenek, P. Properties and microstructure of cement paste including recycled concrete powder. Acta Polytech. 2017, 57, 49–57. [Google Scholar] [CrossRef]
  37. Kwon, E.H.; Lee, Y.J.; Cho, G.H.; Dong, C.P. Analysis on calcination of cementitious powder of waste concrete for raw cement. Adv. Mater. Res. 2013, 831, 13–22. [Google Scholar] [CrossRef]
  38. Duan, Z.; Singh, A.; Xiao, J.; Hou, S. Combined use of recycled powder and recycled coarse aggregate derived from construction and demolition waste in self-compacting concrete. Constr. Build. Mater. 2020, 254, 119323. [Google Scholar] [CrossRef]
  39. Liu, Y.; Lu, C.; Zhang, H.; Li, J. Experimental study on chemical activation of recycled powder as a cementitious material in mine paste backfilling. Environ. Eng. Res. 2016, 21, 341–349. [Google Scholar] [CrossRef]
  40. Maraghechi, H.; Maraghechi, M.; Rajabipour, F.; Pantano, C.G. Pozzolanic reactivity of recycled glass powder at elevated temperatures: Reaction stoichiometry, reaction products and effect of alkali activation. Cem. Concr. Compos. 2014, 53, 105–114. [Google Scholar] [CrossRef]
  41. Sajedi, F.; Razak, H.A. Effects of thermal and mechanical activation methods on compressive strength of ordinary Portland cement-slag mortar. Mater. Des. 2011, 32, 984–995. [Google Scholar] [CrossRef]
  42. Wu, H.; Yang, D.; Ma, Z. Micro-structure, mechanical and transport properties of cementitious materials with high-volume waste concrete powder and thermal modification. Construct. Build. Mater. 2021, 313, 125477. [Google Scholar] [CrossRef]
  43. Neelamegam, P.; Muthusubramanian, B. Influence of Polyethylenimine (PEI) in enhancement of microstructure and surface morphology of recycled construction and demolition waste aggregate in concrete by carbonation. Construct. Build. Mater. 2023, 405, 133342. [Google Scholar] [CrossRef]
  44. Kaptan, K.; Cunha, S.; Aguiar, J. A review of the utilization of recycled powder from concrete waste as a cement partial replacement in cement-based materials: Fundamental properties and activation methods. Appl. Sci. 2024, 14, 9775. [Google Scholar] [CrossRef]
  45. Paglia, C. The deterioration asymmetry of engineering structures. Case Stud. Constr. Mater. 2022, 16, 00980. [Google Scholar] [CrossRef]
  46. Silva, A.; Gaspar, P.L.; De Brito, J. Durability of current renderings: A probabilistic analysis. Autom. Constr. 2014, 44, 92–102. [Google Scholar] [CrossRef]
  47. Hossain, M.M.; Karim, M.R.; Hasan, M.; Hossain, M.K.; Zain, M.F.M. Durability of mortar and concrete made up of pozzolans as a partial replacement of cement: A review. Constr. Build. Mater. 2016, 116, 128–140. [Google Scholar] [CrossRef]
  48. Tang, Q.; Ma, Z.; Wu, H.; Wang, W. The utilization of eco-friendly recycled powder from concrete and brick waste in new concrete: A critical review. Cem. Concr. Compos. 2020, 114, 103807. [Google Scholar] [CrossRef]
  49. Rocha, J.H.A.; Toledo Filho, R.D. The utilization of recycled concrete powder as supplementary cementitious material in cement-based materials: A systematic literature review. J. Build. Eng. 2023, 76, 107319. [Google Scholar] [CrossRef]
  50. Kaptan, K.; Cunha, S.; Aguiar, J. A Review: Construction and Demolition Waste as a Novel Source for CO2 Reduction in Portland Cement Production for Concrete. Sustainability 2024, 16, 585. [Google Scholar] [CrossRef]
  51. Yang, Y.; Kang, Z.; Zhan, B.; Gao, P.; Yu, Q.; Wang, J.; Zhao, W.; Zhang, Y.; Bi, W.; Yang, C.; et al. Short review on the application of recycled powder in cement-based materials: Preparation, performance and activity excitation. Buildings 2022, 12, 1568. [Google Scholar] [CrossRef]
  52. Schack, T.; Haist, M. Performance assessment of eco-efficient concrete with ternary blended cementitious materials considering the effect of binder component fineness. Case Stud. Constr. Mater. 2024, 20, e03154. [Google Scholar] [CrossRef]
  53. Navarrete, I.; Valdes, J.; Lopez, M.; Vargas, F. Replacement of pozzolanic blended cement by supplementary cementitious materials: Mechanical and environmental approach. Construct. Build. Mater. 2023, 394, 132263. [Google Scholar] [CrossRef]
  54. Rajczakowska, M.; Kothari, A.; Buasiri, T.; Cwirzen, A. Recycled and mechanically activated concrete fines as a complete substitute for Portland cement: Feasibility and life cycle assessment. Case Stud. Constr. Mater. 2025, 22, e04798. [Google Scholar] [CrossRef]
  55. Kim, J.; Ubysz, A. Thermal activation of multi-recycled concrete powder as supplementary cementitious material for repeated and waste-free recycling. J. Civ. Eng. 2024, 98, 111169. [Google Scholar] [CrossRef]
  56. Wang, Y.; Wu, Z.; Zheng, X.; Li, K.; Liu, C. A review of concrete exposed to low-temperature environments at early ages: Mechanical properties and durability. J. Civ. Eng. 2025, 111, 113122. [Google Scholar] [CrossRef]
  57. Lisowski, P.; Glinicki, M.A. Novel processing methods of low-clinker multi-component cementitious materials—A review. Appl. Sci. 2024, 14, 899. [Google Scholar] [CrossRef]
  58. Jhatial, A.A.; Nováková, I.; Gjerløw, E. A review on emerging cementitious materials, reactivity evaluation and treatment methods. Buildings 2023, 13, 526. [Google Scholar] [CrossRef]
  59. Nassiri, S.; Butt, A.A.; Zarei, A.; Roy, S.; Filani, I.; Pandit, G.A.; Harvey, J.T. Opportunities for supplementary cementitious materials from natural sources and industrial byproducts: Literature insights and supply assessment. Buildings 2025, 15, 3099. [Google Scholar] [CrossRef]
  60. Suarez-Riera, D.; Restuccia, L.; Falliano, D.; Ferro, G.A.; Tuliani, J.M.; Pavese, M.; Lavagna, L. An overview of methods to improve the environmental performance of cement-based materials. Infrastructures 2024, 9, 94. [Google Scholar] [CrossRef]
  61. Al Fuhaid, A. Effects of recycled and supplemented cementitious materials on corrosion resistance and mechanical properties in reinforced concrete. J. Compos. Sci. 2025, 9, 457. [Google Scholar] [CrossRef]
  62. Grigorjev, V.; Azenha, M.; De Belie, N. Second life for recycled concrete and other construction and demolition waste in mortars for masonry: Full scope of material properties, performance, and environmental aspects. Materials 2024, 17, 5118. [Google Scholar] [CrossRef]
  63. Fode, T.A.; Jande, Y.A.C.; Kivevele, T. Effects of different supplementary cementitious materials on durability and mechanical properties of cement composites—A comprehensive review. Heliyon 2023, 9, e17924. [Google Scholar] [CrossRef]
  64. Zito, S.V.; Irassar, E.F.; Rahhal, V.F. Recycled construction and demolition waste as supplementary cementing materials in eco-friendly concrete. Recycling 2023, 8, 54. [Google Scholar] [CrossRef]
  65. Miah, M.J.; Huaping, R.; Paul, S.C.; Babafemi, A.J.; Li, Y. Long-term strength and durability performance of eco-friendly concrete with supplementary cementitious materials. Innov. Infrastruct. Solut. 2023, 8, 255. [Google Scholar] [CrossRef]
  66. Ahmed, A. Assessing the effects of supplementary cementitious materials on concrete properties: A review. Discover Civ. Eng. 2024, 1, 145. [Google Scholar] [CrossRef]
  67. Murali, G.; Wong, L.S.; Karthikeyan, K.; Abdellatief, M.; Dixit, S. Concrete resilience under the impact of water forces: A review of abrasion resistance in hydraulic structures. Results Eng. 2025, 26, 104654. [Google Scholar] [CrossRef]
  68. Omranian, S.A.; Eftekhar, M.R. A comprehensive study on the abrasion behavior of different types of fiber-reinforced concrete in hydraulic structures. Construct. Build. Mater. 2024, 426, 135991. [Google Scholar] [CrossRef]
  69. Chen, Q.; Jin, W.; Tang, X.; Zhong, H.; Huang, Q.; Bai, Z.; Jiang, L. Experimental study and prediction of abrasion resistance of hydraulic concrete. Case Stud. Constr. Mater. 2025, 23, e05004. [Google Scholar] [CrossRef]
  70. Liu, Q.; Li, L.; Andersen, L.V.; Wu, M. Studying the abrasion damage of concrete for hydraulic structures under various flow conditions. Cem. Concr. Compos. 2023, 135, 104849. [Google Scholar] [CrossRef]
  71. Wu, H.; Hu, R.; Yang, D.; Ma, Z. Micro-macro characterizations of mortar containing construction waste fines as replacement of cement and sand: A comparative study. Construct. Build. Mater. 2023, 383, 131328. [Google Scholar] [CrossRef]
  72. Kim, J.; Nciri, N.; Sicakova, A.; Kim, N. Characteristics of waste concrete powders from multi-recycled coarse aggregate concrete and their effects as cement replacements. Construct. Build. Mater. 2023, 398, 132525. [Google Scholar] [CrossRef]
  73. Wu, H.; Liang, C.; Wang, C.; Ma, Z. Properties of green mortar blended with waste concrete-brick powder at various components, replacement ratios and particle sizes. Constr. Build. Mater. 2022, 342, 128050. [Google Scholar] [CrossRef]
  74. Sun, C.; Chen, L.; Xiao, J.; Zuo, J.; Wu, H. Effects of eco powders from solid waste on freeze-thaw resistance of mortar. Constr. Build. Mater. 2022, 333, 127405. [Google Scholar] [CrossRef]
  75. Wu, H.; Xu, J.; Yang, D.; Ma, Z. Utilizing thermal activation treatment to improve the properties of waste cementitious powder and its newmade cementitious materials. J. Clean. Prod. 2021, 322, 129074. [Google Scholar] [CrossRef]
  76. Horsakulthai, V. Effect of recycled concrete powder on strength, electrical resistivity, and water absorption of self-compacting mortars. Case Stud. Constr. Mater. 2021, 15, e00725. [Google Scholar] [CrossRef]
  77. Wu, H.; Yang, D.; Xu, J.; Liang, C.; Ma, Z. Water transport and resistance improvement for the cementitious composites with eco-friendly powder from various concrete wastes. Constr. Build. Mater. 2021, 290, 123247. [Google Scholar] [CrossRef]
  78. Hu, R.; Zhang, Y.; Zhang, Z.; Ma, Z. Development of Sustainable Cement-Based Materials with Ultra-High Content of Waste Concrete Powder: Properties and Improvement. Sustainability 2023, 15, 14812. [Google Scholar] [CrossRef]
  79. Wu, H.; Wang, C.; Ma, Z. Drying shrinkage, mechanical and transport properties of sustainable mortar with both recycled aggregate and powder from concrete waste. J. Build. Eng. 2022, 49, 104048. [Google Scholar] [CrossRef]
  80. Chen, L.; Wei, M.; Lei, N.; Li, H. Effect of chemical–thermal activation on the properties of recycled fine powder cementitious materials. Case Stud. Constr. Mater. 2024, 20, 02956. [Google Scholar] [CrossRef]
  81. Zhai, W.Q.; Sun, R.M.; Xie, Y.D.; Ding, H.C.; Su, Y.; He, Z.H. Thermal-activated recycled cement powder synergized with fly ash as supplementary cementitious material in Portland cement: Strength, microstructure and environmental benefits. Construct. Build. Mater. 2025, 474, 141018. [Google Scholar] [CrossRef]
  82. Semugaza, G.; Mielke, T.; Castillo, M.E.; Gierth, A.Z.; Tam, J.X.; Nawrath, S.; Lupascu, D.C. Reactivation of hydrated cement powder by thermal treatment for partial replacement of ordinary Portland cement. Mater. Struct. 2023, 56, 48. [Google Scholar] [CrossRef]
  83. Liu, M.; Zhang, Y.; Wang, C.; Ma, Z. Reusing thermoactivated waste paste/concrete powder for sustainable alkali-activated materials: Effects of thermoactivation temperature. Construct. Build. Mater. 2024, 437, 136973. [Google Scholar] [CrossRef]
  84. Sasui, S.; Kim, G.; van Riessen, A.; Alam, S.F.; Nam, J.; Ishak, S.; Eu, H. Influence of elevated temperature on waste concrete powder and its application in alkali-activated materials. J. Clean. Prod. 2024, 434, 140423. [Google Scholar] [CrossRef]
  85. Ma, Z.; Hu, R.; Yao, P.; Wang, C. Utilizing heat–mechanical synergistic treatment for separating concrete waste into high-quality recycled aggregate, active recycled powder and new concrete. J. Civ. Eng. 2023, 68, 106161. [Google Scholar] [CrossRef]
  86. Wu, H.; Wang, C.; Yang, D.; Ma, Z. Utilizing nano-SiO2 for modifying the microstructure, strength and transport properties of sustainable cementitious materials with waste concrete powder. J. Build. Eng. 2023, 63, 105522. [Google Scholar] [CrossRef]
  87. Ma, Z.; Yao, P.; Yang, D.; Shen, J. Effects of fire-damaged concrete waste on the properties of its preparing recycled aggregate, recycled powder and newmade concrete. J. Mater. Res. Technol. 2021, 15, 1030–1045. [Google Scholar] [CrossRef]
  88. Gao, Y.; Cui, X.; Lu, N.; Hou, S.; He, Z.; Liang, C. Effect of recycled powders on the mechanical properties and durability of fully recycled fiber-reinforced mortar. J. Build. Eng. 2022, 45, 103574. [Google Scholar] [CrossRef]
  89. Liu, X.; Liu, R.; Xie, X.; Zuo, J.; Lyu, K.; Shah, S.P. Chloride corrosion resistance of cement mortar with recycled concrete powder modified by nano-silica. Constr. Build. Mater. 2023, 364, 129907. [Google Scholar] [CrossRef]
  90. Hu, R.; Wang, C.; Shen, J.; Ma, Z. Chloride transport and thermoactivated modification of sustainable cement-based materials with high-content waste concrete powder. J. Mater. Res. Technol. 2023, 23, 4012–4031. [Google Scholar] [CrossRef]
  91. Bian, Y.; Qiu, X.; Zhao, J.; Li, Z.; Ouyang, J. Influence of Recycled Concrete Fine Powder on Durability of Cement Mortar. Fluid Dyn. Mater. Process. 2024, 20, 45–58. [Google Scholar] [CrossRef]
  92. Sun, C.; Chen, L.; Xiao, J.; Liu, Q.; Zuo, J. Low-Carbon and Fundamental Properties of Eco-Efficient Mortar with Recycled Powders. Materials 2021, 14, 7503. [Google Scholar] [CrossRef]
  93. Zhang, J.; Tan, H.; He, X.; Zhao, R.; Yang, J.; Su, Y. Nano particles prepared from hardened cement paste by wet grinding and its utilization as an accelerator in Portland cement. J. Clean. Prod. 2021, 283, 124632. [Google Scholar] [CrossRef]
  94. Ma, Z.; Zhang, Z.; Hu, R.; Liu, X.; Shen, J.; Wang, C. Chloride resistance and improvement of fully cementitious materials with both recycled aggregate and recycled powder. J. Sustain. Cem.-Based Mater. 2024, 13, 49–67. [Google Scholar] [CrossRef]
  95. Wang, Y.; Zheng, K.; Yu, K.; Lin, L.; Wang, J.; Li, X.; Wang, X. Effect of carbonation pressure on the chloride ion transport and redistribution in Portland cement pastes. Case Stud. Constr. Mater. 2025, 23, e05640. [Google Scholar] [CrossRef]
  96. Wang, X.; Kong, L.; Zhao, W.; Liu, Y. Chloride transport resistance of alkali-activated concrete exposed to combined chloride, sulfate and carbonation environment. Construct. Build. Mater. 2023, 367, 130353. [Google Scholar] [CrossRef]
  97. Wang, Y.; Liao, J.; Zhang, B. A review of chloride penetration of recycled concrete with enhancement treatment and service life prediction. Materials 2024, 17, 1349. [Google Scholar] [CrossRef]
  98. Bu, C.; Xu, Z.; Feng, R.; Sun, Y.; Zhang, M.; Wang, X.; Li, S. Enhancing chloride ion penetration resistance of recycled aggregate concrete through carbonization: Performance and microstructural analysis. Innov. Infrastruct. Solut. 2025, 10, 427. [Google Scholar] [CrossRef]
  99. Ma, Z.; Hu, R.; Shen, J.; Wang, C.; Wu, H. Chloride diffusion and binding capacity of sustainable cementitious materials with construction waste powder as cement replacement. Construct. Build. Mater. 2023, 368, 130352. [Google Scholar] [CrossRef]
  100. Xie, F.; Bao, L.; Zheng, Y.; Chen, L.; Wang, R.; Li, G.; Cui, J. Mechanical properties, shrinkage mitigation and bond performance of recycled powder-based alkali-activated paste for surface enhancement of concrete aggregate. Construct. Build. Mater. 2025, 486, 141993. [Google Scholar] [CrossRef]
  101. Yao, Y.; Shi, M.; Kong, X.; Ding, X.; Gu, Z.; Fu, Y. Towards eco-friendly construction materials: The impact of nano calcium carbonate on the early hydration and mechanical properties of different types of recycled powder mortars. Sustain. Energy Technol. Assess. 2025, 83, 104617. [Google Scholar] [CrossRef]
  102. Feng, Y.; Zhong, H.; Fang, J.; Liu, W.; Jiang, Z.; Yang, J.; Xie, J. NaHCO3 solution carbonation recycled powder for novel alkali-activated concrete: Synergistic enhancement in mechanical properties, durability, and environmental impact. Cem. Concr. Compos. 2026, 167, 106465. [Google Scholar] [CrossRef]
  103. Li, S.; Gao, J.; Li, Q.; Zhao, X. Investigation of using recycled powder from the preparation of recycled aggregate as a supplementary cementitious material. Constr. Build. Mater. 2021, 267, 120976. [Google Scholar] [CrossRef]
  104. Li, Z.; Bian, Y.; Zhao, J.; Wang, Y.; Yuan, Z. Recycled concrete fine powder (RFP) as cement partial replacement: Influences on the physical properties, hydration characteristics, and microstructure of blended cement. J. Build. Eng. 2022, 62, 105326. [Google Scholar] [CrossRef]
  105. Zhan, B.J.; Xuan, D.X.; Zeng, W.; Poon, C.S. Carbonation treatment of recycled concrete aggregate: Effect on transport properties and steel corrosion of recycled aggregate concrete. Cem. Concr. Compos. 2019, 104, 103360. [Google Scholar] [CrossRef]
  106. Leemann, A.; Nygaard, P.; Kaufmann, J.; Loser, R. Relationship between carbonation resistance, mix design and exposure of mortar and concrete. Cem. Concr. Compos. 2015, 62, 33–43. [Google Scholar] [CrossRef]
  107. Leemann, A.; Pahlke, H.; Loser, R.; Winnefeld, F. Carbonation resistance of mortar produced with alternative cements. Mater. Struct. 2018, 51, 114. [Google Scholar] [CrossRef]
  108. Xu, R.; Wang, H.; Zha, Q.; Lin, J. Improving the carbonation resistance of alkali-activated slag mortars with different additives: Experimental evaluations. Construct. Build. Mater. 2023, 366, 130197. [Google Scholar] [CrossRef]
  109. Gomes, S.D.C.; Nguyen, Q.D.; Li, W.; Castel, A. Carbonation resistance of calcined clay–ground granulated blast furnace slag alkaline-activated mortar. Construct. Build. Mater. 2023, 393, 131811. [Google Scholar] [CrossRef]
  110. Singh, N.; Sharma, B.; Rathee, M. Carbonation resistance of blended mortars and industrial by-products: A brief review. Clean. Mater. 2022, 4, 100058. [Google Scholar] [CrossRef]
  111. Singh, A.; Miao, X.; Zhou, X.; Deng, Q.; Li, J.; Zou, S.; Duan, Z. Use of recycled fine aggregates and recycled powders in sustainable recycled concrete. J. Civ. Eng. 2023, 77, 107370. [Google Scholar] [CrossRef]
  112. Liang, G.; Liu, T.; Li, H.; Wu, K. Shrinkage mitigation, strength enhancement and microstructure improvement of alkali-activated slag/fly ash binders by ultrafine waste concrete powder. Compos. Part B Eng. 2022, 231, 109570. [Google Scholar] [CrossRef]
  113. Cantero, B.; Bravo, M.; De Brito, J.; Del Bosque, I.S.; Medina, C. Water transport and shrinkage in concrete made with ground recycled concrete-additioned cement and mixed recycled aggregate. Cem. Concr. Compos. 2021, 118, 103957. [Google Scholar] [CrossRef]
  114. Zhang, H.; Xiao, J.; Tang, Y.; Duan, Z.; Poon, C.S. Long-term shrinkage and mechanical properties of fully recycled aggregate concrete: Testing and modeling. Cem. Concr. Compos. 2022, 130, 104527. [Google Scholar] [CrossRef]
  115. Nežerka, V.; Havlásek, P.; Trejbal, J. Mitigating inclusion-induced shrinkage cracking in cementitious composites by incorporating recycled concrete fines. Construct. Build. Mater. 2020, 248, 118673. [Google Scholar] [CrossRef]
  116. Belkadi, A.A.; Kessal, O.; Berkouche, A.; Noui, A.; Daguiani, S.E.; Dridi, M.; Benaniba, S.; Tayebi, T. Experimental investigation into the potential of recycled concrete and waste glass powders for improving the sustainability and performance of cement mortars properties. Sustain. Energy Technol. Assess. 2024, 64, 103710. [Google Scholar] [CrossRef]
  117. Brekailo, F.; Pereira, E.; Pereira, E.; Farias, M.M.; Medeiros-Junior, R.A. Red ceramic and concrete waste as replacement of Portland cement: Microstructure aspect of eco-mortar in external sulfate attack. Clean. Mater. 2022, 3, 100034. [Google Scholar] [CrossRef]
  118. Yao, Y.; Liu, C.; Liu, H.; Zhang, W.; Hu, T. Deterioration mechanism understanding of recycled powder concrete under coupled sulfate attack and freeze–thaw cycles. Construct. Build. Mater. 2023, 388, 131718. [Google Scholar] [CrossRef]
  119. Song, X.; Ma, Y. Long-term thaumasite sulfate attack on mortar containing coral sand filler and SCMs exposed to sodium sulfate solution. Case Stud. Constr. Mater. 2023, 19, e02576. [Google Scholar] [CrossRef]
  120. Wang, D.; Zhang, Z.; Chen, R.; Wang, M.; Chen, R.; Weng, L.; Fang, L. Thaumasite sulfate attack characteristic of seawater and sea sand concrete with limestone powder in different sulfate environment at low temperature. Construct. Build. Mater. 2024, 437, 136815. [Google Scholar] [CrossRef]
  121. Ramezanianpour, A.M.; Hooton, R.D. Thaumasite sulfate attack in Portland and Portland-limestone cement mortars exposed to sulfate solution. Construct. Build. Mater. 2013, 40, 162–173. [Google Scholar] [CrossRef]
  122. Mittermayr, F.; Baldermann, A.; Kurta, C.; Rinder, T.; Klammer, D.; Leis, A.; Dietzel, M. Evaporation—A key mechanism for the thaumasite form of sulfate attack. Cem. Concr. Res. 2013, 49, 55–64. [Google Scholar] [CrossRef]
  123. Sims, I.; Huntley, S.A. The thaumasite form of sulfate attack—Breaking the rules. Cem. Concr. Compos. 2004, 26, 837–844. [Google Scholar] [CrossRef]
  124. Luo, Y.; Zhou, S.; Wang, C.; Fang, Z. Effects of cations in sulfate on the thaumasite form of sulfate attack of cementitious materials. Construct. Build. Mater. 2019, 229, 116865. [Google Scholar] [CrossRef]
  125. Zhou, Q.; Hill, J.; Byars, E.A.; Cripps, J.C.; Lynsdale, C.J.; Sharp, J.H. The role of pH in thaumasite sulfate attack. Cem. Concr. Res. 2006, 36, 160–170. [Google Scholar] [CrossRef]
  126. Hobbs, D.W.; Taylor, M.G. Nature of the thaumasite sulfate attack mechanism in field concrete. Cem. Concr. Res. 2000, 30, 529–533. [Google Scholar] [CrossRef]
  127. Rahman, M.M.; Bassuoni, M.T. Thaumasite sulfate attack on concrete: Mechanisms, factors and mitigation. Construct. Build. Mater. 2014, 73, 652–662. [Google Scholar] [CrossRef]
  128. Wang, L.; Wang, J.; Wang, H.; Fang, Y.; Shen, W.; Chen, P.; Xu, Y. Eco-friendly treatment of recycled concrete fines as supplementary cementitious materials. Constr. Build. Mater. 2022, 322, 126491. [Google Scholar] [CrossRef]
  129. Zhang, H.; Zhang, C.; He, B.; Yi, S.; Tang, L. Recycling fine powder collected from construction and demolition wastes as partial alternatives to cement: A comprehensive analysis on effects, mechanism, cost and CO2 emission. J. Build. Eng. 2023, 71, 106507. [Google Scholar] [CrossRef]
  130. Zhang, H.; Zhang, B.; Tang, L.; Zeng, W. Analysis of two processing techniques applied on powders from recycling of clay bricks and concrete, in terms of efficiency, energy consumption, and cost. Constr. Build. Mater. 2023, 385, 131517. [Google Scholar] [CrossRef]
  131. Ohemeng, E.A.; Naghizadeh, A. Alternative cleaner production of masonry mortar from fly ash and waste concrete powder. Constr. Build. Mater. 2023, 374, 130859. [Google Scholar] [CrossRef]
  132. Ohemeng, E.A.; Ekolu, S.O.; Quainoo, H.; Naghizadeh, A. Economical and eco-friendly masonry mortar containing waste concrete powder as a supplementary cementitious material. Case Stud. Constr. Mater. 2022, 17, e01527. [Google Scholar] [CrossRef]
  133. Ohemeng, E.A.; Ramabodu, M.S.; Nena, T.D. Utilization of blast furnace slag as an enhancer in masonry mortars made with thermally treated waste concrete powder. Buildings 2023, 13, 2616. [Google Scholar] [CrossRef]
  134. Xiao, J.; Hao, L.; Cao, W.; Ye, T. Influence of recycled powder derived from waste concrete on mechanical and thermal properties of foam concrete. J. Civ. Eng. 2022, 61, 105203. [Google Scholar] [CrossRef]
  135. Cantero, B.; Bravo, M.; de Brito, J.; Sáez del Bosque, I.F.; Medina, C. Thermal performance of concrete with recycled concrete powder as partial cement replacement and recycled CDW aggregate. Appl. Sci. 2020, 10, 4540. [Google Scholar] [CrossRef]
  136. Sui, Y.; Ou, C.; Liu, S.; Zhang, J.; Tian, Q. Study on properties of waste concrete powder by thermal treatment and application in mortar. Appl. Sci. 2020, 10, 998. [Google Scholar] [CrossRef]
  137. Ma, Z.; Xue, R.; Li, J.S.; Zhao, Y.; Xue, Q.; Chen, Z.; Poon, C.S. Use of thermally modified waste concrete powder for removal of Pb (II) from wastewater: Effects and mechanism. Environ. Pollut. 2021, 277, 116776. [Google Scholar] [CrossRef] [PubMed]
  138. Zhou, Z.; Xiao, J.; Ye, T.; Wang, J.; Choi, D. Influence of recycled concrete powder and CO2 curing on the properties of thermal insulation mortars. Construct. Build. Mater. 2024, 414, 134907. [Google Scholar] [CrossRef]
  139. Gao, Q.; Li, X.G.; Jiang, S.Q.; Lyu, X.J.; Gao, X.; Zhu, X.N.; Zhang, Y.Q. Review on zero waste strategy for urban construction and demolition waste: Full component resource utilization approach for sustainable and low-carbon. Construct. Build. Mater. 2023, 395, 132354. [Google Scholar] [CrossRef]
  140. He, Z.H.; Han, X.D.; Zhang, M.Y.; Yuan, Q.; Shi, J.Y.; Zhan, P.M. A novel development of green UHPC containing waste concrete powder derived from construction and demolition waste. Powder Technol. 2022, 398, 117075. [Google Scholar] [CrossRef]
  141. Kong, X.; Yao, Y.; Kai, M.; Guan, Y.; Ding, X.; Gu, Z.; Liu, J. The assessment of the mechanical and durability properties of mortar prepared with carbon dioxide-treated recycled concrete-brick powder. Construct. Build. Mater. 2025, 466, 140305. [Google Scholar] [CrossRef]
  142. Wu, Y.; Liu, C.; Liu, H.; Hu, H.; He, C.; Song, L.; Huang, W. Pore structure and durability of green concrete containing recycled powder and recycled coarse aggregate. J. Civ. Eng. 2022, 53, 104584. [Google Scholar] [CrossRef]
  143. Sivakrishna, A.; Adesina, A.; Awoyera, P.O.; Kumar, K.R. Green concrete: A review of recent developments. Mater. Today Proc. 2020, 27, 54–58. [Google Scholar] [CrossRef]
  144. Kabirifar, K.; Mojtahedi, M.; Wang, C.; Tam, V.W. Construction and demolition waste management contributing factors coupled with reduce, reuse, and recycle strategies for effective waste management: A review. J. Clean. Prod. 2020, 263, 121265. [Google Scholar] [CrossRef]
  145. Elgizawy, S.M.; El-Haggar, S.M.; Nassar, K. Approaching sustainability of construction and demolition waste using zero waste concept. Low Carbon Econ. 2016, 7, 1–11. [Google Scholar] [CrossRef]
  146. Caro, D.; Lodato, C.; Damgaard, A.; Cristóbal, J.; Foster, G.; Flachenecker, F.; Tonini, D. Environmental and socio-economic effects of construction and demolition waste recycling in the European Union. Sci. Total Environ. 2024, 908, 168295. [Google Scholar] [CrossRef]
  147. Zhang, S.; Li, Z.; Ning, X.; Li, L. Gauging the impacts of urbanization on CO2 emissions from the construction industry: Evidence from China. J. Environ. Manag. 2021, 288, 112440. [Google Scholar] [CrossRef]
  148. Liu, B.; Gao, Q.; Liang, L.; Sun, J.; Liu, C.; Xu, Y. Ecological relationships of global construction industries in sustainable economic and energy development. Energy 2021, 234, 121249. [Google Scholar] [CrossRef]
  149. Wang, H.Y.; Wang, C.C.; Chang, S.C.; Lin, J.C. A study of engineering and electricity properties of cement mortar added with recycled materials and piezoelectric powders. Constr. Build. Mater. 2016, 113, 297–305. [Google Scholar] [CrossRef]
  150. Tokareva, A.; Kaassamani, S.; Waldmann, D. Fine demolition wastes as Supplementary cementitious materials for CO2 reduced cement production. Constr. Build. Mater. 2023, 392, 131991. [Google Scholar] [CrossRef]
  151. Oliveira, D.R.B.; Leite, G.; Possan, E.; Marques Filho, J. Concrete powder waste as a substitution for Portland cement for environment-friendly cement production. Constr. Build. Mater. 2023, 397, 132382. [Google Scholar] [CrossRef]
  152. Tang, Y.; Xiao, J.; Wang, D.; Zhang, M. Effect of carbonation treatment on fracture behavior of low-carbon mortar with recycled sand and recycled powder. Cem. Concr. Compos. 2023, 142, 105178. [Google Scholar] [CrossRef]
  153. Li, C.Z.; Zhao, Y.; Xiao, B.; Yu, B.; Tam, V.W.; Chen, Z.; Ya, Y. Research trend of the application of information technologies in construction and demolition waste management. J. Clean. Prod. 2020, 263, 121458. [Google Scholar] [CrossRef]
  154. Zhang, C.; Hu, M.; Di Maio, F.; Sprecher, B.; Yang, X.; Tukker, A. An overview of the waste hierarchy framework for analyzing the circularity in construction and demolition waste management in Europe. Sci. Total Environ. 2022, 803, 149892. [Google Scholar] [CrossRef]
  155. Menegaki, M.; Damigos, D. A review on current situation and challenges of construction and demolition waste management. Curr. Opin. Green Sustain. Chem. 2018, 13, 8–15. [Google Scholar] [CrossRef]
  156. Ruiz, L.A.L.; Ramón, X.R.; Domingo, S.G. The circular economy in the construction and demolition waste sector—A review and an integrative model approach. J. Clean. Prod. 2020, 248, 119238. [Google Scholar] [CrossRef]
  157. Sáez, P.V.; Osmani, M. A diagnosis of construction and demolition waste generation and recovery practice in the European Union. J. Clean. Prod. 2019, 241, 118400. [Google Scholar] [CrossRef]
  158. Moschen-Schimek, J.; Kasper, T.; Huber-Humer, M. Critical review of the recovery rates of construction and demolition waste in the European Union—An analysis of influencing factors in selected EU countries. Waste Manag. 2023, 167, 150–164. [Google Scholar] [CrossRef]
  159. Ramos, M.; Martinho, G.; Vasconcelos, L.; Ferreira, F. Local scale dynamics to promote the sustainable management of construction and demolition waste. Resour. Conserv. Recycl. Adv. 2023, 17, 200135. [Google Scholar] [CrossRef]
  160. Bhavsar, V.; Sridharan, S.R.; Sudarsan, J.S. Barriers to circular economy practices during construction and demolition waste management in an emerging economy. Resour. Conserv. Recycl. Adv. 2023, 20, 200198. [Google Scholar] [CrossRef]
  161. Kineber, A.F.; Mostafa, S.; Ali, A.H.; Mohamed, S.; Daoud, A.O. Breaking barriers: Enhancing construction and demolition waste management in Egyptian residential projects. Clean Technol. Environ. Policy 2025, 27, 3169–3188. [Google Scholar] [CrossRef]
  162. Aftab, M.R.; Rana, M.J.; Dang, H. Investigation on the barriers to construction and demolition waste reduction practices in developing country: A case study of Bangladesh. J. Mater. Cycles Waste Manag. 2025, 27, 4685–4698. [Google Scholar] [CrossRef]
  163. da Silva, N.A.S.; Battistelle, R.A.G.; Bezerra, B.S. Barriers to the Commercialization of Construction and Demolition Waste in Brazil, Evidence to Advance Urban Circular Economy Practices. Sustainability 2026, 18, 1387. [Google Scholar] [CrossRef]
Figure 1. Recycled powder (RP) replacement levels used in mortar mixtures for water absorption by immersion under mechanical activation [42,71,72,73,74,75,76,77,78].
Figure 1. Recycled powder (RP) replacement levels used in mortar mixtures for water absorption by immersion under mechanical activation [42,71,72,73,74,75,76,77,78].
Sustainability 18 02561 g001
Figure 2. Water absorption by immersion (%) for mortar mixtures with recycled powder replacement levels below and above 30% under mechanical activation [42,71,72,73,74,75,76,77,78].
Figure 2. Water absorption by immersion (%) for mortar mixtures with recycled powder replacement levels below and above 30% under mechanical activation [42,71,72,73,74,75,76,77,78].
Sustainability 18 02561 g002
Figure 3. Recycled powder (RP) replacement levels used in mortar mixtures for capillary absorption under mechanical activation [42,73,75,77,79,86,87].
Figure 3. Recycled powder (RP) replacement levels used in mortar mixtures for capillary absorption under mechanical activation [42,73,75,77,79,86,87].
Sustainability 18 02561 g003
Figure 4. Capillary absorption coefficient as a function of recycled powder (RP) replacement level under mechanical activation [42,71,72,73].
Figure 4. Capillary absorption coefficient as a function of recycled powder (RP) replacement level under mechanical activation [42,71,72,73].
Sustainability 18 02561 g004
Figure 5. Capillary absorption coefficient as a function of recycled powder (RP) content under mechanical activation [42,73,75,77,79,86,87].
Figure 5. Capillary absorption coefficient as a function of recycled powder (RP) content under mechanical activation [42,73,75,77,79,86,87].
Sustainability 18 02561 g005
Figure 6. Distribution of thermal treatment temperatures reported in the literature with respect to capillary absorption coefficient [42,75,86,87].
Figure 6. Distribution of thermal treatment temperatures reported in the literature with respect to capillary absorption coefficient [42,75,86,87].
Sustainability 18 02561 g006
Figure 7. Effect of thermal treatment temperature on capillary water absorption of RP-based mortars [42,75,86,87].
Figure 7. Effect of thermal treatment temperature on capillary water absorption of RP-based mortars [42,75,86,87].
Sustainability 18 02561 g007
Figure 8. Effect of thermal treatment temperature on capillary water absorption for different recycled powder (RP) contents [42,75,86,87].
Figure 8. Effect of thermal treatment temperature on capillary water absorption for different recycled powder (RP) contents [42,75,86,87].
Sustainability 18 02561 g008
Figure 9. Recycled powder (RP) replacement levels used in mortar mixtures for chloride diffusion coefficient under mechanical activation [24,75,78,89,90,91].
Figure 9. Recycled powder (RP) replacement levels used in mortar mixtures for chloride diffusion coefficient under mechanical activation [24,75,78,89,90,91].
Sustainability 18 02561 g009
Figure 10. Influence of recycled powder (RP) replacement level on the chloride diffusion coefficient under mechanical activation [75,87,90].
Figure 10. Influence of recycled powder (RP) replacement level on the chloride diffusion coefficient under mechanical activation [75,87,90].
Sustainability 18 02561 g010
Figure 11. Distribution of thermal treatment temperatures reported in the literature with respect to chloride diffusion coefficient [75,87,90].
Figure 11. Distribution of thermal treatment temperatures reported in the literature with respect to chloride diffusion coefficient [75,87,90].
Sustainability 18 02561 g011
Figure 12. Influence of thermal treatment temperature of recycled powder (RP) on chloride transport in mortars [75,87,90].
Figure 12. Influence of thermal treatment temperature of recycled powder (RP) on chloride transport in mortars [75,87,90].
Sustainability 18 02561 g012
Figure 13. Recycled powder (RP) replacement levels used in mortar mixtures for carbonation depth under mechanical activation [88,91,104].
Figure 13. Recycled powder (RP) replacement levels used in mortar mixtures for carbonation depth under mechanical activation [88,91,104].
Sustainability 18 02561 g013
Figure 14. Evolution of carbonation depth over time for reference mortars containing recycled powder (RP) under mechanical activation [88,91].
Figure 14. Evolution of carbonation depth over time for reference mortars containing recycled powder (RP) under mechanical activation [88,91].
Sustainability 18 02561 g014
Figure 15. Recycled powder (RP) replacement levels used in mortar mixtures for drying shrinkage under mechanical activation [24,42,71,72,73,74,75,76,77,78].
Figure 15. Recycled powder (RP) replacement levels used in mortar mixtures for drying shrinkage under mechanical activation [24,42,71,72,73,74,75,76,77,78].
Sustainability 18 02561 g015
Figure 16. Time-dependent drying shrinkage of mortars incorporating different recycled powder (RP) replacement levels under mechanical activation [42,71,72].
Figure 16. Time-dependent drying shrinkage of mortars incorporating different recycled powder (RP) replacement levels under mechanical activation [42,71,72].
Sustainability 18 02561 g016
Figure 17. Correlation between recycled powder (RP) replacement level (%) and cost saving (%) under mechanical activation [76,80,116,129,132].
Figure 17. Correlation between recycled powder (RP) replacement level (%) and cost saving (%) under mechanical activation [76,80,116,129,132].
Sustainability 18 02561 g017
Figure 18. Correlation between recycled powder (RP) replacement level (%) and CO2 saving (%) under mechanical activation [76,80,116,129,132].
Figure 18. Correlation between recycled powder (RP) replacement level (%) and CO2 saving (%) under mechanical activation [76,80,116,129,132].
Sustainability 18 02561 g018
Table 1. Condition-dependent performance of RP as a cement replacement.
Table 1. Condition-dependent performance of RP as a cement replacement.
RP ConditionActivation
Approach
Replacement LevelStrength TrendDurability TrendMain BenefitMain Limitation
Low fineness RPNone/mild grinding≤10–15%ComparableComparable or slightly improvedFiller effectLimited reactivity
Moderate fineness RPMechanical activation15–30%Slight improvementHigher shrinkage, carbonationNucleation, packingIncreased capillary stress
High fineness RPProlonged grinding≥20%Improved early strengthReduced durability (shrinkage, carbonation)Reactivity increaseMicrocracking risk
RP calcined at 500–800 °CThermal activation10–30%ImprovedImproved chloride resistanceSecondary hydrationEnergy demand
RP calcined ≥900 °CThermal activation≥20%Strongly improvedImproved transport resistanceClinker-like phasesHigh CO2 footprint
RP + mineral SCMs (MK, SF)Blended systems20–30% (total)ImprovedImproved chloride and sulfate resistanceSynergistic pozzolanicityCost/availability
RP + nano-additivesNano-activation≤3% additiveImprovedImproved permeabilityPore refinementShrinkage sensitivity
Table 2. Comparative assessment of recycled powder activation methods in terms of energy demand, cost, scalability, and environmental impact.
Table 2. Comparative assessment of recycled powder activation methods in terms of energy demand, cost, scalability, and environmental impact.
Activation MethodEnergy DemandRelative CostScalabilityEnvironmental ImpactMain AdvantagesKey Limitations
Mechanical activation (grinding)Low–moderateLowHighLow–moderateSimple processing, widely availableExcessive fineness increases shrinkage
Thermal activation (500–800 °C)ModerateModerateModerate–highModerateImproved reactivity and durabilityAdditional energy input
Thermal activation (≥900 °C)Very highHighLowHighStrong phase reactivationUndermines low-carbon objective
Chemical/alkali activationModerateHighLow–moderateVariableDense microstructure, low permeabilityCost, handling, long-term durability
Nano-activation (e.g., nano-SiO2)Low (material-level)HighLowModerateStrong pore refinementAgglomeration, high material cost
Mineral blending (MK, SF)LowModerateHighLowProven synergy, industrial maturityAvailability, added cost
Disclaimer/Publisher’s Note: The statements, opinions and data contained in all publications are solely those of the individual author(s) and contributor(s) and not of MDPI and/or the editor(s). MDPI and/or the editor(s) disclaim responsibility for any injury to people or property resulting from any ideas, methods, instructions or products referred to in the content.

Share and Cite

MDPI and ACS Style

Kaptan, K.; Cunha, S.; Aguiar, J. Durability Behavior of Portland Cement Mortars with Recycled Powder from Concrete Waste as a Cement Partial Replacement: A Review. Sustainability 2026, 18, 2561. https://doi.org/10.3390/su18052561

AMA Style

Kaptan K, Cunha S, Aguiar J. Durability Behavior of Portland Cement Mortars with Recycled Powder from Concrete Waste as a Cement Partial Replacement: A Review. Sustainability. 2026; 18(5):2561. https://doi.org/10.3390/su18052561

Chicago/Turabian Style

Kaptan, Kubilay, Sandra Cunha, and José Aguiar. 2026. "Durability Behavior of Portland Cement Mortars with Recycled Powder from Concrete Waste as a Cement Partial Replacement: A Review" Sustainability 18, no. 5: 2561. https://doi.org/10.3390/su18052561

APA Style

Kaptan, K., Cunha, S., & Aguiar, J. (2026). Durability Behavior of Portland Cement Mortars with Recycled Powder from Concrete Waste as a Cement Partial Replacement: A Review. Sustainability, 18(5), 2561. https://doi.org/10.3390/su18052561

Note that from the first issue of 2016, this journal uses article numbers instead of page numbers. See further details here.

Article Metrics

Back to TopTop