Next Article in Journal
Exploring Sustainable Rural Materiality in Remote Areas: A Geographical Perspective of Ten Years of Research
Next Article in Special Issue
Partner Business Model Alignment for Mitigating Operational Conflicts in Exploitation Alliance: Evidence from Chinese Residential Joint Ventures
Previous Article in Journal
Sustainable Supply Chain Management: Optimal Entry Strategies for Marine Plastic Recycling
Previous Article in Special Issue
When Sustainable Management Governs Innovation: How Social and Environmental Dimensions Amplify the Entrepreneurship–Performance Link Through Technological Innovation
 
 
Font Type:
Arial Georgia Verdana
Font Size:
Aa Aa Aa
Line Spacing:
Column Width:
Background:
Article

Resilience and Power Allocation for Sustainable Enterprises in Crisis

School of Economics and Management, Shanghai Institute of Technology, Shanghai 200235, China
*
Author to whom correspondence should be addressed.
Sustainability 2026, 18(4), 2032; https://doi.org/10.3390/su18042032
Submission received: 14 December 2025 / Revised: 29 January 2026 / Accepted: 10 February 2026 / Published: 16 February 2026

Abstract

Identifying which power allocation patterns best enable firms to withstand external shocks and achieve sustainable development remains a central concern in crisis management. Drawing on data from Chinese A-share listed companies between 2018 and 2023, this study empirically investigates the mechanisms through which power distribution influences Enterprise Resilience (ER). It further explores how business strategies and innovation demand moderate this relationship. The study finds that decentralized decision-making authority significantly enhances ER during crises. Moreover, both Prospector business strategies and innovation demand positively and significantly strengthen the relationship between degree of power decentralization (DEC) and ER. These findings offer theoretical contributions and practical insights for firms seeking to develop sustainable, resilient, dynamic, and adaptive power allocation systems in times of crisis.

1. Introduction

Against the backdrop of intensifying global uncertainty and sustainability challenges, enterprises are increasingly confronted with systemic and persistent external shocks, such as geopolitical tensions and technological decoupling. Since the escalation of the Sino–US trade and technology conflicts in early 2025, Chinese firms have faced mounting pressures arising from restricted exports, elevated technological barriers, and intensified international competition. Under such conditions, the ability to maintain stable operations and recover from disruptions has become critical for sustainable development. As a result, enterprise resilience (ER)—defined as the capacity to absorb shocks, adapt to changing conditions, and recover while preserving core functions—has emerged as a central concern for both scholars and practitioners concerned with sustainable corporate governance and management [1].
Importantly, unlike traditional economic downturns or exogenous shocks that are typically short-lived and cyclical, the Sino–US trade and technology conflicts represent a prolonged, structurally embedded form of crisis. These conflicts are characterized by persistent policy uncertainty, selective technological blockades, and fragmented global value chains, rather than temporary demand or supply shocks. Under such conditions, firms operate within fundamentally altered information-processing environments, characterized by asymmetric, rapidly evolving, and locally dispersed information, thereby posing unprecedented challenges to corporate governance and decision-making structures.
A substantial body of research has examined the antecedents of ER, primarily focusing on organizational resources, strategies, and managerial characteristics [2,3,4]. However, far less attention has been paid to governance structures and decision-making patterns that shape how these resources are mobilized during crises. Because crisis response fundamentally depends on timely information processing and coordinated action, governance design may critically shape firms’ resilience. Yet this structural dimension remains underexplored, particularly in highly uncertain environments.
Power allocation patterns are typically classified as centralized or decentralized according to the dispersion of decision-making authority. Centralization promotes control and coordination [5], whereas decentralization (DEC) enhances flexibility and local responsiveness [6]. However, most evidence is derived from stable operating environments. When firms face external crises, the simultaneous need for unified coordination and rapid local adaptation creates a tension between these two governance modes. This raises a fundamental research question with important implications for sustainable enterprise development: Which power configuration model can genuinely enhance ER, enabling it to withstand the impacts of crises and adapt to new environmental changes? Is the mechanism of action context-dependent?
To address these gaps, this study investigates the underlying mechanisms through which power allocation patterns shape ER in the context of overlapping external shocks—most notably the Sino–US trade war and the escalating technology conflict. Using a sample of Chinese A-share listed firms from 2018 to 2023, it further examines how innovation demand and Prospector strategy moderate the relationship between power allocation and ER. By explicitly linking governance structure to ER from a sustainability-oriented perspective, this study extends the literature on the antecedents of ER and offers governance insights for firms seeking to enhance long-term viability and sustainable development under systemic external risks.
The remaining sections are structured as follows: Section 2 presents the literature review and hypothesis development. Section 3 describes the methodology. Section 4 reports the results. Section 5 further analyzes heterogeneity. Finally, Section 6 presents the conclusions, implications, and limitations.

2. Literature Review and Hypothesis Development

2.1. Enterprise Resilience (ER)

Enterprise resilience is a fundamental concept in management. Its theoretical roots trace back to ecology, where Holling [7] originally defined resilience as “the ability of a system to absorb disturbances and maintain its core functions.” Subsequent studies have extended this concept into the social sciences. Currently, ER is mainly defined from three perspectives. From the capability perspective, it refers to an organization’s ability to withstand external shocks and restore its original structure after disruption [4], thereby safeguarding organizational continuity and long-term viability. The process perspective characterizes resilience as a dynamic and gradual adaptive evolution to cope with challenges [8], emphasizing continuous adaptation as a foundation for sustainable development. The outcome perspective emphasizes the state of achieving effective adaptation and survival in the face of adversity [9], reflecting a sustainable equilibrium between stability and change. While ER fundamentally reflects a dynamic and adaptive capability that unfolds through organizational processes, such capabilities are inherently latent and difficult to observe directly in large-sample research. Therefore, following the outcome-based tradition in archival studies, we capture resilience through firms’ demonstrated ability to maintain stability and restore growth under external shocks, treating observable financial indicators as manifestations of these underlying adaptive processes.
As scholarly interest in ER continues to grow, existing research has examined its determinants from multiple perspectives. From an external organizational standpoint, prior studies have shown that actively fulfilling external social responsibilities enhances an organization’s capacity to cope with long-term challenges [10]. Complementary research further indicates that building and leveraging relationships with external stakeholders constitutes a critical pathway for strengthening ER [4]. With regard to internal organizational factors, scholars adopting a resource-based perspective argue that redundant resources serve as an essential buffer against external shocks and provide the material foundation necessary for subsequent recovery [11]. At the strategic level, existing analyses suggest that firms can bolster their resilience by making flexible adjustments in areas such as R&D and marketing [12]. Moreover, research on top management teams highlights that executive heterogeneity influences how organizations interpret crises and formulate strategic responses, underscoring the role of individual managerial characteristics in shaping organizational reactions to external shocks [13].
Although the aforementioned studies examine the antecedents of ER from the perspectives of resources, strategies, individual characteristics, and cognition, the effectiveness of these factors ultimately depends on an organization’s structural design. Such structural design, in turn, is fundamentally shaped by its power allocation patterns, which influence the efficiency of resource deployment, the processes through which strategies are executed, the transmission of leadership intent, and the flow of information and cognition across organizational units. From a sustainability-oriented governance perspective, an inappropriate power allocation arrangement may weaken not only immediate crisis response but also an organization’s capacity for long-term adaptation and sustainable development. Therefore, it is necessary to undertake a deeper investigation into the mechanisms through which power allocation patterns shape ER.

2.2. Power Allocation Pattern

The power allocation pattern, defined as the distribution and coordination of authority across different organizational levels and actors, is a classic topic in organizational theory, corporate governance, and strategic management [14]. Its core concern lies in the degree to which decision-making authority is dispersed across organizational hierarchies. Power allocation patterns can be classified into two fundamental types based on the degree of decentralization: centralized and decentralized. Existing research primarily focuses on comparing the effectiveness of centralization and DEC, giving rise to two seemingly opposing perspectives. Some scholars argue that concentrating decision-making authority in the hands of senior managers facilitates unified resource allocation, rapid transmission of directives, and a high degree of consistency in operational standards [15]. In stable market environments, the command-and-control model can enhance operational efficiency by leveraging economies of scale, reducing internal friction, and ensuring consistent strategic execution, thereby exerting a positive influence on firm performance.
Conversely, other studies suggest that granting greater autonomy to subordinate business units or departments enables organizations to operate closer to the market, thereby facilitating more flexible responses to localized demands, stimulating innovation, and accelerating their responsiveness to emerging opportunities and threats [16,17]. To reconcile these opposing views, some scholars further contend that the relationship between DEC and performance is not a simple positive linear one. Instead, they propose a more nuanced “inverted U-shaped relationship,” suggesting that institutional design should seek an appropriate balance between centralization and DEC [18].
Although existing studies have extensively examined how power allocation patterns affect firms under normal conditions, a significant research gap remains concerning how heterogeneity in these patterns influences ER when firms encounter external crises marked by extreme uncertainty, such as financial crises, global pandemics, or supply chain disruptions.

2.3. Power Allocation Pattern and Enterprise Resilience

Building upon a clarification of the conceptual framework of ER, existing research has gradually shifted its focus toward analyzing its dynamic processes. Scholars generally agree that ER does not emerge overnight, but rather, it manifests as a continuous process that encompasses crisis anticipation and preparedness, crisis response and management, and post-crisis learning and transcendence [1].
To more systematically explain how organizational structures shape this process, we draw on dynamic capability theory, which posits that firms sustain a competitive advantage under environmental turbulence by developing higher-order capabilities to sense opportunities and threats, seize critical resources, and reconfigure organizational assets [19]. These three dimensions provide a coherent theoretical lens for understanding how DEC influences ER. Specifically, we argue that DEC enhances ER by strengthening firms’ sensing, seizing, and reconfiguring capabilities throughout the crisis lifecycle.
In the pre-crisis stage, the emphasis is on the sensing capability—proactively identifying risks and preparing strategic defenses. The decentralized organizational structure enables the real-time capture of fragmented market signals [20] and shortens communication chains through a flattened decision-making hierarchy [21]. This allows organizations to rapidly detect shifts in the external environment. Simultaneously, dispersed decision-making authority facilitates the timely activation of contingency plans and the efficient integration of resources. Moreover, DEC fosters a culture of devolved responsibility [22], which encourages middle and frontline managers to proactively identify emerging risks and develop innovative solutions. This approach empowers teams to take initiative in technology research and customer needs analysis [23], rather than passively waiting for directives from top management. This cultural orientation fosters an enterprise-wide early warning mechanism, reducing dependence on a single layer of decision-makers.
During the crisis, the critical capability shifts to seizing—responding adaptively and reallocating resources swiftly. In the face of a rapidly changing external environment, DEC offers key advantages, including bidirectional information flow [24] and dynamic decision-making. Autonomy at the frontline enables teams to adjust their actions in real time based on situational changes. Simultaneously, the dispersion of authority helps mitigate systemic risks arising from potential decision-making errors by senior management. [25]. Moreover, DEC fosters a sense of psychological empowerment among employees [26], which not only helps alleviate crisis-induced anxiety but also motivates individuals to proactively take on unconventional tasks and engage in knowledge sharing.
In the post-crisis phase, the focus turns to reconfiguring resources for recovery and learning. The self-directed learning culture fostered by DEC becomes a key driver in building a learning organization [27]. Operational teams conduct reflective reviews based on contextualized experience, while senior management undertakes strategic evaluations, creating a bidirectional feedback loop. This dynamic shifts the organization from a passive emergency response to proactive learning [28], ultimately enhancing organizational capabilities and driving performance breakthroughs.
It is important to acknowledge, however, that DEC may also introduce certain costs and risks. These include heightened coordination challenges, potential goal diversification across subunits, and the risk of inconsistent responses when integration mechanisms are weak. In particular, without strong incentive alignment and information sharing systems, decentralized decision-making may lead to efforts that are locally efficient but globally suboptimal.
Notwithstanding these potential costs, we argue that the dynamic capabilities enabled by DEC, such as enhanced sensing, seizing, and reconfiguring, play a dominant role in building ER, particularly in high-velocity environments requiring rapid adaptation. Based on this discussion, the first hypothesis is proposed:
H1. 
DEC is positively associated with ER.

2.4. The Moderating Role of Business Strategy

In response to changes in the external environment, enterprises need to choose flexible strategies and allocate their internal resources effectively [29]. Miles and Snow [30] detail three viable business strategies that may exist simultaneously within industries—Prospectors, Defenders, and Analyzers. Prospectors are more inclined to explore new markets or develop differentiated products to pursue rapid growth. They also tend to diversify their development strategies. Compared to Defenders, Prospectors are generally more responsive to external pressures and more effective in utilizing resources [31]. At the same time, the Prospectors strategy promotes a high degree of focus on specific goals among all employees, which mitigates the fragmentation of goals that can occur in a decentralization system.
According to Organizational Information Processing Theory, firms must possess adequate information processing capacity to meet the demands of analyzing large volumes of complex data [32]. When a crisis hits, the Prospectors strategy is often accompanied by information overload. At this time, a decentralization model, which is a distributed information processing mechanism, can effectively improve the enterprise’s use of information and reduce distortion between headquarters and the front line. For Prospectors, DEC better enables the rapid translation of information into action, thereby reducing the risk of decision-making errors caused by information delays.
Moreover, Dynamic Capability Theory emphasizes that firms must be able to respond swiftly to changes in the external environment and quickly reconfigure their resources and capabilities to remain competitive in a dynamic market [19]. When a crisis strikes, Prospectors often encounter greater market competition and higher levels of pressure than Defenders [33]. This requires the ability to quickly identify competitive threats and market opportunities, as well as the ability to continuously adjust resource allocation. DEC enhances organizational responsiveness by shortening the “risk perception–resource deployment” chain. It enables frontline teams to rapidly mobilize available resources in response to locally sourced information.
DEC may also pose challenges, of course. For example, departments may act opportunistically to pursue their own interests, which could trigger conflicts between local and overall interests. However, organizations adopting the Prospector strategy typically have clear goals. Such a strong strategic focus enables decentralized units to make decisions that focus more on overall objectives, thereby reducing interdepartmental short-sightedness and conflicts of interest [34]. This enables local decisions to organically align with the broader interests of the organization, thereby enhancing consistency between top-level strategy and departmental implementation. Based on the above discussion, this paper postulates a second hypothesis:
H2. 
The Prospector business strategy positively moderates the correlation between DEC and ER.

2.5. The Moderating Role of Innovation Demand

The impact of DEC on ER can vary by industry. Specifically, industries with a high demand for innovation require greater innovation capabilities. According to the knowledge-based view, the core of an enterprise’s innovation capability lies in its ability to acquire, integrate, and apply both tacit and explicit knowledge. In industries with high demands for innovation, technological complexity requires real-time interaction of knowledge from different sources [35]. DEC is akin to building a well-connected “information superhighway” that breaks down “information silos” between departments, allowing knowledge to flow quickly. This improves the efficiency of knowledge matching and gives rise to disruptive technologies that transform industry patterns. DEC makes information flow easier, but it also leads to the fragmentation of knowledge distribution [36]. Tacit knowledge is usually attached to individuals or small groups [37]. Innovation-oriented enterprises tend to focus on mining tacit knowledge. However, high innovation demand pushes these enterprises to invest in knowledge integration capabilities. This, in turn, stimulates them to build cross-departmental knowledge-sharing platforms that transform dispersed tacit experiences into reusable explicit knowledge bases. This integration capability allows decentralized units to maintain agile autonomous decision-making while optimizing actions based on comprehensive organizational knowledge. By avoiding trial and error, it facilitates the rapid diffusion of local innovations into systemic resilience.
Additionally, psychological research has found that work motivation and creativity increase when people’s sense of autonomy, competence, and belonging is fulfilled [38]. DEC fosters a culture that promotes self-directed exploration by empowering employees with greater decision-making autonomy. In such an environment, employees no longer passively perform tasks but instead take the initiative to experiment with new methods and technologies, tap into the infinite possibilities of knowledge combinations, and accumulate knowledge reserves for the enterprise to cope with risks. In line with this discussion, the following hypothesis is proposed:
H3. 
Innovation demand positively moderates the linkage between DEC and ER.

3. Methodology

3.1. Sample and Data

This paper utilizes A-share listed corporations in China from 2018 to 2023 as the study sample. Since 2018, the trade war and war of science and technology between China and the United States have continued to intensify. Coupled with the outbreak of the novel coronavirus, this provides an appropriate research context for this paper. All data in this paper can be obtained from the China Stock Market & Accounting Research Database (CSMAR), and the econometric analysis was performed using Stata17. The sample selection process involved several stages: excluding firms in the financial and insurance sectors due to their distinct financial reporting characteristics, removing firms under special treatment (e.g., PT or ST status) or those with insolvency issues, and eliminating observations with missing critical variables. This process yielded 5892 firm-year observations. All continuous variables were Winsorized at the 1% level on both ends to enhance analytical robustness and mitigate potential estimation biases from outliers.

3.2. Measures

3.2.1. Enterprise Resilience (ER)

The measurement of ER can be broadly divided into two categories. The first involves direct measurement, which designs tests and constructs multidimensional scales based on the concept and key characteristics of ER. The second type is indirect measurement, in which key financial indicators are extracted from publicly available data and measured indirectly using appropriate evaluation methods and models.
Following the core definition of ER as the capacity to absorb shocks (resistance) and to adapt/recover (recovery), this study conceptualizes it through two complementary financial dimensions: low financial volatility (volatility) and high long-term performance growth (growth). The volatility dimension captures the firm’s ability to withstand the immediate impact of a crisis, where lower fluctuation in financial performance indicates a stronger buffering capacity. Conversely, the growth dimension reflects the firm’s ability to adapt and recover over the long term, signaling successful post-crisis adjustment and sustainable development. Using indirect measures based on these two dimensions avoids subjectivity and enhances operationalizability for large-sample studies [10].
Therefore, this study follows the approach of Ortiz-de-MandoJana [10], integrating these two components into a composite ER index. To avoid subjective bias in determining the relative importance of volatility and growth, we employ the entropy weight method to calculate the composite score. This objective weighting technique assigns weights based on the amount of information (disorder) each indicator provides in the dataset; a higher weight is given to an indicator if it demonstrates greater variation across firms, implying it has a stronger discriminative power in assessing resilience (see Appendix A for a brief description of the procedure). The composite ER score thus provides a balanced and data-driven reflection of a firm’s overall resilience.

3.2.2. Decentralization (DEC)

Decentralization (DEC) is conceptualized as the extent to which decision-making authority is dispersed throughout the organization. From a governance perspective, formal governance structures constitute the institutional foundation that shapes the allocation of decision rights and the degree of operational autonomy. Although governance characteristics do not directly capture day-to-day managerial decisions, they systematically influence whether authority is concentrated at the top or delegated to lower organizational levels.
Consistent with the logic of vertical alignment [39], governance arrangements set the “tone at the top” and create institutional norms that either encourage or constrain delegation. When control is dispersed among shareholders and board members, CEO dominance is reduced and decision rights are more likely to be allocated to agents with specialized local knowledge, thereby mitigating agency costs and information overload [40,41]. Accordingly, governance attributes can serve as theoretically appropriate proxies for a firm’s propensity toward DEC.
Following the methodology of Blagoeva et al. [42] and Zhang et al. [43], a composite indicator of DEC is constructed by utilizing principal component analysis (PCA) on five governance-related variables: (1) whether the CEO and Chairman are the same person, (2) board size, (3) proportion of inside directors, (4) ratio of the second- to tenth-largest shareholders’ shareholding to the largest shareholder’s shareholding, and (5) management’s shareholding ratio.
PCA is employed to extract a single, latent factor (the first principal component, PC1) that captures the common variance shared by these five governance features. This factor provides a statistical summary of the underlying governance structure.
The construction of a theoretically meaningful index, however, requires careful interpretation of the resulting factor scores. Our theoretical construct posits that a higher value of the DEC variable should indicate a greater intensity of decentralized decision-making authority. To interpret the initial PC1 score, we examined the factor loadings—the correlations between each variable and the latent factor. The pattern of these loadings revealed that governance attributes associated with power concentration (e.g., CEO duality, which is a hallmark of centralized authority, loaded positively on the initial PC1) contributed positively to the initial PC1 score. This indicated that a higher score on the initial PC1 was associated with a more centralized power structure.
Therefore, to align the measure with our theoretical definition of DEC, we inverted the sign of the PC1 scores. DEC is thus calculated as:
D E C = P C 1

3.2.3. Business Strategy (STR)

The three business strategies proposed by [30] have been widely accepted. This study adopts [44]’s framework, which is constructed with the following six dimensions of indicators: (1) the propensity to search for new products (R&D expense to sales), (2) the ability to produce and distribute products and services (number of employees to sales), (3) historical growth or investment opportunities (percentage of change in total sales), (4) focus on exploiting new products and services (SG&A to sales), (5) organizational stability (fluctuations of employees, standard deviation of number of employees over a five-year period), and (6) commitment to technological efficiency (PPE to total assets). The strategy score ranges from 0 to 24, with a high (low) strategy score representing a strategy that is closer to the Prospector (Defender) end of the strategy continuum. A score in the middle range represents an Analyzer strategy.

3.2.4. Innovation Demand (INNO)

Following the classification by [45], this study identifies ten high-innovation-demand industries based on the 2012 industry classification standard issued by the China Securities Regulatory Commission (CSRC): petroleum and natural gas extraction (B07), professional and auxiliary mining activities (B11), petroleum processing, coking, and nuclear fuel processing (C25), pharmaceutical manufacturing (C27), chemical fiber manufacturing (C28), non-metallic mineral products (C30), specialized equipment manufacturing (C35), instrument manufacturing (C40), software and information technology services (I65), and ecological protection and environmental governance (N77) [46]. The variable for innovation demand is assigned a value of 1 if the firm belongs to one of the above-mentioned industries, and 0 otherwise.

3.2.5. Control Variables

To control for the influence of other factors on the data and regression results, this study refers to [43,47,48,49] and other scholars. It includes the following variables as controls: firm size (SIZE), return on assets (ROA), fixed asset ratio (FAR), Tobin’s Q (TQ), leverage (LEV), and capital intensity (CI). The names and definitions of the relevant variables are shown in Table 1

3.3. Methods

To test the effect of DEC on ER and the moderating effect of strategy and the innovation demand in between, this study employs an individual fixed effects model as follows:
E R i t = α 0 + α 1 D E C i t + α j C o n t r o l s i t + F I R M F E + ε i t
where ERit denotes enterprise resilience of firm i in year t; DECit signifies decentralization of firm i in year t; Controls represents a series of control variables, including SIZE, ROA, FAR, LEV, TQ, and CI; and FIRM represents the firm fixed effect. It is worth mentioning that this study also conducts Hausman tests, to corroborate that the use of fixed effects is more appropriate than the utilization of random effects; the residual term is denoted by εit. Our primary focus is on the coefficient α1 in Equation (1). A statistically significant α1 indicates that DEC contributes to enhancing ER.
In addition, we further introduce business strategies and innovation demand as moderating variables to examine how DEC impacts ER.
E R i t = β 0 + β 1 D E C i t + β 2 S T R i t + β 3 D E C i t × S T R i t + β j C o n t r o l s i t + F I R M F E + τ i t
E R i t = γ 0 + γ 1 D E C i t + γ 2 I N N O i t + γ 3 D E C i t × I N N O i t + γ j C o n t r o l s i t + F I R M F E + θ i t
where the variables STRit and INNO it denote strategy score of firm i in year t and whether firm i is in a high-innovation-demand industry in year t, respectively. If β3 and γ3 in Equations (2) and (3) are statistically significant, it is corroborated that business strategy and innovation demand can play a significant moderating role in the nexus between DEC and ER.

4. Empirical Results

4.1. Descriptive Statistics

Table 2 presents the descriptive statistics for the variables. The mean value of ER is 0.52, with a standard deviation of 0.24, indicating considerable variation in resilience across enterprises. The mean value of DEC is 0.13, with a standard deviation of 0.51, suggesting significant differences in the level of DEC among firms. The distributions of the other variables fall within reasonable ranges.

4.2. Correlation Analysis

Table 3 presents the correlation analysis for the main variables. The Pearson correlation coefficient between DEC and ER is 0.055, which is significant at the 1% level, indicating a positive relationship between DEC and ER. The VIF test results show that all variables have VIF values below 10, indicating that multicollinearity is not a serious concern in this analysis.

4.3. Baseline Regression Analysis

This paper employs a Hausman test to assess whether the individual effects in the model are correlated with the explanatory variables. The Chi2 value of the test is 155.05 (p = 0.000), leading to the use of an individual fixed effects model for hypothesis testing. Table 4 presents the results of the baseline regression analysis. The first two columns examine the relationship between DEC and ER. Initially, Model 1 considers only time and individual fixed effects, while Model 2 further incorporates control variables. Model 2 presents the results of a main-effects regression, where the coefficient for DEC is significantly positive (β = 0.124, p < 0.01), indicating that DEC has a significant positive effect on ER. Therefore, hypothesis H1 is supported.
It is noteworthy that the R2 of our fixed-effects model is relatively modest, which is commonly observed in studies utilizing firm-level panel data. In social science research, linear models often exhibit limited explanatory power due to the complexity of the subjects under study and the influence of unobserved variables, making low R2 values (sometimes even below 0.1) a frequent occurrence [50]. Our core conclusions are therefore grounded in statistically significant coefficient estimates rather than the overall goodness-of-fit of the model.
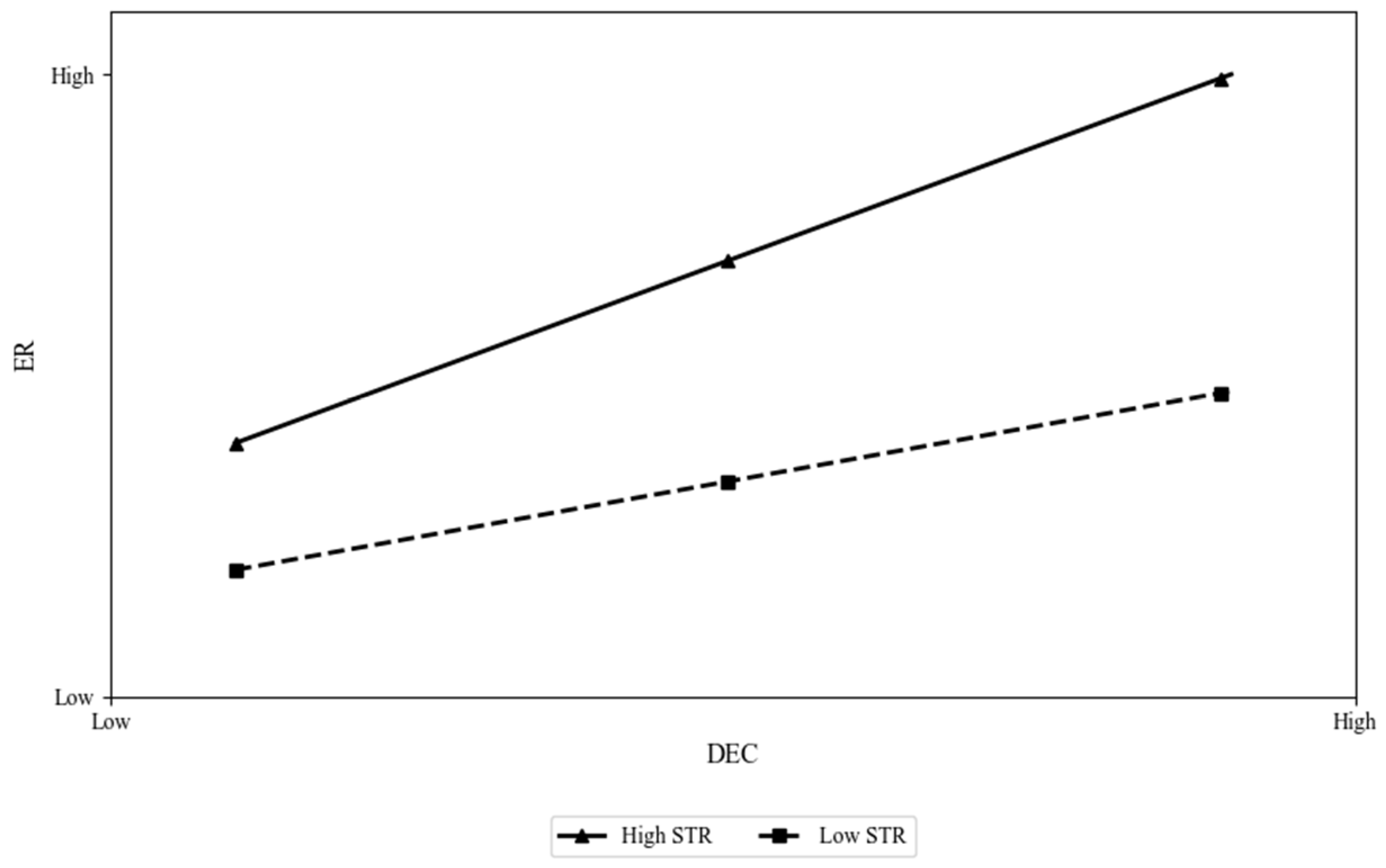
The estimation results of Model 3 in Table 4 reveal the moderating effects of STR. Notably, while the main effect of STR on ER is significantly negative (β = −0.014, p < 0.01), the coefficient for the interaction term STR × DEC is significantly positive (β = 0.012, p < 0.01). This pattern suggests a nuanced contingency: although pursuing a Prospector strategy may inherently impose costs on ER, it simultaneously creates a context where the value of decentralized decision-making is greatly amplified (see Figure 1). Thus, the Prospector strategy significantly strengthens the positive relationship between DEC and ER, providing support for hypothesis H2.
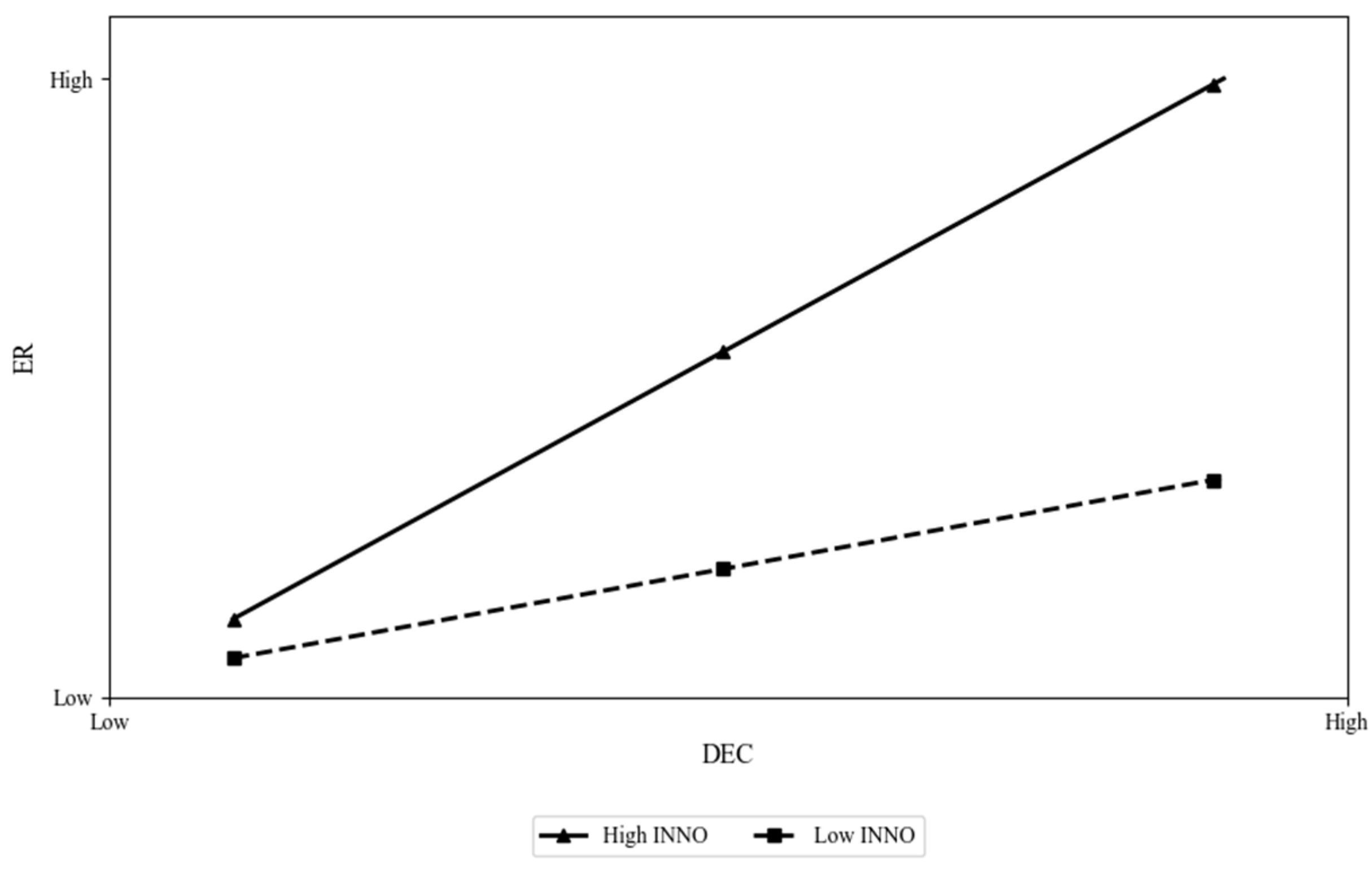
Table 4, Model 4, presents the moderating effects of INNO. The positive coefficient for INNO × DEC (β = 0.109, p < 0.05), as shown in Figure 2, indicates that enterprises in industries with high innovation demands can strengthen the positive relationship between DEC and ER. Therefore, hypothesis H3 is supported.

4.4. Robustness Test

4.4.1. Endogeneity Analysis: IV Method

This paper employs the Instrumental Variables (IV) method, which uses external variables that are correlated with the endogenous variables but uncorrelated with the error term, to mitigate endogeneity issues arising from reverse causality and obtain unbiased causal inferences. Drawing on the work of [51], this paper uses the mean DEC of other companies in the same industry and year, but located in different provinces (Industry Mean) as an instrumental variable for DEC. Companies within the same industry possess similar characteristics and face similar operational risks regardless of location, thus satisfying the relevance condition. Furthermore, the Industry Mean satisfies the exogeneity condition, as DEC of other firms in the same industry in other provinces does not directly affect the ER of the focal firm. Table 5, Models 5 and 6, present the estimation results of the instrumental variable tests. Both the KP-LM and KP-F statistics exceed the empirical threshold of 10, indicating no concerns of weak instruments or insufficient identification. Based on the results in Model 6, the coefficient of DEC remains positively significant, further underscoring the robustness of the baseline regression estimations.

4.4.2. Additional Robustness Tests: Replacement of the Independent Variable

To strengthen the reliability of the above findings, this paper conducts a robustness test by replacing the independent variable. According to [42], the longer the CEO tenure, the lower the DEC. Building on the five indicators—whether the CEO and Chairman are the same person, board size, the proportion of inside directors, equity dispersion, and management shareholding—we introduce a new variable, CEO tenure. Principal component analysis is then performed on these six indicators. The results are inverted to derive the new composite indicator of decentralization intensity (DEC2). As shown in Table 6, Models 7–10, the regression results remain robust after these adjustments.

5. Further Analysis

To further explore the potential heterogeneity in the relationship between DEC and ER, this paper analyzes ownership structure and geographical location.

5.1. Analysis of Ownership Heterogeneity

Differences in ownership structure may result in variations in goal orientation, resource allocation, and incentive mechanisms. As a result, the effects of DEC may also vary. In this paper, enterprises are classified based on their ownership structure into state-owned (SOE) and non-state-owned (non-SOE) categories. A dummy variable is created for ownership type, where 1 represents state-owned enterprises and 0 represents non-state-owned enterprises. This variable is then used in separate regressions for state-owned and non-state-owned enterprises.
According to the results in Table 7, Models 11 and 12, the DEC coefficients are significant for non-SOEs but not for SOEs. The divergent impact of DEC on SOEs and non-SOEs can be effectively interpreted through the lens of institutional theory, specifically the concept of competing institutional logics. SOEs in China operate under a dominant state logic, which prioritizes socio-political objectives such as maintaining employment, ensuring social stability, and fulfilling government policy mandates. This logic creates a complex institutional environment where performance is evaluated against multiple, often conflicting, criteria.
Consequently, even when decision-making authority is formally decentralized within an SOE, the actions of empowered middle managers remain heavily constrained by the pervasive state logic. Their autonomy is directed towards mitigating political risks and adhering to administrative directives, rather than pursuing purely economic resilience. This logic displacement diminishes the effectiveness of DEC in enhancing operational flexibility and rapid market response, which are core to the economic resilience measured in this study.
In contrast, non-SOEs primarily operate under a market logic, where the paramount goals are economic efficiency and profit maximization. Within this simpler and more coherent institutional environment, DEC functions as theorized: it empowers managers to respond swiftly to market signals, reallocate resources efficiently, and pursue opportunities for recovery and growth. The alignment between the market logic and the economic objective of resilience allows DEC to fully unleash its adaptive potential in non-SOEs.

5.2. Analysis of Regional Heterogeneity

Due to regional differences in economic development and policy support, the impact of DEC on ER may vary. In this paper, enterprises are categorized into the eastern region (EAST) and the central-western region (MID-WEST) based on their geographic locations. A dummy variable is created for region, where 1 represents the EAST and 0 represents the MID-WEST. Regression analysis is conducted on enterprises grouped by region to explore how geographic location influences the results.
According to the results in Table 7, Models 11 and 12, DEC coefficients for enterprises in both the eastern and central-western regions are significantly positive. However, the Chow test results show a p-value of 0.883, indicating no significant difference in the coefficients between the groups. This suggests that there is no regional heterogeneity in the positive impact of DEC on ER. The consistency of decentralization’s benefits across regions reflects the powerful role of coercive isomorphism within China’s institutional environment. Despite regional disparities in economic development, Chinese firms in both the developed eastern regions and the less-developed central and western regions face strong nationwide institutional constraints.
Relatively homogeneous institutional constraints at the national level may outweigh the influence of weaker and more heterogeneous institutional conditions at the regional level. The crisis events examined in this study—such as the trade war and technological decoupling—were national in scope and largely shaped by centralized policy responses. Therefore, the mechanism through which DEC enhances ER may function as a broadly effective governance arrangement that transcends regional disparities, operating consistently within China’s overarching national institutional framework.

6. Conclusions and Discussion

6.1. Conclusions

This paper examines the impact of external crises, such as the US–China trade and technology wars and the COVID-19 pandemic, on ER. Using Chinese A-share listed companies from 2018 to 2023 as the research sample, the study empirically tests the influence of DEC on ER in crisis situations. The findings are as follows: (1) DEC positively promotes ER in times of crisis. By flattening decision-making hierarchies, DEC reduces the layers of information transmission, facilitates cross-departmental information flow, and enhances the dynamic adaptability of resource allocation. Additionally, DEC fosters an autonomous learning culture, stimulating employees’ intrinsic motivation for innovation and communication. It also strengthens risk early warning, dynamic response, and organizational learning capabilities, thereby enhancing ER. (2) The Prospector strategy strengthens the positive relationship between DEC and ER. Enterprises that adopt a Prospector strategy emphasize proactive expansion and diversification, requiring higher information processing and dynamic response capabilities. Without a compatible governance structure, however, this strategy may expose the firm to heightened vulnerability during crises. In such times, DEC, as a distributed information processing mechanism, improves information utilization efficiency, shortens response time, and reduces interdepartmental conflicts, thereby aligning strategy and execution more effectively. This makes the effect of DEC on ER more pronounced under a Prospector orientation. (3) Innovation demands strengthen the positive relationship between DEC and ER. Higher innovation demands require firms to enhance knowledge sharing and information exchange, which in turn drives investment in knowledge-sharing and integration platforms. DEC breaks down information silos, facilitating rapid knowledge flow and improving knowledge matching efficiency, while converting fragmented knowledge into systemic assets. This study deepens the contextualized understanding of the effectiveness of power allocation patterns by situating the analysis within external crisis environments. It clearly demonstrates how DEC enhances ER through the improvement of dynamic capabilities, thereby enriching research on the antecedents of ER and providing critical insights for organizational design aimed at sustainability. Moreover, the study identifies two critical moderating variables—Prospector strategy and innovation demand—which further delineate the boundary conditions of the antecedent mechanisms underlying ER and suggest pathways for firms to proactively build organizational structures that support sustainable growth in volatile environments.

6.2. Theoretical Contributions

This study offers several theoretical contributions to the literature on ER, governance, and sustainable management.
First, we extend the ER literature by introducing organizational power allocation as a critical antecedent of ER in crisis contexts. While prior research has primarily emphasized resources, strategies, or managerial characteristics under relatively stable conditions, we shift attention to governance structures and demonstrate that DEC becomes particularly consequential when firms face external shocks and heightened uncertainty. By situating governance mechanisms within crisis situations, we show that DEC constitutes a foundational institutional arrangement that systematically shapes firms’ adaptive capacity and recovery processes. This perspective advances ER research from a resource and behavior perspective to a structural governance perspective and highlights the importance of crisis-oriented governance design.
Second, we contribute to theory by uncovering the underlying mechanisms through which DEC enhances ER. Drawing on dynamic capability theory, we conceptualize ER as a dynamic adaptive capability and show that DEC strengthens firms’ sensing, seizing, and reconfiguring capacities across different crisis stages. By linking governance design to dynamic capabilities, our study provides a more process-oriented explanation of how structural arrangements translate into adaptive outcomes.
Third, this study enriches the sustainability and crisis management literature by situating governance choices within highly uncertain environments. We demonstrate that DEC supports not only short-term shock absorption but also long-term adaptive growth, thereby highlighting governance sustainability as an important yet underexplored dimension of sustainable development.
Finally, by examining the moderating effects of strategic orientation and innovation demands, and by revealing the heterogeneous effects between SOEs and non-SOEs, our study specifies the boundary conditions of DEC. These findings underscore that the efficacy of governance mechanisms is not universal but is contingent on both strategic and institutional contexts, thereby advancing a more nuanced contingency theory of governance for ER.

6.3. Managerial Implications

As environmental uncertainty becomes the new normal, traditional hierarchical “pyramid” structures increasingly struggle to cope with information asymmetry and delayed responses. In general, firms should move toward more decentralized governance arrangements that facilitate cross-departmental collaboration, accelerate information flows, and enable timely local decision-making, thereby strengthening organizational adaptability and resilience.
However, the optimal degree and implementation path of decentralization vary across firm types. For firms pursuing a Prospector strategy or facing high innovation demands, greater decentralization is particularly beneficial. These firms operate in dynamic and knowledge-intensive environments where rapid adaptation and localized problem-solving are critical. Managers in such contexts should grant substantial decision rights to frontline units, adopt modular structures, and establish flexible authorization systems that allow teams to independently allocate resources and respond to market changes.
In contrast, for SOEs, where multiple policy mandates and administrative objectives often coexist, excessive or abrupt decentralization may lead to coordination problems and goal divergence. A more appropriate approach is gradual and controlled delegation, such as implementing pilot decentralization programs in selected divisions, introducing clear accountability mechanisms, and combining local autonomy with strong strategic oversight from the headquarters. This “bounded decentralization” helps balance flexibility with alignment to policy mandates.
For firms in traditional or mature industries, where operational routines are relatively stable and innovation pressures are lower, full-scale decentralization may generate unnecessary coordination costs. Instead, managers may adopt selective decentralization, delegating authority primarily in areas requiring rapid market responsiveness (e.g., marketing or customer service) while maintaining centralized control over standardized production and financial decisions.
Overall, an effective governance design should follow the principle of being “strategically centralized but tactically decentralized,” ensuring strategic coherence at the top while preserving operational flexibility at lower levels. Such differentiated approaches enable firms with varying ownership structures and industry characteristics to translate decentralization into sustainable resilience more effectively.

6.4. Limitations and Future Research Directions

Despite its contributions, this study has several limitations that suggest directions for future research.
First, our measurement of ER adopts an outcome-oriented approach based on observable financial stability and post-crisis growth. Although such indicators are widely used in archival research and allow for objective large-sample analysis, they may not fully capture the multidimensional and process-based nature of resilience as a dynamic capability. Future studies could complement this approach with perceptual scales, qualitative methods, or case studies to provide a richer understanding of resilience formation.
Second, our empirical design is constrained by the relatively limited time span of the sample and the use of observational data, which may not fully capture the long-term and evolutionary process through which resilience is accumulated. Although instrumental variable estimation is employed to mitigate endogeneity concerns, we acknowledge that residual endogeneity may persist due to unobserved factors. Our identification strategy relies on the validity of the exclusion restriction, which, while theoretically grounded, cannot completely rule out all potential confounding influences. Future studies could employ more exogenous research designs to provide stronger causal evidence and better capture the dynamic formation of resilience.
Third, several key constructs are measured using structural or industry-level proxies. Although these proxies reflect firms’ institutional tendencies toward decentralization and innovation demand, they may not perfectly capture actual operational practices at the grassroots level. Future research could incorporate survey or field data to develop more fine-grained measures of decentralization and firm-level innovation demand.

Author Contributions

Conceptualization, T.S. and Z.L.; methodology, T.S.; software, T.S.; validation, Z.L.; formal analysis, T.S.; investigation, T.S.; resources, T.S.; data curation, T.S.; writing—original draft preparation, T.S.; writing—review and editing, T.S.; supervision, Z.L.; project administration, Z.L.; funding acquisition, Z.L. All authors have read and agreed to the published version of the manuscript.

Funding

This research received no external funding.

Institutional Review Board Statement

Not applicable.

Informed Consent Statement

Not applicable.

Data Availability Statement

The data presented in this study are available on request from the corresponding author.

Conflicts of Interest

The authors have declared that no competing interests exist.

Appendix A. The Entropy Weight Method Procedure

To account for potential temporal variations in the relative importance of the two resilience dimensions, the entropy weight method was applied separately for each year in the sample period (2018–2023). This dynamic approach allows the weights to adapt to changing economic conditions, ensuring that the composite resilience index reflects contemporary firm characteristics. The annual procedure is summarized as follows:
1. Annual Data Standardization: For each year, the positive indicator (growth: 3-year cumulative sales revenue growth) and the negative indicator (volatility: standard deviation of monthly stock returns) were normalized separately. Positive indicators were normalized using the min-max method for positive indicators, and negative indicators were normalized using the min-max method for negative indicators.
2. Annual Entropy Calculation: The information entropy Ej for each indicator j in a given year was calculated as:
E J = 1 l n ( n ) i = 1 n p i j l n ( p i j )
where pij is the proportion of the standardized value of indicator j for firm i, and n is the number of firms in that year.
3. Annual Weight Determination: The weight wj for each indicator in a given year was derived from its entropy:
w J = 1 E J i = 1 m ( 1 E J )
where m is the number of indicators (here, m = 2). A smaller entropy Ej indicates greater variation in the data, and thus, a higher weight wj is assigned to that indicator for that year.
4. Annual Composite Score: The final composite ER score for each firm in each year was calculated as the weighted sum of the standardized values of the two indicators using their respective entropy weights for that year.
This dynamic weighting approach ensures that the composite index gives more weight to the dimension that provides greater discriminative power among firms in each particular year, making the ER measure more responsive to temporal variations in the business environment.

References

  1. Duchek, S. Organizational resilience: A capability-based conceptualization. Bus. Res. 2020, 13, 215–246. [Google Scholar] [CrossRef]
  2. Williams, T.A.; Gruber, D.A.; Sutcliffe, K.M.; Shepherd, D.A.; Zhao, E.Y. Organizational response to adversity: Fusing crisis management and resilience research streams. Acad. Manag. Ann. 2017, 11, 733–769. [Google Scholar] [CrossRef]
  3. Linnenluecke, M.K. Resilience in Business and Management Research: A Review of Influential Publications and a Research Agenda. Int. J. Manag. Rev. 2017, 19, 4–30. [Google Scholar] [CrossRef]
  4. Sajko, M.; Boone, C.; Buyl, T. CEO Greed, Corporate Social Responsibility, and Organizational Resilience to Systemic Shocks. J. Manag. 2021, 47, 957–992. [Google Scholar] [CrossRef]
  5. Robert Baum, J.; Wally, S. Strategic decision speed and firm performance. Strateg. Manag. J. 2003, 24, 1107–1129. [Google Scholar] [CrossRef]
  6. Altamimi, H.; Liu, Q.; Jimenez, B. Not Too Much, Not Too Little: Centralization, Decentralization, and Organizational Change. J. Public Adm. Res. Theory 2022, 33, 170–185. [Google Scholar] [CrossRef]
  7. Holling, C.S. Resilience and Stability of Ecological Systems; Cambridge University Press: Cambridge, UK, 1973. [Google Scholar]
  8. Stoverink, A.C.; Kirkman, B.L.; Mistry, S.; Rosen, B. Bouncing back together: Toward a theoretical model of work team resilience. Acad. Manag. Rev. 2020, 45, 395–422. [Google Scholar] [CrossRef]
  9. Sahebjamnia, N.; Torabi, S.A.; Mansouri, S.A. Building organizational resilience in the face of multiple disruptions. Int. J. Prod. Econ. 2018, 197, 63–83. [Google Scholar] [CrossRef]
  10. Ortiz-De-Mandojana, N.; Bansal, P. The long-term benefits of organizational resilience through sustainable business practices. Strateg. Manag. J. 2016, 37, 1615–1631. [Google Scholar] [CrossRef]
  11. Vanacker, T.; Collewaert, V.; Zahra, S.A. Slack resources, firm performance, and the institutional context: Evidence from privately held E uropean firms. Strateg. Manag. J. 2017, 38, 1305–1326. [Google Scholar] [CrossRef]
  12. Awais, M.; Ali, A.; Khattak, M.S.; Arfeen, M.I.; Chaudhary, M.A.I.; Syed, A. Strategic flexibility and organizational performance: Mediating role of innovation. Sage Open 2023, 13, 21582440231181432. [Google Scholar] [CrossRef]
  13. Shakil, M.H.; Abdul Wahab, N.S. Top management team heterogeneity, corporate social responsibility and firm risk: An emerging country perspective. J. Financ. Report. Account. 2023, 21, 434–463. [Google Scholar] [CrossRef]
  14. Zabojnik, J. Centralized and decentralized decision making in organizations. J. Labor Econ. 2002, 20, 1–22. [Google Scholar] [CrossRef]
  15. Fory, A.; Simamora, B.; Nadeak, S.; Nugraha, M.S.; Prasetia, I.; Hendriarto, P. Decentralization, centralization and quality of organizational performance of human resources. Acad. Strateg. Manag. J. 2021, 20, 1–12. [Google Scholar]
  16. Chen, Q.; Eriksson, T. The mediating role of decentralization between strategy and performance: Evidence from Danish firms. J. Organ. Change Manag. 2019, 32, 409–425. [Google Scholar] [CrossRef]
  17. Ceptureanu, S.I.; Ceptureanu, E.G. Innovation ambidexterity effects on product innovation performance: The mediating role of decentralization. Kybernetes 2023, 52, 1698–1719. [Google Scholar] [CrossRef]
  18. Zhang, C.-D.; Qiu, X.-H.; Liu, B.-N.; Zhang, X.-Y. Effects of Strategic Alliances Decentralized Governance on Focal Firm’s Innovation Performance. Sci. Res. Manag. 2025, 46 124–133. (In Chinese) [Google Scholar]
  19. Teece, D.J.; Pisano, G.; Shuen, A. Dynamic capabilities and strategic management. Strateg. Manag. J. 1999, 18, 509–533. [Google Scholar] [CrossRef]
  20. Xin, G.; Chen, J. Decentralized governance and collective action dilemma: Sub-national governments’ responses to COVID-19 in China. Public Adm. Dev. 2023, 43, 163–175. [Google Scholar] [CrossRef]
  21. Palepu, S.; Nitsch, A.; Narayan, M.; Kim, S.; Osier, N. A flat organizational structure for an inclusive, interdisciplinary, international, and undergraduate-led team. Front. Educ. 2020, 5, 102. [Google Scholar] [CrossRef]
  22. Jeong, I.; Gong, Y.; Zhong, B. Does an employee-experienced crisis help or hinder creativity? An integration of threat-rigidity and implicit theories. J. Manag. 2023, 49, 1394–1429. [Google Scholar] [CrossRef]
  23. Argyres, N.; Rios, L.A.; Silverman, B.S. Organizational change and the dynamics of innovation: Formal R&D structure and intrafirm inventor networks. Strateg. Manag. J. 2020, 41, 2015–2049. [Google Scholar]
  24. Saiti, A.; Stefou, T. Hierarchical Organizational Structure and Leadership. In Oxford Research Encyclopedia of Education; Oxford University Press: Oxford, UK, 2020. [Google Scholar]
  25. Bakos, L.; Dumitracu, D.D. Decentralized Enterprise Risk Management Issues under Rapidly Changing Environments. Risks 2021, 9, 165. [Google Scholar] [CrossRef]
  26. Spreitzer, G.M. An empirical test of a comprehensive model of intrapersonal empowerment in the workplace. Am. J. Community Psychol. 1995, 23, 601–629. [Google Scholar] [CrossRef]
  27. Iqbal, Q.; Ahmad, N.H. Sustainable development: The colors of sustainable leadership in learning organization. Sustain. Dev. 2021, 29, 108–119. [Google Scholar] [CrossRef]
  28. Barton, M.A.; Kahn, W.A. Group Resilience: The Place and Meaning of Relational Pauses. Organ. Stud. 2019, 40, 1409–1429. [Google Scholar] [CrossRef]
  29. Hart, S.L.; Dowell, G. A Natural-Resource-Based View of the Firm: Fifteen Years After. J. Manag. 2011, 37, 1464–1479. [Google Scholar]
  30. Miles, R.E.; Snow, C.C.; Meyer, A.D.; Coleman, H.J., Jr. Organizational strategy, structure, and process. Acad. Manag. Rev. 1978, 3, 546–562. [Google Scholar] [CrossRef]
  31. Can, W.; Tomas, B.; Peng, G.; Ziyu, T. The Business Strategy, Competitive Advantage and Financial Strategy: A Perspective from Corporate Maturity Mismatched Investment. J. Compet. 2021, 13, 164–181. [Google Scholar]
  32. Gupta, S.; Kumar, S.; Kamboj, S.; Bhushan, B.; Luo, Z. Impact of IS Agility and HR Systems on Job Satisfaction: An Organizational Information Processing Theory Perspective. J. Knowl. Manag 2018. [Google Scholar]
  33. Mirza, S.S.; Ahsan, T. Corporates’ strategic responses to economic policy uncertainty in China. Bus. Strategy Environ. 2020, 29, 375–389. [Google Scholar] [CrossRef]
  34. Sergey, G.; Svetlana, S.; Ekaterina, B. Development of Risk Management Mechanism and the System of Risk Metrics to Evaluate and Enhance the Long-Term Orientation of the Strategies of Non-Financial Companies. Risks 2022, 10, 182. [Google Scholar]
  35. Grant, R.M. Toward A Knowledge-Based Theory of the Firm. Strateg. Manag. J. 1996, 17, 109–122. [Google Scholar] [CrossRef]
  36. Joseph, J.; Gaba, V. Organizational structure, information processing, and decision-making: A retrospective and road map for research. Acad. Manag. Ann. 2020, 14, 267–302. [Google Scholar] [CrossRef]
  37. Dienes, Z.; Perner, J. A theory of implicit and explicit knowledge. Behav. Brain Sci. 1999, 22, 755–808. [Google Scholar] [CrossRef]
  38. Deci, E.L.; Ryan, R.M. The general causality orientations scale: Self-determination in personality—ScienceDirect. J. Res. Personal. 1985, 19, 109–134. [Google Scholar] [CrossRef]
  39. Bushman, R.; Chen, Q.; Engel, E.; Smith, A. Financial accounting information, organizational complexity and corporate governance systems. J. Account. Econ. 2004, 37, 167–201. [Google Scholar] [CrossRef]
  40. Abernethy, M.A.; Bouwens, J.; Van Lent, L. Determinants of control system design in divisionalized firms. Account. Rev. 2004, 79, 545–570. [Google Scholar] [CrossRef]
  41. Fama, E.F.; Jensen, M.C. Separation of ownership and control. J. Law Econ. 1983, 26, 301–325. [Google Scholar] [CrossRef]
  42. Blagoeva, R.R.; Mom, T.J.; Jansen, J.J.; George, G. Problem-solving or self-enhancement? A power perspective on how CEOs affect R&D search in the face of inconsistent feedback. Acad. Manag. J. 2020, 63, 332–355. [Google Scholar]
  43. Zhang, Z.; Lu, Y.; Wang, H. The impact of management power on digital transformation. Asia Pac. J. Manag. 2024, 42, 777–801. [Google Scholar] [CrossRef]
  44. Bentley, K.A.; Omer, T.C.; Sharp, N.Y. Business Strategy, Financial Reporting Irregularities, and Audit Effort. Contemp. Account. Res. 2013, 30, 780–817. [Google Scholar] [CrossRef]
  45. Zhenguo, W.; Yabin, Z.; Meng, N.; Yuan, Z. Dynamic Changes of China’s Functional Specialization in Export and International Comparison under Global Value Chains. China Financ. Econ. Rev. 2020, 9, 95–115. [Google Scholar]
  46. GB/T 4754-2011; Industrial Classification for National Economic Activities. China Statistics Press: Beijing, China, 2011.
  47. Ren, H.; Xu, Y.; Wu, J. Controlling shareholders’ stock pledges and stock price crash risks. Financ. Res. Lett. 2024, 68, 9. [Google Scholar] [CrossRef]
  48. Abou-El-Sood, H. Board gender diversity, power, and bank risk taking. Int. Rev. Financ. Anal. 2021, 75, 101733. [Google Scholar] [CrossRef]
  49. Becker, J.; Fuest, C.; Riedel, N. Corporate tax effects on the quality and quantity of FDI. Eur. Econ. Rev. 2012, 56, 1495–1511. [Google Scholar] [CrossRef]
  50. James, G.; Witten, D.; Hastie, T.; Tibshirani, R. An Introduction to Statistical Learning: With Applications in R; Springer: Berlin/Heidelberg, Germany, 2013; Volume 103. [Google Scholar]
  51. Tang, Y.; Xie, L.; Li, W.; Meng, Y. Managerial power, ownership and stock price crash risk. In Proceedings of the Twelfth International Conference on Management Science and Engineering Management, Athens, Greece, 28–30 August 2019; pp. 619–632. [Google Scholar]
Figure 1. Visualization of moderating effects of STR.
Figure 1. Visualization of moderating effects of STR.
Sustainability 18 02032 g001
Figure 2. Visualization of moderating effects of INNO.
Figure 2. Visualization of moderating effects of INNO.
Sustainability 18 02032 g002
Table 1. Variable definitions.
Table 1. Variable definitions.
CategoryVariable NameVariable CodeDescription
DependentEnterprise resilienceERThe entropy weight method was used to derive a composite score from two dimensions.
IndependentDecentralizationDECA composite score was calculated using principal component analysis on the five variables.
ModeratingBusiness strategySTRSee [44] for discrete scores developed from six metrics.
Innovation demandINNO1 if the enterprise belongs to an industry with high innovation demand, 0 otherwise
Control Variables Firm sizeSIZETotal number of employees in the enterprise
Return on assetsROANet profit/total assets
Fixed asset ratioFARFixed assets/total assets
LeverageLEVAsset liability ratio
Tobin’s QTQMarket value/total assets
Capital intensityCITotal assets/operating income
Table 2. Descriptive statistics analysis.
Table 2. Descriptive statistics analysis.
VariablesObsMeanS.DMinMedianMax
ER58920.520.240.070.550.89
DEC58920.130.51−1.490.231.36
SIZE58927246.7821,796.6878.002782.00703,504.00
ROA58920.030.08−0.970.040.60
FAR58920.190.130.000.170.75
TQ58921.871.170.691.5418.61
LEV58920.420.180.010.410.98
CI58925.5814.480.204.22991.95
Table 3. Correlation matrix for major variables.
Table 3. Correlation matrix for major variables.
ERDECSTRINNOSIZEROAFARTQLEV
ER1
DEC0.055 ***1
STR−0.048 ***−0.217 ***1
INNO−0.002−0.079 ***0.183 ***1
SIZE0.046 ***0.032 **−0.055 ***−0.086 ***1
ROA−0.029 **0.032 **−0.061 ***0.0210.054 ***1
FAR−0.0100.133 ***−0.324 ***−0.079 ***0.048 ***0.064 ***1
TQ0.004−0.111 ***0.201 ***0.118 ***−0.042 ***0.265 ***−0.086 ***1
LEV0.061 ***0.209 ***−0.178 ***−0.183 ***0.219 ***−0.233 ***0.033 **−0.277 ***1
CI0.0000.0040.139 ***0.024 *−0.037 ***−0.068 ***−0.057 ***−0.020−0.037 ***
Note(s): ***, **, and * indicate significance at the 1%, 5%, and 10% levels, respectively.
Table 4. The impact of decentralization on enterprise resilience: baseline results.
Table 4. The impact of decentralization on enterprise resilience: baseline results.
Model 1Model 2Model 3Model 4
VariablesERERERER
DEC0.124 ***0.121 ***0.112 ***0.117 ***
(5.858)(5.791)(5.446)(5.637)
STR −0.014 ***
(−5.873)
STR × DEC 0.012 ***
(3.310)
INNO 0.125 *
(1.744)
INNO × DEC 0.109 **
(2.564)
SIZE 0.000 **0.000 **0.000 **
(2.166)(2.442)(2.165)
ROA −0.110−0.092−0.111
(−1.469)(−1.217)(−1.481)
FAR −0.304 ***−0.437 ***−0.313 ***
(−2.710)(−3.823)(−2.797)
TQ 0.018 ***0.018 ***0.018 ***
(3.114)(3.222)(3.249)
LEV 0.568 ***0.592 ***0.567 ***
(7.709)(8.139)(7.759)
CI −0.000−0.000−0.000
(−0.276)(−0.142)(−0.075)
Constant0.509 ***0.305 ***0.323 ***0.307 ***
(192.854)(7.805)(8.395)(7.889)
Observations5892.0005892.0005892.0005892.000
R20.0110.0410.0540.044
Note(s): Robust t-statistics in brackets; * p < 0.1 ** p < 0.05, *** p < 0.01.
Table 5. Second-stage results: IV (2SLS) estimation.
Table 5. Second-stage results: IV (2SLS) estimation.
Model 5Model 6
VariablesDECER
DEC 4.343 ***
(5.50)
Industry_Mean0.225 ***
(5.07)
Control variablesYESYES
FIRM FEYESYES
KP-LM statistic31.652 ***
Cragg–Donald F30.800
KP Wald F statistic32.497
Observations58515851
R-squared −12.152
Note(s): Robust t-statistics in brackets; *** p < 0.01. The coefficients of the control variables in the baseline regression are omitted for brevity, represented as “Control Variables”; the same is true for the table below.
Table 6. Robustness test: alternative measures of the independent variable.
Table 6. Robustness test: alternative measures of the independent variable.
Model 7Model 8Model 9Model 10
ERERERER
DEC 20.046 *0.047 *0.041 *0.045 *
(1.900)(1.918)(1.743)(1.869)
STR −0.014 ***
(−5.914)
STR × DEC2 0.013 ***
(3.256)
INNO 0.117
(1.539)
INNO × DEC2 0.101 **
(2.015)
SIZE 0.000 **0.000 **0.000 **
(2.157)(2.443)(2.173)
ROA −0.117−0.094−0.118
(−1.541)(−1.228)(−1.550)
FAR −0.315 ***−0.445 ***−0.318 ***
(−2.789)(−3.893)(−2.819)
TQ 0.018 ***0.018 ***0.019 ***
(3.213)(3.327)(3.368)
LEV 0.569***0.599 ***0.568 ***
(7.630)(8.143)(7.666)
CI −0.000−0.0000.000
(−0.140)(−0.026)(0.035)
Constant0.521 ***0.305 ***0.320 ***0.306 ***
(258.845)(7.696)(8.240)(7.754)
N5892.0005892.0005892.0005892.000
r20.0010.0320.0460.035
Note(s): Robust t-statistics in brackets; * p < 0.1, ** p < 0.05, *** p < 0.01.
Table 7. Further analysis of heterogeneity in decentralization and resilience.
Table 7. Further analysis of heterogeneity in decentralization and resilience.
Model 11Model 12Model 13Model 14
VariablesERERERER
SOEnon-SOEEASTMID-WEST
DEC0.0710.114 ***0.123 ***0.127 ***
(1.476)(4.088)(5.285)(2.750)
Control variablesYESYESYESYES
FIRM FEYESYESYESYES
Constant0.309 ***0.254 ***0.284 ***0.209 **
(2.798)(5.118)(6.499)(2.371)
N1226.0004041.0004460.0001390.000
r20.0720.0430.0420.068
Note(s): Robust t-statistics in brackets; ** p < 0.05, ***p < 0.01.
Disclaimer/Publisher’s Note: The statements, opinions and data contained in all publications are solely those of the individual author(s) and contributor(s) and not of MDPI and/or the editor(s). MDPI and/or the editor(s) disclaim responsibility for any injury to people or property resulting from any ideas, methods, instructions or products referred to in the content.

Share and Cite

MDPI and ACS Style

Lu, Z.; Shen, T. Resilience and Power Allocation for Sustainable Enterprises in Crisis. Sustainability 2026, 18, 2032. https://doi.org/10.3390/su18042032

AMA Style

Lu Z, Shen T. Resilience and Power Allocation for Sustainable Enterprises in Crisis. Sustainability. 2026; 18(4):2032. https://doi.org/10.3390/su18042032

Chicago/Turabian Style

Lu, Zhengwen, and Tenghao Shen. 2026. "Resilience and Power Allocation for Sustainable Enterprises in Crisis" Sustainability 18, no. 4: 2032. https://doi.org/10.3390/su18042032

APA Style

Lu, Z., & Shen, T. (2026). Resilience and Power Allocation for Sustainable Enterprises in Crisis. Sustainability, 18(4), 2032. https://doi.org/10.3390/su18042032

Note that from the first issue of 2016, this journal uses article numbers instead of page numbers. See further details here.

Article Metrics

Back to TopTop