Hidden Greens, Hidden Inequities? Evaluating Accessibility and Spatial Equity of Non-Park Green Spaces in London
Abstract
1. Introduction
2. Methods
2.1. Study Area
2.2. Research Flow
2.3. The Types and Distribution of NPGSs
2.3.1. Define and Classify the Five Categories of NPGSs
2.3.2. Conduct the Land Use Data and NDVI to Evaluate the Distribution of NPGSs
2.4. Evaluate the Accessibility of NPGSs
2.4.1. Multi-Ring Buffer Analysis of NPGS Distribution
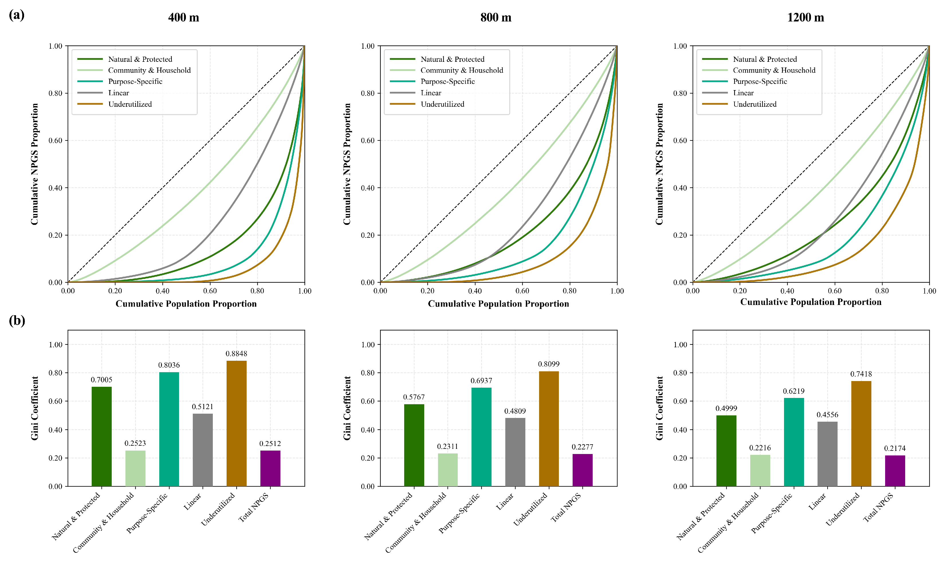
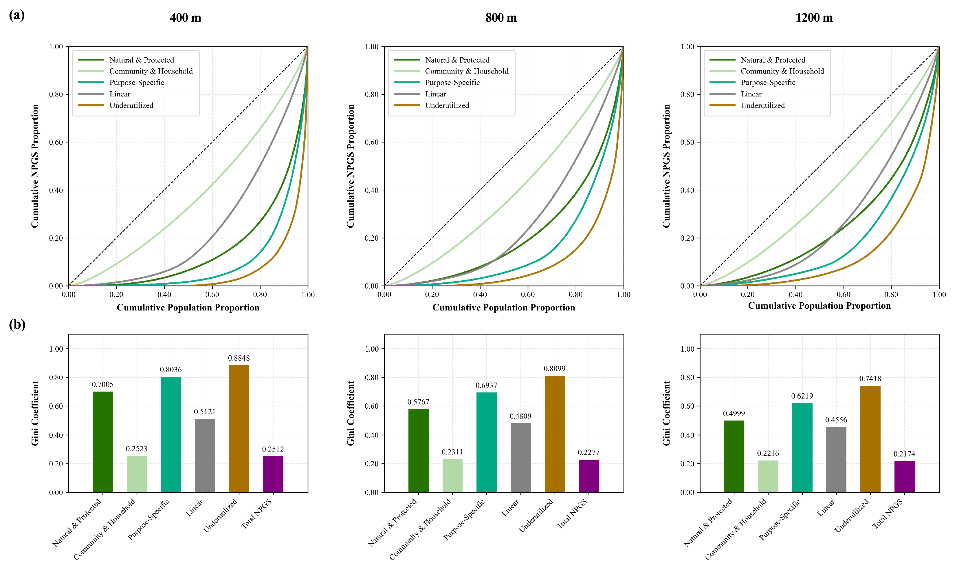
2.4.2. Lorenz Curve and Gini Coefficient Analysis
2.4.3. Spatial Autocorrelation and Hot Spot Analysis
3. Results
3.1. The Category System and Overall Distribution of NPGSs in London
3.2. The Disparities Between the Boroughs and Categories
3.3. NPGS Accessibility
3.3.1. The Comparison of Accessibility Measurements of the Five NPGS Types
3.3.2. The Global and Local Level Spatial Patterns of the Five NPGS Types
4. Discussion
4.1. Recap of the Main Findings
4.2. The Role of the NPGS in the Green Infrastructure System
4.3. The Provision of NPGSs and Their Implications
4.4. Limitations and Future Study
5. Conclusions
Supplementary Materials
Author Contributions
Funding
Institutional Review Board Statement
Informed Consent Statement
Data Availability Statement
Acknowledgments
Conflicts of Interest
References
- Aerts, R.; Honnay, O.; Van Nieuwenhuyse, A. Biodiversity and Human Health: Mechanisms and Evidence of the Positive Health Effects of Diversity in Nature and Green Spaces. Br. Med. Bull. 2018, 127, 5–22. [Google Scholar] [CrossRef]
- Castelli, K.R.; Silva, A.M.; Dunning, J.B. Improving the Biodiversity in Urban Green Spaces: A Nature Based Approach. Ecol. Eng. 2021, 173, 106398. [Google Scholar] [CrossRef]
- Diener, A.; Mudu, P. How Can Vegetation Protect Us from Air Pollution? A Critical Review on Green Spaces’ Mitigation Abilities for Air-Borne Particles from a Public Health Perspective—With Implications for Urban Planning. Sci. Total Environ. 2021, 796, 148605. [Google Scholar] [CrossRef]
- Li, Y.; Wang, S.; Zhang, S.; Wei, M.; Chen, Y.; Huang, X.; Zhou, R. The Creation of Multi-Level Urban Ecological Cooling Network to Alleviate the Urban Heat Island Effect. Sustain. Cities Soc. 2024, 114, 105786. [Google Scholar] [CrossRef]
- Selmi, W.; Weber, C.; Rivière, E.; Blond, N.; Mehdi, L.; Nowak, D. Air Pollution Removal by Trees in Public Green Spaces in Strasbourg City, France. Urban For. Urban Green. 2016, 17, 192–201. [Google Scholar] [CrossRef]
- Wang, T.; Hu, H. Mapping Urban Heat Island Networks Using a Landscape Connectivity Approach: A Case Study of Nanjing. Sustain. Cities Soc. 2025, 132, 106800. [Google Scholar] [CrossRef]
- Ha, J.; Kim, H.J.; With, K.A. Urban Green Space Alone Is Not Enough: A Landscape Analysis Linking the Spatial Distribution of Urban Green Space to Mental Health in the City of Chicago. Landsc. Urban Plan. 2022, 218, 104309. [Google Scholar] [CrossRef]
- Reyes-Riveros, R.; Altamirano, A.; De La Barrera, F.; Rozas-Vásquez, D.; Vieli, L.; Meli, P. Linking Public Urban Green Spaces and Human Well-Being: A Systematic Review. Urban For. Urban Green. 2021, 61, 127105. [Google Scholar] [CrossRef]
- Peters, K.; Elands, B.; Buijs, A. Social Interactions in Urban Parks: Stimulating Social Cohesion? Urban For. Urban Green. 2010, 9, 93–100. [Google Scholar] [CrossRef]
- Collins, R.M.; Smith, D.; Ogutu, B.O.; Brown, K.A.; Eigenbrod, F.; Spake, R. The Relative Effects of Access to Public Greenspace and Private Gardens on Mental Health. Landsc. Urban Plan. 2023, 240, 104902. [Google Scholar] [CrossRef]
- Chalmin-Pui, L.S.; Griffiths, A.; Roe, J.; Heaton, T.; Cameron, R. Why Garden?—Attitudes and the Perceived Health Benefits of Home Gardening. Cities 2021, 112, 103118. [Google Scholar] [CrossRef]
- Chen, W.Y.; Jim, C.Y. Cost–Benefit Analysis of the Leisure Value of Urban Greening in the New Chinese City of Zhuhai. Cities 2008, 25, 298–309. [Google Scholar] [CrossRef]
- Zhang, H.; Chen, B.; Sun, Z.; Bao, Z. Landscape Perception and Recreation Needs in Urban Green Space in Fuyang, Hangzhou, China. Urban For. Urban Green. 2013, 12, 44–52. [Google Scholar] [CrossRef]
- Stern, M.; Lester, T.W. Does Local Ownership of Vacant Land Reduce Crime? J. Am. Plan. Assoc. 2021, 87, 73–84. [Google Scholar] [CrossRef]
- Ayala-Azcárraga, C.; Diaz, D.; Zambrano, L. Characteristics of Urban Parks and Their Relation to User Well-Being. Landsc. Urban Plan. 2019, 189, 27–35. [Google Scholar] [CrossRef]
- Ward Thompson, C.; Roe, J.; Aspinall, P.; Mitchell, R.; Clow, A.; Miller, D. More Green Space Is Linked to Less Stress in Deprived Communities: Evidence from Salivary Cortisol Patterns. Landsc. Urban Plan. 2012, 105, 221–229. [Google Scholar] [CrossRef]
- Wu, J.; Peng, Y.; Liu, P.; Weng, Y.; Lin, J. Is the Green Inequality Overestimated? Quality Reevaluation of Green Space Accessibility. Cities 2022, 130, 103871. [Google Scholar] [CrossRef]
- Biernacka, M.; Kronenberg, J.; Łaszkiewicz, E.; Czembrowski, P.; Amini Parsa, V.; Sikorska, D. Beyond Urban Parks: Mapping Informal Green Spaces in an Urban–Peri-Urban Gradient. Land Use Policy 2023, 131, 106746. [Google Scholar] [CrossRef]
- Williams, T.G.; Logan, T.M.; Zuo, C.T.; Liberman, K.D.; Guikema, S.D. Parks and Safety: A Comparative Study of Green Space Access and Inequity in Five US Cities. Landsc. Urban Plan. 2020, 201, 103841. [Google Scholar] [CrossRef]
- Tang, Q.; Cao, J.; Yin, C.; Cheng, J. Examining the Nonlinear Relationships between Park Attributes and Satisfaction with Pocket Parks in Chengdu. Urban For. Urban Green. 2024, 101, 128548. [Google Scholar] [CrossRef]
- Chu, Z.; Li, S.; Li, T.; Qian, H.; Liu, C.; Yan, Z. Numerical Simulation of Layout and Landscape Elements on the Thermal Environment of Urban Squares. Ecol. Inform. 2024, 82, 102770. [Google Scholar] [CrossRef]
- Mahmoudi Farahani, L.; Maller, C. Investigating the Benefits of ‘Leftover’ Places: Residents’ Use and Perceptions of an Informal Greenspace in Melbourne. Urban For. Urban Green. 2019, 41, 292–302. [Google Scholar] [CrossRef]
- Wang, Y.; Akbari, H. The Effects of Street Tree Planting on Urban Heat Island Mitigation in Montreal. Sustain. Cities Soc. 2016, 27, 122–128. [Google Scholar] [CrossRef]
- Stanford, H.R.; Hurley, J.; Garrard, G.E.; Kirk, H. The Contribution of Informal Green Space to Urban Biodiversity: A City-Scale Assessment Using Crowdsourced Survey Data. Urban Ecosyst. 2024, 28, 43. [Google Scholar] [CrossRef]
- Erlwein, S.; Zölch, T.; Pauleit, S. Regulating the Microclimate with Urban Green in Densifiying Cities: Joint Assessment on Two Scales. Build. Environ. 2021, 205, 108233. [Google Scholar] [CrossRef]
- Wilson, B.; Neale, C.; Roe, J. Urban Green Space Access, Social Cohesion, and Mental Health Outcomes before and during COVID-19. Cities 2024, 152, 105173. [Google Scholar] [CrossRef]
- Zhang, Q.; Tang, F.; Chen, H.; Li, F.; Chen, Z.; Jiao, Y. Assessing Landscape Fragmentation and Ecological Connectivity to Support Regional Spatial Planning: A Case Study of Jiangsu Province, China. Ecol. Indic. 2024, 162, 112063. [Google Scholar] [CrossRef]
- McClymont, K.; Sinnett, D. Planning Cemeteries: Their Potential Contribution to Green Infrastructure and Ecosystem Services. Front. Sustain. Cities 2021, 3, 789925. [Google Scholar] [CrossRef]
- Yang, B.; Wang, Z.; Zou, L.; Zou, L.; Zhang, H. Exploring the Eco-Efficiency of Cultivated Land Utilization and Its Influencing Factors in China’s Yangtze River Economic Belt, 2001–2018. J. Environ. Manag. 2021, 294, 112939. [Google Scholar] [CrossRef]
- Sikorska, D.; Łaszkiewicz, E.; Krauze, K.; Sikorski, P. The Role of Informal Green Spaces in Reducing Inequalities in Urban Green Space Availability to Children and Seniors. Environ. Sci. Policy 2020, 108, 144–154. [Google Scholar] [CrossRef]
- Battisti, L.; Giacco, G.; Moraca, M.; Pettenati, G.; Dansero, E.; Larcher, F. Spatializing Urban Forests as Nature-Based Solutions: A Methodological Proposal. Cities 2024, 144, 104629. [Google Scholar] [CrossRef]
- Aamodt, G.; Nordh, H.; Nordbø, E.C.A. Relationships between Socio-Demographic/Socio-Economic Characteristics and Neighborhood Green Space in Four Nordic Municipalities—Results from NORDGREEN. Urban For. Urban Green. 2023, 82, 127894. [Google Scholar] [CrossRef]
- Baró, F.; Camacho, D.A.; Pérez Del Pulgar, C.; Triguero-Mas, M.; Anguelovski, I. School Greening: Right or Privilege? Examining Urban Nature within and around Primary Schools through an Equity Lens. Landsc. Urban Plan. 2021, 208, 104019. [Google Scholar] [CrossRef]
- Han, Y.; Zhong, T.; Yeh, A.G.O.; Zhong, X.; Chen, M.; Lü, G. Mapping Seasonal Changes of Street Greenery Using Multi-Temporal Street-View Images. Sustain. Cities Soc. 2023, 92, 104498. [Google Scholar] [CrossRef]
- Preston, P.D.; Dunk, R.M.; Smith, G.R.; Cavan, G. Not All Brownfields Are Equal: A Typological Assessment Reveals Hidden Green Space in the City. Landsc. Urban Plan. 2023, 229, 104590. [Google Scholar] [CrossRef]
- Stanford, H.R. What to Do with the Spaces in between? The Social-Ecological Value of Informal Green Space and the Challenge of Planning the Unplanned. Landsc. Urban Plan. 2025, 259, 105372. [Google Scholar] [CrossRef]
- Stanford, H.R.; Hurley, J.; Garrard, G.E.; Kirk, H. Finding the Forgotten Spaces: Using a Social-Ecological Framework to Map Informal Green Space in Melbourne, Australia. Land Use Policy 2024, 141, 107114. [Google Scholar] [CrossRef]
- Xu, Y.; Chen, X.; Ding, L.; Kong, C.-H. Allelopathy and Allelochemicals in Grasslands and Forests. Forests 2023, 14, 562. [Google Scholar] [CrossRef]
- Panduro, T.E.; Veie, K.L. Classification and Valuation of Urban Green Spaces—A Hedonic House Price Valuation. Landsc. Urban Plan. 2013, 120, 119–128. [Google Scholar] [CrossRef]
- Yan, Y.; Zhao, C.; Xie, Y.; Jiang, X. Nature Reserves and Reforestation Expend the Potential Habitats for Endangered Plants: A Model Study in Cangshan, China. J. Nat. Conserv. 2024, 77, 126533. [Google Scholar] [CrossRef]
- Limerick, S.; Hawes, J.K.; Gounaridis, D.; Cohen, N.; Newell, J.P. Community Gardens and the 15-Minute City: Scenario Analysis of Garden Access in New York City. Urban For. Urban Green. 2023, 89, 128107. [Google Scholar] [CrossRef]
- Maćkiewicz, B.; Asuero, R.P. Public versus Private: Juxtaposing Urban Allotment Gardens as Multifunctional Nature-Based Solutions. Insights from Seville. Urban For. Urban Green. 2021, 65, 127309. [Google Scholar] [CrossRef]
- Wen, Z.; Zhang, S.; Yang, Y.; Zheng, X.; Song, Z.; Zhou, Y.; Hao, J. How Does Enclosed Private Residential Green Space Impact Accessibility Equity in Urban Regions? A Case Study in Shenzhen, China. Urban For. Urban Green. 2023, 85, 127968. [Google Scholar] [CrossRef]
- Milbourne, P. Growing Public Spaces in the City: Community Gardening and the Making of New Urban Environments of Publicness. Urban Stud. 2021, 58, 2901–2919. [Google Scholar] [CrossRef]
- Evans, D.L.; Falagán, N.; Hardman, C.A.; Kourmpetli, S.; Liu, L.; Mead, B.R.; Davies, J.A.C. Ecosystem Service Delivery by Urban Agriculture and Green Infrastructure—A Systematic Review. Ecosyst. Serv. 2022, 54, 101405. [Google Scholar] [CrossRef]
- Sia, A.; Tan, P.Y.; Er, K.B.H. The Contributions of Urban Horticulture to Cities’ Liveability and Resilience: Insights from Singapore. Plants People Planet 2023, 5, 828–841. [Google Scholar] [CrossRef]
- Cervinka, R.; Röderer, K.; Hämmerle, I. Evaluation of Hospital Gardens and Implications for Design: Benefits from Environmental Psychology for Architecture and Landscape Planning. J. Archit. Plan. Res. 2014, 31, 43–56. Available online: http://www.jstor.org/stable/43031023 (accessed on 13 September 2025).
- Bisgrove, D. Zooscape Ecology: A Conceptual Analysis of Zoos and Landscape Ecology. Landsc. Ecol. 2022, 37, 1733–1745. [Google Scholar] [CrossRef] [PubMed]
- Hu, Y. Role of botanical gardens in enhancing urban plant diversity: A case study of shanghai chenshan botanical garden. Landsc. Archit. 2023, 30, 40–45. [Google Scholar] [CrossRef]
- Nordh, H.; Wingren, C.; Uteng, T.P.; Knapskog, M. Disrespectful or Socially Acceptable?—A Nordic Case Study of Cemeteries as Recreational Landscapes. Landsc. Urban Plan. 2023, 231, 104645. [Google Scholar] [CrossRef]
- Lin, J.; Wang, Q.; Huang, B. Street Trees and Crime: What Characteristics of Trees and Streetscapes Matter. Urban For. Urban Green. 2021, 65, 127366. [Google Scholar] [CrossRef]
- Rupprecht, C.D.D.; Byrne, J.A. Informal Urban Greenspace: A Typology and Trilingual Systematic Review of Its Role for Urban Residents and Trends in the Literature. Urban For. Urban Green. 2014, 13, 597–611. [Google Scholar] [CrossRef]
- Merwin, L.; Umek, L.; Anastasio, A.E. Urban Post-Industrial Landscapes Have Unrealized Ecological Potential. Restor. Ecol. 2022, 30, e13643. [Google Scholar] [CrossRef]
- Rigolon, A.; Banerjee, D.; Gobster, P.; Hadavi, S.; Stewart, W. Transferring Vacant Lots to Private Ownership Improves Care and Empowers Residents: Evidence from Chicago. J. Am. Plan. Assoc. 2021, 87, 570–584. [Google Scholar] [CrossRef]
- Escolà-Gascón, Á.; Dagnall, N.; Drinkwater, K.; Denovan, A. Abandoned vs. Regenerated Places: Evidence of Five Social Impacts That Improve Urban Planning. Cities 2024, 146, 104739. [Google Scholar] [CrossRef]
- Guo, P.; Yu, F.; Ren, Y.; Liu, D.; Li, J.; Ouyang, Z.; Wang, X. Response of Ruderal Species Diversity to an Urban Environment: Implications for Conservation and Management. Int. J. Environ. Res. Public Health 2018, 15, 2832. [Google Scholar] [CrossRef]
- Sanches, P.M.; Mesquita Pellegrino, P.R. Greening Potential of Derelict and Vacant Lands in Urban Areas. Urban For. Urban Green. 2016, 19, 128–139. [Google Scholar] [CrossRef]
- Garrison, J.D. Environmental Justice in Theory and Practice: Measuring the Equity Outcomes of Los Angeles and New York’s “Million Trees” Campaigns. J. Plan. Educ. Res. 2021, 41, 6–17. [Google Scholar] [CrossRef]
- Rigolon, A.; Németh, J. Green Gentrification or ‘Just Green Enough’: Do Park Location, Size and Function Affect Whether a Place Gentrifies or Not? Urban Stud. 2020, 57, 402–420. [Google Scholar] [CrossRef]
- Bowen, W. An Analytical Review of Environmental Justice Research: What Do We Really Know? Environ. Manag. 2002, 29, 3–15. [Google Scholar] [CrossRef]
- Ren, Z.; Zhao, H.; Fu, Y.; Xiao, L.; Dong, Y. Effects of Urban Street Trees on Human Thermal Comfort and Physiological Indices: A Case Study in Changchun City, China. J. For. Res. 2022, 33, 911–922. [Google Scholar] [CrossRef]
- Ke, X.; Huang, D.; Zhou, T.; Men, H. Contribution of Non-Park Green Space to the Equity of Urban Green Space Accessibility. Ecol. Indic. 2023, 146, 109855. [Google Scholar] [CrossRef]
- Sikorski, P.; Gawryszewska, B.; Sikorska, D.; Chormański, J.; Schwerk, A.; Jojczyk, A.; Ciężkowski, W.; Archiciński, P.; Łepkowski, M.; Dymitryszyn, I.; et al. The Value of Doing Nothing—How Informal Green Spaces Can Provide Comparable Ecosystem Services to Cultivated Urban Parks. Ecosyst. Serv. 2021, 50, 101339. [Google Scholar] [CrossRef]
- Luo, W.; Wang, F. Measures of Spatial Accessibility to Health Care in a GIS Environment: Synthesis and a Case Study in the Chicago Region. Environ. Plan. B Plan. Des. 2003, 30, 865–884. [Google Scholar] [CrossRef]
- United Nations Western Europe. United Nations Sustainable Development Goals (SDGs). Available online: https://unric.org/en/united-nations-sustainable-development-goals/ (accessed on 14 September 2025).
- Pettorelli, N.; Vik, J.O.; Mysterud, A.; Gaillard, J.-M.; Tucker, C.J.; Stenseth, N.C. Using the Satellite-Derived NDVI to Assess Ecological Responses to Environmental Change. Trends Ecol. Evol. 2005, 20, 503–510. [Google Scholar] [CrossRef] [PubMed]
- Atasoy, M. Monitoring the Urban Green Spaces and Landscape Fragmentation Using Remote Sensing: A Case Study in Osmaniye, Turkey. Environ. Monit Assess 2018, 190, 713. [Google Scholar] [CrossRef]
- Tucker, C.J. Red and Photographic Infrared Linear Combinations for Monitoring Vegetation. Remote Sens. Environ. 1979, 8, 127–150. [Google Scholar] [CrossRef]
- Jackson, R.D.; Huete, A.R. Interpreting Vegetation Indices. Prev. Vet. Med. 1991, 11, 185–200. [Google Scholar] [CrossRef]
- Phillips, B.B.; Navaratnam, A.; Hooper, J.; Bullock, J.M.; Osborne, J.L.; Gaston, K.J. Road Verge Extent and Habitat Composition across Great Britain. Landsc. Urban Plan. 2021, 214, 104159. [Google Scholar] [CrossRef]
- Vincent, J. UK Approves Third Runway for London’s Heathrow, Europe’s Busiest Airport. Available online: https://www.theverge.com/2016/10/25/13403534/heathrow-runway-approved-in-london (accessed on 30 January 2025).
- Way, J.M. Roadside Verges and Conservation in Britain: A Review. Biol. Conserv. 1977, 12, 65–74. [Google Scholar] [CrossRef]
- Fan, P.Y.; Chun, K.P.; Mijic, A.; Tan, M.L.; Liu, M.S.; Yetemen, O. A Framework to Evaluate the Accessibility, Visibility, and Intelligibility of Green-Blue Spaces (GBSs) Related to Pedestrian Movement. Urban For. Urban Green. 2022, 69, 127494. [Google Scholar] [CrossRef]
- Staricco, L. 15-, 10- or 5-Minute City? A Focus on Accessibility to Services in Turin, Italy. J. Urban Mobil. 2022, 2, 100030. [Google Scholar] [CrossRef]
- Gini, C. Variabilità E Mutabilità: Contributo Allo Studio Delle distribuzioni E Delle Relazioni Statistiche. [Fasc. I.]; Tipografia di P. Cuppini: Bologna, Italy, 1912. [Google Scholar]
- Lorenz, M.O. Methods of Measuring the Concentration of Wealth. Publ. Am. Stat. Assoc. 1905, 9, 209–219. [Google Scholar] [CrossRef]
- Chen, Y.; Ge, Y.; Yang, G.; Wu, Z.; Du, Y.; Mao, F.; Liu, S.; Xu, R.; Qu, Z.; Xu, B.; et al. Inequalities of Urban Green Space Area and Ecosystem Services along Urban Center-Edge Gradients. Landsc. Urban Plan. 2022, 217, 104266. [Google Scholar] [CrossRef]
- Martin, A.J.F.; Conway, T.M. Using the Gini Index to Quantify Urban Green Inequality: A Systematic Review and Recommended Reporting Standards. Landsc. Urban Plan. 2025, 254, 105231. [Google Scholar] [CrossRef]
- Wüstemann, H.; Kalisch, D.; Kolbe, J. Access to Urban Green Space and Environmental Inequalities in Germany. Landsc. Urban Plan. 2017, 164, 124–131. [Google Scholar] [CrossRef]
- Xu, C.; Chen, G.; Huang, Q.; Su, M.; Rong, Q.; Yue, W.; Haase, D. Can Improving the Spatial Equity of Urban Green Space Mitigate the Effect of Urban Heat Islands? An Empirical Study. Sci. Total Environ. 2022, 841, 156687. [Google Scholar] [CrossRef]
- World Bank. Poverty and Shared Prosperity 2016: Taking on Inequality; World Bank: Washington, DC, USA, 2016; Available online: https://documents.worldbank.org/en/publication/documents-reports/documentdetail/en/242251476706821424 (accessed on 29 April 2025).
- Wolch, J.R.; Byrne, J.; Newell, J.P. Urban Green Space, Public Health, and Environmental Justice: The Challenge of Making Cities ‘Just Green Enough’. Landsc. Urban Plan. 2014, 125, 234–244. [Google Scholar] [CrossRef]
- Chen, L.; Zhang, X.; He, F.; Yuan, R. Regional Green Development Level and Its Spatial Relationship under the Constraints of Haze in China. J. Clean. Prod. 2019, 210, 376–387. [Google Scholar] [CrossRef]
- Chen, Y.; Yue, W.; La Rosa, D. Which Communities Have Better Accessibility to Green Space? An Investigation into Environmental Inequality Using Big Data. Landsc. Urban Plan. 2020, 204, 103919. [Google Scholar] [CrossRef]
- Zhang, Y.; Liu, Y.; Zhang, Y.; Liu, Y.; Zhang, G.; Chen, Y. On the Spatial Relationship between Ecosystem Services and Urbanization: A Case Study in Wuhan, China. Sci. Total Environ. 2018, 637–638, 780–790. [Google Scholar] [CrossRef]
- Houlden, V.; Porto De Albuquerque, J.; Weich, S.; Jarvis, S. A Spatial Analysis of Proximate Greenspace and Mental Wellbeing in London. Appl. Geogr. 2019, 109, 102036. [Google Scholar] [CrossRef]
- Zhou, Q.; Liao, Y.; Wang, J. Mapping Global Urban Greenspace: An Analysis Based on Open Land-Cover Data. Urban For. Urban Green. 2022, 74, 127638. [Google Scholar] [CrossRef]
- Phillips, A.; Plastara, D.; Khan, A.Z.; Canters, F. Integrating Public Perceptions of Proximity and Quality in the Modelling of Urban Green Space Access. Landsc. Urban Plan. 2023, 240, 104875. [Google Scholar] [CrossRef]
- Zhang, J. Inequalities in the Quality and Proximity of Green Space Exposure Are More Pronounced than in Quantity Aspect: Evidence from a Rapidly Urbanizing Chinese City. Urban For. Urban Green. 2023, 79, 127811. [Google Scholar] [CrossRef]
- Pan, J.; Bardhan, R.; Jin, Y. Spatial Distributive Effects of Public Green Space and COVID-19 Infection in London. Urban For. Urban Green. 2021, 62, 127182. [Google Scholar] [CrossRef] [PubMed]
- Briggs, H. Everyone to Live 15 Minutes from Green Space or Water in England under Plans. BBC News. 30 January 2023. Available online: https://www.bbc.com/news/science-environment-64456455 (accessed on 14 September 2025).
- Anguelovski, I.; Connolly, J.J.T.; Masip, L.; Pearsall, H. Assessing Green Gentrification in Historically Disenfranchised Neighborhoods: A Longitudinal and Spatial Analysis of Barcelona. Urban Geogr. 2018, 39, 458–491. [Google Scholar] [CrossRef]
- Luo, S.; Patuano, A. Multiple Ecosystem Services of Informal Green Spaces: A Literature Review. Urban For. Urban Green. 2023, 81, 127849. [Google Scholar] [CrossRef]
- Clarke, M.; Cadaval, S.; Wallace, C.; Anderson, E.; Egerer, M.; Dinkins, L.; Platero, R. Factors That Enhance or Hinder Social Cohesion in Urban Greenspaces: A Literature Review. Urban For. Urban Green. 2023, 84, 127936. [Google Scholar] [CrossRef]
- Rigolon, A. A Complex Landscape of Inequity in Access to Urban Parks: A Literature Review. Landsc. Urban Plan. 2016, 153, 160–169. [Google Scholar] [CrossRef]
- Kraemer, R.; Kabisch, N. Parks in Context: Advancing Citywide Spatial Quality Assessments of Urban Green Spaces Using Fine-Scaled Indicators. Ecol. Soc. 2021, 26, 14. [Google Scholar] [CrossRef]
- Ramirez Aranda, N.; De Waegemaeker, J.; Van De Weghe, N. The Evolution of Public Participation GIS (PPGIS) Barriers in Spatial Planning Practice. Appl. Geogr. 2023, 155, 102940. [Google Scholar] [CrossRef]
- Wu, W.; Ding, K. Optimization Strategy for Parks and Green Spaces in Shenyang City: Improving the Supply Quality and Accessibility. Int. J. Environ. Res. Public Health 2022, 19, 4443. [Google Scholar] [CrossRef]
- Calderón-Argelich, A.; Benetti, S.; Anguelovski, I.; Connolly, J.J.T.; Langemeyer, J.; Baró, F. Tracing and Building up Environmental Justice Considerations in the Urban Ecosystem Service Literature: A Systematic Review. Landsc. Urban Plan. 2021, 214, 104130. [Google Scholar] [CrossRef]
- Wu, L.; Kim, S.K.; Lin, C. Socioeconomic Groups and Their Green Spaces Availability in Urban Areas of China: A Distributional Justice Perspective. Environ. Sci. Policy 2022, 131, 26–35. [Google Scholar] [CrossRef]
- Elderbrock, E.; Russel, K.; Ko, Y.; Budd, E.; Gonen, L.; Enright, C. Evaluating Urban Green Space Inequity to Promote Distributional Justice in Portland, Oregon. Land 2024, 13, 720. [Google Scholar] [CrossRef]
- Kim, J.; Lee, K.J.; Thapa, B. Visualizing Fairness: Distributional Equity of Urban Green Spaces for Marginalized Groups. J. Environ. Plan. Manag. 2022, 65, 833–851. [Google Scholar] [CrossRef]
- Schlosberg, D. Theorising Environmental Justice: The Expanding Sphere of a Discourse. Environ. Politics 2013, 22, 37–55. [Google Scholar] [CrossRef]
- Kuras, A.; Brell, M.; Rizzi, J.; Burud, I. Hyperspectral and Lidar Data Applied to the Urban Land Cover Machine Learning and Neural-Network-Based Classification: A Review. Remote Sens. 2021, 13, 3393. [Google Scholar] [CrossRef]
- Münzinger, M.; Prechtel, N.; Behnisch, M. Mapping the Urban Forest in Detail: From LiDAR Point Clouds to 3D Tree Models. Urban For. Urban Green. 2022, 74, 127637. [Google Scholar] [CrossRef]
- Liu, W.; Li, H.; Xu, H.; Zhang, X.; Xie, Y. Spatiotemporal Distribution and Driving Factors of Regional Green Spaces during Rapid Urbanization in Nanjing Metropolitan Area, China. Ecol. Indic. 2023, 148, 110058. [Google Scholar] [CrossRef]
- Zhang, Y.; Ge, J.; Bai, X.; Wang, S. Blue-Green Space Seasonal Influence on Land Surface Temperatures across Different Urban Functional Zones: Integrating Random Forest and Geographically Weighted Regression. J. Environ. Manag. 2025, 374, 123975. [Google Scholar] [CrossRef] [PubMed]







| Category | Subcategory | Literature |
|---|---|---|
| Natural and Protected | urban forests | forest (remnant woodland, managed forest, mixed forms) [31] |
| grasslands | grassland [38] | |
| protected green areas | nature [39], nature reserve [40] | |
| Community and Household | community-managed green spaces | community gardens [41], allotment gardens [42] |
| neighborhood and residential green spaces | neighborhood green spaces [32], residential green spaces [43], tenant gardens [44] | |
| private household gardens | house gardens [11], private gardens [10] | |
| Purpose-Specific | agricultural and horticultural green spaces | urban agriculture [45], horticulture [46], cultivated lands [30] |
| institutional green spaces | school greening [33], hospital gardens [47] | |
| zoological and botanical green spaces | zoological gardens [48], botanical gardens [49] | |
| cemeteries | churchyard [29], cemetery [50] | |
| Linear | street greenery | street trees [51], street greenery [34] |
| green verges | roadside green verges, railway green verges [52], airport green verges [18] | |
| Underutilized | brownfields | industrial brownfields [35], post-industrial brownfields [53] |
| vacant lots | vacant lots [54], vacant land [14] | |
| abandoned, ruderal, and derelict areas | abandoned [55], ruderal areas [56], derelict sites [57] |
| Category | Approach | Data source |
|---|---|---|
| Natural and Protected | classification acquisition | OSM |
| Community and Household | classification acquisition | OSM |
| removal of building footprints and roads | OSM | |
| extracting NDVI within the scope of residential areas | NDVI | |
| Purpose-Specific | classification acquisition | OSM |
| extracting NDVI within the scope of medical and educational areas | NDVI | |
| Linear | buffer created by street tree points (6.5 m) | London DataStore |
| extracting NDVI within the buffer created by roads (15 m), railways (25 m), and airport runways (150 m) | NDVI | |
| Underutilized | classification acquisition | OSM |
| extracting NDVI within the scope of construction | NDVI |
| Category | Details in Inner London | Representative Images |
|---|---|---|
| Natural and Protected | nature reserve, conservation, forest, grass | ![]() |
| Community and Household | garden, allotment, community food growing, green space, village green, residential, estate | ![]() |
| Purpose-Specific | golf course, miniature golf, animal enclosure, arboretum, cemetery, churchyard, farmland, flowerbed, greenhouse horticulture, meadow, orchard, plant nursery, planting, medical, educational | ![]() |
| Linear | street greenery (6.5 m for street tree points), green verge (15 m for roads, 25 m for railways, and 150 m for airport runways) | ![]() |
| Underutilized | brownfield (post-industrial brownfield, transport-related brownfield, commercial brownfield, derelict brownfield), dead allotments, underutilized areas | ![]() |
Disclaimer/Publisher’s Note: The statements, opinions and data contained in all publications are solely those of the individual author(s) and contributor(s) and not of MDPI and/or the editor(s). MDPI and/or the editor(s) disclaim responsibility for any injury to people or property resulting from any ideas, methods, instructions or products referred to in the content. |
© 2025 by the authors. Licensee MDPI, Basel, Switzerland. This article is an open access article distributed under the terms and conditions of the Creative Commons Attribution (CC BY) license (https://creativecommons.org/licenses/by/4.0/).
Share and Cite
Wang, T.; Du, X.; Feng, G.; Hu, H. Hidden Greens, Hidden Inequities? Evaluating Accessibility and Spatial Equity of Non-Park Green Spaces in London. Sustainability 2025, 17, 9284. https://doi.org/10.3390/su17209284
Wang T, Du X, Feng G, Hu H. Hidden Greens, Hidden Inequities? Evaluating Accessibility and Spatial Equity of Non-Park Green Spaces in London. Sustainability. 2025; 17(20):9284. https://doi.org/10.3390/su17209284
Chicago/Turabian StyleWang, Tianwen, Xiaofei Du, Guanqing Feng, and Haihui Hu. 2025. "Hidden Greens, Hidden Inequities? Evaluating Accessibility and Spatial Equity of Non-Park Green Spaces in London" Sustainability 17, no. 20: 9284. https://doi.org/10.3390/su17209284
APA StyleWang, T., Du, X., Feng, G., & Hu, H. (2025). Hidden Greens, Hidden Inequities? Evaluating Accessibility and Spatial Equity of Non-Park Green Spaces in London. Sustainability, 17(20), 9284. https://doi.org/10.3390/su17209284






