Optimizing Sustainable Resource Integration in Cultural and Tourism Communities Considering Community Influence on Spatial Quality
Abstract
1. Introduction
2. Literature Review
2.1. Typologies of Cultural and Tourism Communities and the Emergence of a New Analytical Unit
2.2. Sustainability-Oriented Resource Integration in Tourism Studies
2.3. Limitations of Existing Evaluation and Supply Chain Integration Models
2.4. Quantifying Tourist Experience: Smart Tourism and Place Attachment
2.5. Scene Theory and the Need to Incorporate Social Influence
3. Problem Statement and Model Formulation
3.1. Problem Statement: Resource Optimization in Emerging Cultural and Tourism Communities
3.2. Theoretical Foundations and Sustainability Principles
3.2.1. Scene Theory as the Conceptual Foundation of Spatial Quality
3.2.2. Sustainability as a Multi-Pillar Principle Embedded in Spatial Experience
3.2.3. From Sustainability Principles to Spatial Quality Indicators
3.3. Spatialization of Scene-Based Indicators and Measurement Design
3.3.1. Authenticity-Oriented Indicators: Anchoring Meaning Through Spatial Experience
3.3.2. Dramaticity-Oriented Indicators: Enhancing Engagement Through Spatial Staging
3.3.3. Legitimacy-Oriented Indicators: Structuring Order and Inclusion Through Space
3.3.4. Integrated Measurement and Indicator Summary
3.4. Calculation of Tourists’ Perceived Spatial Quality (Scene Value)
3.4.1. Determination of Indicator Weights
3.4.2. Indicator Quantification Based on the Principle of Comparability
3.4.3. Aggregate Evaluation of Tourists’ Perceived Spatial Quality
3.4.4. Outcomes Considering Social Influence
3.5. Analysis of Optimization Objectives
3.5.1. Maximization of Dynamic Adaptability
3.5.2. Maximization of Cost Expectation Fulfillment Rate
4. Introduction to the Algorithm
4.1. Model Parameters and Variable Definitions
4.2. Treatment of the Objective Function and Constraints
4.3. Algorithm Flow
5. Analysis of Algorithms
5.1. Numerical Experiments
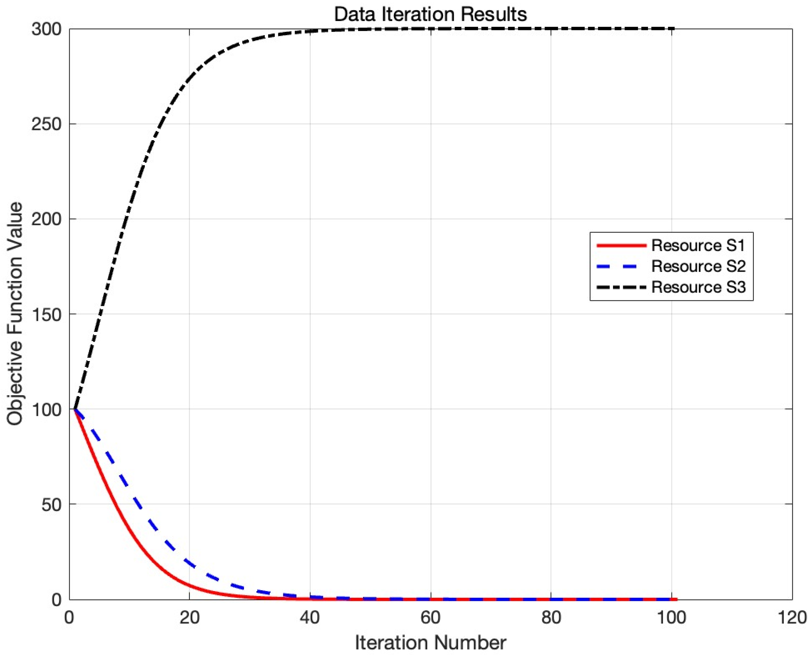
5.2. Results of the Algorithm
5.3. Computational Efficiency Analysis
5.4. Sensitivity Analysis of Weight Settings
6. Conclusions
6.1. Practical Implications
6.2. Theoretical Implications
6.3. Critical Reflections and Policy Implications
6.4. Future Research Directions
- Parameter Sensitivity Analysis and Scenario Simulation: Research could systematically examine how different tourist market segments (by varying demand parameters and preference parameters) and different community strategic priorities (by adjusting objective weights) influence the optimal resource portfolio. This would allow for a thorough assessment of the model’s dynamic adaptability and decision robustness under diverse conditions.
- Extended Case Studies with Complex Constraints: Where data availability permits, subsequent studies could design extended cases involving a larger pool of candidate resources (e.g., 10–15) and incorporate multiple real-world constraints, such as total budget caps, spatial capacity limits, and resource exclusivity. This would help explore the potential and boundaries of the model in addressing larger-scale, more complex practical problems.
Author Contributions
Funding
Institutional Review Board Statement
Informed Consent Statement
Data Availability Statement
Conflicts of Interest
References
- Ma, Y.; Tong, Y. From Region to Field: Revisiting the Relationship Between Culture and Tourism. Tour. Trib. 2019, 34, 7–9. [Google Scholar]
- Jin, Y.; Xi, H.; Wang, X.; Ren, X.; Yuan, L. Evaluation of the Integration Policy in China: Does the Integration of Culture and Tourism Promote Tourism Development? Ann. Tour. Res. 2022, 97, 103491. [Google Scholar] [CrossRef]
- Winter, C. Tourism, Social Memory and the Great War. Ann. Tour. Res. 2009, 36, 607–626. [Google Scholar] [CrossRef]
- Lewicka, M. Place Attachment, Place Identity, and Place Memory: Restoring the Forgotten City Past. J. Environ. Psychol. 2008, 28, 209–231. [Google Scholar] [CrossRef]
- Navarro, C.J.; Mateos, C.; Rodríguez, M.J. Cultural Scenes, the Creative Class and Development in Spanish Municipalities. Eur. Urban Reg. Stud. 2014, 21, 301–317. [Google Scholar] [CrossRef]
- Jin, Z.; Bai, Y. Sustainable Development and Long-Term Strategic Management: Embedding a Long-Term Strategic Management System into Medium and Long-Term Planning. World Futures Rev. 2011, 3, 49–69. [Google Scholar] [CrossRef]
- Ivanov, D. Viable Supply Chain Model: Integrating Agility, Resilience and Sustainability Perspectives—Lessons from and Thinking beyond the COVID-19 Pandemic. Ann. Oper. Res. 2022, 319, 1411–1431. [Google Scholar] [CrossRef]
- Allred, C.R.; Fawcett, S.E.; Wallin, C.; Magnan, G.M. A Dynamic Collaboration Capability as a Source of Competitive Advantage. Decis. Sci. 2011, 42, 129–161. [Google Scholar] [CrossRef]
- Cao, Z.; Chen, X.; Wu, Q.; Wu, K. The Elements and Dimensions of Future Village Construction Under the Framework of Scenes Theory: A Case Study of Dalu Village in Tonglu County, Hangzhou. Planners 2022, 38, 125–130. [Google Scholar]
- Liu, C.; Huangfu, Z.; Li, G. Construction of digital tourism scenarios for traditional villages: A case study of Zhangguying Village. Resour. Sci. 2025, 47, 1976–1991. [Google Scholar] [CrossRef]
- Lazzaro, E. Cultural and Creative Districts: A Literature Review and a Taxonomy. In Creative Business Education: Exploring the Contours of Pedagogical Praxis; Powell, P., Shankar Nayak, B., Eds.; Springer International Publishing: Cham, Switzerland, 2022; pp. 237–250. [Google Scholar]
- Builes-Vélez, A.E.; Escobar, L.M.; Villamil-Mejia, C. Are Innovation and Creative Districts New Scenarios for Sustainable Urban Planning? Bogota, Medellin, and Barranquilla as Case Studies. Sustainability 2024, 16, 3095. [Google Scholar] [CrossRef]
- Ottaviani, D.; Demiröz, M.; Szemző, H.; De Luca, C. Adapting Methods and Tools for Participatory Heritage-Based Tourism Planning to Embrace the Four Pillars of Sustainability. Sustainability 2023, 15, 4741. [Google Scholar] [CrossRef]
- Chen, B. Dimensional Analysis of Urban Neighborhood Public Cultural Space Based on Scene Theory. Jianghan Trib. 2019, 128–134. Available online: https://kns.cnki.net/KCMS/detail/detail.aspx?dbcode=CJFQ&dbname=CJFDLAST2020&filename=jhlt201912022 (accessed on 10 November 2023).
- Zang, H.; Kou, Y. Constructing Public Library Spaces: A Cultural Scenes Perspective. Res. Libr. Sci. 2021, 24–29. [Google Scholar] [CrossRef]
- Chen, S. Study on the Construction of Cultural Tourism Community in Scene Vision: A Case Study of Aranya Tourism Community. J. Cent. South Univ. For. Technol. (Soc. Sci.) 2021, 15, 102–110. [Google Scholar]
- Guo, W. Tourism Space Production and Form Transformation in Community-based Cultural Heritage Sites—Based on the Investigation of Huishan Ancient Town in Jiangsu Province. J. Sichuan Norm. Univ. (Soc. Sci. Ed.) 2019, 46, 75–82. [Google Scholar]
- Duić, N.; Urbaniec, K.; Huisingh, D. Components and Structures of the Pillars of Sustainability. J. Clean. Prod. 2015, 88, 1–12. [Google Scholar] [CrossRef]
- Shaikh, Z.H.; Ray, K.S.S.S.; Rout, B.L.; Mahapatra, D.M. Beyond Carbon: Multi-Dimensional Sustainability Performance Metrics for India’s Aviation Industry. Sustainability 2025, 17, 9632. [Google Scholar] [CrossRef]
- Liu, C.; Yao, J. Optimization of Supply Chain Terminal Resources Integration under the Community Group Purchase Scenario. Chin. J. Manag. 2022, 19, 1231–1239. [Google Scholar]
- Wei, L.; Sun, J. Modernity of Ethnic Minority Communities and Its Indigenous Practices: A Case Study of Luoshui Village in Lugu Lake Area. Tour. Trib. 2017, 32, 47–56. [Google Scholar]
- Liu, X.; Sun, J. Traditional cultural adaptation of residents in an ethnic tourism community: Based on personal construction theory. Tour. Trib. 2019, 34, 16–28. [Google Scholar]
- Su, M.; Yang, L.; He, S. Tourism Development and Community Participation Paths in Agricultural Cultural Heritage Sites. Tour. Trib. 2022, 37, 9–11. [Google Scholar]
- Zhang, J.; Zhao, Z.; Liu, Y.; Li, X. The Spatial Characteristics and Formation Mechanism of Conflicts in Tourism Community Under the Background of Landscape-village Integration: A Case Study of Dong Village in Zhaoxing. Econ. Geogr. 2022, 42, 216–224. [Google Scholar]
- Ju, Y.; Li, C. Formation mechanism of heritage responsibility behavior of residents in the tourism community of cultural heritage sites: Based on the fuzzy-set qualitative comparative analysis. J. Nat. Resour. 2023, 38, 1135–1149. [Google Scholar] [CrossRef]
- Kalaitzi, D.; Matopoulos, A.; Bourlakis, M.; Tate, W. Supply Chains under Resource Pressure: Strategies for Improving Resource Efficiency and Competitive Advantage. Int. J. Oper. Prod. Manag. 2019, 39, 1323–1354. [Google Scholar] [CrossRef]
- Huang, M.; Ren, L.; Lee, L.H.; Wang, X.; Kuang, H.; Shi, H. Model and Algorithm for 4PLRP with Uncertain Delivery Time. Inf. Sci. 2016, 330, 211–225. [Google Scholar] [CrossRef]
- Zhang, L. Research on the Fuzzy Comprehensive Evaluation Method of Tourism Service Quality. J. Quant. Technol. Econ. 2003, 85–88. [Google Scholar] [CrossRef]
- Yang, F.; Gao, D. Modeling and application of tourism products HOQ based on multi-objective programming. Sci. Res. Manag. 2017, 38, 145–152. [Google Scholar]
- Suo, L.; Yao, J.; Zhou, J. Research on the Integration and Optimization of Supply Chain Resources for Unmanned Retail Terminals Based on Customer Demand Preference. Chin. J. Manag. Sci. 2021, 29, 84–95. [Google Scholar]
- Park, J.; Jeong, E. Service Quality in Tourism: A Systematic Literature Review and Keyword Network Analysis. Sustainability 2019, 11, 3665. [Google Scholar] [CrossRef]
- Pyo, S. Quality Research in Tourism and Hospitality: Perspectives and Research Agenda. J. Qual. Assur. Hosp. Tour. 2000, 1, 1–12. [Google Scholar] [CrossRef]
- Blazquez-Resino, J.; Molina Collado, A.; Esteban, Á. Key Quality Attributes According to the Tourist Product. Eur. J. Tour. Res. 2012, 5, 166–170. [Google Scholar] [CrossRef]
- Brown, G.; Raymond, C.M.; Corcoran, J. Mapping and Measuring Place Attachment. Appl. Geogr. 2015, 57, 42–53. [Google Scholar] [CrossRef]
- Brown, G.; Raymond, C. The Relationship between Place Attachment and Landscape Values: Toward Mapping Place Attachment. Appl. Geogr. 2007, 27, 89–111. [Google Scholar] [CrossRef]
- Lewicka, M. Place Attachment: How Far Have We Come in the Last 40 Years? J. Environ. Psychol. 2011, 31, 207–230. [Google Scholar] [CrossRef]
- Ujang, N.; Zakariya, K. Place Attachment and the Value of Place in the Life of the Users. Procedia—Soc. Behav. Sci. 2015, 168, 373–380. [Google Scholar] [CrossRef]
- Silver, D.A.; Clark, T.N. A Theory of Scenes. In Scenescapes: How Qualities of Place Shape Social Life; University of Chicago Press: Chicago, IL, USA, 2016. [Google Scholar]
- Zhang, Z.; Yu, B. Analysis of Development Pathways for China’s Cultural Industry Parks: A Scenes Perspective. Publ. Res. 2019, 33–37+27. [Google Scholar] [CrossRef]
- Chen, B.; Yan, S. A Study on the Increase of Cultural Value of Intangible Cultural Heritage Tourism Sites under the Scene Theory: Based on the Data of 27 Intangible Cultural Heritage Tourism Towns in Zhejiang Province. J. Tongji Univ. (Soc. Sci. Ed.) 2022, 33, 20–32. [Google Scholar]
- Chen, Z.; Li, Y. Digital Services in Cultural and Tourism Integration Scenarios: Research on Main Types and User Experience. Libr. Inf. 2022, 42, 71–83. [Google Scholar]
- Wu, S.; Liu, X. Research on the Influencing Factors and Mechanisms of Customers’ Consumption Willingness in Physical Bookstores from the Perspective of Scene Theory. View Publ. 2024, 52–61. [Google Scholar] [CrossRef]
- Chen, B.; Zhao, R. Construction and Empirical Study of Evaluation Index System for Intangible Cultural Heritage Inheritance Scenarios in Chinese Cities. J. Cent. China Norm. Univ. (Humanit. Soc. Sci.) 2020, 59, 78–86. [Google Scholar]
- Rixom, J.M.; Rixom, B.A. Perceived Brand Authenticity: Examining the Effects of Inferred Dedication and Anticipated Quality on Consumers’ Purchase Intentions and Actual Choices. J. Consum. Behav. 2023, 22, 721–737. [Google Scholar] [CrossRef]
- Gao, G.; Greenwood, B.N.; Agarwal, R.; McCullough, J.S. Vocal Minority and Silent Majority. MIS Q. 2015, 39, 565–590. [Google Scholar] [CrossRef]
- Lu, S.F.; Rui, H. Can We Trust Online Physician Ratings? Evidence from Cardiac Surgeons in Florida. Manag. Sci. 2018, 64, 2557–2573. [Google Scholar] [CrossRef]
- Chen, H.; Ding, X.; Ding, L. Scenes, Interaction, Community and Values: A Service Experience Design Framework for Museum Public Space Based on the Theory of Experience Preference. In Proceedings of the Design, User Experience, and Usability; Marcus, A., Rosenzweig, E., Soares, M.M., Eds.; Springer Nature: Cham, Switzerland, 2023; pp. 27–39. [Google Scholar]
- Fraccascia, L.; Giannoccaro, I.; Albino, V. Rethinking Resilience in Industrial Symbiosis: Conceptualization and Measurements. Ecol. Econ. 2017, 137, 148–162. [Google Scholar] [CrossRef]
- Ivanov, D.; Sokolov, B.; Kaeschel, J. A Multi-Structural Framework for Adaptive Supply Chain Planning and Operations Control with Structure Dynamics Considerations. Eur. J. Oper. Res. 2010, 200, 409–420. [Google Scholar] [CrossRef]
- Kaveshgar, N.; Huynh, N. Integrated Quay Crane and Yard Truck Scheduling for Unloading Inbound Containers. Int. J. Prod. Econ. 2015, 159, 168–177. [Google Scholar] [CrossRef]
- İnkaya, T.; Akansel, M. Coordinated Scheduling of the Transfer Lots in an Assembly-Type Supply Chain: A Genetic Algorithm Approach. J. Intell. Manuf. 2017, 28, 1005–1015. [Google Scholar] [CrossRef]
- Deng, W.; Zhu, L.; Shen, Y.; Zhou, C.; Guo, J.; Cheng, Y. A Novel Multi-Objective Optimized DAG Task Scheduling Strategy for Fog Computing Based on Container Migration Mechanism. Wirel. Netw. 2025, 31, 1005–1019. [Google Scholar] [CrossRef]
- Wang, J. Research on Route Optimization of Joint Distribution Vehicles for Fresh Food E-Commerce Based on Multi-Objective Decision-Making. Master’s Thesis, Chongqing University, Chongqing, China, 2018. [Google Scholar]
- Ge, X.; Zou, D. The vehicle routing problem of cross-warehouse distribution in the supply chain environment. Comput. Eng. Appl. 2018, 54, 252–259. [Google Scholar]
- Yao, J. SMC Supply Chain Scheduling Optimization Based on Multi-Stage Differential Scale Effects. Chin. J. Manag. 2015, 12, 126–133. [Google Scholar]



| Dimension | Art-Driven Rural Revitalization Communities | Heritage-Based Cultural Tourism Communities | Emerging Cultural and Tourism Communities (This Study) |
|---|---|---|---|
| Primary Cultural Resource | Rural landscapes, vernacular culture, artistic intervention | Historical and cultural heritage (tangible and intangible) | Purpose-built architecture, cultural facilities, and curated experiential resources |
| Cultural Formation Logic | External artistic intervention activates existing rural culture | Heritage preservation and interpretation | Construction of new place-based culture through design, programming, and symbolic spaces |
| Community Development Form | Bottom-up or artist-led rural regeneration | Conservation-oriented tourism development | Developer-initiated or platform-based community development |
| Institutional Structure | Informal or semi-formal community organizations | Heritage protection institutions, public-sector dominance | Enterprise-led platforms integrating multiple stakeholders |
| Governance Mode | Participatory and community-oriented governance | Regulatory and preservation- oriented governance | Flexible and coordination-oriented governance |
| Resident/Community Participation | High local resident participation | Limited resident participation, expert-driven | Hybrid participation involving residents, visitors, and cultural actors |
| Resource Organization | Incremental integration of artistic and rural resources | Resource protection and controlled utilization | Systematic integration of heterogeneous resources (architecture, culture, services, social interaction) |
| Role of Cultural Facilities | Supporting and symbolic | Interpretive and educational | Central anchors of spatial quality and experiential value |
| Implications for Resource Integration | Moderate integration needs | Limited integration needs | High dependence on resource integration for value creation and sustainability |
| Typical Examples | Art villages, artist-in-residence communities | Historic towns, heritage districts | Anaya Cultural and Tourism Community |
| Primary Dimension | Secondary Indicator | Adapted Dimension for Cultural Tourism Communities | Calculation Method |
|---|---|---|---|
| Authenticity () | Rational | Logical Consumption () | The tourist’s perception of price reasonableness is influenced by the relationship between the reference price (), the actual price (), and the highest price the tourist is willing to accept (). The acceptable highest price is related to the tourist’s demand preference; the more price-sensitive the tourist, the lower the acceptable highest price. Therefore, . |
| Local | Regional Distinctiveness () | Authenticity is influenced by factors such as expected levels and consumer preferences [44]; therefore, this study measures authenticity by comparing the expected level, minimum acceptable level, perceived actual level, and demand preference. This article lets be the tourist’s expected level of regional uniqueness for the cultural tourism community before the trip, be the perceived actual level of regional uniqueness, and be the minimum acceptable level of regional distinctiveness. The minimum acceptable level is related to demand preference; the more sensitive the tourist is to regional uniqueness, the closer the acceptable level is to the expected level, hence . | |
| National | Community Characteristics () | Let be the tourist’s expected level of community integration before the trip, be the perceived actual level of community integration, and be the minimum acceptable level. The minimum acceptable level is related to demand preference; the more sensitive the tourist is to community integration, the closer the acceptable level is to the expected level, hence . | |
| Corporatist | Cultural Distinctiveness () | Let be the tourist’s expected level of cultural distinctiveness before the trip, be the perceived actual level, and be the minimum acceptable level. The minimum acceptable level is related to demand preference; the more sensitive the tourist is to cultural distinctiveness, the closer the acceptable level is to the expected level, hence . | |
| Ethnic | Ethnic Characteristics () | Let be the tourist’s expected level of ethnic characteristics before the trip, be the perceived actual level, and be the minimum acceptable level. The minimum acceptable level is related to demand preference; the more sensitive the tourist is to ethnic characteristics, the closer the acceptable level is to the expected level, hence | |
| Theatricality () | Neighborly | Friendliness () | Each tourism resource supplier () provides types of services (e.g., commerce, dining). Each service type contains forms of service delivery, which may differ in perceived friendliness. For example, for a commercial service, supplier may only offer standard courier online ordering with home delivery, while supplier may offer both home delivery and in-store VIP reception, leading to different friendliness evaluations for different forms. Let represent the evaluation by a tourist () of the friendliness of each service form () under each service type () provided by resource s, where ‘strong friendliness’ = 1, ‘relatively strong’ = 0.7, ‘relatively weak’ = 0.4, and ‘low’ = 0.1. The calculation method for tourist is: |
| Formal | Sophistication () | Similar to . Let represent the tourist’s evaluation of the sophistication of each service form () under each service type () provided by resource , where ‘strong sophistication’ = 1, ‘relatively strong’ = 0.7, ‘relatively weak’ = 0.4, and ‘low’ = 0.1. | |
| Exhibition | Aesthetic Appeal () | Similar to . Let represent the tourist’s evaluation of the sophistication of each service form () under each service type () provided by resource , where ‘strong appeal’ = 1, ‘relatively strong’ = 0.7, ‘relatively weak’ = 0.4, and ‘low’ = 0.1. | |
| Trendy | Fashionability () | Similar to . Let represent the tourist’s evaluation of the fashionability of each service form () under each service type () provided by resource , where ‘strong fashionability’ = 1, ‘relatively strong’ = 0.7, ‘relatively weak’ = 0.4, and ‘low’ = 0.1. | |
| Transgressive | Compliance () | Similar to . Let represent the tourist’s evaluation of the compliance of each service form () under each service type () provided by resource , where ‘strong compliance’ = 1, ‘relatively strong’ = 0.7, ‘relatively weak’ = 0.4, and ‘low’ = 0.1. | |
| Legitimacy () | Traditionalist | Credibility () | Similar to . Let represent the tourist’s evaluation of the credibility of each service form () under each service type () provided by resource , where ‘strong credibility’ = 1, ‘relatively strong’ = 0.7, ‘relatively weak’ = 0.4, and ‘low’ = 0.1. |
| Self-expressive | Degree of Freedom () | The actual number of service combinations provided is , and the tourist’s minimum required number of service combinations is . | |
| Utilitarian | Demand Matching Degree () | Referring to previous literature, this paper uses the positive review rate of notes posted by tourists on social media as an indicator [45,46]. Natural language processing techniques are employed for sentiment analysis, categorizing text as positive, neutral, or negative. The ratio of cumulative positive reviews to total reviews for each service provided by resource in each month is calculated as . Let the tourist’s demand for tourism services be , and the quantity of tourism services that the resource can provide be . | |
| Charismatic | Fairness () | The number of complaints regarding fairness received by the community management office is , and the total number of tourism resources within the community is . | |
| Egalitarian | Attractiveness () | The tourist’s evaluation of the attractiveness of tourism resource is , and the number of services provided by resource is . |
| Excellent (A) | Good (B) | Fair (C) | Poor (D) |
|---|---|---|---|
| Category | Symbol | Description |
|---|---|---|
| Indices | Index for service type, where . denotes the total number of service types offered by the cultural tourism community. | |
| Index for tourist groups, where . represents the total number of tourist groups identified by the community management. | ||
| Index for tourism resources, where . indicates the total number of candidate tourism resources available for providing service . | ||
| Parameters | The spatially perceived quality of tourism resource for service by tourist , incorporating social influence. | |
| The dynamic adaptability evaluation of tourism resource in providing service . | ||
| The cost expectation fulfillment rate of tourism resource when providing service . | ||
| The minimum acceptable level of spatially perceived quality for tourist , as set by the community management. | ||
| The maximum service capacity of tourism resource . | ||
| The maximum demand for tourism resource from tourists. | ||
| A binary decision variable, where if tourism resource is selected by the community management to provide service ; otherwise, . | ||
| Decision Variable | Index for service type, where . denotes the total number of service types offered by the cultural tourism community. |
| Characteristics | Items | Frequency | % |
|---|---|---|---|
| Gender | Male | 159 | 48.8 |
| Female | 167 | 51.2 | |
| Age | Under 18 | 5 | 1.5 |
| 20–30 years | 74 | 22.7 | |
| 30–45 years | 181 | 55.5 | |
| 45–65 years | 60 | 18.4 | |
| Over 65 | 6 | 1.9 | |
| Education | Senior high school and below | 26 | 8.0 |
| Junior college | 59 | 18.1 | |
| Undergraduate | 202 | 62.0 | |
| Master’s degree and above | 39 | 12.0 | |
| Monthly income (RMB) | ≤5000 | 42 | 12.9 |
| 5001–10,000 | 88 | 27.0 | |
| 10,001–20,000 | 124 | 38.0 | |
| >20,000 | 72 | 22.1 |
| Integration Parameter | S1 | S2 | S3 | S4 | |
|---|---|---|---|---|---|
| Perceived Spatial Quality | Authenticity | B | A | C | C |
| Theatricality | C | D | A | C | |
| Legitimacy | B | B | C | B | |
| Dimension Weights | |||||
| Dynamic Adaptability | 0.347 | 0.343 | 0.425 | 0.536 | |
| Cost Expectation Fulfillment Rate | 0.698 | 0.857 | 0.824 | 0.741 | |
| Minimum Acceptable Perceived Spatial Quality | 0.51 | ||||
Disclaimer/Publisher’s Note: The statements, opinions and data contained in all publications are solely those of the individual author(s) and contributor(s) and not of MDPI and/or the editor(s). MDPI and/or the editor(s) disclaim responsibility for any injury to people or property resulting from any ideas, methods, instructions or products referred to in the content. |
© 2026 by the authors. Licensee MDPI, Basel, Switzerland. This article is an open access article distributed under the terms and conditions of the Creative Commons Attribution (CC BY) license.
Share and Cite
Sun, Z.; Yao, J. Optimizing Sustainable Resource Integration in Cultural and Tourism Communities Considering Community Influence on Spatial Quality. Sustainability 2026, 18, 1714. https://doi.org/10.3390/su18041714
Sun Z, Yao J. Optimizing Sustainable Resource Integration in Cultural and Tourism Communities Considering Community Influence on Spatial Quality. Sustainability. 2026; 18(4):1714. https://doi.org/10.3390/su18041714
Chicago/Turabian StyleSun, Zixuan, and Jianming Yao. 2026. "Optimizing Sustainable Resource Integration in Cultural and Tourism Communities Considering Community Influence on Spatial Quality" Sustainability 18, no. 4: 1714. https://doi.org/10.3390/su18041714
APA StyleSun, Z., & Yao, J. (2026). Optimizing Sustainable Resource Integration in Cultural and Tourism Communities Considering Community Influence on Spatial Quality. Sustainability, 18(4), 1714. https://doi.org/10.3390/su18041714
