Partner Business Model Alignment for Mitigating Operational Conflicts in Exploitation Alliance: Evidence from Chinese Residential Joint Ventures
Abstract
1. Introduction
2. Theoretical Background and Hypotheses Development
2.1. Exploitation Alliance Characteristics
2.2. Residential Developer’s Business Model Elements
2.3. Interrelationships Among Business Model Elements
2.4. Partner Business Model Alignment Effect on Operational Conflicts
3. Materials and Methods
3.1. Measurement Instrument
3.2. Sampling and Data Collection
4. Analysis and Results
4.1. Measurement Model Assessment
4.2. Structural Model Assessment
5. Discussion
5.1. Interrelationships Among Business Model Elements
5.2. Effects of Business Model Elements on Operational Conflicts
5.3. The Double-Edged Effect of Institutionalized Misalignment in CBSs
5.4. Implications for Sustainability Performance and Governance
5.5. Theoretical Implications
5.6. Practical Implications
6. Conclusions
Author Contributions
Funding
Institutional Review Board Statement
Informed Consent Statement
Data Availability Statement
Conflicts of Interest
References
- March, J.G. Exploration and exploitation in organizational learning. Organ. Sci. 1991, 2, 71–87. [Google Scholar] [CrossRef]
- Koza, M.P.; Lewin, A.Y. The co-evolution of strategic alliances. Organ. Sci. 1998, 9, 255–264. [Google Scholar] [CrossRef]
- Glaister, K.W.; Buckley, P.J. Strategic motives for UK international alliance formation. J. Manag. Stud. 1996, 33, 301–332. [Google Scholar] [CrossRef]
- Hitt, M.A.; Dacin, M.T.; Tyler, B.B.; Park, D. Understanding the differences in Korean and U.S. executives’ strategic orientations. Strateg. Manag. J. 1997, 18, 159–167. [Google Scholar] [CrossRef]
- Reuer, J.J.; Zollo, M.; Singh, H. Post-formation dynamics in strategic alliances. Strateg. Manag. J. 2002, 23, 135–151. [Google Scholar] [CrossRef]
- Liu, G.; Li, K.; Shrestha, A.; Martek, I.; Zhou, Y. Strategic business model typologies evident in the Chinese real-estate industry. Int. J. Strateg. Prop. Manag. 2018, 22, 501–515. [Google Scholar] [CrossRef]
- Kumar, M.V.S. Differential gains between partners in joint ventures: Role of resource appropriation and private benefits. Organ. Sci. 2010, 21, 232–248. [Google Scholar] [CrossRef]
- Muñoz de Prat, J.; Escriva-Beltran, M.; Gómez-Calvet, R. Joint ventures and sustainable development: A bibliometric analysis. Sustainability 2020, 12, 10176. [Google Scholar] [CrossRef]
- Abd-Karim, S.B.; Abg Marani, D.A.; Mohd Danuri, M.S.; Mohamed, O. Managing conflicts in joint venture projects. Int. J. Prop. Sci. 2014, 4, 1–15. [Google Scholar] [CrossRef][Green Version]
- Das, T.; Teng, B.-S. Instabilities of strategic alliances: An internal tensions perspective. Organ. Sci. 2000, 11, 77–101. [Google Scholar] [CrossRef]
- Hoetker, G.; Mellewigt, T. Choice and performance of governance mechanisms: Matching alliance governance to asset type. Strateg. Manag. J. 2009, 30, 1025–1044. [Google Scholar] [CrossRef]
- Wang, J.; Qiu, D.; Wang, L. Contractual governance design for sustainable performance of exploitation alliances: Clause-level evidence from Chinese residential joint ventures. Sustainability 2026, 18, 1531. [Google Scholar] [CrossRef]
- Brogi, M.; Lagasio, V. Do corporate governance frameworks affect sustainability reporting? Corp. Soc. Responsib. Environ. Manag. 2025, 32, 3928–3943. [Google Scholar] [CrossRef]
- Chopra, S.S.; Senadheera, S.S.; Dissanayake, P.D.; Withana, P.A.; Chib, R.; Rhee, J.H.; Ok, Y.S. Navigating the Challenges of Environmental, Social, and Governance (ESG) Reporting: The Path to Broader Sustainable Development. Sustainability 2024, 16, 606. [Google Scholar] [CrossRef]
- Das, T.K.; Teng, B.-S. Trust, control, and risk in strategic alliances: An integrated framework. Organ. Stud. 2001, 22, 251–283. [Google Scholar] [CrossRef]
- Saxton, T. The effects of partner and relationship characteristics on alliance outcomes. Acad. Manag. J. 1997, 40, 443–461. [Google Scholar] [CrossRef]
- Jiang, X.; Jiang, F.; Arino, A.; Peng, M.W. Uncertainty, adaptation, and alliance performance. IEEE Trans. Eng. Manag. 2017, 64, 605–615. [Google Scholar] [CrossRef]
- Hempel, P.S.; Zhang, Z.X.; Tjosvold, D. Conflict management between and within teams for trusting relationships and performance in China. J. Organ. Behav. 2009, 30, 41–65. [Google Scholar] [CrossRef]
- Roshan, R.; Chandra Balodi, K. Sustainable business model innovation of an emerging country startup: An imprinting theory perspective. J. Clean. Prod. 2024, 475, 143687. [Google Scholar] [CrossRef]
- Luo, Y. Procedural fairness and interfirm cooperation in strategic alliances. Strateg. Manag. J. 2007, 29, 27–46. [Google Scholar] [CrossRef]
- Luo, Y. How important are shared perceptions of procedural justice in cooperative alliances? Acad. Manag. J. 2005, 48, 695–709. [Google Scholar] [CrossRef]
- Bocken, N.; Lenssen, M.P.A.I.G.; Short, S.; Rana, P.; Evans, S. A value mapping tool for sustainable business modelling. Corp. Gov. Int. J. Bus. Soc. 2013, 13, 482–497. [Google Scholar] [CrossRef]
- Joyce, A.; Paquin, R.L. The triple layered business model canvas: A tool to design more sustainable business models. J. Clean. Prod. 2016, 135, 1474–1486. [Google Scholar] [CrossRef]
- United Nations. Transforming Our World: The 2030 Agenda for Sustainable Development; United Nations General Assembly: New York, NY, USA, 2015. [Google Scholar]
- Alareeni, B.A.; Hamdan, A. ESG impact on performance of US S&P 500-listed firms. Corp. Gov. Int. J. Bus. Soc. 2020, 20, 1409–1428. [Google Scholar]
- Khamisu, M.S.; Paluri, R.A.; Sonwaney, V. Stakeholders’ perspectives on critical success factors for environmental social and governance (ESG) implementation. J. Environ. Manag. 2024, 365, 121583. [Google Scholar] [CrossRef]
- Zhang, Y.; He, Y. How does the green financial system affect environmentally friendly firms’ ESG? Evidence from Chinese stock markets. Energy Econ. 2024, 130, 107287. [Google Scholar] [CrossRef]
- Bocken, N.M.P.; Short, S.W.; Rana, P.; Evans, S. A literature and practice review to develop sustainable business model archetypes. J. Clean. Prod. 2014, 65, 42–56. [Google Scholar] [CrossRef]
- Amui, L.B.L.; Jabbour, C.J.C.; de Sousa Jabbour, A.B.L.; Kannan, D. Sustainability as a dynamic organizational capability: A systematic review and a future agenda toward a sustainable transition. J. Clean. Prod. 2017, 142, 308–322. [Google Scholar] [CrossRef]
- Oliveira-Dias, D.; Kneipp, J.M.; Bichueti, R.S.; Gomes, C.M. Fostering business model innovation for sustainability: A dynamic capabilities perspective. Manag. Decis. 2022, 60, 105–129. [Google Scholar] [CrossRef]
- Wang, J. Study on the Member Selection of Bidding Alliance in the Residential Land Auction; Economic Science Press: Beijing, China, 2024. [Google Scholar]
- Yang, H.; Zheng, Y.; Zhao, X. Exploration or exploitation? Small firms’ alliance strategies with large firms. Strateg. Manag. J. 2014, 35, 146–157. [Google Scholar] [CrossRef]
- Xiong, Z.; Liu, J.; Yan, F.; Shi, D. Corporate ESG performance when neighboring the Environmental Protection Agency. J. Environ. Manag. 2024, 349, 119519. [Google Scholar] [CrossRef]
- Rothaermel, F.T.; Deeds, D.L. Exploration and exploitation alliances in biotechnology: A system of new product development. Strateg. Manag. J. 2004, 25, 201–221. [Google Scholar] [CrossRef]
- Kale, P.; Singh, H. Building firm capabilities through learning: The role of the alliance learning process in alliance capability and firm-level alliance success. Strateg. Manag. J. 2007, 28, 981–1000. [Google Scholar] [CrossRef]
- Ireland, R.D.; Hitt, M.A.; Vaidyanath, D. Alliance management as a source of competitive advantage. J. Manag. 2002, 28, 413–446. [Google Scholar] [CrossRef]
- Gulati, R.; Singh, H. The architecture of cooperation: Managing coordination costs and appropriation concerns in strategic alliances. Adm. Sci. Q. 1998, 43, 781–814. [Google Scholar] [CrossRef]
- Poppo, L.; Zenger, T. Do formal contracts and relational governance function as substitutes or complements? Strateg. Manag. J. 2002, 23, 707–725. [Google Scholar]
- Hamel, G. Competition for competence and inter-partner learning within international strategic alliances. Strateg. Manag. J. 1991, 12, 83–103. [Google Scholar] [CrossRef]
- Parkhe, A. Strategic alliance structuring: A game theoretic and transaction cost examination of interfirm cooperation. Acad. Manag. J. 1993, 36, 794–829. [Google Scholar] [CrossRef]
- de Man, A.-P.; Roijakkers, N. Alliance governance: Balancing control and trust in dealing with risk. Long Range Plan. 2009, 42, 75–95. [Google Scholar] [CrossRef]
- Inkpen, A.C.; Beamish, P.W. Knowledge, bargaining power, and the instability of international joint ventures. Acad. Manag. Rev. 1997, 22, 177–202. [Google Scholar] [CrossRef]
- Yan, A.; Gray, B. Bargaining power, management control, and performance in United States–China joint ventures: A comparative case study. Acad. Manag. J. 1994, 37, 1478–1517. [Google Scholar] [CrossRef]
- Zott, C.; Amit, R. The fit between product market strategy and business model: Implications for firm performance. Strateg. Manag. J. 2008, 29, 1–26. [Google Scholar] [CrossRef]
- Barney, J. Firm resources and sustained competitive advantage. J. Manag. 1991, 17, 99–120. [Google Scholar] [CrossRef]
- Johnson, M.W.; Christensen, C.M.; Kagermann, H. Reinventing your business model. Harv. Bus. Rev. 2008, 86, 50–59. [Google Scholar]
- Zott, C.; Amit, R.; Massa, L. The business model: Recent developments and future research. J. Manag. 2011, 37, 1019–1042. [Google Scholar] [CrossRef]
- Robin, E. Performing real estate value(s): Real estate developers, systems of expertise and the production of space. Geoforum 2022, 134, 205–215. [Google Scholar] [CrossRef]
- Brege, S.; Stehn, L.; Nord, T. Business models in industrialized building of multi-storey houses. Constr. Manag. Econ. 2014, 32, 208–226. [Google Scholar] [CrossRef]
- Parmenter, D. Key Performance Indicators: Developing, Implementing, and Using Winning KPIs; John Wiley & Sons, Inc.: Hoboken, NJ, USA, 2015. [Google Scholar]
- Grant, R.M. The resource-based theory of competitive advantage: Implications for strategy formulation. Calif. Manag. Rev. 1991, 33, 114–135. [Google Scholar] [CrossRef]
- Chiu, W.-H.; Dai, Z.-J.; Chi, H.-R.; Lin, P.-K. Customer knowledge orientation as a key to business model innovation of free-to-fee switch. J. Knowl. Manag. 2022, 26, 401–426. [Google Scholar] [CrossRef]
- Li, B.; Li, R.Y.M.; Wareewanich, T. Factors influencing large real estate companies’ competitiveness: A sustainable development perspective. Land 2021, 10, 1239. [Google Scholar] [CrossRef]
- Osterwalder, A.; Pigneur, Y. Business Model Generation: A Handbook for Visionaries, Game Changers, and Challengers; Wiley: Hoboken, NJ, USA, 2010. [Google Scholar]
- Pérez-Sánchez, L.À.; Velasco-Fernández, R.; Giampietro, M. Factors and actions for the sustainability of the residential sector: The nexus of energy, materials, space, and time use. Renew. Sustain. Energy Rev. 2022, 161, 112388. [Google Scholar] [CrossRef]
- Wilkinson, T.J.; Thomas, A.R.; Hawes, J.M. Managing relationships with Chinese joint venture partners. J. Glob. Mark. 2009, 22, 109–120. [Google Scholar] [CrossRef]
- De Dreu, C.K.W.; Weingart, L.R. Task vs relationship conflict, team performance, and team member satisfaction: A meta-analysis. J. Appl. Psychol. 2003, 88, 741–749. [Google Scholar] [CrossRef]
- Diamantopoulos, A.; Sarstedt, M.; Fuchs, C.; Wilczynski, P.; Kaiser, S. Guidelines for choosing between multi-item and single-item scales for construct measurement: A predictive validity perspective. J. Acad. Mark. Sci. 2012, 40, 434–449. [Google Scholar] [CrossRef]
- Sarstedt, M.; Diamantopoulos, A.; Salzberger, T.; Baumgartner, P. Selecting single items to measure doubly concrete constructs: A cautionary tale. J. Bus. Res. 2016, 69, 3159–3167. [Google Scholar] [CrossRef]
- Hair, J.F.; Risher, J.J.; Sarstedt, M.; Ringle, C.M. When to use and how to report the results of PLS-SEM. Eur. Bus. Rev. 2019, 31, 2–24. [Google Scholar] [CrossRef]
- Brislin, R.W. Back-translation for cross-cultural research. J. Cross-Cult. Psychol. 1970, 1, 185–216. [Google Scholar] [CrossRef]
- Armstrong, J.S.; Overton, T.S. Estimating nonresponse bias in mail surveys. J. Mark. Res. 1977, 14, 396–402. [Google Scholar] [CrossRef]
- Podsakoff, P.M.; MacKenzie, S.B.; Lee, J.Y.; Podsakoff, N.P. Common method biases in behavioral research: A critical review of the literature and recommended remedies. J. Appl. Psychol. 2003, 88, 879–903. [Google Scholar] [CrossRef]
- Henseler, J.; Ringle, C.M.; Sarstedt, M. A new criterion for assessing discriminant validity in variance-based structural equation modeling. J. Acad. Mark. Sci. 2014, 43, 115–135. [Google Scholar] [CrossRef]
- Amit, R.; Zott, C. Value creation in e-business. Strateg. Manag. J. 2001, 22, 493–520. [Google Scholar] [CrossRef]
- Teece, D.J. Business models, business strategy and innovation. Long Range Plan. 2010, 43, 172–194. [Google Scholar] [CrossRef]
- Wernerfelt, B. A resource-based view of the firm. Strateg. Manag. J. 1984, 5, 171–180. [Google Scholar] [CrossRef]
- Casadesus-Masanell, R.; Ricart, J.E. From strategy to business models and to tactics. Long Range Plan. 2010, 43, 195–215. [Google Scholar] [CrossRef]
- Magretta, J. Why business models matter. Harv. Bus. Rev. 2002, 80, 86–92. [Google Scholar]
- Kumar, R.; Nti, K.O. Differential learning and interaction in alliance dynamics: A process and outcome discrepancy model. Organ. Sci. 1998, 9, 356–367. [Google Scholar] [CrossRef]
- Beamish, P.W.; Lupton, N.C. Managing joint ventures. Acad. Manag. Perspect. 2009, 23, 75–94. [Google Scholar] [CrossRef]
- Williamson, O.E. Market and Hierarchies Analysis and Antitrust Implications; Free Press: New York, NY, USA, 1975. [Google Scholar]
- Demil, B.; Lecocq, X. Business model evolution: In search of dynamic consistency. Long Range Plan. 2010, 43, 227–246. [Google Scholar] [CrossRef]
- Jehn, K.A. A multimethod examination of the benefits and detriments of intragroup conflict. Adm. Sci. Q. 1995, 40, 256–282. [Google Scholar] [CrossRef]
- Cao, Z.; Lumineau, F. Revisiting the interplay between contractual and relational governance: A qualitative and meta-analytic investigation. J. Oper. Manag. 2014, 33–34, 15–42. [Google Scholar] [CrossRef]
- Faems, D.; Janssens, M.; Madhok, A.; Looy, B.V. Toward an integrative perspective on alliance governance: Connecting contract design, trust dynamics, and contract application. Acad. Manag. J. 2008, 51, 1053–1078. [Google Scholar] [CrossRef]
- Sampson, R.C. The cost of misaligned governance in R&D alliances. J. Law Econ. Organ. 2004, 20, 484–526. [Google Scholar]
- Gulati, R. Does familiarity breed trust? The implications of repeated ties for contractual choice in alliances. Acad. Manag. J. 1995, 38, 85–112. [Google Scholar] [CrossRef]
- Comin, L.C.; Aguiar, C.C.; Sehnem, S.; Yusliza, M.-Y.; Cazella, C.F.; Julkovski, D.J. Sustainable business models: A literature review. Benchmarking Int. J. 2020, 27, 2028–2047. [Google Scholar] [CrossRef]
- Massa, L.; Tucci, C.L.; Afuah, A. A Critical Assessment of Business Model Research. Acad. Manag. Ann. 2017, 11, 73–104. [Google Scholar] [CrossRef]
- Marczewska, M.; Kostrzewski, M. Sustainable business models: A bibliometric performance analysis. Energies 2020, 13, 6062. [Google Scholar] [CrossRef]
- Xie, J.; Nozawa, W.; Yagi, M.; Fujii, H.; Managi, S. Do environmental, social, and governance activities improve corporate financial performance? Bus. Strategy Environ. 2018, 28, 286–300. [Google Scholar] [CrossRef]
- Zott, C.; Amit, R. Business model design and the performance of entrepreneurial firms. Organ. Sci. 2007, 18, 181–199. [Google Scholar] [CrossRef]
- Afuah, A. Business Models: A Strategic Management Approach; McGraw-Hill: New York, NY, USA, 2004. [Google Scholar]
- Shaker AZahra, D.U.; Newey, L.R. Social knowledge and SMEs’ innovative gains from internationalization. Eur. Manag. Rev. 2009, 6, 81–93. [Google Scholar] [CrossRef]
- Dyer, J.H.; Singh, H. The relational view: Cooperative strategy and sources of interorganizational competitive advantage. Acad. Manag. Rev. 1998, 23, 660–679. [Google Scholar] [CrossRef]
- Nosratabadi, S.; Mosavi, A.; Shamshirband, S.; Kazimieras Zavadskas, E.; Rakotonirainy, A.; Chau, K.W. Sustainable business models: A review. Sustainability 2019, 11, 1663. [Google Scholar] [CrossRef]


| Construct | Questionnaire Items | Reference |
|---|---|---|
| CO | Your company’s capability to translate specific site conditions into product positioning for targeted customer segments (1 = very weak, 5 = very strong). | Based on industry expert interviews [31] |
| PF | Does your company tend to prioritize high asset turnover or high gross profit margin on sales (1 = strongly emphasize turnover, 5 = strongly emphasize gross margin)? | Based on business model theory [46] |
| KRs | Please evaluate the importance of the following resources for project operations (1 = very unimportant, 5 = very important): KR1: Development management team KR2: Capital strength KR3: Product portfolio KR4: Supplier resources KR5: Funding channels KR6: Customer base KR7: Development brand KR8: Property management brand | Based on the theoretical framework [46] and industry expert interviews [31] |
| CBSs | Please evaluate the degree of influence of the following jointly established standards on JV project operations (1 = very low, 5 = very high): CBS1: Profit margin on sales CBS2: Financing cost CBS3: Operational KPIs | Based on the theoretical framework [46] and industry expert interviews [31] |
| OCRs | In JV projects, what is the likelihood of the following situations occurring (1 = very low, 5 = very high)? OCRs1: Operational control conflict risks OCRs2: Financing plan conflict risks | Based on the theoretical framework [46] and industry expert interviews [31] |
| Constructs | Items | Mean | Standard Deviation | Items Loading | AVE | CR | Cronbach’s Alpha |
|---|---|---|---|---|---|---|---|
| CO | CO1 | 3.13 | 1.093 | 1.000 | |||
| PF | PF1 | 4.45 | 0.629 | 1.000 | |||
| KRs | KR1 | 3.93 | 0.965 | 0.769 | 0.508 | 0.867 | 0.860 |
| KR2 | 3.52 | 1.020 | 0.775 | ||||
| KR3 | 3.30 | 0.963 | 0.793 | ||||
| KR4 | 3.94 | 1.119 | 0.724 | ||||
| KR5 | 3.68 | 0.928 | 0.749 | ||||
| KR6 | 3.55 | 1.080 | 0.810 | ||||
| KR7 | 3.27 | 1.180 | 0.800 | ||||
| KR8 | 3.43 | 0.883 | 0.754 | ||||
| CBSs | CBS1 | 4.16 | 0.894 | 0.777 | 0.649 | 0.742 | 0.732 |
| CBS2 | 4.24 | 0.976 | 0.834 | ||||
| CBS3 | 4.09 | 0.796 | 0.806 | ||||
| OCRs | OCR1 | 4.08 | 0.900 | 0.894 | 0.775 | 0.716 | 0.711 |
| OCR2 | 4.10 | 0.834 | 0.866 |
| CO | PF | KRs | CBSs | OCRs | |
|---|---|---|---|---|---|
| CO | |||||
| PF | 0.090 | ||||
| KRs | 0.291 | 0.094 | |||
| CBSs | 0.319 | 0.247 | 0.797 | ||
| OCRs | 0.042 | 0.194 | 0.422 | 0.680 |
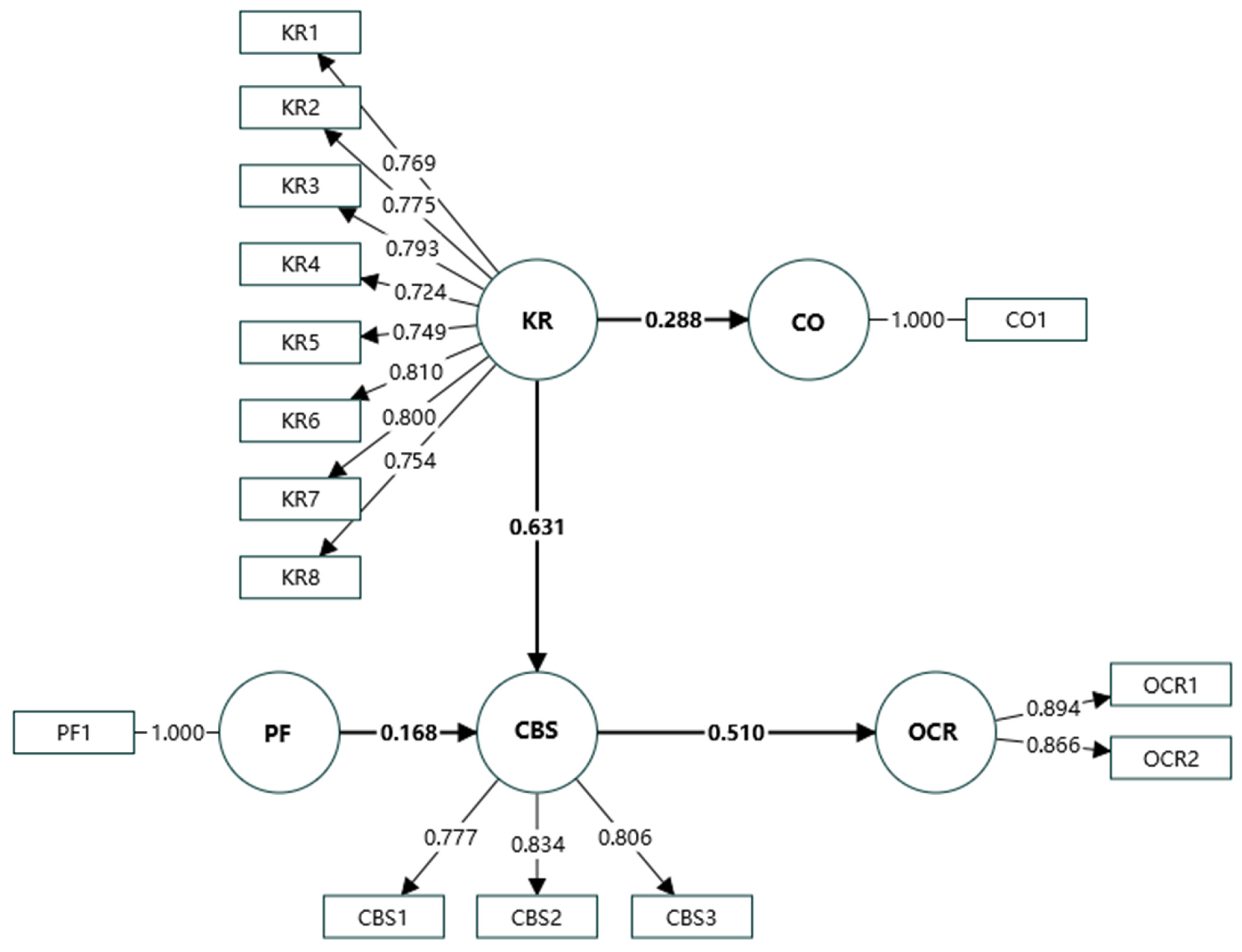
| Model Hypotheses | Path Coefficients (β) | t Statistics | p Values |
|---|---|---|---|
| H1a | 0.288 | 2.735 | 0.006 ** |
| H1b | 0.631 | 10.099 | 0.000 *** |
| H1c | 0.168 | 2.070 | 0.038 * |
| H2 | 0.510 | 4.721 | 0.000 *** |
| Path Coefficients (β) | t Statistics | p Values | |
|---|---|---|---|
| KRs → CBSs → OCRs | 0.322 | 4.001 | 0.000 *** |
| PF → CBSs → OCRs | 0.086 | 2.052 | 0.040 * |
Disclaimer/Publisher’s Note: The statements, opinions and data contained in all publications are solely those of the individual author(s) and contributor(s) and not of MDPI and/or the editor(s). MDPI and/or the editor(s) disclaim responsibility for any injury to people or property resulting from any ideas, methods, instructions or products referred to in the content. |
© 2026 by the authors. Licensee MDPI, Basel, Switzerland. This article is an open access article distributed under the terms and conditions of the Creative Commons Attribution (CC BY) license.
Share and Cite
Wang, J.; Wang, L. Partner Business Model Alignment for Mitigating Operational Conflicts in Exploitation Alliance: Evidence from Chinese Residential Joint Ventures. Sustainability 2026, 18, 3337. https://doi.org/10.3390/su18073337
Wang J, Wang L. Partner Business Model Alignment for Mitigating Operational Conflicts in Exploitation Alliance: Evidence from Chinese Residential Joint Ventures. Sustainability. 2026; 18(7):3337. https://doi.org/10.3390/su18073337
Chicago/Turabian StyleWang, Jinxiu, and Li Wang. 2026. "Partner Business Model Alignment for Mitigating Operational Conflicts in Exploitation Alliance: Evidence from Chinese Residential Joint Ventures" Sustainability 18, no. 7: 3337. https://doi.org/10.3390/su18073337
APA StyleWang, J., & Wang, L. (2026). Partner Business Model Alignment for Mitigating Operational Conflicts in Exploitation Alliance: Evidence from Chinese Residential Joint Ventures. Sustainability, 18(7), 3337. https://doi.org/10.3390/su18073337

