Synergistic Effects of Subcritical Water Pretreatment and Anaerobic Digestion of Brewers’ Spent Grains for Biogas Production
Abstract
1. Introduction
2. Materials and Methods
2.1. Inoculum and Feedstock
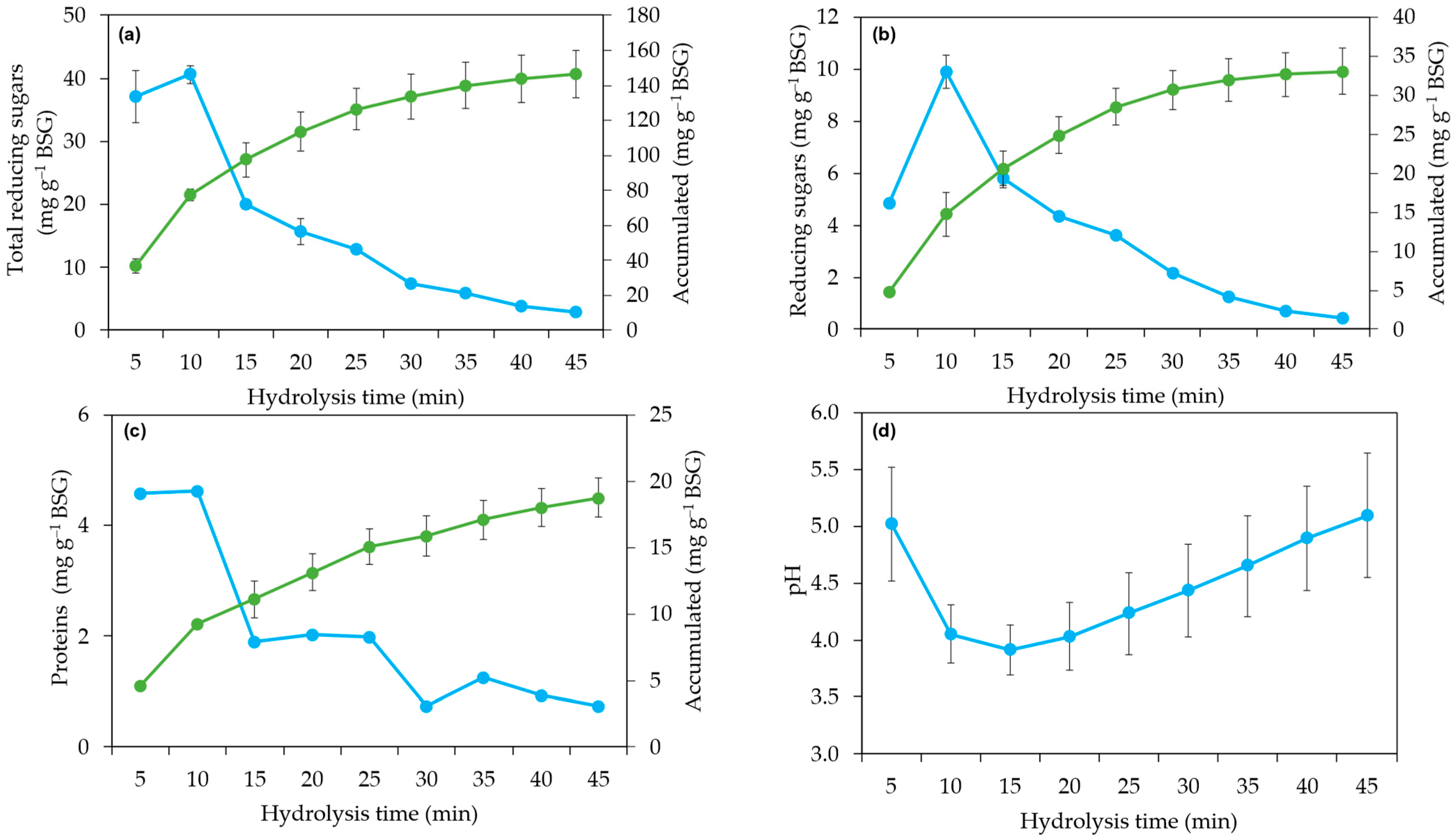
2.2. SWH of BSG
Operational Performance of the SWH Tests
2.3. Integration of SWH and AD
2.3.1. Operational Performance of the BMP Tests
2.3.2. Kinetic Analysis of BMP Tests
2.4. Statistical Analysis
3. Results and Discussion
3.1. SWH of BSG
3.2. Integration of SWH and AD of BSG
3.2.1. Characterization of the BMP Tests
3.2.2. Biomethane Production from SWH-AD
3.2.3. Kinetic Modelling and Optimization
4. Conclusions
Author Contributions
Funding
Institutional Review Board Statement
Informed Consent Statement
Data Availability Statement
Conflicts of Interest
References
- Moosavian, S.F.; Noorollahi, Y.; Shoaei, M. Renewable Energy Resources Utilization Planning for Sustainable Energy System Development on a Stand-Alone Island. J. Clean. Prod. 2024, 439, 140892. [Google Scholar] [CrossRef]
- Li, F.; Li, Y.; Novoselov, K.S.; Liang, F.; Meng, J.; Ho, S.-H.; Zhao, T.; Zhou, H.; Ahmad, A.; Zhu, Y.; et al. Bioresource Upgrade for Sustainable Energy, Environment, and Biomedicine. Nano-Micro Lett. 2023, 15, 35. [Google Scholar] [CrossRef]
- Henkin, J.M.; Mainali, K.; Sharma, B.K.; Yadav, M.P.; Ngo, H.; Sarker, M.I. A Review of Chemical and Physical Analysis, Processing, and Repurposing of Brewers’ Spent Grain. Biomass 2025, 5, 42. [Google Scholar] [CrossRef]
- Arpit Singh, T.; Sharma, M.; Sharma, M.; Dutt Sharma, G.; Kumar Passari, A.; Bhasin, S. Valorization of Agro-Industrial Residues for Production of Commercial Biorefinery Products. Fuel 2022, 322, 124284. [Google Scholar] [CrossRef]
- Marcus, A.; Fox, G. Fungal Biovalorization of a Brewing Industry Byproduct, Brewer’s Spent Grain: A Review. Foods 2021, 10, 2159. [Google Scholar] [CrossRef]
- Sganzerla, W.G.; Ampese, L.C.; Mussatto, S.I.; Forster-Carneiro, T. A Bibliometric Analysis on Potential Uses of Brewer’s Spent Grains in a Biorefinery for the Circular Economy Transition of the Beer Industry. Biofuels Bioprod. Biorefin. 2021, 15, 1965–1988. [Google Scholar] [CrossRef]
- Głowacki, S.; Salamon, A.; Sojak, M.; Tulej, W.; Bryś, A.; Hutsol, T.; Salamon, M.; Kukharets, S.; Janaszek-Mańkowska, M. The Use of Brewer’s Spent Grain after Beer Production for Energy Purposes. Materials 2022, 15, 3703. [Google Scholar] [CrossRef]
- Hejna, A.; Barczewski, M.; Skórczewska, K.; Szulc, J.; Chmielnicki, B.; Korol, J.; Formela, K. Sustainable Upcycling of Brewers’ Spent Grain by Thermo-Mechanical Treatment in Twin-Screw Extruder. J. Clean. Prod. 2021, 285, 124839. [Google Scholar] [CrossRef]
- Zhang, J.; Perez-Gavilan, A.; Cunha Neves, A. Determination of Functionalities of Proteins and Their Corresponding Hydrolysates from Brewers’ Spent Grain. J. Am. Soc. Brew. Chem. 2025, 83, 203–214. [Google Scholar] [CrossRef]
- da Fonseca, Y.A.; Fernandes, A.R.A.C.; Gurgel, L.V.A.; Baêta, B.E.L. Comparative Life Cycle Assessment of Early-Stage Technological Layouts for Brewers’ Spent Grain Upcycling: A Sustainable Approach for Adding Value to Waste. J. Water Process Eng. 2024, 66, 105904. [Google Scholar] [CrossRef]
- Pasquet, P.-L.; Villain-Gambier, M.; Trébouet, D. By-Product Valorization as a Means for the Brewing Industry to Move toward a Circular Bioeconomy. Sustainability 2024, 16, 3472. [Google Scholar] [CrossRef]
- Lorente, A.; Remón, J.; Salgado, M.; Huertas-Alonso, A.J.; Sánchez-Verdú, P.; Moreno, A.; Clark, J.H. Sustainable Production of Solid Biofuels and Biomaterials by Microwave-Assisted, Hydrothermal Carbonization (MA-HTC) of Brewers’ Spent Grain (BSG). ACS Sustain. Chem. Eng. 2020, 8, 18982–18991. [Google Scholar] [CrossRef]
- Bai, X.; Rebosura, M.J.; Jensen, P.D. Enhanced Anaerobic Digestion of Lignocellulosic Paunch Waste Using Potassium Hydroxide Pre-Treatment. Bioresour. Technol. 2025, 425, 132323. [Google Scholar] [CrossRef]
- Park, J.; Cayetano, R.D.A.; Kim, G.-B.; Jo, Y.; Kwon, Y.; Lei, Z.; Kim, S.-H. Sludge Disintegration and Anaerobic Digestion Enhancement by Alkaline-Thermal Pretreatment: Economic Evaluation and Microbial Population Analysis. Bioresour. Technol. 2022, 346, 126594. [Google Scholar] [CrossRef] [PubMed]
- Venegas, M.; Leiva, A.M.; Vidal, G. Influence of Anaerobic Digestion with Pretreatment on the Phytotoxicity of Sewage Sludge. Water Air Soil Pollut. 2018, 229, 381. [Google Scholar] [CrossRef]
- Cai, K.; Hou, B.; Hu, Y.; He, X.; Shan, Y. Subcritical Water Hydrolysis of Eggshell Membrane and Its Physicochemical Characteristics. Food Chem. 2025, 471, 142848. [Google Scholar] [CrossRef]
- dos Passos, F.R.; Fiorese, M.L.; da Silva, E.A.; Peiter, G.C.; Tres, M.V.; Cardozo-Filho, L.; da Silva, C. Subcritical Water Hydrolysis of Pereskia Aculeate Biomass to Produce Fermentable Sugars and Platform Chemicals. Results Chem. 2025, 16, 102501. [Google Scholar] [CrossRef]
- Hans, N.; Solanki, D.; Nagpal, T.; Amir, H.; Naik, S.; Malik, A. Process Optimization and Characterization of Hydrolysate from Underutilized Brown Macroalgae (Padina tetrastromatica) after Fucoidan Extraction through Subcritical Water Hydrolysis. J. Environ. Manag. 2024, 349, 119497. [Google Scholar] [CrossRef]
- Lee, J.W.; Choi, E.J.; Ryu, W.B.; Hong, G.-P. Characterization of Temperature-Dependent Subcritical Water Hydrolysis Pattern of Strong and Floury Rice Cultivars and Potential Utilizations of Their Hydrolysates. Food Chem. 2024, 445, 138737. [Google Scholar] [CrossRef]
- Lee, J.W.; Lee, S.; Lee, M.-Y.; Hong, G.-P. Subcritical Water Mediated Conversion of Spent Coffee Grounds into Physiologically Active Biomaterials for Utilization in Food Industry. LWT 2025, 218, 117476. [Google Scholar] [CrossRef]
- Son, C.-G.; Lee, J.W.; Lee, M.-Y.; Hong, G.-P. Conversion of Rice Husks into Antioxidative and Prebiotic Biomaterials Using Subcritical Water Pretreatment and Cellulase Incubation under High-Pressure. Food Sci. Biotechnol. 2025, 34, 1581–1588. [Google Scholar] [CrossRef] [PubMed]
- Rice, E.W.; Baird, R.B.; Eaton, A.D.; Clesceri, L.S.; Association, A.P.H.; Association, A.W.W.; Federation, W.E. Standard Methods for Examination of Water and Wastewater 2012; American Public Health Assn: Washington, DC, USA, 2012; ISBN 9780875530130. [Google Scholar]
- Castro, L.E.N.; Barroso, T.L.C.T.; Sganzerla, W.G.; Costa, J.M.; Saia, F.T.; Colpini, L.M.S.; Forster-Carneiro, T. Subcritical Water Hydrolysis of Grape Pomace as a Sustainable Pretreatment for Anaerobic Digestion in a Biorefinery Concept. Fuel 2024, 363, 130899. [Google Scholar] [CrossRef]
- Nelson, N. A Photometric Adaptation of the Somogyi Method for the Determination of Glucose. J. Biol. Chem. 1944, 153, 375–380. [Google Scholar] [CrossRef]
- Bradford, M.M. A Rapid and Sensitive Method for the Quantitation of Microgram Quantities of Protein Utilizing the Principle of Protein-Dye Binding. Anal. Biochem. 1976, 72, 248–254. [Google Scholar] [CrossRef]
- Castro, L.E.N.; Sganzerla, W.G.; Matheus, L.R.; Ferreira, V.C.; Rostagno, M.A.; Forster-Carneiro, T. Subcritical Water Processing of Grape Pomace (Vitis vinifera L.): Kinetic Evaluation of Sugar Production and By-Product Formation. Biomass 2025, 5, 34. [Google Scholar] [CrossRef]
- Ramirez, C.S.V.; Temelli, F.; Saldaña, M.D.A. Production of Pea Hull Soluble Fiber-Derived Oligosaccharides Using Subcritical Water with Carboxylic Acids. J. Supercrit. Fluids 2021, 178, 105349. [Google Scholar] [CrossRef]
- Benito-Román, Ó.; Alonso-Riaño, P.; Díaz de Cerio, E.; Sanz, M.T.; Beltrán, S. Semi-Continuous Hydrolysis of Onion Skin Wastes with Subcritical Water: Pectin Recovery and Oligomers Identification. J. Environ. Chem. Eng. 2022, 10, 107439. [Google Scholar] [CrossRef]
- Sganzerla, W.G.; Ampese, L.C.; Mussatto, S.I.; Forster-Carneiro, T. Subcritical Water Pretreatment Enhanced Methane-Rich Biogas Production from the Anaerobic Digestion of Brewer’s Spent Grains. Environ. Technol. 2022, 1–19. [Google Scholar] [CrossRef]
- Alonso-Riaño, P.; Ramos, C.; Trigueros, E.; Beltrán, S.; Sanz, M.T. Study of Subcritical Water Scale-up from Laboratory to Pilot System for Brewer’s Spent Grain Valorization. Ind. Crops Prod. 2023, 191, 115927. [Google Scholar] [CrossRef]
- Nunes, L.F.; Ugalde, G.A.; Anschau, K.F.; Müller, E.I.; Tres, M.V.; Zabot, G.L.; Kuhn, R.C. Clean Production of Sugars from Brewer’s Spent Grains Using Subcritical Water Hydrolysis and Steam Explosion. Sustain. Chem. 2024, 5, 308–323. [Google Scholar] [CrossRef]
- Musluoğlu, A.; Dereli, R.K.; Arıkan, O.A.; Övez, S.S. Comprehensive Experiences on the Operation of a Full-Scale Continuous Dry Anaerobic Digestion Plant Treating Mechanically Sorted OFMSW. Water Sci. Technol. 2025, 91, 1157–1171. [Google Scholar] [CrossRef]
- Leite, W.R.M.; Scandolara Magnus, B.; de Moraes, B.A.B.; Kato, M.T.; Florencio, L.; da Costa, R.H.R.; Belli Filho, P. Mesophilic Anaerobic Digestion of Waste Activated Sludge in an Intermittent Mixing Reactor: Effect of Hydraulic Retention Time and Organic Loading Rate. J. Environ. Manag. 2023, 338, 117839. [Google Scholar] [CrossRef]
- Jun, D.; Yong-sheng, Z.; Mei, H.; Wei-hong, Z. Influence of Alkalinity on the Stabilization of Municipal Solid Waste in Anaerobic Simulated Bioreactor. J. Hazard. Mater. 2009, 163, 717–722. [Google Scholar] [CrossRef] [PubMed]
- Yenigün, O.; Demirel, B. Ammonia Inhibition in Anaerobic Digestion: A Review. Process Biochem. 2013, 48, 901–911. [Google Scholar] [CrossRef]
- Kumar, A.; Samadder, S.R. Performance Evaluation of Anaerobic Digestion Technology for Energy Recovery from Organic Fraction of Municipal Solid Waste: A Review. Energy 2020, 197, 117253. [Google Scholar] [CrossRef]
- Ferguson, R.M.W.; Coulon, F.; Villa, R. Organic Loading Rate: A Promising Microbial Management Tool in Anaerobic Digestion. Water Res. 2016, 100, 348–356. [Google Scholar] [CrossRef]
- Tan, J.; Ye, M.; Lin, C.; Yu, B.; Li, Y.-Y.; Liu, J. Assigning Strategic COD Flow to Enhance Denitrification Coupled with Anaerobic Digestion and Anammox for Systematic Upgradation of Advanced Nitrogen Removal from Food Waste Digestate. Chem. Eng. J. 2024, 493, 152740. [Google Scholar] [CrossRef]
- Kusmayadi, A.; Lu, P.-H.; Huang, C.-Y.; Leong, Y.K.; Yen, H.-W.; Chang, J.-S. Integrating Anaerobic Digestion and Microalgae Cultivation for Dairy Wastewater Treatment and Potential Biochemicals Production from the Harvested Microalgal Biomass. Chemosphere 2022, 291, 133057. [Google Scholar] [CrossRef] [PubMed]
- Paulinetti, A.P.; Guerieri, F.F.; Augusto, I.M.G.; Lazaro, C.Z.; Albanez, R.; Lovato, G.; Ratusznei, S.M.; Domingues Rodrigues, J.A. Thermophilic and Mesophilic Anaerobic Digestion of Soybean Molasses: A Performance vs. Stability Trade-Off. J. Environ. Manag. 2024, 370, 122508. [Google Scholar] [CrossRef]
- Lukitawesa; Patinvoh, R.J.; Millati, R.; Sárvári-Horváth, I.; Taherzadeh, M.J. Factors Influencing Volatile Fatty Acids Production from Food Wastes via Anaerobic Digestion. Bioengineered 2020, 11, 39–52. [Google Scholar] [CrossRef]
- Elsden, S.R.; Hilton, M.G. Volatile Acid Production from Threonine, Valine, Leucine and Isoleucine by Clostridia. Arch. Microbiol. 1978, 117, 165–172. [Google Scholar] [CrossRef]
- Henningsson, Å.; Björck, I.; Nyman, M. Short-Chain Fatty Acid Formation at Fermentation of Indigestible Carbohydrates. Näringsforskning 2001, 45, 165–168. [Google Scholar] [CrossRef]
- Contreras-Dávila, C.A.; Carrión, V.J.; Vonk, V.R.; Buisman, C.N.J.; Strik, D.P.B.T.B. Consecutive Lactate Formation and Chain Elongation to Reduce Exogenous Chemicals Input in Repeated-Batch Food Waste Fermentation. Water Res. 2020, 169, 115215. [Google Scholar] [CrossRef] [PubMed]
- Meegoda, J.N.; Li, B.; Patel, K.; Wang, L.B. A Review of the Processes, Parameters, and Optimization of Anaerobic Digestion. Int. J. Environ. Res. Public Health 2018, 15, 2224. [Google Scholar] [CrossRef]
- Sillero, L.; Solera, R.; Perez, M. Effect of Temperature and Bagasse Addition on Anaerobic Co-Digestion of Brewery Waste by Biochemical Methane Potential Test. Fuel 2024, 357, 129737. [Google Scholar] [CrossRef]
- Cappai, G.; De Gioannis, G.; Friargiu, M.; Massi, E.; Muntoni, A.; Polettini, A.; Pomi, R.; Spiga, D. An Experimental Study on Fermentative H2 Production from Food Waste as Affected by PH. Waste Manag. 2014, 34, 1510–1519. [Google Scholar] [CrossRef] [PubMed]




| Parameters | BSG | Inoculum | BMP-1 | BMP-2 | BMP-3 | BMP-4 | BMP-5 | Unit |
|---|---|---|---|---|---|---|---|---|
| TS | 90.71 ± 0.06 | 13.49 ± 0.03 | 1.61 ± 0.02 | 2.09 ± 0.31 | 4.04 ± 0.35 | 6.90 ± 0.10 | 7.18 ± 0.19 | % |
| TFS | 3.65 ± 0.02 | 5.37 ± 0.05 | 0.11 ± 0.01 | 0.13 ± 0.00 | 0.20 ± 0.01 | 0.35 ± 0.05 | 0.33 ± 0.01 | % |
| TVS | 87.05 ± 0.06 | 8.12 ± 0.07 | 1.50 ± 0.03 | 1.96 ± 0.32 | 3.84 ± 0.34 | 6.56 ± 0.14 | 6.85 ± 0.19 | % |
| NH3 | 72.17 ± 1.55 | 36.67 ± 4.71 | 351.63 ± 10.23 | 376.79 ± 0.59 | 348.67 ± 3.23 | 331.67 ± 4.11 | 472.59 ± 7.17 | mg L−1 |
| N-NH3 | 60.00 ± 0.41 | 35.67 ± 3.30 | 285.72 ± 5.50 | 302.86 ± 5.91 | 289.33 ± 4.99 | 270.35 ± 2.23 | 391.65 ± 5.42 | mg L−1 |
| NH4+ | 76.33 ± 1.03 | 49.33 ± 1.70 | 369.08 ± 7.90 | 400.54 ± 3.73 | 371.60 ± 5.67 | 350.74 ± 3.49 | 498.35 ± 3.26 | mg L−1 |
| pH | 6.35 ± 0.23 | 7.3 ± 0.17 | 4.46 ± 0.35 | 4.66 ± 0.24 | 4.83 ± 0.32 | 4.93 ± 0.22 | 5.02 ± 0.25 | mg L−1 |
| Alkalinity | 150.23 ± 4.72 | 2801.29 ± 13.96 | 260.23 ± 2.45 | 160.45 ± 3.24 | 240.65 ± 5.23 | 200.21 ± 4.28 | 340.55 ± 2.43 | mg L−1 |
| TCOD | 28.01 ± 1.04 | 42.80 ± 1.04 | 21.53 ± 1.24 | 22.09 ± 0.24 | 21.48 ± 0.27 | 21.57 ± 0.36 | 22.29 ± 0.48 | g L−1 |
| SCOD | 6.49 ± 0.72 | 1.11 ± 0.00 | 21.25 ± 0.34 | 19.75 ± 0.44 | 19.93 ± 0.07 | 19.80 ± 0.15 | 22.68 ± 0.77 | g L−1 |
| Acetic acid | 232.64 ± 12.43 | 1321.36 ± 12.54 | 4647.98 ± 17.59 | 5342.41 ± 965.09 | 5443.51 ± 1257.89 | 6705.32 ± 3208.13 | 5655.76 ± 173.74 | mg L−1 |
| Isobutyric acid | n.d. | n.d. | 43.69 ± 40.01 | 10.27 ± 14.52 | n.d. | n.d. | n.d. | mg L−1 |
| Valeric acid | n.d. | n.d. | n.d. | 24.24 ± 3.76 | 26.09 ± 5.61 | 32.02 ± 14.97 | 26.82 ± 1.11 | mg L−1 |
| Isocaproic acid | n.d. | n.d. | 144.46 ± 7.11 | 168.26 ± 20.11 | 179.63 ± 37.40 | 227.33 ± 108.36 | 189.54 ± 2.67 | mg L−1 |
| Caproic acid | n.d. | n.d. | 27.54 ± 1.10 | 30.52 ± 4.82 | 30.85 ± 7.87 | 30.63 ± 11.92 | 25.92 ± 0.56 | mg L−1 |
| Parameters | BMP-1 | BMP-2 | BMP-3 | BMP-4 | BMP-5 | Inoculum | Unit | |
|---|---|---|---|---|---|---|---|---|
| TS | Initial | 3.28 ± 0.46 | 4.28 ± 0.64 | 4.88 ± 0.56 | 5.54 ± 0.18 | 7.71 ± 1.03 | 6.74 ± 0.01 | % |
| Final | 3.31 ± 0.09 | 3.35 ± 0.13 | 3.77 ± 0.06 | 3.88 ± 0.33 | 4.48 ± 0.18 | 3.04 ± 0.07 | % | |
| TFS | Initial | 1.23 ± 0.18 | 1.18 ± 0.07 | 1.38 ± 0.17 | 1.48 ± 0.09 | 1.60 ± 0.20 | 2.68 ± 0.02 | % |
| Final | 1.40 ± 0.01 | 1.33 ± 0.02 | 1.43 ± 0.01 | 1.46 ± 0.08 | 1.52 ± 0.03 | 1.34 ± 0.01 | % | |
| TVS | Initial | 2.06 ± 0.29 | 2.66 ± 0.21 | 3.50 ± 0.39 | 4.05 ± 0.10 | 6.10 ± 0.84 | 4.06 ± 0.04 | % |
| Final | 1.91 ± 0.08 | 2.01 ± 0.11 | 2.34 ± 0.05 | 2.42 ± 0.25 | 2.96 ± 0.16 | 1.70 ± 0.06 | % | |
| NH3 | Initial | 201.67 ± 2.36 | 868.33 ± 934.58 | 155.00 ± 4.08 | 180.00 ± 4.08 | 226.67 ± 6.24 | 19.17 ± 3.12 | mg L−1 |
| Final | 873.33 ± 2.49 | 1066.00 ± 4.90 | 1250.00 ± 8.16 | 1302.00 ± 4.90 | 1698.67 ± 3.40 | 420.67 ± 2.49 | mg L−1 | |
| N-NH3 | Initial | 165.00 ± 4.08 | 170.00 ± 4.08 | 131.67 ± 6.24 | 140.00 ± 4.08 | 175.00 ± 8.16 | 17.50 ± 2.04 | mg L−1 |
| Final | 723.33 ± 3.40 | 868.67 ± 6.60 | 1031.33 ± 12.04 | 1064.00 ± 17.28 | 1394.67 ± 4.11 | 351.33 ± 3.40 | mg L−1 | |
| NH4+ | Initial | 220.00 ± 4.08 | 205.00 ± 4.08 | 163.33 ± 6.24 | 190.00 ± 4.08 | 225.00 ± 8.16 | 25.00 ± 4.08 | mg L−1 |
| Final | 922.67 ± 8.99 | 1122.67 ± 16.76 | 1308.67 ± 4.11 | 1390.00 ± 8.16 | 1794.67 ± 4.11 | 450.67 ± 4.11 | mg L−1 | |
| pH | Initial | 7.63 ± 0.24 | 7.52 ± 0.71 | 7.61 ± 0.67 | 7.59 ± 0.85 | 7.54 ± 0.65 | 7.30 ± 0.87 | – |
| Final | 8.06 ± 0.63 | 7.99 ± 0.54 | 7.90 ± 0.52 | 7.76 ± 0.43 | 7.46 ± 0.62 | 7.84 ± 0.74 | – | |
| Alkalinity | Initial | 498.33 ± 6.24 | 416.67 ± 12.47 | 508.33 ± 6.24 | 548.33 ± 6.24 | 400.00 ± 8.16 | 1396.6 ± 4.71 | mg L−1 |
| Final | 4162.00 ± 4.32 | 4680.00 ± 16.33 | 4880.00 ± 16.33 | 4866.67 ± 24.94 | 4976.67 ± 20.55 | 2860.00 ± 16.33 | mg L−1 | |
| TCOD | Initial | 19.00 ± 2.84 | 14.02 ± 0.49 | 19.09 ± 0.45 | 23.42 ± 0.45 | 35.03 ± 2.66 | 21.40 ± 0.52 | g L−1 |
| Final | 10.04 ± 0.80 | 9.42 ± 0.48 | 16.14 ± 0.19 | 20.27 ± 0.26 | 24.45 ± 0.38 | 7.48 ± 1.32 | g L−1 | |
| SCOD | Initial | 8.61 ± 0.43 | 7.26 ± 0.11 | 9.29 ± 0.21 | 8.86 ± 0.85 | 15.25 ± 0.17 | 0.55 ± 0.00 | g L−1 |
| Final | 3.89 ± 0.11 | 5.19 ± 0.19 | 6.81 ± 0.31 | 8.73 ± 0.23 | 11.79 ± 1.57 | 1.82 ± 0.33 | g L−1 | |
| Parameters | BMP-1 | BMP-2 | BMP-3 | BMP-4 | BMP-5 | Inoculum | Unit | |
|---|---|---|---|---|---|---|---|---|
| Acetic acid | Initial | 1957.12 ± 32.05 | 3175.11 ± 426.35 | 3134.09 ± 70.89 | 3497.30 ± 852.98 | 3828.07 ± 1033.47 | n.d. | mg L−1 |
| Final | 10.31 ± 2.34 | 48.81 ± 3.02 | 177.86 ± 21.32 | 247.91 ± 5.72 | 988.04 ± 33.47 | n.d. | mg L−1 | |
| Propionic acid | Initial | 454.28 29.37 | n.d. | n.d. | n.d. | n.d. | n.d. | mg L−1 |
| Final | 2.07 ± 0.33 | 1.94 ± 0.08 | 55.02 ± 0.05 | 1385.71 ± 7.41 | 3632.77 ± 64.17 | n.d. | mg L−1 | |
| Isobutyric acid | Initial | n.d. | n.d. | n.d. | n.d. | n.d. | n.d. | mg L−1 |
| Final | n.d. | n.d. | n.d. | 34.78 ± 4.21 | 228.97 3.62 | n.d. | mg L−1 | |
| Butyric acid | Initial | n.d. | n.d. | n.d. | n.d. | n.d. | n.d. | mg L−1 |
| Final | 6.14 ± 0.08 | 2.51 ± 0.16 | n.d. | n.d. | 88.59 ± 16.95 | n.d. | mg L−1 | |
| Isovaleric acid | Initial | n.d. | n.d. | n.d. | n.d. | n.d. | n.d. | mg L−1 |
| Final | 4.65 ± 0.01 | 122.64 ± 3.73 | 254.12 ± 12.88 | 265.19 ± 9.83 | 440.10 ± 0.61 | n.d. | mg L−1 | |
| Valeric acid | Initial | n.d. | n.d. | n.d. | n.d. | 10.64 ± 15.05 | n.d. | mg L−1 |
| Final | n.d. | n.d. | n.d. | n.d. | n.d. | n.d. | mg L−1 | |
| Isocaproic acid | Initial | 86.70 ± 4.21 | 99.52 ± 12.76 | 100.75 ± 1.71 | 110.80 ± 23.77 | 123.97 ± 28.80 | n.d. | mg L−1 |
| Final | n.d. | 2.48 ± 0.12 | 3.74 ± 0.49 | 3.76 ± 0.82 | n.d. | n.d. | mg L−1 | |
| Caproic acid | Initial | 17.82 ± 0.62 | 19.96 ± 1.89 | 21.48 ± 0.18 | 23.81 ± 7.09 | 22.40 ± 6.66 | n.d. | mg L−1 |
| Final | 1.45 ± 1.98 | 2.28 ± 0.40 | 1.74 ± 0.36 | n.d. | n.d. | n.d. | mg L−1 | |
| Model | Parameters | BMP-1 | BMP-2 | BMP-3 | BMP-4 | BMP-5 |
|---|---|---|---|---|---|---|
| Pexperimental (mL) | 175.58 | 223.85 | 280.63 | 291.37 | 343.47 | |
| Modified Gompertz | Pmodel (mL) | 173.25 | 220.43 | 265.14 | 263.47 | 319.22 |
| Difference (%) | 2.33 | 3.42 | 15.49 | 27.90 | 24.25 | |
| Rm (mL h−1) | 2.64 | 1.49 | 1.66 | 1.68 | 1.57 | |
| λ (h) | 0 | 0 | 0 | 0 | 0 | |
| R2 | 0.984 | 0.977 | 0.913 | 0.808 | 0.882 | |
| Adjusted R2 | 0.983 | 0.975 | 0.906 | 0.791 | 0.871 | |
| SEE | 5.113 | 9.268 | 21.68 | 32.21 | 31.30 | |
| RSS | 601.30 | 1975.62 | 10,812.13 | 23,865.53 | 22,544.01 | |
| RMSE | 7.39 | 13.39 | 31.37 | 46.47 | 45.28 | |
| Cone | Pmodel (mL) | 177.88 | 244.53 | 375.62 | 318.94 | 352.18 |
| Difference (%) | 2.3 | 20.68 | 94.99 | 27.57 | 18.29 | |
| kmethane(h−1) | 0.034 | 0.014 | 0.0078 | 0.0074 | 0.001 | |
| n | 1.64 | 1.27 | 0.765 | 0.324 | 0.532 | |
| R2 | 0.999 | 0.992 | 0.994 | 0.979 | 0.990 | |
| Adjusted R2 | 0.999 | 0.992 | 0.993 | 0.977 | 0.989 | |
| SEE | 0.978 | 5.254 | 5.543 | 10.52 | 8.99 | |
| RSS | 22.007 | 635.08 | 706.81 | 2547.39 | 1859.95 | |
| RMSE | 1.41 | 7.60 | 8.01 | 15.22 | 13.00 | |
| First-order kinetic | Pmodel (mL) | 174.68 | 225.27 | 274.75 | 277.23 | 335.28 |
| Difference (%) | 0.90 | 1.42 | 5.88 | 14.14 | 11.81 | |
| kmethane (h−1) | 0.023 | 0.010 | 0.0091 | 0.0086 | 0.0071 | |
| R2 | 0.998 | 0.996 | 0.967 | 0.892 | 0.947 | |
| Adjusted R2 | 0.998 | 0.996 | 0.966 | 0.887 | 0.945 | |
| SEE | 1.433 | 3.7 | 12.981 | 23.62 | 20.36 | |
| RSS | 49.29 | 330.04 | 4044.52 | 13,392.55 | 9956.70 | |
| RMSE | 2.12 | 5.48 | 19.18 | 34.89 | 30.08 |
Disclaimer/Publisher’s Note: The statements, opinions and data contained in all publications are solely those of the individual author(s) and contributor(s) and not of MDPI and/or the editor(s). MDPI and/or the editor(s) disclaim responsibility for any injury to people or property resulting from any ideas, methods, instructions or products referred to in the content. |
© 2026 by the authors. Licensee MDPI, Basel, Switzerland. This article is an open access article distributed under the terms and conditions of the Creative Commons Attribution (CC BY) license.
Share and Cite
Sganzerla, W.G.; Tena, M.; Castro, L.E.N.; Forster Carneiro, T.; Solera, R.; Perez, M. Synergistic Effects of Subcritical Water Pretreatment and Anaerobic Digestion of Brewers’ Spent Grains for Biogas Production. Sustainability 2026, 18, 1410. https://doi.org/10.3390/su18031410
Sganzerla WG, Tena M, Castro LEN, Forster Carneiro T, Solera R, Perez M. Synergistic Effects of Subcritical Water Pretreatment and Anaerobic Digestion of Brewers’ Spent Grains for Biogas Production. Sustainability. 2026; 18(3):1410. https://doi.org/10.3390/su18031410
Chicago/Turabian StyleSganzerla, William Gustavo, Miriam Tena, Luiz Eduardo Nochi Castro, Tânia Forster Carneiro, Rosario Solera, and Montserrat Perez. 2026. "Synergistic Effects of Subcritical Water Pretreatment and Anaerobic Digestion of Brewers’ Spent Grains for Biogas Production" Sustainability 18, no. 3: 1410. https://doi.org/10.3390/su18031410
APA StyleSganzerla, W. G., Tena, M., Castro, L. E. N., Forster Carneiro, T., Solera, R., & Perez, M. (2026). Synergistic Effects of Subcritical Water Pretreatment and Anaerobic Digestion of Brewers’ Spent Grains for Biogas Production. Sustainability, 18(3), 1410. https://doi.org/10.3390/su18031410

