Geography of Higher Education Institutions (HEIs) and Regional Innovation: Empirical Evidence and Policy Design
Abstract
1. Introduction
- Can a geography of HEIs be identified, and how does regional diversity within HEIs affect their innovation capacities and contributions to regional development?
- What factors determine the different impact of HEIs on the regional innovation system?
2. Literature Review
3. Methods and Data
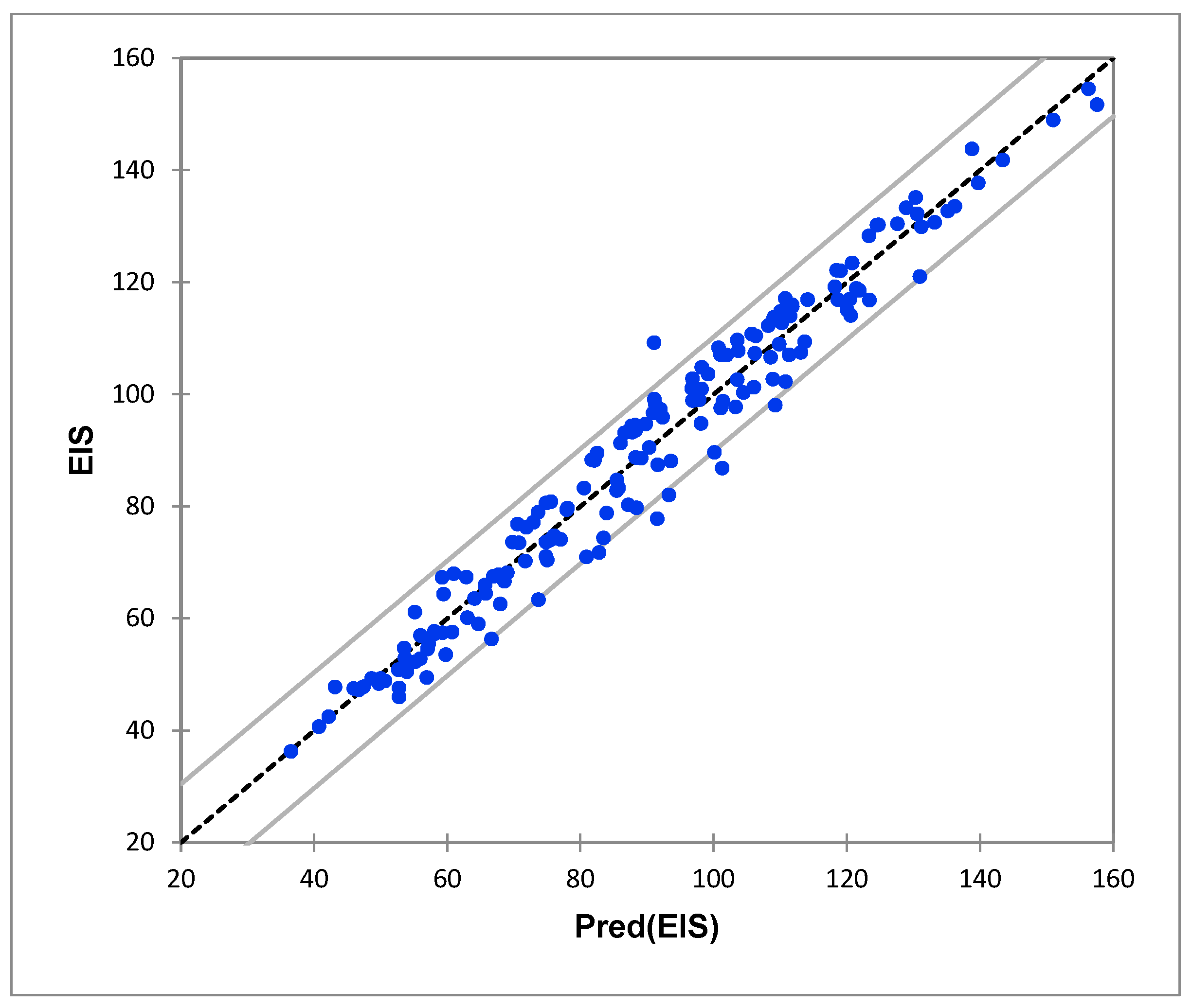
4. Results
4.1. Partial Least Squares Regression Results
- VIP (Variable Importance in the Projection): It assesses the importance of each independent variable in the PLS model considering both the effect of the variable on the dependent variables and the structure of the independent variables themselves. Higher values of VIP indicate a higher importance of the variable in the model. The VIP is calculated as the sum of the explained deviations (R2Y) for all principal components of the model, weighted by the importance of the components (see Appendix A for values).
- VID (Variable Importance in the Projection for Interaction): It is an extension of the VIP that considers the interactions between the independent variables in the PLS model. The VID assesses the importance of variables, both individually and in combination with other variables in the context of interactions. Higher values of VID indicate a higher importance of the variable in the model.
4.2. Principal Component Regression Results
- Research and Development Expenditure
- Innovation Policies
- Higher Education System and Human Capital
5. Discussion
6. Conclusions
Author Contributions
Funding
Institutional Review Board Statement
Informed Consent Statement
Data Availability Statement
Conflicts of Interest
Appendix A
![]() Model Quality: | ||
| Statistic | Comp1 | |
| Q2 cum | 0.964 | |
| R2Y cum | 0.965 | |
| R2X cum | 0.401 | |
| Correlation matrix of the variables with the t and u~ components: | t1 | u~1 |
| Population with tertiary education | 0.374 | 0.375 |
| Lifelong learning | 0.659 | 0.711 |
| International scientific co-publications | 0.805 | 0.767 |
| Most-cited publications | 0.678 | 0.686 |
| Digital skills | 0.638 | 0.700 |
| R&D expenditures public sector | 0.702 | 0.688 |
| R&D expenditures business sector | 0.771 | 0.774 |
| Non-R&D innovation expenditures | 0.033 | 0.024 |
| Innovation expenditures per person employed | 0.651 | 0.634 |
| IT specialists | 0.667 | 0.670 |
| Product process innovators | 0.699 | 0.644 |
| Business process innovators | 0.685 | 0.636 |
| Innovative SMEs collaborating with others | 0.676 | 0.640 |
| Public–private co-publications | 0.870 | 0.841 |
| PCT patent applications | 0.832 | 0.851 |
| Trademark applications | 0.654 | 0.627 |
| Design applications | 0.413 | 0.407 |
| Employment knowledge-intensive activities | 0.560 | 0.554 |
| Employment in innovative SMEs | 0.749 | 0.703 |
| Sales of new-to-market and new-to-firm innovations | 0.431 | 0.367 |
| N. of Universities | 0.339 | 0.308 |
| Total Academic Personnel (FTE) | 0.380 | 0.356 |
| EIS | 0.982 | 1.003 |
| Variable Importance in the Projection (VIP): | ||||
| Variable | VIP | Standard Deviation | Lower Bound (95%) | Upper Bound (95%) |
| PCT patent applications | 1.369 | 0.034 | 1.293 | 1.445 |
| Public–private co-publications | 1.353 | 0.051 | 1.238 | 1.467 |
| R&D expenditures business sector | 1.246 | 0.056 | 1.119 | 1.372 |
| International scientific co-publications | 1.234 | 0.069 | 1.079 | 1.389 |
| Lifelong learning | 1.145 | 0.072 | 0.983 | 1.307 |
| Employment in innovative SMEs | 1.131 | 0.046 | 1.027 | 1.236 |
| Digital skills | 1.126 | 0.044 | 1.026 | 1.226 |
| R&D expenditures public sector | 1.108 | 0.068 | 0.954 | 1.262 |
| Most-cited publications | 1.104 | 0.077 | 0.930 | 1.279 |
| IT specialists | 1.079 | 0.079 | 0.899 | 1.258 |
| Product process innovators | 1.036 | 0.078 | 0.859 | 1.214 |
| Innovative SMEs collaborating with others | 1.030 | 0.071 | 0.869 | 1.191 |
| Business process innovators | 1.023 | 0.055 | 0.898 | 1.148 |
| Innovation expenditures per person employed | 1.020 | 0.057 | 0.892 | 1.148 |
| Trademark applications | 1.010 | 0.086 | 0.814 | 1.205 |
| Employment knowledge-intensive activities | 0.891 | 0.071 | 0.731 | 1.051 |
| Design applications | 0.655 | 0.074 | 0.488 | 0.822 |
| Population with tertiary education | 0.604 | 0.104 | 0.369 | 0.839 |
| Sales of new-to-market and new-to-firm innovations | 0.590 | 0.078 | 0.413 | 0.767 |
| Total Academic Personnel (FTE) | 0.573 | 0.097 | 0.353 | 0.792 |
| N. of Universities | 0.496 | 0.128 | 0.207 | 0.784 |
| Non-R&D innovation expenditures | 0.038 | 0.065 | −0.109 | 0.186 |

| Coefficients (Variable EIS): | ||||
| Variable | Coefficient | Std. Deviation | Lower Bound (95%) | Upper Bound (95%) |
| Intercept | 6.225 | 1.064 | 3.818 | 8.633 |
| Population with tertiary education | 4.879 | 0.848 | 2.959 | 6.798 |
| Lifelong learning | 8.247 | 0.555 | 6.991 | 9.503 |
| International scientific co-publications | 10.583 | 0.670 | 9.068 | 12.098 |
| Most-cited publications | 11.103 | 0.810 | 9.271 | 12.936 |
| Digital skills | 9.841 | 0.407 | 8.920 | 10.762 |
| R&D expenditures public sector | 9.316 | 0.617 | 7.920 | 10.712 |
| R&D expenditures business sector | 10.222 | 0.418 | 9.277 | 11.168 |
| Non-R&D innovation expenditures | 0.488 | 1.093 | −1.985 | 2.962 |
| Innovation expenditures per person employed | 10.703 | 0.595 | 9.357 | 12.049 |
| IT specialists | 7.868 | 0.608 | 6.492 | 9.244 |
| Product process innovators | 8.584 | 0.614 | 7.194 | 9.974 |
| Business process innovators | 6.827 | 0.349 | 6.038 | 7.615 |
| Innovative SMEs collaborating with others | 8.232 | 0.551 | 6.986 | 9.477 |
| Public–private co-publications | 11.477 | 0.511 | 10.322 | 12.632 |
| PCT patent applications | 11.205 | 0.237 | 10.669 | 11.741 |
| Trademark applications | 9.523 | 0.810 | 7.691 | 11.355 |
| Design applications | 5.702 | 0.651 | 4.228 | 7.175 |
| Employment knowledge-intensive activities | 7.060 | 0.554 | 5.808 | 8.312 |
| Employment in innovative SMEs | 8.043 | 0.287 | 7.395 | 8.692 |
| Sales of new-to-market and new-to-firm innovations | 6.167 | 0.822 | 4.308 | 8.026 |
| N. of Universities | 7.025 | 1.773 | 3.014 | 11.036 |
| Total Academic Personnel (FTE) | 8.990 | 1.481 | 5.641 | 12.340 |
| VIDs (Variable EIS): | ||||
| Variable | VID | Std. Deviation | Lower Bound (95%) | Upper Bound (95%) |
| Population with tertiary education | 0.374 | 0.011 | 0.348 | 0.399 |
| Lifelong learning | 0.659 | 0.007 | 0.643 | 0.675 |
| International scientific co-publications | 0.805 | 0.005 | 0.793 | 0.818 |
| Most-cited publications | 0.678 | 0.007 | 0.662 | 0.694 |
| Digital skills | 0.638 | 0.007 | 0.623 | 0.653 |
| R&D expenditures public sector | 0.702 | 0.004 | 0.694 | 0.711 |
| R&D expenditures business sector | 0.771 | 0.005 | 0.760 | 0.783 |
| Non-R&D innovation expenditures | 0.033 | 0.008 | 0.014 | 0.052 |
| Innovation expenditures per person employed | 0.651 | 0.005 | 0.641 | 0.662 |
| IT specialists | 0.667 | 0.008 | 0.650 | 0.685 |
| Product process innovators | 0.699 | 0.009 | 0.679 | 0.720 |
| Business process innovators | 0.685 | 0.010 | 0.662 | 0.707 |
| Innovative SMEs collaborating with others | 0.676 | 0.007 | 0.660 | 0.692 |
| Public–private co-publications | 0.870 | 0.004 | 0.861 | 0.879 |
| PCT patent applications | 0.832 | 0.003 | 0.825 | 0.839 |
| Trademark applications | 0.654 | 0.006 | 0.640 | 0.668 |
| Design applications | 0.413 | 0.008 | 0.396 | 0.431 |
| Employment knowledge-intensive activities | 0.560 | 0.007 | 0.543 | 0.577 |
| Employment in innovative SMEs | 0.749 | 0.008 | 0.731 | 0.768 |
| Sales of new-to-market and new-to-firm innovations | 0.431 | 0.008 | 0.412 | 0.450 |
| N. of Universities | 0.339 | 0.012 | 0.312 | 0.367 |
| Total Academic Personnel (FTE) | 0.380 | 0.010 | 0.357 | 0.403 |

| w Vectors: | |
| Variable | w1 |
| Population with tertiary education | 0.129 |
| Lifelong learning | 0.244 |
| International scientific co-publications | 0.263 |
| Most-cited publications | 0.235 |
| Digital skills | 0.240 |
| R&D expenditures public sector | 0.236 |
| R&D expenditures business sector | 0.266 |
| Non-R&D innovation expenditures | 0.008 |
| Innovation expenditures per person employed | 0.217 |
| IT specialists | 0.230 |
| Product process innovators | 0.221 |
| Business process innovators | 0.218 |
| Innovative SMEs collaborating with others | 0.220 |
| Public–private co-publications | 0.288 |
| PCT patent applications | 0.292 |
| Trademark applications | 0.215 |
| Design applications | 0.140 |
| Employment knowledge-intensive activities | 0.190 |
| Employment in innovative SMEs | 0.241 |
| Sales of new-to-market and new-to-firm innovations | 0.126 |
| N. of Universities | 0.106 |
| Total Academic Personnel (FTE) | 0.122 |
| w* Vectors: | |
| Variable | w*1 |
| Population with tertiary education | 0.129 |
| Lifelong learning | 0.244 |
| International scientific co-publications | 0.263 |
| Most-cited publications | 0.235 |
| Digital skills | 0.240 |
| R&D expenditures public sector | 0.236 |
| R&D expenditures business sector | 0.266 |
| Non-R&D innovation expenditures | 0.008 |
| Innovation expenditures per person employed | 0.217 |
| IT specialists | 0.230 |
| Product process innovators | 0.221 |
| Business process innovators | 0.218 |
| Innovative SMEs collaborating with others | 0.220 |
| Public–private co-publications | 0.288 |
| PCT patent applications | 0.292 |
| Trademark applications | 0.215 |
| Design applications | 0.140 |
| Employment knowledge-intensive activities | 0.190 |
| Employment in innovative SMEs | 0.241 |
| Sales of new-to-market and new-to-firm innovations | 0.126 |
| N. of Universities | 0.106 |
| Total Academic Personnel (FTE) | 0.122 |
| c Vectors: | |
| Variable | c1 |
| EIS | 0.331 |
| Scores on t: | |
| Observation | t1 |
| Région de Bruxelles-Capitale | 4.546 |
| Vlaams Gewest | 4.240 |
| Région wallonne | 2.462 |
| Praha | 2.637 |
| Strední Cechy | −0.103 |
| Jihozápad | −1.522 |
| Severozápad | −4.617 |
| Severovýchod | −1.245 |
| Jihovýchod | −0.011 |
| Strední Morava | −1.590 |
| Moravskoslezsko | −1.454 |
| Hovedstaden | 6.826 |
| Sjælland | 0.953 |
| Syddanmark | 2.278 |
| Midtjylland | 4.570 |
| Nordjylland | 3.254 |
| Northern and Western | 0.187 |
| Southern | 0.844 |
| Eastern and Midland | 2.304 |
| Attiki | 1.336 |
| Voreio Aigaio | −1.714 |
| Notio Aigaio | −4.027 |
| Kriti | 0.450 |
| Anatoliki Makedonia, Thraki | −2.494 |
| Kentriki Makedonia | 0.256 |
| Dytiki Makedonia | −3.569 |
| Ipeiros | −0.919 |
| Thessalia | −0.637 |
| Ionia Nisia | −2.892 |
| Dytiki Ellada | −0.709 |
| Sterea Ellada | −2.349 |
| Peloponnisos | −2.712 |
| Galicia | −1.724 |
| Principado de Asturias | −2.145 |
| Cantabria | −2.038 |
| País Vasco | 1.100 |
| Comunidad Foral de Navarra | 0.228 |
| La Rioja | −1.589 |
| Aragón | −1.506 |
| Comunidad de Madrid | 0.990 |
| Castilla y León | −2.062 |
| Castilla-la Mancha | −3.290 |
| Extremadura | −3.764 |
| Cataluña | 0.843 |
| Comunitat Valenciana | −0.353 |
| Illes Balears | −2.915 |
| Andalucía | −2.465 |
| Región de Murcia | −1.917 |
| Canarias | −4.374 |
| Île de France | 4.639 |
| Centre–Val de Loire | −0.828 |
| Bourgogne–Franche-Comté | −0.741 |
| Normandie | −1.798 |
| Hauts-de-France | −0.959 |
| Grand Est | −0.166 |
| Pays de la Loire | 0.206 |
| Bretagne | 1.273 |
| Nouvelle-Aquitaine | −0.286 |
| Occitanie | 2.381 |
| Auvergne–Rhône-Alpes | 2.495 |
| Provence-Alpes-Côte d’Azur | 0.996 |
| Corse | −5.089 |
| Régions ultrapériphériques françaises | −3.119 |
| Piemonte | 1.558 |
| Valle d’Aosta/Vallée d’Aoste | −3.312 |
| Liguria | −0.785 |
| Lombardia | 2.384 |
| Provincia Autonoma Bolzano/Bozen | 0.985 |
| Provincia Autonoma Trento | 2.445 |
| Veneto | 2.176 |
| Friuli-Venezia Giulia | 2.138 |
| Emilia-Romagna | 2.704 |
| Toscana | 1.861 |
| Umbria | 1.348 |
| Marche | 0.123 |
| Lazio | 1.684 |
| Abruzzo | −0.414 |
| Molise | −0.418 |
| Campania | −0.386 |
| Puglia | −1.345 |
| Basilicata | −1.232 |
| Calabria | −2.229 |
| Sicilia | −1.932 |
| Sardegna | −1.567 |
| Sostinės regionas | 1.584 |
| Vidurio ir vakarų Lietuvos regionas | −2.378 |
| Budapest | 1.309 |
| Pest | −2.602 |
| Közép-Dunántúl | −3.441 |
| Nyugat-Dunántúl | −3.942 |
| Dél-Dunántúl | −4.264 |
| Észak-Magyarország | −4.353 |
| Észak-Alföld | −4.040 |
| Dél-Alföld | −3.440 |
| Groningen | 2.499 |
| Friesland | 0.308 |
| Drenthe | −0.110 |
| Overijssel | 2.100 |
| Gelderland | 3.231 |
| Flevoland | 1.584 |
| Utrecht | 3.902 |
| Noord-Holland | 3.928 |
| Zuid-Holland | 3.490 |
| Zeeland | 0.068 |
| Noord-Brabant | 3.770 |
| Limburg | 3.296 |
| Ostösterreich | 4.615 |
| Südösterreich | 3.779 |
| Westösterreich | 3.405 |
| • Dolnośląskie | −1.587 |
| • Kujawsko-Pomorskie | −3.898 |
| • Lubelskie | −3.765 |
| • Lubuskie | −4.692 |
| • Łódzkie | −4.778 |
| • Małopolskie | −2.590 |
| • Opolskie | −4.363 |
| • Podkarpackie | −4.330 |
| • Podlaskie | −5.193 |
| • Pomorskie | −2.775 |
| • Śląskie | −3.678 |
| • Świętokrzyskie | −5.356 |
| • Warmińsko-Mazurskie | −3.932 |
| • Wielkopolskie | −3.671 |
| • Zachodniopomorskie | −4.483 |
| • Mazowiecki regionalny | 0.482 |
| • Warszawski stołeczny | −5.821 |
| Norte | −0.223 |
| Algarve | −3.148 |
| Centro | −0.585 |
| Lisboa | 1.206 |
| Alentejo | −2.278 |
| Região Autónoma dos Açores | −4.030 |
| Região Autónoma da Madeira | −3.252 |
| Vzhodna Slovenija | −0.088 |
| Zahodna Slovenija | 2.215 |
| Bratislavský kraj | 0.266 |
| Západné Slovensko | −3.534 |
| Stredné Slovensko | −3.309 |
| Vachon Slovensko | −3.556 |
| Helsinki-Uusimaa | 7.554 |
| Etelä-Suomi | 3.453 |
| Länsi-Suomi | 4.861 |
| Pohjois-ja Itä-Suomi | 3.609 |
| Åland | 0.205 |
| Stockholm | 7.410 |
| Östra Mellansverige | 5.078 |
| Småland med öarna | 1.894 |
| Sydsverige | 5.989 |
| Västsverige | 5.582 |
| Norra Mellansverige | 0.947 |
| Mellersta Norrland | 0.828 |
| Övre Norrland | 3.203 |
| Baden-Württemberg | 5.195 |
| Bavaria | 3.558 |
| Berlin | 5.477 |
| Brandenburg | 0.345 |
| Bremen | 2.324 |
| Hamburg | 4.387 |
| Hesse | 2.751 |
| Mecklenburg-Vorpommern | −0.099 |
| Lower Saxony | 1.874 |
| North Rhine-Westphalia | 3.467 |
| Rhineland-Palatinate | 1.821 |
| Saarland | 1.408 |
| Saxony | 2.189 |
| Sachsen-Anhalt | −0.156 |
| Schleswig-Holstein | 1.602 |
| Thüringen | 1.305 |
| Standardized Scores on t: | |
| Observation | t1 |
| Région de Bruxelles-Capitale | 0.118 |
| Vlaams Gewest | 0.110 |
| Région wallonne | 0.064 |
| Praha | 0.069 |
| Strední Cechy | −0.003 |
| Jihozápad | −0.040 |
| Severozápad | −0.120 |
| Severovýchod | −0.032 |
| Jihovýchod | 0.000 |
| Strední Morava | −0.041 |
| Moravskoslezsko | −0.038 |
| Hovedstaden | 0.177 |
| Sjælland | 0.025 |
| Syddanmark | 0.059 |
| Midtjylland | 0.119 |
| Nordjylland | 0.085 |
| Northern and Western | 0.005 |
| Southern | 0.022 |
| Eastern and Midland | 0.060 |
| Attiki | 0.035 |
| Voreio Aigaio | −0.045 |
| Notio Aigaio | −0.105 |
| Kriti | 0.012 |
| Anatoliki Makedonia, Thraki | −0.065 |
| Kentriki Makedonia | 0.007 |
| Dytiki Makedonia | −0.093 |
| Ipeiros | −0.024 |
| Thessalia | −0.017 |
| Ionia Nisia | −0.075 |
| Dytiki Ellada | −0.018 |
| Sterea Ellada | −0.061 |
| Peloponnisos | −0.071 |
| Galicia | −0.045 |
| Principado de Asturias | −0.056 |
| Cantabria | −0.053 |
| País Vasco | 0.029 |
| Comunidad Foral de Navarra | 0.006 |
| La Rioja | −0.041 |
| Aragón | −0.039 |
| Comunidad de Madrid | 0.026 |
| Castilla y León | −0.054 |
| Castilla-la Mancha | −0.086 |
| Extremadura | −0.098 |
| Cataluña | 0.022 |
| Comunitat Valenciana | −0.009 |
| Illes Balears | −0.076 |
| Andalucía | −0.064 |
| Región de Murcia | −0.050 |
| Canarias | −0.114 |
| Île de France | 0.121 |
| Centre–Val de Loire | −0.022 |
| Bourgogne–Franche-Comté | −0.019 |
| Normandie | −0.047 |
| Hauts-de-France | −0.025 |
| Grand Est | −0.004 |
| Pays de la Loire | 0.005 |
| Bretagne | 0.033 |
| Nouvelle-Aquitaine | −0.007 |
| Occitanie | 0.062 |
| Auvergne–Rhône-Alpes | 0.065 |
| Provence-Alpes-Côte d’Azur | 0.026 |
| Corse | −0.132 |
| Régions ultrapériphériques françaises | −0.081 |
| Piemonte | 0.041 |
| Valle d’Aosta/Vallée d’Aoste | −0.086 |
| Liguria | −0.020 |
| Lombardia | 0.062 |
| Provincia Autonoma Bolzano/Bozen | 0.026 |
| Provincia Autonoma Trento | 0.064 |
| Veneto | 0.057 |
| Friuli-Venezia Giulia | 0.056 |
| Emilia-Romagna | 0.070 |
| Toscana | 0.048 |
| Umbria | 0.035 |
| Marche | 0.003 |
| Lazio | 0.044 |
| Abruzzo | −0.011 |
| Molise | −0.011 |
| Campania | −0.010 |
| Puglia | −0.035 |
| Basilicata | −0.032 |
| Calabria | −0.058 |
| Sicilia | −0.050 |
| Sardegna | −0.041 |
| Sostinės regionas | 0.041 |
| Vidurio ir vakarų Lietuvos regionas | −0.062 |
| Budapest | 0.034 |
| Pest | −0.068 |
| Közép-Dunántúl | −0.089 |
| Nyugat-Dunántúl | −0.102 |
| Dél-Dunántúl | −0.111 |
| Észak-Magyarország | −0.113 |
| Észak-Alföld | −0.105 |
| Dél-Alföld | −0.089 |
| Groningen | 0.065 |
| Friesland | 0.008 |
| Drenthe | −0.003 |
| Overijssel | 0.055 |
| Gelderland | 0.084 |
| Flevoland | 0.041 |
| Utrecht | 0.101 |
| Noord-Holland | 0.102 |
| Zuid-Holland | 0.091 |
| Zeeland | 0.002 |
| Noord-Brabant | 0.098 |
| Limburg | 0.086 |
| Ostösterreich | 0.120 |
| Südösterreich | 0.098 |
| Westösterreich | 0.089 |
| Malopolskie | −0.041 |
| Slaskie | −0.101 |
| Wielkopolskie | −0.098 |
| Zachodniopomorskie | −0.122 |
| Lubuskie | −0.124 |
| Dolnoslaskie | −0.067 |
| Opolskie | −0.113 |
| Kujawsko-Pomorskie | −0.113 |
| Warminsko-Mazurskie | −0.135 |
| Pomorskie | −0.072 |
| Lódzkie | −0.096 |
| Swietokrzyskie | −0.139 |
| Lubelskie | −0.102 |
| Podkarpackie | −0.095 |
| Podlaskie | −0.117 |
| Warszawski stoleczny | 0.013 |
| Mazowiecki regionalny | −0.151 |
| Norte | −0.006 |
| Algarve | −0.082 |
| Centro | −0.015 |
| Lisboa | 0.031 |
| Alentejo | −0.059 |
| Região Autónoma dos Açores | −0.105 |
| Região Autónoma da Madeira | −0.085 |
| Vzhodna Slovenija | −0.002 |
| Zahodna Slovenija | 0.058 |
| Bratislavský kraj | 0.007 |
| Západné Slovensko | −0.092 |
| Stredné Slovensko | −0.086 |
| Vachon Slovensko | −0.092 |
| Helsinki-Uusimaa | 0.196 |
| Etelä-Suomi | 0.090 |
| Länsi-Suomi | 0.126 |
| Pohjois-ja Itä-Suomi | 0.094 |
| Åland | 0.005 |
| Stockholm | 0.193 |
| Östra Mellansverige | 0.132 |
| Småland med öarna | 0.049 |
| Sydsverige | 0.156 |
| Västsverige | 0.145 |
| Norra Mellansverige | 0.025 |
| Mellersta Norrland | 0.022 |
| Övre Norrland | 0.083 |
| Baden-Württemberg | 0.135 |
| Bavaria | 0.092 |
| Berlin | 0.142 |
| Brandenburg | 0.009 |
| Bremen | 0.060 |
| Hamburg | 0.114 |
| Hesse | 0.072 |
| Mecklenburg-Vorpommern | −0.003 |
| Lower Saxony | 0.049 |
| North Rhine-Westphalia | 0.090 |
| Rhineland-Palatinate | 0.047 |
| Saarland | 0.037 |
| Saxony | 0.057 |
| Sachsen-Anhalt | −0.004 |
| Schleswig-Holstein | 0.042 |
| Thüringen | 0.034 |
| Scores on u: | |
| Observation | u1 |
| Région de Bruxelles-Capitale | 5.078 |
| Vlaams Gewest | 4.564 |
| Région wallonne | 2.744 |
| Praha | 2.027 |
| Strední Cechy | −0.046 |
| Jihozápad | −1.677 |
| Severozápad | −4.567 |
| Severovýchod | −1.078 |
| Jihovýchod | −0.061 |
| Strední Morava | −1.716 |
| Moravskoslezsko | −1.588 |
| Hovedstaden | 6.611 |
| Sjælland | 1.092 |
| Syddanmark | 2.191 |
| Midtjylland | 4.759 |
| Nordjylland | 3.068 |
| Northern and Western | 0.833 |
| Southern | 1.506 |
| Eastern and Midland | 2.838 |
| Attiki | −0.256 |
| Voreio Aigaio | −2.849 |
| Notio Aigaio | −4.589 |
| Kriti | −0.784 |
| Anatoliki Makedonia, Thraki | −3.625 |
| Kentriki Makedonia | −1.253 |
| Dytiki Makedonia | −4.387 |
| Ipeiros | −2.006 |
| Thessalia | −1.633 |
| Ionia Nisia | −3.203 |
| Dytiki Ellada | −1.921 |
| Sterea Ellada | −2.937 |
| Peloponnisos | −3.332 |
| Galicia | −1.131 |
| Principado de Asturias | −1.712 |
| Cantabria | −1.728 |
| País Vasco | 1.598 |
| Comunidad Foral de Navarra | 0.984 |
| La Rioja | −0.941 |
| Aragón | −0.916 |
| Comunidad de Madrid | 1.305 |
| Castilla y León | −1.359 |
| Castilla-la Mancha | −2.742 |
| Extremadura | −3.097 |
| Cataluña | 1.077 |
| Comunitat Valenciana | 0.240 |
| Illes Balears | −2.403 |
| Andalucía | −2.391 |
| Región de Murcia | −1.422 |
| Canarias | −4.462 |
| Île de France | 4.506 |
| Centre–Val de Loire | −0.094 |
| Bourgogne–Franche-Comté | 0.043 |
| Normandie | −1.324 |
| Hauts-de-France | −0.650 |
| Grand Est | 0.580 |
| Pays de la Loire | 1.103 |
| Bretagne | 2.118 |
| Nouvelle-Aquitaine | 0.438 |
| Occitanie | 3.092 |
| Auvergne–Rhône-Alpes | 2.965 |
| Provence-Alpes-Côte d’Azur | 1.732 |
| Corse | −4.571 |
| Régions ultrapériphériques françaises | −2.338 |
| Piemonte | 0.953 |
| Valle d’Aosta/Vallée d’Aoste | −2.408 |
| Liguria | −0.102 |
| Lombardia | 1.449 |
| Provincia Autonoma Bolzano/Bozen | 0.626 |
| Provincia Autonoma Trento | 1.979 |
| Veneto | 1.500 |
| Friuli-Venezia Giulia | 1.928 |
| Emilia-Romagna | 2.238 |
| Toscana | 1.341 |
| Umbria | 1.061 |
| Marche | 0.153 |
| Lazio | 1.235 |
| Abruzzo | −0.493 |
| Molise | −0.695 |
| Campania | −0.649 |
| Puglia | −1.662 |
| Basilicata | −1.045 |
| Calabria | −2.319 |
| Sicilia | −2.090 |
| Sardegna | −2.070 |
| Sostinės regionas | 1.491 |
| Vidurio ir vakarų Lietuvos regionas | −2.358 |
| Budapest | 0.926 |
| Pest | −2.560 |
| Közép-Dunántúl | −3.473 |
| Nyugat-Dunántúl | −3.803 |
| Dél-Dunántúl | −4.451 |
| Észak-Magyarország | −4.432 |
| Észak-Alföld | −4.229 |
| Dél-Alföld | −3.521 |
| Groningen | 2.933 |
| Friesland | 0.905 |
| Drenthe | 0.591 |
| Overijssel | 2.554 |
| Gelderland | 3.646 |
| Flevoland | 2.272 |
| Utrecht | 4.541 |
| Noord-Holland | 4.544 |
| Zuid-Holland | 3.789 |
| Zeeland | 0.615 |
| Noord-Brabant | 4.325 |
| Limburg | 3.639 |
| Ostösterreich | 3.522 |
| Südösterreich | 3.057 |
| Westösterreich | 2.866 |
| Malopolskie | −1.996 |
| Slaskie | −4.270 |
| Wielkopolskie | −4.077 |
| Zachodniopomorskie | −4.630 |
| Lubuskie | −4.602 |
| Dolnoslaskie | −2.727 |
| Opolskie | −4.505 |
| Kujawsko-Pomorskie | −4.404 |
| Warminsko-Mazurskie | −5.156 |
| Pomorskie | −2.826 |
| Lódzkie | −4.016 |
| Swietokrzyskie | −5.353 |
| Lubelskie | −4.003 |
| Podkarpackie | −3.554 |
| Podlaskie | −4.403 |
| Warszawski stoleczny | −0.118 |
| Mazowiecki regionalny | −5.843 |
| Norte | −0.979 |
| Algarve | −3.487 |
| Centro | −1.142 |
| Lisboa | 0.056 |
| Alentejo | −2.487 |
| Região Autónoma dos Açores | −4.770 |
| Região Autónoma da Madeira | −3.933 |
| Vzhodna Slovenija | −1.039 |
| Zahodna Slovenija | 0.987 |
| Bratislavský kraj | −0.190 |
| Západné Slovensko | −3.718 |
| Stredné Slovensko | −3.500 |
| Vachon Slovensko | −3.821 |
| Helsinki-Uusimaa | 6.910 |
| Etelä-Suomi | 3.074 |
| Länsi-Suomi | 4.592 |
| Pohjois- ja Itä-Suomi | 3.249 |
| Åland | 2.219 |
| Stockholm | 7.222 |
| Östra Mellansverige | 4.819 |
| Småland med öarna | 2.351 |
| Sydsverige | 5.817 |
| Västsverige | 5.370 |
| Norra Mellansverige | 1.276 |
| Mellersta Norrland | 1.318 |
| Övre Norrland | 3.319 |
| Baden-Württemberg | 4.908 |
| Bavaria | 3.286 |
| Berlin | 6.039 |
| Brandenburg | 0.744 |
| Bremen | 2.607 |
| Hamburg | 4.879 |
| Hesse | 3.065 |
| Mecklenburg-Vorpommern | 0.493 |
| Lower Saxony | 2.005 |
| North Rhine-Westphalia | 2.753 |
| Rhineland-Palatinate | 2.391 |
| Saarland | 1.971 |
| Saxony | 2.716 |
| Sachsen-Anhalt | 0.451 |
| Schleswig-Holstein | 2.059 |
| Thüringen | 1.983 |
| Scores on u~: | |
| Observation | u~1 |
| Région de Bruxelles-Capitale | 5.078 |
| Vlaams Gewest | 4.564 |
| Région wallonne | 2.744 |
| Praha | 2.027 |
| Strední Cechy | −0.046 |
| Jihozápad | −1.677 |
| Severozápad | −4.567 |
| Severovýchod | −1.078 |
| Jihovýchod | −0.061 |
| Strední Morava | −1.716 |
| Moravskoslezsko | −1.588 |
| Hovedstaden | 6.611 |
| Sjælland | 1.092 |
| Syddanmark | 2.191 |
| Midtjylland | 4.759 |
| Nordjylland | 3.068 |
| Northern and Western | 0.833 |
| Southern | 1.506 |
| Eastern and Midland | 2.838 |
| Attiki | −0.256 |
| Voreio Aigaio | −2.849 |
| Notio Aigaio | −4.589 |
| Kriti | −0.784 |
| Anatoliki Makedonia. Thraki | −3.625 |
| Kentriki Makedonia | −1.253 |
| Dytiki Makedonia | −4.387 |
| Ipeiros | −2.006 |
| Thessalia | −1.633 |
| Ionia Nisia | −3.203 |
| Dytiki Ellada | −1.921 |
| Sterea Ellada | −2.937 |
| Peloponnisos | −3.332 |
| Galicia | −1.131 |
| Principado de Asturias | −1.712 |
| Cantabria | −1.728 |
| País Vasco | 1.598 |
| Comunidad Foral de Navarra | 0.984 |
| La Rioja | −0.941 |
| Aragón | −0.916 |
| Comunidad de Madrid | 1.305 |
| Castilla y León | −1.359 |
| Castilla-la Mancha | −2.742 |
| Extremadura | −3.097 |
| Cataluña | 1.077 |
| Comunitat Valenciana | 0.240 |
| Illes Balears | −2.403 |
| Andalucía | −2.391 |
| Región de Murcia | −1.422 |
| Canarias | −4.462 |
| Île de France | 4.506 |
| Centre-Val de Loire | −0.094 |
| Bourgogne-Franche-Comté | 0.043 |
| Normandie | −1.324 |
| Hauts-de-France | −0.650 |
| Grand Est | 0.580 |
| Pays de la Loire | 1.103 |
| Bretagne | 2.118 |
| Nouvelle-Aquitaine | 0.438 |
| Occitanie | 3.092 |
| Auvergne-Rhône-Alpes | 2.965 |
| Provence-Alpes-Côte d’Azur | 1.732 |
| Corse | −4.571 |
| Régions ultrapériphériques françaises | −2.338 |
| Piemonte | 0.953 |
| Valle d’Aosta/Vallée d’Aoste | −2.408 |
| Liguria | −0.102 |
| Lombardia | 1.449 |
| Provincia Autonoma Bolzano/Bozen | 0.626 |
| Provincia Autonoma Trento | 1.979 |
| Veneto | 1.500 |
| Friuli-Venezia Giulia | 1.928 |
| Emilia-Romagna | 2.238 |
| Toscana | 1.341 |
| Umbria | 1.061 |
| Marche | 0.153 |
| Lazio | 1.235 |
| Abruzzo | −0.493 |
| Molise | −0.695 |
| Campania | −0.649 |
| Puglia | −1.662 |
| Basilicata | −1.045 |
| Calabria | −2.319 |
| Sicilia | −2.090 |
| Sardegna | −2.070 |
| Sostinės regionas | 1.491 |
| Vidurio ir vakarų Lietuvos regionas | −2.358 |
| Budapest | 0.926 |
| Pest | −2.560 |
| Közép-Dunántúl | −3.473 |
| Nyugat-Dunántúl | −3.803 |
| Dél-Dunántúl | −4.451 |
| Észak-Magyarország | −4.432 |
| Észak-Alföld | −4.229 |
| Dél-Alföld | −3.521 |
| Groningen | 2.933 |
| Friesland | 0.905 |
| Drenthe | 0.591 |
| Overijssel | 2.554 |
| Gelderland | 3.646 |
| Flevoland | 2.272 |
| Utrecht | 4.541 |
| Noord-Holland | 4.544 |
| Zuid-Holland | 3.789 |
| Zeeland | 0.615 |
| Noord-Brabant | 4.325 |
| Limburg | 3.639 |
| Ostösterreich | 3.522 |
| Südösterreich | 3.057 |
| Westösterreich | 2.866 |
| Malopolskie | −1.996 |
| Slaskie | −4.270 |
| Wielkopolskie | −4.077 |
| Zachodniopomorskie | −4.630 |
| Lubuskie | −4.602 |
| Dolnoslaskie | −2.727 |
| Opolskie | −4.505 |
| Kujawsko-Pomorskie | −4.404 |
| Warminsko-Mazurskie | −5.156 |
| Pomorskie | −2.826 |
| Lódzkie | −4.016 |
| Swietokrzyskie | −5.353 |
| Lubelskie | −4.003 |
| Podkarpackie | −3.554 |
| Podlaskie | −4.403 |
| Warszawski stoleczny | −0.118 |
| Mazowiecki regionalny | −5.843 |
| Norte | −0.979 |
| Algarve | −3.487 |
| Centro | −1.142 |
| Lisboa | 0.056 |
| Alentejo | −2.487 |
| Região Autónoma dos Açores | −4.770 |
| Região Autónoma da Madeira | −3.933 |
| Vzhodna Slovenija | −1.039 |
| Zahodna Slovenija | 0.987 |
| Bratislavský kraj | −0.190 |
| Západné Slovensko | −3.718 |
| Stredné Slovensko | −3.500 |
| Vachon Slovensko | −3.821 |
| Helsinki-Uusimaa | 6.910 |
| Etelä-Suomi | 3.074 |
| Länsi-Suomi | 4.592 |
| Pohjois-ja Itä-Suomi | 3.249 |
| Åland | 2.219 |
| Stockholm | 7.222 |
| Östra Mellansverige | 4.819 |
| Småland med öarna | 2.351 |
| Sydsverige | 5.817 |
| Västsverige | 5.370 |
| Norra Mellansverige | 1.276 |
| Mellersta Norrland | 1.318 |
| Övre Norrland | 3.319 |
| Baden-Württemberg | 4.908 |
| Bavaria | 3.286 |
| Berlin | 6.039 |
| Brandenburg | 0.744 |
| Bremen | 2.607 |
| Hamburg | 4.879 |
| Hesse | 3.065 |
| Mecklenburg-Vorpommern | 0.493 |
| Lower Saxony | 2.005 |
| North Rhine-Westphalia | 2.753 |
| Rhineland-Palatinate | 2.391 |
| Saarland | 1.971 |
| Saxony | 2.716 |
| Sachsen-Anhalt | 0.451 |
| Schleswig-Holstein | 2.059 |
| Thüringen | 1.983 |
| Q2 Quality Index: | |
| Component | Comp1 |
| EIS | 0.964 |
| Total | 0.964 |
| Cumulative Q2 Quality Index: | |
| Component | Comp1 |
| EIS | 0.964 |
| Total | 0.964 |
| R2 and Redundancy of (X, t): | |
| Variable | t1 |
| Population with tertiary education | 0.140 |
| Lifelong learning | 0.434 |
| International scientific co-publications | 0.649 |
| Most-cited publications | 0.459 |
| Digital skills | 0.407 |
| R&D expenditures public sector | 0.493 |
| R&D expenditures business sector | 0.595 |
| Non-R&D innovation expenditures | 0.001 |
| Innovation expenditures per person employed | 0.424 |
| IT specialists | 0.445 |
| Product process innovators | 0.489 |
| Business process innovators | 0.469 |
| Innovative SMEs collaborating with others | 0.457 |
| Public–private co-publications | 0.757 |
| PCT patent applications | 0.692 |
| Trademark applications | 0.428 |
| Design applications | 0.171 |
| Employment knowledge-intensive activities | 0.314 |
| Employment in innovative SMEs | 0.562 |
| Sales of new-to-market and new-to-firm innovations | 0.186 |
| N. of Universities | 0.115 |
| Total Academic Personnel (FTE) | 0.144 |
| Redundancy | 0.401 |
| Cumulative Redundancy of (X, t): | |
| Variable | t1 |
| Population with tertiary education | 0.140 |
| Lifelong learning | 0.434 |
| International scientific co-publications | 0.649 |
| Most-cited publications | 0.459 |
| Digital skills | 0.407 |
| R&D expenditures public sector | 0.493 |
| R&D expenditures business sector | 0.595 |
| Non-R&D innovation expenditures | 0.001 |
| Innovation expenditures per person employed | 0.424 |
| IT specialists | 0.445 |
| Product process innovators | 0.489 |
| Business process innovators | 0.469 |
| Innovative SMEs collaborating with others | 0.457 |
| Public–private co-publications | 0.757 |
| PCT patent applications | 0.692 |
| Trademark applications | 0.428 |
| Design applications | 0.171 |
| Employment knowledge-intensive activities | 0.314 |
| Employment in innovative SMEs | 0.562 |
| Sales of new-to-market and new-to-firm innovations | 0.186 |
| N. of Universities | 0.115 |
| Total Academic Personnel (FTE) | 0.144 |
| Redundancy | 0.401 |
| R2 and Redundancy of (Y, t): | |
| Variable | t1 |
| EIS | 0.965 |
| Redundancy | 0.965 |
| Cumulative Redundancy of (Y, t): | |
| Variable | Comp1 |
| EIS | 0.965 |
| Redundancy | 0.965 |
| Model Parameters: | |
| Variable | EIS |
| Intercept | 6.225 |
| Population with tertiary education | 4.879 |
| Lifelong learning | 8.247 |
| International scientific co-publications | 10.583 |
| Most-cited publications | 11.103 |
| Digital skills | 9.841 |
| R&D expenditures public sector | 9.316 |
| R&D expenditures business sector | 10.222 |
| Non-R&D innovation expenditures | 0.488 |
| Innovation expenditures per person employed | 10.703 |
| IT specialists | 7.868 |
| Product process innovators | 8.584 |
| Business process innovators | 6.827 |
| Innovative SMEs collaborating with others | 8.232 |
| Public–private co-publications | 11.477 |
| PCT patent applications | 11.205 |
| Trademark applications | 9.523 |
| Design applications | 5.702 |
| Employment knowledge-intensive activities | 7.060 |
| Employment in innovative SMEs | 8.043 |
| Sales of new-to-market and new-to-firm innovations | 6.167 |
| N. of Universities | 7.025 |
| Total Academic Personnel (FTE) | 8.990 |
| Equation of the Model |
| EIS = 6.22548520139866 + 4.87858233541995 × Population with tertiary education + 8.24716357233039 × Lifelong learning + 10.5828875451076 × International scientific co-publications + 11.1033774883118 × Most-cited publications + 9.84062696836357 × Digital skills + 9.31573394427755 × R&D expenditures public sector + 10.2223331153399 × R&D expenditures business sector + 0.488384426970825 × Non-R&D innovation expenditures + 10.7028250209873 × Innovation expenditures per person employed + 7.86774201196726 × IT specialists + 8.58447407405854 × Product process innovators + 6.82654191310526 × Business process innovators + 8.23173348858942 × Innovative SMEs collaborating with others + 11.4765962309642 × Public-private co-publications + 11.2050426392537 × PCT patent applications + 9.52298077410616 × Trademark applications + 5.70172145691646 × Design applications + 7.06005704544679 × Employment knowledge-intensive activities + 8.04331847400266 × Employment in innovative SMEs + 6.16689582410951 × Sales of new-to-market and new-to-firm innovations + 7.02470447231464 × N. of Universities + 8.99022348565018 × Total Academic Personnel (FTE) |
| Results for Variable EIS: Goodness of Fit Statistics (Variable EIS): | |
| Observations | 168.000 |
| Sum of weights | 168.000 |
| DF | 166.000 |
| R2 | 0.965 |
| Std. deviation | 5.178 |
| MSE | 26.496 |
| RMSE | 5.147 |
| Eigenvectors: | ||||||||||||||||||||||
|---|---|---|---|---|---|---|---|---|---|---|---|---|---|---|---|---|---|---|---|---|---|---|
| F1 | F2 | F3 | F4 | F5 | F6 | F7 | F8 | F9 | F10 | F11 | F12 | F13 | F14 | F15 | F16 | F17 | F18 | F19 | F20 | F21 | F22 | |
| Population with tertiary education | 0.122 | −0.291 | −0.045 | 0.469 | −0.125 | 0.023 | −0.309 | 0.314 | −0.279 | −0.069 | 0.129 | −0.305 | −0.062 | 0.434 | −0.042 | −0.185 | 0.193 | 0.002 | 0.069 | −0.004 | 0.068 | 0.035 |
| Lifelong learning | 0.215 | −0.141 | −0.369 | −0.183 | −0.173 | 0.139 | 0.007 | 0.131 | 0.058 | −0.357 | 0.006 | 0.281 | −0.296 | 0.156 | 0.027 | 0.063 | −0.210 | 0.400 | −0.381 | −0.043 | 0.039 | 0.139 |
| International scientific co-publications | 0.271 | −0.063 | −0.066 | 0.331 | 0.130 | −0.273 | 0.149 | 0.008 | −0.094 | 0.134 | 0.163 | 0.214 | −0.238 | −0.077 | −0.023 | 0.275 | −0.036 | −0.058 | −0.142 | 0.003 | −0.113 | −0.647 |
| Most-cited publications | 0.228 | 0.104 | −0.281 | −0.110 | 0.098 | −0.186 | −0.231 | 0.121 | 0.323 | 0.368 | −0.066 | 0.209 | 0.446 | 0.376 | 0.182 | 0.067 | 0.116 | 0.144 | 0.103 | −0.077 | −0.133 | −0.020 |
| Digital skills | 0.208 | −0.174 | −0.376 | −0.225 | −0.169 | −0.059 | 0.021 | 0.021 | 0.269 | −0.075 | −0.170 | −0.292 | −0.112 | −0.226 | −0.024 | 0.034 | 0.474 | −0.282 | −0.014 | 0.346 | 0.098 | −0.102 |
| R&D expenditures public sector | 0.237 | 0.021 | −0.033 | 0.115 | −0.176 | −0.413 | 0.440 | −0.062 | −0.121 | −0.278 | 0.056 | −0.121 | 0.361 | −0.180 | 0.161 | −0.288 | 0.033 | 0.348 | 0.146 | −0.041 | 0.059 | 0.018 |
| R&D expenditures business sector | 0.257 | −0.168 | 0.094 | −0.155 | −0.103 | 0.317 | 0.113 | −0.027 | −0.083 | 0.000 | 0.303 | −0.086 | 0.521 | 0.072 | −0.170 | −0.056 | −0.223 | −0.274 | −0.363 | 0.196 | −0.169 | −0.104 |
| Non-R&D innovation expenditures | 0.018 | 0.393 | 0.210 | 0.085 | 0.093 | 0.051 | 0.380 | 0.398 | 0.273 | −0.361 | −0.041 | −0.169 | −0.023 | 0.323 | 0.064 | 0.298 | 0.074 | −0.166 | −0.017 | 0.007 | −0.114 | 0.029 |
| Innovation expenditures per person employed | 0.222 | 0.149 | 0.096 | 0.203 | −0.070 | 0.260 | −0.063 | 0.549 | 0.162 | 0.198 | −0.205 | 0.129 | 0.009 | −0.398 | −0.016 | −0.265 | −0.250 | 0.079 | 0.103 | 0.201 | 0.157 | −0.061 |
| IT specialists | 0.221 | −0.244 | 0.024 | 0.262 | 0.025 | 0.150 | 0.032 | −0.324 | 0.193 | −0.214 | −0.457 | 0.149 | −0.023 | 0.100 | 0.285 | −0.219 | −0.176 | −0.364 | 0.094 | −0.206 | −0.159 | −0.002 |
| Product process innovators | 0.241 | 0.286 | 0.052 | −0.125 | −0.091 | 0.035 | −0.124 | −0.257 | −0.297 | −0.075 | −0.186 | −0.022 | −0.124 | 0.248 | −0.030 | 0.078 | −0.187 | 0.135 | 0.351 | 0.574 | −0.157 | −0.086 |
| Business process innovators | 0.237 | 0.341 | 0.072 | −0.091 | 0.001 | −0.086 | −0.024 | −0.136 | −0.181 | 0.084 | −0.204 | −0.021 | 0.016 | 0.200 | −0.039 | −0.081 | 0.008 | −0.181 | −0.301 | −0.168 | 0.707 | −0.079 |
| Innovative SMEs collaborating with others | 0.231 | 0.232 | −0.063 | 0.107 | −0.178 | 0.255 | −0.292 | −0.106 | −0.116 | −0.043 | 0.205 | −0.241 | 0.059 | −0.319 | 0.487 | 0.409 | 0.006 | 0.010 | 0.019 | −0.231 | −0.014 | 0.072 |
| Public–private co-publications | 0.292 | −0.066 | −0.040 | 0.208 | 0.083 | −0.208 | 0.212 | −0.026 | −0.078 | 0.272 | 0.123 | 0.160 | −0.121 | −0.050 | −0.067 | 0.203 | −0.053 | −0.232 | −0.009 | 0.179 | 0.025 | 0.705 |
| PCT patent applications | 0.277 | −0.082 | −0.056 | −0.354 | −0.077 | 0.099 | 0.114 | 0.120 | −0.022 | −0.026 | 0.268 | 0.058 | −0.142 | 0.045 | −0.249 | −0.003 | −0.101 | −0.187 | 0.596 | −0.411 | 0.100 | −0.070 |
| Trademark applications | 0.219 | −0.165 | 0.013 | 0.015 | 0.507 | −0.097 | −0.208 | −0.014 | 0.061 | −0.181 | −0.266 | −0.363 | 0.151 | −0.162 | −0.395 | 0.260 | −0.205 | 0.209 | −0.004 | −0.119 | 0.017 | 0.054 |
| Design applications | 0.137 | −0.184 | 0.196 | −0.340 | 0.566 | 0.000 | −0.043 | 0.224 | −0.284 | −0.126 | 0.084 | 0.130 | −0.058 | −0.049 | 0.468 | −0.154 | 0.181 | −0.046 | −0.015 | 0.131 | 0.025 | 0.005 |
| Employment knowledge-intensive activities | 0.187 | −0.183 | 0.252 | 0.077 | 0.085 | 0.472 | 0.333 | −0.246 | 0.157 | 0.294 | −0.006 | −0.074 | −0.088 | 0.120 | −0.004 | 0.071 | 0.336 | 0.429 | 0.041 | 0.002 | 0.130 | −0.027 |
| Employment in innovative SMEs | 0.257 | 0.271 | 0.090 | −0.139 | −0.072 | −0.026 | −0.013 | 0.061 | −0.221 | 0.163 | −0.203 | −0.094 | −0.190 | −0.091 | −0.196 | −0.268 | 0.271 | 0.027 | −0.249 | −0.309 | −0.551 | 0.085 |
| Sales of new-to-market and new-to-firm innovations | 0.152 | 0.327 | −0.025 | 0.185 | 0.266 | 0.043 | −0.247 | −0.271 | 0.360 | −0.257 | 0.471 | 0.111 | −0.096 | −0.051 | −0.169 | −0.357 | 0.144 | 0.000 | −0.009 | 0.094 | 0.012 | 0.042 |
| N. of Universities | 0.115 | −0.146 | 0.507 | −0.011 | −0.302 | −0.129 | −0.277 | 0.028 | 0.032 | −0.267 | −0.083 | 0.442 | 0.169 | −0.097 | −0.182 | 0.251 | 0.332 | 0.017 | 0.016 | 0.007 | 0.045 | 0.033 |
| Total Academic Personnel (FTE) | 0.128 | −0.160 | 0.435 | −0.200 | −0.199 | −0.353 | −0.141 | −0.021 | 0.381 | 0.169 | 0.154 | −0.325 | −0.276 | 0.089 | 0.205 | −0.089 | −0.300 | 0.058 | −0.111 | 0.026 | −0.016 | −0.006 |
| Factor Loadings: | ||||||||||||||||||||||
| F1 | F2 | F3 | F4 | F5 | F6 | F7 | F8 | F9 | F10 | F11 | F12 | F13 | F14 | F15 | F16 | F17 | F18 | F19 | F20 | F21 | F22 | |
| Population with tertiary education | 0.362 | −0.523 | −0.062 | 0.524 | −0.130 | 0.022 | −0.274 | 0.272 | −0.203 | −0.047 | 0.080 | −0.184 | −0.034 | 0.228 | −0.020 | −0.078 | 0.077 | 0.001 | 0.021 | −0.001 | 0.015 | 0.006 |
| Lifelong learning | 0.640 | −0.253 | −0.505 | −0.205 | −0.180 | 0.135 | 0.006 | 0.114 | 0.042 | −0.242 | 0.004 | 0.169 | −0.161 | 0.082 | 0.013 | 0.027 | −0.084 | 0.144 | −0.117 | −0.011 | 0.008 | 0.024 |
| International scientific co-publications | 0.805 | −0.114 | −0.090 | 0.371 | 0.135 | −0.265 | 0.132 | 0.007 | −0.068 | 0.091 | 0.101 | 0.129 | −0.129 | −0.040 | −0.011 | 0.115 | −0.015 | −0.021 | −0.044 | 0.001 | −0.024 | −0.110 |
| Most-cited publications | 0.677 | 0.187 | −0.385 | −0.123 | 0.101 | −0.181 | −0.204 | 0.105 | 0.235 | 0.250 | −0.041 | 0.126 | 0.242 | 0.197 | 0.087 | 0.028 | 0.047 | 0.052 | 0.032 | −0.019 | −0.028 | −0.003 |
| Digital skills | 0.618 | −0.313 | −0.515 | −0.252 | −0.176 | −0.058 | 0.018 | 0.018 | 0.196 | −0.051 | −0.105 | −0.176 | −0.061 | −0.118 | −0.011 | 0.014 | 0.190 | −0.102 | −0.004 | 0.088 | 0.021 | −0.017 |
| R&D expenditures public sector | 0.703 | 0.037 | −0.046 | 0.129 | −0.183 | −0.401 | 0.390 | −0.054 | −0.088 | −0.189 | 0.035 | −0.073 | 0.196 | −0.095 | 0.077 | −0.120 | 0.013 | 0.126 | 0.045 | −0.010 | 0.013 | 0.003 |
| R&D expenditures business sector | 0.763 | −0.302 | 0.129 | −0.173 | −0.107 | 0.307 | 0.100 | −0.023 | −0.060 | 0.000 | 0.188 | −0.052 | 0.283 | 0.038 | −0.081 | −0.023 | −0.089 | −0.099 | −0.111 | 0.050 | −0.036 | −0.018 |
| Non-R&D innovation expenditures | 0.054 | 0.707 | 0.287 | 0.095 | 0.097 | 0.049 | 0.337 | 0.345 | 0.199 | −0.245 | −0.025 | −0.102 | −0.012 | 0.170 | 0.031 | 0.125 | 0.030 | −0.060 | −0.005 | 0.002 | −0.024 | 0.005 |
| Innovation expenditures per person employed | 0.660 | 0.267 | 0.132 | 0.227 | −0.073 | 0.253 | −0.056 | 0.475 | 0.118 | 0.135 | −0.127 | 0.078 | 0.005 | −0.209 | −0.007 | −0.111 | −0.100 | 0.029 | 0.032 | 0.051 | 0.033 | −0.010 |
| IT specialists | 0.658 | −0.439 | 0.033 | 0.294 | 0.026 | 0.145 | 0.029 | −0.281 | 0.140 | −0.145 | −0.283 | 0.090 | −0.013 | 0.052 | 0.136 | −0.092 | −0.071 | −0.131 | 0.029 | −0.052 | −0.034 | 0.000 |
| Product process innovators | 0.715 | 0.515 | 0.071 | −0.140 | −0.094 | 0.034 | −0.110 | −0.223 | −0.216 | −0.051 | −0.116 | −0.013 | −0.067 | 0.130 | −0.014 | 0.033 | −0.075 | 0.049 | 0.108 | 0.145 | −0.034 | −0.015 |
| Business process innovators | 0.704 | 0.614 | 0.098 | −0.102 | 0.001 | −0.083 | −0.021 | −0.118 | −0.132 | 0.057 | −0.127 | −0.013 | 0.009 | 0.105 | −0.019 | −0.034 | 0.003 | −0.065 | −0.092 | −0.043 | 0.151 | −0.013 |
| Innovative SMEs collaborating with others | 0.687 | 0.417 | −0.087 | 0.120 | −0.185 | 0.248 | −0.259 | −0.092 | −0.084 | −0.029 | 0.127 | −0.145 | 0.032 | −0.167 | 0.232 | 0.171 | 0.002 | 0.004 | 0.006 | −0.058 | −0.003 | 0.012 |
| Public–private co-publications | 0.869 | −0.119 | −0.055 | 0.233 | 0.087 | −0.201 | 0.188 | −0.023 | −0.057 | 0.185 | 0.076 | 0.097 | −0.065 | −0.026 | −0.032 | 0.085 | −0.021 | −0.084 | −0.003 | 0.045 | 0.005 | 0.120 |
| PCT patent applications | 0.823 | −0.147 | −0.077 | −0.396 | −0.080 | 0.096 | 0.101 | 0.104 | −0.016 | −0.018 | 0.167 | 0.035 | −0.077 | 0.024 | −0.119 | −0.001 | −0.041 | −0.067 | 0.182 | −0.104 | 0.021 | −0.012 |
| Trademark applications | 0.650 | −0.298 | 0.017 | 0.016 | 0.528 | −0.094 | −0.185 | −0.012 | 0.045 | −0.123 | −0.165 | −0.219 | 0.082 | −0.085 | −0.188 | 0.109 | −0.082 | 0.075 | −0.001 | −0.030 | 0.004 | 0.009 |
| Design applications | 0.409 | −0.331 | 0.269 | −0.381 | 0.588 | 0.000 | −0.038 | 0.194 | −0.207 | −0.085 | 0.052 | 0.078 | −0.032 | −0.026 | 0.223 | −0.064 | 0.072 | −0.016 | −0.005 | 0.033 | 0.005 | 0.001 |
| Employment knowledge-intensive activities | 0.556 | −0.329 | 0.345 | 0.087 | 0.088 | 0.458 | 0.295 | −0.213 | 0.114 | 0.200 | −0.004 | −0.044 | −0.048 | 0.063 | −0.002 | 0.030 | 0.135 | 0.155 | 0.013 | 0.000 | 0.028 | −0.005 |
| Employment in innovative SMEs | 0.764 | 0.488 | 0.124 | −0.155 | −0.075 | −0.025 | −0.012 | 0.053 | −0.161 | 0.111 | −0.126 | −0.057 | −0.103 | −0.048 | −0.093 | −0.112 | 0.109 | 0.010 | −0.076 | −0.078 | −0.118 | 0.015 |
| Sales of new-to-market and new-to-firm innovations | 0.451 | 0.589 | −0.034 | 0.207 | 0.277 | 0.042 | −0.219 | −0.234 | 0.262 | −0.174 | 0.292 | 0.067 | −0.052 | −0.027 | −0.081 | −0.149 | 0.058 | 0.000 | −0.003 | 0.024 | 0.003 | 0.007 |
| N. of Universities | 0.343 | −0.263 | 0.695 | −0.012 | −0.315 | −0.126 | −0.246 | 0.024 | 0.023 | −0.181 | −0.052 | 0.266 | 0.092 | −0.051 | −0.087 | 0.105 | 0.133 | 0.006 | 0.005 | 0.002 | 0.010 | 0.006 |
| Total Academic Personnel (FTE) | 0.381 | −0.288 | 0.597 | −0.224 | −0.207 | −0.343 | −0.125 | −0.018 | 0.277 | 0.115 | 0.095 | −0.196 | −0.150 | 0.047 | 0.098 | −0.037 | −0.120 | 0.021 | −0.034 | 0.007 | −0.003 | −0.001 |
| Correlations Between Variables and Factors: | ||||||||||||||||||||||
| F1 | F2 | F3 | F4 | F5 | F6 | F7 | F8 | F9 | F10 | F11 | F12 | F13 | F14 | F15 | F16 | F17 | F18 | F19 | F20 | F21 | F22 | |
| Population with tertiary education | 0.362 | −0.523 | −0.062 | 0.524 | −0.130 | 0.022 | −0.274 | 0.272 | −0.203 | −0.047 | 0.080 | −0.184 | −0.034 | 0.228 | −0.020 | −0.078 | 0.077 | 0.001 | 0.021 | −0.001 | 0.015 | 0.006 |
| Lifelong learning | 0.640 | −0.253 | −0.505 | −0.205 | −0.180 | 0.135 | 0.006 | 0.114 | 0.042 | −0.242 | 0.004 | 0.169 | −0.161 | 0.082 | 0.013 | 0.027 | −0.084 | 0.144 | −0.117 | −0.011 | 0.008 | 0.024 |
| International scientific co-publications | 0.805 | −0.114 | −0.090 | 0.371 | 0.135 | −0.265 | 0.132 | 0.007 | −0.068 | 0.091 | 0.101 | 0.129 | −0.129 | −0.040 | −0.011 | 0.115 | −0.015 | −0.021 | −0.044 | 0.001 | −0.024 | −0.110 |
| Most-cited publications | 0.677 | 0.187 | −0.385 | −0.123 | 0.101 | −0.181 | −0.204 | 0.105 | 0.235 | 0.250 | −0.041 | 0.126 | 0.242 | 0.197 | 0.087 | 0.028 | 0.047 | 0.052 | 0.032 | −0.019 | −0.028 | −0.003 |
| Digital skills | 0.618 | −0.313 | −0.515 | −0.252 | −0.176 | −0.058 | 0.018 | 0.018 | 0.196 | −0.051 | −0.105 | −0.176 | −0.061 | −0.118 | −0.011 | 0.014 | 0.190 | −0.102 | −0.004 | 0.088 | 0.021 | −0.017 |
| R&D expenditures public sector | 0.703 | 0.037 | −0.046 | 0.129 | −0.183 | −0.401 | 0.390 | −0.054 | −0.088 | −0.189 | 0.035 | −0.073 | 0.196 | −0.095 | 0.077 | −0.120 | 0.013 | 0.126 | 0.045 | −0.010 | 0.013 | 0.003 |
| R&D expenditures business sector | 0.763 | −0.302 | 0.129 | −0.173 | −0.107 | 0.307 | 0.100 | −0.023 | −0.060 | 0.000 | 0.188 | −0.052 | 0.283 | 0.038 | −0.081 | −0.023 | −0.089 | −0.099 | −0.111 | 0.050 | −0.036 | −0.018 |
| Non-R&D innovation expenditures | 0.054 | 0.707 | 0.287 | 0.095 | 0.097 | 0.049 | 0.337 | 0.345 | 0.199 | −0.245 | −0.025 | −0.102 | −0.012 | 0.170 | 0.031 | 0.125 | 0.030 | −0.060 | −0.005 | 0.002 | −0.024 | 0.005 |
| Innovation expenditures per person employed | 0.660 | 0.267 | 0.132 | 0.227 | −0.073 | 0.253 | −0.056 | 0.475 | 0.118 | 0.135 | −0.127 | 0.078 | 0.005 | −0.209 | −0.007 | −0.111 | −0.100 | 0.029 | 0.032 | 0.051 | 0.033 | −0.010 |
| IT specialists | 0.658 | −0.439 | 0.033 | 0.294 | 0.026 | 0.145 | 0.029 | −0.281 | 0.140 | −0.145 | −0.283 | 0.090 | −0.013 | 0.052 | 0.136 | −0.092 | −0.071 | −0.131 | 0.029 | −0.052 | −0.034 | 0.000 |
| Product process innovators | 0.715 | 0.515 | 0.071 | −0.140 | −0.094 | 0.034 | −0.110 | −0.223 | −0.216 | −0.051 | −0.116 | −0.013 | −0.067 | 0.130 | −0.014 | 0.033 | −0.075 | 0.049 | 0.108 | 0.145 | −0.034 | −0.015 |
| Business process innovators | 0.704 | 0.614 | 0.098 | −0.102 | 0.001 | −0.083 | −0.021 | −0.118 | −0.132 | 0.057 | −0.127 | −0.013 | 0.009 | 0.105 | −0.019 | −0.034 | 0.003 | −0.065 | −0.092 | −0.043 | 0.151 | −0.013 |
| Innovative SMEs collaborating with others | 0.687 | 0.417 | −0.087 | 0.120 | −0.185 | 0.248 | −0.259 | −0.092 | −0.084 | −0.029 | 0.127 | −0.145 | 0.032 | −0.167 | 0.232 | 0.171 | 0.002 | 0.004 | 0.006 | −0.058 | −0.003 | 0.012 |
| Public–private co-publications | 0.869 | −0.119 | −0.055 | 0.233 | 0.087 | −0.201 | 0.188 | −0.023 | −0.057 | 0.185 | 0.076 | 0.097 | −0.065 | −0.026 | −0.032 | 0.085 | −0.021 | −0.084 | −0.003 | 0.045 | 0.005 | 0.120 |
| PCT patent applications | 0.823 | −0.147 | −0.077 | −0.396 | −0.080 | 0.096 | 0.101 | 0.104 | −0.016 | −0.018 | 0.167 | 0.035 | −0.077 | 0.024 | −0.119 | −0.001 | −0.041 | −0.067 | 0.182 | −0.104 | 0.021 | −0.012 |
| Trademark applications | 0.650 | −0.298 | 0.017 | 0.016 | 0.528 | −0.094 | −0.185 | −0.012 | 0.045 | −0.123 | −0.165 | −0.219 | 0.082 | −0.085 | −0.188 | 0.109 | −0.082 | 0.075 | −0.001 | −0.030 | 0.004 | 0.009 |
| Design applications | 0.409 | −0.331 | 0.269 | −0.381 | 0.588 | 0.000 | −0.038 | 0.194 | −0.207 | −0.085 | 0.052 | 0.078 | −0.032 | −0.026 | 0.223 | −0.064 | 0.072 | −0.016 | −0.005 | 0.033 | 0.005 | 0.001 |
| Employment knowledge-intensive activities | 0.556 | −0.329 | 0.345 | 0.087 | 0.088 | 0.458 | 0.295 | −0.213 | 0.114 | 0.200 | −0.004 | −0.044 | −0.048 | 0.063 | −0.002 | 0.030 | 0.135 | 0.155 | 0.013 | 0.000 | 0.028 | −0.005 |
| Employment in innovative SMEs | 0.764 | 0.488 | 0.124 | −0.155 | −0.075 | −0.025 | −0.012 | 0.053 | −0.161 | 0.111 | −0.126 | −0.057 | −0.103 | −0.048 | −0.093 | −0.112 | 0.109 | 0.010 | −0.076 | −0.078 | −0.118 | 0.015 |
| Sales of new-to-market and new-to-firm innovations | 0.451 | 0.589 | −0.034 | 0.207 | 0.277 | 0.042 | −0.219 | −0.234 | 0.262 | −0.174 | 0.292 | 0.067 | −0.052 | −0.027 | −0.081 | −0.149 | 0.058 | 0.000 | −0.003 | 0.024 | 0.003 | 0.007 |
| N. of Universities | 0.343 | −0.263 | 0.695 | −0.012 | −0.315 | −0.126 | −0.246 | 0.024 | 0.023 | −0.181 | −0.052 | 0.266 | 0.092 | −0.051 | −0.087 | 0.105 | 0.133 | 0.006 | 0.005 | 0.002 | 0.010 | 0.006 |
| Total Academic Personnel (FTE) | 0.381 | −0.288 | 0.597 | −0.224 | −0.207 | −0.343 | −0.125 | −0.018 | 0.277 | 0.115 | 0.095 | −0.196 | −0.150 | 0.047 | 0.098 | −0.037 | −0.120 | 0.021 | −0.034 | 0.007 | −0.003 | −0.001 |
| Factor Scores: | ||
| Observation | F1 | F2 |
| Région de Bruxelles-Capitale | 4.686 | 0.854 |
| Vlaams Gewest | 4.328 | 0.759 |
| Région wallonne | 2.580 | 1.171 |
| Praha | 2.669 | −2.259 |
| Strední Cechy | −0.025 | 1.434 |
| Jihozápad | −1.476 | 0.576 |
| Severozápad | −4.609 | 0.671 |
| Severovýchod | −1.175 | 1.125 |
| Jihovýchod | 0.041 | 0.540 |
| Strední Morava | −1.563 | 0.477 |
| Moravskoslezsko | −1.381 | 1.592 |
| Hovedstaden | 6.710 | −2.163 |
| Sjælland | 0.892 | 0.823 |
| Syddanmark | 2.160 | −0.837 |
| Midtjylland | 4.496 | −0.429 |
| Nordjylland | 3.191 | 0.135 |
| Northern and Western | 0.186 | 0.185 |
| Southern | 0.906 | 1.455 |
| Eastern and Midland | 2.289 | −0.965 |
| Attiki | 1.519 | 1.937 |
| Voreio Aigaio | −1.525 | 3.407 |
| Notio Aigaio | −3.947 | 2.664 |
| Kriti | 0.726 | 4.813 |
| Anatoliki Makedonia, Thraki | −2.339 | 2.969 |
| Kentriki Makedonia | 0.496 | 3.496 |
| Dytiki Makedonia | −3.481 | 1.873 |
| Ipeiros | −0.742 | 2.801 |
| Thessalia | −0.401 | 4.035 |
| Ionia Nisia | −2.710 | 4.591 |
| Dytiki Ellada | −0.515 | 3.806 |
| Sterea Ellada | −2.203 | 3.822 |
| Peloponnisos | −2.553 | 3.235 |
| Galicia | −1.807 | −1.311 |
| Principado de Asturias | −2.254 | −1.642 |
| Cantabria | −2.163 | −1.645 |
| País Vasco | 1.042 | −1.279 |
| Comunidad Foral de Navarra | 0.121 | −1.643 |
| La Rioja | −1.659 | −1.218 |
| Aragón | −1.600 | −1.492 |
| Comunidad de Madrid | 0.895 | −3.352 |
| Castilla y León | −2.133 | −0.843 |
| Castilla-la Mancha | −3.398 | −1.121 |
| Extremadura | −3.833 | −0.419 |
| Cataluña | 0.774 | −2.386 |
| Comunitat Valenciana | −0.429 | −2.116 |
| Illes Balears | −3.063 | −2.110 |
| Andalucía | −2.556 | −1.589 |
| Región de Murcia | −2.008 | −1.329 |
| Canarias | −4.539 | −2.171 |
| Île de France | 4.649 | −2.939 |
| Centre–Val de Loire | −0.883 | 0.256 |
| Bourgogne–Franche-Comté | −0.800 | −0.222 |
| Normandie | −1.891 | −0.884 |
| Hauts-de-France | −1.029 | −1.200 |
| Grand Est | −0.192 | 0.277 |
| Pays de la Loire | 0.165 | −0.261 |
| Bretagne | 1.258 | 0.924 |
| Nouvelle-Aquitaine | −0.316 | 0.223 |
| Occitanie | 2.315 | −0.754 |
| Auvergne-Rhône-Alpes | 2.446 | −1.052 |
| Provence-Alpes-Côte d’Azur | 0.972 | −0.044 |
| Corse | −5.220 | −1.338 |
| Régions ultrapériphériques françaises | −3.089 | 3.026 |
| Piemonte | 1.684 | 1.829 |
| Valle d’Aosta/Vallée d’Aoste | −3.292 | 0.359 |
| Liguria | −0.733 | 0.580 |
| Lombardia | 2.534 | 1.088 |
| Provincia Autonoma Bolzano/Bozen | 1.148 | 3.111 |
| Provincia Autonoma Trento | 2.592 | 2.657 |
| Veneto | 2.340 | 2.017 |
| Friuli-Venezia Giulia | 2.284 | 2.081 |
| Emilia-Romagna | 2.832 | 1.620 |
| Toscana | 2.003 | 2.001 |
| Umbria | 1.476 | 1.843 |
| Marche | 0.223 | 1.554 |
| Lazio | 1.795 | 1.323 |
| Abruzzo | −0.279 | 2.508 |
| Molise | −0.289 | 2.242 |
| Campania | −0.247 | 2.694 |
| Puglia | −1.204 | 2.354 |
| Basilicata | −1.047 | 3.206 |
| Calabria | −2.096 | 3.040 |
| Sicilia | −1.787 | 3.251 |
| Sardegna | −1.438 | 1.857 |
| Sostinės regionas | 1.700 | 0.503 |
| Vidurio ir vakarų Lietuvos regionas | −2.308 | 1.343 |
| Budapest | 1.283 | −2.585 |
| Pest | −2.652 | −1.071 |
| Közép-Dunántúl | −3.494 | −0.587 |
| Nyugat-Dunántúl | −3.967 | −0.232 |
| Dél-Dunántúl | −4.289 | −0.389 |
| Észak-Magyarország | −4.380 | −0.220 |
| Észak-Alföld | −4.115 | −0.829 |
| Dél-Alföld | −3.463 | −0.034 |
| Groningen | 2.381 | −1.001 |
| Friesland | 0.173 | −0.017 |
| Drenthe | −0.214 | −0.255 |
| Overijssel | 1.977 | −1.154 |
| Gelderland | 3.102 | −1.704 |
| Flevoland | 1.431 | −1.200 |
| Utrecht | 3.742 | −2.370 |
| Noord-Holland | 3.785 | −2.544 |
| Zuid-Holland | 3.355 | −1.933 |
| Zeeland | −0.067 | 0.128 |
| Noord-Brabant | 3.592 | −2.525 |
| Limburg | 3.151 | −1.518 |
| Ostösterreich | 4.667 | −0.589 |
| Südösterreich | 3.773 | −0.392 |
| Westösterreich | 3.422 | −0.317 |
| Malopolskie | −1.641 | −2.620 |
| Slaskie | −3.963 | −2.623 |
| Wielkopolskie | −3.820 | −2.771 |
| Zachodniopomorskie | −4.769 | −2.080 |
| Lubuskie | −4.844 | −1.521 |
| Dolnoslaskie | −2.650 | −2.842 |
| Opolskie | −4.446 | −1.781 |
| Kujawsko-Pomorskie | −4.357 | −1.234 |
| Warminsko-Mazurskie | −5.248 | −1.068 |
| Pomorskie | −2.846 | −2.695 |
| Lódzkie | −3.739 | −2.403 |
| Swietokrzyskie | −5.432 | −1.982 |
| Lubelskie | −3.972 | −1.134 |
| Podkarpackie | −3.721 | −1.603 |
| Podlaskie | −4.539 | −1.355 |
| Warszawski stoleczny | 0.426 | −4.460 |
| Mazowiecki regionalny | −5.893 | −1.283 |
| Norte | −0.198 | −1.336 |
| Algarve | −3.210 | −0.755 |
| Centro | −0.554 | 0.092 |
| Lisboa | 1.211 | −1.817 |
| Alentejo | −2.249 | 0.682 |
| Região Autónoma dos Açores | −4.016 | 0.482 |
| Região Autónoma da Madeira | −3.302 | −0.880 |
| Vzhodna Slovenija | −0.113 | −0.512 |
| Zahodna Slovenija | 2.222 | −1.811 |
| Bratislavský kraj | 0.241 | −2.495 |
| Západné Slovensko | −3.594 | −1.250 |
| Stredné Slovensko | −3.314 | −0.038 |
| Vachon Slovensko | −3.571 | −0.491 |
| Helsinki-Uusimaa | 7.483 | −1.144 |
| Etelä-Suomi | 3.375 | −0.320 |
| Länsi-Suomi | 4.813 | 0.506 |
| Pohjois-ja Itä-Suomi | 3.551 | 0.758 |
| Åland | 0.045 | −0.109 |
| Stockholm | 7.334 | −1.530 |
| Östra Mellansverige | 4.946 | −1.268 |
| Småland med öarna | 1.810 | 0.442 |
| Sydsverige | 5.919 | −0.595 |
| Västsverige | 5.469 | −1.064 |
| Norra Mellansverige | 0.823 | −0.166 |
| Mellersta Norrland | 0.714 | 0.481 |
| Övre Norrland | 3.139 | 0.561 |
| Baden-Württemberg | 5.265 | −1.449 |
| Bavaria | 3.613 | −0.994 |
| Berlin | 5.563 | −0.198 |
| Brandenburg | 0.402 | 2.231 |
| Bremen | 2.337 | 0.396 |
| Hamburg | 4.457 | −0.162 |
| Hesse | 2.814 | 0.410 |
| Mecklenburg-Vorpommern | −0.061 | 1.790 |
| Lower Saxony | 1.926 | 0.548 |
| North Rhine-Westphalia | 3.578 | −1.058 |
| Rhineland-Palatinate | 1.875 | 0.819 |
| Saarland | 1.436 | 0.667 |
| Saxony | 2.287 | 1.851 |
| Sachsen-Anhalt | −0.088 | 2.614 |
| Schleswig-Holstein | 1.641 | 0.987 |
| Thüringen | 1.353 | 1.917 |
| Regression of Variable EIS: | |
| Goodness of fit statistics: | |
| Observations | 168.000 |
| Sum of weights | 168.000 |
| DF | 145.000 |
| R2 | 0.983 |
| Adjusted R2 | 0.980 |
| MSE | 15.021 |
| RMSE | 3.876 |
| MAPE | 3.376 |
| DW | 1.002 |
| Cp | 23.000 |
| AIC | 476.455 |
| SBC | 548.306 |
| PC | 0.023 |
| Press RMSE | 3218.472 |
| Analysis of Variance: | |||||
| Source | DF | Sum of squares | Mean squares | F | Pr > F |
| Model | 22 | 123,482.291 | 5612.831 | 373.662 | <0.0001 |
| Error | 145 | 2178.068 | 15.021 | ||
| Corrected Total | 167 | 125,660.359 | |||
| Computed against model Y = Mean(Y) | |||||
| Model Parameters for the Components: | ||||||
| Source | Value | Standard Error | t | Pr > |t| | Lower Bound (95%) | Upper Bound (95%) |
| Intercept | 89.178 | 0.299 | 298.236 | <0.0001 | 88.587 | 89.769 |
| F1 | 9.000 | 0.101 | 89.477 | <0.0001 | 8.802 | 9.199 |
| F2 | −1.108 | 0.166 | −6.666 | <0.0001 | −1.437 | −0.780 |
| F3 | −1.514 | 0.218 | −6.941 | <0.0001 | −1.945 | −1.083 |
| F4 | −1.189 | 0.267 | −4.451 | <0.0001 | −1.717 | −0.661 |
| F5 | −0.897 | 0.287 | −3.122 | 0.002 | −1.465 | −0.329 |
| F6 | 0.861 | 0.308 | 2.793 | 0.006 | 0.252 | 1.470 |
| F7 | 1.222 | 0.337 | 3.623 | 0.000 | 0.555 | 1.888 |
| F8 | 1.530 | 0.345 | 4.434 | <0.0001 | 0.848 | 2.212 |
| F9 | 1.628 | 0.411 | 3.965 | 0.000 | 0.817 | 2.440 |
| F10 | −0.790 | 0.440 | −1.796 | 0.075 | −1.660 | 0.080 |
| F11 | −1.125 | 0.482 | −2.336 | 0.021 | −2.078 | −0.173 |
| F12 | −0.098 | 0.496 | −0.197 | 0.844 | −1.078 | 0.883 |
| F13 | 0.468 | 0.551 | 0.850 | 0.397 | −0.621 | 1.558 |
| F14 | 1.122 | 0.570 | 1.968 | 0.051 | −0.005 | 2.249 |
| F15 | 1.464 | 0.627 | 2.334 | 0.021 | 0.224 | 2.704 |
| F16 | 0.369 | 0.714 | 0.517 | 0.606 | −1.042 | 1.780 |
| F17 | 1.655 | 0.746 | 2.218 | 0.028 | 0.180 | 3.130 |
| F18 | −1.437 | 0.829 | −1.735 | 0.085 | −3.075 | 0.200 |
| F19 | 0.377 | 0.977 | 0.386 | 0.700 | −1.553 | 2.307 |
| F20 | −1.363 | 1.182 | −1.153 | 0.251 | −3.698 | 0.972 |
| F21 | 3.725 | 1.402 | 2.657 | 0.009 | 0.954 | 6.496 |
| F22 | 1.075 | 1.753 | 0.613 | 0.541 | −2.390 | 4.540 |
| Model Parameters for the Input Variables: | ||||||
| Source | Value | Standard Error | t | Pr > |t| | Lower Bound (95%) | Upper Bound (95%) |
| Intercept | 2.578 | 7.987 | 0.323 | 0.747 | −13.209 | 18.365 |
| Population with tertiary education | 6.771 | 1.880 | 3.601 | 0.000 | 3.054 | 10.487 |
| Lifelong learning | 11.503 | 2.462 | 4.673 | <0.0001 | 6.638 | 16.369 |
| International scientific co-publications | 1.377 | 5.324 | 0.259 | 0.796 | −9.146 | 11.900 |
| Most-cited publications | 15.457 | 2.712 | 5.700 | <0.0001 | 10.097 | 20.817 |
| Digital skills | 20.001 | 3.120 | 6.411 | <0.0001 | 13.835 | 26.167 |
| R&D expenditures public sector | 9.744 | 2.312 | 4.215 | <0.0001 | 5.175 | 14.313 |
| R&D expenditures business sector | 6.236 | 2.962 | 2.105 | 0.037 | 0.381 | 12.090 |
| Non-R&D innovation expenditures | 10.810 | 3.082 | 3.507 | 0.001 | 4.718 | 16.902 |
| Innovation expenditures per person employed | 10.961 | 3.104 | 3.531 | 0.001 | 4.826 | 17.096 |
| IT specialists | 11.100 | 2.317 | 4.791 | <0.0001 | 6.520 | 15.679 |
| Product process innovators | −1.520 | 3.713 | −0.409 | 0.683 | −8.860 | 5.819 |
| Business process innovators | 15.183 | 3.772 | 4.026 | <0.0001 | 7.729 | 22.638 |
| Innovative SMEs collaborating with others | 8.981 | 2.463 | 3.647 | 0.000 | 4.113 | 13.849 |
| Public–private co-publications | 11.861 | 5.697 | 2.082 | 0.039 | 0.601 | 23.121 |
| PCT patent applications | 17.154 | 3.555 | 4.825 | <0.0001 | 10.127 | 24.181 |
| Trademark applications | 4.531 | 2.576 | 1.759 | 0.081 | −0.559 | 9.622 |
| Design applications | 7.599 | 2.073 | 3.666 | 0.000 | 3.502 | 11.696 |
| Employment knowledge-intensive activities | 9.581 | 2.267 | 4.226 | <0.0001 | 5.100 | 14.061 |
| Employment in innovative SMEs | 0.390 | 3.590 | 0.109 | 0.914 | −6.705 | 7.486 |
| Sales of new-to-market and new-to-firm innovations | −0.729 | 2.572 | −0.283 | 0.777 | −5.813 | 4.355 |
| N. of Universities | 8.395 | 3.449 | 2.434 | 0.016 | 1.578 | 15.211 |
| Total Academic Personnel (FTE) | 3.558 | 3.670 | 0.970 | 0.334 | −3.694 | 10.811 |
References
- Breschi, S.; Lissoni, F. Localised Knowledge Spillovers vs. Innovative Milieux: Knowledge “Tacitness” Reconsidered. Pap. Reg. Sci. 2001, 80, 255–273. [Google Scholar] [CrossRef]
- Acs, Z.J.; Braunerhjelm, P.; Audretsch, D.; Carlsson, B. The Knowledge Spillover Theory of Entrepreneurship. Small Bus. Econ. 2009, 32, 15–30. [Google Scholar] [CrossRef]
- Bridji, S.; Charpe, M. Active Labour Market Policies, Search Costs and Positive Fiscal Multiplier; EC-IILS Joint Discussion Paper Series; 2011. Available online: https://www.google.com/url?sa=t&source=web&rct=j&opi=89978449&url=https://www.ilo.org/media/36681/download&ved=2ahUKEwi6r8HXwPuQAxXPmq8BHY-UEyEQFnoECBkQAQ&usg=AOvVaw2c1XLGiw6xG9jtjytPbMOf (accessed on 12 November 2025).
- Foster, E.; Sonnenschein, H. Price Distortion and Economic Welfare. Econometrica 1970, 38, 281–297. [Google Scholar] [CrossRef]
- Marmolejo, F.; Pukka, J. Supporting the Contribution of Higher Education to Regional Development, Revista de Economia. 2010. Available online: https://revistas.ufpr.br/economia/article/view/16708 (accessed on 12 November 2025).
- Scicchitano, S. On the Complementarity Between On-the-Job Training and R&D: A Brief Overview. Econ. Bull. 2007, 15, 1–11. [Google Scholar]
- Scicchitano, S. Complementarity Between Heterogeneous Human Capital and R&D: Can Job-Training Avoid Low Development Traps? Empirica 2010, 37, 361–380. [Google Scholar]
- Etzkowitz, H.; Leydesdorff, L. The Dynamics of Innovation: From National Systems and “Mode 2” to a Triple Helix of University–Industry–Government Relations. Res. Policy 2000, 29, 109–123. [Google Scholar] [CrossRef]
- Cooke, P. Regional Innovation Systems: An Evolutionary Approach. In Regional Innovation Systems: The Role of Governance in a Globalized World; Braczyk, H.-J., Cooke, P., Heidenreich, M., Eds.; Routledge: London, UK, 2004; pp. 2–25. [Google Scholar]
- Osutei, N.; Kim, J.-H. Examining Talent Attraction and Retention in Small and Medium-Sized Cities: Where Do Universities Fit In? Growth Change 2023, 54, 113–139. [Google Scholar] [CrossRef]
- Oughton, C.; Landabaso, M.; Morgan, K. The Regional Innovation Paradox: Innovation Policy and Industrial Policy. J. Technol. Transf. 2002, 27, 97–110. [Google Scholar] [CrossRef]
- Paccagnella, M. Literacy and Numeracy Proficiency in IALS, ALL, and PIAAC; Education Working Papers; OECD: Paris, France, 2016.
- Dodgson, M.; Rothwell, R. Innovation and Growth. In Innovation and Growth; Freeman, C., Ed.; Pinter: London, UK, 1994. [Google Scholar]
- Milgrom, P.; Roberts, J. The Economics of Modern Manufacturing: Technology, Strategy, and Organization. Am. Econ. Rev. 1990, 80, 511–528. [Google Scholar]
- Rader, T. Theory of Microeconomics; Academic Press: New York, NY, USA, 1976. [Google Scholar]
- Saint-Paul, G. On the Political Economy of Labor Market Flexibility. In NBER Macroeconomics Annual; Blanchard, O.J., Fischer, S., Eds.; MIT Press: Cambridge, UK, 1993; pp. 151–195. [Google Scholar]
- Cooke, P. Regional Innovation Systems: Origins and Prospects. J. Technol. Transf. 1998, 23, 149–163. [Google Scholar]
- Cooke, P.; Boekholt, P.; Tödtling, F. The Governance of Innovation in Europe: Regional Perspectives on Global Competitiveness; Pinter: London, UK, 2000. [Google Scholar]
- OECD. Managing National Innovation Systems; OECD Publishing: Paris, France, 1999. [Google Scholar]
- Tijssen, R.; Edwards, J.; Jonkers, K. Regional Innovation Impact of Universities; Edward Elgar: Cheltenham, UK, 2021. [Google Scholar]
- Acs, Z.J.; Audretsch, D.B.; Feldman, M.P. Real Effects of Academic Research. Am. Econ. Rev. 1992, 82, 363–367. [Google Scholar]
- Griliches, Z. Issues in Assessing the Contribution of R&D to Productivity Growth. Bell J. Econ. 1979, 10, 92–116. [Google Scholar]
- Griliches, Z. R&D, Patents, and Productivity; University of Chicago Press: Chicago, IL, USA, 1984. [Google Scholar]
- Griliches, Z. Patent Statistics as Economic Indicators. J. Econ. Lit. 1990, 28, 1661–1707. [Google Scholar]
- Griliches, Z. R&D and Productivity: The Econometric Evidence; University of Chicago Press: Chicago, IL, USA, 1998. [Google Scholar]
- Higón, D.A.; Gómez, J.; Vargas, P. Complementarities in Innovation Strategy: Do Intangibles Play a Role in Enhancing Firm Performance? Ind. Corp. Change 2017, 26, 865–886. [Google Scholar] [CrossRef]
- Hirschman, A.O. The Strategy of Economic Development; Yale University Press: New Haven, CT, USA, 1958. [Google Scholar]
- Lehmann, E.E.; Menter, M.; Wirsching, K. University Spillovers, Absorptive Capacities, and Firm Performance; Eurasian Business Review; Springer: Berlin/Heidelberg, Germany, 2022. [Google Scholar]
- Lipsey, R.G.; Lancaster, K. The General Theory of Second Best. Rev. Econ. Stud. 1956, 24, 11–32. [Google Scholar] [CrossRef]
- Feldman, M.P. The Geography of Innovation; Kluwer Academic: Boston, MA, USA, 1994. [Google Scholar]
- Piergiovanni, R.; Santarelli, E.; Vivarelli, M. From Which Source Do Small Firms Derive Their Innovative Inputs? Some Evidence from Italian Industry. Rev. Ind. Organ. 1997, 12, 243–258. [Google Scholar] [CrossRef]
- Rapoport, H. Who Is Afraid of the Brain Drain? Human Capital Flight and Growth in Developing Countries; SIEPR Working Paper; Stanford University: Stanford, CA, USA, 2002. [Google Scholar]
- Redding, S. The Low-Skill, Low-Quality Trap: Strategic Complementarities Between Human Capital and R&D. Econ. J. 1996, 106, 458–470. [Google Scholar]
- Jaffe, A.B. Technological Opportunity and Spillovers of R&D: Evidence from Firms’ Patents, Profits, and Market Value. J. Evol. Econ. 1986, 14, 563–592. [Google Scholar]
- Fritsch, M. Measuring the Quality of Regional Innovation Systems: A Knowledge Production Function Approach. Int. Reg. Sci. Rev. 2002, 25, 86–101. [Google Scholar] [CrossRef]
- Fritsch, M. Does Cooperation Behavior Differ Between Regions? Ind. Innov. 2003, 10, 25–39. [Google Scholar] [CrossRef]
- Fritsch, M.; Franke, G. Innovation, Regional Knowledge Spillovers and R&D Cooperations. Res. Policy 2004, 33, 245–255. [Google Scholar] [CrossRef]
- Fritsch, M.; Slavtchev, V. What Determines the Efficiency of Regional Innovation Systems. SSRN Electron. J. 2007. [Google Scholar] [CrossRef][Green Version]
- Fritsch, M.; Slavtchev, V. Universities and Innovation in Space. Ind. Innov. 2007, 14, 201–218. [Google Scholar] [CrossRef]
- Acs, Z.J.; Anselin, L.; Varga, A. Patents and Innovation Counts as Measures of Regional Production of New Knowledge. Res. Policy 2002, 31, 1069–1085. [Google Scholar] [CrossRef]
- Autant-Bernard, C. Science and Knowledge Flows: Evidence from the French Case. Res. Policy 2001, 30, 1069–1078. [Google Scholar] [CrossRef]
- Beise, M.; Stahl, H. Public Research and Industrial Innovations in Germany. Res. Policy 1999, 28, 397–422. [Google Scholar] [CrossRef]
- Fritsch, M. Do Regional Systems of Innovation Matter? In The New Economy in Transatlantic Perspective—Spaces of Innovation; Huebner, K., Ed.; Routledge: London, UK, 2005; pp. 187–203. [Google Scholar]
- Bratti, M.; Checchi, D.; Filippin, A. Territorial Differences in Italian Students’ Mathematical Competencies: Evidence from PISA 2003. IZA Discussion Paper 2007, No. 2603. Available online: https://www.google.com/url?sa=t&source=web&rct=j&opi=89978449&url=https://www.econstor.eu/bitstream/10419/34143/1/527827789.pdf&ved=2ahUKEwjJ5-ex6viQAxVuJjQIHfshAu0QFnoECBoQAQ&usg=AOvVaw3qj4yseEWO5eWVtP5nr3J9 (accessed on 12 November 2025).
- Burns, T.; Köster, F. (Eds.) Governing Education in a Complex World; OECD Publishing: Paris, France, 2016. [Google Scholar] [CrossRef]
- Amir, R. Supermodularity and Complementarity in Economics: An Elementary Survey. South. Econ. J. 2005, 71, 636–660. [Google Scholar]
- Asturias, J.; Hur, S.; Kehoe, T.J.; Ruhl, K.J. The Interaction and Sequencing of Policy Reforms. J. Econ. Dyn. Control. 2016, 72, 45–66. [Google Scholar] [CrossRef][Green Version]
- Baumert, J.; Stanat, P.; Watermann, R. Herkunftsbedingte Disparitäten im Bildungswesen: Differenzierung Durch Bildungs-Und Ausbildungssysteme; Spinger: Berlin/Heidelberg, Germany, 2006; ISBN 978-3-531-14741-3. [Google Scholar]
- Bergstrom, T. Economics of Marriage and Household Decisions. J. Econ. Perspect. 1996, 10, 91–114. [Google Scholar]
- Champenois, C.; Etzkowitz, H. The Dynamics of the Innovation Ecosystem. J. Technol. Transf. 2018, 43, 456–471. [Google Scholar]
- Dziallas, M.; Blind, K. Innovation Indicators Throughout the Innovation Process: An Extensive Literature Analysis. Technovation 2019, 80–81, 3–29. [Google Scholar] [CrossRef]
- Gachie, W. Higher Education Institutions, Private Sector and Government Collaboration for Innovation Within the Framework of the Triple Helix Model. Afr. J. Sci. Technol. Innov. Dev. 2019, 12, 203–215. [Google Scholar] [CrossRef]
- Lall, S.; Pietrobelli, C. Fostering Innovation in Developing Countries: Lessons from Experience. Res. Policy 2002, 31, 985–1001. [Google Scholar]
- Bhutto, A.W.; Lohana, K. Renewable Energy Utilization: Barriers and Opportunities. Energy Policy 2018, 38, 7567–7575. [Google Scholar]
- UNCTAD. Economic Development in Africa Report 2018; United Nations: New York, NY, USA, 2018.
- Blasi, B.; Sobron, F. New Trends in Environmental Policy. Forthcoming.
- OECD. Advancing the Entrepreneurial University: Lessons Learned from 13 HEInnovate Country Reviews (Policy Brief); OECD Publishing: Paris, France, 2022. [Google Scholar]
- OECD. Future Prospects for Global Environmental Policy; OECD Publishing: Paris, France, 2022. [Google Scholar]
- Mohnen, P.; Röller, L.-H. Complementarities in Innovation Policy. Eur. Econ. Rev. 2005, 49, 1431–1450. [Google Scholar] [CrossRef]
- Peng, C.; Xu, H.-Y. Universities and Cities: The Impact of Higher Education on Urban Innovation, Entrepreneurship, and Economic Growth. Asian Econ. Pap. 2024, 23, 33–56. [Google Scholar] [CrossRef]
- Wang, G.J. Revisiting the Connection Between Innovation, Education, and Regional Economic Growth. Issues Sci. Technol. 2024, 40. [Google Scholar] [CrossRef]
- Dunbar, R. Role of Universities in Innovation. N. Z. Sci. Rev. 2023, 68. [Google Scholar] [CrossRef]
- Fehder, D.C.; Hausman, N.; Hochberg, Y.V.; Lee, D.H. University Research, Technological Commercialization, and Location. Acad. Manag. Proc. 2023. [Google Scholar] [CrossRef]
- OECD. Making Reform Happen: Lessons from OECD Countries; OECD Publishing: Paris, France, 2010. [Google Scholar]
- OECD. Better Skills, Better Jobs, Better Lives: A Strategic Approach to Skills Policies; OECD Publishing: Paris, France, 2012. [Google Scholar]
- OECD. The Future of Productivity; OECD Publishing: Paris, France, 2015. [Google Scholar]
- OECD. Skills Matter: Further Results from the Survey of Adult Skills (PIAAC); OECD Publishing: Paris, France, 2016. [Google Scholar] [CrossRef]
- OECD. PISA 2015 Results (Volume II): Policies and Practices for Successful Schools; OECD Publishing: Paris, France, 2016. [Google Scholar] [CrossRef]
- OECD. Evaluation of the Academy of Smart Specialisation; OECD Publishing: Paris, France, 2020. [Google Scholar]
- OECD. Supporting Innovation and Entrepreneurship in Higher Education in Sweden; OECD Publishing: Paris, France, 2021. [Google Scholar]
- Jakubik, M.; Müürsepp, P. From Knowledge to Wisdom: Will Wisdom Management Replace Knowledge Management? Eur. J. Manag. Bus. Econ. 2021, 31, 269–407. [Google Scholar] [CrossRef]
- Lafuente, E.; Vaillant, Y.; Vendrell-Herrero, F. Territorial Servitization: Exploring the Virtuous Circle Connecting Knowledge-Intensive Services and New Manufacturing Businesses. Int. J. Prod. Econ. 2017, 192, 19–28. [Google Scholar] [CrossRef]
- Wang, N.; Xiao, M.; Savin, I. Complementarity Effect in the Innovation Strategy: Internal R&D and Acquisition of Capital with Embodied Technology. J. Technol. Transf. 2021, 46, 459–482. [Google Scholar]
- Gachie, W.; Govender, K. Collaborative Innovation in University-Industry Partnerships: Evidence from a Developing Country. J. Innov. Entrep. 2017, 6, 1–18. [Google Scholar]
- Acemoglu, D. Training and Innovation in an Imperfect Labour Market. Rev. Econ. Stud. 1997, 64, 445–464. [Google Scholar] [CrossRef]
- Acemoglu, D.; Zilibotti, F. Productivity Differences. Q. J. Econ. 2001, 116, 563–606. [Google Scholar] [CrossRef]
- Redding, S.G. Weak Organizations and Strong Linkages: Managerial Ideology and Chinese Family Business Networks. In International and Comparative Business: Foundations of Political Economies; Westwood, A.J.S., Redding, S.G., Eds.; Sage: London, UK, 1996; pp. 215–235. [Google Scholar]
- Marino, D.; Trapasso, R. The New Approach to Regional Economics Dynamics: Path Dependence and Spatial Self-Reinforcing Mechanisms. In Growth and Innovation of Competitive Regions; Fratesi, U., Senn, L., Eds.; Springer: Berlin/Heidelberg, Germany, 2009; pp. 329–367. [Google Scholar]
- Marino, D.; Trapasso, R. Servitization and Territorial Self-Reinforcing Mechanisms: A New Approach to Regional Competitiveness. Investig. Reg.-J. Reg. Res. 2020, 48, 85–93. [Google Scholar]
- Cicione, F.; Filice, L.; Marino, D. Harmonic Innovation; Lecture Notes in Networks and Systems; 2022; Volume 282, ISBN 978-3-030-81189-1. Available online: https://link.springer.com/book/10.1007/978-3-030-81190-7 (accessed on 12 November 2025).
- Marino, D. Strategic Altruism and Harmonic Innovation. In Harmonic Innovation; Cicione, F., Filice, L., Marino, D., Eds.; 2022; ISBN 978-3-030-81189-1. Available online: https://link.springer.com/chapter/10.1007/978-3-030-81190-7_5 (accessed on 12 November 2025).
- Braga De Macedo, J.; Martins, J.O.; Rocha, B. Are Complementary Reforms a “Luxury” for Developing Countries? J. Comp. Econ. 2014, 42, 417–435. [Google Scholar] [CrossRef]
- Coe, D.T.; Snower, D.J. Policy Complementarities: The Case for Fundamental Labor Market Reform. IMF Staff Pap. 1997, 44, 1–35. [Google Scholar] [CrossRef]
- Crescenzi, R.; Rodríguez-Pose, A.; Storper, M. The Territorial Dynamics of Innovation: A Europe–United States Comparative Analysis. J. Econ. Geogr. 2007, 7, 673–709. [Google Scholar] [CrossRef]
- Cuomo, C.; Marino, D. The Local Work Plans (LWP) and Territorial Economic System (TES): Assessment and Evaluation. In Economy, Business and Uncertainty: New Ideas for a Euro-Mediterranean Industrial Policy; Gil-Lafuente, J., Marino, D., Morabito, F., Eds.; Studies in Systems, Decision and Control; Springer: Berlin/Heidelberg, Germany, 2019; Volume 180, pp. 227–240. [Google Scholar] [CrossRef]
- Blasi, B.; Sobron, M. Assessment of Third Mission and Societal Impact of Universities: Exploring Patterns and Practices. Forthcoming.
- Braga De Macedo, J.; Martins, J.O. Growth, Reform Indicators and Policy Complementarities. Econ. Transit. 2008, 16, 141–164. [Google Scholar] [CrossRef]
- Marino, D.; Tebala, D. Rural Areas and Well-Being in EU Countries + UK: A Taxonomy and a Cluster Analysis. Sustainability 2022, 14, 15213. [Google Scholar] [CrossRef]
- Tebala, D.; Marino, D.; Bianchino, A. A Provincial Indicator to Describe Potential Artificial Intelligence. In Artificial Intelligence and Economics: The Key to the Future; Marino, D., Monaca, M., Eds.; Springer: Cham, Switzerland, 2023; ISBN 978-3-031-14604-6. [Google Scholar] [CrossRef]
- Chang, R.; Kaltani, L.; Loayza, N.V. Openness Can Be Good for Growth: The Role of Policy Complementarities. J. Dev. Econ. 2009, 90, 33–49. [Google Scholar] [CrossRef]
- Charbit, C. Governance of Public Policies in Decentralised Contexts: The Multi-Level Approach; Reg. Dev. Working Papers 2011; OECD: Paris, France, 2011.
- Charbit, C.; Michalun, M. Mind the Gaps: Managing Mutual Dependence in Relations Among Levels of Government; OECD Working Papers on Public Governance; OECD: Paris, France, 2009. [CrossRef]
- Cassiman, B.; Veugelers, R. In Search of Complementarity in Innovation Strategy: Internal R&D and External Knowledge Acquisition. Manag. Sci. 2006, 52, 68–82. [Google Scholar] [CrossRef]
- Cavallaro, F.; Marino, D.; Streimikiene, D. Environmental Assessment of a Solar Tower Using the Life Cycle Assessment (LCA). In New Metropolitan Perspectives; Calabrò, F., Della Spina, L., Bevilacqua, C., Eds.; Smart Innovation, Systems and Technologies; Springer: Berlin/Heidelberg, Germany, 2019; Volume 101, pp. 737–744. [Google Scholar] [CrossRef]
- Marino, D.; Cananzi, D.; Aragona, F. Artificial Intelligence and Ethics: Challenges of Technologies. In Ethics and Artificial Intelligence; Studies in Systems, Decision and Control; Springer: Berlin/Heidelberg, Germany, 2024; Volume 519. [Google Scholar] [CrossRef]












| Indicators Name | Source |
|---|---|
| Eurostat |
| Eurostat |
| Scopus/Eurostat |
| Scopus |
| Eurostat |
| Eurostat |
| Eurostat |
| Eurostat |
| Eurostat |
| Eurostat |
| Eurostat |
| Eurostat |
| Eurostat |
| Scopus |
| OECD/Eurostat |
| EUIPO |
| EUIPO |
| Eurostat |
| Eurostat |
| Eurostat |
| Eurostat |
| Eurostat |
| European Commission |
| Variable | p1 |
|---|---|
| Population with tertiary education | 0.126 |
| Lifelong learning | 0.222 |
| International scientific co-publications | 0.271 |
| Most-cited publications | 0.228 |
| Digital skills | 0.215 |
| R&D expenditures public sector | 0.237 |
| R&D expenditures business sector | 0.260 |
| Non-R&D innovation expenditures | 0.011 |
| Innovation expenditures per person employed | 0.220 |
| IT specialists | 0.225 |
| Product process innovators | 0.236 |
| Business process innovators | 0.231 |
| Innovative SMEs collaborating with others | 0.228 |
| Public–private co-publications | 0.293 |
| PCT patent applications | 0.280 |
| Trademark applications | 0.220 |
| Design applications | 0.139 |
| Employment knowledge-intensive activities | 0.189 |
| Employment in innovative SMEs | 0.253 |
| Sales of new-to-market and new-to-firm innovations | 0.145 |
| No. of Universities | 0.114 |
| Total Academic Personnel (FTE) | 0.128 |
| Variable | Coefficient | Std. Deviation | Lower Bound (95%) | Upper Bound (95%) |
|---|---|---|---|---|
| Population with tertiary education | 0.043 | 0.007 | 0.026 | 0.059 |
| Lifelong learning | 0.081 | 0.005 | 0.068 | 0.093 |
| International scientific co-publications | 0.087 | 0.006 | 0.075 | 0.100 |
| Most-cited publications | 0.078 | 0.006 | 0.065 | 0.091 |
| Digital skills | 0.079 | 0.003 | 0.072 | 0.087 |
| R&D expenditures public sector | 0.078 | 0.005 | 0.066 | 0.090 |
| R&D expenditures business sector | 0.088 | 0.004 | 0.080 | 0.096 |
| Non-R&D innovation expenditures | 0.003 | 0.006 | −0.011 | 0.016 |
| Innovation expenditures per person employed | 0.072 | 0.004 | 0.063 | 0.081 |
| IT specialists | 0.076 | 0.006 | 0.063 | 0.089 |
| Product process innovators | 0.073 | 0.005 | 0.061 | 0.085 |
| Business process innovators | 0.072 | 0.004 | 0.064 | 0.081 |
| Innovative SMEs collaborating with others | 0.073 | 0.005 | 0.062 | 0.084 |
| Public–private co-publications | 0.095 | 0.004 | 0.086 | 0.105 |
| PCT patent applications | 0.097 | 0.002 | 0.092 | 0.101 |
| Trademark applications | 0.071 | 0.006 | 0.058 | 0.085 |
| Design applications | 0.046 | 0.005 | 0.034 | 0.058 |
| Employment knowledge-intensive activities | 0.063 | 0.005 | 0.052 | 0.074 |
| Employment in innovative SMEs | 0.080 | 0.003 | 0.073 | 0.086 |
| Sales of new-to-market and new-to-firm innovations | 0.042 | 0.006 | 0.029 | 0.054 |
| N. of Universities | 0.035 | 0.009 | 0.015 | 0.055 |
| Total Academic Personnel (FTE) | 0.040 | 0.007 | 0.025 | 0.055 |
| F1 | F2 | F3 | F4 | F5 | F6 | F7 | F8 | F9 | F10 | F11 | F12 | F13 | F14 | F15 | F16 | F17 | F18 | F19 | F20 | F21 | F22 | |
|---|---|---|---|---|---|---|---|---|---|---|---|---|---|---|---|---|---|---|---|---|---|---|
| Eigenvalue | 8.84 | 3.24 | 1.88 | 1.25 | 1.08 | 0.94 | 0.79 | 0.75 | 0.53 | 0.46 | 0.39 | 0.36 | 0.29 | 0.28 | 0.23 | 0.18 | 0.16 | 0.13 | 0.09 | 0.064 | 0.05 | 0.03 |
| Variability (%) | 40.17 | 14.71 | 8.54 | 5.69 | 4.92 | 4.28 | 3.58 | 3.41 | 2.41 | 2.10 | 1.75 | 1.65 | 1.34 | 1.25 | 1.03 | 0.80 | 0.73 | 0.59 | 0.43 | 0.29 | 0.21 | 0.13 |
| Cumulative % | 40.17 | 54.87 | 63.41 | 69.11 | 74.03 | 78.30 | 81.88 | 85.29 | 87.70 | 89.80 | 91.55 | 93.20 | 94.54 | 95.79 | 96.82 | 97.62 | 98.35 | 98.94 | 99.37 | 99.66 | 99.87 | 100.000 |
| F1 | F2 | |
|---|---|---|
| Population with tertiary education | 0.362 | −0.523 |
| Lifelong learning | 0.640 | −0.253 |
| International scientific co-publications | 0.805 | −0.114 |
| Most-cited publications | 0.677 | 0.187 |
| Digital skills | 0.618 | −0.313 |
| R&D expenditures public sector | 0.703 | 0.037 |
| R&D expenditures business sector | 0.763 | −0.302 |
| Non-R&D innovation expenditures | 0.054 | 0.707 |
| Innovation expenditures per person employed | 0.660 | 0.267 |
| IT specialists | 0.658 | −0.439 |
| Product process innovators | 0.715 | 0.515 |
| Business process innovators | 0.704 | 0.614 |
| Innovative SMEs collaborating with others | 0.687 | 0.417 |
| Public–private co-publications | 0.869 | −0.119 |
| PCT patent applications | 0.823 | −0.147 |
| Trademark applications | 0.650 | −0.298 |
| Design applications | 0.409 | −0.331 |
| Employment knowledge-intensive activities | 0.556 | −0.329 |
| Employment in innovative SMEs | 0.764 | 0.488 |
| Sales of new-to-market and new-to-firm innovations | 0.451 | 0.589 |
| No. of Universities | 0.343 | −0.263 |
| Total Academic Personnel (FTE) | 0.381 | −0.288 |
| Research and Development Expenditure | Innovation Policies | Higher Education System and Human Capital |
|---|---|---|
|
|
|
| Capability of Economic System of Creating Innovation | |||
|---|---|---|---|
| HIGH | LOW | ||
| Availability of financing for enterprises | HIGH | STAR | UNDER-PERFORMANT |
| LOW | OVER-PERFORMANT | DOG | |
| Source | Value | Standard Error | t-Value | Pr > |t| | Lower Bound (95%) | Upper Bound (95%) |
|---|---|---|---|---|---|---|
| Population with tertiary education | 0.059 | 0.016 | 3.601 | 0.000 | 0.027 | 0.092 |
| Lifelong learning | 0.113 | 0.024 | 4.673 | <0.0001 | 0.065 | 0.160 |
| International scientific co-publications | 0.011 | 0.044 | 0.259 | 0.796 | −0.075 | 0.098 |
| Most-cited publications | 0.108 | 0.019 | 5.700 | <0.0001 | 0.071 | 0.146 |
| Digital skills | 0.161 | 0.025 | 6.411 | <0.0001 | 0.112 | 0.211 |
| R&D expenditures public sector | 0.082 | 0.019 | 4.215 | <0.0001 | 0.043 | 0.120 |
| R&D expenditures business sector | 0.054 | 0.025 | 2.105 | 0.037 | 0.003 | 0.104 |
| Non-R&D innovation expenditures | 0.060 | 0.017 | 3.507 | 0.001 | 0.026 | 0.094 |
| Innovation expenditures per person employed | 0.074 | 0.021 | 3.531 | 0.001 | 0.032 | 0.115 |
| IT specialists | 0.107 | 0.022 | 4.791 | <0.0001 | 0.063 | 0.152 |
| Product process innovators | −0.013 | 0.032 | −0.409 | 0.683 | −0.075 | 0.050 |
| Business process innovators | 0.161 | 0.040 | 4.026 | <0.0001 | 0.082 | 0.239 |
| Innovative SMEs collaborating with others | 0.079 | 0.022 | 3.647 | 0.000 | 0.036 | 0.122 |
| Public–private co-publications | 0.099 | 0.047 | 2.082 | 0.039 | 0.005 | 0.192 |
| PCT patent applications | 0.148 | 0.031 | 4.825 | <0.0001 | 0.087 | 0.208 |
| Trademark applications | 0.034 | 0.019 | 1.759 | 0.081 | −0.004 | 0.072 |
| Design applications | 0.062 | 0.017 | 3.666 | 0.000 | 0.028 | 0.095 |
| Employment knowledge-intensive activities | 0.085 | 0.020 | 4.226 | <0.0001 | 0.045 | 0.125 |
| Employment in innovative SMEs | 0.004 | 0.036 | 0.109 | 0.914 | −0.067 | 0.074 |
| Sales of new-to-market and new-to-firm innovations | −0.005 | 0.017 | −0.283 | 0.777 | −0.039 | 0.029 |
| N. of Universities | 0.042 | 0.017 | 2.434 | 0.016 | 0.008 | 0.076 |
| Total Academic Personnel (FTE) | 0.016 | 0.016 | 0.970 | 0.334 | −0.017 | 0.049 |
Disclaimer/Publisher’s Note: The statements, opinions and data contained in all publications are solely those of the individual author(s) and contributor(s) and not of MDPI and/or the editor(s). MDPI and/or the editor(s) disclaim responsibility for any injury to people or property resulting from any ideas, methods, instructions or products referred to in the content. |
© 2025 by the authors. Licensee MDPI, Basel, Switzerland. This article is an open access article distributed under the terms and conditions of the Creative Commons Attribution (CC BY) license (https://creativecommons.org/licenses/by/4.0/).
Share and Cite
Marino, D.; Trapasso, R.; Lombardelli, L. Geography of Higher Education Institutions (HEIs) and Regional Innovation: Empirical Evidence and Policy Design. Sustainability 2025, 17, 10371. https://doi.org/10.3390/su172210371
Marino D, Trapasso R, Lombardelli L. Geography of Higher Education Institutions (HEIs) and Regional Innovation: Empirical Evidence and Policy Design. Sustainability. 2025; 17(22):10371. https://doi.org/10.3390/su172210371
Chicago/Turabian StyleMarino, Domenico, Raffaele Trapasso, and Leonardo Lombardelli. 2025. "Geography of Higher Education Institutions (HEIs) and Regional Innovation: Empirical Evidence and Policy Design" Sustainability 17, no. 22: 10371. https://doi.org/10.3390/su172210371
APA StyleMarino, D., Trapasso, R., & Lombardelli, L. (2025). Geography of Higher Education Institutions (HEIs) and Regional Innovation: Empirical Evidence and Policy Design. Sustainability, 17(22), 10371. https://doi.org/10.3390/su172210371


