Next Article in Journal
Sustainable Remediation Strategies and Technologies of Per- and Polyfluoroalkyl Substances (PFAS)-Contaminated Soils: A Critical Review
Previous Article in Journal
Circular Model for the Valorization of Black Grape Pomace for Producing Pasteurized Red Must Enriched in Health-Promoting Phenolic Compounds
 
 
Font Type:
Arial Georgia Verdana
Font Size:
Aa Aa Aa
Line Spacing:
Column Width:
Background:
Article

Effects of Replacing Nitrogen Fertilizer with Organic Fertilizer on Soil Physicochemical Properties and Maize Yield in Yunnan’s Red Soil

1
Faculty of Environmental Science and Engineering, Kunming University of Science and Technology, Kunming 650504, China
2
Yunnan Fuyuan County Agricultural Technology Extension Center, Qujing 655000, China
3
College of Biological Resources and Food Engineering, QuJing Normal University, Qujing 655011, China
*
Author to whom correspondence should be addressed.
Sustainability 2025, 17(14), 6634; https://doi.org/10.3390/su17146634
Submission received: 30 May 2025 / Revised: 10 July 2025 / Accepted: 17 July 2025 / Published: 21 July 2025

Abstract

Red soil regions commonly experience land degradation and low nutrient availability. Excessive fertilizer use in recent years has intensified these challenges, necessitating scientifically informed fertilization strategies to ensure agricultural sustainability. To identify optimal fertilization strategies for maize cultivation in Yunnan’s red soil regions, this study conducted field experiments involving partial substitution of nitrogen fertilizer with organic manure to determine whether this approach improves soil health and boosts maize yield. Four treatments were compared in a randomized complete block design over one growing season: no fertilization (NF), soil testing and formula fertilization (STF), 15% organic fertilizer (swine manure) replacing nitrogen fertilizer (OF15), and 30% organic fertilizer replacing nitrogen fertilizer (OF30). The results indicated that substituting organic fertilizer for nitrogen fertilizer reduced soil acidification while increasing total phosphorus (TP) and available phosphorus (AP), thereby enhancing soil physicochemical properties. Maize grown under OF30 exhibited improved agronomic traits including plant height, stem diameter, ear height, and ear length. Additionally, the partial replacement of synthetic fertilizer with organic fertilizer notably increased maize yield and the weight of 100 grains, but there was no significant difference (p < 0.05) between OF15 and OF30. Moreover, the OF30 treatment generated the highest economic return of 25,981.73 CNY·ha−1. Correlation and principal component analyses revealed that substituting organic fertilizer for nitrogen fertilizer notably influenced total nitrogen (TN), total phosphorus (TP), available phosphorus (AP), and yield, with maize yield positively correlated with TP and AP content. This study presents evidence that replacing 30% of nitrogen fertilizer with organic fertilizer is a viable strategy to enhance soil health, maize productivity, and profitability in Yunnan’s red soil regions, providing a crucial scientific foundation to support sustainable agricultural development in the region.

1. Introduction

Mineral fertilizers are a key input for intensive crop production systems, yet in Chinese agricultural practices, there is a prevalent tendency to apply excessive amounts of fertilizer in pursuit of maximizing crop yields. By the end of 2019, China had utilized a total of 54.03 million tons of agricultural fertilizer, surpassing the global average by 5 times [1]. China’s fertilizer application exceeds the economic optimum level, leading to diminishing returns and environmental costs [2,3]. While the application of chemical fertilizers has notably boosted crop productivity, prolonged use results in escalated costs, resource depletion, and environmental ramifications such as soil degradation and acidification, which detrimentally impact soil functionality and crop output in the long term [4,5,6,7]. Furthermore, China exhibits low efficiency in chemical fertilizer utilization, with plants only being able to absorb 30–40% of the applied nitrogen, leading to over 40% of the administered nitrogen fertilizer being lost to the atmosphere, groundwater, and surface water, contributing to severe surface pollution [8,9]. The effectiveness of applied phosphorus fertilizers is similarly diminished as they are lost through runoff, seepage, or fixation by other soil minerals [10,11]. Consequently, the challenge in agricultural research lies in optimizing fertilizer application to ensure both high and consistent yields.
Several scholars have suggested employing soil testing and formula fertilization technology to tailor fertilization practices to local soil conditions and reduce fertilizer usage [12,13,14]. While this approach can help mitigate some environmental issues stemming from chemical fertilizers, it does not address all related problems. Organic fertilizers, derived from agricultural organic waste such as crop straw and livestock manure, are rich in organic matter, nitrogen, phosphorus, and potassium [15]. Properly processed organic fertilizers not only offer a solution for managing livestock manure, but also enhance soil microbial environments, supply essential crop nutrients, and elevate agricultural product quality [16,17,18]. China has a significant amount of organic fertilizer resources, with an annual production of about 5.7 billion tons, mainly derived from livestock manure [19]. However, the utilization rate of organic fertilizers is relatively low, at approximately 40% [20]. Improving the recycling efficiency of organic fertilizers and replacing chemical fertilizers are effective strategies to increase crop yield, preserve fertilizers, and improve efficiency. The impact of replacing chemical fertilizers with organic alternatives on soil properties and crop yields during cultivation has garnered significant attention. Ma et al. [21] demonstrated that substituting 40% of chemical nitrogen with organic fertilizer not only enhances soil nutrient levels and boosts beneficial microorganism populations, but also stabilizes soil pH, leading to a substantial increase in garlic yield. Similarly, Jin et al. [22] and Sun et al. [23] highlighted that partial replacement of chemical fertilizers with organic counterparts can ameliorate soil physicochemical properties, with an optimal replacement ratio enhancing crop yields. Wang et al. [24] observed that utilizing organic fertilizers instead of nitrogen fertilizers enhances soil nitrogen utilization, bacterial and fungal abundance, and nitrogen-related enzyme activity, ultimately increasing rice yields. Shi et al. [25] demonstrated notable enhancements in the agronomic and photosynthetic characteristics of potato plants, including height, stem diameter, chlorophyll levels, and net photosynthetic rate, by replacing chemical fertilizers with organic alternatives. This substitution resulted in improved potato yields and tuber quality. Additionally, Li et al. [26] observed a significantly greater long-term yield enhancement effect from organic fertilizer usage compared to using only chemical fertilizers during a 30-year study period.
Red soil predominates in Yunnan Province, China, covering 30.28% of its cultivated land area and significantly influencing agricultural productivity [27]. This soil type is characterized by acidity, high levels of iron and aluminum oxides, low base saturation, and nutrient deficiencies [28,29,30]. The excessive use of chemical nitrogen fertilizers over the past three decades has exacerbated soil acidification [31]. Moreover, the acidic nature of red soil leads to strong phosphorus adsorption by iron and aluminum oxides, resulting in limited phosphorus availability, which constrains agricultural productivity in Yunnan’s red soil regions [29,32]. Given these constraints, identifying optimized fertilization strategies is critical. However, the substitution of organic matter for nitrogen fertilizer is uncommon in Yunnan’s red soil areas, hindering the adoption of organic fertilization practices. This study focuses on the typical red soil plots in Yunnan Province to investigate how replacing different ratios of nitrogen fertilizer with organic fertilizer impacts soil properties, agronomic characteristics, and maize yield. The aim is to identify an optimal fertilization strategy, explore the most effective combination of organic and inorganic fertilizers, and offer theoretical guidance for scientifically integrating manure into farming practices to enhance the red soil environment and agricultural productivity.

2. Materials and Methods

2.1. Experimental Site

The study was conducted in May 2022 in Tiechi Village (104°23′58″ E, 25°82′51″ N), Housuo Town, Fuyuan County, Qujing City, in the east of Yunnan Province, China, at an altitude of 1940 m. The area experiences an annual rainfall of approximately 1000 mm and an average annual temperature of 13.5 °C. The soil at the research site is classified as red soil with moderate texture and fertility, with the previous crop being fallow during the winter season. Prior to the experiment, the soil exhibited the following physicochemical properties: pH 5.8, organic matter content 43.7 g·kg−1, total nitrogen content 2.18 g·kg−1, available phosphorus content 73.26 mg·kg−1, and available potassium content 204 mg·kg−1.

2.2. Experiment Design

The field experiment was performed using a completely randomized block design with three replicates. The treatments were as follows: (1) no fertilization (NF), (2) soil testing formula fertilization (STF), (3) organic fertilizer replacing 15% of nitrogen fertilizer (OF15), and (4) organic fertilizer replacing 30% of nitrogen fertilizer (OF30). The application rates and nutrient ratios of N, P2O5, and K2O in the STF treatment were determined through a local fertilization practices survey combined with achievements from soil testing and formulated fertilization [33]. Numerous studies have confirmed that the combined application of organic and chemical fertilizers improves soil health and boosts crop yields, particularly at relatively low substitution rates (around 40%) [25,34,35,36]. Therefore, based on the STF treatment protocol, we established organic fertilizer substitution ratios for nitrogen in the OF15 and OF30 treatments. P2O5 and K2O inputs were matched to the STF treatment using stoichiometric calculations and adjusted according to the organic fertilizer’s P2O5 and K2O content.
Commercial chemical fertilizers including urea (46.40% N), calcium superphosphate (16.00% P2O5), and potassium sulfate (50.00% K2O) were purchased from Yunnan Yunwei Group Co., Ltd., Qujing, China. The organic fertilizer comprised processed dry swine manure with the following composition: 33.60% organic matter, 1.05% nitrogen (N), 1.82% phosphorus pentoxide (P2O5), and 1.66% potassium oxide (K2O), with a pH of 8.4 (on a dry weight basis). This material was sourced from Qujing Kangzhuang Fertilizer Industry Co., Ltd., Qujing, China. The details on the applied fertilizer quantities are listed in Table 1. Each experimental plot had an area of 30 m2 (8.33 m × 3.6 m). The test crop was maize (Zea mays L. cv. Xuanhui 7), which is a high-yielding, disease-resistant cultivar widely cultivated in the target region. The experiment was conducted over a single growing season in 2022, with summer maize sown on 17 May and harvested on 9 October. Before sowing, all of the organic fertilizer, calcium superphosphate, and potassium sulfate, plus 20% of the urea, was broadcast and mixed with the topsoil layer (0–20 cm) by rotary tillage. The remaining urea was applied in two split applications during the maize jointing and tasseling growth stages. No artificial irrigation was used throughout the growth cycle, and the crops relied solely on natural rainfall. All other management practices, including pest, disease, and weed control, were consistent across treatments.

2.3. Sample Collection and Index Determination

During maize maturity, three observation points per plot were selected. The plant height, stem diameter, and ear height of five consecutive plants were measured at each point using tape measures or vernier calipers [37]. At the maize harvest stage, the entire plot’s yield was measured, and indoor seed testing was conducted post-harvest to record economic traits such as ear length, ear diameter, ear rows, row number, bald tip length, and 100-grain weight [38]. Prior to maize harvest, soil samples were collected from the undisturbed plow layer (−20 cm) in each plot. Following the “S” method, five soil samples were taken from the plow layer (−20 cm) using an auger corer positioned approximately 20 cm away from the plants. These samples were then combined to create a single homogeneous bulk soil sample per plot. Visible residues such as rocks, roots, and organic debris were removed by sieving through a 2 mm mesh, and the samples were stored at a temperature of 4 °C [39]. Subsequently, the soil was air-dried and sieved through a 0.25 mm sieve for the analysis of its physicochemical properties.
Soil pH was measured using a pH meter (PE28, Mettler Toledo, Zurich, Switzerland) at a soil-to-water ratio of 1:5 (w/v). The cation exchange capacity (CEC) was determined using the hexamine cobalt trichloride spectrophotometric method and a spectrophotometer (UV-1200, Shanghai, China) [40]. The soil organic matter (SOM) content was determined using the K2Cr2O7 volumetric method [41]. Total nitrogen (TN) was measured using a Kjeldahl nitrogen analyzer (K9840, Dezhou, China), and total phosphorus (TP) was measured using the molybdenum blue colorimetric analysis via a spectrophotometer (UV-1200, Shanghai, China) [42]. Total potassium (TK) was determined via flame photometry (FP640, Shanghai, China) [43]. Hydrolyzable nitrogen (AN) was determined by the alkali diffusion method absorbed in boric acid [44]. Soil available phosphorus (AP) was determined after extraction with 0.5 M NaHCO3 using the ammonium molybdate-ascorbic acid method and a spectrophotometer (UV-1200, Shanghai, China), and soil available potassium (AK) was measured using flame photometry (FP640, Shanghai, China) in ammonium acetate (NH4OAc) extract [45].

2.4. Economic Analysis

This field experiment focuses on assessing the efficiency of various fertilizer products. Costs included organic fertilizer, urea, superphosphate, and potassium sulfate, but excluded expenses related to seeds, pesticides, and labor, as these inputs were assumed to be constant across treatments. The yield of each treatment was monetized using a unit price of 3.00 CNY·kg−1 at harvest. Economic returns were determined by following the methodology outlined by Liu et al. [46].
The economic benefit (Eb) was calculated as follows:
E b = Y   ×   U p
where Y is the maize yield (kg·ha−1) and Up is the unit price (CNY·kg−1).
The net profit (Np) was calculated as follows:
N p = E b     F w
where Fw is the fertilizer input (CNY·ha−1).
The economic benefit growth (Eg) was calculated as follows:
E g = E b i     E bc E b c
where Ebi is the economic benefit of the treatments (CNY·ha−1) and Ebc is the economic benefit of no fertilization (CNY·ha−1, NF).
The net profit growth (Ng) was calculated as follows:
N g = N pi     N pc N pc
where Npi is the net profit of the treatments (CNY·ha−1) and Npc is the net profit of no fertilization (CNY·ha−1, NF).

2.5. Data Analysis

One-way ANOVA with LSD post hoc testing (SPSS 26.0, SPSS Inc., Chicago, IL, USA) identified significant differences (p < 0.05) in soil physicochemical properties, maize agronomic traits, and yield among fertilizer treatments, with data expressed as the mean ± SD. Relationships between soil properties and maize yield were analyzed using Pearson correlation and principal component analysis (PCA), visualized in Origin 2021 (OriginLab, Northampton, MA, USA).

3. Results

3.1. Physicochemical Properties of Soil

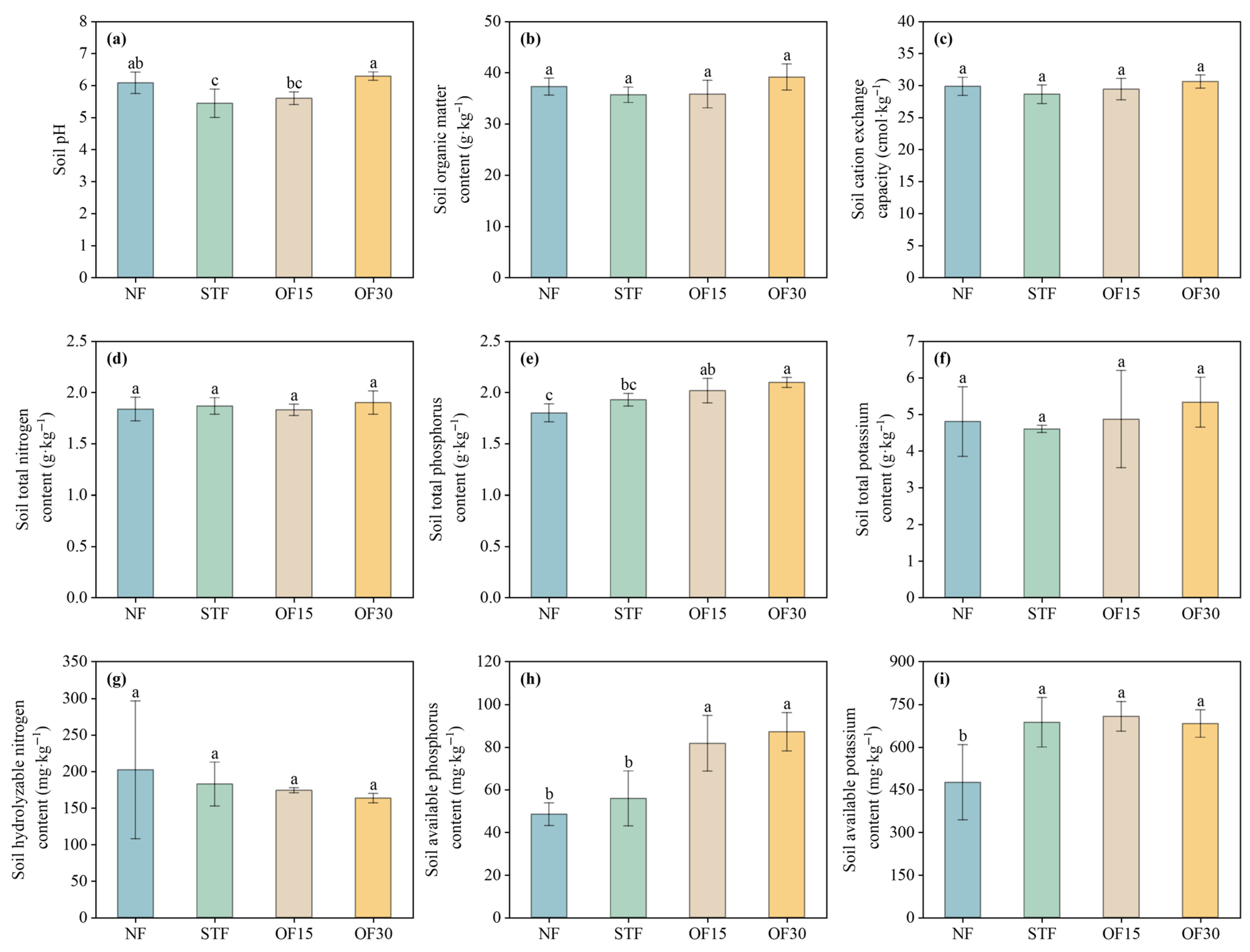
Figure 1 illustrates the impact of various fertilization treatments on soil physicochemical properties. In Figure 1a, it is evident that the STF treatments lead to soil acidification, resulting in a decrease in pH from 6.07 in the NF treatment to 5.44. Conversely, substituting a portion of nitrogen fertilizer with organic fertilizer increases soil pH, with the pH reaching 6.29 in the OF30 treatment, which is significantly higher than that in the STF treatment. The total phosphorus content in the OF30 treatment is notably higher than that in the NF and STF treatments. Soil nutrient availability is crucial for crop growth and is a key indicator of soil quality. Substituting nitrogen with organic fertilizer leads to a significant increase in the soil’s available phosphorus content compared to the NF treatment. Soil organic matter, cation exchange capacity, total nitrogen, total potassium, hydrolyzable nitrogen, and available potassium show no significant changes when nitrogen is partially replaced with organic fertilizer. The above results show that substituting nitrogen fertilizer with organic fertilizer can mitigate the soil acidification induced by chemical fertilizers and optimize soil physicochemical properties.

3.2. Agronomic Traits of Maize

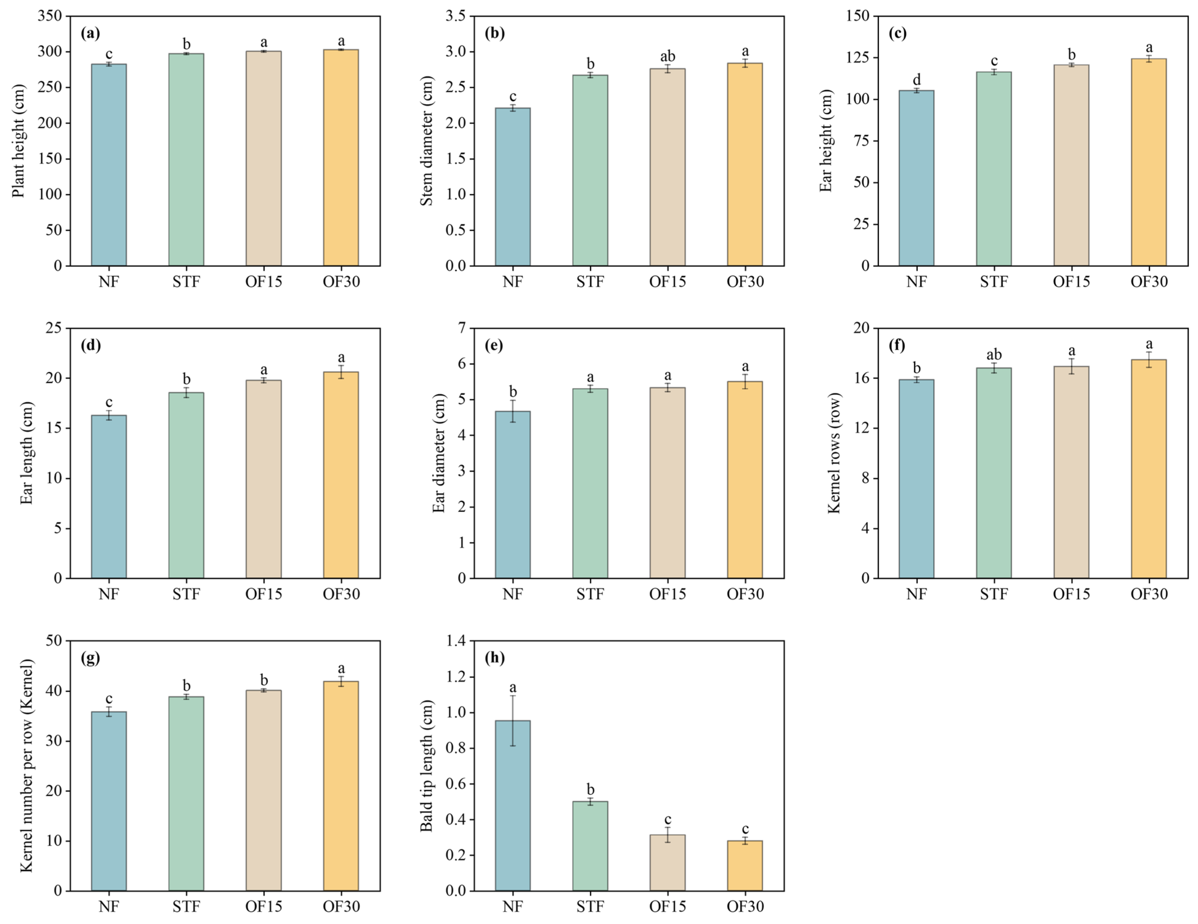
Chemical and organic fertilizers significantly enhanced maize growth (Figure 2). Specifically, the STF treatment increased plant height by 5.21% (from 282.33 cm to 297.03 cm) compared to NF. Treatments that substituted a portion of nitrogen fertilizer with organic fertilizer (OF) further enhanced plant height by 1.09% (OF15) and 1.93% (OF30) over STF. Moreover, stem diameter increased by 20.81% in STF (2.67 cm) versus NF (2.21 cm). The OF30 treatment outperformed STF, increasing stem diameter by an additional 6.24%. Similarly, STF increased ear height by 10.58% compared to NF, while OF treatments increased it by 3.64% (OF15) and 6.79% (OF30) compared to STF. Fertilizer applications also enhanced yield-related traits: OF treatments increased ear length by 6.56% (OF15) and 11.15% (OF30) and reduced bald tip length by 37.33% (OF15) and 44.00% (OF30) in comparison to STF. In addition, the OF30 treatment resulted in a significantly higher number of kernels per row compared to other treatments. Notably, there were no significant differences in plant height, stem diameter, ear length, ear diameter, kernel rows, or bald tip length between the OF15 and OF30 treatments. Overall, the maize agronomic traits obtained with OF15 and OF30 nitrogen fertilizer replacements surpassed those of NF and STF treatments, with the OF30 treatment exhibiting the most favorable agronomic characteristics.

3.3. Maize Yield

Maize yield responded differentially to fertilizer treatments (Figure 3). In comparison to the NF treatment, all fertilizer treatments led to a significant increase in 100-grain weight. Specifically, the STF treatment exhibited a 5.23% increase in 100-grain weight compared to the NF treatment. Moreover, substituting a portion of nitrogen fertilizer with organic fertilizer (OF) increased 100-grain weight by 5.81% (OF15) and 8.84% (OF30) compared to STF, achieving final weights of 32.88 g (OF15) and 33.82 g (OF30), respectively. Regarding maize yield, both treatments with fertilizer and those substituting a portion of nitrogen fertilizer with organic fertilizer resulted in a significant increase in crop yield. The STF treatment increased maize yield by 22.53% compared to NF. OF treatments further improved yield by 8.92% (OF15) and 13.44% (OF30) compared to STF, but OF15 and OF30 did not differ significantly. Overall, partial substitution of nitrogen fertilizer with formulated organic fertilizer improved maize yield and 100-grain weight.

3.4. Crop Economic Benefit

Table 2 demonstrates the significant impact of various fertilization strategies on the economic returns of maize cultivation. Substituting nitrogen fertilizer with organic fertilizer, particularly in the OF30 treatment, substantially enhances the total output value of maize production. The OF30 treatment yielded the highest total output value of 30,396.21 CNY·ha−1, representing a 13.43% increase compared to the STF treatment, equivalent to a gain of 3599.95 CNY·ha−1. Moreover, the net profit of the OF30 treatment notably surpassed that of the NF, STF, and OF15 treatments, reaching 25,981.73 CNY·ha−1. Specifically, the net profit of the OF30 treatment outperformed that of the STF treatment by 2493.70 CNY·ha−1, reflecting an 10.62% increase. In summary, adopting the OF30 treatment proves advantageous in maximizing profits while ensuring yield enhancement.

3.5. Correlation Analysis Between Yield and Soil Physicochemical Properties

PCA analysis of the soil’s physicochemical properties and yield revealed that PC1 (34.6%) and PC2 (23.1%) captured 57.7% of the total variance, indicating additional factors (Figure 4a). PC1 exhibited a negative correlation with CEC and a positive correlation with other parameters, while PC2 was mainly associated with pH and AN. The OF15 and OF30 treatments were situated on the positive axis of PC1, which was positively linked to TN, TP, AP, and yield. Significantly differing from the NF treatment along the PC1 axis, the OF15 and OF30 treatments demonstrated enhanced soil properties and increased yield, suggesting the beneficial impact of substituting organic fertilizer for chemical fertilizer. Pearson correlation analysis further confirmed positive relationships between maize yield and soil properties. Specifically, yield correlated strongly with AP (r = 0.66, p < 0.01) and weakly with TP (r = 0.63, p < 0.05). Notably, significant interrelationships emerged among other soil parameters: AK demonstrated a strong positive correlation with AP (r = 0.72, p < 0.01), a weak positive correlation with TP (r = 0.61, p < 0.05), and a weak negative correlation with pH (r = −0.54, p < 0.05), while SOM exhibited a strong positive correlation with TN (r = 0.77, p < 0.01) and a weak positive correlation with TK (r = 0.53, p < 0.05). These patterns elucidate the mechanisms underlying soil properties’ influence on maize productivity (Figure 4b).

4. Discussion

4.1. Effects of Different Fertilization Treatments on Soil Physicochemical Properties

The study demonstrated that substituting organic fertilizer for nitrogen fertilizer enhanced red soil properties in Yunnan. The application of chemical fertilizers (STF) resulted in a significant decrease in soil pH, with nitrogen input identified as a key factor in soil acidification [47]. Our observed pH decline under nitrogen fertilizer application aligns with the established mechanisms reported in the literature [48,49]. Previous research indicates that urea-based nitrogen fertilizers can trigger ammoniation and nitrification processes, potentially leading to leaching losses of alkaline cations alongside nitrate anions [50,51]. Conversely, organic manure’s alkalinity (pH 8.4) and reduced nitrification from lower urea use jointly raised soil pH [52]. Moreover, it may also be attributed to the input of substantial alkaline cations (Ca2+, Mg2+) from organic fertilizer [53], the decarboxylation of organic anions releasing OH during organic carbon mineralization, and the protonation of organic molecules consuming H+ [54,55]. Additionally, previous studies have reported that organic fertilizer application was observed to effectively ameliorate soil acidification by promoting nitrogen mineralization, enhancing ammonium immobilization, facilitating autotrophic nitrification, and increasing nitrate consumption [56,57,58].
The results indicate no significant differences in SOC, CEC, N, and K content among the treatments. This may be explained by the soil testing formula fertilization approach, which ensured precise nutrient inputs that likely approximated crop uptake [59], potentially limiting soil residue accumulation, and the experimental soil’s inherently high fertility, which may have diminished the additional effect of short-term fertilization. Similarly, CEC stability suggests that organic inputs need longer durations to impact cation retention [60,61]. Conversely, substituting nitrogen fertilizer with organic fertilizer could enhance TP and AP content. Application of organic and inorganic fertilizers was found to enhance the accumulation of total phosphorus and total potassium in soil. Specifically, the TP content in the OF30 treatment was significantly higher compared to the STF treatment. OF30 increased AP by 56.02% versus STF, likely via organic acid-driven P solubilization [62,63]. Furthermore, certain oxygen-soluble organic groups can also compete with phosphate anions for adsorption sites, facilitating phosphorus release [64]. Additionally, dissolved organic matter can form complexes with iron and aluminum oxides, encapsulating soil mineral phosphorus adsorption sites and reducing phosphorus adsorption likelihood [62,65]. Zhang et al. [66] showed that high substitution rates of manure that is used as a phosphorus source significantly decreased the solubility of inorganic phosphorus while enhancing the mineralization capacity of organic phosphorus.

4.2. Effects of Different Fertilization Treatments on Maize Agronomic Characteristics

Agronomic traits are key indicators of crop growth and development, while crop yield serves as a crucial measure for assessing changes in soil fertility [67,68]. Utilizing scientific fertilization models can enhance crop agronomic traits and boost crop productivity [69]. By partially substituting chemical fertilizer with organic fertilizer, a balance can be struck between the longevity of organic fertilizer and the immediacy of chemical fertilizer, ensuring a rapid supply of essential nutrients during the initial growth stages and serving as a consistent nutrient source throughout subsequent crop development [70]. Additionally, organic fertilizers may promote soil aggregate formation, potentially improving soil structure to enhance water infiltration and retention, aeration, and root development, which can ultimately benefit maize growth [71,72]. Studies indicate that the combined application of organic and inorganic fertilizers can enhance the nutrient uptake efficiency of maize, leading to increased nutrient accumulation [73,74,75]. The study by Mahmood et al. [76] found that the combined application of organic and inorganic fertilizers significantly enhanced maize growth, markedly increasing leaf area and biomass. Similarly, studies by He et al. [77] demonstrated that partial substitution of chemical fertilizers with organic manure during application can increase the plant height and stem diameter of maize at various growth stages, effectively improve ear traits (with significant increases in ear length and the number of rows per ear), and enhance yield-related traits. Our investigation revealed that maize treated with varying ratios of organic and chemical fertilizers exhibited superior agronomic traits—such as plant height, stem diameter, ear length, crown size, ear height, kernels per row, and rows per ear—compared to those treated solely with soil testing formula fertilizer. These findings underscore the potential of well-suited organic and chemical fertilizers to stimulate maize growth and elevate maize yield in the typical red soil region of Yunnan Province.

4.3. Effects of Different Fertilization Treatments on Maize Yield and Economic Benefit

The application of organic fertilizer as a partial replacement for chemical fertilizer has been shown to enhance soil physicochemical properties, increase TP and AP levels, and boost maize yield. The higher 100-grain weight observed in OF30 indicates improved seed filling, potentially enhancing market value. Critically, enhanced agronomic traits directly contributed to the increased maize grain weight. However, PC1 and PC2 explained 57.7% of the variance, suggesting that other factors, such as improvements in soil physical properties (e.g., bulk density, aggregates) or rhizosphere microbial collaboration, may also influence yield [71,78], warranting further investigation.
This study observed an increase in TP and AP following the use of organic substitute fertilizer. The alteration of soil phosphorus content was a primary driver of yield enhancement under organic substitution. Notably, maize yield exhibited higher correlation with AP (r = 0.66, p < 0.01), suggesting improved P uptake (Figure 4b). Previous studies suggest that phosphorus uptake in maize grains primarily occurs through root absorption during the later stages of growth, with minimal contribution from phosphorus transfer in the early vegetative phase [79]. The accumulation of phosphorus uptake during the middle and late stages of maize growth constitutes approximately 50% of the entire growth period [80], underscoring the essential role of phosphorus in maize yield formation. The present study demonstrated that, compared to other treatments, a significantly higher maize yield occurred when organic fertilizer partially replaced nitrogen fertilizer, with yield increasing proportionally to the replacement ratio. This outcome may be due to the elevated inputs of P2O5 and K2O under higher nitrogen substitution rates in OF30 compared to those of STF and OF15. The gradual release of nutrients from organic fertilizer can fulfill the phosphorus requirements during the middle and late stages of maize growth [70], thereby promoting yield enhancement. Organic fertilizer application can elevate acid and alkaline phosphatase levels in soil, alter the form of phosphorus in red soil, boost the diversity of the microbial community carrying the alkaline phosphatase gene, and facilitate crop phosphorus accumulation [81]. Zhang et al. [82] demonstrated that organic fertilizer stimulated the activity and abundance of microorganisms involved in phosphorus mobilization processes, thereby improving soil phosphorus cycling and availability and promoting crop yield increase.
However, despite the higher P2O5 inputs of OF30, its yield did not differ significantly from OF15. This yield plateau suggests that phosphorus sufficiency was achieved at the 15% substitution level [83], with the additional phosphorus in OF30 providing no further yield benefit. The OF30 treatment is robustly recommended for maximizing profitability and sustainability. It achieved the highest net profit (25,981.73 CNY·ha−1), outperforming STF by 10.62% despite higher manure costs, while delivering a 38.99% economic benefit increase over NF. This cost effectiveness aligns with Sustainable Development Goal 2 (SDG 2) by enhancing productivity while increasing economic benefits through organic soil amendments, a critical pathway toward sustainable intensification [84].

5. Conclusions

In conclusion, the application of organic fertilizer as a partial substitute for nitrogen fertilizer in the typical red soil farmland in Yunnan Province has been found to elevate soil pH, as well as increase TP and AP contents. Maize plants treated with organic fertilizer partially replacing nitrogen fertilizer exhibited superior agronomic traits, including plant height, stem diameter, bald tip length, and ear height, compared to those subjected to direct chemical fertilizer application and formula fertilization based on soil testing. The OF30 treatment exhibited the highest maize yield at 10,132.07 kg·ha−1 and generated the highest net profit of 25,981.73 CNY·ha−1. Principal component analysis revealed a positive correlation between maize yield and soil TP as well as AP. This suggests that soil total phosphorus and available phosphorus are the primary limiting factors for maize yield following the substitution of nitrogen fertilizer with organic fertilizer. To advance the scientific understanding and practical application of this approach, future studies should investigate microbially mediated phosphorus transformation mechanisms under continuous organic substitution, optimize substitution ratios by integrating soil carbon–phosphorus stoichiometry with crop nutrient use efficiency, and assess carry-over effects on subsequent crops through field trials.

Author Contributions

Conceptualization, Z.L. and W.A.; methodology, Z.L. and W.A.; validation, Q.D. and H.R.; investigation, Z.L. and Q.L.; resources, Q.L., H.L., and P.Z.; writing—original draft preparation, Z.L.; writing—review and editing, S.W., H.L., and P.Z.; visualization, S.W.; funding acquisition, Z.L., H.L., and P.Z. All authors have read and agreed to the published version of the manuscript.

Funding

This research was funded by the Yunnan Southwest United Graduate School Science and Technology Special Project (202302AP370002) and the Kunming University of Science and Technology “Double First-Class” Initiative Joint Special Project (202201BE070001-012). The funders had a role in the study design, data collection and analysis, decision to publish, and preparation of the paper.

Institutional Review Board Statement

Not applicable.

Informed Consent Statement

Not applicable.

Data Availability Statement

The data is contained within the article.

Conflicts of Interest

The authors declare that they have no known competing financial interests or personal relationships that could have appeared to influence the work reported in this paper.

References

  1. Tan, S.J.; Xie, D.T.; Ni, J.P.; Chen, F.X.; Ni, C.S.; Shao, J.A.; Zhu, D.; Wang, S.; Lei, P.; Zhao, G.Y.; et al. Characteristics and influencing factors of chemical fertilizer and pesticide applications by farmers in hilly and mountainous areas of Southwest, China. Ecol. Indic. 2022, 143, 109346. [Google Scholar] [CrossRef]
  2. Xia, Y.Q.; Yan, X.Y. Ecologically optimal nitrogen application rates for rice cropping in the Taihu Lake region of China. Sustain. Sci. 2012, 7, 33–44. [Google Scholar] [CrossRef]
  3. Huang, S.H.; He, P.; Jia, L.L.; Ding, W.C.; Ullah, S.; Zhao, R.R.; Zhang, J.J.; Xu, X.P.; Liu, M.C.; Zhou, W. Improving nitrogen use efficiency and reducing environmental cost with long-term nutrient expert management in a summer maize-winter wheat rotation system. Soil Tillage Res. 2021, 213, 105117. [Google Scholar] [CrossRef]
  4. Li, T.; Chu, C.; Zhang, Y.; Ju, M.; Wang, Y. Contrasting eutrophication risks and countermeasures in different water bodies: Assessments to support targeted watershed management. Int. J. Environ. Res. Public Health 2017, 14, 695. [Google Scholar] [CrossRef] [PubMed]
  5. Xia, H.; Riaz, M.; Zhang, M.; Liu, B.; El-Desouki, Z.; Jiang, C. Biochar increases nitrogen use efficiency of maize by relieving aluminum toxicity and improving soil quality in acidic soil. Ecotoxicol. Environ. Saf. 2020, 196, 110531. [Google Scholar] [CrossRef] [PubMed]
  6. Yue, Q.; Ledo, A.; Cheng, K.; Albanito, F.; Lebender, U.; Sapkota, T.B.; Brentrup, F.; Stirling, C.M.; Smith, P.; Sun, J.F.; et al. Re-assessing nitrous oxide emissions from croplands across Mainland China. Agric. Ecosyst. Environ. 2018, 268, 70–78. [Google Scholar] [CrossRef]
  7. Cui, N.X.; Cai, M.; Zhang, X.; Abdelhafez, A.A.; Zhou, L.; Sun, H.F.; Chen, G.F.; Zou, G.Y.; Zhou, S. Runoff loss of nitrogen and phosphorus from a rice paddy field in the east of China: Effects of long-term chemical N fertilizer and organic manure applications. Glob. Ecol. Conserv. 2020, 22, e01011. [Google Scholar] [CrossRef]
  8. Curci, P.L.; Bergès, H.; Marande, W.; Maccaferri, M.; Tuberosa, R.; Sonnante, G. Asparagine synthetase genes (AsnS1 and AsnS2) in durum wheat: Structural analysis and expression under nitrogen stress. Euphytica 2018, 214, 36. [Google Scholar] [CrossRef]
  9. Frink, C.R.; Waggoner, P.E.; Ausubel, J.H. Nitrogen fertilizer: Retrospect and prospect. Proc. Natl. Acad. Sci. USA 1999, 96, 1175–1180. [Google Scholar] [CrossRef]
  10. Wang, H.; Tang, S.; Han, S.; Li, M.; Cheng, W.L.; Bu, R.Y.; Cao, W.D.; Wu, J. Effects of long-term substitution of chemical fertilizer with Chinese milk vetch on soil phosphorus availability and leaching risk in the double rice systems of Eastern China. Field Crops Res. 2023, 302, 109047. [Google Scholar] [CrossRef]
  11. Carver, R.E.; Nelson, N.O.; Roozeboom, K.L.; Kluitenberg, G.J.; Tomlinson, P.J.; Kang, Q.; Abel, D.S. Cover crop and phosphorus fertilizer management impacts on surface water quality from a no-till corn-soybean rotation. J. Environ. Manag. 2022, 301, 113818. [Google Scholar] [CrossRef]
  12. Pandey, R.N.; Trivedi, A.; Sharma, V.K.; Chobhe, K.A.; Dey, P.; Chandra, S. Soil test-based fertilizer prescription for targeted yield of sesame (Sesamum Indicum, L.). Commun. Soil Sci. Plant Anal. 2023, 54, 2572–2578. [Google Scholar] [CrossRef]
  13. Zhao, F.C.; Li, F.; Zhou, J.; Sun, X.L.; Wang, Y.; Jing, L.Q.; Hou, J.F.; Bao, F.; Wang, G.Y.; Chen, B. Soiltesting formula fertilization with organic fertilizer addition for target yield cannot stand long due to stem lodging of rice. Front. Plant Sci. 2022, 13, 1091156. [Google Scholar] [CrossRef]
  14. Rodriguez, D.G.P. An Assessment of the Site-Specific Nutrient Management (SSNM) Strategy for Irrigated Rice in Asia. Agriculture 2020, 10, 559. [Google Scholar] [CrossRef]
  15. Bebber, D.P.; Richards, V.R. A meta-analysis of the effect of organic and mineral fertilizers on soil microbial diversity. Appl. Soil Ecol. 2022, 175, 104450. [Google Scholar] [CrossRef]
  16. Jiang, Y.P.; Li, K.R.; Chen, S.F.; Fu, X.L.; Feng, S.Y.; Zhuang, Z.S. A sustainable agricultural supply chain considering substituting organic manure for chemical fertilizer. Sustain. Prod. Consum. 2022, 29, 432–446. [Google Scholar] [CrossRef]
  17. Liu, X.L.; Yang, W.P.; Li, W.G.; Ali, A.; Chen, J.; Sun, M.; Gao, Z.Q.; Yang, Z.P. Moderate organic fertilizer substitution for partial chemical fertilizer improved soil microbial carbon source utilization and bacterial community composition in rain-fed wheat fields: Current year. Front. Microbiol. 2023, 14, 1190052. [Google Scholar] [CrossRef] [PubMed]
  18. Wang, C.L.; Ma, Y.Q.; He, W.H.; Kuzyakov, Y.; Bol, R.; Chen, H.Q.; Fan, M.S. Soil quality and ecosystem multifunctionality after 13-year of organic and nitrogen fertilization. Sci. Total Environ. 2024, 931, 172789. [Google Scholar] [CrossRef] [PubMed]
  19. Niu, X.; Ju, X. Organic fertilizer resources and utilization in China. J. Plant Nutr. Fert. 2017, 23, 1462–1479. [Google Scholar] [CrossRef]
  20. Du, W.; Tang, S.; Wang, H. The status of organic fertilizer industry and organic fertilizer resources in China. Soil Fertil. Sci. China 2020, 3, 210–219. [Google Scholar]
  21. Ma, Y.J.; Shen, S.Z.; Wan, C.; Wang, S.Q.; Yang, F.X.; Zhang, K.Q.; Gao, W.X. Organic fertilizer substitution over six years improves the productivity of garlic, bacterial diversity, and microbial communities network complexity. Appl. Soil Ecol. 2023, 182, 104718. [Google Scholar] [CrossRef]
  22. Jin, L.; Jin, N.; Wang, S.Y.; Li, J.W.; Meng, X.; Xie, Y.D.; Wu, Y.; Luo, S.L.; Lyu, J.; Yu, J.H. Changes in the Microbial Structure of the Root Soil and the Yield of Chinese Baby Cabbage by Chemical Fertilizer Reduction with Bio-Organic Fertilizer Application. Microbiol. Spectr. 2022, 10, e01215-22. [Google Scholar] [CrossRef] [PubMed]
  23. Chao, S.; Hua, Z.; Shuxia, H.; Qing, Z.; Yuxi, L.; Hai, L. Partial substitution of chemical fertilizer by organic fertilizer increases yield, quality and nitrogen utilization of Dioscorea polystachya. PLoS ONE 2024, 19, e0301108. [Google Scholar] [CrossRef]
  24. Wang, J.; Wang, F.; Sha, Z.; Cao, L. Enhancing soil nitrogen supply and maintaining rice yield through partial replacement of chemical nitrogen with food waste-derived organic fertilizer. Plant Soil 2023, 492, 625–639. [Google Scholar] [CrossRef]
  25. Shi, M.; Guo, A.; Kang, Y.; Zhang, W.; Fan, Y.; Yang, X.; Zhang, R.; Wang, Y.; Li, Y.; Qin, S. Partial substitution of chemical fertilizer with organic manure enhances yield attributes and tuber quality in potato. J. Soil Sci. Plant Nutr. 2023, 23, 3932–3943. [Google Scholar] [CrossRef]
  26. Hui, L.; Feng, W.-t.; He, X.-h.; Ping, Z.; Gao, H.-j.; Nan, S.; Xu, M.-g. Chemical fertilizers could be completely replaced by manure to maintain high maize yield and soil organic carbon (SOC) when SOC reaches a threshold in the Northeast China Plain. J. Integr. Agric. 2017, 16, 937–946. [Google Scholar] [CrossRef]
  27. Liu, J.; Guo, S.; Lei, B.; Guo, Y. Effects of green manure production and utilization on the physiochemical properties of red soil and maize yield in Yunnan Plateau. J. Plant Nutr. Fert. 2022, 28, 237–246. [Google Scholar] [CrossRef]
  28. Zhu, Z.Y.; Zhou, H.Y.; Xu, Y.F.; Ouyang, T.P.; Deng, Q.L. Environmental problems of red soil along the coast of South China. Soil Use Manag. 2002, 18, 39–44. [Google Scholar] [CrossRef]
  29. Yu, W.; Ding, X.; Xue, S.; Li, S.; Liao, X.; Wang, R. Effects of organic-matter application on phosphorus adsorption of three soil parent materials. J. Soil Sci. Plant Nutr. 2013, 13, 1003–1017. [Google Scholar] [CrossRef]
  30. Xie, J.; Liang, F.; Liu, Z.B.; Jiang, G.J.; Zhang, Q. Acidification characteristics and its influencing factors of red paddy soil derived from four parent materials in Southeast of China. Geoderma Reg. 2023, 34, e00673. [Google Scholar] [CrossRef]
  31. Zhu, Q.; de Vries, W.; Liu, X.; Hao, T.; Zeng, M.; Shen, J.; Zhang, F. Enhanced acidification in Chinese croplands as derived from element budgets in the period 1980–2010. Sci. Total Environ. 2018, 618, 1497–1505. [Google Scholar] [CrossRef]
  32. do Carmo Horta, M.; Torrent, J. Phosphorus desorption kinetics in relation to phosphorus forms and sorption properties of Portuguese acid soils. Soil Sci. 2007, 172, 631–638. [Google Scholar] [CrossRef]
  33. Ao, W. Research on soil testing and formulated fertilization techniques for main crops in Fuyuan County. Prim. Agric. Technol. Ext. 2019, 7, 44–46. [Google Scholar]
  34. Pan, Y.H.; Guo, J.J.; Fan, L.Y.; Ji, Y.; Liu, Z.; Wang, F.; Pu, Z.X.; Ling, N.; Shen, Q.R.; Guo, S.W. The source-sink balance during the grain filling period facilitates rice production under organic fertilizer substitution. Eur. J. Agron. 2022, 134, 126468. [Google Scholar] [CrossRef]
  35. Liao, B.; Liao, P.; Hu, R.; Cai, T.; Zhang, Y.; Yu, Q.; Zhang, B.; Shu, Y.; Wang, J.; Luo, Y.; et al. Mitigating ammonia volatilization in rice cultivation: The impact of partial organic fertilizer substitution. Chemosphere 2023, 344, 140326. [Google Scholar] [CrossRef]
  36. Wang, Y.F.; Ma, R.H.; Wei, J.L.; Fu, X.Y.; Zhang, S.S.; Zhao, Z.C.; Lin, H.T.; Xu, Y.; Tan, D.S.; Gao, X.B.; et al. Enhancing micronutrient bioavailability in wheat grain through organic fertilizer substitution. Front. Nutr. 2025, 12, 1559537. [Google Scholar] [CrossRef]
  37. Jin, M.L.; Liu, H.J.; Liu, X.G.; Guo, T.T.; Guo, J.; Yin, Y.J.; Ji, Y.; Li, Z.X.; Zhang, J.H.; Wang, X.Q.; et al. Complex genetic architecture underlying the plasticity of maize agronomic traits. Plant Commun. 2023, 4, 100473. [Google Scholar] [CrossRef]
  38. Zhang, Z.; Shen, T.; Jiang, T.; Hu, X.L.; Wen, M.; Qiu, H.B. Quantitative trait loci mapping of maize (Zea mays) ear traits under low-phosphorus stress. Plant Breed. 2023, 142, 12–23. [Google Scholar] [CrossRef]
  39. Wang, L.; Zhang, H.; Wang, J.; Wang, J.D.; Zhang, Y.C. Long-term fertilization with high nitrogen rates decreased diversity and stability of diazotroph communities in soils of sweet potato. Appl. Soil Ecol. 2022, 170, 104266. [Google Scholar] [CrossRef]
  40. Derkowski, A.; Marynowski, L. Reactivation of cation exchange properties in black shales. Int. J. Coal Geol. 2016, 158, 65–77. [Google Scholar] [CrossRef]
  41. Te, X.; Hassan, M.J.; Cui, K.S.; Xiao, J.H.; Aslam, M.N.; Saeed, A.; Yang, W.Y.; Ali, S. Effect of different planting pattern arrangements on soil organic matter and soil nitrogen content under a maize/soybean strip relay intercropping system. Front. Plant Sci. 2022, 13, 995750. [Google Scholar] [CrossRef] [PubMed]
  42. Gong, X.W.; Liu, C.J.; Li, J.; Luo, Y.; Yang, Q.H.; Zhang, W.L.; Yang, P.; Feng, B.L. Responses of rhizosphere soil properties, enzyme activities and microbial diversity to intercropping patterns on the Loess Plateau of China. Soil Tillage Res. 2019, 195, 104355. [Google Scholar] [CrossRef]
  43. Wu, Y.N.; Xu, N.; Wang, H.; Li, J.B.; Zhong, H.X.; Dong, H.Y.; Zeng, Z.W.; Zong, C. Variations in the diversity of the soil microbial community and structure under various categories of degraded wetland in Sanjiang Plain, northeastern China. Land Degrad. Dev. 2021, 32, 2143–2156. [Google Scholar] [CrossRef]
  44. Ying, W.; Liang, C.; Zhihuan, L.; Shuyang, D.; Xuerong, Z.; Jun, F.; Yunhua, X. The role of iron-rich organic fertilizer in promoting the growth of Chinese cabbage and inhibiting the transformation of cadmium. Sci. Total Environ. 2024, 908, 168430. [Google Scholar] [CrossRef]
  45. Chen, J.; Arafat, Y.; Wu, L.K.; Xiao, Z.G.; Li, Q.S.; Khan, M.A.; Khan, M.U.; Lin, S.; Lin, W.X. Shifts in soil microbial community, soil enzymes and crop yield under peanut/maize intercropping with reduced nitrogen levels. Appl. Soil Ecol. 2018, 124, 327–334. [Google Scholar] [CrossRef]
  46. Liu, X.; Zhou, S.; Hu, J.; Zhu, W.; Zhou, Y.; Pan, X.; Wang, Y.; Lei, Y.; Xiao, L.; Huang, C. Density management is more cost effective than fertilization for Chimonobambusa pachystachys bamboo-shoot yield and economic benefits. Forests 2022, 13, 1054. [Google Scholar] [CrossRef]
  47. Tian, D.; Niu, S. A global analysis of soil acidification caused by nitrogen addition. Environ. Res. Lett. 2015, 10, 024019. [Google Scholar] [CrossRef]
  48. Guo, J.H.; Liu, X.J.; Zhang, Y.; Shen, J.; Han, W.; Zhang, W.; Christie, P.; Goulding, K.; Vitousek, P.; Zhang, F. Significant acidification in major Chinese croplands. Science 2010, 327, 1008–1010. [Google Scholar] [CrossRef]
  49. Hao, T.; Zhu, Q.; Zeng, M.; Shen, J.; Shi, X.; Liu, X.; Zhang, F.; de Vries, W. Quantification of the contribution of nitrogen fertilization and crop harvesting to soil acidification in a wheat-maize double cropping system. Plant Soil 2019, 434, 167–184. [Google Scholar] [CrossRef]
  50. Yan, P.; Shen, C.; Fan, L.C.; Li, X.; Zhang, L.P.; Zhang, L.; Han, W.Y. Tea planting affects soil acidification and nitrogen and phosphorus distribution in soil. Agric. Ecosyst. Environ. 2018, 254, 20–25. [Google Scholar] [CrossRef]
  51. Yan, P.; Wu, L.Q.; Wang, D.H.; Fu, J.Y.; Shen, C.; Li, X.; Zhang, L.P.; Zhang, L.; Fan, L.C.; Han, W.Y. Soil acidification in Chinese tea plantations. Sci. Total Environ. 2020, 715, 136963. [Google Scholar] [CrossRef] [PubMed]
  52. Zhang, Y.; Liu, L.; Li, Q.; Dai, Q.G.; Hu, J. Responses of nitrification and denitrification in the rhizosphere of mudflat paddy to rice genotype and nitrogen fertilization. Eur. J. Soil Biol. 2022, 113, 103452. [Google Scholar] [CrossRef]
  53. Cai, Z.J.; Wang, B.R.; Xu, M.G.; Zhang, H.M.; He, X.H.; Zhang, L.; Gao, S.D. Intensified soil acidification from chemical N fertilization and prevention by manure in an 18-year field experiment in the red soil of southern China. J. Soils Sediments 2015, 15, 260–270. [Google Scholar] [CrossRef]
  54. Shi, R.Y.; Liu, Z.D.; Li, Y.; Jiang, T.M.; Xu, M.G.; Li, J.Y.; Xu, R.K. Mechanisms for increasing soil resistance to acidification by long-term manure application. Soil Tillage Res. 2019, 185, 77–84. [Google Scholar] [CrossRef]
  55. Wang, L.; Butterly, C.R.; Tian, W.; Herath, H.; Xi, Y.G.; Zhang, J.B.; Xiao, X.J. Effects of fertilization practices on aluminum fractions and species in a wheat soil. J. Soils Sediments 2016, 16, 1933–1943. [Google Scholar] [CrossRef]
  56. Hou, H.; Liu, X.; Zhou, W.; Ji, J.; Lan, X.; Lv, Z.; Liu, Y.; Zhang, J.; Müller, C. N transformation mechanisms and N dynamics of organic fertilisers as partial substitutes for chemical fertilisers in paddy soils. J. Soils Sediments 2022, 22, 2516–2529. [Google Scholar] [CrossRef]
  57. Yang, W.; Cui, H.; Liu, Q.; Wang, F.; Liao, H.; Lu, P.; Qin, S. Effect of nitrogen reduction by chemical fertilization with green manure (Vicia sativa L.) on soil microbial community, nitrogen metabolism and and yield of Uncaria rhynchophylla by metagenomics. Arch. Microbiol. 2024, 206, 106. [Google Scholar] [CrossRef]
  58. Zhou, M.; Zhu, B.; Brüggemann, N.; Dannenmann, M.; Wang, Y.; Butterbach-Bahl, K. Sustaining crop productivity while reducing environmental nitrogen losses in the subtropical wheat-maize cropping systems: A comprehensive case study of nitrogen cycling and balance. Agric. Ecosyst. Environ. 2016, 231, 1–14. [Google Scholar] [CrossRef]
  59. Vanden Nest, T.; Ruysschaert, G.; Vandecasteele, B.; Houot, S.; Baken, S.; Smolders, E.; Cougnon, M.; Reheul, D.; Merckx, R. The long term use of farmyard manure and compost: Effects on P availability, orthophosphate sorption strength and P leaching. Agric. Ecosyst. Environ. 2016, 216, 23–33. [Google Scholar] [CrossRef]
  60. Rambaut, L.A.E.; Tillard, E.; Vayssières, J.; Lecomte, P.; Salgado, P. Trade-off between short and long-term effects of mineral, organic or mixed mineral-organic fertilisation on grass yield of tropical permanent grassland. Eur. J. Agron. 2022, 141, 126635. [Google Scholar] [CrossRef]
  61. Hayashi, R.; Maie, N.; Wagai, R.; Hirano, Y.; Matsuda, Y.; Makita, N.; Mizoguchi, T.; Wada, R.; Tanikawa, T. An increase of fine-root biomass in nutrient-poor soils increases soil organic matter but not soil cation exchange capacity. Plant Soil 2023, 482, 89–110. [Google Scholar] [CrossRef]
  62. Guppy, C.N.; Menzies, N.; Moody, P.W.; Blamey, F. Competitive sorption reactions between phosphorus and organic matter in soil: A review. Aust. J. Soil Res. 2005, 43, 189–202. [Google Scholar] [CrossRef]
  63. Yang, X.; Kong, Y.; Guo, E.; Chen, X.; Li, L. Organic acid regulation of inorganic phosphorus release from Mollisols with different organic matter contents. Soil Use Manag. 2022, 38, 576–583. [Google Scholar] [CrossRef]
  64. Schneider, F.; Haderlein, S.B. Potential effects of biochar on the availability of phosphorus—Mechanistic insights. Geoderma 2016, 277, 83–90. [Google Scholar] [CrossRef]
  65. Hutchison, K.J.; Hesterberg, D. Dissolution of phosphate in a phosphorus-enriched ultisol as affected by microbial reduction. J. Environ. Qual. 2004, 33, 1793–1802. [Google Scholar] [CrossRef]
  66. Zhang, L.; Niu, J.; Lu, X.; Zhao, Z.; Li, K.; Wang, F.; Zhang, C.; Sun, R. Dosage effects of organic manure on bacterial community assemblage and phosphorus transformation profiles in greenhouse soil. Front. Microbiol. 2023, 14, 1188167. [Google Scholar] [CrossRef]
  67. Tingting, Z.; Shu, W.; Mengyao, W.; Jiao, M.; Yuanmeng, X.; Jiangling, R.; Yuhan, L.; Sichen, L.; Zhijun, Q.; Xiaoning, C. Effect of Different Fertilizer Types on Quality of Foxtail Millet under Low Nitrogen Conditions. Plants 2024, 13, 1830. [Google Scholar] [CrossRef]
  68. Shirzad, H.; Moghaddam, S.S.; Rahimi, A.; Rezapour, S.; Xiao, J.B.; Popovic-Djordjevic, J. Combined Effect of Biological and Organic Fertilizers on Agrobiochemical Traits of Corn (Zea mays L.) under Wastewater Irrigation. Plants 2024, 13, 1331. [Google Scholar] [CrossRef]
  69. Amaneh, A.; Bohloul, A.; Mohammadi Torkashvand, A.; Ghanbari Jahromi, M. Effect of levels and types of organic, biological, and chemical fertilizers on morphological traits, yield, and uptake rate of elements in Satureja mutica. Ind. Crops Prod. 2022, 181, 114763. [Google Scholar] [CrossRef]
  70. Myint, A.K.; Yamakawa, T.; Zenmyo, T.; Thao, H.T.B.; Sarr, P.S. Effects of Organic-Manure Application on Growth, Grain Yield, and Nitrogen, Phosphorus, and Potassium Recoveries of Rice Variety Manawthuka in Paddy Soils of Differing Fertility. Commun. Soil Sci. Plant Anal. 2011, 42, 457–474. [Google Scholar] [CrossRef]
  71. Manono, B.O.; Moller, H.; Benge, J.; Carey, P.; Lucock, D.; Manhire, J. Assessment of soil properties and earthworms in organic and conventional farming systems after seven years of dairy farm conversions in New Zealand. Agroecol. Sustain. Food Syst. 2019, 43, 678–704. [Google Scholar] [CrossRef]
  72. Lu, S.G.; Yu, X.L.; Zong, Y.T. Nano-microscale porosity and pore size distribution in aggregates of paddy soil as affected by long-term mineral and organic fertilization under rice-wheat cropping system. Soil Tillage Res. 2019, 186, 191–199. [Google Scholar] [CrossRef]
  73. Xin, X.L.; Qin, S.W.; Zhang, J.B.; Zhu, A.; Yang, W.L.; Zhang, X.F. Yield, phosphorus use efficiency and balance response to substituting long-term chemical fertilizer use with organic manure in a wheat-maize system. Field Crops Res. 2017, 208, 27–33. [Google Scholar] [CrossRef]
  74. Zhou, Z.K.; Zhang, S.Y.; Jiang, N.; Xiu, W.M.; Zhao, J.N.; Yang, D.L. Effects of organic fertilizer incorporation practices on crops yield, soil quality, and soil fauna feeding activity in the wheat-maize rotation system. Front. Environ. Sci. 2022, 10, 1058071. [Google Scholar] [CrossRef]
  75. He, H.; Peng, M.W.; Ru, S.B.; Hou, Z.A.; Li, J.H. A suitable organic fertilizer substitution ratio could improve maize yield and soil fertility with low pollution risk. Front. Plant Sci. 2022, 13, 988663. [Google Scholar] [CrossRef]
  76. Mahmood, F.; Khan, I.; Ashraf, U.; Shahzad, T.; Hussain, S.; Shahid, M.; Abid, M.; Ullah, S. Effects of organic and inorganic manures on maize and their residual impact on soil physico-chemical properties. J. Soil Sci. Plant Nutr. 2017, 17, 22–32. [Google Scholar] [CrossRef]
  77. He, H.; Zhang, Y.; Wei, C.; Li, J. Effects of Different Organic Substitution Reducing Fertilizer Patterns on Maize Growth and Soil Fertility. J. Soil Water Conserv. 2019, 33, 281–287. [Google Scholar]
  78. Wang, J.L.; Liu, K.L.; Xu, Q.F.; Shen, R.F.; Zhao, X.Q. Organic fertilization sustains high maize yields in acid soils through the cooperation of rhizosphere microbes and plants. Plant Soil 2025, 1–18. [Google Scholar] [CrossRef]
  79. Zhang, J.J.; Wen, J.; Zhang, T.; Zhang, Y.; Peng, Z.; Tang, C.C.; Wang, Y.A.; Su, S.M.; Zhang, N.; Zeng, X.B. Effects of Five-Year Inorganic and Organic Fertilization on Soil Phosphorus Availability and Phosphorus Resupply for Plant P Uptake during Maize Growth. Agriculture 2023, 13, 858. [Google Scholar] [CrossRef]
  80. He, P.; Jin, J.; Li, W.; Liu, H.; Huang, S.; Wang, X.; Wang, L.; Xie, J. Comparison of Phosphorous Absorption, Quality and Yield Between High Oil Maize and Common Maize as Influenced by Phosphorous Application. Sci. Agric. Sin. 2005, 38, 538–543. [Google Scholar]
  81. Chatterjee, D.; Nayak, A.; Mishra, A.; Swain, C.; Kumar, U.; Bhaduri, D.; Panneerselvam, P.; Lal, B.; Gautam, P.; Pathak, H. Effect of long-term organic fertilization in flooded rice soil on phosphorus transformation and phosphate solubilizing microorganisms. J. Soil Sci. Plant Nutr. 2021, 21, 1368–1381. [Google Scholar] [CrossRef]
  82. Zhang, Y.J.; Gao, W.; Luan, H.A.; Tang, J.W.; Li, R.N.; Li, M.Y.; Zhang, H.Z.; Huang, S.W. Effects of a decade of organic fertilizer substitution on vegetable yield and soil phosphorus pools, phosphatase activities, and the microbial community in a greenhouse vegetable production system. J. Integr. Agric. 2022, 21, 2119–2133. [Google Scholar] [CrossRef]
  83. Carracelas, G.; Guilpart, N.; Cassman, K.G.; Grassini, P. Distinguishing between yield plateaus and yield ceilings: A case study of rice in Uruguay. Field Crops Res. 2023, 292, 108808. [Google Scholar] [CrossRef]
  84. Gil, J.D.B.; Reidsma, P.; Giller, K.; Todman, L.; Whitmore, A.; van Ittersum, M. Sustainable development goal 2: Improved targets and indicators for agriculture and food security. Ambio 2019, 48, 685–698. [Google Scholar] [CrossRef]
Figure 1. Soil physicochemical properties of maize under different treatments: no fertilization (NF), soil testing formula fertilization (STF), organic fertilizer replacing 15% of nitrogen fertilizer (OF15), and organic fertilizer replacing 30% of nitrogen fertilizer (OF30). (a) Soil pH; (b) soil organic matter content; (c) soil cation exchange capacity; (d) soil total nitrogen content; (e) soil total phosphorus content; (f) soil total potassium content; (g) soil hydrolyzable nitrogen content; (h) soil available phosphorus content; (i) soil available potassium content. Different lowercase letters indicate significant differences (LSD test, p < 0.05). Bars above columns indicate ± SD, n = 3.
Figure 1. Soil physicochemical properties of maize under different treatments: no fertilization (NF), soil testing formula fertilization (STF), organic fertilizer replacing 15% of nitrogen fertilizer (OF15), and organic fertilizer replacing 30% of nitrogen fertilizer (OF30). (a) Soil pH; (b) soil organic matter content; (c) soil cation exchange capacity; (d) soil total nitrogen content; (e) soil total phosphorus content; (f) soil total potassium content; (g) soil hydrolyzable nitrogen content; (h) soil available phosphorus content; (i) soil available potassium content. Different lowercase letters indicate significant differences (LSD test, p < 0.05). Bars above columns indicate ± SD, n = 3.
Sustainability 17 06634 g001
Figure 2. Agronomic traits of maize under different fertilizer treatments: no fertilization (NF), soil testing formula fertilization (STF), organic fertilizer replacing 15% of nitrogen fertilizer (OF15), and organic fertilizer replacing 30% of nitrogen fertilizer (OF30). (a) Maize plant height; (b) maize stem thickness; (c) maize ear position height; (d) maize spike length; (e) maize spike diameter; (f) maize kernel rows; (g) maize kernel number per row; (h) maize bald tip length. Different lowercase letters indicate significant differences (LSD test, p < 0.05). Bars above columns indicate ± SD, n = 3.
Figure 2. Agronomic traits of maize under different fertilizer treatments: no fertilization (NF), soil testing formula fertilization (STF), organic fertilizer replacing 15% of nitrogen fertilizer (OF15), and organic fertilizer replacing 30% of nitrogen fertilizer (OF30). (a) Maize plant height; (b) maize stem thickness; (c) maize ear position height; (d) maize spike length; (e) maize spike diameter; (f) maize kernel rows; (g) maize kernel number per row; (h) maize bald tip length. Different lowercase letters indicate significant differences (LSD test, p < 0.05). Bars above columns indicate ± SD, n = 3.
Sustainability 17 06634 g002
Figure 3. Yield of maize under different fertilizer treatments: no fertilization (NF), soil testing formula fertilization (STF), organic fertilizer replacing 15% of nitrogen fertilizer (OF15), and organic fertilizer replacing 30% of nitrogen fertilizer (OF30). (a) Maize 100-grain weight; (b) maize yield. Different lowercase letters indicate significant differences (LSD test, p < 0.05). Bars above columns indicate ±SD, n = 3.
Figure 3. Yield of maize under different fertilizer treatments: no fertilization (NF), soil testing formula fertilization (STF), organic fertilizer replacing 15% of nitrogen fertilizer (OF15), and organic fertilizer replacing 30% of nitrogen fertilizer (OF30). (a) Maize 100-grain weight; (b) maize yield. Different lowercase letters indicate significant differences (LSD test, p < 0.05). Bars above columns indicate ±SD, n = 3.
Sustainability 17 06634 g003
Figure 4. Correlation analysis between yield and soil physicochemical properties. (a) Principal component analysis of maize yield and soil physicochemical properties; (b) Pearson correlation analysis between maize yield and soil physicochemical properties. Red indicates positive correlations, while blue indicates negative correlations. Treatment abbreviations: no fertilization (NF), soil testing formula fertilization (STF), organic fertilizer replacing 15% of nitrogen fertilizer (OF15), and organic fertilizer replacing 30% of nitrogen fertilizer (OF30). Asterisks indicate significance levels (* p < 0.05, ** p < 0.01). Abbreviations: SOM (soil organic matter), TN (total nitrogen), TP (total phosphorus), TK (total potassium), AN (hydrolyzable nitrogen), AP (available phosphorus), AK (available potassium), CEC (cation exchange capacity), Yield (maize yield).
Figure 4. Correlation analysis between yield and soil physicochemical properties. (a) Principal component analysis of maize yield and soil physicochemical properties; (b) Pearson correlation analysis between maize yield and soil physicochemical properties. Red indicates positive correlations, while blue indicates negative correlations. Treatment abbreviations: no fertilization (NF), soil testing formula fertilization (STF), organic fertilizer replacing 15% of nitrogen fertilizer (OF15), and organic fertilizer replacing 30% of nitrogen fertilizer (OF30). Asterisks indicate significance levels (* p < 0.05, ** p < 0.01). Abbreviations: SOM (soil organic matter), TN (total nitrogen), TP (total phosphorus), TK (total potassium), AN (hydrolyzable nitrogen), AP (available phosphorus), AK (available potassium), CEC (cation exchange capacity), Yield (maize yield).
Sustainability 17 06634 g004
Table 1. Fertilization amount of each treatment.
Table 1. Fertilization amount of each treatment.
TreatmentChemical Fertilizer
(kg·ha−1)
Organic Fertilizer
(kg·ha−1)
Total Conversion
(kg·ha−1)
UreaSuperphosphatePotassium SulphateNP2O5K2O
NF0000000
STF743.55562.50180.000345.0090.0090.00
OF15631.951.8016.354928.55345.0090.0090.00
OF30520.50009857.09345.00179.40163.63
Total conversion refers to the sum of nutrient equivalents (N, P2O5, K2O) supplied from both organic and inorganic fertilizer sources.
Table 2. Economic benefits of maize under different fertilizer treatments.
Table 2. Economic benefits of maize under different fertilizer treatments.
TreatmentYield
(kg·ha−1)
Fertilizer Input
(CNY·ha−1)
Economic Benefit
(CNY·ha−1)
Net Profit
(CNY·ha−1)
Economic Benefit Growth (%)Net Profit Growth (%)
NF7289.89 ± 145.72 c021,869.67 ± 437.14 c21,869.67 ± 437.14 c00
STF8932.09 ± 298.41 b3308.2326,796.26 ± 895.21 b23,488.03 ± 895.21 b22.52 ± 4.097.4 ± 4.09
OF159728.74 ± 261.66 a3315.2829,186.23 ± 784.99 a25,870.94 ± 784.99 a33.45 ± 3.5918.29 ± 3.59
OF3010,132.07 ± 122.22 a4414.4830,396.21 ± 366.65 a25,981.73 ± 366.65 a38.99 ± 1.6818.8 ± 1.68
Treatment abbreviations: no fertilization (NF), soil testing formula fertilization (STF), organic fertilizer replacing 15% of nitrogen fertilizer (OF15), and organic fertilizer replacing 30% of nitrogen fertilizer (OF30). Different lowercase letters indicate significant differences (LSD test, p < 0.05). Values are expressed as mean ± SD, n = 3.
Disclaimer/Publisher’s Note: The statements, opinions and data contained in all publications are solely those of the individual author(s) and contributor(s) and not of MDPI and/or the editor(s). MDPI and/or the editor(s) disclaim responsibility for any injury to people or property resulting from any ideas, methods, instructions or products referred to in the content.

Share and Cite

MDPI and ACS Style

Liu, Z.; Ao, W.; Wu, S.; Deng, Q.; Ren, H.; Li, Q.; Li, H.; Zhang, P. Effects of Replacing Nitrogen Fertilizer with Organic Fertilizer on Soil Physicochemical Properties and Maize Yield in Yunnan’s Red Soil. Sustainability 2025, 17, 6634. https://doi.org/10.3390/su17146634

AMA Style

Liu Z, Ao W, Wu S, Deng Q, Ren H, Li Q, Li H, Zhang P. Effects of Replacing Nitrogen Fertilizer with Organic Fertilizer on Soil Physicochemical Properties and Maize Yield in Yunnan’s Red Soil. Sustainability. 2025; 17(14):6634. https://doi.org/10.3390/su17146634

Chicago/Turabian Style

Liu, Zhao, Wen Ao, Shenghang Wu, Qiheng Deng, Hao Ren, Qiang Li, Hao Li, and Peng Zhang. 2025. "Effects of Replacing Nitrogen Fertilizer with Organic Fertilizer on Soil Physicochemical Properties and Maize Yield in Yunnan’s Red Soil" Sustainability 17, no. 14: 6634. https://doi.org/10.3390/su17146634

APA Style

Liu, Z., Ao, W., Wu, S., Deng, Q., Ren, H., Li, Q., Li, H., & Zhang, P. (2025). Effects of Replacing Nitrogen Fertilizer with Organic Fertilizer on Soil Physicochemical Properties and Maize Yield in Yunnan’s Red Soil. Sustainability, 17(14), 6634. https://doi.org/10.3390/su17146634

Note that from the first issue of 2016, this journal uses article numbers instead of page numbers. See further details here.

Article Metrics

Back to TopTop