Carbon Emission Assessment and Reduction Pathways of Teaching and Research Equipment in Application-Oriented University in China Based on Life-Cycle Analysis
Abstract
1. Introduction
2. Method
2.1. Research Scope
2.2. Calculation Method for Full Lifecycle Carbon Emissions of T&R Equipment
2.2.1. Calculation Method for Carbon Emissions During the Production Stage
2.2.2. Calculation Method for Carbon Emissions During the Usage Stage
2.2.3. Calculation Method for Carbon Emissions During the Scrapping Stage
2.3. Emissions Inventory Uncertainty Analysis
3. Results and Discussion
3.1. Basic Characteristics of T&R Equipment
3.2. Carbon Emissions Analysis of T&R Equipment During the Production Stage
3.3. Carbon Emissions Analysis of T&R Equipment During the Usage Stage
3.4. Carbon Emissions Analysis of T&R Equipment During the Scrapping Stage
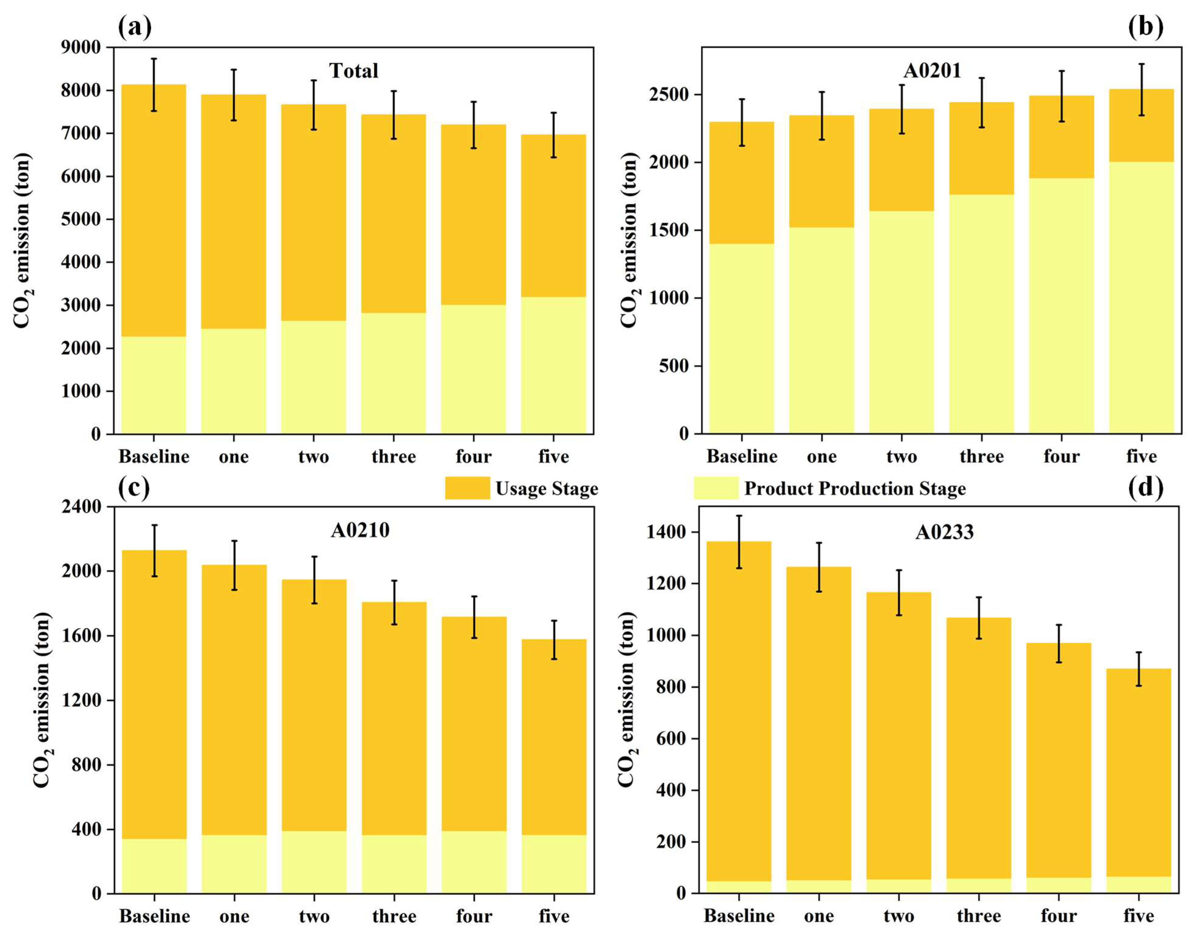
3.5. Carbon Emissions Analysis of T&R Equipment Throughout the Full Lifecycle
4. Conclusions
- The full lifecycle carbon emissions of 7647 scrapped T&R equipment are 8350.8 tCO2 in the demonstrated university and are 26.6 million tCO2 in all application-oriented universities in 2024 in China. The usage stage contributes the highest proportion of 70.0%, making it the primary focus for carbon management of T&R equipment in an application-oriented university in China.
- Equipment (A02) contributes more carbon emissions than the other three categories across all three stages. Information technology equipment (A0201) contributes significantly to embodied carbon during both production and scrapping stages, while instruments and meters (A0210) and electrical/electronic production equipment (A0233) make notable contributions during the use stage. Therefore, emission reduction efforts should prioritize these subcategories.
- For most equipment, total carbon emissions can be reduced by about 233 tCO2/a on average if retired one year in advance, whereas for information technology equipment (A0201), premature retirement may actually increase emissions (by approximately 48 tCO2 per year). The results suggested that it is necessary to replace the T&R equipment with high energy consumption during the usage stage (e.g., A0210, A0233) on timely, but prolong the equipment with high embodied carbon content (e.g., A0201) to reduce the full lifecycle carbon footprint.
- Methodological Contributions and Applicability: In university settings, characterized by a wide variety of asset types and limited physical inventory data, the Expenditure-EEIO approach offers distinct advantages in terms of standardized measurement, replicability, scalability, and decision-making timeliness. It serves as a foundational tool for university Scope 3 management and asset renewal decisions, while also providing an actionable pathway for assessing the carbon performance of large-scale equipment renewal policies within the education system.
5. Limitations and Future Research
Supplementary Materials
Author Contributions
Funding
Institutional Review Board Statement
Informed Consent Statement
Data Availability Statement
Acknowledgments
Conflicts of Interest
References
- Zhang, Q.; Yin, Z.; Lu, X.; Gong, J.; Lei, Y.; Cai, B.; Cai, C.; Chai, Q.; Chen, H.; Dai, H.; et al. Synergetic roadmap of carbon neutrality and clean air for China. Environ. Sci. Ecotechnology 2023, 16, 100280. [Google Scholar] [CrossRef]
- Li, M.; Liu, H.; Geng, G.; Hong, C.; Liu, F.; Song, Y.; Tong, D.; Zheng, B.; Cui, H.; Man, H.; et al. Anthropogenic emission inventories in China: A review. Natl. Sci. Rev. 2017, 4, 834–866. [Google Scholar] [CrossRef]
- Mirzaei, P.A.; Haghighat, F. Approaches to study Urban Heat Island—Abilities and limitations. Build. Environ. 2010, 45, 2192–2201. [Google Scholar] [CrossRef]
- Moldovan, R.-P.; Rus, T.; Beu, D.; Albu, H.; Domnița, F.; Moldovan, A.-M. From assessment to action: A strategic approach to carbon management for climate neutrality in higher education. Sustain. Futures 2025, 10, 101354. [Google Scholar] [CrossRef]
- Hölbling, S.; Kirchengast, G.; Briese, C.; Thüminger, H. Energy use and carbon emissions in high-performance computing: A case study for universities and reduction strategies. Clean. Environ. Syst. 2025, 19, 100332. [Google Scholar] [CrossRef]
- Huang, J.; Jones, P.; Zhang, A.; Peng, R.; Li, X.; Chan, P.-W. Urban Building Energy and Climate (UrBEC) simulation: Example application and field evaluation in Sai Ying Pun, Hong Kong. Energy Build. 2020, 207, 109580. [Google Scholar] [CrossRef]
- Li, L.; Yu, L.; Li, R.; Zhou, X.; Zhang, N.; Meng, Q. Carbon emission accounting and carbon neutrality strategies at universities: A case study from Guangzhou, China. Build. Environ. 2025, 281, 113210. [Google Scholar] [CrossRef]
- Dai, R. Research on Campus Carbon Emission Accounting, Evaluation and Forecasting Analysis. Master’s Thesis, Anhui University of Architecture, Hefei, China, 2025. [Google Scholar] [CrossRef]
- Ministry of Housing and Urban-Rural Development of the People’s Republic of China. China Urban and Rural Construction Statistics Yearbook; Ministry of Housing and Urban-Rural Development of the People’s Republic of China: Beijing, China, 2021. Available online: https://www.zgtjnj.org/naviBooklist-n3022110104-1.html (accessed on 21 November 2025).
- Ministry of Education of the People‘s Republic of China. 2024 National Education Development Statistics Bulletin. Available online: http://www.moe.gov.cn/jyb_sjzl/sjzl_fztjgb/202506/t20250611_1193760.html (accessed on 21 November 2025).
- Yu, W.; Zhe, Z.; Deling, C.; Xiue, R.; Bizhen, Y. Research on the Reform of College Chemistry Teaching in Application-Oriented Undergraduate Institutions. Tech. Style 2025, 25, 80–82. [Google Scholar] [CrossRef]
- Horan, W.; Shawe, R.; Moles, R.; O’Regan, B. Development and evaluation of a method to estimate the potential of decarbonisation technologies deployment at higher education campuses. Sustain. Cities Soc. 2019, 47, 101464. [Google Scholar] [CrossRef]
- Guerrieri, M.; La Gennusa, M.; Peri, G.; Rizzo, G.; Scaccianoce, G. University campuses as small-scale models of cities: Quantitative assessment of a low carbon transition path. Renew. Sustain. Energy Rev. 2019, 113, 109263. [Google Scholar] [CrossRef]
- Jiang, J.; Mei, H.; Wang, J.; Cheng, N.; Ye, K. From morphological to functional layout: Comprehensive analysis and CNN-based prediction framework for carbon emissions in cold-region university campuses. Energy Build. 2025, 347, 116315. [Google Scholar] [CrossRef]
- Dawodu, A.; Guo, C.; Zou, T.; Osebor, F.; Tang, J.; Liu, C.; Wu, C.; Oladejo, J. Developing an integrated participatory methodology framework for campus sustainability assessment tools (CSAT): A case study of a sino-foreign university in China. Prog. Plan. 2024, 183, 100827. [Google Scholar] [CrossRef]
- Kiehle, J.; Kopsakangas-Savolainen, M.; Hilli, M.; Pongrácz, E. Carbon footprint at institutions of higher education: The case of the University of Oulu. J. Environ. Manag. 2023, 329, 117056. [Google Scholar] [CrossRef]
- Emeakaroha, A.; Ang, C.S.; Yan, Y.; Hopthrow, T. Integrating persuasive technology with energy delegates for energy conservation and carbon emission reduction in a university campus. Energy 2014, 76, 357–374. [Google Scholar] [CrossRef]
- Clabeaux, R.; Carbajales-Dale, M.; Ladner, D.; Walker, T. Assessing the carbon footprint of a university campus using a life cycle assessment approach. J. Clean. Prod. 2020, 273, 122600. [Google Scholar] [CrossRef]
- Abolarin, S.M.; Gbadegesin, A.O.; Shitta, M.B.; Yussuff, A.; Eguma, C.A.; Ehwerhemuepha, L.; Adegbenro, O. A collective approach to reducing carbon dioxide emission: A case study of four University of Lagos Halls of residence. Energy Build. 2013, 61, 318–322. [Google Scholar] [CrossRef]
- Townsend, J.; Barrett, J. Exploring the applications of carbon footprinting towards sustainability at a UK university: Reporting and decision making. J. Clean. Prod. 2015, 107, 164–176. [Google Scholar] [CrossRef]
- Liu, J.; Wang, H.; Zhao, Z. Improvement and application of the ecological footprint calculation Method—A case study of a Chinese university. J. Clean. Prod. 2024, 450, 141893. [Google Scholar] [CrossRef]
- Wang, C.; Parvez, A.M.; Mou, J.; Quan, C.; Wang, J.; Zheng, Y.; Luo, X.; Wu, T. The status and improvement opportunities towards carbon neutrality of a university campus in China: A case study on energy transition and innovation perspectives. J. Clean. Prod. 2023, 414, 137521. [Google Scholar] [CrossRef]
- Wind. Wind Economic Database. Available online: https://www.wind.com.cn/portal/zh/AboutUs/index.html (accessed on 21 November 2025).
- State Council of the People’s Republic of China. The State Council Issued the “Promoting Large-Scale Equipment Renewal and Notice on the Action Plan for the Exchange of Old Consumer Goods for New”. Available online: https://www.gov.cn/zhengce/content/202403/content_6939232.htm (accessed on 21 November 2025).
- Lan, W. Research on Scenario Forecasting and Implementation Path of Carbon Peaking in Universities. Master’s Thesis, Shandong Jianzhu University, Jinan, China, 2024. [Google Scholar]
- Kandananond, K. The Greenhouse Gas Accounting of a Public Organization: The Case of a Public University in Thailand. Energy Procedia 2017, 141, 672–676. [Google Scholar] [CrossRef]
- Wiryadinata, S.; Morejohn, J.; Kornbluth, K. Pathways to carbon neutral energy systems at the University of California, Davis. Renew. Energy 2019, 130, 853–866. [Google Scholar] [CrossRef]
- Zhu, L.; Li, F. Campus building carbon emission estimation and scenario analysis: A case study of Nankai university. J. Clean. Prod. 2025, 519, 145931. [Google Scholar] [CrossRef]
- Heravi, G.; Aryanpour, D.; Rostami, M. Developing a green university framework using statistical techniques: Case study of the University of Tehran. J. Build. Eng. 2021, 42, 102798. [Google Scholar] [CrossRef]
- Zarma, T.A.; Micheal, P.O.; Galadima, A.A.; Karataev, T.; Adeleke, A.; Oghorada, O.; Suleiman, H.U. Development of energy demand and carbon emission dataset for Nile University of Nigeria. Data Brief 2023, 49, 109347. [Google Scholar] [CrossRef]
- GB/T 14885-2022; Classification of Products and Services for Statistics. Standards Press of China: Beijing, China, 2022.
- Ministry of Ecology and Environment of the People’s Republic of China. Announcement on the Release of 2022 Power Carbon Dioxide Emission Factors. Available online: https://www.mee.gov.cn/xxgk2018/xxgk/xxgk01/202412/t20241226_1099413.html (accessed on 21 November 2025).
- Liu, H.; Fu, M.; Jin, X.; Shang, Y.; Shindell, D.; Faluvegi, G.; Shindell, C.; He, K. Health and climate impacts of ocean-going vessels in East Asia. Nat. Clim. Change 2016, 6, 1037–1041. [Google Scholar] [CrossRef]
- Liu, H.; Man, H.; Cui, H.; Wang, Y.; Deng, F.; Wang, Y.; Yang, X.; Xiao, Q.; Zhang, Q.; Ding, Y.; et al. An updated emission inventory of vehicular VOCs and IVOCs in China. Atmos. Chem. Phys. 2017, 17, 12709–12724. [Google Scholar] [CrossRef]
- Zhang, S.; Wu, Y.; Wu, X.; Li, M.; Ge, Y.; Liang, B.; Xu, Y.; Zhou, Y.; Liu, H.; Fu, L.; et al. Historic and future trends of vehicle emissions in Beijing, 1998–2020: A policy assessment for the most stringent vehicle emission control program in China. Atmos. Environ. 2014, 89, 216–229. [Google Scholar] [CrossRef]
- Yang, X.F.; Liu, H.; Man, H.Y.; He, K.B. Characterization of road freight transportation and its impact on the national emission inventory in China. Atmos. Chem. Phys. 2015, 15, 2105–2118. [Google Scholar] [CrossRef]
- Wen, Y.; Liu, M.; Zhang, S.; Wu, X.; Wu, Y.; Hao, J. Updating On-Road Vehicle Emissions for China: Spatial Patterns, Temporal Trends, and Mitigation Drivers. Environ. Sci. Technol. 2023, 57, 14299–14309. [Google Scholar] [CrossRef]
- Letete, T.C.M.; Mungwe, N.W.; Guma, M.; Marquard, A. Carbon footprint of the University of Cape Town. J. Energy South. Afr. 2011, 22, 2–12. [Google Scholar] [CrossRef]
- Klein-Banai, C.; Theis, T.L.; Brecheisen, T.A.; Banai, A. Research article: A Greenhouse Gas Inventory as a Measure of Sustainability for an Urban Public Research University. Environ. Pract. 2010, 12, 35–47. [Google Scholar] [CrossRef]
- Ozawa-Meida, L.; Brockway, P.; Letten, K.; Davies, J.; Fleming, P. Measuring carbon performance in a UK University through a consumption-based carbon footprint: De Montfort University case study. J. Clean. Prod. 2013, 56, 185–198. [Google Scholar] [CrossRef]
- Larsen, H.N.; Pettersen, J.; Solli, C.; Hertwich, E.G. Investigating the Carbon Footprint of a University—The case of NTNU. J. Clean. Prod. 2013, 48, 39–47. [Google Scholar] [CrossRef]








Disclaimer/Publisher’s Note: The statements, opinions and data contained in all publications are solely those of the individual author(s) and contributor(s) and not of MDPI and/or the editor(s). MDPI and/or the editor(s) disclaim responsibility for any injury to people or property resulting from any ideas, methods, instructions or products referred to in the content. |
© 2026 by the authors. Licensee MDPI, Basel, Switzerland. This article is an open access article distributed under the terms and conditions of the Creative Commons Attribution (CC BY) license.
Share and Cite
Lin, K.; Huang, J.; Jiang, B.; Cao, C.; Qian, Q. Carbon Emission Assessment and Reduction Pathways of Teaching and Research Equipment in Application-Oriented University in China Based on Life-Cycle Analysis. Sustainability 2026, 18, 1446. https://doi.org/10.3390/su18031446
Lin K, Huang J, Jiang B, Cao C, Qian Q. Carbon Emission Assessment and Reduction Pathways of Teaching and Research Equipment in Application-Oriented University in China Based on Life-Cycle Analysis. Sustainability. 2026; 18(3):1446. https://doi.org/10.3390/su18031446
Chicago/Turabian StyleLin, Kuihua, Jiawei Huang, Bingqi Jiang, Changlin Cao, and Qingrong Qian. 2026. "Carbon Emission Assessment and Reduction Pathways of Teaching and Research Equipment in Application-Oriented University in China Based on Life-Cycle Analysis" Sustainability 18, no. 3: 1446. https://doi.org/10.3390/su18031446
APA StyleLin, K., Huang, J., Jiang, B., Cao, C., & Qian, Q. (2026). Carbon Emission Assessment and Reduction Pathways of Teaching and Research Equipment in Application-Oriented University in China Based on Life-Cycle Analysis. Sustainability, 18(3), 1446. https://doi.org/10.3390/su18031446

