Next Article in Journal
RETRACTED: Liu, Y.; Xiang, C. A Comprehensive Framework for Evaluating Bridge Resilience: Safety, Social, Environmental, and Economic Perspectives. Sustainability 2024, 16, 1135
Previous Article in Journal
Environmental Impact of Wastewater on Surface and Groundwater in Central Asia
Previous Article in Special Issue
Data-Driven Analysis of Regional Ship Carbon Emission Reduction: The Bohai Bay Area Case Study
 
 
Font Type:
Arial Georgia Verdana
Font Size:
Aa Aa Aa
Line Spacing:
Column Width:
Background:
Article

Multi-Stakeholder Risk Assessment of a Waterway Engineering Project During the Decision-Making Stage from the Perspective of Sustainability

1
School of Transportation and Logistics Engineering, Wuhan University of Technology, Wuhan 430063, China
2
Changjiang Waterway Institution of Planning and Design, Wuhan 430040, China
3
School of Management, Wuhan University of Technology, Wuhan 430063, China
4
School of Business Administration, Wuhan Business University, Wuhan 430056, China
*
Author to whom correspondence should be addressed.
Sustainability 2025, 17(12), 5372; https://doi.org/10.3390/su17125372
Submission received: 16 April 2025 / Revised: 19 May 2025 / Accepted: 3 June 2025 / Published: 11 June 2025

Abstract

Serving as critical sustainable transportation infrastructure, inland waterways provide dual socioeconomic and ecological value by (1) facilitating high-efficiency freight logistics through cost-effective bulk cargo transport while stimulating regional economic growth, and (2) delivering essential ecosystem services including flood regulation, water resource preservation, and biodiversity conservation. This study establishes a stakeholder-centered risk assessment framework to enhance decision-making of waterway engineering projects and promote the sustainable development of Inland Waterway Transport. We propose a three-layer approach: (1) identifying key stakeholders in the decision-making stage of waterway engineering projects through multi-dimensional criteria; (2) listing and classifying decision-making risks from the perspectives of managers, users, and other stakeholders; (3) applying the Decision-Making Trial and Evaluation Laboratory (DEMATEL) to prioritize key risks and proposing a risk assessment model based on fuzzy reasoning theory to evaluate decision-making risks under uncertain conditions. This framework was applied to the Yangtze River Trunk Line Wuhan–Anqing Waterway Regulation Project. The results show that the risk ranking is managers, users, and other stakeholders, among which the risk of engineering freight demand is particularly prominent. This suggests that we need to pay attention to optimizing material transportation and operational organization, promote the development of large-scale ships, and realize the diversification of ship types and transportation organizations. This study combines fuzzy reasoning with stakeholder theory, providing a replicable tool for the Waterway Management Authority to address the complex sustainability challenges in global waterway development projects.

1. Introduction

In today’s globalized era, a multimodal transport system centered around shipping is crucial for the prosperity of economies and the development of societies worldwide [1]. Consequently, waterway engineering has become a key aspect of integrated transportation system planning and design in various countries. Waterway engineering projects differ from typical road and railway projects, as their construction activities occur within rivers, which are essential carriers of water resources for humanity. Beyond their shipping functions, rivers also serve important roles in providing drinking water, facilitating water circulation, transporting sediments, supporting aquatic habitats, and generating hydroelectric power [2]. The construction of waterway engineering projects in rivers inevitably involves multiple stakeholders and numerous uncertainties [3]. Therefore, in the context of contemporary requirements prioritizing ecological conservation and sustainable development, the precise identification of key stakeholders in waterway engineering systems, along with a scientific examination of the intricate interdependencies and risk factors among their competing interests, serves to maximize the socioeconomic benefits of navigation infrastructure while providing robust support for comprehensive risk governance frameworks [4].
Waterway engineering projects, compared to other transportation infrastructure projects, are characterized by high investment, unpredictable benefits, wide-ranging impacts, and numerous stakeholders. Current research on decision-making risks in waterway engineering often takes the perspective of industry management, overlooking the risks faced by users and the public, and lacks a scientific risk management and decision-making mechanism. Thus, during the preliminary decision-making process, it is essential to consider potential uncertainties and identify risks associated with these uncertainties based on the economic and social development levels, hydrological and geological conditions, shipping development needs, and ecological flood prevention requirements of the navigation project segment. This approach will allow for the measurement of each risk factor and a comprehensive evaluation of the overall risk levels of the waterway engineering project, facilitating the implementation of targeted risk prevention measures to ensure the safety of design, construction, and operation. However, the varying navigation conditions across different segments of a river present significant challenges, including diverse engineering solutions such as dredging, regulation, hub and navigation structure construction, and canal excavation, all of which complicate the assessment of ecological impacts. Furthermore, differing economic development levels and social cultures lead to varying stakeholder values. Current analytical frameworks—spanning traditional methodologies (analytic hierarchy process, fuzzy synthetic evaluation, safety indices) to advanced techniques (Dempster–Shafer theory, fuzzy inference systems, Bayesian networks)—demonstrate constrained capabilities in modeling dynamic interdependencies and epistemic uncertainties inherent in multidimensional indicator systems [5]. Therefore, this paper proposes a quantitative method for assessing decision-making risks in waterway engineering from the stakeholders’ perspective. This method utilizes fuzzy reasoning to effectively manage the complex uncertainties among risk factors, enabling comprehensive risk assessment for waterway engineering projects.
In summary, current research on risk management in waterway engineering projects remains insufficiently comprehensive from the perspective of sustainable development. Current approaches typically originate from the viewpoint of industry management, neglecting the risks faced by users and the general public, and require more scientific management and decision-making mechanisms. Theoretically, this study enriches the stakeholder theory in waterway engineering by proposing a comprehensive risk assessment framework. Unlike the traditional framework that prioritizes single-dimensional risks such as economic or management, this study analyzes and screens stakeholders, and considers the economic, ecological, and social risks of waterway projects (such as overall planning risks, river ecological risks, and water intake risks) from the perspective of core stakeholders, providing a more comprehensive assessment of the decision-making risks of waterway engineering projects. It systematically identifies stakeholders and their risks in waterway engineering during the decision-making stage, and uses the DEMATEL method and fuzzy reasoning to handle complex relationships and uncertainties, enhancing the theoretical understanding of risk management in this context. Practically, the developed risk assessment model and key risk screening method provide practical tools for decision-making in waterway engineering. The application to the Yangtze River WA section demonstrates its effectiveness in evaluating risks, guiding management to focus on key factors like engineering freight demand risk, and facilitating the formulation of targeted risk control strategies for shipping and maritime departments.
The remainder of this paper is structured as follows. The next section reviews the relevant literature and identifies the research gaps. Section 3 presents the new method of WCC evaluation. The feasibility and superiority of the proposed method are demonstrated in Section 4 with the case of the middle Yangtze River waterway. The main contributions and limitations of this study are discussed and summarized in Section 5.

2. Literature Review

Any engineering project decision-making is in an uncertain environment; risk control is an indispensable part of engineering project decision-making. Risk assessment is an important basis for decision-making by comprehensively identifying, analyzing, and evaluating the various risk factors that may affect the outcome of a decision; waterway engineering is no exception.
  • Identification of multi-stakeholder risk factors in the decision-making stage of the waterway engineering project
Risk identification is the basic work of engineering risk management. The research objects of engineering decision-making risk mainly focus on construction projects and infrastructure projects. From the division of engineering, most studies are on the risks of the construction process and investment decision-making risks. Some scholars also study the risks of the engineering design stage and the operations management stage. For example, Salah and Moselhi [6] introduced a newly developed risk identification method and a risk responsibility matrix to allocate the responsibilities related to various risks among project stakeholders. Jing-tai [7] carried out risk identification by taking oil drilling projects as an example, according to the risk characteristics of overseas projects. Nomaguchi et al. [8] proposed a risk identification method based on a fundamental model of a risk chain mechanism in an engineering design project in order to support project management and project members in systematically identifying potential risk factors and causal relations among them. Zhou [9], based on the Three Gorges Project, conducted in-depth research on project construction stage risks, risk nature, risk management models, and risk assessment. However, most studies fail to comprehensively consider factors and often adopt the perspective of a single stakeholder, neglecting the overall interests and potential risks faced by all stakeholders.
2.
Multi-stakeholder risk assessment in the decision stage of the waterway engineering project
The evaluation of engineering decision-making risks can generally be divided into risk quantification for individual risks and comprehensive evaluation for multiple risks. The comprehensive evaluation of risks is often carried out on the basis of quantifying individual risks. The quantification of risk size is traditionally generally graded according to the probability of risk occurrence and the severity of risk consequences, and key risks are identified according to the evaluation results. Risk comprehensive evaluation is to evaluate the overall risk of the project after integrating individual risks.
In the field of transportation infrastructure, comprehensive evaluation methods mainly include the analytic hierarchy process, fuzzy comprehensive evaluation method, Monte Carlo method, set pair analysis, catastrophe theory, and other methods. Zhu et al. [10] comprehensively inspected and collected existing and upcoming risk sources related to the project and its surroundings. According to evaluation units such as construction conditions, design schemes, construction technologies, and operation conditions, the design risk level is evaluated according to the risk probability level and risk loss level. Li et al. [11] proposed a fuzzy comprehensive evaluation method considering double correlation effects for the risk assessment of cross-border transportation infrastructure construction projects. For the risk assessment problem of transportation infrastructure construction projects, Zolfaghari and Mousavi [12] proposed a decision-making model combining hesitant fuzzy sets, the H-Shapley VIKOR method, and failure mode and effect analysis. To improve the resilience of bridges to natural disasters, Wang et al. [13] proposed a new maintenance policy based on machine learning for managing bridges across waterways in France. Dong et al. [14] proposed an integrated risk assessment model combining factor analysis, principal component analysis, expert scoring, and range standardization methods for the risk assessment problem of the China–Mongolia–Russia expressway construction project. Zhao et al. [15] used fuzzy Analytic Hierarchy Process (FAHP) and questionnaire research methods to build a risk assessment model for infrastructure project investment. Li et al. [16] developed a dynamic risk modeling approach incorporating stock-and-flow structures to comprehensively evaluate the investment risks of highway PPP projects in Western China, aiming to promote sustainable infrastructure development. Khan et al. [17] presented the Bayesian integrated risk mitigation model (BIRMM), designed to augment traditional environmental impact assessments, empowering stakeholders to make informed decisions throughout project lifecycles.
However, in terms of risk assessment of transportation infrastructure, these methods all have inherent defects. For example, in risk assessment, the analytic hierarchy process can hierarchize complex problems and facilitate the analysis of the relationship and weights between various factors. However, it is highly subjective. The construction of the judgment matrix may be affected by the personal experience and preferences of experts, leading to deviations in results [18]. Bayesian networks have unique advantages in dealing with uncertainty and probabilistic reasoning and can continuously update risk assessment results according to new evidence. However, it has high requirements for data quality and the accuracy of prior probabilities [19]. The fuzzy comprehensive evaluation method provides a comprehensive and flexible idea for risk assessment by considering multiple factors and their fuzziness, and can better deal with uncertainty. However, there are challenges in determining factor correlations and the objectivity of results [20]. The method combining hesitant fuzzy sets and others has advantages in dealing with decision hesitation and multi-dimensional analysis, but faces the problem of computational complexity [21]. The combination of cost–benefit and quantitative risk analysis takes into account economic considerations and risk quantification, but has high data requirements and the possibility of omitting risk factors [22]. The integrated model of multiple analysis methods can give full play to their respective advantages, but the operation difficulty and data processing pressure are relatively large, etc. [23].
Although risk identification and assessment methodologies in engineering decision-making have reached considerable maturity, persistent deficiencies in multi-stakeholder engagement mechanisms substantially constrain the sustainable development of waterway infrastructure. The current study reveals three key limitations: First, while stakeholder considerations are intermittently integrated, the prevailing analytical framework persists in adopting either a developer-centric or manager-centric paradigm, thereby neglecting divergent risk perceptions across key stakeholders, including maritime authorities, shipping enterprises, water resource management agencies, and impacted local communities. Second, extant research on waterway risks predominantly concentrates on the design and construction phases, while theoretically significant risks during the decision-making stage—particularly those entailing cross-sectoral trade-offs among navigation efficiency, flood mitigation, and ecosystem conservation—remain underdeveloped in current scholarship. Third, conventional risk quantification methodologies exhibit limited efficacy in addressing two critical operational challenges: (1) the intricate nonlinear interdependencies among risk factors, and (2) the epistemic uncertainties arising from divergent multi-stakeholder preferences. This study advances the field through three substantive contributions designed to bridge these research gaps:
  • Through sorting out the main stakeholders in the decision-making stage of waterway engineering, the multi-dimensional risk index system is constructed from the perspective of managers, users, and other stakeholders.
  • Construct a risk list for decision-making, integrating multiple risk dimensions such as freight demand, water supply, and flood control.
  • The use of fuzzy reasoning to quantify the risk under the condition of incomplete data effectively solves the dual challenges of nonlinearity and uncertainty of risk factors in the research.

3. Methodology

Typically, risk assessment involves three major steps: risk identification, risk measurement, and comprehensive risk evaluation. However, from the perspective of stakeholders, this issue expands to identifying the main stakeholders involved in waterway engineering decisions, discovering the primary risks that each stakeholder is concerned about, and selecting appropriate methods for risk quantification and assessment based on the characteristics of the risk factors. Therefore, the main methodological steps of this paper are illustrated in Figure 1.

3.1. Identification of Core Stakeholders in Waterway Engineering

3.1.1. Preliminary Stakeholders in Waterway Engineering

Waterway engineering projects are public investment projects initiated by the government, aiming to emphasize the harmony and unity of economic benefits, environmental performance, and social aspects. The needs of stakeholders represent the various dimensions of the project’s objectives.
Specifically, the stakeholders in waterway engineering projects involve many subjects at the government level, including investment and construction management, financial oversight departments, audit departments, and other agencies such as land, water resources, and environmental protection. At the project level, stakeholders include construction management, design units, construction companies, supervision units, suppliers, and consulting service providers. At the societal level, stakeholders encompass the public, neighboring community organizations, and the media. Due to the relative independence, specialization, and mutual constraints among stakeholders in waterway engineering projects, their interests and goals are not aligned, encompassing political, economic, social, or other types of interests.
For instance, government investors serve as the ultimate decision-makers for waterway engineering projects, providing necessary resources and funding to ensure project outcomes meet the needs. Administrative approval departments hold significant influence over the decision-making process of waterway engineering projects. The design team is responsible for developing the plan for the navigation project, constrained by the investors and administrative approval departments, while also being accountable to project beneficiaries. The construction team executes the project while being supervised by relevant authorities and the supervising team, ensuring the rights of investors are protected, administrative requirements are met, the design plan is followed, and their own profitability is secured. The supervising team primarily oversees the construction process, ensuring that the rights of investors and beneficiaries are protected, that the construction complies with regulatory requirements, and that they provide guidance to the construction team. Residents in the project area benefit from the economic and ecological advantages brought by the navigation project, but they may also face changes and unemployment.
Throughout the project lifecycle, these stakeholders are interconnected, interact, and influence one another to varying degrees, exchanging information, resources, and outcomes, thus forming a stakeholder interest system around the waterway engineering project.
In waterway regulation projects, excessive focus on the demands of a single stakeholder category not only jeopardizes the long-term viability of engineering endeavors but may also precipitate operational disruptions during construction phases. Based on existing literature analysis, the stakeholders in the Yangtze River Waterway Engineering project have been preliminarily defined, as shown in Table 1.

3.1.2. Selection of Stakeholders in Waterway Engineering

Due to the numerous stakeholders involved, stakeholders are classified according to stakeholder theory into core stakeholders, general stakeholders, and marginal stakeholders. It is necessary to identify and select the core stakeholders that have a decisive impact on the decision-making stage in order to formulate the subsequent risk list.
Through the analysis of existing research on stakeholder analysis dimensions, it can be found that the current analysis perspectives on stakeholders mainly focus on importance, risk, attitude, willingness, influence, interests, and rights [24]. Attitude, willingness, initiative, urgency, and other factors are all manifested as initiative, importance, and power are manifested as influence, and interests are a clear manifestation of project requirements. Therefore, through the analysis of the literature and combined with the characteristics of waterway engineering projects themselves, simplifying the complexity and grasping the main contradictions, the analysis perspectives of stakeholders are summarized into three main dimensions: initiative, influence, and interest.
  • Data collection
The research protocol incorporated a specialized assessment instrument tailored to waterway infrastructure characteristics, employing a 5-tier Likert measurement system (1 = extremely insignificant, 2 = moderately insignificant, 3 = neutral, 4 = moderately significant, 5 = highly significant) to evaluate initiative levels, influence, and interests across 12 project stakeholders. This survey was conducted by distributing questionnaires. Ten experts in the fields of transportation engineering, waterway engineering, and ecology were selected, with an average age of 45. Among them, there were 8 men and 2 women. Nine of them had a doctoral degree (accounting for 90%), and their professional titles were mainly professor-level senior engineers. Six of them (accounting for 60%) had working years mainly concentrated between 15 and 20 years (the empirical data in this study are all from these experts). Reliability analysis using Cronbach’s Alpha metric revealed coefficients of 0.784 for initiative assessment, 0.709 for influence evaluation, and 0.843 for interest measurement, all exceeding the 0.7 benchmark, thereby confirming robust internal consistency across measurement dimensions. The specific investigation questionnaire can be found in Appendix A.
  • Data Analysis
The Mann–Whitney U test, also known as the Wilcoxon rank sum test, is a nonparametric test primarily used to determine whether there is a difference between two independent samples. The Mann–Whitney U test assumes that two samples come from two populations that are completely identical except for the population means, with the aim of testing whether there is a significant difference in the mean between these two populations. It is a substitute for the t-test or the corresponding large sample normality test, which is a parameter test for the difference between the two means.
The Mann–Whitney U statistic serves as a nonparametric rank-based comparative analysis to evaluate distributional equivalence between two independent cohorts by assessing alignment of their central tendency parameters ( M x and M y ). The hypotheses are formulated as:
H 0 :   M x = M y
H 1 :   M x   M y
Under H 0 validity, the combined dataset (n + m = N observations) should exhibit a random rank distribution. Systematic rank displacement patterns—where X values predominantly exceed Y ranks or vice versa—constitute probabilistic evidence against population homogeneity, warranting H0 rejection. The test statistic U is compared against critical thresholds at α = 0.05. Non-significant outcomes (U > critical value) support null hypothesis retention, whereas significant deviations (U ≤ critical value) necessitate H 0 rejection in favor of H 1 , confirming distributional parity violation.

3.2. Multi-Stakeholder Risk Screening for Waterway Engineering Decision-Making

Waterway projects face numerous risks at various stages, including decision-making, design, construction, and operation. However, the focus of decision-making and the associated risks differ across these stages. This paper primarily considers the main risks that may arise during the early decision-making process, such as project planning and feasibility studies. From the stakeholders’ perspective, the goal of waterway engineering is to balance the interests of all stakeholders. Therefore, when identifying risks, it is essential to analyze the uncertain factors affecting the utility and satisfaction of government bodies, industry management, cargo owners, shipowners, and the public in order to identify and select the risk factors.
There is a certain interaction between the risk factors, and not all factors are equally important. Further screening is needed. Based on the preliminary list of decision risks, the DEMATEL method is used to simplify the complex impact relationships of the decision risk influencing factor system into mathematical language in order to screen the key risks that affect the decision-making of waterway regulation projects. The advantage of this method is that, after analyzing numerous influencing factors, it can effectively determine the relationships between various influencing factors in the complex system, thereby determining the position of each element in the system. The specific steps are as follows:
  • Constructing a comprehensive impact matrix of risk factors in waterway engineering decision-making during the planning stage
① Firstly, the risk factors on the preliminary list of decision risks are denoted as D1, D2, …, Dn. Due to the numerous parameters in the decision-making factors of the waterway regulation project, the “0/1 scaling method” is used to mark the direct impact degree between each influencing factor and construct a matrix of direct influencing factors, as shown in the formula:
X = 0 x 21 x 12 x 1 n 0 x 2 n x n 1 x n 2 0
In the formula, the influencing factor x i j ( i , j = 1, 2, … n , i j ) represents the relationship between factor i and factor j , which can intuitively express whether there is a direct relationship between the influencing factors: if there is, then x i j = 1; if none, then x i j = 0; when i = j , then x i j = 0.
② After standardizing the direct impact matrix constructed above, the standardized impact matrix Y can be obtained. Y can intuitively express the indirect relationship between influencing factors. The calculation formula for Y is shown in the following equation:
Y = X max t h e   m a x i m u m   v a l u e   o f   t h e   s u m   o f   f a c t o r s   i n   e a c h   r o w
Calculate the sum of the elements in each row of the direct impact factor matrix and take the maximum value, then divide the direct impact factor matrix by the maximum value to obtain the standardized impact matrix Y .
③ Establish a comprehensive impact matrix T . The calculation method for the comprehensive impact matrix T is as follows:
T = Y I Y 1 = t i j
In the formula, I is the identity matrix, and the element t i j in matrix T represents the comprehensive impact of factor i on factor j (including both direct and indirect impacts), or the degree to which factor j is affected by the comprehensive impact of factor i .
The expert structure is shown in Section 3.1.2. The construction process of the X matrix is as follows: The first stage (independent evaluation): Experts anonymously fill in the initial X matrix and mark the direct influence between factors. Phase Two (Delphi Correction): Summarize the results of the first round and mark the points of divergence. A consensus meeting was held, and a technical debate was conducted on the point of disagreement and revised until more than 80% of the experts agreed.
  • Analysis of Risk Influencing Factors
Based on relevant research results and expert opinions, the interaction relationship between risk factors in waterway engineering decision-making during the planning stage was analyzed, and a direct impact matrix X was constructed.
Using MATLAB software (MATLAB 9.8), based on the formula mentioned above, standardize X to obtain matrix Y , and then calculate the comprehensive impact matrix T of risk factors in waterway engineering decision-making during the planning stage. By adding and subtracting the influence degree a i and the affected degree b i of each influencing factor of decision risk, the levels of centrality mi and causality n i can be obtained. The calculation formula is as follows:
m i = a i + b i
n i = a i b i

3.3. Risk Measurement of Waterway Engineering Decision-Making

3.3.1. Risk Measurement Methods

Determining the severity of risk factors is the most important task in risk measurement, achieved through either subjective or objective methods for quantification. Based on the characteristics of waterway engineering risks, the methods for determining levels can be broadly classified into two categories: one category is based on a large number of experiments and statistical methods, which do not rely on the judgment of decision-makers and belongs to objective measurement methods; the other category consists of subjective judgments made by individuals based on experience, which falls under subjective measurement methods. The specific classifications are as follows:
  • Expert investigation method
This method is a widely used and easy-to-use measurement method, also known as a subjective evaluation method. The specific steps are to identify the possible risk factors of the project and create a risk severity survey form; use expert experience to assess the severity of risk factors; collect and organize expert opinions to further synthesize the measurement of risk levels.
  • Statistical method
Subjective judgment methods are often difficult to convince people, so the field of risk management has developed statistical methods, which are also one of the traditional measurement methods that can overcome the uncertainty brought by subjective judgments. The statistical method mainly utilizes historical data, such as the statistical situation of problems or accidents that occur in the project progress of related industries, to obtain relevant rules through statistical analysis, and thus summarizes the severity of risk occurrence. The basic theory of this method is complete, and the analysis program is simple, but the difficulty lies in the need for historical data and the lack of reliable explanations for the accuracy of the data.
It is worth noting that the expression of risk severity can not only be represented by numbers but also by words such as “severe”, “moderate”, “negligible”, etc. It is quite difficult to summarize all the factors in a risk event into one number, and a definite value arises from a series of adjustments, piecing together, and abstract steps that occur in the inductive process, which is difficult to accept. Although the wording may not be numerically precise, it can achieve the desired effect.

3.3.2. Risk Level Classification

According to the operability of indicators, risk levels measurement indicators are divided into two categories: data-driven indicators and empirical indicators. Data indicators refer to the measurement data that can be obtained through investigation in order to obtain risk measurement values based on relevant standards. Empirical indicators refer to indicators that cannot be directly quantified and are generally macro-level indicators. These indicators are mainly determined by experts’ experience to determine their risk measurement values. So, expert survey methods are used to measure the risk levels of these empirical indicators. For data-driven indicators, scientific methods are used for investigation and statistics, data analysis and processing are carried out, and reasonable normative standards are formulated to quantify the risk levels.
The idea of a fuzzy comprehensive evaluation method is introduced here, which uses membership functions to transform the qualitative evaluation of experts into quantitative indicators and conducts a single-level fuzzy comprehensive evaluation of the indicators through a set of comments. This method fully considers the ambiguity in the evaluation process and can effectively reduce the impact of subjective assumptions on the results. The main steps are as follows:
  • Set comment set
Establish 5 levels of risk, denoted as V = (v1, v2, v3, v4, v5) = (Very Severe, Severe, Moderate, Minor, Negligible) = (90, 70, 50, 30, 10)
  • Based on empirical indicators, interviews will be conducted with experts using survey questionnaires to determine the degree of importance of risk factors in relation to the membership of comment set V; For investigative indicators, the membership degree of risk factors to the comment set V is obtained through data processing and analysis, and an evaluation matrix R is established by combining the two. The expert structure can be found in Section 3.1.2.

3.4. Risk Assessment Model Based on Fuzzy Reasoning Theory

Through the analysis above, we can obtain the risk level status of each risk factor in the project. However, it is not difficult to find that there are not only many risk factors encountered in the early stage of project decision-making, but each risk factor has a different impact on it. Therefore, we need to comprehensively consider various influencing factors and conduct a comprehensive analysis of the overall risk of the project in order to determine the actual feasibility of the project and propose risk response measures.
The use of fuzzy reasoning methods is based on the following three reasons: (1) Dealing with uncertainty: The risks of waterway engineering involve a large amount of subjective judgments and incomplete data. Fuzzy reasoning converts qualitative descriptions into quantitative indicators through membership functions, reducing subjective deviations. (2) Nonlinear relationship modeling: There are complex interactions among risk factors, and fuzzy rules can capture nonlinear relationships that are difficult to handle by traditional methods. (3) Multi-source data integration: By combining data-driven indicators and empirical indicators, information from different sources is integrated through fuzzy comprehensive evaluation to address the limitations of a single method.
Fuzzy logic is a method and tool that can rely on imitating human thinking patterns to accurately express, analyze, and solve incomplete and imprecise information [25]. The specific steps are as follows:
  • Select input and output variables, determine their domain, and the fuzzy set of language variable values.
Fuzzy language variables are divided into two parts: input and output language variables, and are fuzzy sets represented in fuzzy language. Each fuzzy language variable has multiple fuzzy language values, and its name has a certain meaning, such as small, medium, large, etc.
  • Determine the input-output membership function
As mentioned earlier, each fuzzy language variable has multiple fuzzy language values, and each language value needs to correspond to a membership function. The MATLAB Fuzzy Logic Toolbox supports computing various membership function types, such as trigonometric, trapezoidal, Gaussian, etc., to represent language variables. In general, triangular membership functions and trapezoidal membership functions are mainly selected to describe language variables. The function formula is shown below, where a, b, c, and d are all parameters. The formula is as follows, where a, b, c, and d are all parameters.
Triangular membership function:
f x , a , b , c = 0 , x a x a b a , a x b c x c b , b x c 0 , x c
Trapezoidal membership function:
f x , a , b , c , d = 0 , x a x a b a , a x b 1 , b x c d x d c , c x d 0 , x d
  • Establish fuzzy rules
Fuzzy rules are used to establish the relationship between output and input, allowing for the selection of fuzzy inference models. Fuzzy rules are a set of logical expressions for causal reasoning, expressed through the fuzzy conditional sentence “if-then”, denoted as if (condition) then {execution result}.
A complete set of fuzzy logic reasoning systems consists of numerous fuzzy reasoning rules, and the number of rules can be obtained by taking the Cartesian product of fuzzy language variables and membership sets. Fuzzy rules are generally obtained through the following methods: based on control engineering knowledge and mature control experience, or based on the actual control process of the operator.
  • Fuzzy inference and deblurring of input variables after fuzzification
Fuzziness is the process of converting specific, precise input quantities into uncertain fuzzy quantities. The process of converting fuzzy quantities after fuzzy reasoning into precise and clear quantities is called deblurring. Fuzzy and deblurring are represented by the following formula:
F u z z i f i c a t i o n : x = f z x 0
D e f u z z i f i c a t i o n : z 0 = d f z
In fuzzy reasoning systems, the representation of fuzzy reasoning models mainly includes two types: the Mamdani model and the Sugeno model. The output of the Sugeno model is a linear combination of input variables, making it more suitable for establishing precise mathematical models and optimizing problems. The Mamdani model has advantages in dealing with multi-factor fuzzy reasoning in complex systems and can better meet the needs of the comprehensive assessment of risk factors in this study. Therefore, in the development of the fuzzy inference system, this study adopts the Mamdani model for comprehensive risk assessment, with its methodological framework grounded in the following theoretical principles: The minimum operator (min) serves as the fundamental fuzzy operation mechanism—first computing rule activation strength through the minimization of premise membership values ( a i = m i n ( μ A x 1 , μ B x 2 , μ C ( x 3 ) ) , then applying this strength to truncate consequent membership functions via implication ( μ c o n s e q u e n t y = m i n ( a i , μ D y ). A combinatorial rule base is systematically constructed through multi-dimensional linguistic variable interactions, where each subsystem with n input variables generates k n rules (k representing linguistic term quantities). Activated rule outputs are subsequently aggregated using the maximum operator ( μ a g g r e g a t e d y = m a x ( μ D 1 y ,   μ D 2 y ,   μ D 3 y ), followed by centroid defuzzification to derive crisp outputs ( y c r i s p = y μ a g g r e g a t e d y d y μ a g g r e g a t e d y d y ).

4. Case Study

The waterway construction of the Yangtze River mainline is directly related to the sustainable development of the economy and society along the river and throughout the entire basin and has always been of great concern and importance to the Party and government. In recent years, with the construction of a 12.5-m deep waterway from Nanjing downstream and the formation of the upstream Three Gorges Reservoir area, the navigational conditions along the Yangtze River have significantly improved. However, the section of the river from Wuhan to Anqing (WA) features many winding or slightly curved multi-branch channels, with notable characteristics such as bank erosion and deposition, the shifting of the main current, and the alternating development of various tributaries. As a result, the navigational conditions are continually changing, necessitating waterway rehabilitation.
In the WA navigation section of the waterway engineering, the main stakeholders include the management department, users, and other stakeholders. Among them, the management department includes the owner and the owner’s representative. In waterway engineering, it specifically refers to the state and the waterway management department. The users include shippers, local governments, shipping enterprises, and port enterprises. In waterway engineering, other stakeholders mainly include the residents near the project, environmental protection departments, and water conservancy departments.
The WA section serves as the core section for promoting coordinated development of the upper, middle, and lower reaches of the Yangtze River. The total construction period of the WA waterway project is 42 months, and it started in October 2018. After the completion of the project, the minimum maintenance water depth of the 386.5 km waterway will be increased from 4.5 m to 6.0 m, realizing the year-round direct access to Wuhan for 13,000-ton river vessels and 10,000-ton river and sea vessels, which greatly enhances the radiation capacity of Wuhan’s mid-stream Yangtze River shipping center and the ports along the route, promotes the development of river–sea intermodal transport, and the enhancement of port functions, and improves the quality and speeds up the development of Yangtze River Economic Zone and provides more support for shipping to build a smooth domestic and international double-circuit main body. It will provide stronger shipping support for the development of the Yangtze River Economic Belt and the improvement of its quality and speed. This is a typical case of a decision-making risk study in waterway engineering.
To comprehensively evaluate the sustainability and feasibility of the WA waterway project, a SWOT analysis is conducted to systematically identify its internal strengths/weaknesses and external opportunities/threats. This analysis integrates economic, social, and environmental dimensions. By examining how these factors interact, we can better understand the project’s potential impacts and challenges in the context of sustainable development.
Advantages:
  • Break through the shipping bottleneck in the middle reaches of the Yangtze River, adapt to the development trend of larger ships, and further enhance the navigation capacity and service level of the Yangtze River’s golden waterway.
The minimum water depth for the maintenance of the waterway in the lower reaches of the WA River during the dry season has reached 6 m. The water depth of this section of the waterway is significantly lower than that of the lower reaches, making this section a “bottleneck” on the golden waterway of the Yangtze River. Therefore, in order to break through the shipping bottleneck in the middle reaches of the Yangtze River and enhance the navigable capacity of the golden waterway, it is necessary to implement the 6 m deep waterway improvement project of the Wuhan to Anqing section of the Yangtze River main line on the basis of the existing and ongoing waterway improvement projects.
  • Enhance the economic benefits of shipping in the middle reaches of the Yangtze River, promote energy conservation and emission reduction, advance green development, and facilitate the construction of a resource-conserving and environment-friendly society in the central region
Due to the improvement of waterway conditions and the development of ships towards larger sizes, favorable changes such as reduced transportation costs and lower unit energy consumption will be brought about. After the implementation of the project, the cost of ship transportation was greatly reduced, which had a huge driving effect on the regional economic development. In the process of engineering construction, we adhere to ecological priority and promote green development. The project includes multiple ecological restoration projects such as ecological bank protection, underwater fish nests, and beach grass planting. After the implementation of the project, it will also promote the exertion of energy conservation and emission reduction effects on ships.
Disadvantages:
  • Imbalance between supply and demand in shipping: Although the WA channel project has enhanced shipping capacity, the shipping demand of the Yangtze River’s golden waterway is extremely high, and the navigable capacity of the WA channel still cannot fully meet the actual shipping needs.
  • Investment fluctuations: The scale of engineering construction is large, and a considerable amount of building materials, such as layout, concrete blocks, and block stones, are required. When market prices fluctuate, they will have a significant impact on the budget and need to be fully considered. Meanwhile, considering that the topography of the downstream river section has undergone significant erosion and siltation changes since the Three Gorges water storage began, the engineering volume of the project section may vary greatly due to the erosion and siltation of the riverbed. If the above aspects are not closely monitored, additional investment in the project may be required. However, the main funds for the proposed project consist of the Ministry of Transport’s Inland River Construction Fund and the central budget funds. Clearly, it is unlikely that additional investment in the project will be needed. Therefore, the inherent importance of investment risk is the highest.
Opportunity:
  • Enhance the potential for river restoration and improve the ecological well-being of communities through eco-friendly channel design (such as ecological revetments and fish migration channels). The minimized flood control risks can be transformed into climate adaptability demonstration projects to attract policy support.
  • Utilize the upgrading of waterways to drive the industrial belts along the river (logistics and tourism), create job opportunities, and promote the balanced development of the regional economy. In line with the national “dual carbon” goals, we will promote the research and application of new energy ships and seize the initiative in the green shipping market.
Threat:
  • The expansion or upgrading of waterways may release more shipping capacity, stimulating shipowners (enterprises) to invest in building new vessels to capture market share, and leading to a sharp increase in capacity supply in the short term. Under the imbalance between supply and demand, shipping enterprises may launch price wars to maintain their market share, leading to a decline in freight rates, compression of profit margins, and even triggering vicious competition within the industry.
  • Insufficient satisfaction of shipping demands may lead to obstacles in the development of related logistics, trade, and other industries.

4.1. Core Stakeholders Identification of WA Project

4.1.1. Initial Stakeholder Identification

The nonparametric comparative analysis employing the Mann–Whitney U statistic was structured around three investigative axes: (1) differences in the initiative of stakeholders’ participation in the development of waterway infrastructure; (2) differences in decision-making influence among participant groups; (3) differences in the distribution of interests among all parties.
Methodologically, before verifying the hypotheses through the Mann–Whitney U protocol, the average initiative, influence, and benefits of different stakeholder groups were calculated and evaluated to assess the statistical significance of role differences in project execution. Take initiative as an example. Table 2 records the calculation results.
From the above table, the stakeholder with the most differences from other stakeholders is the end user, showing significant differences in initiative with a total of nine stakeholders; the top three stakeholders in terms of the average score of initiative, namely the government (investor), project construction agency, and end users, are more consistent with the stakeholders who show significant differences among them. Therefore, considering the mean of each stakeholder and the number of significant differences from other stakeholders, the core stakeholders under the initiative dimension can be defined as the government (investor), the project construction agency, and end users. The general stakeholders include operation and maintenance units, the public, water administration departments, environmental protection departments, supervision and audit units, and scientific research institutions. The marginal stakeholders include design parties, construction parties, and material and equipment suppliers.
Using the method for stakeholder identification based on initiative, stakeholders can be identified in terms of their influence and interests, as shown in Table 3.

4.1.2. Determination of Core Stakeholders

By thoroughly classifying stakeholders using three different dimensions, the 12 project stakeholders involved in the decision-making process of waterway engineering projects can be divided into the following three categories:
  • Core Stakeholders: These stakeholders score as core stakeholders in at least two dimensions and are essential to the project process, being closely related to the project. Decision-making in the planning stage of waterway engineering projects involves core stakeholders, including the government (investor), the project construction management unit, and the end users. The government (investor) is the ultimate decision-maker for the project, providing the necessary resources and funding to ensure that project outcomes meet requirements. Their attitudes and actions are crucial for the project’s success. Since government investments involve public funds, they are subject to strict legal constraints, necessitating necessary reviews, votes, supervision, and planning to ensure the rationality of the investment. Thus, the project construction management unit also plays a very important role in the planning stage decision-making of waterway engineering projects. Additionally, end users, as beneficiaries of the project outcomes, have a significant influence and actively participate in the project.
  • General Stakeholders: Stakeholders are classified as general stakeholders when they exhibit characteristics of such in a minimum of two aspects. They typically maintain a significant connection with the project, and their impact on its development should not be underestimated. In the planning stage decision-making of waterway engineering projects, general stakeholders include operation and maintenance units, end users, water administration departments, environmental protection departments, design teams, construction teams, materials and equipment suppliers, research departments, and supervising audit units. Water administration and environmental protection departments possess the power to grant administrative approvals, thereby exerting a crucial influence on the project’s decision-making process.
  • Marginal stakeholders: Those other than core stakeholders and general stakeholders are called marginal stakeholders, such as the public.
According to the above analysis, the core stakeholders can be categorized as management and users. This paper analyzes the utility of navigation governance projects based on the interests and demands of stakeholders from these three perspectives: management, users, and other stakeholders. Different stakeholders have distinct interests, which are particularly evident in this waterway engineering context. Specifically for the WA, the classification of stakeholders and the interests of each party are shown in Table 4.
These stakeholders play a crucial role in the sustainable development of waterways.
The management side: It focuses on economic growth (GDP, employment) and cost control (maintenance expenses, investment risks), which are directly related to the “economic feasibility” goal of sustainable development.
The user side: They are concerned about freight costs and market competitiveness (such as the risk of ship renewal), and their interests are in line with the goal of “efficient transportation” for sustainable development, but may conflict with environmental goals (such as the ecological impact of large ships).
Other stakeholders: Environmental protection departments focus on ecological protection, and the public is concerned about the quality of life (such as noise and water quality). Both are directly related to the goals of “environmental sustainability” and “social equity” in sustainable development, but are often overlooked by traditional management-centered evaluations.

4.2. Screening and Measurement of Key Risk Factors in the WA Project

4.2.1. Initial Decision-Making Risk Checklist

By categorizing stakeholders and exploring the risk factors involved in the utility of different stakeholders, an initial list of risk factors is compiled by collecting data, consulting experts, and combining the characteristics of risk factors. Specifically, as follows:
  • Decision-making risks of management
  • Risk of uncertainty in regional economic development (D1)
Regional economic development is the driving force and guarantee of waterway engineering construction, while waterway engineering is also an important measure to promote the development of related industries and employment in the region. However, at present, China’s economic and social development has entered a new normal, with economic growth declining and industrial structure adjusting. At the same time, facing the COVID-19 pandemic and complex international and domestic situations, it has increased the uncertainty of the impact of the waterway project on regional economic development, which has a certain impact on project decision-making.
  • Risk of unbalanced regional economic development (D2)
Regional coordinated development is an important consideration for government departments when making decisions on transportation infrastructure projects, such as waterways. The hydrological conditions of the regions involved in inland waterway engineering are diverse, with natural and channelized river sections intersecting, and the difficulty of regulation and dredging varies greatly. Generally, it is difficult to unify the scale standards for the regulation of different river sections. On the one hand, engineering projects can promote economic development along the project route, but on the other hand, they may exacerbate the imbalance of regional economic development due to significant differences in upstream, midstream, and downstream remediation standards.
  • Engineering freight demand risk (D3)
The construction goals and scale of waterway engineering are determined based on predicted freight demand, so freight demand is the most direct influencing factor for decision-making in waterway regulation engineering. However, at the same time, freight demand forecasting is subject to great uncertainty due to national industrial policies and market factors, as well as competition from other modes of transportation. On the one hand, inland waterway transportation is still dominated by bulk cargo, and the future demand for bulk cargo transportation is affected by industrial upgrading and environmental protection policies, so there is great uncertainty about whether the current stable trend can be maintained. In addition, the demand for container transportation is growing rapidly, but the domestic and international trade situation is greatly affected by domestic consumption and the international situation, and it is doubtful whether it can maintain high-speed growth.
  • Planning compliance risk (D4)
Planning is dynamic, and once waterway engineering is constructed, it is often difficult to adjust. Whether the waterway project complies with the national and regional waterway planning in the near and long term is the key to the smooth construction and operation of the project. At the same time, planning is constantly being adjusted and optimized, and there is a question mark on whether engineering projects can adapt to future changes.
  • Remediation effect risk (D5)
Channel engineering is different from onshore engineering projects, such as highways and railways, mainly using regulating structures to prevent the erosion of riverbeds by water flow. Whether it is numerical simulation or physical simulation of water flow, it is difficult to fully predict the regulation effect after the project. The water flow, riverbed erosion, and deposition situation will continue to change over time, and there is uncertainty about whether the regulation effect can achieve the expected goals.
  • Total investment risk of the project (D6)
Investment is an important factor that affects engineering decisions. The factors that affect the total investment may include human resource costs, equipment costs, engineering material costs, social discount rates, tax incentives, and other factors. The actual investment amount often deviates from the estimated amount during the planning phase.
  • Engineering maintenance cost risk (D7)
The engineering decision-making in the planning stage focuses on the total cost of the entire lifecycle. After the construction of the waterway project, it not only concerns whether the remediation goals are achieved and whether the construction investment is reasonable, but also pays attention to the future maintenance cost of the waterway. Some sections of the route may experience significant maintenance workload each year due to repeated sedimentation, resulting in enormous financial pressure for daily maintenance and dredging. Maintenance and dredging may also affect the normal navigation of the waterway, causing economic losses.
  • Tax fluctuation risk (D8)
Waterway engineering is a public project, and the majority of project funding comes from government taxes and transfer payments. However, taxation is greatly influenced by policies and the economy, and there are certain risks in ensuring engineering funding.
  • Inflation risk (D9)
Inflation can increase commodity prices and personnel wages, which may result in higher-than-expected engineering investment and operational maintenance costs.
  • Ship technology risk (D10)
The role of water transportation in green transportation, energy conservation, and emission reduction is an important social benefit of waterway engineering construction. But with the advancement and gradual application of new energy ship technology, it is worth considering whether the energy-saving and emission reduction benefits of ships will change direction with technological progress.
  • Risk of obstructive structures (D11)
The construction of waterways is not only affected by the conditions of the river itself, but also by cross-river structures and interception structures along the route. Due to early planning and construction, many bridges and gates are built according to low-level waterway standards. Whether these navigation-obstructing structures will be demolished in the future will affect the implementation of waterway engineering and engineering decisions.
  • User decision-making risk
  • Ship elimination update risk (D12)
The construction of waterway engineering has increased the scale of inland waterways, which is conducive to the large-scale development of ships. To enhance market competitiveness, shipping companies will consider phasing out old ships and building larger tonnage seaworthy cargo ships. However, the initial investment in ships is huge, the recovery of funds is slow, there will be significant financial pressure in the short term, and the long-term returns are highly uncertain. There is doubt as to whether many shipping companies will carry out the expected phasing out and updating of ship types.
  • Oil price fluctuation risk (D13)
The direct impact of waterway engineering is the reduction of transportation costs due to the enlargement of ship types, with the most important being fuel costs. Fuel prices generally account for a large proportion of the necessary freight rates for ships, and fluctuations in fuel prices may cover or even offset some of the cost savings brought about by the enlargement of ships.
  • Risk of fluctuation in freight rates for other modes of transportation (D14)
Transportation fares are affected not only by internal competition in the shipping industry but also by fares for other modes of transportation. The reduction in freight rates for road or railway transportation will affect the competitiveness of water transportation in the comprehensive transportation system, leading to a decrease in the transfer of traffic volume in waterway engineering construction, which may result in the direct economic benefits of the project being difficult to achieve as expected.
  • Port Terminal Adaptability Risk (D15)
Ports, waterways, and ships are the three essential elements in the shipping system. To maximize the benefits of waterway engineering, coordination and cooperation between ports and terminals are required. After the improvement of the waterway scale, whether the port upgrades and transforms the terminal according to its own situation will also affect the full potential of the waterway.
  • Transportation organization risk (D16)
The most direct benefit of waterway engineering ultimately lies in transportation organization. Strictly speaking, transportation organization is a market behavior, and the project will change the relationship between the regulated waterway and the upstream and downstream waterways, providing conditions for shipping companies to improve the tonnage and optimize the transportation capacity of transport ships. Existing routes and transportation organization methods may need to be optimized, but there is uncertainty about whether the direction and method of optimization will proceed as expected.
  • Market monopoly risk (D17)
After the operation of the waterway project, it is advantageous and more competitive for large tonnage ships. At the same time, shipping companies need to adjust their existing capacity structure, which has a large amount of funds and a certain degree of risk. Couple ships or smaller shipping companies are more affected. Ultimately, it may lead to small companies being eliminated and large enterprises gaining a monopoly position, which is not conducive to market competition.
  • Market supply and demand risk (D18)
The construction of shipping engineering may lead to the construction of a large number of new ships, an increase in supply, and a decrease in market freight rates and user revenue under certain demand conditions.
  • Other stakeholder risks
  • Navigation safety risk (D19)
The construction period of waterway engineering will have an impact on the existing waterway layout, causing certain pressure on the navigation of passing ships. At the same time, the operation period of the waterway may cause the enlargement of ships or an increase in ship traffic flow, and there is uncertainty about whether it will increase the risk of accidents.
  • Water intake risk (D20)
After the completion and operation of the waterway project, it may cause changes in the flow velocity, flow rate, and direction of water near the intake, affecting the water intake conditions.
  • River ecological risk (D21)
The construction of waterway engineering involves a large number of hydraulic structures and shore protection projects, which can cause changes in the habitats of aquatic animals and plants. Ships during the construction and operation periods may also cause mechanical damage and noise impact to organisms, affecting the ecological diversity of rivers.
  • Water quality impact risk (D22)
During the construction period of waterway engineering, the construction of regulating structures such as dikes, revetment construction, dredging projects, etc., are water-related operations that can easily disturb the water body, causing an increase in suspended solids in the project area. At the same time, construction machinery and personnel will discharge certain sewage or wastewater, causing water pollution. The operation period is mainly due to the indirect impact brought by engineering construction. After the increase of ship flow, the oil and wastewater in the ship’s cabin bottom may increase, affecting water quality.
  • Flood control impact risk (D23)
The waterway regulation project may change the river water level, flow velocity, diversion ratio, and other river conditions, occupy the flood discharge section, and have a certain impact on the flood safety of the river. At the same time, the waterway project will change the flow velocity and direction near the shore, which will have a certain impact on the embankment and bank protection projects.
  • Natural Ecological Reserve Risk (D24)
The waterway project may be located within the core area and buffer zone of natural ecological protection. Therefore, it is important to analyze the distance between the construction and operation periods and the special ecological protection zone, as well as its impact on the environment and the function of the protection zone.
  • Fishery risk (D25)
The construction of waterway engineering will affect local fishery resources during the construction and operation periods and may even result in fishing bans during the construction period, causing certain economic losses.
  • Acoustic environment risk (D26)
During the construction period of the waterway project, the construction ships and machinery will bring some noise. At the same time, during the operation period, the flow of ships will increase, and the whistles will increase, which may also affect the surrounding residents.

4.2.2. Screening of Key Risk Factors

After obtaining the initial list of risk factors, further screening of key risk factors is required. Calculate the relevant results through the formula, as shown in Table 5.
  • Causality analysis
When ni > 0, this factor is the causal factor, from which it can be seen that D1, D2, D3, D4, D6, D10, D11, D14, D17, D21, D23, D25, and D26 are causal factors. Among them, the first seven items belong to the management risk, while D14 and D17 belong to the user risk, and D21, D23, D25, and D26 belong to the other stakeholder risks.
Findings reveal divergent stakeholder priorities: project managers consider the economic and planning implementation feasibility, while end users are concerned about the impact of fluctuations in the maritime market on operational results. Other stakeholders pay more attention to flood control functions and their own life impacts. Among them, D1, D3, D4, D10, and D23 have larger causal values, indicating that these factors have a greater impact on other factors.
When ni < 0, this factor is the outcome factor. In the table above, D5, D7, D8, D9, D12, D13, D15, D16, D18, D19, D20, D22, and D24 are the outcome factors. Among them, management risk accounts for four items (D5, D7, D8, D9), user risk accounts for five items (D12, D13, D15, D16, D18), and other stakeholder risk accounts for three items (D19, D20, D22, D24). This indicates that factors such as remediation results, remediation costs, navigation conditions, transportation markets, water use, and ecological environment are easily affected by external factors, resulting in other risks or greater losses. The reason degree values for D7, D15, D20, and D22 are relatively small indicating that these factors are greatly influenced by other factors.
  • Centrality analysis
The larger the mi, the more obvious the impact of this factor on the risk system of waterway regulation projects, and it is an important element in identifying key risk factors in the risk system. According to the analysis of the risk influencing factors of various stakeholders, the top four risks for management are D1, D3, D4, and D5; the top three user risks are D12, D15, and D18; the top five other stakeholder risks are D20, D21, D22, D23, and D24. These factors reflect the position and importance of the element in various risk systems.
  • Key risk factor screening results
Based on the above analysis and combined with the degree of cause, the absolute value of the degree of cause represents the degree to which the factor affects or is affected. Four factors, namely D1, D3, D4, and D10, are selected from the decision-making risks of management; screen out two factors in user decision risk: D12 and D15; three factors, namely D20, D22, and D23, were identified through risk screening among other stakeholders. From the perspective of centrality, the size of centrality reflects the importance of the element in the system. Four factors, namely D1, D3, D4, and D5, are selected from the decision-making risks of management; screen out three factors from user decision risks: D12, D15, and D18; three factors, namely D21, D23, and D24, were identified through risk screening among other stakeholders.
By combining causality and centrality, and categorizing and refining similar risk influencing factors, considering the actual demands of various stakeholders, and based on expert opinions, the project design plan will also focus on the economic aspect. Therefore, considering the operability and repeatability of risk factors, the uncertainty risk of regional economic development and the compliance risk of planning will be merged into the overall planning risk. The water intake affects the safety of residents’ water use, and the water quality of rivers not only affects residents’ water use, but also affects other aspects. Therefore, the risk of water intake and the risk of water quality impact are merged into water use risk. In addition, natural ecological reserves belong to a relatively special part of river ecology, so the risk of natural ecological reserves is merged into the river ecological risk. Therefore, the screening list of key risk factors for waterway regulation projects is as follows (Table 6).

4.2.3. Classification of Risk Levels for Key Indicators

According to Section 3.3.2, data-based and empirical indicators are categorized as follows:
  • Empirical indicators
Based on the key decision risks identified in the previous section, the list of empirical indicators is shown in Table 7. Expert survey methods are used to measure the risk levels of these indicators.
  • Data-based indicators
For data-driven indicators, scientific methods are used for investigation and statistics, data analysis and processing are carried out, and reasonable normative standards are formulated to quantify the risk level. The data indicators and processing methods are as follows (Table 8):
  • Risk of engineering freight demand
The risk of engineering freight demand can be measured by the satisfaction rate of shipping demand. The satisfaction rate of shipping demand is the ratio of the actual channel capacity to the total demand of shipping logistics. If the satisfaction level is too high, it indicates a waste of resources, and if it is too low, it indicates that the development of shipping lags behind the demand for sustainable economic development. This indicator can directly reflect the sustainable development needs of the waterway economy and measure whether the scale of the waterway regulation project design is reasonable. The specific quantitative indicator calculation formula is as follows:
φ = a c t u a l   s h i p p i n g   a n d   t r a n s p o r t a t i o n   c a p a c i t y t o t a l   d e m a n d   f o r   s h i p p i n g   a n d   l o g i s t i c s × 100 %
Based on the recent capacity of waterway passage and the total demand for shipping logistics, the engineering freight demand risk of waterway regulation projects can be analyzed and measured. Combined with relevant watershed planning outlines and expert opinions, the risk level classification standards are established as follows (Table 9).
  • Ship technology risk
The main consideration of ship technology is the social benefits generated by energy conservation and emission reduction. Against the backdrop of China’s current dual carbon strategy, the green development of the water transportation industry has become extremely important. The improvement of waterways and the increase in tonnage of main ship types will lead to a decrease in the ship energy consumption index. Therefore, the emission of petroleum pollution from ships is used as the standard to measure the risk of energy conservation and emission reduction. The formula is as follows:
Q s = ( N i Q i ) / N
Among them, Qs represents the average petroleum emission coefficient of ships (mg/L), and N is the total number of ships; Ni represents the quantity of ship type i; Qi represents the petroleum emission coefficient (mg/L) of ship type i. The data source is mainly obtained from actual testing data. According to the “Technical Guidelines for Environmental Impact Assessment—Ecological Impact”, “Comprehensive Wastewater Discharge Standards”, and expert opinions, the measurement standards for this indicator are divided as follows (Table 10).
  • Water intake risk
The implementation of waterway regulation projects will have an impact on the water intake facilities of the river section, thereby affecting the guaranteed rate of industrial, agricultural, and domestic water supply in the surrounding areas of the basin. According to the disclosed data from the China Water Resources Yearbook, the current water supply guarantee rate for residents is relatively high, generally above 95%. Due to the vast geographical area and limited economic and natural conditions, the guaranteed rate of rural water supply is relatively low. The water supply guarantee rate can reflect the level of impact of the project on nearby water intake, so this indicator is used to measure the risk level of water intake (Table 11).
  • River ecological risk
The construction of waterway engineering will bring changes to the ecological environment of aquatic animals and plants, and the ecological risk level will be measured by the suitability of aquatic habitats. The habitat suitability index for aquatic organisms is used to quantitatively describe the relationship between the preference of aquatic organisms for habitats and habitat factors. The calculation method is as follows:
Select indicator species for the study river section, establish a habitat suitability model, and analyze the changes in habitat suitability index (HSI) after the implementation of the waterway regulation project through model calculation. The original value of this index is the reduction rate of the area with a suitability index greater than 0.8.
Habitat   suitability   index = W a t e r   D e p t h   S u i t a b i l i t y   I n d e x     F l o w   V e l o c i t y   S u i t a b i l i t y   I n d e x
Standardize the data according to relevant standards and expert experience, and divide the evaluation criteria into levels (Table 12).
  • Flood control impact risk
Flood control is an important defense line and requirement for the sustainable development of inland waterways and socioeconomic development. The risk of flood control capacity is mainly measured by two indicators: maximum flood discharge capacity and water resistance rate.
In general, the maximum flood discharge capacity is closely related to the hydrological characteristics of the watershed itself, and the maximum flood discharge capacity of different rivers varies. According to the Flood Control Standards and relevant literature, the maximum flood discharge and storage capacity standards are divided into five levels, as shown in Table 13.
The water blocking rate is used to measure the ability of water crossing structures in a river to intercept incoming water. The higher the water blocking rate, the stronger the corresponding ability to intercept and store river water. The general water resistance rate can be calculated through mathematical models before and after engineering. According to expert experience and relevant literature, the water resistance level of the river section is divided into five levels (Table 14).

4.3. Risk Assessment of WA Project

4.3.1. Risk Assessment Modeling

The key influencing factors of waterway regulation projects have been discussed earlier. Based on the interests of different stakeholders, risks are classified into management risks, waterway user risks, and other stakeholder risks. Therefore, the sub-elements of these three types of risk factors are used as inputs for fuzzy inference to obtain the management risk evaluation model M1, waterway user risk M2, and other stakeholder risk M3 (referred to as “other risks” in the following text). These three types of factors are then used as inputs for fuzzy inference to obtain the waterway regulation project risk evaluation model M. The specific process is shown in Figure 2.
MATLAB has the function of implementing fuzzy reasoning. By using the fuzzy logic toolbox for drawing, not only can the membership functions of input and output language variables be selected, but also the language values and domains of input and output language variables, as well as the relationship between the language values of each language variable, can be clearly seen.
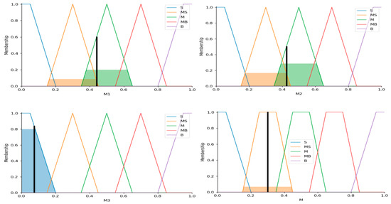
Taking the management’s risk evaluation model M1 as an example, we construct the membership function. As analyzed above, the management’s risk is mainly influenced by several factors, including overall planning risk P, engineering freight demand risk F, and vessel technology risk T.
The ‘overall planning risk P’ is treated as an input linguistic variable, which is fuzzy segmented into five linguistic terms: small (S), medium-small (MS), medium (M), medium-large (MB), and large (B), resulting in a fuzzy set {S, MS, M, MB, B} with a domain defined as [0, 1]. Similarly, the ‘engineering freight demand risk F’ is treated as an input linguistic variable and fuzzy segmented into small (S), medium-small (MS), medium (M), medium-large (MB), and large (B), with a domain defined as [0, 4]. The ‘vessel technology risk T’ is also fuzzy segmented into the same five linguistic terms, with its domain defined as [0, 0.004].
The output linguistic variable is the management’s risk, denoted as M1, with its domain defined as [0, 1], corresponding to the fuzzy set {S, MS, M, MB, B} for the linguistic terms small (S), medium-small (MS), medium (M), medium-large (MB), and large (B).
Triangular and trapezoidal membership functions are selected to describe the linguistic values of the linguistic variables. The operational diagram of the MATLAB software Fuzzy Logic Designer is shown below (Figure 3).
Fuzzy rules are obtained by taking the Cartesian product of fuzzy linguistic variables and membership sets. The membership sets of the three types of factors result in 125 fuzzy rules. After consulting the literature and incorporating expert experience and knowledge, these fuzzy rules are finalized. Using the above method, the membership functions for all input linguistic variables can be determined.
Using the fuzzy combination reasoning method, the factors of management risk M1, user risk M2, and other risks M3 are treated as input variables. Their domains and fuzzy linguistic values are divided into five categories: small (S), medium-small (MS), medium (M), medium-large (MB), and large (B), resulting in the fuzzy set {S, MS, M, MB, B}, with the domain defined as [0, 1]. The risk assessment model for waterway rehabilitation projects is designated as the output variable M, representing the risk assessment of the waterway rehabilitation project influenced simultaneously by the three stakeholders. The fuzzy set is also {S, MS, M, MB, B}, with the domain established as [0, 1].
Triangular and trapezoidal membership functions are chosen to describe the linguistic values of the variables. The operational diagram for MATLAB’s Fuzzy Logic Designer is shown below (Figure 4).
After using the membership functions to convert all subjective and objective data into a unified fuzzy language, fuzzy rules M can be determined based on expert experience, as shown in Table 15.
It should be noted that in practice, the overall risk of waterway projects is not simply the accumulation of risks of various stakeholders, but rather, there exists a synergistic amplification effect. When any two types of risks are classified as “big (B)”, even if the third type of risk is relatively low, its combined impact will exceed the acceptable threshold, leading to the overall risk getting out of control (such as the project being forced to be put on hold due to economic infeasibility and environmental disputes). To measure such nonlinear relationships, we represent them in fuzzy rules (Table 15). When the risks of managers, users, and others are all small (s), the final risk size will be s, and if any two of them are B (big), the final risk will be B. Such nonlinear rules imply the balanced requirements for the “three-dimensional goals of sustainable development” (economy, society, environment).

4.3.2. Results Analysis

According to expert investigation, data collection, and processing, the scores of each input language variable are obtained, as shown in Table 16.
Using the MAMDANI model for inference, the results obtained for Management Risk M1, User Risk M2, Other Risk M3, and Waterway Rehabilitation Project Risk M are shown in the following Figure 5.
Using the centroid method for defuzzification, the risk values for (M1), (M2), (M3), and (M) are 0.440, 0.425, 0.074, and 0.30, respectively. The evaluation level of the risk M for the waterway rehabilitation project is classified as medium-small (MS). The results indicate that management risk (M1) is a key risk factor for a certain section of the Yangtze River, with the primary influencing factor being the engineering freight demand risk (F). This suggests that the existing navigation capacity of this section is relatively low and cannot adequately meet shipping demands. Attention should be given to optimizing the transportation of materials and operational organization, promoting the development of large vessels, and diversifying vessel types and transportation organization. Additionally, optimizing vessel traffic management and accelerating vessel type updates are essential. Furthermore, applying advanced technologies to improve navigation efficiency is a key measure for reducing engineering freight demand risk. To overall reduce management risk, it is necessary for management to strictly control risk sources related to the project’s economic contributions, cost control, energy conservation, and emissions reduction. This approach can provide insights for risk control in waterway engineering rehabilitation projects.
Furthermore, this study clarifies the core stakeholders in the decision-making stage of waterway engineering, including the government (investors), project construction management units, and end users. This discovery emphasizes the importance of balancing the needs of different stakeholders in project decision-making. From the perspective of sustainable development, the government, as an investor, pays attention to the impact of the project on regional economic growth, employment, and the environment, which is closely related to the economic, social, and environmental goals of sustainable development. The end users, as the direct beneficiaries of the project, the degree to which their demands (such as reducing freight costs and improving transportation efficiency) are met directly affects the actual benefits of the project. Meeting these demands helps to enhance the utilization efficiency of waterways, promote regional economic exchanges, and is in line with the goals of efficient transportation and economic prosperity in sustainable development. Identifying core stakeholders provides a clear direction for project planning and decision-making, ensuring that the project achieves sustainable development on the basis of meeting the interests of all parties.

5. Conclusions

This study emphasizes the importance of achieving common development in multiple dimensions, such as economy, ecology, and society, in the context of large-scale projects. In the construction of large-scale waterway projects, achieving a three-dimensional balance among economic development, ecological protection, and social equity faces multiple contradictions. The primary challenge lies in the predicament of the synergy between economic growth and ecological conservation—although engineering activities can drive regional economic development, they are prone to causing disturbances to river ecosystems. Secondary contradictions exist in the game dimension between economic efficiency and social fairness. The imbalance between the resource allocation mechanism and the benefit-sharing model may cause damage to the rights and interests of stakeholders. The third contradiction focuses on the coordination problem between ecological constraints and social development. Friction is prone to occur between environmental protection measures and the demands of residents along the coast. To solve the above-mentioned predicament, it is necessary to establish a multi-level coordination mechanism, design an inclusive policy framework, and achieve the collaborative optimization of multiple value goals through institutional innovation.
In the decision-making stage of waterway rehabilitation projects, numerous influencing factors, such as regional economic development, freight demand, and planning adjustments, create significant uncertainty. Therefore, the measurement, evaluation, and control of risks are essential components of the decision-making process. This study first examines the demands and conflicts among stakeholders in waterway engineering through a literature review, identifies key stakeholders, and applies the Mann–Whitney U test to determine the three most critical decision-makers. Secondly, a comprehensive and systematic risk checklist for engineering decision-making is compiled from the perspectives of waterway management, users, and other stakeholders, and the DEMATEL method was used to screen out key risks, providing a more comprehensive reflection of the various risks that may be faced, which will aid in developing targeted risk control strategies and enhancing the theoretical framework for stakeholder risk evaluation and control in waterway engineering. Finally, by considering the different data sources and methods for measuring key risks in waterway engineering, a risk measurement and evaluation model based on fuzzy rule sets is developed to facilitate risk assessment under uncertain conditions.
The framework’s modular design enables adaptation to global waterway projects through the following: (1) Stakeholder recalibration: In countries with strong NGO participation (e.g., European projects), the “other stakeholders” category can expand to include civil society organizations, with adjusted influence scores reflecting local governance structures; (2) Regional risk profiles: For ecologically sensitive areas (e.g., the Amazon River), fuzzy rules can be augmented with biodiversity loss metrics, whereas in conflict zones (e.g., Middle East waterways), security risks (e.g., sabotage) can be integrated into the user risk category. The WA case’s focus on balancing economic growth with flood control and ecological protection provides a template for transboundary projects (e.g., the Danube River), where multi-national stakeholders require a flexible tool to navigate competing sustainability priorities. By retaining the core methods (DEMATEL for causality, fuzzy reasoning for uncertainty) while adapting indicators to local contexts, the framework offers a scalable solution for global waterway sustainability.
However, this study has some limitations. In the process of identification and classification of stakeholders, a relatively simplified way is adopted to divide them into major members and minor members, and the description of the interest demands, influence, and interaction mechanism of each stakeholder is still relatively limited. The decision process involves multiple subjects such as the government, users, and the public, and its complex interest correlation and dynamic interaction relationship have not been fully reflected in the existing analysis framework. How to build a stakeholder interaction model that is closer to the real situation and comprehensively considers the heterogeneous characteristics, interest game path, and co-evolution mechanism of each subject still needs further research and exploration. The current research primarily relies on expert opinions to identify key risks affecting project decisions, focusing mainly on individual risks. There is a lack of further analysis regarding whether these risks interact or compound, as well as the evolutionary patterns following changes in the environment. Furthermore, there are the following limitations: (1) Expert subjectivity: Risk screening and fuzzy rules rely on expert judgment and may be influenced by the industry background. For instance, if a certain type of background (such as in the economic field) dominates in the expert team, it may lead to the underestimation of ecological and social risks, making the risk list unable to fully reflect the true risk pattern. To mitigate this effect, we use iterative Delphi rounds, requiring a consensus of ≥80% to reduce individual biases; (2) Sample bias: There were 10 valid questionnaires, mainly from domestic experts, and the conclusions had limited universality for international projects; (3) Stakeholder simplification: Reducing the initial 16 stakeholders to 12 may omit the demands of niche groups (such as non-governmental environmental protection organizations), resulting in an incomplete risk assessment.

Author Contributions

Conceptualization, J.X. and Y.C.; Methodology, Y.Z., J.X. and Y.L. (Yao Liu); Software, Y.Z.; Validation, J.X., Y.C., Y.L. (Yao Liu) and B.Z.; Formal analysis, J.X. and Y.C.; Investigation, H.Z. and Y.C.; Resources, H.Z. and Y.C.; Data curation, H.Z. and Y.C.; Writing—original draft, Y.Z., Y.L. (Yao Liu) and B.Z.; Writing—review and editing, Y.Z., B.Z. and Y.L. (Yunpeng Li); Visualization, Y.Z. and B.Z.; Supervision, J.X. and Y.L. (Yunpeng Li); Project administration, Y.Z.; Funding acquisition, Y.Z. All authors have read and agreed to the published version of the manuscript.

Funding

This work was supported by the National Key R&D Program of China (Grant No. 2023YFE0197900 and No. 2023YFE0208300) and the Changjiang Waterway Institution of Planning and Design (Grant No. 20223H0388).

Institutional Review Board Statement

This study is waived for ethical review by School of Transportation and Logistics Engineering, Wuhan University of Technology.

Informed Consent Statement

Written informed consent has been obtained from the patients to publish this paper.

Data Availability Statement

The data presented in this study are available on request from the corresponding author.

Conflicts of Interest

The authors declare no conflicts of interest.

Appendix A. Questionnaire on the Importance Assessment of Stakeholders in Waterway Engineering Projects

Dear expert:
Hello! In order to gain a deeper understanding of the significance of each stakeholder in terms of initiative, influence and interests during the decision-making stage of waterway engineering projects, this questionnaire survey is specially conducted. Based on your project experience, please judge the importance of each party from the following three dimensions (on a scale of 1 to 5). Your opinions are of vital importance to this research. The answers to the questionnaire are only for academic research. Please fill them out truthfully based on your actual understanding. Thank you sincerely for your professional support!
  • Basic Information (Optional)
  • Your field of work: □ Government □ Design company □ Construction company □ supervision agency □ Research institute □ others
  • Your experience in similar projects: □ None □1–3 years □4–6 years □ more than 7 years
  • Scoring Instructions
Please conduct three-dimensional independent scoring for each stakeholder based on the following dimension definitions:
  • Initiative: The degree of enthusiasm of this party in promoting the project process
  • Influence: The actual control that this party has over project decisions
  • Interests: The directness of the party obtaining benefits from the project
Scoring criteria
1 = Very unimportant | 2 = Relatively unimportant | 3 = Average | 4 = Relatively important | 5 = Very important
  • Main Questionnaire
StakeholdersInitiativeInfluenceInterests
Government (investor)□1–5□1–5□1–5
Project construction agency□1–5□1–5□1–5
Construction party□1–5□1–5□1–5
Designers□1–5□1–5□1–5
Material and equipment suppliers□1–5□1–5□1–5
The public□1–5□1–5□1–5
Supervision and Audit Unit□1–5□1–5□1–5
Operation and maintenance unit□1–5□1–5□1–5
Research institution□1–5□1–5□1–5
Environmental Protection Department□1–5□1–5□1–5
Water Administration Department□1–5□1–5□1–5
End user□1–5□1–5□1–5
  • Supplementary Suggestions
What other important stakeholders or assessment dimensions do you think need to be supplemented that have not been listed?

References

  1. UNCTAD 2022. Review of Maritime Transport. United Nations Conference on Trade and Development, New York and Geneva. Available online: https://unctad.org/system/files/official-document/rmt2022_en.pdf (accessed on 13 January 2025).
  2. Boudhoum, O.; Oztanriseven, F.; Nachtmann, H. Value-Focused Inland Waterway Infrastructure Investment Decisions. Eng. Manag. J. 2022, 34, 265–280. [Google Scholar] [CrossRef]
  3. Kattel, G.; Reeves, J.; Western, A.; Zhang, W.; Jing, W.; McGowan, S.; Cuo, L.; Scales, P.; Dowling, K.; He, Q.; et al. Healthy waterways and ecologically sustainable cities in Beijing-Tianjin-Hebei urban agglomeration (northern China): Challenges and future directions. Wiley Interdiscip. Rev. Water 2021, 8, e1500. [Google Scholar] [CrossRef]
  4. Wehrle, R.; Wiens, M.; Neff, F.; Schultmann, F. Economic Risk Potential of Infrastructure Failure Considering In-Land Waterways. Water 2022, 14, 2874. [Google Scholar] [CrossRef]
  5. Wan, C.; Yuan, J.; Cao, D.; Wang, T.; Ng, A.K.Y. A fuzzy evidential reasoning-based model for evaluating resilience of ports to typhoons. Transp. Res. Part D Transp. Environ. 2024, 133, 104228. [Google Scholar] [CrossRef]
  6. Salah, A.; Moselhi, O. Risk identification and assessment for engineering procurement construction management projects using fuzzy set theory. Can. J. Civ. Eng. 2016, 43, 429–442. [Google Scholar] [CrossRef]
  7. Sun, J.T.; Wu, J.T. Risk identification in overseas engineering project using WBS-RBS method. J. Shenyang Inst. Aeronaut. Eng. 2009, 26, 65–69. [Google Scholar]
  8. Nomaguchi, Y.; Dong, C.; Nakashima, H.; Fujita, K. Risk Identification Method for Engineering Design Project Based on Risk Chain Mechanism Model. In Proceedings of the ASME 2015 International Design Engineering Technical Conferences and Computers and Information in Engineering Conference, Boston, MA, USA, 2–5 August 2015. [Google Scholar] [CrossRef]
  9. Zhou, Z. Research on Risk Analysis and Management in the Implementation Stage of Large-Scale Engineering Projects. Ph.D. Thesis, Shanghai Tongji University, Shanghai, China, 1994. [Google Scholar]
  10. Zhu, X.L.; Ni, X.W.; Wang, S.G. Study on Design Risk Assessment of Waterway Engineering. Shandong Transp. Sci. Technol. 2023, 143–145. Available online: https://oversea.cnki.net/KCMS/detail/detail.aspx?dbcode=CJFD&dbname=CJFDLAST2023&filename=JTKE202304043&uniplatform=OVERSEA&v=qAPipiW5yJWjL5nu-QdYypV_ZY8Ra8MyFoRcRb6_NS8KzFvQIs5Aa5lZvEXOjjfL (accessed on 2 June 2025).
  11. Weng, X.J.; Yuan, C.H.; Li, X.L.; Li, H. Research on the Construction of a Risk Assessment Indicator System for Transportation Infrastructure Investment under Public-Private Partnership Model. Buildings 2024, 14, 1679. [Google Scholar] [CrossRef]
  12. Zolfaghari, S.; Mousavi, S.M. Construction-project risk assessment by a new decision model based on De-Novo multi-approaches analysis and hesitant fuzzy sets under uncertainty. J. Intell. Fuzzy Syst. 2018, 35, 639–649. [Google Scholar] [CrossRef]
  13. Wang, T.; Takayanagi, T.; Chen, C.W.; Reiffsteck, P.; Chevalier, C.; Schmidt, F. Managing Railway Bridges Crossing Waterways through a Machine Learning-Based Maintenance Policy. J. Bridge Eng. 2025, 30, 04024114. [Google Scholar] [CrossRef]
  14. Dong, H.X.; Wu, Y.N.; Zhou, J.L.; Chen, W.J. Optimal selection for wind power coupled hydrogen energy storage from a risk perspective, Considering the participation of multi-stakeholder. J. Clean. Prod. 2022, 356, 131853. [Google Scholar] [CrossRef]
  15. Zhao, X.W.; Xue, W.; Liu, K.D.; Guo, F.; Chen, M.M. Fuzzy Analytic Hierarchy Process-Based Investment Risk Evaluation for Infrastructure Construction Projects. Buildings 2025, 15, 756. [Google Scholar] [CrossRef]
  16. Li, M.; Wu, X.; Yue, X.; Dai, X. Investment Risk Assessment and Countermeasure Strategies for Highway PPP Projects in Western China: A Dynamic Risk Accumulation Modeling Approach. Sustainability 2025, 17, 4200. [Google Scholar] [CrossRef]
  17. Khan, S.U.; Zhao, Q.; Wisal, M.; Shah, K.A.; Shah, S.S. A Data-Driven Bayesian Belief Network Influence Diagram Approach for Socio-Environmental Risk Assessment and Mitigation in Major Ecosystem-and Landscape-Modifier Projects. Sustainability 2025, 17, 3537. [Google Scholar] [CrossRef]
  18. Lyu, H.M.; Sun, W.J.; Shen, S.L.; Arulrajah, A. Flood risk assessment in metro systems of mega-cities using a GIS-based modeling approach. Sci. Total Environ. 2018, 626, 1012–1025. [Google Scholar] [CrossRef]
  19. Bakhtiari, S.; Najafi, M.R.; Goda, K.; Peerhossaini, H. Integrated Bayesian Network and Strongest Path Method (BN-SPM) for effective multi-hazard risk assessment of interconnected infrastructure systems. Sustain. Cities Soc. 2024, 104, 105294. [Google Scholar] [CrossRef]
  20. Qiu, S.M.; Bai, M.Z.; Lin, D.M.; Zhang, Y.F.; Xia, H.Y.; Fan, J.W.; Zhou, W.J.; Tang, Z.Y. Research on an Evaluation Method of Snowdrift Hazard for Railway Subgrades. Appl. Sci. 2024, 14, 7247. [Google Scholar] [CrossRef]
  21. Gu, G.Y.; Wei, F.J.; Zhou, S.H. Risk assessment method for mass unexpected incident in city with hesitant fuzzy linguistic information. J. Intell. Fuzzy Syst. 2015, 29, 2299–2304. [Google Scholar] [CrossRef]
  22. Barnard, R.C. A new approach to risk assessment integrating scientific evaluation and economic assessment of costs and benefits. Regul. Toxicol. Pharmacol. 1996, 24 Pt 1, 121–125. [Google Scholar] [CrossRef]
  23. Wang, H.Y.; Zuo, L.Q.; Lu, Y.J.; Lu, Y.; Liu, H.X.; Huang, T.J. Waterway carrying capacity assessment: Model development and application in the lower Yangtze River, China. Ecol. Indic. 2022, 142, 109177. [Google Scholar] [CrossRef]
  24. Voinov, A.; Kolagani, N.; McCall, M.K.; Glynn, P.D.; Kragt, M.E.; Ostermann, F.O.; Pierce, S.A.; Ramu, P. Modelling with stakeholders—Next generation. Environ. Model. Softw. 2016, 77, 196–220. [Google Scholar] [CrossRef]
  25. Wan, C.; Zhao, Y.; Zhang, D.; Fan, L. A system dynamics-based approach for risk analysis of waterway transportation in a mixed traffic environment. Marit. Policy Manag. 2023, 51, 1147–1169. [Google Scholar] [CrossRef]
Figure 1. Method framework.
Figure 1. Method framework.
Sustainability 17 05372 g001
Figure 2. Fuzzy reasoning method.
Figure 2. Fuzzy reasoning method.
Sustainability 17 05372 g002
Figure 3. Management’s risk evaluation membership function.
Figure 3. Management’s risk evaluation membership function.
Sustainability 17 05372 g003
Figure 4. Subordinate function for risk assessment of waterway rehabilitation projects.
Figure 4. Subordinate function for risk assessment of waterway rehabilitation projects.
Sustainability 17 05372 g004
Figure 5. Risk assessment results.
Figure 5. Risk assessment results.
Sustainability 17 05372 g005
Table 1. Preliminary identification of stakeholders in waterway engineering projects.
Table 1. Preliminary identification of stakeholders in waterway engineering projects.
No.StakeholdersNo.Stakeholders
1Government (investor)9Construction party
2Project construction agency10Designers
3Shipping company11Supervisory party
4Operation and maintenance units12Audit unit
5The public13Material and equipment suppliers
6Water Administration Department14Insurance company
7Environmental Protection Department15Port enterprise
8Research institution16News media
Table 2. Description of the mean initiative of various stakeholders.
Table 2. Description of the mean initiative of various stakeholders.
StakeholderMean ValueVarianceRankingThe Number of Significant Differences with Other Stakeholders
Government (investor)4.7870.68518
Project construction agency4.6320.65128
Construction party3.5781.236113
Designers3.7221.054103
Material and equipment suppliers3.4021.366122
The public3.8811.13686
Supervision and Audit Unit4.4721.04257
Operation and maintenance unit4.491.03846
Research institution3.9741.06977
Environmental Protection Department3.7251.16395
Water Administration Department4.3820.94665
End user4.6250.68139
Table 3. Three-dimensional classification results of project stakeholders in the planning stage decision-making.
Table 3. Three-dimensional classification results of project stakeholders in the planning stage decision-making.
DimensionStakeholder Classification
InitiativeCore stakeholdersGeneral stakeholdersMarginal stakeholders
Government (investor)Water Administration DepartmentDesigners
Project construction agencyEnvironmental Protection DepartmentConstruction party
End userOperation and maintenance unitMaterial and equipment suppliers
Supervision and Audit Unit
Research institution
The public
InfluenceGovernment (investor)Supervision and Audit UnitResearch institution
Water Administration DepartmentOperation and maintenance unitThe public
Project construction agencyEnd user
Designers
Construction party
Material and equipment suppliers
Environmental Protection Department
BenefitGovernment (investor)DesignersEnvironmental Protection Department
End userConstruction partyWater Administration Department
Project construction agencyMaterial and equipment suppliersThe public
Operation and maintenance unit
Research institution
Supervision and Audit Unit
Table 4. Classification of stakeholders.
Table 4. Classification of stakeholders.
ClassificationStakeholdersInterests and Demands
ManagementOwner—StateCreate GDP.
Post-construction maintenance costs for waterways.
Energy conservation and emission reduction.
Stimulate employment.
Owner Representative—Yangtze River Navigation Bureau
UsersCargo OwnersFreight costs.
Stimulate the local economy.
Port cargo throughput.
Local Government
Yangtze River Shipping Companies
Port Enterprises
Other StakeholdersNearby ResidentsImpact on daily life.
Impact on aquatic habitats.
Flood control benefits.
Environmental Protection Department
Water Administration Department
Table 5. Calculation results of centrality and causality of risk factors.
Table 5. Calculation results of centrality and causality of risk factors.
Influence Degree aiAffected Degree biCentrality miReason Degree ni
Risk of uncertainty in regional economic development (D1)0.8490.4081.2560.441
Risk of unbalanced regional economic development (D2)0.1680.1280.2960.040
Engineering freight demand risk (D3)0.7570.3141.0700.443
Planning compliance risk (D4)1.3781.0412.4190.337
Remediation effect risk (D5)0.3590.5440.903−0.185
Total investment risk of the project (D6)0.2020.1280.3300.074
Engineering maintenance cost risk (D7)0.1240.3530.476−0.229
Tax fluctuation risk (D8)0.1000.1030.203−0.002
Inflation risk (D9)0.1020.2070.309−0.104
Ship technology risk (D10)0.5710.1700.7410.400
Risk of obstructive structures (D11)0.2160.1860.4020.031
Ship elimination update risk (D12)0.6770.8741.552−0.197
Oil price fluctuation risk (D13)0.1000.1700.271−0.070
Risk of fluctuation in freight rates for other modes of transportation (D14)0.2680.1270.3940.141
Port Terminal Adaptability Risk (D15)0.1520.6650.817−0.512
Transportation organization risk (D16)0.1000.2720.372−0.172
Market monopoly risk (D17)0.2570.1700.4280.087
Market supply and demand risk (D18)0.2680.3920.660−0.125
Navigation safety risk (D19)0.1000.1160.216−0.016
Water intake risk (D20)0.1000.4340.534−0.334
River ecological risk (D21)0.4380.4000.8380.038
Water quality impact risk (D22)0.1000.5500.650−0.450
Flood control impact risk (D23)0.5690.1860.7540.383
Risks in natural ecological reserves (D24)0.3400.4210.760−0.081
Fishery risks (D25)0.2160.1860.4020.031
Sound environment risk (D26)0.2160.1860.4020.031
Table 6. Screening of key influencing factors.
Table 6. Screening of key influencing factors.
StakeholdersRisk Factors
Decision-making risks of managementOverall planning risk (P)
Risk of engineering freight demand (F)
Ship technology risk (T)
User decision-making riskShip elimination update risk (R)
Port terminal adaptability risk (A)
Market supply and demand risk (D)
Other stakeholders’ decision-making risksWater intake risk (W)
River ecological risk (Re)
Flood control impact risk (Fc)
Table 7. Empirical risk indicator checklist.
Table 7. Empirical risk indicator checklist.
StakeholdersRisk Factors
Decision-making risks of managementOverall planning risk
User decision-making riskVessel retirement and renewal risk
Port terminal adaptability risk
Market supply and demand risk
Table 8. Data-driven indicator checklist.
Table 8. Data-driven indicator checklist.
StakeholdersRisk Factors
Decision-making risks of managementRisk of engineering freight demand
Vessel technology risk
Other stakeholders’ decision-making risksWater intake risk
River ecological risk
Flood control impact risk
Table 9. Measurement standards for shipping demand satisfaction rate.
Table 9. Measurement standards for shipping demand satisfaction rate.
Shipping Demand Satisfaction Rate/%<150≥150≥250≥350≥400
Risk levelsVery SevereSevereModerateLessNegligible
Table 10. Measurement standards for ship petroleum pollution emission index.
Table 10. Measurement standards for ship petroleum pollution emission index.
Ship Petroleum Pollution Emissions/(mg/L)>0.003≤0.003≤0.0026≤0.0023≤0.002
Risk levelsVery SevereSevereModerateLessNegligible
Table 11. Measurement standards for water supply guarantee rate.
Table 11. Measurement standards for water supply guarantee rate.
Water Supply Guarantee Rate%<57≥57≥70≥93100
Risk levelsVery SevereSevereModerateLessNegligible
Table 12. Criteria for measuring the habitat suitability of aquatic organisms.
Table 12. Criteria for measuring the habitat suitability of aquatic organisms.
Habitat Suitability of Aquatic Organisms<0.20.2–0.40.4–0.60.6–0.8>0.8
Risk levelsVery SevereSevereModerateLessNegligible
Table 13. Measurement standards for maximum flood discharge and storage capacity.
Table 13. Measurement standards for maximum flood discharge and storage capacity.
Flood Damage DegreeFlood Control Standards [Important Period (Year)]Risk Levels
River Network, Plain RiverMountainous River
Significant losses>50>20Very serious
Significant losses50–2020–10Serious
Small loss20–1010–5Moderate
Less loss<10<5Less
The loss is minimal----Negligible
Table 14. Water resistance measurement standards.
Table 14. Water resistance measurement standards.
River Section Water Resistance Rate%≥105–103–51–3≤1
Risk levelsVery SevereSevereModerateLessNegligible
Table 15. Fuzzy rule M.
Table 15. Fuzzy rule M.
Risk M of Waterway EngineeringManagemental Risk M1
User risk M2Other risks M3SMSMMBB
SSSMSMSMMB
MSMSMSMSMMB
MMSMSMMMB
MBMMMMBB
BMBMBMBBB
MSSMSMSMSMMB
MSMSMSMSMMB
MMSMSMMMB
MBMMMMBB
BMBMBMBBB
MSMSMSMMMB
MSMSMSMMMB
MMMMMBMB
MBMMMBMBB
BMBMBMBBB
MBSMMMMBB
MSMMMBMBB
MMMMBMBB
MBMBMBMBMBB
BBBBBB
BSMBMBMBBB
MSMBMBMBBB
MMBMBMBBB
MBBBBBB
BBBBBB
Table 16. Risk evaluation score of waterway rehabilitation project.
Table 16. Risk evaluation score of waterway rehabilitation project.
Input VariablesPFTRADWReFc
Variable value172090.0021251821980.80
Variable rating0.172.090.00210.250.180.210.980.80
Disclaimer/Publisher’s Note: The statements, opinions and data contained in all publications are solely those of the individual author(s) and contributor(s) and not of MDPI and/or the editor(s). MDPI and/or the editor(s) disclaim responsibility for any injury to people or property resulting from any ideas, methods, instructions or products referred to in the content.

Share and Cite

MDPI and ACS Style

Zou, Y.; Xiao, J.; Zhang, H.; Chen, Y.; Liu, Y.; Zhou, B.; Li, Y. Multi-Stakeholder Risk Assessment of a Waterway Engineering Project During the Decision-Making Stage from the Perspective of Sustainability. Sustainability 2025, 17, 5372. https://doi.org/10.3390/su17125372

AMA Style

Zou Y, Xiao J, Zhang H, Chen Y, Liu Y, Zhou B, Li Y. Multi-Stakeholder Risk Assessment of a Waterway Engineering Project During the Decision-Making Stage from the Perspective of Sustainability. Sustainability. 2025; 17(12):5372. https://doi.org/10.3390/su17125372

Chicago/Turabian Style

Zou, Yongchao, Jinlong Xiao, Hao Zhang, Yanyi Chen, Yao Liu, Bozhong Zhou, and Yunpeng Li. 2025. "Multi-Stakeholder Risk Assessment of a Waterway Engineering Project During the Decision-Making Stage from the Perspective of Sustainability" Sustainability 17, no. 12: 5372. https://doi.org/10.3390/su17125372

APA Style

Zou, Y., Xiao, J., Zhang, H., Chen, Y., Liu, Y., Zhou, B., & Li, Y. (2025). Multi-Stakeholder Risk Assessment of a Waterway Engineering Project During the Decision-Making Stage from the Perspective of Sustainability. Sustainability, 17(12), 5372. https://doi.org/10.3390/su17125372

Note that from the first issue of 2016, this journal uses article numbers instead of page numbers. See further details here.

Article Metrics

Back to TopTop