Dynamic Process Modeling and Innovative Tertiary Warning Strategy for Weir-Outburst Debris Flows in Huocheng County, China
Abstract
1. Introduction
2. Study Area
3. Data Sources
4. Methodology
4.1. Modeling of Debris-Flow Dynamic Processes
4.2. Simplification of Control Equations
4.3. Solution Algorithm
4.3.1. MacCormack–TVD Finite Difference Computation Algorithm
4.3.2. Adaptive Algorithms and Mesh Redistribution Algorithms
5. Results
5.1. Zangyinggou Tunnel Weir Failure Prediction
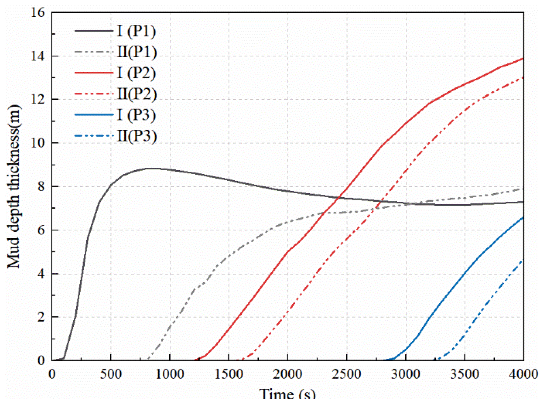
5.1.1. Prediction of Mud Depth Thickness
5.1.2. Prediction of Flow Rate
5.1.3. Summary
5.2. Kinematic Characteristics of Debris Flow Induced by Weir II’s Collapse
5.3. Early-Warning Thresholds Based on Debris-Flow Mud Levels
6. Discussion
6.1. Influences of the Rheological Parameters of Debris Flows
6.2. Methodological Framework and Limitations
6.3. Debris-Flow Early-Warning System and Strategies Based on Multiple Monitoring Methods
7. Conclusions
Author Contributions
Funding
Institutional Review Board Statement
Informed Consent Statement
Data Availability Statement
Conflicts of Interest
References
- Sun, Y.; Ge, Y.; Chen, X.; Zeng, L.; Liang, X. Risk assessment of debris flow along the northern line of the Si-chuan-Tibet highway. Geomat. Nat. Haz. Risk. 2023, 14, 1. [Google Scholar] [CrossRef]
- Ali, S.; Haider, R.; Abbas, W.; Basharat, M.; Reicherter, K. Empirical assessment of rockfall and debris flow risk along the Karakoram Highway, Pa-kistan. Nat. Hazards. 2021, 106, 2437–2460. [Google Scholar] [CrossRef]
- Qing, F.; Zhao, Y.; Meng, X.; Su, X.; Qi, T.; Yue, D. Application of Machine Learning to Debris Flow Susceptibility Mapping along the China–Pakistan Karakoram Highway. Remote Sens. 2020, 12, 2933. [Google Scholar] [CrossRef]
- Du, Y.; Liu, H.; Li, H.; Xie, M.; Chicas, S.; Wu, J.; Lv, F.; Wu, Y. Exploring the initiating mechanism, monitoring equipment and warning indicators of gully-type debris flow for disaster reduction: A review. Nat. Hazards 2024, 120, 13667–13692. [Google Scholar] [CrossRef]
- Han, X.; Yin, Y.; Wu, Y.; Wu, S. Risk assessment of population loss posed by earthquake-landslide-debris flow disaster chain: A case study in Wenchuan, China. ISPRS Int. J. Geo-Inf. 2021, 10, 363. [Google Scholar] [CrossRef]
- Allen, S.K.; Rastner, P.; Arora, M. Lake outburst and debris flow disaster at Kedarnath, June 2013: Hydrometeorological triggering and topographic predisposition. Landslides 2016, 13, 1479–1491. [Google Scholar] [CrossRef]
- Yang, H.; Chen, G.; Chong, Y.; Jin, J.; Shi, W. Quantitative Prediction of Outburst Flood Hazard of the Zhouqu "8.8" Debris Flow-Barrier Dam in Western China. Water 2021, 13, 639. [Google Scholar] [CrossRef]
- Ning, L.; Hu, K.; Wang, Z.; Luo, H.; Qin, H.; Zhang, X.; Liu, S. Multi-Hazard Chain Reaction Initiated by the 2020 Meilong Debris Flow in the Dadu River, Southwest China. Front. Earth. Sci. 2022, 10, 827438. [Google Scholar] [CrossRef]
- Chen, T.; Xu, G.; Hiraishi, T. New Understandings of the Shaziba Landslide-Debris Flow in Hubei Province, China. J. Earth. Sci. 2025, 36, 1632–1649. [Google Scholar] [CrossRef]
- Meng, Z.; Lyu, L.; Xu, M.; Yu, G.; Ma, C.; Wang, Z.; Stoffel, M. Effects of Frequent Debris Flows on Barrier Lake Formation, Sedimentation and Vegetation Disturbance, Palongzangbo River, Tibetan Plateau. Catena 2023, 220, 106697. [Google Scholar] [CrossRef]
- Nam, D.H.; Kim, M.; Kang, D.H.; Kim, B.S. Debris Flow Damage Assessment by Considering Debris Flow Direction and Direction Angle of Structure in South Korea. Water 2019, 11, 328. [Google Scholar] [CrossRef]
- Matthias, J.; Friele, P.A. Frequency and magnitude of debris flows on Cheekye River, British Columbia. Geomorphology 2010, 114, 382–395. [Google Scholar] [CrossRef]
- Ouyang, C.J.; He, S.M.; Xu, Q.; Luo, Y.; Zhang, W.C. A MacCormack-TVD Finite Difference Method to Simulate the Mass Flow in Mountainous Terrain With Variable Computational Domain. Comput. Geosci. 2013, 52, 1–10. [Google Scholar] [CrossRef]
- Pastor, M.; Tayyebi, S.M.; Stickle, M.M.; Yague, A.; Molinos, M.; Navas, P.; Manzanal, D. A Depth-Integrated, Coupled, Two-Phase Model for Debris Flow Propagation. Acta Geotech. 2021, 16, 2409–2433. [Google Scholar] [CrossRef]
- Yu, P.C.; Peng, X.Y.; Chen, G.Q.; Fu, H.Y.; Zhang, Y.B.; Han, Z.; Zhang, H. A New Coupled Depth-Integrated Model Incorporating 3D DDA on Debris Flow With Large Boulders. Int. J. Rock. Mech. Min. Sci. 2023, 170, 105496. [Google Scholar] [CrossRef]
- Zhang, N.; Matsushima, T. Simulation of Rainfall-Induced Debris Flow Considering Material Entrainment. Eng. Geol. 2016, 214, 107–115. [Google Scholar] [CrossRef]
- Tayyebi, S.M.; Pastor, M.; Hernandez, A.; Gao, L.; Stickle, M.M.; Yifru, A.L.; Thakur, V. Two-Phase Two-Layer Depth-Integrated SPH-FD Model: Application to Lahars and Debris Flows. Land 2022, 11, 1629. [Google Scholar] [CrossRef]
- Li, M.L.; Jiang, Y.J.; Yang, T. Early Warning Model for Slope Debris Flow Initiation. J. Mt. Sci. 2018, 15, 1342–1353. [Google Scholar] [CrossRef]
- Wang, X.; Wang, C.; Zhang, C. Early Warning of Debris Flow Using Optimized Self-Organizing Feature Mapping Network. Water 2020, 20, 2455–2470. [Google Scholar] [CrossRef]
- Li, J.; Tanoli, J.I.; Zhou, M.; Gurkalo, F. Monitoring and Early Warning Method of Debris Flow Expansion Behavior Based on Improved Genetic Algorithm and Bayesian Network. Water 2024, 16, 908. [Google Scholar] [CrossRef]
- Liu, K.F.; Wei, S.C. Real-Time Debris Flow Monitoring and Automated Warning System. J. Mt. Sci. 2024, 21, 4050–4061. [Google Scholar] [CrossRef]
- Hürlimann, M.; Coviello, V.; Bel, C.; Guo, X.J.; Berti, M.; Graf, C.; Hübl, J.; Miyata, S.; Smith, J.B.; Yin, H.Y. Debris-flow monitoring and warning: Review and examples. Earth-Sci. Rev. 2019, 199, 102981. [Google Scholar] [CrossRef]
- Coe, J.A.; Kinner, D.A.; Godt, J.W. Initiation conditions for debris flows generated by runoff at Chalk Cliffs, central Colorado. Geomorphology 2008, 96, 270–297. [Google Scholar] [CrossRef]
- Guo, X.; Cui, P.; Li, Y.; Zou, Q.; Kong, Y. The formation and development of debris flows in large watersheds after the 2008 Wenchuan Earthquake. Landslides 2016, 13, 25–37. [Google Scholar] [CrossRef]
- Comiti, F.; Marchi, L.; Macconi, P.; Arattano, M.; Bertoldi, G.; Borga, M.; Brardinoni, F.; Cavalli, M.; Agostino, V.D.; Penna, D.; et al. A new monitoring station for debris flows in the European Alps: First observations in the Gadria basin. Nat. Hazards 2014, 73, 1175–1198. [Google Scholar] [CrossRef]
- McArdell, B.W.; Bartelt, P.; Kowalski, J. Field observations of basal forces and fluid pore pressure in a debris flow. Geophys. Res. Lett. 2007, 34, L07406. [Google Scholar] [CrossRef]
- Suwa, H.; Okano, K.; Kanno, T. Forty years of debris-flow monitoring at Kamikamihorizawa Creek, Mount Yakedake, Japan. Ital. J. Eng. Geol. Environ. 2011, 605–613. [Google Scholar] [CrossRef]
- Hübl, J.; Schimmel, A.; Koschuch, R. Evaluation of Different Methods for Debris Flow Velocity Measurements at the Lattenbach Creek. In Proceedings of the International Symposium INTERPRAEVENT 2018 Toyama, Toyama, Japan, 26–30 November 2018; INTERPRAEVENT: Klagenfurt, Austria, 2018. Available online: https://archive.interpraevent.at/palm-cms/upload_files/Publikationen/Tagungsbeitraege/2018_1_2.pdf (accessed on 23 August 2025).
- Navratil, O.; Liébault, F.; Bellot, H.; Travaglini, E.; Theule, J.; Chambon, G.; Laigle, D. High-frequency monitoring of debris-flow propagation along the Réal Torrent, Southern French Prealps. Geomorphology 2013, 201, 157–171. [Google Scholar] [CrossRef]
- Hürlimann, M.; Abancó, C.; Moya, J.; Vilajosana, I. Results and experiences gathered at the Rebaixader debris-flow monitoring site, Central Pyrenees, Spain. Landslides 2014, 11, 939–953. [Google Scholar] [CrossRef]
- Yi, H.Y.; Huang, C.J.; Chen, C.Y.; Fang, Y.M.; Lee, B.J.; Chou, T.Y. The present development of debris flow monitoring technology in Taiwan–A case study presentation. Ital. J. Eng. Geol. Environ. 2013, 623–631. [Google Scholar] [CrossRef]
- Zhao, Y.; Li, Y.; Zheng, J.Y.; Wang, Y.R.; Meng, X.M.; Yue, D.X.; Guo, F.Y.; Chen, G.; Qi, T.J.; Zhang, Y.J. A New Rainfall Intensity−Duration Threshold Curve for Debris Flows Using Comprehensive Rainfall Intensity. Eng. Geol. 2025, 347, 107949. [Google Scholar] [CrossRef]
- NASA. Shuttle Radar Topography Mission. Available online: https://lpdaac.usgs.gov/products/srtmgl1v003/ (accessed on 13 August 2025).
- National Catalogue Service For Geographic Information. Available online: https://www.webmap.cn/commres.do?method=result25W (accessed on 13 August 2025).
- Mikoš, M.; Bezak, N. Debris Flow Modelling Using RAMMS Model in the Alpine Environment With Focus on the Model Parameters and Main Characteristics. Front. Earth. Sci. 2021, 8, 605061. [Google Scholar] [CrossRef]
- Jiang, L.C.; Xiang, H.Y.; Nan, J.; Bo, L.H.; Wen, Z.J. Risk assessment and landslide prevention design using numerical modelling—A case study in Qingliu, China. J. Mt. Sci. 2023, 20, 943–961. [Google Scholar] [CrossRef]
- Wang, D.P.; Li, Y.Z.; Wang, Z.W.; Yang, W.B.; Ouyang, C.J.; Zhu, X.; Scaringi, G. Threat from above! Assessing the risk from the Tonghua high-locality landslide in Sichuan, China. Landslides 2022, 19, 1–16. [Google Scholar] [CrossRef]
- Temam, R. Navier–Stokes Equations: Theory and Numerical Analysis; Studies in Mathematics and its Applications; North-Holland Publishing Co.: Amsterdam, The Netherlands, 1977; Volume 2. [Google Scholar] [CrossRef]
- Li, J.P.; Wang, S.H. Some Mathematical Problems in Geophysical Fluid Dynamics. In Handbook of Mathematical Fluid Dynamics; North-Holland: Amsterdam, The Netherlands, 2004; Volume III, pp. 535–657. [Google Scholar] [CrossRef]
- Iverson, R.; Ouyang, C.J. Entrainment of bed material by earthsurface mass flows: Review and reformulation of depth-integrated theory. Rev. Geophys. 2015, 53, 27–58. [Google Scholar] [CrossRef]
- Ouyang, C.; An, H.C.; Zhou, S.; Wang, Z.W.; Su, P.C.; Cheng, D.X.; She, J.X. Insights from the failure and dynamic characteristics of two sequential landslides at Baige village along the Jinsha River, China. Landslides 2019, 16, 1397–1414. [Google Scholar] [CrossRef]
- Savage, S.B.; Hutter, K. The motion of a finite mass of granular material down a rough incline. J. Fluid Mech. 1989, 199, 177–215. [Google Scholar] [CrossRef]
- Ouyang, C.J.; He, S.M.; Tang, C.A. Numerical analysis of dynamics of debris flow over erodible beds in Wenchuan earthquake-induced area. Eng. Geol. 2015, 194, 62–72. [Google Scholar] [CrossRef]
- Iverson, R.M.; George, D.L.; Logan, M. Modelling landslide liquefaction, mobility bifurcation and the dynamics of the 2014 Oso disaster. Géotechnique 2016, 66, 175–187. [Google Scholar] [CrossRef]
- Ouyang, C.J.; Zhao, W.; An, H.C.; Zhou, S.; Wang, D.P.; Xu, Q.; Li, W.L.; Peng, D.L. Early identification and dynamic processes of ridge-top rockslides: Implications from the Su Village landslide in Suichang County, Zhejiang Province, China. Landslides 2019, 16, 799–813. [Google Scholar] [CrossRef]
- Chen, J.; Chen, X.Q.; Li, Y.; Wang, F. An Experimental Study of Dilute Debris Flow Characteristics in a Drainage Channel with an Energy Dissipation Structure. Eng. Geol. 2015, 193, 224–230. [Google Scholar] [CrossRef]
- Dai, X.; Liu, Q.; Liu, Z.; Wu, X. Hazard Assessment of Highway Debris Flows in High-Altitude Mountainous Areas: A Case Study of the Laqi Gully on the China–Pakistan Highway. Sustainability 2025, 17, 6411. [Google Scholar] [CrossRef]
- Abbaszadeh Shahri, A.; Spross, J.; Johansson, F.; Larsson, S. Landslide Susceptibility Hazard Map in Southwest Sweden Using Artificial Neural Network. Catena 2019, 183, 104225. [Google Scholar] [CrossRef]
- Mishra, V.K.; Nareti, U.; Kumar, R.; Pant, T.; Aleem, A.; Singh, A.; Biable, S.E. GDF: A Novel Image Fusion Approach for Compelling Depiction of Earthly Features. J. Sens. 2023, 2023, 9429505. [Google Scholar] [CrossRef]
- Hutter, K.; Svendsen, B.; Rickenmann, D. Debris flow modeling: A review. Continuum Mech. Thermodyn. 1994, 8, 1–35. [Google Scholar] [CrossRef]
- Iverson, R.M. Debris-flow mechanics. In Debris-Flow Hazards and Related Phenomena; Jakob, M., Hungr, O., Eds.; Springer: Berlin, Germany, 2005; pp. 105–134. [Google Scholar] [CrossRef]
- Dong, L.; Shu, W.W.; Sun, D.Y.; Li, X.B.; Zhang, L.Y. Pre-Alarm System Based on Real-Time Monitoring and Numerical Simulation Using Internet of Things and Cloud Computing for Tailings Dam in Mines. IEEE Access 2017, 5, 21080–21089. [Google Scholar] [CrossRef]
- Sodnik, J.; Mikoš, M.; Bezak, N. Torrential Hazards’ Mitigation Measures in a Typical Alpine Catchment in Slovenia. Appl. Sci. 2023, 13, 11136. [Google Scholar] [CrossRef]
- Grandjean, G.; Hibert, C.; Mathieu, F.; Garel, E.; Malet, J.P. Monitoring water flow in a clay-shale hillslope from geophysical data fusion based on a fuzzy logic approach. C. R. Geosci. 2009, 341, 937–948. [Google Scholar] [CrossRef]
- Abbaszadeh Shahri, A.; Malehmir, A.; Juhlin, C. Soil classification analysis based on piezocone penetration test data—A case study from a quick-clay landslide site in southwestern Sweden. Eng. Geol. 2015, 189, 32–47. [Google Scholar] [CrossRef]
- Abbaszadeh Shahri, A. An Optimized Artificial Neural Network Structure to Predict Clay Sensitivity in a High Landslide Prone Area Using Piezocone Penetration Test (CPTu) Data: A Case Study in Southwest of Sweden. Geotech. Geol. Eng. 2016, 34, 745–758. [Google Scholar] [CrossRef]
- Ghaderi, A.; Abbaszadeh Shahri, A.; Larsson, S. A visualized hybrid intelligent model to delineate Swedish fine-grained soil layers using clay sensitivity. Catena 2022, 214, 106289. [Google Scholar] [CrossRef]
- Mirfallah Lialestani, S.P.; Parcerisa, D.; Himi, M.; Abbaszadeh Shahri, A. Generating 3D geothermal maps in Catalonia, Spain using a hybrid adaptive multitask deep learning procedure. Energies 2022, 15, 4602. [Google Scholar] [CrossRef]
- Abbaszadeh Shahri, A.; Kheiri, A.; Hamzeh, A. Subsurface Topographic Modeling Using Geospatial and Data Driven Algorithm. ISPRS Int. J. Geo-Inf. 2021, 10, 341. [Google Scholar] [CrossRef]
- Abbaszadeh Shahri, A.; Chunling, S.; Larsson, S. A hybrid ensemble-based automated deep learning approach to generate 3D geo-models and uncertainty analysis. Eng. Comput. 2024, 40, 1501–1516. [Google Scholar] [CrossRef]
- Shi, W.; Deng, S.; Xu, W. Extraction of multi-scale landslide morphological features based on local Gi* using airborne LiDAR-derived DEM. Geomorphology 2018, 303, 229–242. [Google Scholar] [CrossRef]














| Monitoring Station | Researchers | Basin Area (km2) | Monitoring Parameters | Technical Advantages |
|---|---|---|---|---|
| Chalk Cliffs (USA) | Coe et al. [23] | 0.3 | Rainfall, flow depth, pore water pressure, vibration | Erosion sensors and laser velocimetry |
| Ergou (China) | Guo et al. [24] | 39.4 | Rainfall, flow rate, flow depth, stresses | Measure the density with a force plate |
| Gadria (Italy) | Comiti et al. [25] | 6.3 | Rainfall, soil moisture, vibration, flow depths | Early-warning algorithm testing |
| Illgraben (Switzerland) | McArdell et al. [26] | 11.7 | Rainfall, vibration, flow depth, substrate stresses | Multi-parameter monitoring of shear walls |
| Kamikamihori (Japan) | Suwa et al. [27] | 0.8 | Rainfall, flow depth, vibration, tripwire sensors | Long-term monitoring of volcanic mudflows (1970 to present) |
| Lattenbach (Austria) | Hübl et al. [28] | 5.3 | Rainfall, 2D laser scanning, Doppler radar | Real-time measurement of channel flow velocity |
| Réal (France) | Navratil et al. [29] | 2.3 | Rainfall, flow depth, vibration | Distinguish between debris flow and flood types |
| Rebaixader (Spain) | Hürlimann et al. [30] | 0.53 | Rainfall, soil moisture, pore water pressure, vibration | Hydrological monitoring of source areas |
| Shenmu (Taiwan, China) | Yin et al. [31] | 72.2 | Rainfall, vibration, tripwire, soil moisture | Early-warning system for seismic signals |
| Stage | Region | Estimated Area (105 m2) | Maximum Stacking Thickness (m) | Maximum H × V (m2/s) |
|---|---|---|---|---|
| Pre-delusion | I | 1.46 | 26.5 | - |
| II | 0.76 | 18.96 | - | |
| After the collapse of a dam (at 4000 s) | I | 6.30 | 26.5 | 10.26 |
| II | 6.70 | 18.96 | 11.69 |
| Region | Thresholds | P1 Predicted Depth of Mud (m) | P2 Predicted Depth of Mud (m) | P3 Predicted Depth of Mud (m) |
|---|---|---|---|---|
| Weir I | Limit | 4.16 | 1.22 | 1.53 |
| Lower Limit | 3.12 | 0.61 | 0.38 | |
| Weir II | Limit | 2.30 | 3.70 | 2.00 |
| Lower Limit | 1.73 | 1.85 | 0.50 |
| - | Condition 1 | Condition 2 | Condition 3 |
|---|---|---|---|
| Parameter | - | ||
| Growth ratio | - | +50% | +50% |
| Accumulation area (m2) | 630,091 | 610,897 | 696,686 |
| Variation | - | −0.03% | +0.11% |
Disclaimer/Publisher’s Note: The statements, opinions and data contained in all publications are solely those of the individual author(s) and contributor(s) and not of MDPI and/or the editor(s). MDPI and/or the editor(s) disclaim responsibility for any injury to people or property resulting from any ideas, methods, instructions or products referred to in the content. |
© 2025 by the authors. Licensee MDPI, Basel, Switzerland. This article is an open access article distributed under the terms and conditions of the Creative Commons Attribution (CC BY) license (https://creativecommons.org/licenses/by/4.0/).
Share and Cite
Dai, X.; Song, X.; Zhang, Z.; Han, D.; Sun, F.; Maihamuti, M.; Ma, Y. Dynamic Process Modeling and Innovative Tertiary Warning Strategy for Weir-Outburst Debris Flows in Huocheng County, China. Sustainability 2025, 17, 7694. https://doi.org/10.3390/su17177694
Dai X, Song X, Zhang Z, Han D, Sun F, Maihamuti M, Ma Y. Dynamic Process Modeling and Innovative Tertiary Warning Strategy for Weir-Outburst Debris Flows in Huocheng County, China. Sustainability. 2025; 17(17):7694. https://doi.org/10.3390/su17177694
Chicago/Turabian StyleDai, Xiaomin, Xinjun Song, Zehao Zhang, Dongchen Han, Fukai Sun, Mayibaier Maihamuti, and Yunxia Ma. 2025. "Dynamic Process Modeling and Innovative Tertiary Warning Strategy for Weir-Outburst Debris Flows in Huocheng County, China" Sustainability 17, no. 17: 7694. https://doi.org/10.3390/su17177694
APA StyleDai, X., Song, X., Zhang, Z., Han, D., Sun, F., Maihamuti, M., & Ma, Y. (2025). Dynamic Process Modeling and Innovative Tertiary Warning Strategy for Weir-Outburst Debris Flows in Huocheng County, China. Sustainability, 17(17), 7694. https://doi.org/10.3390/su17177694

