Abstract
The growing need for sustainable and resource-efficient materials increasingly promotes the use of block-glued laminated timber (glulam) in buildings and civil structures such as bridges. While timber is renewable and sustainable, the formaldehyde-based adhesives commonly used in glulam raise environmental and health concerns. This study addresses this gap by presenting one of the first combined life cycle assessment (LCA) and life cycle cost (LCC) analyses of bio-based versus synthetic adhesives for block-glued glulam. A pedestrian bridge in Zwolle, the Netherlands, serves as a case study. Three synthetic adhesives—melamine-urea formaldehyde (MUF), phenol resorcinol formaldehyde (PRF), and phenol formaldehyde (PF)—and two bio-based alternatives—lignin phenol glyoxal (LPG) and tannin-furfuryl alcohol formaldehyde (TFF)—are analyzed. The LCA covers raw material sourcing, transport, and end-of-life scenarios, with impacts assessed in accordance with EN 15804+A2 using Earthster and the Ecoinvent v3.11 database. The proposed method integrates environmental and economic assessments, with results presented both per kilogram of adhesive and per cubic meter of glulam to ensure comparability. Results show that synthetic adhesives have higher environmental impacts than bio-based adhesives: the carbon footprint of 1 kg of adhesive averages 0.60 kg CO2-eq for bio-based adhesives and 2.01 kg CO2-eq for synthetic adhesives. LCC are similar across adhesives, averaging EUR 400 per m3 of glulam. These findings suggest that bio-based adhesives can compete environmentally and economically, but their limited availability and uncertain long-term performance remain barriers. Overall, the study highlights trade-offs between sustainability and structural reliability and provides guidance for sustainable adhesive selection in timber engineering.
1. Introduction
The construction sector is facing a shift in paradigm, driven by the climate crisis and the need to reduce environmental impacts while optimizing resource efficiency due to the scarcity of some raw materials. This sector is responsible for 37% of the greenhouse gases emitted globally [1] and for over 35% of the total waste generation in the European Union [2]. In this context, engineered wood products (EWPs), particularly glued laminated timber (glulam, in short), have gained interest due to their carbon-sequestering potential during growth and renewable nature. Glulam is widely used for long-span beams and curved structures in interior and outdoor applications, while block-glued glulam further extends dimensional and load-carrying capacity limits by combining multiple glulam elements through adhesive joinery. Block-glued glulam beams can be up to 3 m wide and 1.5 m deep and span 60 m, making them interesting for wide-span trusses in buildings and for arches and girders for bridges [3].
Traditional adhesives (also referred to as resins and binders) associated with the production of EWPs make use of petrochemicals like phenol, which lead to formaldehyde emissions and then to environmental and health concerns. These are mainly melamine-urea formaldehyde (MUF), phenol formaldehyde (PF), and phenol resorcinol formaldehyde (PRF). Their use is supported by low price and good physico-chemical properties, including fire and water resistance, solubility, and tensile strength [4,5,6]. However, adverse effects of their use include the release of volatile organic compounds (VOCs) and formaldehyde, which can lead to issues ranging from irritation to cancer [7]. This puts forward the need for sustainable alternatives that minimize the environmental and health impacts without hindering the performance of block-glued glulam structural elements.
Bio-based adhesives (herein referred to as bio-adhesives) are emerging alternatives derived from sources such as lignin and tannin that reduce or substitute formaldehyde and phenol content from adhesive formulation. Despite this, there is a lack of understanding of the feasibility of applying these alternatives in the industry. This is mainly due to the degree of maturity of their technology. In terms of technology readiness level (TRL), bio-adhesives can be placed at the development phase, i.e., at TRL4 or TRL5 (with TRL9 being commercially and technologically ready), corresponding to the implementation and test of the prototype at a superior lab-scale [8,9].
Lignin is a by-product from pulping processes and other non-woody biomass (i.e., Miscanthus) with a natural phenolic structure that acts as a binder between cellulose and hemicellulose chains, which provide strength, reactivity, and rigidity, allowing partial substitution of phenol [10,11]. It is the second most abundant natural polymer and can be extracted in several ways, leading to different lignin compositions, namely, sulfur-containing kraft lignin and sulfur-free soda lignin [12]. Its underutilization of lignin in alternative uses to bioenergy in pulp mills results in severe waste of resources and pollution, making it appealing for adhesive production [13]. Conversely, their variability per composition and source poses a challenge for raw material requirements per application. Research has focused on exploring hybrid lignin-formaldehyde-based adhesives and formaldehyde-free formulations that improve environmental performance by reducing or substituting formaldehyde, phenol, or melamine in formulations like lignin phenol formaldehyde or lignin phenol glyoxal [11]. Lignin phenol glyoxal (LPG), where lignin can substitute up to 30% of phenol and glyoxal can replace formaldehyde, presents promising physical properties comparable to PF [14].
Condensed tannin is derived from wood bark and plants and is a strong alternative to phenol due to the phenolic rings in its structure [15]. Due to their heterogenous nature, extraction is the main bottleneck of tannin recovery. This occurs through solid–liquid extraction—a traditional technique where the interaction of the raw material and solvent leads to tannin isolation—or supercritical fluid extraction based on a critical point of pressure and temperature, involving higher costs but reduced extraction times, among others [16]. Although multiple formaldehyde-free formulations have been evaluated, the high viscosity of these adhesives and poor water resistance limit their use but can be improved using crosslinkers or hybrid synthesis [17]. The hybrid formulation tannin-furfuryl alcohol formaldehyde (TFF) presents similar physical properties to PF [18]. Furfuryl alcohol derived from waste biomass from products such as sugar cane, corncob, and bagasse can partially replace formaldehyde in addition to increasing thermal stability [19,20,21].
Life cycle assessment (LCA) and life cycle cost (LCC) methodologies quantify environmental and economic impacts across a life cycle of a product, i.e., from raw material extraction to end-of-life disposal and waste processing [22,23,24,25]. To support sustainable practices and policy, for example, in the Netherlands, the environmental cost indicator (ECI) has been introduced as a single-score metric that monetizes environmental impacts based on LCA results. By expressing these impacts in money (e.g., euros), the ECI allows the mutual comparison of environmental performance, enabling the integration of sustainability and cost-based decision-making.
In this context, the cradle-to-gate impacts of 1 kg of traditional formaldehyde-based adhesives have been assessed by several studies for different applications and regional contexts. Wilson [26] concluded that the global warming potential (GWP) of each adhesive varies per type: PF had the lowest carbon footprint (1.322 kg CO2 equivalents), followed by PRF (1.394 kg CO2-eq) and MUF (1.775 kg CO2-eq). Hellweg & Messmer [27] conclude that MUF has overall better environmental performance than PF and PRF. Yang & Rosentrater argues that PF’s GWP is higher (2.88 kg CO2-eq per kg) [7]. While discrepancies between studies might be due to differences in scope or data used (obsolescence), there is a lack of consensus on which adhesive leads to greater environmental impacts, pointing out the gap in research. This is especially notable for the emerging bio-adhesives, with little to no data present on the environmental or cost impacts of the product and comparative studies with synthetic adhesives. In application, environmental product declarations (EPDs) state that adhesives are about 1–3% of 1 m3 of glulam [28]. There is no agreement on the actual impact of adhesives on the life cycle of the product even though it is suspected to be an environmental hotspot [27].
In this research, LCA and LCC are used to evaluate and compare environmental and economic effects of bio-adhesives and traditional synthetic adhesives that are in the production of block-glued glulam. The aim of this study is to quantify the burdens associated with the cradle-to-gate production of 1 kg of synthetic and bio-based adhesives and 1 m3 of block-glued glulam per adhesive. Among the traditional synthetic adhesives, MUF, PRF, and PF are selected for comparison, while the two bio-adhesives chosen are LPG and TFF. Findings provide insights into the strengths and weaknesses of each adhesive and offer recommendations for the selection of sustainable adhesives for block-glued glulam, contributing to the transition towards sustainable construction practices. Building on current knowledge gaps, this study makes a novel contribution by providing one of the first combined LCA and LCC analyses of bio-based and synthetic adhesives in block-glued glulam. To our knowledge, it is the first to directly compare their environmental and economic performance in a real-world case (Zwolle pedestrian bridge). In doing so, it clarifies the contribution of adhesives to glulam impacts, highlights trade-offs between sustainability and structural performance, and offers evidence to support sustainable design and material selection in timber engineering.
2. Materials and Methods
The LCA study is carried out in accordance with guidelines outlined in ISO 14040:2006 and ISO 14044:2006 [22,23]. The impact assessment method is based on NEN-EN 15804+A2:2019 [24], which translates inventory data into standardized environmental impacts. The analysis is performed using the LCA software “Earthster” with database Ecoinvent version 3.11. The ECI scores and LCC of economic flows are then computed. The LCC analysis is based on the net present value (NPV) and Equations (1) and (2):
where
- C0 is the initial capital cost (i.e., initial cost);
- Ct is the present value of all recurring costs (i.e., operation, maintenance, replacement, and disposal costs) in year t;
- t is the year of cash flow;
- i is the nominal discount rate;
- k is the inflation rate.
2.1. Goal and Scope Definition
For the purpose of the study, the environmental effects of the production of 1 kg of MUF, PRF, PF, LPG, and TFF adhesive are assessed and compared to each other. The rationale for this choice is their applicability to block-glued glulam according to EN 301:2017 and EN 14080:2013 and suitability to limited or full outdoor exposure [29,30]. Subsequently, the economic and environmental performance of these adhesives is assessed based on their application in 1 m3 of glulam. The block-glued glulam and glulam studied are produced by Schaffitzel for the girders of the Zwolle Passarella footbridge [31], with component length being up to 45 m and width of 0.1 to 0.26 m for glulam elements and block-glued up to 2.5 m width. Different end-of-life scenarios are considered based on product category rules (PCR) from EN 16485:2023, which provide instructions to carry out the LCA of certain products in terms of the system boundaries, impact categories addressed, and the definition of end-of-life options [32].
2.2. Functional Unit
The first functional unit (FU1) is 1 kg of adhesive, and the second functional unit (FU2) is 1 m3 of glulam per adhesive choice with a reference lifetime of 100 years. The 100-year lifespan is based on the technical lifespan of the Zwolle Passarella block-glued glulam girders, which are covered and fall into usage class 2 (EN 335:2007) [33]. Details regarding the composition of the adhesives and glulam are described in the LCA and LCC inventory sections.
2.3. System Boundaries and Production System
2.3.1. Adhesive
The system boundary for the assessment of adhesive production is set to cradle-to-gate (modules A1–A3). This includes the extraction processes of foreground raw material (A1), delivery of raw materials to the factory for their processing (A2), and production at gate location (A3) [24]. The assessment does not include factory infrastructure, packing, or application, use, or disposal of the product. A “black-box” approach is taken for the assessment, considering in- and outflows for the adhesive production process described above. Figure 1 illustrates the system boundaries for all the considered adhesives. The main differences between adhesives lie in the material inputs.
Figure 1.
Cradle-to-gate system boundaries of adhesives (left) and composition of adhesives (right).
The production process (gate-to-gate) is similar for MUF, PF, and PRF, starting with the conversion of methanol by catalytic oxidation to produce formaldehyde in a reactor. Formaldehyde is later reacted with phenol, melamine, urea, resorcinol, or a combination of these. This reaction process involves heating the mix while controlling temperature, pH, and molar ratio; continuous refluxing at a temperature of 45–60 °C for 30 min; then, adding the pH-controlling substance (sodium hydroxide) and increasing temperatures to about 85 °C for 45–60 min. Finally, the adhesive is allowed to cool down to 60 °C for 30 min. The average processing time is about 2–3 h. Little waste is generated from adhesive production as excess water is recycled within the production process [26,34,35].
The production of bio-based adhesives has similar complexity. For LPG, the lignin, phenol, ethanol, and sodium hydroxide are heated and mixed with continuous stirring at 80 °C for 10 min. Next, the glyoxal solution is added dropwise and refluxed for 2 h [14]. Conversely, for TFF, the formaldehyde, furfuryl alcohol, and distilled water are mixed at 60 °C for 30 min with a magnetic stirrer. Acetic acid adjusts pH, and tannin is added at the same temperature, and this mixture is stirred for another 30 min [18].
2.3.2. Glued Laminated Timber (Glulam)
The system boundary for the assessment of 1 m3 of glulam is cradle-to-gate with options, modules C2–C4, and module D as per NEN-EN 15804+A2:2019 [24]. Hence, the product stage phases (A1-A2-A3), distribution (A4), end-of-life (EOL, C2-C3-C4), and potential environmental benefits from the recovered raw materials after the end-of-life waste process (D) are considered. Biogenic carbon is considered a material inherent property and is released at the EOL.
The extraction of raw materials (A1) and distribution to gate (A2) includes forestry management operations, logging, sawing, and kiln-drying of logs, along with the extraction and transport of adhesives. The lumber is transported to the gate facility to be manufactured. This process (A3) consists of the initial trimming of kiln-dried softwood from sawmills, finger-jointing, face-bonding, pressing and curing, and finishing of glulam. Module B is excluded from this analysis, as the glulam structure is protected by the deck section, and the material does not require extensive maintenance if the structure is inspected yearly in the required lifespan of 100 years. This assumption has been taken on other exterior bridges such as the Pieter Smitbrug in Groningen (assumes a lifespan of 80 years due to coverage) [36].
Several EOL scenarios are considered: the first scenario is applicable to glulam produced from all adhesive types and is 100% incineration for energy recovery after glulam elements have been processed into wood chips, with an assumption of an efficiency rate above 60%. This is the most common treatment among verified EPDs for glulam [28]. The next scenarios are considered only for the bio-adhesives since these are treated as untreated wood: the mechanical recycling (downcycling) of wood chips and the reuse of glulam beams into smaller beams. These are not applied to synthetic adhesive beams because recycling routes are more limited due to the residual formaldehyde content and thermosetting nature of these adhesives. Even though MUF beams could be treated to remove up to 80% of the adhesive, the treatment leads to a degradation of the wood fiber, affecting the morphology and properties of the wood, making it unfit for reuse or recycling [37,38]. The avoided impact of the virgin product in a new life cycle is counted as a benefit; specifically, the impacts from raw material extraction of new wood chips or beams are subtracted. Figure 2 illustrates the system boundary of glulam.
Figure 2.
Glued laminated timber system boundary.
2.4. LCA Inventory
The life cycle inventory (LCI) data for the traditional adhesives (MUF, PF, PRF) is based on or adapted from Wilson [26], where raw material use, emissions, and energy use at six plants in the USA for MUF, thirteen plants for PF, and eight plants for PRF production were collected. The transportation of raw materials to the gate site is computed by selecting market activities instead of raw materials in the LCI. For bio-adhesives, the formulation of LPG at 53.7% solids is based on Hussin et al. [14], while the formulation of TFF at 47% solids is derived from Zhang et al. [18]. Both studies describe the production process of the adhesive; however, they lack certain information regarding energy consumption and output emissions of the production process because the production of bio-adhesive is still in its pilot stages commercially and formulations are often confidential.
Due to data limitations, two assumptions are necessary. The energy consumption and water use for bio-adhesives are based on the production of MUF, PF, and PRF, since these adhesives present similar production times and temperatures. To be conservative, the production of LPG assumes the average energy consumption of traditional adhesives. However, since the TFF requires considerably less time, 85% of this consumption is assumed. The second assumption is related to output emissions: according to Tyagi & Sarma [39], lignin- and tannin-derived products have the potential to reduce emissions between 10 and 90%. As this is a broad range that is dependent on factors such as energy type and allocation, a conservative assumption of reduction of 30% is taken. It is acknowledged that these represent the largest sources of uncertainty in the modeling of bio-adhesives; however, assuming negligible energy input or emissions would introduce even greater uncertainties. To quantify the influence of these assumptions on the results, a sensitivity analysis is conducted, varying the assumed energy consumption and output emission by ±30% and ±50% from the base case values. See Table 1 and Table 2 for the complete inventory.
Table 1.
Inputs to produce 1 kg of adhesive at stated solids in their relative %.
Table 2.
Energy inputs and outputs to produce 1 kg of adhesive at stated solids.
2.5. LCC Inventory
The complementary LCC shares system boundary, goal, and scope with the LCA; however, this is only performed for 1 m3 of glued laminated timber. This is because the modeling of 1 kg does not consider EOL scenarios, making a complete LCC analysis irrelevant. It is important to state the relevant assumptions and limitations taken in the LCC analysis of 1 m3 glulam with a time horizon of 100 years. Similar to the LCA, the LCC analysis excludes module B but includes module C, while potential savings from module D are accounted for separately. The cost calculations are based on a 4.0% inflation rate and 4.3% discount [40,41]. At the time of the study, USD 1 is equal to EUR 0.88, and the price of electricity in the Netherlands (non-domestic) is 0.196 EUR/kWh [42,43].
The modeling of adhesive costs is based on their formulation as presented in the LCA. The rationale of this decision is the lack of publicly available data and response from contractors. The secondary data comes mainly from price indexes from data quality indicator C or above (multiple credible sources with no major statistical inconsistencies). This is the main limitation of the LCC analysis. Past prices set the pricing of adhesives to range from 2 to 4 EUR/kg, which is about EUR 1–2 more than the adhesive price based on formulation [27]. Hence, there is approximately EUR ±30 uncertainty in the results. In terms of labor, 8 workers are required for the manufacturing of the beams [3]. The transport for modules A4 and C2 is modeled based on the assumption that a EURO6 truck consumes 0.047 kg/ton×km of diesel fuel and a driver per trip [44]. The complete inventory can be found in Appendix B Table A5.
Modeling modules C3-C4 and D requires other assumptions. First, for scenarios EOL1 and EOL2, the energy consumption of wood chipping is taken as 12 kWh/ton [45]. The benefit from incinerating woodchips is based on their net calorific value by mass (3.5 kWh/kg) and price per biomass kWh produced (0.12 USD/kWh) [46,47]. The benefit for EOL2 of wood chip sales is calculated from the price index of wood chips from sawmills, 143.76 USD/ton [48]. For EOL3, it is assumed that the same amount of electricity as before is used for the refurbishing of the glulam beams. The benefits are calculated from the material costs previously calculated to produce the glulam beams.
The omission of potential usage costs, the dynamic nature of the discounting and inflation rates and overall market prices, and time–location dependencies are the main limitations of the LCC methodology [49]. Additionally, the price indexes are taken from the European context without specifications on the national context; hence, they should be indicative rather than precise. The following sections present results, recommendations, and limitations.
3. Results
3.1. Life Cycle Assessment (LCA) Findings
3.1.1. Environmental Impact Assessment per Adhesive
The following section presents an assessment of each adhesive per cycle stage. Module A3 is divided into output emissions and energy inputs, as it allows insights into the production phase (see Appendix C for the outcomes of each adhesive). Figure 3 shows that raw material sourcing (A1–A2) has the largest impact across all categories for MUF adhesive, accounting for 98% of the total A1–A3 impacts on average. This is logical, as the background processes for the input materials involve complex, energy-intensive chemical reactions, with methanol, sodium hydroxide, and formic acid contributing most to the A1–A2 modules. The contribution of output emissions during manufacturing is minimal for most impact categories; however, this is particularly evident for categories such as POPC, ETP-fw, and GWP. These results are consistent with the fact that output air emissions are mostly greenhouse gases or volatile organic compounds (VOCs) like formaldehyde that react with the atmosphere, creating smog, or water emissions affecting freshwater ecosystems, including suspended solids and organic compounds that impact their biochemical oxygen demand (BOD). The energy contribution is within a range of 0.2–0.8% for all categories, except in categories such as OPD, POPC, or ADP-fossils, in which it contributes 2–3%. This is consistent with the use and the impact of natural gas in these categories.
Figure 3.
MUF environmental impact ratios (%) per phase.
PRF shows a similar distribution of impacts, yet the contribution of output emissions is lower than that of MUF overall except for the ecotoxicity of freshwater, with a 4.8% contribution (see Figure 4). This can be attributed to the influence of phenol water emissions and the magnitude of BOD and formaldehyde emissions since their input is larger for PRF than for MUF adhesive. Additionally, phenol is a persistent pollutant due to its high concentration [50]. The energy consumption contribution shows similar relative distribution despite the production process of PRF being more energy-consuming, which can be explained due to the higher impacts of phenol and resorcinol as raw materials for modules A1–A2.
Figure 4.
PRF environmental impact ratios (%) per phase.
Figure 5 shows the results for PF adhesive. While module A1–A2 remains the largest contributor, the manufacturing emissions significantly differ. Since synthetic adhesives yield similar land and air emissions, with only the quantities being different, the explanation behind this difference is the impact of water emissions, which are not quantified for PF manufacturing based on the inventory [26]. This also reveals that the ecotoxicity impact category is mainly influenced by the water emissions and production of phenol.
Figure 5.
PF environmental impact ratios (%) per phase.
The most noticeable difference between synthetic and bio-adhesives is the effect of each life cycle phase in Figure 6. For LPG, modules A1–A2 remain the most impactful to all categories, with an average relative contribution of above 96%. The results are mostly consistent with the relative contribution of each phase for synthetic adhesives, with a clear exception in the ecotoxicity category, in which manufacturing emissions contribute about 10% of the total impacts despite them being in comparable ranges to the traditional adhesives. The explanation behind this is the low phenol content in LPG as compared to PF or PRF and the minimal impact of lignin or glyoxal (major components of LPG adhesive), which, in turn, highlight manufacturing impacts.
Figure 6.
LPG environmental impact ratios (%) per phase.
TFF distinguishes itself from other adhesives by its negative impact on the water use category (see Figure 7). This is due to the computation of wastewater treatment from the modeling of the tannin content of its composition and the co-products associated with tannin extraction, bark, which can be reused for other purposes. Most categories present a similar distribution to the previous adhesives, yet TFF’s energy use contributes about 10–12% of the total cycle for categories like ozone depletion and the depletion of fossils. Similar to LPG, this can be attributed to the lower impacts of the background processes for the raw material sourcing phase. Note that the figure separates the WDP category for a better overview of the influence of the life cycle phases of TFF on the other impact categories.
Figure 7.
TFF environmental impact ratios (%) per phase.
3.1.2. Comparison of 1 kg Adhesive
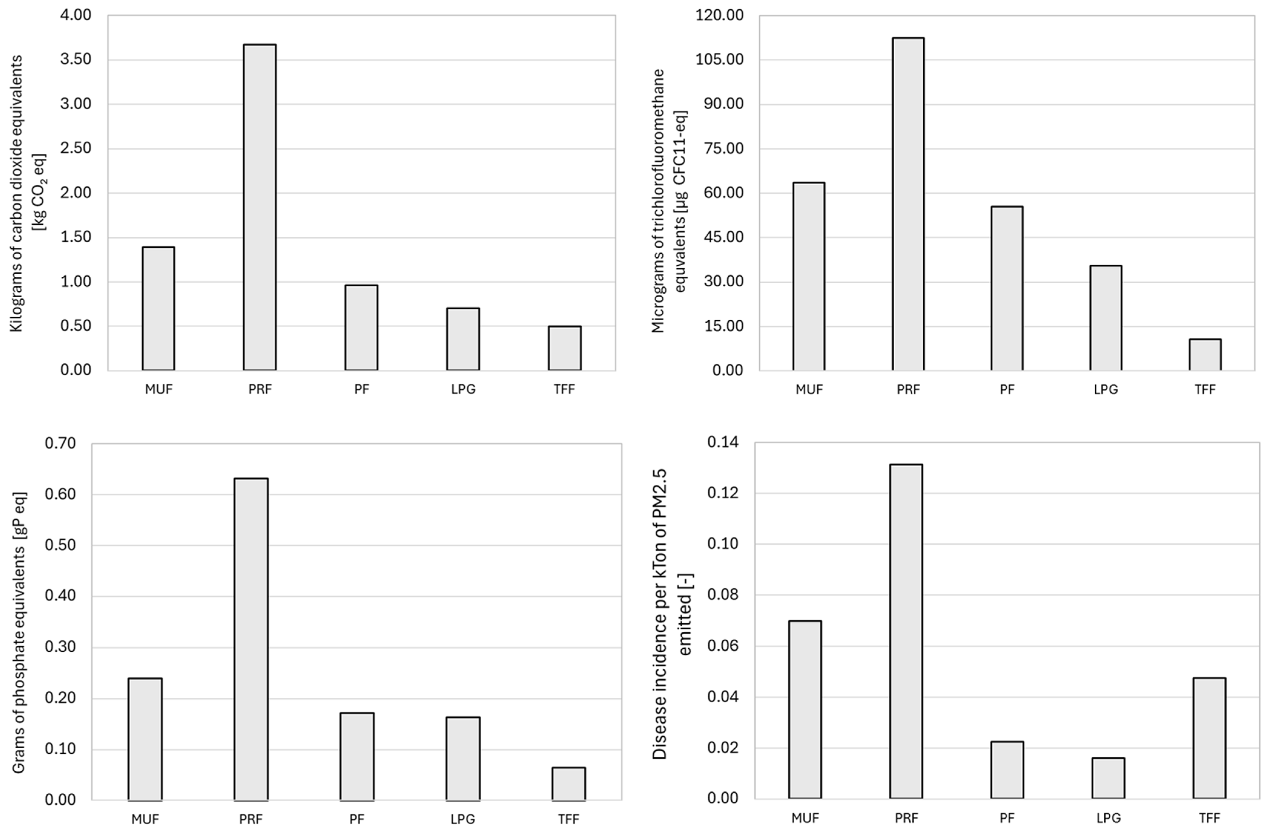
In this section the environmental impacts of the five adhesives are compared to each other based on ECI, total global warming potential, freshwater eutrophication potential, ozone depletion potential, and particulate matter (see Figure 8). These indicators have the highest influence on the ECI final score. They also represent impacts on distinct levels (i.e., impacts on atmosphere, water bodies, and human health). A lower ECI value indicates a lower environmental impact, which can be attributed to reduced resource use or lower emissions. Conversely, a higher ECI value reflects greater environmental impacts. It should be noted, however, that the conclusions drawn for bio-adhesives are constrained by the technical immaturity of their production.
Figure 8.
Comparison of 1 kg adhesives for (top left) total global warming potential (GWP-t), (top right) ozone depletion potential (ODP), (bottom left) freshwater eutrophication (EP-freshwater), and (bottom right) particulate matter incidence (PM).
Starting with total global warming potential, synthetic adhesives show the highest emissions, with PRF having the largest impact, followed by MUF and PF. This can be explained due to the significant impact of resorcinol production in comparison to phenol, with 1 kg of phenol yielding up to 2.96 kg of CO2-eq, whereas 1 kg of resorcinol yields almost five times more, i.e., around 14.43 kg of CO2-eq. One kg of melamine and urea lead to 6.68 kg of CO2-eq and 1.44 kg of CO2-eq, respectively, yet melamine is only about 9% of MUF’s composition, while resorcinol is approximately 24% of PRF’s formulation. Moreover, MUF and PF production require similar amounts of energy, whereas PRF synthesis is more energy-intensive, leading to higher emissions across most categories. A comparable trend is observed for ozone depletion potential and freshwater eutrophication potential, although TFF performs worse than PF.
Figure 9 shows the comparison between adhesives based on the environmental cost indicator, ECI score, with the old and new weights. PRF has the largest impact on the ECI, which is consistent with outcomes from the most impactful categories shown above. It is noted that the new weights yield lower values. Several factors explain this, including the broader scope of the new method, which improves impact allocation across categories such as human toxicity, climate change, and resource use. In addition, the method revises normalization and weighting factors based on updated priorities, thereby avoiding earlier biases that disproportionately emphasized toxicity or relied on outdated data, and resulting in more context-sensitive assessments.
Figure 9.
Comparison of 1 kg adhesive ECI results for (left) new weighting set and (right) old set.
3.1.3. Environmental Impact Assessment of Glued Laminated Timber
This section contextualizes the use of the selected adhesives in the production of 1 m3 of glulam. The complete outcomes of glulam per adhesive can be found in Appendix C, Table A11, Table A12, Table A13, Table A14 and Table A15. Figure 10 shows the contribution of each life cycle stage to the impacts of the glulam with MUF adhesive.
Figure 10.
Environmental impact ratios (%) per phase for 1 m3 MUF glulam.
Material sourcing has the largest impact over the life cycle, with modules A1–A2 making about half of the impacts for most categories, while manufacturing contributes significantly to depletion of fossils, acidification, and GWP-fossil, aligning with impacts related to the use of natural gas and electricity. The kiln-dried beams make up 57–77% of the module in terms of quantified impacts, while the rest is attributed to the adhesive for the synthetic adhesives, while for LPG and TFF it is only 12% and 8% of A1–A2, respectively. The main conclusion is that across the whole life cycle, synthetic adhesives are approximately 10% of the total life cycle’s environmental impacts, while bio-adhesives contribute only 5% on average.
Transport to site (A4) and end-of-life (C) contribute little to most categories, ranging from 1% to 10% of the cycle. This is consistent with the fact that the EOL of structural timber usually represents less than 10% of the entire LCA when combustion with energy recovery is used [51]. The net benefits from module D associated with the base scenario of 100% incineration are most noticeable in categories such as GWP, WDP, HTP-nc, and EP-freshwater. This is due to avoided emissions, water use, and toxics derived from fossil fuel extraction and combustion (i.e., burning wood instead of fossils leads to fewer toxic leachates affecting freshwater ecotoxicity). The average benefit is about −11.1%, with minimum benefits for PM (−1.3%) and maximum benefits for HTP-nc (−44.5%). Similar distributions of impacts are observed for the rest of the adhesives, suggesting that the influence of the adhesive choice in production is relatively low. The only differences can be noticed with the comparison of end-of-life scenarios, in which EOL 3 leads to increased benefits, with an average of −59.2%.
The glulam per adhesive and EOL scenario are compared based on the previously stated categories. As can be seen in Figure 11, bio-adhesives have better environmental performance than synthetic adhesives. This is especially noticeable for their performance in EOL scenarios 2 and 3, with scenario 3 of LPG adhesive having the best performance overall for the categories presented. Despite adhesives contributing on average 8% to the entire life cycle for all categories, the adhesive choice has a clear impact on the end-of-life and benefits beyond boundary.
Figure 11.
Comparison of 1 m3 glulam results per adhesive for (top left) total global warming potential (GWP-t), (top right) ozone depletion potential (ODP), (bottom left) freshwater eutrophication (EP-freshwater), and (bottom right) particulate matter incidence (PM).
The comparison based on ECI is illustrated below. In line with the results per adhesive, PRF glulam yields the highest impacts, followed by MUF and PF and the bio-adhesives. As illustrated in Figure 12, the performance per EOL scenario for these alternative adhesives is negligible based on the old ECI weights, yet it has benefits of over EUR 17 for the reuse scenario. This can be attributed to avoided emissions across several impact categories, including toxicity, GWP, and eutrophication. The result is consistent with the fact that material sourcing of the beams contributes most to modules A1–A2, which dominate multiple categories. A further outcome is the reduction in the overall ECI score under the new weighting factors, similar to the results obtained for the 1 kg adhesive assessment.
Figure 12.
Comparison of 1 m3 glulam ECI results per adhesive for (left) the new weighting set and (right) the old set.
To summarize, material sourcing is the stage that leads to the greatest impacts to produce 1 kg of adhesive and, in most cases, also for 1 m3 of glulam independent of the adhesive choice. Even though the results of the best environmental performance vary across the 19 impact categories, bio-adhesives generally perform better than synthetic adhesives. PRF and MUF have the largest environmental impacts for both the production of 1 kg of adhesive and 1 m3 of glulam, aligning with findings by Hellweg & Messmer [28]. However, PF has a performance that is often comparable to the bio-adhesive LPG. This is reflected in the ECI results and is even more evident when contextualized for glulam applications, since benefits beyond the boundary from EOL scenario 3 are only applicable to bio-adhesives. Overall, the impact of adhesives on the complete life cycle is about 8%, yet bio-adhesives allow other EOL scenarios that improve the environmental performance of glulam. Note that the weightings of the ECI score heavily influence the outcomes of the overall performance of adhesives. Using the old weights leads to better implications of using bio-adhesives, with TFF outperforming LPG and PF for both functional units, which is not the case for the new weights. This means that bio-adhesives performed better based on the previous weighting method, but this conclusion becomes outdated under the new normalization method.
3.1.4. Sensitivity Analysis
The sensitivity analysis is carried out on the adhesive content and volume of glulam, as these factors influence material use, transport, and energy consumption. First, the adhesive content per cubic meter is varied by ±15% from the original values, and the resulting effects on GWP are assessed (see Table 3). The effect of increasing the adhesive content is minimal across all adhesive types. This is a useful insight for the sector because the amount of adhesive varies per adhesive type for other engineering timber products such as cross-laminated timber [27]. Moreover, the relative decrease and increase in impact are consistent with each other, showing that the LCA model works properly.
Table 3.
Sensitivity analysis: Impacts of adhesive content on the GWP total varied by ±15% from the base scenario.
In addition, carbon footprint results obtained from the analysis of 1 kg adhesive are consistent with Wilson’s [27] findings, further validating the conclusions from the results. Yet, PRF leads to higher emissions, and PF leads to fewer emissions than the results obtained from the study. This can be explained due to several factors. First, the study was conducted in 2010. Since then, multiple updates have been made in generic impact databases, which are later reflected on the quantification of impacts. Second, the geographical context of the data used for his study was not Europe but the US. The differences in electricity mix and reduced impact of formaldehyde and methanol in the European result in lower impacts [27].
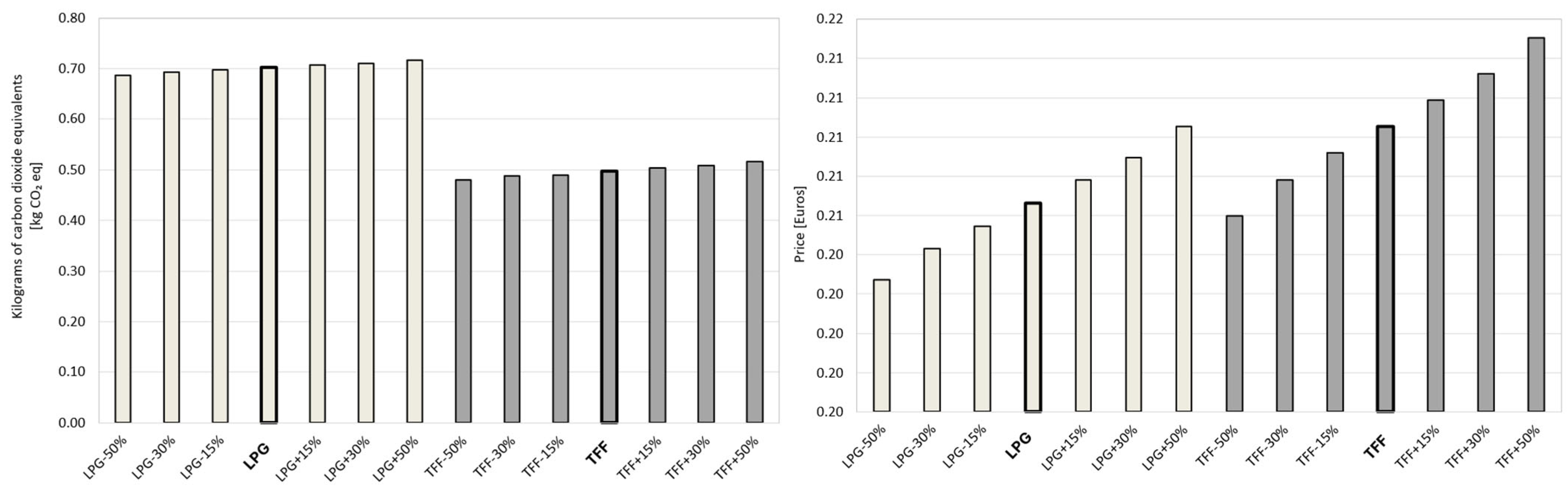
The influence of the proxy data assumption for bio-adhesives is tested by adjusting the assumed production energy use and direct emissions for LPG and TFF by ±15%, ±30%, and ±50% from the base case values. Results from this analysis show that even in the worst-case scenario of +50% emissions and energy consumption, the ranking of the adhesives remains unaffected, with bio-adhesives yielding lower GWP emissions and ECI scores than synthetic adhesives (see Figure 13).
Figure 13.
Energy and output emissions sensitivity analysis results for the (left) GWP total and (right) ECI score.
3.2. Life Cycle Cost (LCC) Analysis Findings
Figure 14 illustrates the net present value (NPV), future savings from module D, and LCC (with and without savings) for 1 m3 of glulam per adhesive used and end-of-life scenario. PRF consistently leads to higher costs than the other adhesives, independently of the EOL scenario chosen if no savings from D are considered. This is due to the elevated cost of resorcinol and phenol. Due to this reason, PF performs worse than MUF; however, it must be noted that the difference in price for these two adhesives is less than EUR 1. The bio-adhesives with the same EOL scenario as the synthetic adhesives, EOL1, outperform MUF, PRF, and PF, with TFF being slightly more expensive than LPG. This is because the lignin extraction process is more advanced than tannin extraction, leading to cheaper market prices.
Figure 14.
NPV, future savings, and LCC with and without savings for 1 m3 glulam per adhesive (left) and end-of-life scenario (right).
The LCC costs with and without savings from module D are slightly greater for EOL3 than for EOL1 and 2. This is due to the additional treatment of the reused glulam beams, while EOL1 and 2 only consider turning the beams into wood chips, later differentiating themselves in module D by being recycled or incinerated. Contrary to the LCA results, EOL2 and 3 lead to fewer economic benefits than EOL1. This result is consistent with the exclusion of damage cost estimates for the EOL scenarios. Studies show that considering these costs makes recycling or alternative EOL scenarios preferable to the burning of wood waste biomass [52]. Therefore, including damage costs is recommended for further research. It is important to highlight that the LCC analysis results do not differ significantly (less than 1 EUR/m3) per adhesive type because adhesives only represent a small part of the total costs of 1 m3 of glued laminated timber. Therefore, it can be concluded that life cycle costs are not an important criterion in the selection of adhesive type.
4. Discussion
The results offer important implications for the selection of adhesive type. Starting with synthetic adhesives, PRF has the best structural performance and material properties. Its chemical structure is mostly intact at 220 °C [53], suitability for full-exposure applications, fast-setting, and typical tensile strengths ranging from 30 to 40 N/mm2 [54]. However, LCA results reveal it is also the most environmentally impactful adhesive according to ECI and carbon footprint. PRF is also more expensive than the other adhesives due to its resorcinol content. Furthermore, MUF has lower environmental and economic impacts, positioning it as a better alternative among the adhesives considered. Even though it has good physical properties in dry climates—with tensile strengths ranging from 25–35 N/mm2, its structural performance declines with humidity, making it undesirable for outdoor exposure [55]. Additionally, its thermal resistance is lower than PRF, with the adhesive chemical structure breaking down at 200 °C [53]. Conversely, PF is suitable for complete outdoor exposure, presents comparable tensile strength (35–50 N/mm2) [56], and has a better environmental performance than PRF due to the lack of resorcinol in its formulation, yet it is more expensive than MUF since it contains phenol and observes greater strength losses than PRF [4]. In accordance with these results, it can be stated that more favorable structural properties must be weighed against poorer environmental performance and/or higher costs.
In contrast, bio-adhesives show better environmental performance than synthetic adhesives, especially when alternative end-of-life scenarios can be considered, unlike traditional adhesives. The environmental benefits from these EOL scenarios come at higher costs, since the treatment of beams for downcycling or reuse requires further expenses; however, their estimated costs for the standard incineration scenario are lower than MUF, PF, and PRF’s, with LPG outperforming TFF both environmentally and economically. These economic and environmental advantages are constrained by the limited technical maturity of bio-adhesives, reflected in their low TRL and restricted production and distribution. In addition, the application of TFF is limited for outdoor exposure due to its poor moisture resistance.
A clear trade-off between these environmental impacts is the uncertainty of the actual structural and economic performance of the bio-adhesives in comparison to synthetic adhesives. Several studies demonstrate LPG and TFF structural performance and compliance with standards at a superior lab-based scale, with experimental tensile strengths ranging from 54–72 N/mm2 for LPG and 22–30 N/mm2 for TFF [15,19]. Despite this, long-term world data of their performance remains limited, which leads to uncertainty on their lifetime implications and processability. Conversely, synthetic adhesives have been applied for decades, thus having proved structural consistency, greater availability, and established market prices and production processes. The cost analysis suggests that the application of the bio-adhesives in glulam production is cost-competitive in terms of materials and similar production processes on a lab basis. However, since production is still being optimized, elevated costs might be expected at their early commercialization stages. Hence, another trade-off is the uncertainty in the long-term performance of bio-adhesives with reduced environmental impacts as compared to established synthetic adhesives. These trade-offs are summarized in Figure 15. The structural performance is based on their applicability to all service classes, tensile strength, and thermal resistance. Therefore, TFF and MUF score lower than LPG or the other synthetic adhesives.
Figure 15.
Trade-off spider chart (1 = worst performance, 5 = best performance).
Limitations and Recommendations
First, environmental impact data have been obtained from the Ecoinvent 3.11 database due to the lack of primary site-specific data for the production of adhesives and glulam. Although this database provides widely accepted and reliable information and is based on one of the most complete LCI sources available, context-specific impacts may be overlooked, reducing result accuracy. Second, the current modeling of LPG and TFF relies on assumptions for energy use and emissions, as these adhesives are not yet market-ready, while PF lacks water emission data. These assumptions may not capture the operational variability of real-world systems. Industry collaboration is recommended to obtain primary data for production processes, particularly when it comes to energy consumption and emission profiles. This would reduce uncertainty in LCA and ECI outcomes and improve reliability in future assessments. Hence, researching the influence of different datasets used would be insightful. Despite these constraints, the sensitivity analysis on the energy use and output emissions shows that even in the worst-case scenario of +50% of emissions and use from the base values, the bio-adhesives perform better than the traditional synthetic adhesives. Additionally, long-term durability testing of bio-adhesives is needed to reduce structural performance uncertainty over time to allow competition with traditional synthetic adhesives whose properties have been verified for decades.
The LCC model currently omits externalities like environmental damage costs associated with emissions, resource depletion, and toxicity of the materials and end-of-life scenarios considered. Including these shadow prices would be beneficial to reflect the societal cost of adhesive choice and potentially highlight the economic benefits of more circular end-of-life strategies like reuse and recycling. Moreover, additional EOL scenarios could be explored, such as the downcycling into fireboard or other wood composites and the consideration of transport to second-life applications, which were excluded here. In addition, the EU aims to harmonize EPD rules for end-of-life strategies of materials; therefore, it would be beneficial to investigate the changes in impacts based on EOL.
Lastly, the methodologies used tackle the economic and environmental dimensions of sustainability, which are often under-addressed or considered superficially [57]. Further studies should consider the social dimension of sustainability to provide trade-offs from stakeholders’ interests through the implementation of social life cycle assessment (S-LCA). Such an approach would allow greater transparency, capturing indicators related to health, labor conditions, safety, and community engagement that shape human ell-being. This is critical for infrastructure projects with long lifespans and deep-rooted effects on the community, such as the Zwolle Passarella. S-LCA captures site-specific and often non-quantifiable social impacts that are frequently overlooked, yet they are fundamental to building stakeholder trust and ensuring that infrastructure design and decisions reflect community needs and values [58]. Furthermore, it supports stakeholder-informed decision-making, enhancing corporate social responsibility and contributing to overall sustainability reporting. Thus, integrating S-LCA components, environmental LCA, and LCC would allow a triple bottom line approach.
5. Conclusions
The study performed a life cycle assessment (LCA) and a life cycle cost (LCC) analysis of adhesives used in block-glued glulam. The adhesives assessed are three synthetic adhesives and two bio-based adhesives. The synthetic adhesives are melamine-urea formaldehyde (MUF), phenol formaldehyde (PF), and phenol resorcinol formaldehyde (PRF). These are traditionally used for glulam and other engineered wood products. The bio-based adhesives are lignin phenol glyoxal (LPG) and tannin-furfuryl alcohol formaldehyde (TFF). The five types of adhesives are analyzed and compared both in isolation (1 kg of adhesive) and in application (1 m3 of glulam), with their application being assessed for three different end-of-life (EOL) scenarios in the case of the bio-adhesives. The following key findings can be derived from this research:
- When comparing bio-adhesives with traditional synthetic adhesives, bio-alternatives demonstrated lower environmental impacts for glulam applications, especially under circular end-of-life (EOL) scenarios like recycling or reuse. Synthetic adhesives contribute 23–43% to the environmental impact of raw material sourcing (A1–A2) of glulam based on CO2 equivalent emissions, and on average 10% to the environmental impact of the total life cycle. In contrast, bio-adhesives contribute 8–12% to modules A1–A2 and about 5% to the total life cycle.
- The highest life cycle costs are associated with PRF, while the lowest are from LPG; however, these differences are not significant. Therefore, cost is not a decisive criterion in the selection of adhesive type.
- Among the synthetic adhesives, PRF consistently presents the highest environmental burden despite its structural superiority.
- Synthetic adhesives have been used for decades, whereas durability testing of bio-adhesives remains limited. Long-term assessments of their structural performance are therefore required, despite their demonstrated compliance with structural standards at the laboratory scale.
It should be noted that the accuracy of the environmental assessment of bio-adhesives is limited by the technical immaturity of their production and use of proxy data. The background database is Europe-based, whereas the case study is situated in the Netherlands. A full localization adjustment of the results has not been possible, which may necessitate minor corrections, particularly regarding the electricity mix, as the Netherlands relies more heavily on natural gas than the European average. However, given the similarity of Dutch conditions to the broader European context, the influence on the overall conclusions is expected to be limited [59].
Even though the adhesive is a minimal percentage of the volume of a glulam beam, it can be considered an environmental hotspot, as it contributes about 20% to the environmental impacts of the raw material sourcing of glulam and about 8% to the environmental impacts of its entire life cycle when considering synthetic and bio-adhesives on average. Synthetic adhesives are currently more established in the glulam industry; however, emerging bio-adhesives offer a more sustainable and increasingly competitive alternative that reduces emissions, especially when combined with circular end-of-life strategies. Further research should address existing data gaps, scale production processes, and optimize bio-adhesives. The validation of the long-term performance under real-world conditions is crucial for bio-alternatives to match the structural reliability and market readiness of synthetic adhesives and fully realize the sustainability potential of bio-adhesives in the engineered timber industry.
Author Contributions
Conceptualization, C.P.Z., P.G. and R.K.; methodology, C.P.Z.; software, C.P.Z.; validation, C.P.Z., P.G. and R.K.; formal analysis, C.P.Z.; investigation, C.P.Z.; resources, C.P.Z. and P.G.; writing—original draft preparation, C.P.Z.; writing—review and editing, C.P.Z., P.G. and R.K.; visualization, C.P.Z.; supervision, P.G. and R.K. All authors have read and agreed to the published version of the manuscript.
Funding
This research received no external funding.
Institutional Review Board Statement
Not applicable.
Informed Consent Statement
Not applicable.
Data Availability Statement
Data used for the study is provided in the appendices.
Conflicts of Interest
Author Peter Gosselink was employed by the company Haskoning. The remaining authors declare that the research was conducted in the absence of any commercial or financial relationships that could be construed as a potential conflict of interest.
Abbreviations
| ECI | Environmental cost indicator |
| EPD | Environmental product declaration |
| EOL | End-of-life |
| EWP | Engineered wood product |
| FU | Functional unit |
| Glulam | Glued laminated timber |
| LCA | Life cycle assessment |
| LCC | Life cycle cost |
| LCI | Life cycle inventory |
| LPG | Lignin phenol glyoxal |
| MUF | Melamine-urea formaldehyde |
| PCR | Product category rules |
| PF | Phenol formaldehyde |
| PRF | Phenol resorcinol formaldehyde |
| SC | Service class |
| TFF | Tannin-furfuryl alcohol formaldehyde |
| TRL | Technology readiness level |
| VOC | Volatile organic compound |
Appendix A
This appendix provides additional figures and tables regarding the LCA inventory. Table A1, Table A2 and Table A3 show the background processes for lignin, tannin, and furfuryl alcohol production, respectively. Lastly, Table A4 summarizes the glued laminated timber inventory.
Table A1.
LCI of the production of 1 kg of dry kraft lignin, adapted from Moretti, et al. [60].
Table A2.
LCI of the production process of 1 kg of condensed spruce tannin, adapted from Ding, et al. [61].
Table A3.
LCI of the production process of 1 kg of furfuryl alcohol, adapted from Hong, et al. [62].
Table A4.
LCI of the production of 1 m3 of glued laminated timber.
Appendix B
This appendix provides additional figures and tables regarding the LCC cost analysis inventory. Table A5 summarizes the prices and sources used for the cost analysis.
Table A5.
Life cycle cost inventory.
Appendix C
This appendix includes tables with the impact assessment results obtained through Earthster for 1 kg of each adhesive (Table A6, Table A7, Table A8, Table A9 and Table A10) and 1 m3 of glued laminated timber per adhesive (Table A11, Table A12, Table A13, Table A14 and Table A15).
Table A6.
Impact assessment results of 1 kg MUF adhesive.
Table A7.
Impact assessment results of 1 kg PRF adhesive.
Table A8.
Impact assessment results of 1 kg PF adhesive.
Table A9.
Impact assessment results of 1 kg LPG adhesive.
Table A10.
Impact assessment results of 1 kg TFF adhesive.
Table A11.
Impact assessment results of 1 m3 glued laminated timber with MUF adhesive.
Table A12.
Impact assessment results of 1 m3 glued laminated timber with PRF adhesive.
Table A13.
Impact assessment results of 1 m3 glued laminated timber with PF adhesive.
The bio-adhesives contain three scenarios for modules C and D depending on the end-of-life. The first scenario is the same as in the synthetic adhesives: 100% incineration for energy recovery; the second scenario is the 70% recycling into woodchips, and the third scenario is the reuse of beams into smaller glulam beams.
Table A14.
Impact assessment results of 1 m3 glued laminated timber with LPG adhesive.
Table A15.
Impact assessment results of 1 m3 glued laminated timber with TFF adhesive.
Appendix D
The following table summarizes the life cycle costs as input for Equations (1) and (2).
Table A16.
Life cycle costs in euros for the different processes considered for 1 m3 of glulam (pre-calculation).
References
- United Nations Environmental Program (UNEP); Yale Center for Ecosystems and Architecture. Building Materials and the Climate: Constructing a New Future; UNEP Report; 2023; Available online: https://wedocs.unep.org/20.500.11822/43293 (accessed on 28 August 2025).
- Villoria Sáez, P.; Osmani, M. A diagnosis of construction and demolition waste generation and recovery practice in the European Union. J. Clean. Prod. 2019, 241, 118400. [Google Scholar] [CrossRef]
- Aicher, S.; Stapf, G. Block Glued Glulam—Bridges, Beams and Arches. In Proceedings of the World Conference on Timber Engineering (WCTE 2014), Session 4.8, Quebec City, QC, Canada, 10–14 August 2014. [Google Scholar] [CrossRef]
- Frihart, C.R.; Hunt, C.G. Chapter 10: Adhesives with wood materials: Bond formation and performance. In Wood handbook: Wood as an Engineering Material, Centennial ed.; 2010; Volume 190, pp. 10.1–10.24. Available online: https://www.fpl.fs.usda.gov/documnts/fplgtr/fplgtr190/chapter_10.pdf (accessed on 28 August 2025).
- Properzi, M.; Pizzi, A.; Uzielli, L. Comparative wet wood glueing performance of different types of Glulam wood adhesives. Eur. J. Wood Wood Prod. 2003, 61, 77–78. [Google Scholar] [CrossRef]
- Berdnikova, P.; Zhizhina, E.; Pai, Z. Phenol-Formaldehyde Resins: Properties, Fields of Application, and Methods of Synthesis. Catal. Chem. Petrochem. Ind. 2021, 13, 119–124. [Google Scholar] [CrossRef]
- Yang, M.; Rosentrater, K.A. Life Cycle Assessment of Urea-Formaldehyde Adhesive and Phenol-Formaldehyde Adhesives. Environ. Process. 2020, 7, 553–561. [Google Scholar] [CrossRef]
- Technology Readiness Levels (TRL). Available online: https://www.rvo.nl/onderwerpen/trl (accessed on 24 June 2025).
- Arias, A.; González-García, S.; Feijoo, G.; Moreira, M.T. Tannin-based bio-adhesives for the wood panel industry as sustainable alternatives to petrochemical resins. J. Ind. Ecol. 2021, 26, 627–642. [Google Scholar] [CrossRef]
- Gonçalves, D.; Bordado, J.M.; Marques, A.C.; dos Santos, R.G. Non-Formaldehyde, Bio-Based Adhesives for Use in Wood-Based Panel Manufacturing Industry—A Review. Polymers 2021, 13, 4086. [Google Scholar] [CrossRef]
- Kumar, C.; Leggate, W. An overview of bio-adhesives for engineered wood products. Int. J. Adhes. Adhes. 2022, 118, 103187. [Google Scholar] [CrossRef]
- Kienberger, M.; Maitz, S.; Pichler, T.; Demmelmayer, P. Systematic Review on Isolation Processes for Technical Lignin. Processes 2021, 9, 804. [Google Scholar] [CrossRef]
- Huang, C.; Peng, Z.; Li, J.; Li, X.; Jiang, X.; Dong, Y. Unlocking the role of lignin for preparing the lignin-based wood adhesive: A review. Ind. Crops Prod. 2022, 187 Pt A, 115388. [Google Scholar] [CrossRef]
- Hussin, M.H.; Aziz, A.A.; Ibrahim, M.; Latif, N. Development and characterization novel bio-adhesive for wood using kenaf core (Hibiscus cannabinus) lignin and glyoxal. Int. J. Biol. Macromol. 2019, 122, 713–722. [Google Scholar] [CrossRef] [PubMed]
- Vazma, I.; Krigers, G.; Valters, K. A Review of Bio-Based Adhesives from Primary and Secondary Biomass for Wood Composite Applications. Environ. Clim. Technol. 2022, 26, 1350–1360. [Google Scholar] [CrossRef]
- Dhawale, P.V.; Vineeth, S.K.; Gadhave, R.V.; Jabeen Fatima, M.J.; Supekar, M.V.; Thakur, V.K.; Raghavan, P. Tannin as a renewable raw material for adhesive applications: A review. Mater. Adv. 2022, 3, 3365–3388. [Google Scholar] [CrossRef]
- Oktay, S.; Pizzi, A.; Köken, N.; Bengü, B. Tannin-based wood panel adhesives. Int. J. Adhes. Adhes. 2024, 130, 103621. [Google Scholar] [CrossRef]
- Zhang, J.; Xi, X.; Liang, J.; Pizzi, A.; Du, G.; Deng, S. Tannin-based adhesive cross-linked by furfuryl alcohol-glyoxal and epoxy resins. Int. J. Adhes. Adhes. 2019, 94, 42–52. [Google Scholar] [CrossRef]
- Dubinsky, J.; Žagars, A.; Snidvongs, S.; Hirunlabh, J. Furfuryl Alcohol made from Agriculture Waste Review. In Proceedings of the Fourth National and the Third International Academic Symposium Innovation and Technology for Social Development, Bangkok, Thailand, 23 July 2018. [Google Scholar]
- Chrobak, J.; Iłowska, J.; Chrobok, A. Formaldehyde-Free Resins for the Wood-Based Panel Industry: Alternatives to Formaldehyde and Novel Hardeners. Molecules 2022, 27, 4862. [Google Scholar] [CrossRef] [PubMed]
- Yi, Z.; Wang, W.; Zhang, W.; Li, J. Preparation of tannin–formaldehyde–furfural resin with pretreatment of depolymerization of condensed tannin and ring opening of furfural. J. Adhes. Sci. Technol. 2016, 30, 947–959. [Google Scholar] [CrossRef]
- ISO 14040; Environmental Management-Life Cycle Assessment-Principles and Framework. International Organization for Standardization: Geneva, Switzerland, 2006.
- ISO 14044; Environmental Management-Life Cycle Assessment. Requirements and Guidelines. ISO: Geneva, Switzerland, 2006.
- NEN-EN 15804:2012+A2; Sustainability of Construction Works. Environmental Product Declarations. Core Rules for the Product Category of Construction Products, 2019. CEN: Brussels, Belgium, 2023.
- ISO 15686-5; Buildings and Constructed Assets. ISO: Geneva, Switzerland, 2017.
- Wilson, J.B. Life-cycle inventory of formaldehyde-based resins used in wood composites in terms of resources, emissions, energy and carbon. Wood Fiber Sci. 2010, 42, 125–143. [Google Scholar]
- Hellweg, S.; Messmer, A. Life Cycle Assessment (LCA) of Adhesives Used in Wood Constructions. Master Thesis, Institute of Ecological System Design-ETH Zürich, Swiss Federal Institute of Technology Zurich, Zurich, Switzerland, 2015. [Google Scholar]
- Vroege, G.J.; Wildschut, M. Environmental Product Declaration of DERIX Glued Laminated Timber (Glulam); Germany; 2024; Available online: https://www.mrpi.nl/epd/derix-glued-laminated-timber-glulam/ (accessed on 28 August 2025).
- NEN-EN 301:2017; Adhesives, Phenolic and Aminoplastic, for Loadbearing Timber Structures. Classification and Performance Requirements, 2017. CEN: Brussels, Belgium, 2023.
- NEN-EN 14080:2013; Timber Structures. Glued Laminated Timber and Glued Solid Timber. Requirements, 2013. CEN: Brussels, Belgium, 2023.
- Zwolle Train Station Footbridge. IPV Delft. Available online: https://ipvdelft.com/projects/zwolle-train-station-footbridge/ (accessed on 12 March 2025).
- NEN-EN 16485:2023; Round and Sawn Timber—Environmental Product Declarations. Product Category Rules for Wood and Wood-Based Products for Use in Construction, 2023. CEN: Brussels, Belgium, 2023.
- Haupt, R.A.; Sellers, T.J. Characterizations of phenol-formaldehyde resol resins. Ind. Eng. Chem. Res. 1994, 33, 693–697. [Google Scholar] [CrossRef]
- NEN-EN 335:2013; Durability of Wood and Wood-Based Products. Use Classes: Definitions, Applications to Solid Wood and Wood-Based Board Materials, 2013. CEN: Brussels, Belgium, 2023.
- Tohmura, S.; Inoue, A.; Sahari, S.H. Influence of the melamine content in melamine-urea-formaldehyde resins on formaldehyde emission and cured resin structure. J. Wood Sci. 2001, 47, 451–457. [Google Scholar] [CrossRef]
- Schiere, M.; Peters, J. Pedestrian and cyclist bridges made with durable hardwoods. In Proceedings of the International Conference on Timber Bridges ICTB2021PLUS, Bern, Switzerland, 9–12 May 2022; Bern University of Applied Sciences: Bern, Switzerland, 2022. ISBN 9783906878126. [Google Scholar] [CrossRef]
- Besserer, A.; Troilo, S.; Girods, P.; Rogaume, Y.; Brosse, N. Cascading Recycling of Wood Waste: A Review. Polymers 2021, 13, 1752. [Google Scholar] [CrossRef]
- de Leeuuw, M.; Koelemeijer, R. Decarbonisation Options for the Dutch Waste Incineration Industry; Netherlands Environmental Assessment Agency: Bilthoven, The Netherlands, 2022. [Google Scholar]
- Tyagi, U.; Sarma, A.K. Perspectives of biomass based lignin to value added chemicals in biorefineries: Challenges, extraction strategies and applications. Biofuels Bioprod. Biorefin. 2022, 16, 1869–1892. [Google Scholar] [CrossRef]
- The Netherlands Inflation Rate. Available online: https://tradingeconomics.com/netherlands/inflation-cpi (accessed on 24 May 2025).
- The Netherlands Interest Rate. Available online: https://tradingeconomics.com/netherlands/interest-rate (accessed on 24 May 2025).
- USD to EUR May 2025. Google Finance. Available online: https://www.google.com/finance/quote/USD-EUR?sa=X&ved=2ahUKEwjh__efksmNAxXS3wIHHbcQOVwQmY0JegQIChAv (accessed on 28 May 2025).
- Prices of Natural Gas and Electricity. (Centraal Bureau voor de Statistiek|CBS). Available online: https://www.cbs.nl/en-gb/figures/detail/85666ENG (accessed on 26 May 2025).
- Ecoinvent Transport Fuel Consumption. Available online: https://ask.openlca.org/2295/ecoinvent-transport-fuel-consumption (accessed on 25 May 2025).
- Warguła, Ł.; Kukla, M.; Wieczorek, B.; Krawiec, P. Energy consumption of the wood size reduction processes with employment of a low-power machines with various cutting mechanisms. Renew. Energy 2022, 181, 630–639. [Google Scholar] [CrossRef]
- Typical Calorific Values of Fuels. Forest Research UK Government. Available online: https://www.forestresearch.gov.uk/tools-and-resources/fthr/biomass-enenergy%20reergy-resources/reference-biomass/facts-figures/typical-calorific-values-of-fuels/ (accessed on 2 June 2025).
- Biomass for Electricity Generation. National Institute of Building Science. Available online: https://www.wbdg.org/resources/biomass-electricity-generation (accessed on 1 June 2025).
- Producer Price Index by Industry: Sawmills: Wood Chips, Excluding Field Chips. Federal Reserve Bank of St. Louis. Available online: https://fred.stlouisfed.org/series/PCU3211133211135 (accessed on 1 June 2025).
- Rebitzer, G.; Hunkeler, D. Life cycle costing in LCM: Ambitions, opportunities, and limitations: Discussing a framework. Int. J. Life Cycle Assess. 2003, 8, 253–256. [Google Scholar] [CrossRef]
- Panigrahy, N.; Priyadarshini, A.; Sahoo, M.M.; Verma, A.K.; Daverey, A.; Sahoo, N.K. A comprehensive review on eco-toxicity and biodegradation of phenolics: Recent progress and future outlook. Environ. Technol. Innov. 2022, 27, 102423. [Google Scholar] [CrossRef]
- Peñaloza, D.; Erlandsson, M.; Falk, A. Exploring the climate impact effects of increased use of bio-based materials in buildings. Constr. Build. Mater. 2016, 30, 219–226. [Google Scholar] [CrossRef]
- Morris, J. Recycle, Bury, or Burn Wood Waste Biomass? LCA Answer Depends on Carbon Accounting, Emissions Controls, Displaced Fuels, and Impact Costs. J. Ind. Ecol. 2016, 21, 844–856. [Google Scholar] [CrossRef]
- Liu, J.; Yue, K.; Xu, L.; Wu, J.; Chen, Z.; Wang, L.; Liu, W.; Lu, W. Bonding performance of melamine-urea–formaldehyde and phenol-resorcinol–formaldehyde adhesive glulams at elevated temperatures. Int. J. Adhes. Adhes. 2020, 98, 102500. [Google Scholar] [CrossRef]
- Frihart, C.R. Chapter 9: Wood Adhesion and Adhesives. In Handbook of Wood Chemistry and Wood Composities, 2nd ed.; Rowell, R.M., Ed.; CRC Press: Boca Raton, FL, USA, 2012; Volume 38. [Google Scholar] [CrossRef]
- Milner, H.R.; Woodard, A.C. Sustainability of engineered wood products. In Woodhead Publishing Series in Civil and Structural Engineering, 2nd ed.; Khatib, J.M., Ed.; Woodhead Publishing: Cambridge, UK, 2016; pp. 159–180. [Google Scholar] [CrossRef]
- Pizzi, A.; Dunky, M. Resorcinol adhesives. In Surfaces, Chemistry & Applications; Dillard, D.A., Pocious, A.V., Chaudhury, M., Eds.; Elsevier Science: Amsterdam, The Netherlands, 2002; ISBN 978-0-444-51140-9. [Google Scholar]
- Backes, J.G.; Traverso, M. Social Life Cycle Assessment in the Construction Industry: Systematic Literature Review and Identification of Relevant Social Indicators for Carbon Reinforced Concrete. Environ. Dev. Sustain. 2024, 26, 7199–7233. [Google Scholar] [CrossRef]
- Rostamnezhad, M.; Thaheem, M.J. Social Sustainability in Construction Projects—A Systematic Review of Assessment Indicators and Taxonomy. Sustainability 2022, 14, 5279. [Google Scholar] [CrossRef]
- Shedding Light on Energy in Europe—2025 Edition. Available online: https://ec.europa.eu/eurostat/web/interactive-publications/energy-2025 (accessed on 18 August 2025).
- Moretti, C.; Corona, B.; Hoefnagels, R.; Veen, M.V.; Vural-Gürsel, I.; Strating, T.; Gosselink, R.; Junginger, M. Kraft lignin as a bio-based ingredient for Dutch asphalts: An attributional LCA. Sci. Total Environ. 2022, 806 Pt 1, 150316. [Google Scholar] [CrossRef] [PubMed]
- Ding, T.; Bianchi, S.; Ganne-Chédeville, C.; Kilpeläinen, P.; Haapala, A.; Räty, T. Life cycle assessment of tannin extraction from spruce bark. Biogeosci. For. 2017, 10, 807–814. [Google Scholar] [CrossRef]
- Hong, J.; Zhou, J.; Hong, J. Environmental and economic impact of furfuralcohol production using corncob as a raw material. Int. J. Life Cycle Assess. 2015, 20, 623–631. [Google Scholar] [CrossRef]
- Swedish Sawn Dried Timber of Spruce or Pine. Svenskt Trä, EPD International. Available online: https://environdec.com/library/epd2537 (accessed on 13 May 2025).
- Properties of Softwood—Swedish Forest Industries Federation. Available online: https://www.swedishwood.com/wood-facts/about-wood/from-log-to-plank/properties-of-softwood/ (accessed on 13 May 2025).
- Brettschichtholz. Environmental Product Declaration of BS-Holz Glued Laminated Timber (Glulam); Germany; 2018; Available online: https://www.studiengemeinschaft-holzleimbau.de/publish/binarydata/pdfs/2018/stghb_umweltdeklaration_bs-holz_2018_ihb_e_print_181109.pdf (accessed on 28 August 2025).
- Puettmann, M.; Oneil, E.; Johnson, L. Cradle to Gate Life Cycle Assessment of Glue-Laminated Timbers Productions from the Southeast; CORRIM Report; 2013; Available online: https://corrim.org/wp-content/uploads/2018/06/SE-Glulam-LCA-report-1_7_13-final.pdf (accessed on 28 August 2025).
- Factory Worker Salary in The Netherlands. Available online: https://www.erieri.com/salary/job/factory-worker/netherlands (accessed on 27 May 2025).
- Preisindizes für Land- und ForstwirtschaftErzeugerpreise der Produkte des Holzeinschlags. Available online: https://www.destatis.de/DE/Themen/Wirtschaft/Preise/Landwirtschaftspreisindex-Forstwirtschaftspreisindex/Tabellen/Erzeugerpreise-Holzeinschlag.html#241824 (accessed on 31 May 2025).
- Tarief Afvalstoffenbelasting. Available online: https://www.belastingdienst.nl/wps/wcm/connect/bldcontentnl/belastingdienst/zakelijk/overige_belastingen/belastingen_op_milieugrondslag/afvalstoffenbelasting/tarief_afvalstoffenbelasting (accessed on 31 May 2025).
- Propane Price Index. Available online: https://businessanalytiq.com/procurementanalytics/index/propane-price-index/ (accessed on 27 May 2025).
- Pump Prices Motor Fuels; per Type, per Day. Available online: https://www.cbs.nl/en-gb/figures/detail/80416ENG (accessed on 31 May 2025).
- Melamine Price Index. Available online: https://businessanalytiq.com/procurementanalytics/index/melamine-price-index/ (accessed on 27 May 2025).
- Urea Ammonium Nitrate (UAN) Price Index. Available online: https://businessanalytiq.com/procurementanalytics/index/urea-ammonium-nitrate-uan-price-index/ (accessed on 27 May 2025).
- Formic Acid Price Index. Available online: https://businessanalytiq.com/procurementanalytics/index/formic-acid-price-index/ (accessed on 27 May 2025).
- Ammonium Sulfate Price Index. Available online: https://businessanalytiq.com/procurementanalytics/index/ammonium-sulfate-index/ (accessed on 27 May 2025).
- Methanol Price Index. Available online: https://businessanalytiq.com/procurementanalytics/index/methanol-price-index/ (accessed on 28 May 2025).
- Sodium Hydroxide Price Index. Available online: https://businessanalytiq.com/procurementanalytics/index/sodium-hydroxide-price-index/ (accessed on 28 May 2025).
- Phenol Price Index. Available online: https://businessanalytiq.com/procurementanalytics/index/phenol-price-index/ (accessed on 28 May 2025).
- Resorcinol Price Index. Available online: https://businessanalytiq.com/procurementanalytics/index/resorcinol-price-index/ (accessed on 28 May 2025).
- Ethanol Price Index. Available online: https://businessanalytiq.com/procurementanalytics/index/ethanol-price-index/ (accessed on 28 May 2025).
- Assis, C.A.; Greca, L.G.; Ago, M.; Balakshin, M.Y.; Jameel, H.; Gonzalez, R.; Rojas, O.J. Techno-Economic Assessment, Scalability, and Applications of Aerosol Lignin Micro- and Nanoparticles. ACS Sustain. Chem. Eng. 2018, 6, 11853–11868. [Google Scholar] [CrossRef] [PubMed]
- Glyoxal Price Trend and Forecast. Available online: https://www.chemanalyst.com/Pricing-data/glyoxal-1568 (accessed on 26 May 2025).
- Formaldehyde Price Index. Available online: https://businessanalytiq.com/procurementanalytics/index/formaldehyde-price-index/ (accessed on 28 May 2025).
- Furfuryl Alcohol Price Index. Available online: https://businessanalytiq.com/procurementanalytics/index/furfuryl-alcohol-price-index/ (accessed on 28 May 2025).
- Gedestilleerd Water. Available online: https://verzinkshop.nl/gedestilleerd-water-1-tot-5-liter/?srsltid=AfmBOoo5qsFZBXKN89Plois5cS_vZWZdClpCGTz5KuXu44lk21qTR8-Y (accessed on 28 May 2025).
- Wijeyekoon, S.; Suckling, I.; Fahmy, M.; Hall, P.; Bennett, P. Techno-economic analysis of tannin and briquette co-production from bark waste: A case study quantifying symbiosis benefits in biorefinery. Biofuels Bioprod. Biorefining 2021, 15, 1332–1344. [Google Scholar] [CrossRef]
Disclaimer/Publisher’s Note: The statements, opinions and data contained in all publications are solely those of the individual author(s) and contributor(s) and not of MDPI and/or the editor(s). MDPI and/or the editor(s) disclaim responsibility for any injury to people or property resulting from any ideas, methods, instructions or products referred to in the content. |
© 2025 by the authors. Licensee MDPI, Basel, Switzerland. This article is an open access article distributed under the terms and conditions of the Creative Commons Attribution (CC BY) license (https://creativecommons.org/licenses/by/4.0/).














