Algebraic Modeling of Social Systems Evolution: Application to Sustainable Development Strategy
Abstract
1. Introduction
2. Literature Review
2.1. Systemic Approach in Social Sciences
2.2. Sustainable Development Strategy
3. The ALMODES Method
3.1. Problem Structuring
3.2. The ALMODES Method Framework
3.3. Evolution of a Two-Component System–Causal Loop
3.4. Evolution of a Three-Component System
3.5. Scalability
4. Modeling Public Health Dynamics with ALMODES
4.1. Starting Point Model
4.1.1. Estimation of Model Parameters
4.1.2. ALMODES Results
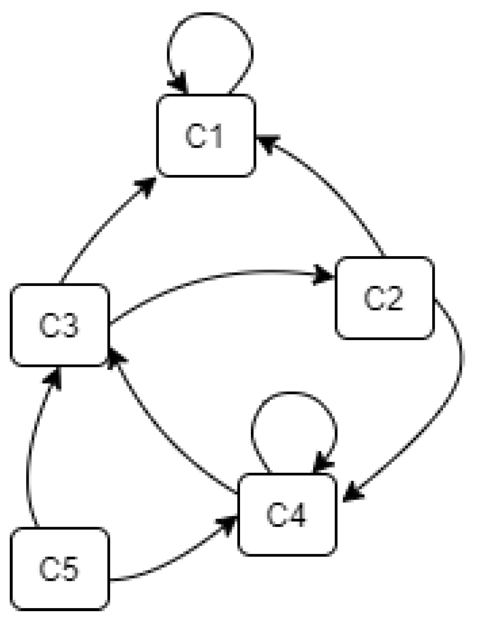
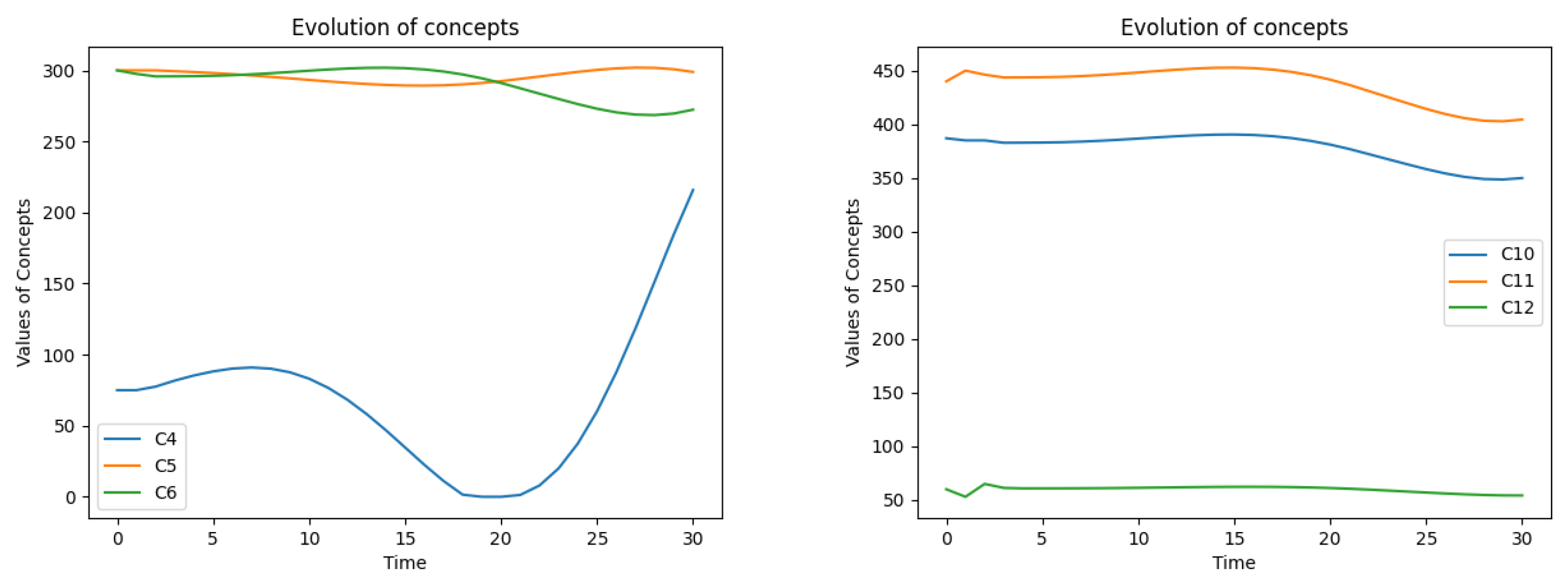
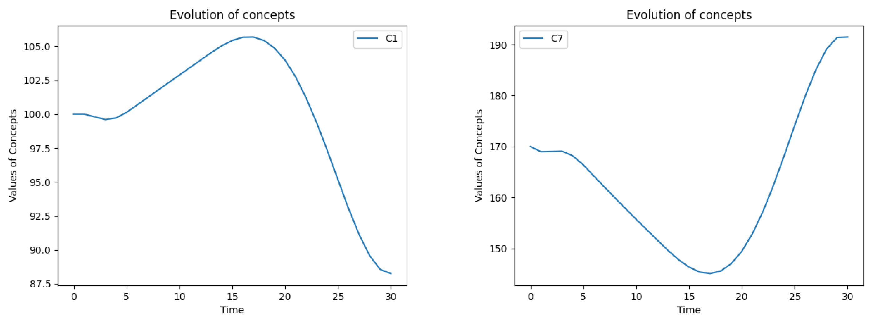
4.2. Overcrowded City Model
5. Applying ALMODES to Sustainable Strategy in a High-Tech Service Sector
- Customer perspective (blue): Number of customers, customer growth, and customer decline.
- Internal Processes Perspective (violet): Service backlog, service demand (increase), and service delivery (decrease).
- Learning and Growth Perspective (red): Number of service employees, employee growth and employee decline. Parameters determine the employees productivity, taking into account spending on salaries, training and incentives.
- Financial Perspective (green): Revenue, expenses, personnel costs, training costs, marketing and sales costs, and net income.
5.1. Customer Perspective
- Concepts
- Number of customers ().The core concept, influenced by customer growth and decline ().
- Customer Growth (). Represents the rate at which new customers are acquired through sales and marketing efforts (). This growth rate is influenced by marketing and sales spending () and the potential customer growth rate ().
- Customer Decline (). Represents the rate at which customers leave due to various factors, primarily long wait times (). This decline rate is influenced by the service backlog () and the customer decline rate factor ().
- Parameters
- Average order size (). The average number of service units ordered by a customer per time period ().
5.2. Internal Processes Perspective
- Concepts
- Service Backlog (). This key metric represents the accumulation of unfulfilled service requests (). It increases with the total service orders (). The backlog decreases as services are delivered (). A high service backlog triggers an increase in the number of service employees ()—more hiring. The rate of this increase is influenced by the backlog level and a parameter .
- Total Service Orders (). It is a product of the number of customers () and the average order size () ().
- Service Delivery (). The quantity of services delivered is directly proportional to the number of service employees () and their average productivity () ().
- Parameters
- Customer decline rate factor (). It measures the influence of service backlog on customer decline rate ().
- Rate of service employment increase (). It is a rate that increases service employee number, proportionally to the service backlog ().
- Unit price (): Together with service delivery it determines the revenue ().
5.3. Learning and Growth Perspective
- Concepts
- Number of Service Employees (): The number of service employees is influenced by both hiring () and attrition () ().
- The Increase in Service Employment (): It is driven by the service backlog () with a parameter hiring rate () ().
- The Decrease in Service Employment (): It is proportional to the current number of employees with a parameter attrition rate () ().
- Parameters
- Average productivity (). The core parameter measuring the performance of service employees ()
- Attrition rate (). It measures the rate of employees leaving the service ().
- Average salary (). It is a unit personal cost per service employee. ().
- Average training cost (). It is a unit cost of professional training per service employee ().
- Average incentives cost (). It covers cost of all kinds of incentives per service employee ().
5.4. Financial Perspective
- Concepts
- Revenue (). It is generated by multiplying the quantity of delivered services () by the average price per service unit () ().
- Marketing and Sales Costs (). The spending dedicated to marketing and sales that influence the growth of customers through the rate () ().
- Salary Costs (). It is calculated by multiplying the number of service employees () by the average salary per employee () ().
- Training Costs (). It is calculated by multiplying the number of service employees () by the average training spending per employee () ()
- incentives cost () It is calculated by multiplying the number of service employees () by the average spending for incentives per employee ().
- Income () is the difference between revenue () and expenses () ().
- Parameters
- Customer growth rate (). It measures rate of customers growth () per unit of marketing and sale spending ()
5.5. Simulation and Analysis
5.5.1. Initial System State
5.5.2. Scenario 1: Increased Hiring
- The maximum backlog decreased to 85, reaching its peak earlier (at 5th month) and returning to zero sooner, in 15th month (Figure 12, left panel).
- The decline in average customer numbers is slightly mitigated, reducing by about 2.5%, from a maximum of 100 to a minimum of 97.5 (Figure 13, left panel).
- Employment rises to a higher level compared to the initial scenario, which contributes to the reduction in backlog (Figure 13, right panel).
- Income drops significantly, falling from an initial value of 60 to 28 units by the 10th month (Figure 12, right panel)
5.5.3. Scenario 2: Increased Training and Incentives Budget
- The backlog begins to decrease immediately, reaching zero as early as the 4th month (Figure 14, left panel).
- The number of customers remains virtually stable, peaking at over 105 in the 17th month (Figure 15, left panel).
- Improved efficiency allows for a reduced workforce, with employee numbers declining to around 145 during the first 17 months (Figure 15, right panel).
- Income rises to about 78 units by the 6th month, then gradually declines to a range of 65–67 units between the 16th and 20th months Figure 14, right panel).
5.5.4. Validation and Sensitivity Analysis
5.5.5. Simulations Summary
6. Conclusions and Future Research Directions
- Accessibility and Transparency: Its foundation in matrix algebra and directed graphs provides an intuitive and transparent approach to model building, making it accessible to practitioners and stakeholders who may not be experts in advanced mathematics.
- Reduced Data Requirements: The method is well-suited for social systems where quantitative data is often scarce, as it can effectively operate using limited, expert-elicited parameters.
- Computational Efficiency: The algebraic mechanism is computationally straightforward, allowing for rapid simulation and sensitivity analysis without the significant processing costs associated with solving complex systems of differential equations.
- Ease of Hybridization: Its discrete-time nature aligns well with other modeling techniques, creating clear opportunities for hybridization with methods like Agent-Based Modeling (ABM) or Discrete-Event Simulation (DES).
- Model Simplification and Validation: The case studies presented in this paper were intentionally simplified to clearly illustrate the method’s mechanics. Consequently, they have not undergone the comprehensive validation required to confirm their accuracy against complex, real-world data, and a direct quantitative comparison with existing models was not possible.
- Reliance on Expert Judgment: The model’s reliance on expert-elicited parameters, while practical, introduces a degree of subjectivity. The framework does not yet include a formal methodology for parameter estimation or validation to mitigate potential bias.
- Assumption of Linearity: While the recursive application of the model can produce nonlinear emergent behavior, the core relationships between system components are defined by linear parameters in the interaction matrix. This may not adequately capture systems governed by inherently strong, nonlinear dynamics.
- Uncertainty and Robustness: To move beyond deterministic analysis, future work should incorporate interval or fuzzy parameters and introduce stochastic draws in the iteration process. This will allow for reporting distributions of outcomes and defining robustness envelopes for policy recommendations.
- Time-Varying Structures: The model can be extended to allow the interaction matrix, , to evolve over time in response to policy phases or external shocks. This would enable the study of system resilience and adaptation under structural breaks.
- Control and Optimization: The framework can be enhanced by embedding multi-objective policy search (e.g., balancing service, social, environmental, and financial goals) and implementing simple model-predictive control to provide rolling decision support.
- Methodological Refinements: Further research should focus on developing structured methodologies for parameter elicitation and exploring extensions that can more explicitly incorporate non-linear relationships into the model’s algebraic core.
Funding
Data Available Statement
Conflicts of Interest
Correction Statement
References
- Nguyen, L.K.N.; Howick, S.; Megiddo, I. A framework for conceptualising hybrid system dynamics and agent-based simulation models. Eur. J. Oper. Res. 2024, 315, 1153–1166. [Google Scholar] [CrossRef]
- Morgan, J.S.; Howick, S.; Belton, V. A toolkit of designs for mixing Discrete Event Simulation and System Dynamics. Eur. J. Oper. Res. 2017, 257, 907–918. [Google Scholar] [CrossRef]
- Chahal, K.; Eldabi, T. Which is more appropriate: A multi-perspective comparision between system dynamics and discrete event simulation. In Proceedings of the European and Mediterranean Conference on Information Systems 2008 (EMCIS2008), Dubai, United Arab Emirates, 25–26 May 2008. [Google Scholar]
- Warfield, J.N. An Assault on Complexity; Battelle, Office of Corporate Communications: Columbus, OH, USA, 1973. [Google Scholar]
- Warfield, J.N. Structuring Complex Systems; Battelle Memorial Institute: Columbus, OH, USA, 1974. [Google Scholar]
- Kumar, R.; Goel, P. Exploring the Domain of Interpretive Structural Modelling (ISM) for Sustainable Future Panorama: A Bibliometric and Content Analysis. Arch. Comput. Methods Eng. 2022, 29, 2781–2810. [Google Scholar] [CrossRef]
- Sreenivasan, A.; Ma, S.; Nedungadi, P.; Sreedharan, V.R.; Raman, R.R. Interpretive Structural Modeling: Research Trends, Linkages to Sustainable Development Goals, and Impact of COVID-19. Sustainability 2023, 15, 4195. [Google Scholar] [CrossRef]
- Gabus, A.; Fontela, E. Perceptions of the World Problematic: Communication Procedure, Communicating with Those Bearing Collective Responsibility; Technical Report; Battelle Geneva Research Centre: Geneva, Switzerland, 1973. [Google Scholar]
- Fontela, E.; Gabus, A. The DEMATEL Observer; Technical Report; Battelle Geneva Research Centre: Geneva, Switzerland, 1976. [Google Scholar]
- Si, S.L.; You, X.Y.; Liu, H.C.; Zhang, P. DEMATEL Technique: A Systematic Review of the State-of-the-Art Literature on Methodologies and Applications. Math. Probl. Eng. 2018, 2018, 3696457. [Google Scholar] [CrossRef]
- Wang, D.; Yan, L.; Ruan, F. A Combined IO–DEMATEL Analysis for Evaluating Sustainable Effects of the Sharing Related Industries Development. Sustainability 2022, 14, 5592. [Google Scholar] [CrossRef]
- Li, Y.; Zhao, G.; Wu, P.; Qiu, J. An Integrated Gray DEMATEL and ANP Method for Evaluating the Green Mining Performance of Underground Gold Mines. Sustainability 2022, 14, 6812. [Google Scholar] [CrossRef]
- Warfield, J.N. Binary Matrices in System Modeling. IEEE Trans. Syst. Man Cybern. 1973, SMC-3, 441–449. [Google Scholar]
- Michnik, J. Weighted Influence Non-linear Gauge System (WINGS)–An analysis method for the systems of interrelated components. Eur. J. Oper. Res. 2013, 228, 536–544. [Google Scholar] [CrossRef]
- Adamus-Matuszyńska, A.; Michnik, J.; Polok, G. A Systemic Approach to City Image Building. The Case of Katowice City. Sustainability 2019, 11, 4470. [Google Scholar] [CrossRef]
- Kaviani, M.A.; Tavana, M.; Kumar, A.; Michnik, J.; Niknam, R.; Campos, E.A.R.D. An integrated framework for evaluating the barriers to successful implementation of reverse logistics in the automotive industry. J. Clean. Prod. 2020, 272, 122714. [Google Scholar] [CrossRef]
- Radziszewska-Zielina, E.; Śladowski, G. Supporting the selection of a variant of the adaptation of a historical building with the use of fuzzy modelling and structural analysis. J. Cult. Herit. 2017, 26, 53–63. [Google Scholar] [CrossRef]
- Michnik, J.; Grabowski, A. Modeling Uncertainty in the Wings Method Using Interval Arithmetic. Int. J. Inf. Technol. Decis. Mak. 2020, 19, 221–240. [Google Scholar] [CrossRef]
- Wang, M.; Tian, Y.; Zhang, K. The fuzzy Weighted Influence Nonlinear Gauge System method extended with D numbers and MICMAC. Complex Intell. Syst. 2023, 9, 719–731. [Google Scholar] [CrossRef]
- Wang, M.; Zhang, Y.; Tian, Y.; Zhang, K. An integrated rough-fuzzy WINGS-ISM method with an application in ASSCM. Expert Syst. Appl. 2023, 212, 118843. [Google Scholar] [CrossRef] [PubMed]
- Zhou, C.; Song, W.; Wang, H.; Wang, L. Identifying hidden critical elements in interconnected systems: An influence dynamics analysis approach considering structural constraints. Eur. J. Oper. Res. 2025, 327, 592–605. [Google Scholar] [CrossRef]
- Kosko, B. Fuzzy cognitive maps. Int. J. Man-Mach. Stud. 1986, 24, 65–75. [Google Scholar] [CrossRef]
- Papageorgiou, E.I. (Ed.) Fuzzy Cognitive Maps for Applied Sciences and Engineering: From Fundamentals to Extensions and Learning Algorithms, 1st ed.; Springer: Berlin/Heidelberg, Germany, 2013. [Google Scholar]
- Jiya, E.; Georgina, O.N.; Emmanuel, O.A. A Review of Fuzzy Cognitive Maps Extensions and Learning. J. Inf. Syst. Inform. 2023, 5, 300–323. [Google Scholar] [CrossRef]
- Karatzinis, G.D.; Boutalis, Y.S. A Review Study of Fuzzy Cognitive Maps in Engineering: Applications, Insights, and Future Directions. Eng 2025, 6, 37. [Google Scholar] [CrossRef]
- Godet, M. From Anticipation to Action: A Handbook of Strategic Prospective; United Nations Educational: Paris, France, 1994. [Google Scholar]
- Ali, S.S. Green Manufacturing: An Assessment of Enablers’ Framework Using ISM-MICMAC Analysis. Found. Comput. Decis. Sci. 2022, 47, 271–290. [Google Scholar] [CrossRef]
- Primadasa, R.; Azzat, N.N.; Kusrini, E.; Mansur, A.; Masudin, I. Enhancing Circular Supply Chain Management (CSCM) in Manufacturing SMEs: An Integrated CODAS-ISM-MICMAC Approach to Big Data Analytics Capability. Process Integr. Optim. Sustain. 2025, 9, 695–715. [Google Scholar] [CrossRef]
- Goel, P.; Kumar, R.; Banga, H.K.; Kaur, S.; Kumar, R.; Pimenov, D.Y.; Giasin, K. Deployment of Interpretive Structural Modeling in Barriers to Industry 4.0: A Case of Small and Medium Enterprises. J. Risk Financ. Manag. 2022, 15, 171. [Google Scholar] [CrossRef]
- Quynh, T.T.H. Key strategies to advancing Net-Zero Carbon procurement: An ISM-MICMAC approach. J. Mater. Constr. 2025, 15, 147–155. [Google Scholar] [CrossRef]
- Forrester, J.W. Industrial Dynamics; M.I.T. Press: Cambridge, MA, USA, 1961. [Google Scholar]
- Forrester, J.W. System dynamics, systems thinking, and soft OR. Syst. Dyn. Rev. 1994, 10, 245–256. [Google Scholar] [CrossRef]
- Sterman, J. Business Dynamics: Systems Thinking and Modeling for a Complex World; Irwin/McGraw-Hill: Boston, MA, USA, 2000. [Google Scholar]
- Morecroft, J.D.W. Strategic Modelling and Business Dynamics, + Website: A Feedback Systems Approach, 2nd ed.; Wiley: Hoboken, NJ, USA, 2015. [Google Scholar]
- Naeem, K.; Zghibi, A.; Elomri, A.; Mazzoni, A.; Triki, C. A Literature Review on System Dynamics Modeling for Sustainable Management of Water Supply and Demand. Sustainability 2023, 15, 6826. [Google Scholar] [CrossRef]
- Ding, Z.; Gong, W.; Li, S.; Wu, Z. System Dynamics versus Agent-Based Modeling: A Review of Complexity Simulation in Construction Waste Management. Sustainability 2018, 10, 2484. [Google Scholar] [CrossRef]
- Fonseca, L.; Carvalho, F.; Santos, G. Strategic CSR: Framework for Sustainability Through Management Systems Standards—Implementing and Disclosing Sustainable Development Goals and Results. Sustainability 2023, 15, 11904. [Google Scholar] [CrossRef]
- Giddings, B.; Hopwood, B.; O’Brien, G. Environment, economy and society: Fitting them together into sustainable development. Sustain. Dev. 2002, 10, 187–196. [Google Scholar] [CrossRef]
- OECD. Strategies for Sustainable Development, the DAC Guidelines; Technical Report; OECD Publishing: Paris, France, 2001. [Google Scholar]
- Biermann, F.; Hickmann, T.; Sénit, C.A.; Beisheim, M.; Bernstein, S.; Chasek, P.; Grob, L.; Kim, R.E.; Kotzé, L.J.; Nilsson, M.; et al. Scientific evidence on the political impact of the Sustainable Development Goals. Nat. Sustain. 2022, 5, 795–800. [Google Scholar] [CrossRef]
- Mishra, M.; Desul, S.; Santos, C.A.G.; Mishra, S.K.; Kamal, A.H.M.; Goswami, S.; Kalumba, A.M.; Biswal, R.; da Silva, R.M.; dos Santos, C.A.C.; et al. A bibliometric analysis of sustainable development goals (SDGs): A review of progress, challenges, and opportunities. Environ. Dev. Sustain. 2024, 26, 11101–11143. [Google Scholar] [CrossRef]
- Krellenberg, K.; Bergsträßer, H.; Bykova, D.; Kress, N.; Tyndall, K. Urban Sustainability Strategies Guided by the SDGs—A Tale of Four Cities. Sustainability 2019, 11, 1116. [Google Scholar] [CrossRef]
- Salvador, M.; Sancho, D. The Role of Local Government in the Drive for Sustainable Development Public Policies: An Analytical Framework Based on Institutional Capacities. Sustainability 2021, 13, 5978. [Google Scholar] [CrossRef]
- Teixeira, T.B.; Battistelle, R.A.G.; Teixeira, A.A.; Mariano, E.B.; Moraes, T.E.C. The Sustainable Development Goals Implementation: Case Study in a Pioneer Brazilian Municipality. Sustainability 2022, 14, 12746. [Google Scholar] [CrossRef]
- Kumar, P.; Sahani, J.; Corada Perez, K.; Ahlawat, A.; Andrade, M.d.F.; Athanassiadou, M.; Cao, S.J.; Collins, L.; Dey, S.; Di Sabatino, S.; et al. Urban greening for climate resilient and sustainable cities: Grand challenges and opportunities. Front. Sustain. Cities 2025, 7, 1595280. [Google Scholar] [CrossRef]
- Richiedei, A.; Gollini, I.; Congiu, T.; Ostanello, D. Territorializing and Monitoring of Sustainable Development Goals in Italy: An Overview. Sustainability 2022, 14, 3056. [Google Scholar] [CrossRef]
- McGill, E.; Er, V.; Penney, T.; Egan, M.; White, M.; Meier, P.; Whitehead, M.; Lock, K.; Anderson de Cuevas, R.; Smith, R.; et al. Evaluation of public health interventions from a complex systems perspective: A research methods review. Soc. Sci. Med. 2021, 272, 113697. [Google Scholar] [CrossRef]
- Mansouri, M.A.; Garcia, L.; Kee, F.; Bradley, D.T. Systems-Oriented Modelling Methods in Preventing and Controlling Emerging Infectious Diseases in the Context of Healthcare Policy: A Scoping Review. Systems 2022, 10, 182. [Google Scholar] [CrossRef]
- Rehman, A.U.; Usmani, Y.S.; Mian, S.H.; Abidi, M.H.; Alkhalefah, H. Simulation and Goal Programming Approach to Improve Public Hospital Emergency Department Resource Allocation. Systems 2023, 11, 467. [Google Scholar] [CrossRef]
- Zhang, J.; Huang, J.; Wang, T.; Zhao, J. Dynamic Optimization of Emergency Logistics for Major Epidemic Considering Demand Urgency. Systems 2023, 11, 303. [Google Scholar] [CrossRef]
- Maruyama, M. THE SECOND CYBERNETICS Deviation-Amplifying Mutual Causal Processes. Am. Sci. 1963, 5, 164–179. [Google Scholar]
- Tsadiras, A.K.; Margaritis, K.G. Cognitive mapping and certainty neuron fuzzy cognitive maps. Inf. Sci. 1997, 101, 109–130. [Google Scholar] [CrossRef]
- Sarmiento, I.; Cockcroft, A.; Dion, A.; Belaid, L.; Silver, H.; Pizarro, K.; Pimentel, J.; Tratt, E.; Skerritt, L.; Ghadirian, M.Z.; et al. Fuzzy cognitive mapping in participatory research and decision making: A practice review. Arch. Public Health 2024, 82, 76. [Google Scholar] [CrossRef] [PubMed]
- Currie, P.; Radmore, J.; Musango, J.K.; Brent, A.C. Sanitation technology options in informal settlement: A system dynamics approach. In Proceedings of the 2014 International System Dynamics Conference, Delft, The Netherlands, 20–24 July 2014. [Google Scholar]
- Falcone, P.M.; De Rosa, S.P. Use of fuzzy cognitive maps to develop policy strategies for the optimization of municipal waste management: A case study of the land of fires (Italy). Land Use Policy 2020, 96, 104680. [Google Scholar] [CrossRef]
- Parreño, L.; Pablo-Martí, F. Fuzzy cognitive maps for municipal governance improvement. PLoS ONE 2024, 19, e0294962. [Google Scholar] [CrossRef]
- Peretz, H. Sustainable Human Resource Management and Employees’ Performance: The Impact of National Culture. Sustainability 2024, 16, 7281. [Google Scholar] [CrossRef]
- Madero-Gómez, S.M.; Rubio Leal, Y.L.; Olivas-Luján, M.; Yusliza, M.Y. Companies Could Benefit When They Focus on Employee Wellbeing and the Environment: A Systematic Review of Sustainable Human Resource Management. Sustainability 2023, 15, 5435. [Google Scholar] [CrossRef]
- Florek-Paszkowska, A.; Hoyos-Vallejo, C.A. Going green to keep talent: Exploring the relationship between sustainable business practices and turnover intention. J. Entrep. Manag. Innov. 2023, 19, 87–128. [Google Scholar] [CrossRef]
- Kotłowska, A. The Shortened Working Week and Its Impact on Workplace Sustainability. Eduk. Ekon. Menedż. Probl. Innow. Proj. 2024, 71, 69–97. [Google Scholar] [CrossRef]
- Michnik, J. Algebraic Modeling of Social Systems Evolution–ALMODES. In Proceedings of the XLVIII Symposium on Operational Research—SYM-OP-IS 2021, Banja Koviljača, Serbia, 20–23 September 2021; pp. 641–646. Available online: https://symopis2022.ekof.bg.ac.rs/download/istorijat/XLVIII_Simpozijum_o_operacionim_istrazivanjima.pdf (accessed on 2 September 2025).
- Kaplan, R.S.; Norton, D.P. The Balanced Scorecard—Measures That Drive Performance. Harvard Business Review, January–February 1992. [Google Scholar]
- Kaplan, R.S. Conceptual Foundations of the Balanced Scorecard; Harvard Business School Accounting & Management Unit Working Paper 10-074; Harvard Business School: Boston, MA, USA, 2010. [Google Scholar]
- Kumar, S.; Lim, W.M.; Sureka, R.; Jabbour, C.J.C.; Bamel, U. Balanced scorecard: Trends, developments, and future directions. Rev. Manag. Sci. 2023, 18, 2397–2439. [Google Scholar] [CrossRef]
- Madsen, D.O. Balanced Scorecard: History, Implementation, and Impact. Encyclopedia 2025, 5, 39. [Google Scholar] [CrossRef]
- Banaś, D.; Michnik, J.; Targiel, K. System modeling and control of organization business processes by use of balanced scorecard and system dynamics. Control Cybern. 2016, 45, 185–205. [Google Scholar]
- Sargent, R.G. Verification and validation of simulation models. In Proceedings of the 2010 Winter Simulation Conference, Baltimore, MD, USA, 5–8 December 2010; pp. 166–183. [Google Scholar] [CrossRef]



















| Concept | Unit | Initial Value |
|---|---|---|
| C1 Population of a City | [100,000] | 0.5 |
| C2 Migration into a City | [10,000] | 0.3 |
| C3 Modernization | [conventional] | 1 |
| C4 Garbage per Area | [25,000 t] | 1 |
| C5 Sanitation Facilities | [conventional] | 1 |
| C6 Number of Diseases per 1000 Residents | [100] | 1 |
| C7 Bacteria per Area | [conventional] | 1 |
Disclaimer/Publisher’s Note: The statements, opinions and data contained in all publications are solely those of the individual author(s) and contributor(s) and not of MDPI and/or the editor(s). MDPI and/or the editor(s) disclaim responsibility for any injury to people or property resulting from any ideas, methods, instructions or products referred to in the content. |
© 2025 by the author. Licensee MDPI, Basel, Switzerland. This article is an open access article distributed under the terms and conditions of the Creative Commons Attribution (CC BY) license (https://creativecommons.org/licenses/by/4.0/).
Share and Cite
Michnik, J. Algebraic Modeling of Social Systems Evolution: Application to Sustainable Development Strategy. Sustainability 2025, 17, 8192. https://doi.org/10.3390/su17188192
Michnik J. Algebraic Modeling of Social Systems Evolution: Application to Sustainable Development Strategy. Sustainability. 2025; 17(18):8192. https://doi.org/10.3390/su17188192
Chicago/Turabian StyleMichnik, Jerzy. 2025. "Algebraic Modeling of Social Systems Evolution: Application to Sustainable Development Strategy" Sustainability 17, no. 18: 8192. https://doi.org/10.3390/su17188192
APA StyleMichnik, J. (2025). Algebraic Modeling of Social Systems Evolution: Application to Sustainable Development Strategy. Sustainability, 17(18), 8192. https://doi.org/10.3390/su17188192

