Next Article in Journal
A Multi-Objective Inventory Routing Framework for Rural Freight Logistics
Previous Article in Journal
Optimizing Sustainable Resource Integration in Cultural and Tourism Communities Considering Community Influence on Spatial Quality
 
 
Font Type:
Arial Georgia Verdana
Font Size:
Aa Aa Aa
Line Spacing:
Column Width:
Background:
Article

Green Regeneration of Dredged Sediments: Desalination and Amendment for the Preparation of Greening Soil

1
CHN Energy Longyuan Environmental Protection Co., Ltd., Beijing 100039, China
2
School of Chemical and Environmental Engineering, China University of Mining and Technology, Beijing 100083, China
*
Author to whom correspondence should be addressed.
These authors contributed equally to this work.
Sustainability 2026, 18(4), 1716; https://doi.org/10.3390/su18041716
Submission received: 18 December 2025 / Revised: 25 January 2026 / Accepted: 5 February 2026 / Published: 7 February 2026
(This article belongs to the Section Pollution Prevention, Mitigation and Sustainability)

Abstract

The rapid expansion of coastal dredging projects has resulted in the accumulation of large volumes of dredged sediments, creating significant environmental and land-use challenges. Conventional disposal methods, such as landfilling and marine dumping, not only waste valuable resources but also pose risks, including heavy metal contamination and excessive salinity. In this study, dredged sediment from the former sedimentation area of Huanghua Port was systematically examined for its potential reuse as greening soil through a three-stage approach: desalination, amendment with additives, and composting. Water-washing experiments were conducted to optimize desalination parameters, with a focus on the effects of solid-to-liquid ratios and washing solution concentrations on electrical conductivity reduction. Biochar, fly ash, and wood vinegar were then applied as amendments to evaluate their impacts on soil properties, including pH, organic matter, electrical conductivity, and cation exchange capacity. In addition, co-composting experiments with dredged sediment and crop straw were designed to investigate composting dynamics and changes in physicochemical characteristics under different mixing ratios. The results showed that two washes with a 0.3% NaCl solution effectively reduced electrical conductivity to acceptable levels. Subsequent amendment and composting treatments markedly enhanced soil fertility and ecological suitability. In particular, the combination of 1000-fold diluted wood vinegar and straw-to-sediment composting at a 1:3 weight ratio enabled the amended sediment to meet the Chinese standards for Planting Soil Green. Overall, this study establishes a scientific basis and practical strategy for the sustainable recycling of dredged sediments, supporting their application in urban greening and ecological restoration.

1. Introduction

Each year, port maintenance and navigational dredging activities worldwide generate hundreds of millions of cubic meters of dredged sediments [1,2]. If not properly managed, these materials can exert long-term pressure on ecosystems and land resources [3]. Conventional disposal methods, such as ocean dumping and landfilling, are increasingly restricted by environmental regulations due to their associated risks of pollution and resource wastage [4,5]. Driven by the principles of environmental sustainability and the circular economy, the green utilization of dredged sediments has gained growing attention [6]. Due to their richness in organic matter (OM) nutrients and water-holding capacity, dredged sediments exhibit promising potential as plant growth substrates, particularly in agriculture, horticulture, and ecological restoration applications [7,8,9].
At present, peat-based substrates with high OM content are widely used in greening and horticultural industries [10,11]. However, the extraction of peat is increasingly associated with severe ecological degradation and substantial carbon emissions, while its limited regional availability further exacerbates the pressure on soil resources [12,13]. Against this backdrop, there is an urgent need to identify sustainable, low-carbon, and locally available alternatives to peat [14,15]. Dredged sediments, due to their favorable water retention capacity and moderate nutrient content, have been recognized as a promising substitute soil resource [16]. Their application in nursery cultivation, landscape greening, and the restoration of degraded land holds significant potential to alleviate soil shortages, promote the valorization of organic waste, and contribute to carbon sequestration within land systems [17].
Previous studies have explored various pathways for the reuse and recycling of dredged sediments, which can be broadly classified into several categories. These include (i) direct reuse in land reclamation, wetland restoration, and coastal engineering projects [18]; (ii) stabilization/solidification or chemical treatment to reduce contaminant mobility for use as construction or fill materials [19]; (iii) amendment-based approaches aimed at improving physicochemical properties for agricultural or greening applications [20]; and (iv) composting or co-composting with organic wastes to enhance organic matter content and biological activity [21]. In recent years, increasing attention has been paid to combining physical, chemical, and biological treatments to overcome the limitations of single-method approaches, particularly with respect to salinity control, nutrient deficiency, and plant compatibility.
Although dredged marine sediments hold potential as an alternative resource for greening purposes, their direct application still faces multiple challenges [22,23]. In contrast to developing regions, many developed countries have established relatively mature systems for the reuse of dredged materials [24]. For example, the Poplar Island project in the United States utilizes dredged sediments for wetland restoration [25]. In addition to Europe and North America, dredged sediment reuse has also been widely implemented in Japan and New Zealand, particularly for land reclamation, coastal restoration, and other beneficial applications in civil and environmental engineering [26,27,28]. However, in China, the rate of dredged sediment resource utilization remains low [29]. Regulatory frameworks and legislative restrictions, rather than technical feasibility, are often the primary barriers to the reuse and recycling of dredged sediments. In particular, the application of dredged sediments for greening purposes is hindered by issues such as elevated salinity and low OM content, making it difficult to meet current soil quality standards [30,31]. Therefore, there is an urgent need to develop efficient and cost-effective amendment technologies tailored to greening soil applications.
This study focuses on three key aspects of dredged sediment utilization: salinization removal, composting, and soil improvement. Representative dredged sediment samples from Huanghua Port were selected to conduct optimization experiments on water-washing parameters, aiming to identify suitable solid-to-liquid ratios and washing solution concentrations. Subsequently, amendment materials including fly ash (FA), biochar (BC), and wood vinegar (WV) were applied to systematically evaluate their effects on key soil properties such as electrical conductivity (EC), pH, OM content, and cation exchange capacity (CEC). In addition, a co-composting experiment incorporating plant straw was conducted to explore its potential for enhancing the maturation quality of dredged sediments. The overarching goal of this study is to establish a green and scalable approach for the treatment and valorization of large volumes of dredged sediments in port areas, thereby improving the sustainable supply of soil resources for urban ecosystem development. To the best of our knowledge, this study represents one of the few attempts to systematically integrate seawater desalination and sediment amendment, with composting employed as an auxiliary treatment, to convert dredged sediments into soil suitable for greening applications.

2. Experimental Section

2.1. Characterization of Dredged Sediment

The dredged soil samples used in the experiment were taken from a port in Tianjin. The sample appeared moist and dark in color, primarily composed of fine-grained particles. Figure S1 shows the dredged sediment samples in their air-dried form and after grinding and passing through a 2 mm sieve. Subsequently analyzed for key physicochemical properties. The results are presented in Table S1.

2.2. Water-Washing Desalination Experimental Design

2.2.1. Optimization of Solid-to-Liquid Ratio

Tap water was selected as the washing solution for the dredged sediment. Three groups of 200 g dredged sediment samples were homogenized and placed into beakers. Washing solutions were added to achieve solid-to-liquid ratios of 1:1, 1:0.8, and 1:0.6 (water to sediment by weight), respectively. The mixtures were stirred for 3 min until uniform slurry formation, followed by vacuum filtration. After the sediment samples formed dry mud cakes, approximately 25 g of sediment residue on the filter paper from each group was collected to measure moisture content, EC [32], and pH [33] after the first filtration. If the results of a washing test did not meet the requirements of greening planting soil (EC: 0.15~0.9 mS/cm) [34], 100 g of the sediment residue after the first filtration was taken for a second washing using the same solid-to-liquid ratios (1:1, 1:0.8, and 1:0.6). The slurry was stirred for 3 min and vacuum filtered again. The moisture content, conductivity and pH value of the sediment samples after the second filtration were determined, and the optimal solid–liquid ratio was determined by referring to the Chinese standard Planting Soil for green standard [34]. The threshold values reported in Table 1 are derived from the Chinese national technical guideline for soil reuse (PLANNING, 2016). These values represent the regulatory criteria used in practice to evaluate the suitability of dredged sediment for reuse as greening soil. For clarity and accessibility to international readers, the relevant threshold values have been explicitly listed in the table.

2.2.2. Optimization of Washing Solution

The mixtures were stirred for 3 min until a uniform slurry was formed, followed by vacuum filtration. After the sediment samples formed dry mud cakes, approximately 25 g of sediment residue on the filter paper from each group was collected to measure moisture content, electrical conductivity (EC), and pH after the first filtration. Subsequently, 100 g of the sediment residue after the first filtration was subjected to a second washing with the respective washing solutions (tap water, 0.3% NaCl, and 0.5% NaCl) at the same solid-to-liquid ratio. The slurry was stirred for 3 min and vacuum filtered again. Moisture content, EC, and pH of the sediment samples after the second filtration were measured.

2.3. Experimental Methods for Amending Dredged Sediment into Greening Soil

2.3.1. Composting Method

Composting is a biochemical process under controlled conditions that utilizes naturally occurring microorganisms—such as bacteria, actinomycetes, and fungi—to mineralize, humify, and detoxify organic wastes derived from biological sources, transforming biodegradable OM into stable humus [35]. During aerobic composting, weed seeds and pathogens in the organic waste can be eliminated, while microorganisms metabolize and decompose organic substances, reducing the volume of the raw material. The resulting stabilized OM serves as an organic fertilizer and soil conditioner, promoting resource recovery and providing agronomic benefits [36].
In this study, the desalinated dredged sediment described in Section 2.2 was used as the main raw material and mixed with pulverized plant residues and forest litter. Three mixing ratios of dredged sediment to plant residues (1:1, 3:1, and 1:0 on a mass basis) were prepared to adjust the C/N ratio of the composting substrates. Basic physicochemical properties of the dredged sediment before and after composting—including pH, EC, OM content, and CEC—were measured. The composting experiments were conducted indoors, with three cylindrical compost piles (based on fresh mass) corresponding to the treatments. The initial moisture content of each pile was adjusted to 55–60%, and a fermentation inoculant was added. The piles were turned every five days over a total composting period of 15 days. Samples of 100 g were collected on days 0, 2, 4, 6, 8, 10, 12, and 14. Each sample was split into two portions: 50 g of fresh sample was stored at 4 °C for subsequent analysis of basic physicochemical properties, and the other 50 g was air-dried, ground, and sieved for further testing.
Composting was conducted in laboratory-scale units with a working volume of 10 L for each treatment, and all experiments were performed in triplicate. Aeration was provided using an air pump to ensure sufficient oxygen supply throughout the composting process. An external heating device was applied to maintain the composting temperature above 45 °C, corresponding to thermophilic composting conditions. The moisture content of the composting mass was regularly monitored and adjusted to maintain suitable conditions for microbial activity.

2.3.2. Amendment Treatments

A total of nine experimental groups were established to conduct single-amendment tests. Each amendment was applied at three different dosage levels. WV was added at 16 mL per gram of sediment with dilution factors of 10, 200, and 1200 times. FA and BC were incorporated at volumetric ratios of 2, 6, and 10% relative to the dredged sediment (Table S2). The amended sediments were analyzed for pH, EC, OM content, and CEC, with each measurement performed in triplicate. Based on the results of these single-amendment tests, the effects and mechanisms of each amendment on the physicochemical properties of dredged sediment were evaluated.

2.4. Experimental Methods for Pot Cultivation

A pot experiment was conducted using ryegrass as an indicator plant to investigate the effects of desalination and WV improvement on the planting performance of dredged soil. Two types of dredged soil treatments (original dredged soil and desalinated dredged soil) and four types of WV treatments (without WV, diluted 10 times [concentration 10% v/v], diluted 200 times [0.5% v/v], diluted 1000 times [0.1% v/v]) were set up for the experiment, with a uniform amount of WV applied at 6 mL/g dry weight, the original dredged soil treatments were labeled as A1–A4, and the desalinated dredged soil treatments were labeled as B1–B4. A total of 8 groups of treatments were set up, with 3 parallel samples in each group, totaling 24 pots. Mix the diluted WV solution evenly in the substrate before sowing, let it stand for 12 h, and then sow 60 ryegrass seeds of the same quantity. Maintain appropriate humidity and natural light during the planting process. The germination rate was measured on the 15th day of sowing, the plant height was measured on the 25th day, and the dry weight of the plant was measured on the 30th day of harvest. At the same time, observe the development of the root system and leaf growth. By comparing the growth differences of ryegrass under different treatments, the comprehensive effects of WV concentration and desalination treatment on the planting performance of dredged soil were analyzed.

3. Results and Discussions

3.1. Analysis of Water-Washing Desalination Efficiency

Soil EC is a critical indicator of the concentration of soluble salts in the soil [37]. Elevated EC values typically indicate high soil salinity, which poses risks of soil salinization and can adversely affect plant growth [38]. To systematically investigate the effects of solid-to-liquid ratio and washing solution type (tap water versus low-concentration saline water) on the efficiency of salt removal from dredged sediment by washing and vacuum filtration, this study designed experiments with varying solid-to-liquid ratios and washing solutions. The dredged sediment was mechanically stirred and washed, followed by vacuum filtration. The treated sediment samples were dried, and their key physicochemical properties were determined, with a particular focus on changes in EC to evaluate desalination performance.

3.1.1. Effect of Different Water-to-Sediment Ratios on Desalination Efficiency of Dredged Sediment

Dredged sediment samples were subjected to two successive washing and vacuum filtration treatments at water-to-sediment weight ratios of 1:1, 0.8:1, and 0.6:1. After each filtration, key physicochemical properties were measured. The results, along with the corresponding trends in EC, are presented in and Figure 1. The experimental data indicate that all treatment groups met the EC threshold specified in the Technical Specification for Greening Planting Soil (CJ/T 340-2016) [34] after two washing cycles. Among the treatments, the 1:1 water-to-sediment ratio achieved the most effective desalination, reducing EC from X to 0.37 mS/cm after the second filtration. The 0.8:1 treatment followed closely with an EC of 0.47 mS/cm, while the 0.6:1 treatment exhibited the least effective salt removal, resulting in the highest final EC of 0.54 mS/cm. Although the 1:1 treatment showed the greatest desalination efficiency, the 0.8:1 ratio achieved comparable compliance with 20% less water usage. In contrast, while the 0.6:1 treatment minimized water consumption, its reduced salt removal efficiency and relatively high final EC raise concerns about insufficient desalination. Overall, considering both salt removal effectiveness and water resource efficiency, the 0.8:1 water-to-sediment ratio offers an optimal balance—ensuring regulatory compliance while significantly reducing water usage and avoiding the limitations observed with lower water input.
After a single filtration, the EC of the dredged sediment sample with a water-to-sediment ratio of 1:1 decreased significantly, dropping from an initial 4.0 to 0.92 mS/cm—a reduction of 77%. This result suggests that the EC of the 1:1 treatment group nearly meets the threshold specified in the Technical Specification for Greening Planting Soil. Based on this substantial improvement, the study posed the question: is it feasible to optimize the water-to-sediment ratio such that a single filtration step is sufficient to meet the EC requirement? To systematically evaluate the feasibility of a more cost-effective single-filtration approach, 12 experimental groups were established with water-to-sediment ratios ranging from 0.6 to 2.0. The EC values of dredged sediment samples after single filtration under different ratios are presented in Figure S2.
The results reveal a non-monotonic trend in EC as the water-to-sediment ratio increases. Specifically, EC decreased initially and then increased with rising water content. At a ratio of 1.5, the EC reached its lowest value of 850 μS/cm. Within the range of 0.8 to 1.5, EC fluctuations were relatively minor. Notably, only the 1.5 ratio treatment achieved full compliance with the CJ/T 340-2016 standard for salt content in greening soils.
However, under real-world engineering conditions, the moisture content of the dredged sediment after filtration may be significantly higher than under controlled laboratory settings. This could result in incomplete salt removal, meaning the actual desalination performance may fall short of laboratory outcomes. This discrepancy is mainly attributed to limited water evaporation, reduced filtration efficiency, and altered salt-release behavior of sediment particles under variable moisture conditions in the field [39].
Furthermore, the 1.5 water-to-sediment ratio requires a relatively high volume of water, which poses clear economic disadvantages. Considering the combined factors of technical feasibility and cost-effectiveness for field-scale implementation, the single-filtration method is unlikely to meet practical engineering demands. Therefore, this study adopted a treatment strategy based on a water-to-sediment ratio of 0.8 combined with two successive filtration steps for subsequent experimental investigations.

3.1.2. Effects of Different Washing Solutions on the Desalination Efficiency of Dredged Sediment

To investigate the influence of different washing solutions on the salt content of dredged sediment, three washing media were selected: tap water, 0.3% NaCl solution, and 0.5% NaCl solution. Two rounds of vacuum filtration were performed using a fixed water-to-sediment ratio of 0.8. As shown in Figure 1, after two washing–filtration cycles, the electrical conductivity EC of the dredged sediment was significantly reduced in all treatment groups, with final EC values meeting the threshold specified by the Technical Specification for Greening Planting Soil (CJ/T 340-2016). Among the treatments, tap water demonstrated the most effective desalination performance, reducing the EC to 0.45 mS/cm. The 0.3% and 0.5% NaCl solutions also achieved effective desalination, with final ECs of 0.66 and 0.69 mS/cm, respectively. Although slightly higher than that of the tap water group, the differences were not statistically significant, indicating that low-salinity solutions still exhibit substantial salt removal capacity.
Notably, the typical salinity of ballast water in Huanghua Port (~0.3%) is closely aligned with the NaCl concentrations used in this study (0.3–0.5%). The experimental results suggest that low-salinity water bodies, such as ballast water, can be effectively used as washing media for desalination of dredged sediment, thereby confirming the technical feasibility of applying ballast water directly in sediment washing processes. While tap water achieved the highest desalination efficiency, its large-scale application would impose significant pressure on freshwater resources, undermining the sustainability objectives of green dredged material management. Therefore, using low-salinity water not only circumvents the dependence on freshwater as a desalination agent, but also reduces overall project costs and eliminates the need for separate ballast water treatment. This approach enables in situ recycling of saline water resources in port environments and provides a cost-effective and sustainable solution for the eco-friendly treatment of dredged sediments.
Additionally, the EC values of dredged sediment treated with 0.3% and 0.5% NaCl solutions after two filtration cycles showed minimal differences. However, the higher concentration (0.5%) requires additional NaCl dosing, which increases reagent costs and may introduce excessive sodium ions, potentially resulting in soil compaction and secondary salinization risks [40]. Consequently, the feasibility of using 0.5% NaCl as a washing agent is significantly lower compared to 0.3% NaCl. Based on these findings, the 0.3% NaCl solution was selected as the washing agent for subsequent filtration–desalination experiments.
It should be noted that the use of a 0.3% NaCl solution in this study was not intended to introduce additional chemical inputs, but rather to simulate the salinity of local port ballast water. In the study area, ballast water with similar salinity is routinely generated and requires treatment prior to discharge. From this perspective, the proposed desalination process can be regarded as a waste-to-waste utilization strategy, in which low-salinity wastewater is reused as a washing medium for dredged sediment. This approach avoids the consumption of freshwater resources and does not introduce new saline effluents beyond those already present in port operations.

3.2. Effect of Composting on the Remediation Performance of Dredged Sediment

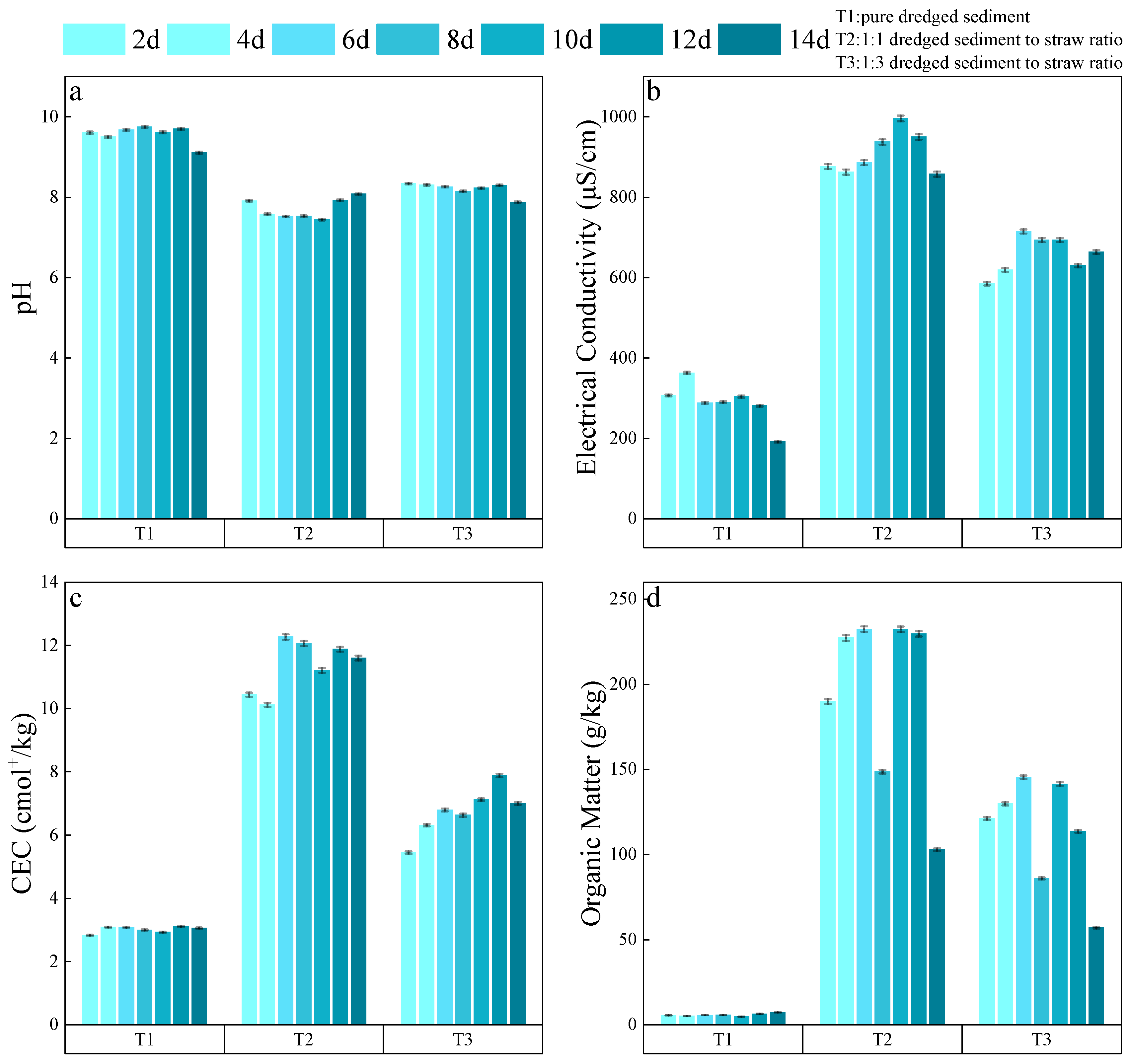
3.2.1. Impact of Composting on the Basic Physicochemical Properties of Dredged Sediment

The dynamics of pH across different dredged sediment/straw mixing ratios during composting revealed significant variations in acid–base characteristics among treatment groups. In the T1 group (pure dredged sediment), the pH consistently remained above 9.0, with a peak value of 9.8 observed during the fourth sampling event (Figure 2a), far exceeding the upper limit specified in the Technical Specification for Greening Planting Soil (CJ/T 340-2016). This result indicates the inherently alkaline pH of dredged sediment, which, if directly applied, could severely inhibit plant growth [41]. The persistent high pH in the T1 group can be attributed to the absence of OM input, which limited microbial decomposition and the associated generation of acidic intermediates (e.g., organic acids and carbonic acid from CO2 dissolution), thus failing to neutralize the alkaline pH components [42].
After 15 days of cultivation, the pH value of the T2 group (1:1 mixing ratio) showed a trend of first decreasing and then increasing: initially decreasing from 7.9 to 7.4, and then rising again to 8.1, approaching the upper limit of the standard range (Figure 2a). This trend suggests that the addition of straw facilitated the decomposition of readily degradable OM during the early composting phase, leading to acid production and a corresponding pH decrease. However, in the later stage, the pH rebound may be due to the mineralization of nitrogenous organic compounds and the subsequent release of ammonia, or reduced ammonia volatilization during the thermophilic phase.
In the T3 group (1:3 mixing ratio), the pH steadily decreased from 8.34 to 7.88, though it remained slightly above the upper limit of the standard. The higher straw content provided a continuous supply of degradable carbon, promoting sustained acid production that suppressed pH elevation. Nevertheless, the high buffering capacity of calcium and magnesium-based cations in the dredged sediment likely slowed the acidification process, resulting in a final pH still above 8.0. Although the increased straw content in the T3 group improved aeration, thereby enhancing aerobic metabolism and the accumulation of acidic byproducts, the resulting acidification effect was insufficient to fully neutralize the inherent alkaline sediment.
Overall, the incorporation of straw proved effective in reducing the pH of dredged sediment; however, under the current mixing ratios, none of the composted products fully met the pH requirements for greening soil. Future studies should explore optimization of straw addition rates, incorporation of acidic soil conditioners, and extension of composting duration to enhance OM stabilization and pH regulation, thereby improving the agronomic suitability of the final composted product.
The temporal variation in EC under different dredged sediment-to-straw mixing ratios revealed distinct patterns of salt accumulation among the treatment groups. According to Figure 2b, in the T1 group (pure dredged sediment), the overall EC remained low and significantly declined in the later stages, reaching 191 μS/cm—approaching the lower limit (150 μS/cm) set by the Technical Specification for Greening Planting Soil (CJ/T 340-2016). This indicates that the dredged sediment inherently contains a limited amount of soluble salts, and prolonged aeration may promote salt leaching. The absence of straw in T1 resulted in restricted microbial activity and minimal generation of ionic species (e.g., NH4+, NO3) from OM mineralization. Additionally, the slow release of native base cations (e.g., Ca2+, Mg2+) from the sediment contributed to the overall low EC values.
In contrast, the T2 group exhibited consistently high EC values, exceeding 876 μS/cm throughout the composting process, with a peak of 996 μS/cm—well above the standard threshold—indicating a potential risk of salinization. The elevated EC in T2 is primarily attributed to the rapid decomposition of straw-derived OM, which released large quantities of soluble salts. This effect was further intensified by vigorous microbial metabolism during the thermophilic phase. Enhanced aeration conditions may have also accelerated ammonia volatilization, reducing nitrogen retention and promoting the dissolution of additional salts. The observed EC fluctuations in the middle to late stages may be associated with water loss due to evaporation, leading to relatively concentrated salt levels, as well as the dynamic equilibrium between salt precipitation and dissolution.
The EC values in the T3 group ranged between 585 and 715 μS/cm—within the acceptable standard range, though nearing the upper limit—suggesting a potential risk of osmotic stress. The higher straw content in T3 optimized the C/N ratio, facilitating more complete microbial decomposition of OM and minimizing the accumulation of intermediate metabolites. Simultaneously, the improved porosity of the composting mass enhanced aerobic microbial processes while suppressing anaerobic pathways that could generate harmful ions such as sulfides [43]. These factors collectively contributed to a moderated increase in EC.
The differences in EC dynamics among treatments were primarily governed by the degree of OM decomposition and the balance of microbial metabolic byproducts. For T2, adjustments in the mixing ratio or the addition of adsorptive materials may be required to regulate salt release. Although T3 met the standard, an extended composting period may be necessary to further stabilize soluble salts. These findings underscore the complexity of EC regulation in dredged sediment–straw co-composting systems and provide critical insights for salt management in large-scale engineering applications.

3.2.2. The Influence of Composting Method on Nutrient Indicators of Dredged Soil

The CEC of the composted dredged sediment exhibited significant variation across treatments, reflecting differences in the availability of clay minerals and organic functional groups. According to Figure 2c, in the T1 group (pure dredged sediment), CEC values remained consistently low, ranging from 2.83 to 3.11 cmol+/kg, indicating a limited clay mineral content and absence of OM input, which together resulted in a poor cation adsorption capacity. In contrast, the T2 group (1:1 dredged sediment to straw ratio) showed a substantial increase in CEC, with an initial value of 10.44 cmol+/kg, maintaining relatively high levels during the early to mid-composting stages before slightly increasing to 11.60 cmol+/kg in the final stage. This enhancement can be attributed to the input of readily degradable OM from straw, which facilitated the formation of humic substances and other organic colloids, thereby increasing the number of cation exchange sites.
The T3 group (1:3 ratio) demonstrated a lower overall CEC compared to T2, but exhibited a gradual upward trend over time. The initially lower CEC is likely due to the higher proportion of lignin-rich, recalcitrant components in the straw, which delayed OM decomposition and limited the early formation of exchangeable functional groups. However, as composting progressed, microbial activity facilitated the breakdown of more complex organic compounds, gradually enhancing CEC and partially compensating for the initial limitations.
These findings underscore the close relationship between CEC enhancement and the dynamics of OM transformation. The 1:1 mixing ratio in T2 effectively balanced the supply of labile carbon substrates with microbial activity, promoting humification and maximizing CEC improvement. Although the high straw content in T3 suppressed early-stage OM turnover, it allowed for a sustained increase in CEC through prolonged decomposition. The slight decline in CEC observed during the later composting stages in both T2 and T3 may be associated with the mineralization of organic colloids or losses of volatile compounds during the thermophilic phase.
Elevated salinity and pH values reduce the organic matter transformations during composting by imposing osmotic stress on microorganisms [44], inhibiting the degradation of extracellular enzyme activity responsible for the decomposition of easily degradable organic substrates, particularly in the early composting stages [45]. In addition, alkaline pH conditions favor the alkali-tolerant microorganisms while suppressing acidophilic decomposers, thus altering the early acidophilic pathways of organic matter mineralization.
In summary, co-composting dredged sediment with straw at a 1:1 ratio demonstrated superior performance in enhancing CEC, thereby improving the soil amendment potential of the composted product. This provides a scientific basis for optimizing organic input strategies to improve the functional properties of dredged sediment for sustainable land application.
According to Figure 2d, in the T1 group, the OM content remained consistently below 10 g/kg, significantly lower than the standard range specified in Technical Specification for Greening Planting Soil (CJ/T 340-2016), which is 20–80 g/kg. This indicates a severe deficiency of endogenous OM in the dredged sediment, rendering it unsuitable for use as greening soil without amendment. In contrast, both T2 and T3 groups showed marked increases in OM content, but with distinct temporal fluctuations. The T2 group exhibited a rapid rise in OM during the initial composting phase, peaking at 232 g/kg, followed by a decline to 103 g/kg. The T3 group showed a more complex, non-monotonic trend, ultimately decreasing to 57 g/kg.
These fluctuations are likely associated with microbial metabolic dynamics and the mineralization of organic substrates during composting. In the early phase, the high input of straw introduced a substantial amount of labile OM, which was rapidly decomposed, leading to an initial increase in OM content. When the experiment enters the middle stage, the accelerated mineralization of readily degradable organics generated CO2 and H2O, contributing to a subsequent decline. In the later stages, the predominance of more recalcitrant components such as lignin slowed down mineralization, resulting in stabilization of OM content.
The observed fluctuations in soil organic matter (SOM) during composting cannot be attributed solely to microbial mineralization. In addition to microbial degradation and assimilation, SOM dynamics are influenced by physical and chemical processes [46]. Part of the organic matter may be transferred into dissolved organic matter (DOM) and subsequently redistributed or lost through leaching during moisture adjustment [47]. Moreover, the composting process involves frequent handling and structural reorganization of the material, which can lead to physical loss of fine organic fractions or uneven redistribution of organic-rich particles.
It is noteworthy that, despite the higher straw addition, the OM content in T3 was consistently lower than that in T2 throughout the composting process. This is contrary to theoretical expectations and may be attributed to excessive straw input reducing pore space and impairing aeration within the compost pile, which in turn suppressed aerobic microbial activity. Additionally, an imbalanced C/N ratio may have limited the efficiency of OM decomposition.
In summary, while the OM content in T2 exceeded the regulatory threshold (20–80 g/kg), further stabilization could be achieved through extended composting to enhance humification. The suboptimal performance in T3 suggests that high straw proportions may not necessarily translate into improved OM enrichment due to process limitations. Therefore, optimization of the mixing ratio and adjustment of physical properties such as porosity and aeration are essential. These findings highlight the complexity of OM dynamics during co-composting of dredged sediment and straw, and provide critical insights for parameter optimization in scaled-up applications.

3.3. Effects of Remediation Strategies on the Improvement of Dredged Sediment

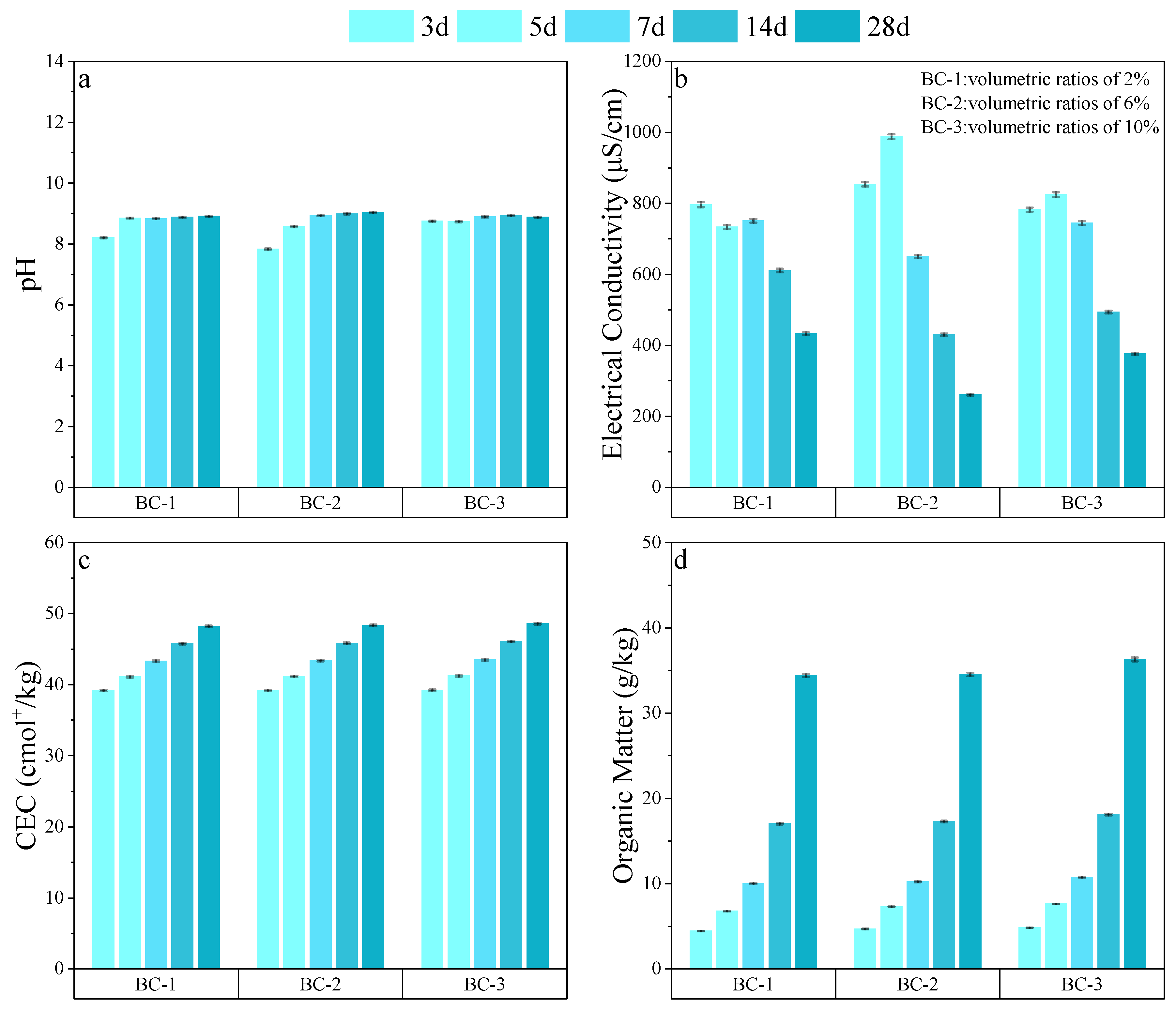
3.3.1. Amendment Effects of BC on Dredged Sediment

A 28 d incubation experiment was conducted to systematically evaluate the impact of biochar (BC) amendments at different application rates on the key physicochemical properties of dredged sediment. BC were incorporated at volumetric ratios of 2, 6, and 10% relative to the dredged sediment (BC-1, BC-2 and BC-3). The results demonstrated that BC addition did not exert a significant influence on soil pH (Figure 3a). Throughout the incubation period, the pH values in all treatment groups remained stably within the slightly alkaline range of 8–9. This phenomenon could be explained by the relatively strong inherent buffering capacity of the dredged sediment and the relatively similar pH characteristics between the applied BC and the substrate, which limited the capacity of BC to alter the acid–base equilibrium of the system.
In contrast, EC showed distinct dynamic variations. In the early stages of incubation, EC values in the BC-amended treatments remained relatively high or even increased slightly, particularly in BC-2 and BC-3 treatments (Figure 3b). This could be explained by the release of soluble salts or mineral ions inherently present in the BC into the soil solution. However, as the incubation progressed, a consistent decline in EC was observed across all BC treatments. By the end of the experiment, EC values had significantly decreased to a lower range of 261–433 μS/cm, with the BC-2 group recording the lowest EC at 261 μS/cm. This downward trend suggests that BC may effectively reduce soluble salt concentrations in the soil through mechanisms such as ion adsorption, facilitation of salt leaching, or improvement of soil structure and drainage, thereby mitigating salinity stress and fostering a more favorable environment for plant growth [48].
According to Figure 3c,d, with respect to soil fertility enhancement, the effects of BC were particularly pronounced. After 28 days of incubation, all BC-treated groups exhibited substantial increases in OM content, reaching 34–36 g/kg, which meets the minimum requirement (20 g/kg) set by Technical Specification for Greening Planting Soil (CJ/T 340-2016). As BC is inherently rich in stable organic carbon, its application directly and effectively compensated for the severe OM deficiency in the dredged sediment, thus providing a critical substrate and energy source for microbial activity and subsequent plant development [49].
The soil CEC demonstrated a stable upward trend during the incubation period, eventually reaching relatively high levels of 48 cmol+/kg. This increase in CEC indicates a marked improvement in the soil’s nutrient retention capacity, attributable to two primary mechanisms: (1) BC, as a highly porous material enriched with surface functional groups, possesses inherently high cation adsorption capacity; and (2) BC facilitates the formation of more stable organo-mineral complexes in the soil, thereby increasing the total specific surface area and net negative charge of soil colloids [50,51]. As a result, the amended soil system is capable of adsorbing and storing more nutrient cations (e.g., K+, NH4+, Ca2+, Mg2+), effectively forming a high-capacity “nutrient reservoir” that enhances nutrient retention, reduces leaching losses, and supports the slow and sustained release of nutrients during plant growth stages [52].
In summary, during the 28 d incubation period, the application of BC significantly improved the physicochemical properties of dredged sediment. While maintaining the original soil pH within a stable range, BC effectively reduced EC, and substantially increased both OM content and CEC. These improvements collectively contributed to salt environment mitigation, enhanced fertility foundations, and improved nutrient retention capacity, thereby providing critical scientific evidence supporting the transformation of dredged sediment into a viable soil resource for greening applications.

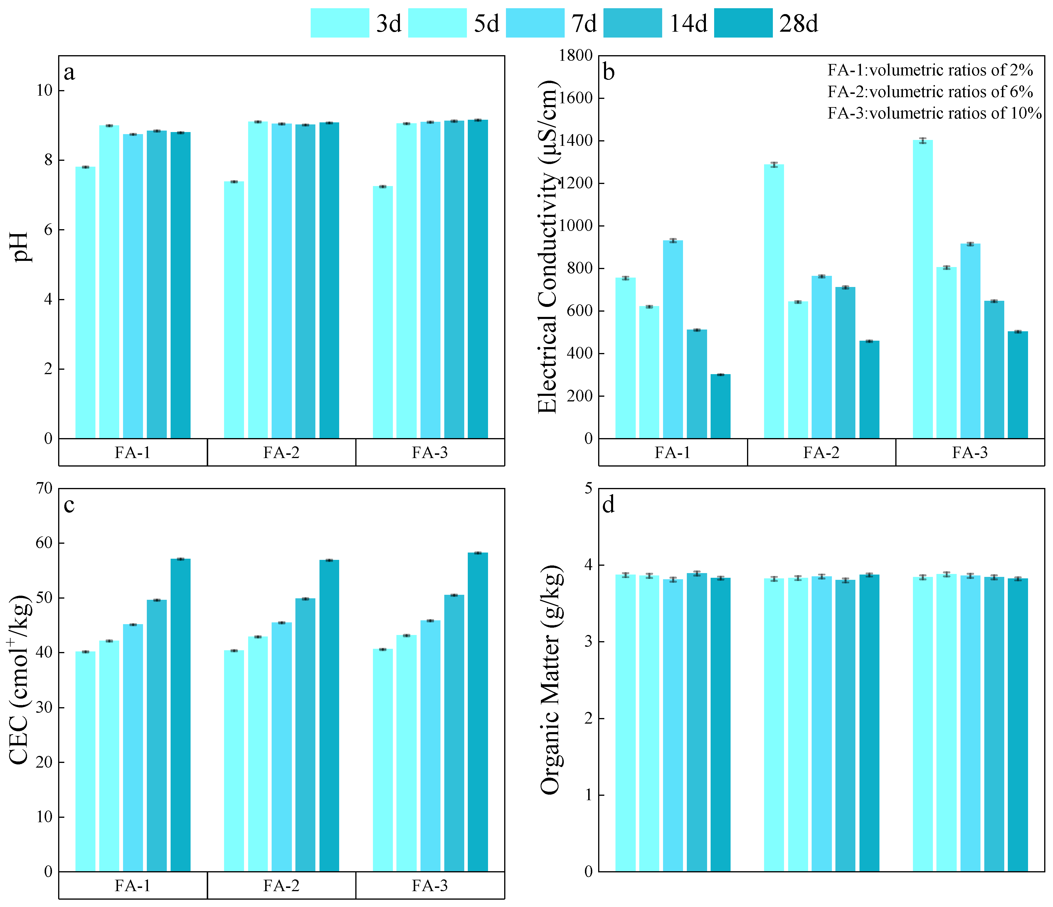
3.3.2. Amendment Effects of FA on Dredged Sediment

The present study further evaluated the effects of FA as a soil amendment on the physicochemical properties of dredged sediment. FA were incorporated at volumetric ratios of 2, 6, and 10% relative to the dredged sediment (FA-1, FA-2 and FA-3).The findings revealed differentiated impacts depending on the application dosage.
Regarding soil pH, the incorporation of FA did not induce significant changes across all treatments throughout the 28 d incubation period (Figure 4a). Initially (day 3), the pH ranged from neutral to sub-alkaline (7.24–7.80), stabilizing thereafter between 8.74 and 9.15. This suggests that the pH-buffering system inherent to the dredged sediment remained dominant, and that the alkaline characteristics of FA—likely due to the slow release of alkaline oxides—did not substantially shift the overall acid–base equilibrium [53].
In contrast, EC exhibited a pronounced “rise-then-fall” trend. In the FA-1 group, EC remained low in the early stage but peaked around day 7 before declining (Figure 4b). In FA-2 and FA-3 groups, elevated EC was observed as early as day 3, followed by a significant decrease over time. By day 28, EC levels varied notably among treatments, with FA-1 reaching 301 μS/cm and FA-3 rising to 503 μS/cm. This pattern can be attributed to the dissolution and release of soluble salts (e.g., K+, Na+, Ca2+, SO42−) from FA in the early phase, which increased ionic strength in the soil solution. Over time, these ions were either adsorbed by soil colloids or underwent physicochemical interactions, reducing their free concentrations and consequently lowering EC [54].
Notably, FA showed minimal efficacy in enhancing soil OM content (Figure 4d). Across all treatments, OM remained consistently low (approx. 3.8 g/kg) throughout the incubation period—far below the threshold (>20 g/kg) specified for greening soil substrates. This is primarily because FA is an inorganic by-product of combustion with negligible organic carbon content, offering little contribution to soil OM accumulation. Therefore, if OM enhancement is a primary objective, FA alone is insufficient and must be co-applied with organic amendments to achieve effective stabilization.
According to Figure 4c, in terms of fertility retention, however, FA demonstrated a clear positive effect. All FA-treated groups showed steadily increasing CEC, reaching about 58 cmol+/kg by day 28, with a dose-dependent trend (FA-3 highest). This enhancement is mainly attributed to the abundance of aluminosilicate minerals and active components in FA, which possess large specific surface areas and significant surface negative charge. These properties enhance the soil’s capacity to adsorb essential nutrient cations (e.g., NH4+, K+, Ca2+, Mg2+), thus improving nutrient-holding capacity and overall fertility supply potential.
In conclusion, the amendment of dredged sediment with FA presents dual characteristics: on one hand, it effectively enhances CEC and nutrient retention; on the other hand, due to its negligible OM content, FA fails to meet the basic OM requirements for greening soil. Moreover, high application rates may lead to transient increases in EC. As such, FA is best utilized as a mineral-based enhancer of soil nutrient buffering capacity, but should be combined with organic materials to compensate for its OM deficiency. This synergistic approach is necessary for the successful transformation of dredged sediment into qualified planting green soil.

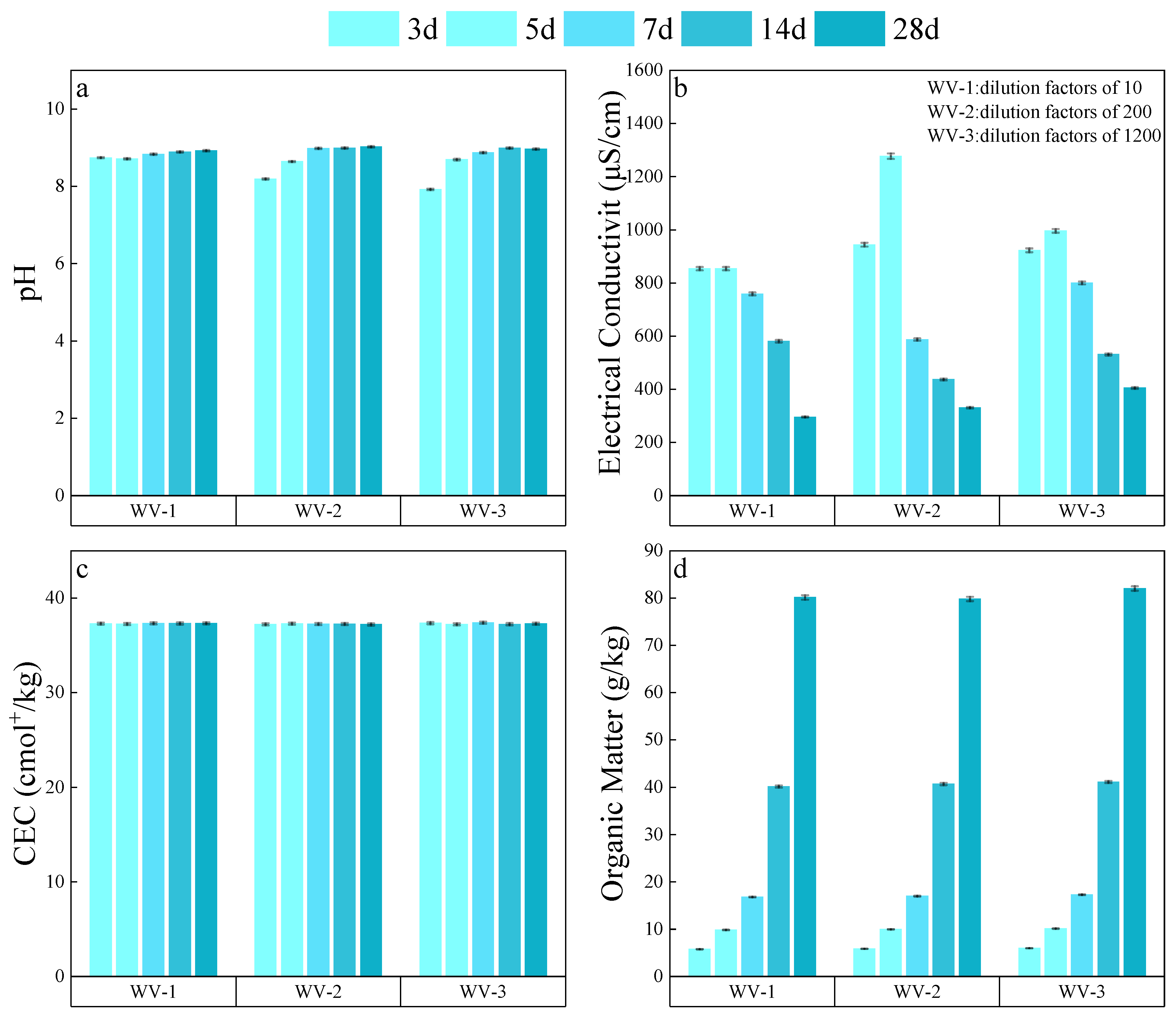
3.3.3. Amendment Effects of WV on Dredged Sediment

This study demonstrated that WV, as an organic amendment, exerted significant and distinctive effects on key physicochemical properties of dredged sediment. WV was added at 16 mL/g per gram of sediment with dilution factors of 10, 200, and 1200 times (WV-1, WV-2 and WV-3). According to Figure 5a, in terms of soil pH, the application of WV did not induce notable fluctuations, although a gradual upward trend was observed over time, particularly in low-concentration treatment groups. This phenomenon may be attributed to the neutralization reactions between soluble organic acids and phenolic compounds in WV and alkaline components in the sediment (e.g., exchangeable Ca2+, Mg2+, and Na+). The consumption of hydrogen ions promotes an increase in solution alkalinity; however, constrained by the soil’s intrinsic buffering capacity, overall pH remained relatively stable.
The dynamic variation in soil EC exhibited a staged pattern (Figure 5b). By day 7 post-application, EC had decreased across all treatment groups, with WV-2 and WV-3 showing distinct peaks around day 5. This trend is hypothesized to result from concentration-dependent reactions: at high concentrations, the abundant acidic constituents in WV rapidly interact with soil minerals through adsorption or precipitation, quickly establishing a balance between ion release and fixation, leading to a relatively smooth EC curve. In contrast, the lower concentrations may release active organic compounds more slowly, causing an initial accumulation of ions and a transient rise in EC, followed by a decrease due to complexation, adsorption, and other ion-removal mechanisms.
According to Figure 5c,d, on day 3, OM levels ranged from 5.8 to 6.0 g/kg, but surged to 80–82 g/kg by day 28—representing a more than 13-fold increase, significantly outperforming the BC treatment (34–36 g/kg). This remarkable rise can be attributed to the high content of low-molecular-weight organic acids, sugars, and phenolic compounds in WV, which serve as readily available organic carbon sources [55]. According to greening soil standards, the WV-2 treatment fully met OM requirements and can be considered the optimal formulation. However, since the WV-3 group reached a comparable final OM level (80 g/kg), a lower dosage combined with optimized incubation duration may be more cost-effective in practical applications.
It is worth noting that WV had no significant impact on soil CEC, indicating that despite its substantial contribution to OM, the limited presence of humified macromolecules in WV failed to affect the net negative charge of soil colloids, and thus did not significantly improve the soil’s nutrient retention capacity.
In summary, WV acts as a highly effective amendment for rapid OM enrichment in dredged sediment, capable of elevating OM content to over 80 g/kg within 28 days while simultaneously reducing soil salinity. However, it does not contribute to improved nutrient-holding capacity and may induce a gradual pH increase. For field application, it is recommended to apply WV at a dilution ratio of 1:200 to 1:1000. By coordinating dosage and incubation duration, it is possible to achieve OM standard compliance and cost-efficiency, thereby facilitating the transformation of dredged sediment into suitable greening soil.

3.4. Effects of Different Treatments on Plant Growth on Dredged Sediment

Cultivation of perennial ryegrass (Lolium perenne) for 30 d on raw sediments or sediments desalinized by two washings with 0.3% NaCl solutions at a water-to-soil ratio of 0.8 showed that raw sediment had a significant inhibitory effect on seed germination, and high-concentration WV (A2) further reduced the germination rate, as compared to desalinized sediments (Figure 6). suggesting that WV might induce a synergistic toxic effect under high-salinity conditions (Figure 6) These findings indicate that high salinity or unfavorable physical structure of raw 616 dredged sediment are major limiting factors for plant germination. Among the desalinated substrates, the 10% WV treatment (B2) achieved the highest germination rate of 94%, followed by 0.5% (B3, 90%) and the control B1 (72%); the 0.1% concentration group (B4) had a lower germination rate of 65% (Figure 6). Perennial ryegrass is a plant species with moderate sensitivity to salinity, which tolerance depends on the grown cultivar, and it is known that salinity impacts more the germination rates than the shoot growth. Therefore our results ensure that plants can potentially colonize and successfully reproduce on the desalinized soils.
The experimental results showed that the raw dredged sediment had a significant inhibitory effect on perennial ryegrass seed germination. The germination rate in the blank control group A1 was only 5%, while the WV treatment groups A2–A4 ranged from 3 to 12%. In some parallel pots, no seed germination was observed, and high-concentration WV (A2) further reduced the germination rate, suggesting that WV might induce a synergistic toxic effect under high-salinity conditions. These findings indicate that high salinity or unfavorable physical structure of raw dredged sediment are major limiting factors for plant germination.
After desalination treatment, the germination rates of perennial ryegrass increased significantly, reaching 66–94% in groups B1–B4, with some treatments achieving complete germination. This highlights desalination as a crucial step in improving the plant cultivation performance of dredged sediment. Further analysis revealed that within the desalinated substrate, the 10% WV treatment (B2) achieved the highest germination rate of 94%, followed by 0.5% (B3, 90%) and the blank control B1 (72%); the 0.1% concentration group (B4) had a lower germination rate of 65%. This trend suggests that under desalinated conditions, moderate WV concentrations (0.5–10%) can improve substrate suitability and promote seed germination, whereas excessively low concentrations may be insufficient to produce a measurable positive effect.
The above-ground growth results further verified the treatment effects. In the raw dredged sediment, the plant height in group A1 was 4.90 cm, with fresh and dry aboveground weights of 0.05 g and 0.006 g, respectively. Although a few seedlings emerged in group A4, their height was 7.80 cm, with fresh weight reduced to 0.037 g, and no seedlings were observed in A2 and A3, indicating that WV could not exert positive effects under high-salinity conditions. In particular, in groups A2 and A3, the combination of high WV concentration and high salinity might have created a synergistic toxic effect, further suppressing plant growth. In the desalinated treatments, the plant heights in groups B1–B4 were 33.2, 29.8, 30.2, and 27.6 cm, respectively, with fresh weights of 2.88 g, 3.09 g, 3.14 g, and 2.19 g, all significantly higher than in the A groups, demonstrating that desalination substantially alleviated salt stress and improved the plant growth environment. Although B1 exhibited the greatest plant height among the desalinated treatments, its biomass accumulation was lower than that of B2 and B3. This suggests that the enhanced plant height in B1 reflects a preferential shoot elongation response under limited organic nutrient availability, rather than superior overall growth [56]. In contrast, moderate WV addition in B2 and B3 promoted biomass accumulation by improving organic carbon supply and supporting root development and assimilate production. These results indicate that plant height alone does not necessarily represent optimal growth performance, and that WV addition favored biomass-oriented growth rather than excessive shoot elongation.
Root growth followed similar patterns. In the raw dredged sediment, root lengths of groups A1–A4 were 4.30, 1.47, 6.13, and 6.53 cm, respectively, with fresh underground weights of 0.13, 0.09, 0.15, and 0.05 g, and dry weights ranging between 0.02 and 0.06 g. The shortest root length being found in A2 confirmed that high-concentration WV combined with high salinity synergistically suppressed root elongation and meristematic activity. Although root lengths slightly increased in groups A3 and A4, overall biomass remained low, indicating that low-concentration WV could only weakly improve the rhizosphere but could not sustain root growth. After desalination, the root lengths in groups B1–B4 were 9.30, 10.80, 11.30, and 9.73 cm, respectively, with fresh underground weights of 2.10, 2.88, 2.78, and 1.85 g, and dry weights of 0.51, 0.82, 0.81, and 0.48 g, respectively, all far exceeding those of the A groups, further verifying that desalination significantly promoted plant growth. Among these, the B2 and B3 treatments achieved the most robust root development, indicating that moderate WV addition-based desalination could effectively enhance belowground growth. This might be ascribed to the active components in WV promoting root growth, improving water absorption capacity, and enhancing nutrient availability.
In summary, desalination treatment significantly improved the physicochemical properties of dredged sediment, establishing a prerequisite for its resource utilization. On this basis, the application of WV showed a concentration-dependent effect on plant growth, with appropriate concentrations (such as 0.5%) contributing to an optimized plant growth environment and enhanced plant development. Future studies should further investigate the mechanisms of WV by linking soil nutrient speciation with changes in microbial communities, as well as optimizing its application strategy for greening uses of dredged sediment.

4. Conclusions

This study systematically investigated the resource-oriented utilization of dredged sediment from Huanghua Port, establishing a technical pathway for its transformation into a greening substrate through desalination, amendment, and plant validation. The results demonstrated that a water-to-sediment ratio of 0.8:1 combined with two successive filtrations using a 0.3% NaCl solution effectively reduced EC below the threshold specified by CJ/T 340-2016. The feasibility of applying low-salinity water sources (e.g., ballast water) as alternative washing media was also confirmed. The feasibility of applying low-salinity water sources (e.g., ballast water) as alternative washing media was also confirmed. Regarding amendment strategies, BC markedly improved OM content and nutrient retention capacity, FA primarily enhanced CEC but required co-application with OM, and WV rapidly reduced EC and enriched OM content. Pot experiments further validated these findings, showing that untreated dredged sediment severely inhibited perennial ryegrass germination and growth, whereas desalination combined with moderate WV addition (optimal concentration ~0.5%) significantly improved germination rate, plant height, and biomass. Overall, dredged sediment can be effectively converted into planting soil meeting greening standards through optimized desalination and amendment treatments. This work provides a scientific basis and practical reference for the ecological utilization of dredged sediment, while future efforts should focus on pilot- and engineering-scale validation to assess long-term stability and economic feasibility, thereby advancing large-scale circular use of port dredged materials.

Supplementary Materials

The following supporting information can be downloaded at: https://www.mdpi.com/article/10.3390/su18041716/s1, Figure S1: Natural air dried dredged soil sample (a) and ground dredged soil sample after passing through a 2mm sieve (b); Table S1: Physicochemical properties of the dredged sediment used in this study; Table S2. Amendment Dosages for Each Treatment Group; Figure. S2. The influence of different water soil ratios on the conductivity of dredged soil under a single filtration condition.

Author Contributions

X.Z.: Conceptualization, Funding Acquisition. Y.M. (Yue Ma): Methodology, Writing—Review and Editing, Writing—Original Draft. H.L. (Hengyu Liang): Investigation, Resources, Validation. K.L.: Data Curation. J.M.: Formal Analysis. D.C.: Validation. H.L. (Hongying Liu): Visualization, Supervision, Data Curation. Y.M. (Yan Ma): Project Administration, Resources, Methodology. All authors have read and agreed to the published version of the manuscript.

Funding

This research received no external funding.

Data Availability Statement

All data generated or analyzed during this study in this article are available from the corresponding author on reasonable request.

Conflicts of Interest

Authors Xin Zhang, Kelan Liu, Junqing Mu and Dongxue Cui were employed by the company China Energy Longyuan Environmental Protection Co., Ltd., Beijing 100039, China. The remaining authors declare that the research was conducted in the absence of any commercial or financial relationships that could be construed as a potential conflict of interest.

References

  1. Wang, H.; Wang, Z.; Yang, W.; Jia, H.; You, Z. Characterization, pollution, and beneficial utilization assessment of dredged sediments from coastal ports in china. Mar. Pollut. Bull. 2025, 211, 117389. [Google Scholar] [CrossRef]
  2. Kazberuk, W.; Szulc, W.; Rutkowska, B. Use bottom sediment to agriculture—Effect on plant and heavy metal content in soil. Agronomy 2021, 11, 1077. [Google Scholar] [CrossRef]
  3. Dede, P.; Sazakli, E.; Leotsinidis, M. Dredges’ management: Comparison of regulatory frameworks, legal gaps and recommendations. Glob. Nest. J. 2018, 20, 88–95. [Google Scholar]
  4. Liu, J.; Zhang, T.; Xu, X.; Xu, J.; Song, S.; Yang, W.; Han, J. Effects of different soil amendments on dredged sediment improvement and impact assessment on reed planting. Ecol. Eng. 2024, 206, 107306. [Google Scholar] [CrossRef]
  5. Svensson, N.; Norén, A.; Modin, O.; Fedje, K.K.; Rauch, S.; Strömvall, A.; Andersson-Sköld, Y. Integrated cost and environmental impact assessment of management options for dredged sediment. Waste Manag. 2022, 138, 30–40. [Google Scholar] [CrossRef]
  6. Mattei, P.; Pastorelli, R.; Rami, G.; Mocali, S.; Giagnoni, L.; Gonnelli, C.; Renella, G. Evaluation of dredged sediment co-composted with green waste as plant growing media assessed by eco-toxicological tests, plant growth and microbial community structure. J. Hazard. Mater. 2017, 333, 144–153. [Google Scholar] [CrossRef] [PubMed]
  7. Radziemska, M.; Gusiatin, M.Z.; Cydzik-Kwiatkowska, A.; Blazejczyk, A.; Kumar, V.; Kintl, A.; Brtnicky, M. Effect of biochar on metal distribution and microbiome dynamic of a phytostabilized metalloid-contaminated soil following freeze–thaw cycles. Materials 2022, 15, 3801. [Google Scholar] [CrossRef] [PubMed]
  8. Yoobanpot, N.; Jamsawang, P.; Simarat, P.; Jongpradist, P.; Likitlersuang, S. Sustainable reuse of dredged sediments as pavement materials by cement and fly ash stabilization. J. Soils Sediments 2020, 20, 3807–3823. [Google Scholar] [CrossRef]
  9. Huang, D.; Hu, Z.; Peng, Z.; Zeng, G.; Chen, G.; Zhang, C.; Cheng, M.; Wan, J.; Wang, X.; Qin, X. Cadmium immobilization in river sediment using stabilized nanoscale zero-valent iron with enhanced transport by polysaccharide coating. J. Environ. Manag. 2018, 210, 191–200. [Google Scholar] [CrossRef]
  10. Kitir, N.; Yildirim, E.; Şahin, Ü.; Turan, M.; Ekinci, M.; Ors, S.; Kul, R.; Ünlü, H.; Ünlü, H. Peat use in horticulture. In Peat; InTechOpen: London, UK, 2018. [Google Scholar]
  11. Cai, C.; Zhao, M.; Yu, Z.; Rong, H.; Zhang, C. Utilization of nanomaterials for in-situ remediation of heavy metal(loid) contaminated sediments: A review. Sci. Total Environ. 2019, 662, 205–217. [Google Scholar] [CrossRef]
  12. Tian, Y.; Xia, R.; Ying, Y.; Lu, S. Desulfurization steel slag improves the saline-sodic soil quality by replacing sodium ions and affecting soil pore structure. J. Environ. Manag. 2023, 345, 118874. [Google Scholar] [CrossRef]
  13. Woo, H.E.; Tran, T.V.; Lee, I.C.; Kim, J.O.; Hibino, T.; Nohara, H.; Kim, K. Remediation of contaminated sediment originating from wastewater at harbor areas using slaked lime–fly ash–cement mixture. Estuar. Coast. Shelf Sci. 2019, 227, 106340. [Google Scholar] [CrossRef]
  14. Baran, A.; Tarnawski, M.; Urbaniak, M. An assessment of bottom sediment as a source of plant nutrients and an agent for improving soil properties. Environ. Eng. Manag. J. 2019, 18, 1647–1656. [Google Scholar] [CrossRef]
  15. Barjoveanu, G.; De Gisi, S.; Casale, R.; Todaro, F.; Notarnicola, M.; Teodosiu, C. A life cycle assessment study on the stabilization/solidification treatment processes for contaminated marine sediments. J. Clean. Prod. 2018, 201, 391–402. [Google Scholar] [CrossRef]
  16. Ferrans, L.; Schmieder, F.; Mugwira, R.; Marques, M.; Hogland, W. Dredged sediments as a plant-growing substrate: Estimation of health risk index. Sci. Total Environ. 2022, 846, 157463. [Google Scholar] [CrossRef]
  17. Gautam, S.; Xu, Z.; Shang, J.; Ortega, A.V. Analyzing the effect of lake dredged material from the western lake erie basin on soil properties and corn health. J. Environ. Qual. 2025, 54, 621–633. [Google Scholar] [CrossRef]
  18. Malekzadeh, M.; Sivakugan, N. One-dimensional electrokinetic stabilization of dredged mud. Mar. Geores. Geotechnol. 2016, 35, 603–609. [Google Scholar] [CrossRef]
  19. Johnson, A.; Hogfors-Ronnholm, E.; Engblom, S.; Osterholm, P.; Astrom, M.; Dopson, M. Dredging and deposition of metal sulfide rich river sediments results in rapid conversion to acid sulfate soil materials. Sci. Total Environ. 2022, 12, 813. [Google Scholar] [CrossRef]
  20. Wang, T.; Zhu, Q.; Bi, S.; Wang, J.; Fu, P. Researches on ecological solidification and melioration effects of plants on silty soft soil. IOP Conf. Ser. Earth Environ. Sci. 2022, 1011, 12052. [Google Scholar] [CrossRef]
  21. Vannucchi, F.; Peruzzi, E.; Doni, S.; Manzi, D.; Azzini, L.; Pathan, S.I.; Pietramellara, G.; Arfaioli, P.; Nicese, F.P.; Masciandaro, G. Biological assessment of green waste and dredged sediment co-composting for nursery plant cultivation. Appl. Sci. 2024, 14, 5767. [Google Scholar] [CrossRef]
  22. Renella, G. Recycling and reuse of sediments in agriculture: Where is the problem? Sustainability 2021, 13, 1648. [Google Scholar] [CrossRef]
  23. Wang, L.; Chen, L.; Tsang, D.C.W.; Li, J.; Baek, K.; Hou, D.; Ding, S.; Poon, C. Recycling dredged sediment into fill materials, partition blocks, and paving blocks: Technical and economic assessment. J. Clean. Prod. 2018, 199, 69–76. [Google Scholar] [CrossRef]
  24. U.S. Environmental Protection Agency. Identifying, Planning, and Financing Beneficial Use Projects Using Dredged Material—Beneficial Use Planning Manual; U.S. Environmental Protection Agency; U.S. Army Corps of Engineers: Washington, DC, USA, 2007. [Google Scholar]
  25. Beljin, J.; Arsenov, D.; Slijepčević, N.; Maletić, S.; Đukanović, N.; Chalot, M.; Župunski, M.; Pilipović, D.T. Recycling of polluted dredged sediment—Building new materials for plant growing. Waste Manag. 2023, 166, 13–24. [Google Scholar] [CrossRef]
  26. Burt, T. Guidelines for the Beneficial Use of Dredged Material; HR Wallingford: Oxfordshire, UK, 1996. [Google Scholar]
  27. PIANC. Beneficial Uses of Dredged Material: A Practical Guidereport of Working Group No. 19; Permanent International Association of Navigation Congresses: Brussels, Belgium, 1992. [Google Scholar]
  28. U.S. Army Corps of Engineers. Beneficial Uses of Dredged Material (Engineer Manual No. 1110-2-5026); US Army Corps of Engineers: Washington, DC, USA, 1987. [Google Scholar]
  29. Zhang, S.; Liu, J.; Ding, J.; Gao, M.; Xue, C. Effect of recycled phosphogypsum and calcium aluminate cement on the strength behavior optimization of cement-treated dredged soil: A co-utilization of solid wastes. J. Environ. Manag. 2024, 353, 120020. [Google Scholar] [CrossRef]
  30. Hao, Z.; Chen, S.; Zhang, Q.; Liu, B. From reduction to rebalancing: Insights into the long-term effects of sediment dredging on nitrogen transformations in river ecosystems. Water Res. 2024, 267, 122460. [Google Scholar] [CrossRef]
  31. Yin, H.; Yang, C.; Yang, P.; Kaksonen, A.H.; Douglas, G.B. Contrasting effects and mode of dredging and in situ adsorbent amendment for the control of sediment internal phosphorus loading in eutrophic lakes. Water Res. 2021, 189, 116644. [Google Scholar] [CrossRef] [PubMed]
  32. ASTM D1125-14; Standard Test Methods for Electrical Conductivity and Resistivity of Water. Annual Book of ASTM Standards; ASTM: West Conshohocken, PA, USA, 2014.
  33. ASTM D4972-13; Standard Test Methods for pH of Soils. Annual Book of ASTM Standards; ASTM: West Conshohocken, PA, USA, 2013.
  34. CJ_T 340-2016; Planting Soil for Greening. Ministry of Housing and Urban-Rural Development of the People’s Republic of China: Beijing, China, 2016.
  35. Mikajlo, I.; Lerch, T.Z.; Louvel, B.; Hynšt, J.; Záhora, J.; Pourrut, B. Composted biochar versus compost with biochar: Effects on soil properties and plant growth. Biochar 2024, 6, 85. [Google Scholar] [CrossRef]
  36. Muscolo, A.; Papalia, T.; Settineri, G.; Mallamaci, C.; Jeske-Kaczanowska, A. Are raw materials or composting conditions and time that most influence the maturity and/or quality of composts? Comparison of obtained composts on soil properties. J. Clean. Prod. 2018, 195, 93–101. [Google Scholar] [CrossRef]
  37. Ko, H.; Choo, H.; Ji, K. Effect of temperature on electrical conductivity of soils—Role of surface conduction. Eng. Geol. 2023, 321, 107147. [Google Scholar] [CrossRef]
  38. Corwin, D.L.; Lesch, S.M. Apparent soil electrical conductivity measurements in agriculture. Comput. Electron. Agric. 2005, 46, 11–43. [Google Scholar] [CrossRef]
  39. Guo, J.; Lei, G. Application of ultrasound to enhance the silt drying process: An experimental study. PLoS ONE 2020, 15, e236492. [Google Scholar] [CrossRef]
  40. Wu, S.; Peng, X.; Sun, X.; Dong, Z.; Zhou, A.; Zhang, L.; Wang, R. One-step processing of waste dredged slurry into planting soil by targeted pretreatment and vacuum filtration. J. Environ. Manag. 2024, 349, 119334. [Google Scholar] [CrossRef]
  41. Hamidi, N.H.; Ahmed, O.H.; Omar, L.; Ch’Ng, H.Y. Combined use of charcoal, sago bark ash, and urea mitigate soil acidity and aluminium toxicity. Agronomy 2021, 11, 1799. [Google Scholar] [CrossRef]
  42. Roca-Pérez, L.; Martínez, C.; Marcilla, P.; Boluda, R. Composting rice straw with sewage sludge and compost effects on the soil-plant system. Chemosphere 2009, 75, 781–787. [Google Scholar] [CrossRef] [PubMed]
  43. Nogués, I.; Rumpel, C.; Sebilo, M.; Vaury, V.; Moral, R.; Bustamante, M.A. Stable c and n isotope variation during anaerobic digestate composting and in the compost-amended soil-plant system. J. Environ. Manage. 2023, 329, 117063. [Google Scholar] [CrossRef] [PubMed]
  44. Ouni, Y.; Lakhdar, A.; Scelza, R.; Scotti, R.; Abdelly, C.; Barhoumi, Z.; Rao, M.A. Effects of two composts and two grasses on microbial biomass and biological activity in a salt-affected soil. Ecol. Eng. J. Ecotechnol. 2013, 60, 363–369. [Google Scholar] [CrossRef]
  45. Fayez, R.; Azadi, N. Salinization depresses soil enzyme activity in metal-polluted soils through increases in metal toxicity. Ecotoxicology 2021, 30, 1071–1083. [Google Scholar]
  46. Robin, P.; Ablain, F.; Yulipriyanto, H.; Pourcher, A.M.; Morvan, T.; Cluzeau, D.; Morand, P. Evolution of non-dissolved particulate organic matter during composting of sludge with straw. Bioresour. Technol. 2008, 99, 7636–7643. [Google Scholar] [CrossRef]
  47. Hartlieb, N.; Marschner, B.; Klein, W. Transformation of dissolved organic matter (dom) and 14c-labelled organic contaminants during composting of municipal biowaste. Sci. Total Environ. 2001, 278, 1–10. [Google Scholar] [CrossRef] [PubMed]
  48. Lehmann, J.; Rillig, M.C.; Thies, J.; Masiello, C.A.; Hockaday, W.C.; Crowley, D. Biochar effects on soil biota—A review. Soil Biol. Biochem. 2011, 43, 1812–1836. [Google Scholar] [CrossRef]
  49. Pathy, A.; Ray, J.; Paramasivan, B. Biochar amendments and its impact on soil biota for sustainable agriculture. Biochar 2020, 2, 287–305. [Google Scholar] [CrossRef]
  50. Sharma, S.; Bolan, S.; Mukherjee, S.; Petruzzelli, G.; Pedron, F.; Franchi, E.; Fonseka, W.; Wijesekara, H.; Wang, L.; Hou, D.; et al. Role of organic and biochar amendments on enhanced bioremediation of soils contaminated with persistent organic pollutants (pops). Curr. Pollut. Rep. 2025, 11, 33. [Google Scholar] [CrossRef]
  51. Bolan, S.; Sharma, S.; Mukherjee, S.; Kumar, M.; Rao, C.S.; Nataraj, K.C.; Singh, G.; Vinu, A.; Bhowmik, A.; Sharma, H.; et al. Biochar modulating soil biological health: A review. Sci. Total Environ. 2024, 914, 29. [Google Scholar] [CrossRef]
  52. He, M.; Xiong, X.; Wang, L.; Hou, D.; Bolan, N.S.; Ok, Y.S.; Rinklebe, J.; Tsang, D.C.W. A critical review on performance indicators for evaluating soil biota and soil health of biochar-amended soils. J. Hazard. Mater. 2021, 414, 125378. [Google Scholar] [CrossRef] [PubMed]
  53. Wang, L.; Huang, X.; Zhang, J.; Wu, F.; Liu, F.; Zhao, H.; Hu, X.; Zhao, X.; Li, J.; Ju, X.; et al. Stabilization of lead in waste water and farmland soil using modified coal fly ash. J. Clean. Prod. 2021, 314, 127957. [Google Scholar] [CrossRef]
  54. Hamanaka, A.; Sasaoka, T.; Shimada, H.; Matsumoto, S. Amelioration of acidic soil using fly ash for mine revegetation in post-mining land. Int. J. Coal Sci. Technol. 2022, 9, 33. [Google Scholar] [CrossRef]
  55. Zhao, W.; Zhao, H.; Sun, X.; Wang, H.; Sun, Y.; Liang, Y.; Wang, D. Biochar and wood vinegar altered the composition of inorganic phosphorus bacteria community in saline-alkali soils and promoted the bioavailability of phosphorus. J. Environ. Manag. 2024, 370, 122501. [Google Scholar] [CrossRef]
  56. Agren, G.; Franklin, O. Root: Shoot ratios, optimization and nitrogen productivity. Ann. Bot. 2003, 92, 795–800. [Google Scholar] [CrossRef]
Figure 1. Electrical conductivity of dredged sediment after two rounds of vacuum filtration: (a) effect of water-to-sediment ratio; (b) effect of washing solution concentration.
Figure 1. Electrical conductivity of dredged sediment after two rounds of vacuum filtration: (a) effect of water-to-sediment ratio; (b) effect of washing solution concentration.
Sustainability 18 01716 g001
Figure 2. Changes in agronomic physicochemical properties and nutrient indicators of compost products under different dredged soil-to-straw ratios: (a) pH; (b) electrical conductivity (EC); (c) cation exchange capacity (CEC); (d) organic matter (OM).
Figure 2. Changes in agronomic physicochemical properties and nutrient indicators of compost products under different dredged soil-to-straw ratios: (a) pH; (b) electrical conductivity (EC); (c) cation exchange capacity (CEC); (d) organic matter (OM).
Sustainability 18 01716 g002
Figure 3. Effects of Biochar on pH (a), Conductivity (b), Cation Exchange Capacity (c), and Organic Matter Content (d) in Dredged Soil.
Figure 3. Effects of Biochar on pH (a), Conductivity (b), Cation Exchange Capacity (c), and Organic Matter Content (d) in Dredged Soil.
Sustainability 18 01716 g003
Figure 4. Effects of fly ash on pH (a), conductivity (b), cation exchange capacity (c), and organic matter content (d) in dredged soil.
Figure 4. Effects of fly ash on pH (a), conductivity (b), cation exchange capacity (c), and organic matter content (d) in dredged soil.
Sustainability 18 01716 g004
Figure 5. Effects of Wood Vinegar Solution on pH (a), Conductivity (b), Cation Exchange Capacity (c), and Organic Matter Content (d) in Dredged Soil.
Figure 5. Effects of Wood Vinegar Solution on pH (a), Conductivity (b), Cation Exchange Capacity (c), and Organic Matter Content (d) in Dredged Soil.
Sustainability 18 01716 g005
Figure 6. Effects of different treatments on the suitability of dredged sediment as a plant growth substrate: (a) germination rate and germination index; (b) plant height and root length; (c) belowground dry weight and fresh weight.
Figure 6. Effects of different treatments on the suitability of dredged sediment as a plant growth substrate: (a) germination rate and germination index; (b) plant height and root length; (c) belowground dry weight and fresh weight.
Sustainability 18 01716 g006
Table 1. Threshold values are based on the Chinese standard for soil reuse (planning, 2016) CJ/T 340-2016.
Table 1. Threshold values are based on the Chinese standard for soil reuse (planning, 2016) CJ/T 340-2016.
ParameterValues
pH5.0~8.3
CEC (cmol+ kg−1)≥10
EC (mS cm−1)0.15~0.9
OM (g kg−1)12~80
Disclaimer/Publisher’s Note: The statements, opinions and data contained in all publications are solely those of the individual author(s) and contributor(s) and not of MDPI and/or the editor(s). MDPI and/or the editor(s) disclaim responsibility for any injury to people or property resulting from any ideas, methods, instructions or products referred to in the content.

Share and Cite

MDPI and ACS Style

Zhang, X.; Ma, Y.; Liang, H.; Liu, K.; Mu, J.; Cui, D.; Liu, H.; Ma, Y. Green Regeneration of Dredged Sediments: Desalination and Amendment for the Preparation of Greening Soil. Sustainability 2026, 18, 1716. https://doi.org/10.3390/su18041716

AMA Style

Zhang X, Ma Y, Liang H, Liu K, Mu J, Cui D, Liu H, Ma Y. Green Regeneration of Dredged Sediments: Desalination and Amendment for the Preparation of Greening Soil. Sustainability. 2026; 18(4):1716. https://doi.org/10.3390/su18041716

Chicago/Turabian Style

Zhang, Xin, Yue Ma, Hengyu Liang, Kelan Liu, Junqing Mu, Dongxue Cui, Hongying Liu, and Yan Ma. 2026. "Green Regeneration of Dredged Sediments: Desalination and Amendment for the Preparation of Greening Soil" Sustainability 18, no. 4: 1716. https://doi.org/10.3390/su18041716

APA Style

Zhang, X., Ma, Y., Liang, H., Liu, K., Mu, J., Cui, D., Liu, H., & Ma, Y. (2026). Green Regeneration of Dredged Sediments: Desalination and Amendment for the Preparation of Greening Soil. Sustainability, 18(4), 1716. https://doi.org/10.3390/su18041716

Note that from the first issue of 2016, this journal uses article numbers instead of page numbers. See further details here.

Article Metrics

Back to TopTop