Regulated Deficit Irrigation to Boost Processing Tomato Sustainability and Fruit Quality
Abstract
1. Introduction
2. Materials and Methods
2.1. Experimental Design and Crop Management
2.2. Soil Parameters
2.3. Irrigation Management and Treatments
- IRR: the control treatment, restoring 100% of crop evapotranspiration. Irrigation occurred when ready water availability was exhausted, in accordance with Allen et al.’s (1998) methodology [25]. Crop evapotranspiration was calculated as ETc = ET0 × Kc, where ET0 (reference evapotranspiration) was estimated with the Penman–Monteith method, according to Allen et al. (1998) [25], and Kc is the tabulated crop coefficients (Kcini = 0.15; Kcmed = 0.90; Kcend = 0.20). A depletion fraction value of 0.45 was adopted. Correction of Kcini (for precipitation events), Kcmed, and Kcend (for climatic conditions and crop height) was performed according to Allen et al. (1998) [25].
- RDI: regulated deficit irrigation. RDI treatment followed IRR scheduling (100% ETc) up to the BBCH 701 phenological phase (relative to Solanaceous fruits, when the first fruit cluster has reached the typical size) [26]. Once BBCH 701 was reached, RDI irrigation volume was reduced by 50% compared to IRR volumes [26]. Soil water content in volume (SWC) was measured by capacitive probe 10 HS sensors (Meter Group Inc., Pullman, WA, USA). For each treatment, three points were monitored. At each point, two capacitive probes were installed horizontally into the soil profile and transversely to the row, at −0.20 and −0.40 m from the soil surface, to intercept the dynamics of SWC below the dripping lines. All sensors were connected to data-loggers (Tecno.el SRL, Rome, Italy) and data were transferred to a web server via GPRS mode. Soil water deficit (SWD, Equation (1)) was calculated as follows [27]:
2.4. Weather Conditions
2.5. Crop Growth
2.6. Yield, Fruit Defects, and Crop Sustainability
2.7. Fruit Analyses
2.7.1. Technological Traits
2.7.2. Starch and Soluble Sugars Analysis
2.7.3. Polyphenols and Lycopene Analysis
2.7.4. Soluble Proteins and Free Amino Acid Analysis
2.8. Data Analysis
3. Results
3.1. Soil Water Content
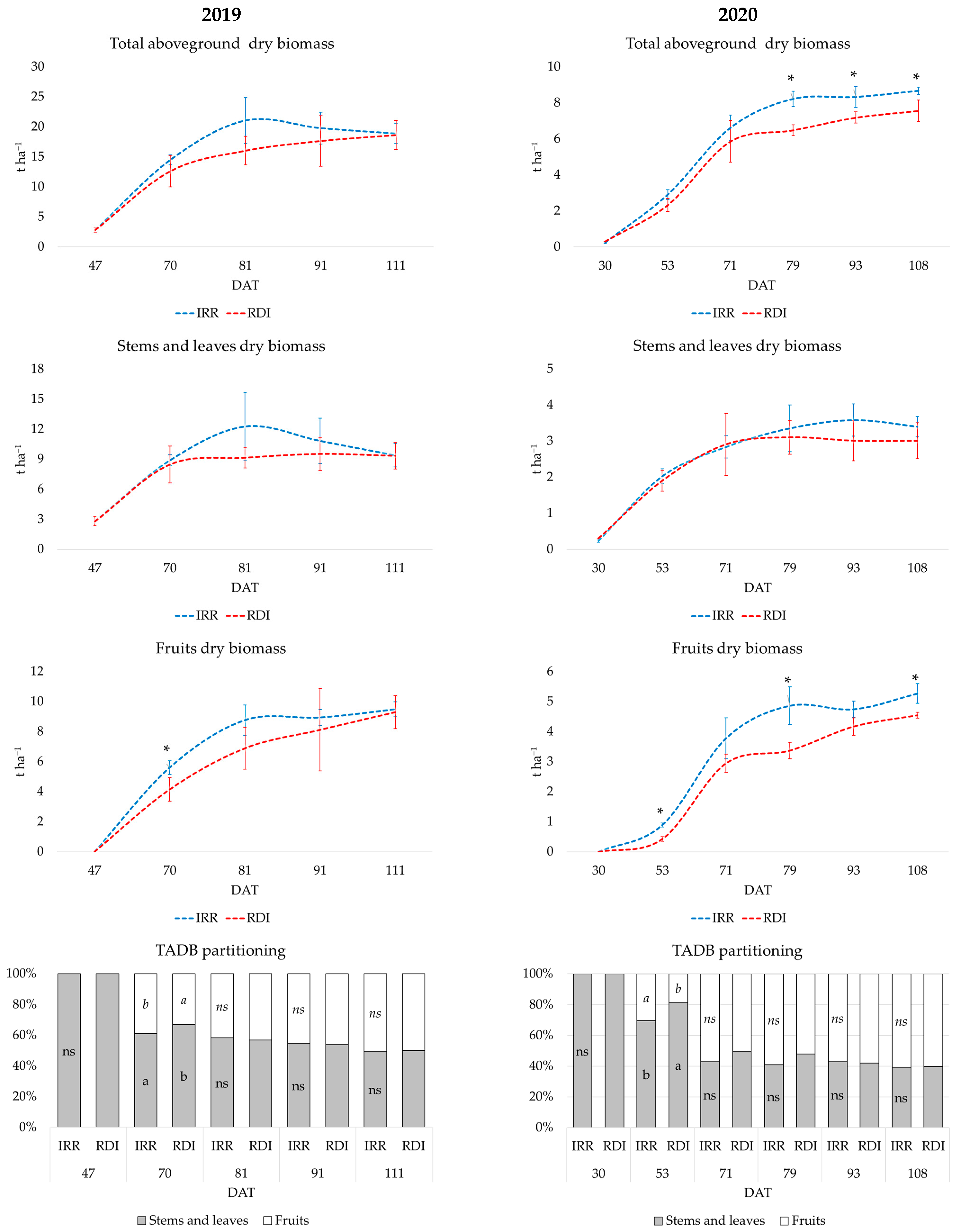
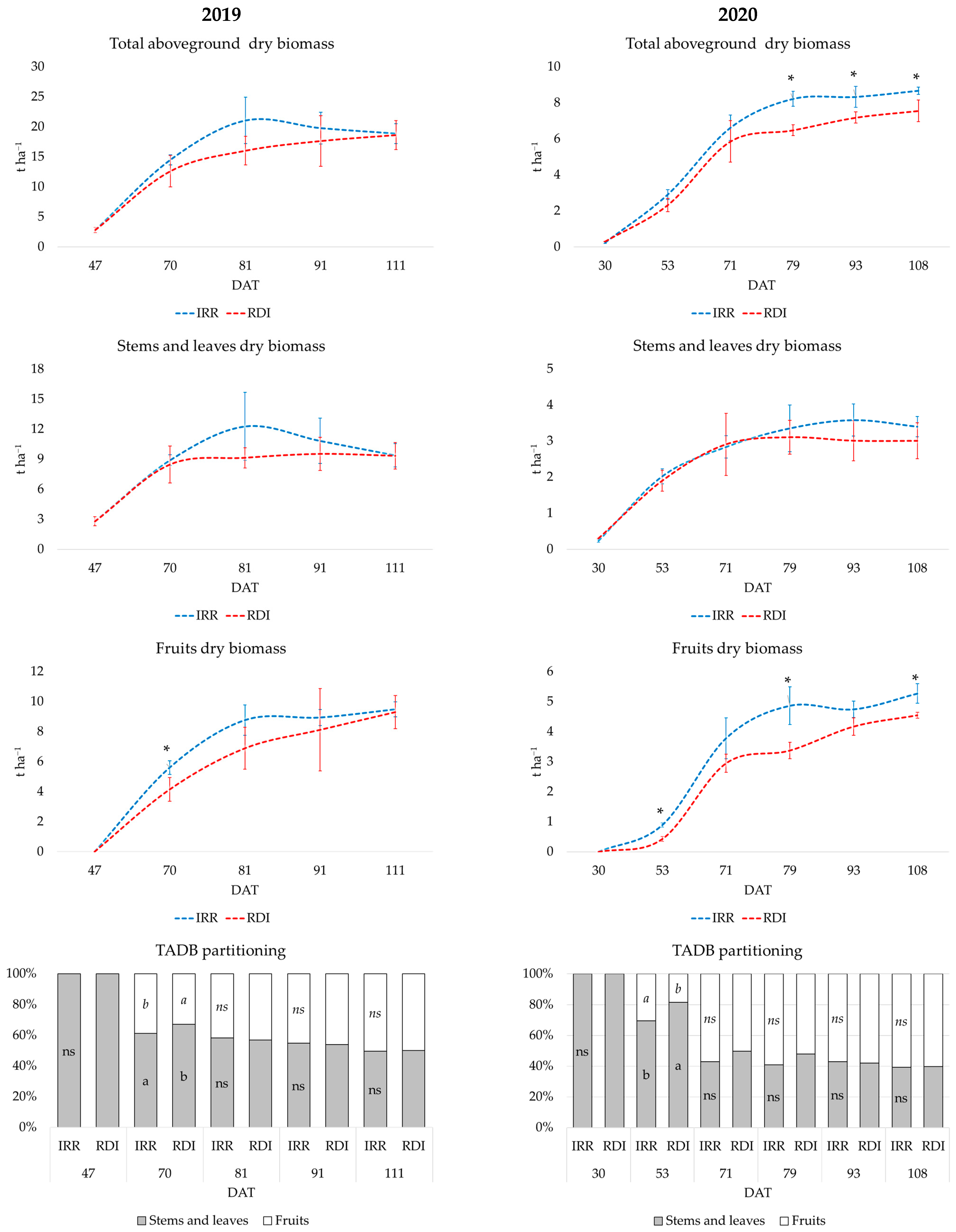
3.2. Crop Growth
3.3. Crop Yield and Sustainability
3.4. Fruit Defects, Technological Traits, and Brix Yield
3.5. Carbohydrate and Secondary Metabolites Content
3.6. Protein and Free Amino Acid Contents
3.7. Principal Component Analysis
4. Discussion
4.1. Effect of Irrigation Management on Crop Growth, Yield, Sustainability, and Fruit Defects
4.2. Effect of Irrigation Management on Technological Traits and Reducing Sugars
4.3. Effect of Irrigation Management on Lycopene, Polyphenols, and Amino Acids
5. Conclusions
Supplementary Materials
Author Contributions
Funding
Institutional Review Board Statement
Informed Consent Statement
Data Availability Statement
Acknowledgments
Conflicts of Interest
References
- Italian National Institute of Statistics (ISTAT). Available online: https://esploradati.istat.it/databrowser/#/it/dw/categories/IT1,Z1000AGR,1.0/AGR_CRP/DCSP_COLTIVAZIONI (accessed on 10 February 2024).
- WPTC Crop Update as of 26 October 2023. Available online: https://www.tomatonews.com/en/wptc-crop-update-as-of-26-october-2023_2_2146.html (accessed on 10 February 2024).
- Collins, E.J.; Bowyer, C.; Tsouza, A.; Chopra, M. Tomatoes: An Extensive Review of the Associated Health Impacts of Tomatoes and Factors That Can Affect Their Cultivation. Biology 2022, 11, 239. [Google Scholar] [CrossRef]
- Martí, R.; Roselló, S.; Cebolla-Cornejo, J. Tomato as a Source of Carotenoids and Polyphenols Targeted to Cancer Prevention. Cancers 2016, 8, 58. [Google Scholar] [CrossRef] [PubMed]
- Kris-Etherton, P.M.; Hecker, K.D.; Bonanome, A.; Coval, S.M.; Binkoski, A.E.; Hilpert, K.F.; Griel, A.E.; Etherton, T.D. Bioactive Compounds in Foods: Their Role in the Prevention of Cardiovascular Disease and Cancer. Am. J. Med. 2002, 113, 71–88. [Google Scholar] [CrossRef] [PubMed]
- Rinaldi, M.; Garofalo, P.; Rubino, P.; Steduto, P. Processing Tomatoes under Different Irrigation Regimes in Southern Italy: Agronomic and Economic Assessments in a Simulation Case Study. Ital. J. Agrometeorl 2011, 3, 39–56. [Google Scholar]
- Patanè, C.; Tringali, S.; Sortino, O. Effects of Deficit Irrigation on Biomass, Yield, Water Productivity and Fruit Quality of Processing Tomato under Semi-Arid Mediterranean Climate Conditions. Sci. Hortic. 2011, 129, 590–596. [Google Scholar] [CrossRef]
- Geographic MapViewer—European Drought Observatory—JRC European Commission. Available online: https://edo.jrc.ec.europa.eu/edov2/php/index.php?id=1111 (accessed on 22 February 2024).
- Aqueduct Water Risk Atlas. Available online: https://www.wri.org/applications/aqueduct/water-risk-atlas/#/?advanced=false&basemap=hydro&indicator=bwd_cat&lat=37.35618621809303&lng=9.417477250099184&mapMode=view&month=1&opacity=0.5&ponderation=DEF&predefined=false&projection=absolute&scenario=business_as_usual&scope=baseline&threshold&timeScale=annual&year=baseline&zoom=5 (accessed on 22 February 2024).
- Cammarano, D.; Jamshidi, S.; Hoogenboom, G.; Ruane, A.C.; Niyogi, D.; Ronga, D. Processing Tomato Production Is Expected to Decrease by 2050 Due to the Projected Increase in Temperature. Nat. Food 2022, 3, 437–444. [Google Scholar] [CrossRef]
- Zegbe-Domínguez, J.A.; Behboudian, M.H.; Lang, A.; Clothier, B.E. Water Relations, Growth, and Yield of Processing Tomatoes under Partial Rootzone Drying. J. Veg. Crop Prod. 2004, 9, 31–40. [Google Scholar] [CrossRef]
- Favati, F.; Lovelli, S.; Galga\no, F.; Miccolis, V.; Di Tommaso, T.; Candido, V. Processing Tomato Quality as Affected by Irrigation Scheduling. Sci. Hortic. 2009, 122, 562–571. [Google Scholar] [CrossRef]
- Campi, P.; Gaeta, L.; Mastrorilli, M.; Losciale, P. Innovative Soil Management and Micro-Climate Modulation for Saving Water in Peach Orchards. Front. Plant Sci. 2020, 11, 544947. [Google Scholar] [CrossRef]
- Capra, A.; Consoli, S.; Scicolone, B. Water Management Strategies under Deficit Irrigation. J. Agric. Eng. 2008, 39, 27–34. [Google Scholar] [CrossRef]
- Katerji, N.; Mastrorilli, M.; Rana, G. Water Use Efficiency of Crops Cultivated in the Mediterranean Region: Review and Analysis. Eur. J. Agron. 2008, 28, 493–507. [Google Scholar] [CrossRef]
- Kirda, C. Deficit Irrigation Scheduling Based on Plant Growth Stages Showing Water Stress Tolerance. In Deficit Irrigation Practices; Food and Agriculture Organization of the United Nations: Rome, Italy, 2002; Volume 22, pp. 3–10. [Google Scholar]
- Patanè, C.; Cosentino, S.L. Effects of Soil Water Deficit on Yield and Quality of Processing Tomato under a Mediterranean Climate. Agric. Water Manag. 2010, 97, 131–138. [Google Scholar] [CrossRef]
- Valcárcel, M.; Lahoz, I.; Campillo, C.; Martí, R.; Leiva-Brondo, M.; Roselló, S.; Cebolla-Cornejo, J. Controlled Deficit Irrigation as a Water-Saving Strategy for Processing Tomato. Sci. Hortic. 2020, 261, 108972. [Google Scholar] [CrossRef]
- Martí, R.; Valcárcel, M.; Leiva-Brondo, M.; Lahoz, I.; Campillo, C.; Roselló, S.; Cebolla-Cornejo, J. Influence of Controlled Deficit Irrigation on Tomato Functional Value. Food Chem. 2018, 252, 250–257. [Google Scholar] [CrossRef] [PubMed]
- Maffia, A.; Marra, F.; Canino, F.; Oliva, M.; Mallamaci, C.; Celano, G.; Muscolo, A. Comparative Study of Fertilizers in Tomato-Grown Soils: Soil Quality, Sustainability, and Carbon/Water Footprints. Soil. Syst. 2023, 7, 109. [Google Scholar] [CrossRef]
- Mukherjee, S.; Dash, P.K.; Dash, K.; Das, D.; Das, S. Growth, Yield and Water Productivity of Tomato as Influenced by Deficit Irrigation Water Management. Environ. Process 2023, 10, 10. [Google Scholar] [CrossRef]
- Jin, N.; Zhang, D.; Jin, L.; Whang, S.; Yang, X.; Lei, Y.; Meng, X.; Xu, Z.; Sun, J.; Lyu, J.; et al. Controlling water deficiency as an abiotic stress factor to improve tomato nutritional and flavour quality. Food Chem. 2023, 19, 100756. [Google Scholar] [CrossRef]
- Salvioli, A.; Zouari, I.; Chalot, M.; Bonfante, P. The Arbuscular Mycorrhizal Status Has an Impact on the Transcriptome Profile and Amino Acid Composition of Tomato Fruit. BMC Plant Biol. 2012, 12, 44. [Google Scholar] [CrossRef]
- Soil Survey Staff. Soil Taxonomy: A Basic System of Soil Classification for Making and Interpreting Soil Surveys. USDA Handbook no. 436, 2nd ed.; Natural Resources Conservation Service. U.S. Department of Agriculture: Madison, WI, USA, 1975.
- Allen, R.G.; Pereira, L.S.; Raes, D.; Smith, M. Crop Evapotranspiration—Guidelines for Computing Crop Water Requirements; FAO Irrigation and Drainage Paper No. 56; Food and Agriculture Organization of the United Nations: Rome, Italy, 1998. [Google Scholar]
- Meier, U. Growth Stages of Mono- and Dicotyledonous Plants: BBCH Monograph; Julius Kühn-Institut: Quedlinburg, Germany, 2018. [Google Scholar] [CrossRef]
- Berliner, P.R.; Oosterhuis, D.M. Effect of Root and Water Distribution in Lysimeters and in the Field on the Onset of Crop Water Stress. Irrig. Sci. 1987, 8, 245–255. [Google Scholar] [CrossRef]
- Drechsel, P.; Marjani Zadeh, S.; Pedrero, F. Water Quality in Agriculture: Risks and Risk Mitigation; FAO & IWMI: Rome, Italy; Colombo, Sri Lanka, 2023; ISBN 978-92-5-138072-7. [Google Scholar]
- Francaviglia, R.; Di Bene, C. Deficit Drip Irrigation in Processing Tomato Production in the Mediterranean Basin. A Data Analysis for Italy. Agriculture 2019, 9, 79. [Google Scholar] [CrossRef]
- Ronga, D.; Parisi, M.; Pentangelo, A.; Mori, M.; Mola, I. Di Effects of Nitrogen Management on Biomass Production and Dry Matter Distribution of Processing Tomato Cropped in Southern Italy. Agronomy 2019, 9, 855. [Google Scholar] [CrossRef]
- Lovelli, S.; Potenza, G.; Castronuovo, D.; Perniola, M.; Candido, V. Yield, Quality and Water Use Efficiency of Processing Tomatoes Produced under Different Irrigation Regimes in Mediterranean Environment. Ital. J. Agron. 2017, 12, 17–24. [Google Scholar] [CrossRef]
- Fusco, G.M.; Burato, A.; Pentangelo, A.; Cardarelli, M.; Nicastro, R.; Carillo, P.; Parisi, M. Can Microbial Consortium Applications Affect Yield and Quality of Conventionally Managed Processing Tomato? Plants 2023, 12, 14. [Google Scholar] [CrossRef] [PubMed]
- Parisi, M.; Burato, A.; Pentangelo, A.; Ronga, D. Towards the Optimal Mineral N Fertilization for Improving Peeled Tomato Quality Grown in Southern Italy. Horticulturae 2022, 8, 697. [Google Scholar] [CrossRef]
- Fernández, J.E.; Alcon, F.; Diaz-Espejo, A.; Hernandez-Santana, V.; Cuevas, M.V. Water Use Indicators and Economic Analysis for On-Farm Irrigation Decision: A Case Study of a Super High Density Olive Tree Orchard. Agric. Water Manag. 2020, 237, 106074. [Google Scholar] [CrossRef]
- Water Productivity Improvement in Practice (Water-PIP). Standardized Protocol for the Land and Water Productivity Analyses Using WaPOR; IHE Institute for Water Education: Delft, Sri Lanka, 2020. [Google Scholar]
- Sanders, D.C.; Howell, T.A.; Hile, M.M.S.; Hodges, L.; Meek, D.; Phene, C.J. Yield and Quality of Processing Tomatoes in Response to Irrigation Rate and Schedule. J. Am. Soc. Hortic. Sci. 1989, 114, 904–908. [Google Scholar] [CrossRef]
- Carillo, P.; Kyriacou, M.C.; El-Nakhel, C.; Pannico, A.; dell’Aversana, E.; D’Amelia, L.; Colla, G.; Caruso, G.; De Pascale, S.; Rouphael, Y. Sensory and Functional Quality Characterization of Protected Designation of Origin ‘Piennolo Del Vesuvio’ Cherry Tomato Landraces from Campania-Italy. Food Chem. 2019, 292, 166–175. [Google Scholar] [CrossRef] [PubMed]
- Singleton, V.L.; Orthofer, R.; Lamuela-Raventós, R.M. Analysis of Total Phenols and Other Oxidation Substrates and Antioxidants by Means of Folin-Ciocalteu Reagent. Methods Enzymol. 1999, 299, 152–178. [Google Scholar]
- Sadler, G.; Davis, J.; Dezman, D. Rapid Extraction of Lycopene and β-Carotene from Reconstituted Tomato Paste and Pink Grapefruit Homogenates. J. Food Sci. 1990, 55, 1460–1461. [Google Scholar] [CrossRef]
- Bradford, M.M. A Rapid and Sensitive Method for the Quantitation of Microgram Quantities of Protein Utilizing the Principle of Protein-Dye Binding. Anal. Biochem. 1976, 72, 248–254. [Google Scholar] [CrossRef]
- Dell’Aversana, E.; Hessini, K.; Ferchichi, S.; Fusco, G.M.; Woodrow, P.; Ciarmiello, L.F.; Abdelly, C.; Carillo, P. Salinity Duration Differently Modulates Physiological Parameters and Metabolites Profile in Roots of Two Contrasting Barley Genotypes. Plants 2021, 10, 307. [Google Scholar] [CrossRef] [PubMed]
- Hou, X.; Zhang, W.; Du, T.; Kang, S.; Davies, W.J. Responses of Water Accumulation and Solute Metabolism in Tomato Fruit to Water Scarcity and Implications for Main Fruit Quality Variables. J. Exp. Bot. 2020, 71, 1249–1264. [Google Scholar] [CrossRef] [PubMed]
- Bertin, N.; Génard, M. Tomato Quality as Influenced by Preharvest Factors. Sci. Hortic. 2018, 233, 264–276. [Google Scholar] [CrossRef]
- Khapte, P.S.; Kumar, P.; Burman, U.; Kumar, P. Deficit Irrigation in Tomato: Agronomical and Physio-Biochemical Implications. Sci. Hortic. 2019, 248, 256–264. [Google Scholar] [CrossRef]
- Campillo, C.; Gordillo, J.; Santiago, L.M.; Cordoba, A.; Martinez, L.; Prieto, M.H.; Fortes, R. Development of an Efficient Water Management System in Commercial Processing Tomato Farms. Acta Hortic. 2017, 1159, 23–30. [Google Scholar] [CrossRef]
- Battilani, A.; Jensen, C.R.; Liu, F.; Andersen, M.N.; Plauborg, F.L.; Solimando, D. Sustainable Use of Water Resources: Field Application of Deficit Irrigation Strategies in Processing Tomato. Acta Hortic. 2013, 971, 77–84. [Google Scholar] [CrossRef]
- Beckles, D.M. Factors Affecting the Postharvest Soluble Solids and Sugar Content of Tomato (Solanum lycopersicum L.) Fruit. Postharvest Biol. Technol. 2012, 63, 129–140. [Google Scholar] [CrossRef]
- Monti, L.M. The Breeding of Tomatoes for Peeling. Acta Hortic. 1980, 100, 341–354. [Google Scholar] [CrossRef]
- Gautier, H.; Diakou-Verdin, V.; Bénard, C.; Reich, M.; Buret, M.; Bourgaud, F.; Poëssel, J.L.; Caris-Veyrat, C.; Génard, M. How Does Tomato Quality (Sugar, Acid, and Nutritional Quality) Vary with Ripening Stage, Temperature, and Irradiance? J. Agric. Food Chem. 2008, 56, 1241–1250. [Google Scholar] [CrossRef]
- Yamada, K.; Mine, A. Sugar Coordinates Plant Defense Signaling. Sci. Adv. 2024, 10, 4131. [Google Scholar] [CrossRef]
- Jing, W.; Uddin, S.; Chakraborty, R.; Van Anh, D.T.; Macoy, D.M.; Park, S.O.; Ryu, G.R.; Kim, Y.H.; Cha, J.Y.; Kim, W.Y.; et al. Molecular Characterization of HEXOKINASE1 in Plant Innate Immunity. Appl. Biol. Chem. 2020, 63, 76. [Google Scholar] [CrossRef]
- Simonne, E.H.; Datar, R.; Simonne, A.H.; Hochmuth, R.C.; Gazula, A. Sensory Evaluation of Red and Yellow Grape Tomato Varieties. Proc. Annu. Meet Fl. State Hort. Soc. 2008, 121, 178–182. [Google Scholar]
- Carillo, P.; Kyratzis, A.; Kyriacou, M.C.; Dell’Aversana, E.; Fusco, G.M.; Corrado, G.; Rouphael, Y. Biostimulatory Action of Arbuscular Mycorrhizal Fungi Enhances Productivity, Functional and Sensory Quality in ‘Piennolo Del Vesuvio’ Cherry Tomato Landraces. Agronomy 2020, 10, 911. [Google Scholar] [CrossRef]
- Guimarães, R.L.; Stotz, H.U. Oxalate Production by Sclerotinia sclerotiorum Deregulates Guard Cells during Infection. Plant Physiol. 2004, 136, 3703–3711. [Google Scholar] [CrossRef] [PubMed]
- Lindenthal, M.; Steiner, U.; Dehne, H.-W.; Oerke, E.-C. Effect of Downy Mildew Development on Transpiration of Cucumber Leaves Visualized by Digital Infrared Thermography. Phytopathology 2005, 95, 233. [Google Scholar] [CrossRef] [PubMed]
- Abdelaziz, A.M.; Kalaba, M.H.; Hashem, A.H.; Sharaf, M.H.; Attia, M.S. Biostimulation of Tomato Growth and Biocontrol of Fusarium Wilt Disease Using Certain Endophytic Fungi. Bot. Stud. 2022, 63, 34. [Google Scholar] [CrossRef] [PubMed]
- Shahidi, F.; Ambigaipalan, P. Phenolics and Polyphenolics in Foods, Beverages and Spices: Antioxidant Activity and Health Effects—A Review. J. Funct. Foods 2015, 18, 820–897. [Google Scholar] [CrossRef]
- Patanè, C.; Siah, S.; Pellegrino, A.; Cosentino, S.L.; Siracusa, L. Fruit Yield, Polyphenols, and Carotenoids in Long Shelf-Life Tomatoes in Response to Drought Stress and Rewatering. Agronomy 2021, 11, 1943. [Google Scholar] [CrossRef]
- Jin, N.; Jin, L.; Wang, S.; Meng, X.; Ma, X.; He, X.; Zhang, G.; Luo, S.; Lyu, J.; Yu, J. A Comprehensive Evaluation of Effects on Water-Level Deficits on Tomato Polyphenol Composition, Nutritional Quality and Antioxidant Capacity. Antioxidants 2022, 11, 1585. [Google Scholar] [CrossRef]
- Adisa, I.O.; Rawat, S.; Pullagurala, V.L.R.; Dimkpa, C.O.; Elmer, W.H.; White, J.C.; Hernandez-Viezcas, J.A.; Peralta-Videa, J.R.; Gardea-Torresdey, J.L. Nutritional Status of Tomato (Solanum lycopersicum) Fruit Grown in Fusarium-Infested Soil: Impact of Cerium Oxide Nanoparticles. J. Agric. Food Chem. 2020, 68, 1986–1997. [Google Scholar] [CrossRef]
- Carillo, P. GABA Shunt in Durum Wheat. Front. Plant Sci. 2018, 9, 316467. [Google Scholar] [CrossRef]
- Singh, Y.J.; Grewal, S.K.; Gill, R.K. Proline Metabolism and Phenylpropanoid Pathway Act Independently in Conferring Resistance against Yellow Mosaic Virus Infection in Black Gram. Physiol. Mol. Plant Pathol. 2021, 116, 101713. [Google Scholar] [CrossRef]
- Shelp, B.J.; Aghdam, M.S.; Flaherty, E.J. γ-Aminobutyrate (GABA) Regulated Plant Defense: Mechanisms and Opportunities. Plants 2021, 10, 1939. [Google Scholar] [CrossRef]
- Singh Gujjar, R.; Karkute, S.; Rai, A.; Singh, M.; Singh, B. Proline-Rich Proteins May Regulate Free Cellular Proline Levels during Drought Stress in Tomato. Curr. Sci. 2018, 114, 915–920. [Google Scholar] [CrossRef]
- Gholami, R.; Hoveizeh, N.F.; Zahedi, S.M.; Gholami, H.; Carillo, P. Melatonin alleviates the adverse effects of water stress in adult olive cultivars (Olea europea cv. Sevillana & Roughani) in field condition. Agric. Water Manag. 2022, 269, 107681. [Google Scholar] [CrossRef]





| Acronym | Description |
|---|---|
| BERY | Fruits affected by blossom-end rot |
| BrY | Brix yield |
| CRACK | Cracking fruits |
| DAT | Days after transplanting |
| DM | Fruit dry matter |
| EWP | Economic water productivity |
| FC | Soil water content at field capacity |
| FDB | Fruit dry biomass |
| FDR | Dry matter distribution rate for FDB |
| Fru | Fructose |
| Fru/Glc | Fructose-to-glucose ratio |
| FRW | Average fruit weight |
| FW | Fresh weight |
| GDD | Growing degree day |
| Glc | Glucose |
| GY | Unripe fruits |
| HI | Harvest index |
| IRR | Full-irrigation management |
| Lyc | Lycopene |
| MY | Marketable yield |
| NFR | Number of marketable fruits per plant |
| PP | Polyphenols |
| Prot | Proteins |
| RAW | Readily available water |
| RDI | Regulated deficit irrigation |
| RY | Rotten fruits |
| SSC | Soluble solids content |
| SSC/TtA | Soluble solids-to-titratable acidity ratio |
| SsF | Sunscald fruits |
| Sta | Starch |
| Suc | Sucrose |
| SWC | Soil water content in volume |
| SWD | Soil water deficit |
| TADB | Total aboveground dry biomass |
| TDF | Total defective fruits |
| TtA | Titratable acidity |
| TY | Total yield |
| VDB | Vegetation dry biomass |
| VDR | Dry matter distribution rate for VDB |
| VrF | Fruits with viral symptoms |
| WP | Soil water content at wilting point |
| WPI | Irrigation water productivity |
| WY | Unmarketable fruits |
| Season | Seasonal Irrigation Duration | No. of Irrigations | Turn | RDI Induction | IRR | RDI | ||||
|---|---|---|---|---|---|---|---|---|---|---|
| Total Volume | Depth | Total Volume | Depth | |||||||
| (Days) | (Days) | Date | DAT | GDD | (mm) | (mm) | (mm) | (mm) | ||
| 2019 | 98 | 22 | 4 | 6 July 2019 | 65 | 659 | 464 | 21 | 352 | 16 |
| 2020 | 88 | 19 | 5 | 29 July 2020 | 72 | 864 | 369 | 19 | 300 | 16 |
| FRW | NFR | TY | MY | WY | RY | BERY | GY | HI | WPI | EWP | ||||||||||||
|---|---|---|---|---|---|---|---|---|---|---|---|---|---|---|---|---|---|---|---|---|---|---|
| (g) | (n pt−1) | (t ha−1) | (t ha−1) | (t ha−1) | (t ha−1) | (t ha−1) | (t ha−1) | (kg m−3) | (EUR m−3) | |||||||||||||
| Treatment | ||||||||||||||||||||||
| IRR | 66.11 | a | 57.11 | a | 121.37 | a | 102.50 | a | 18.87 | a | 3.42 | a | 2.15 | a | 13.30 | a | 0.56 | a | 28.62 | b | 3.43 | B |
| RDI | 63.23 | a | 55.53 | a | 115.12 | a | 98.27 | a | 16.84 | a | 4.45 | a | 2.51 | a | 9.88 | a | 0.55 | b | 34.67 | a | 4.23 | A |
| Year | ||||||||||||||||||||||
| 2019 | 63.03 | a | 73.73 | a | 151.95 | a | 129.05 | a | 22.91 | a | 1.79 | b | 0.95 | b | 20.16 | a | 0.50 | b | 37.91 | a | 4.64 | A |
| 2020 | 66.31 | a | 38.91 | b | 84.53 | b | 71.73 | b | 12.80 | b | 6.08 | a | 3.71 | a | 3.02 | b | 0.61 | a | 25.38 | b | 3.02 | B |
| Treatment × Year | ||||||||||||||||||||||
| IRR × 2019 | 61.29 | b | 74.77 | a | 153.48 | a | 127.33 | a | 26.16 | a | 2.21 | a | 1.00 | a | 22.95 | a | 0.50 | a | 33.08 | b | 3.91 | A |
| RDI × 2019 | 64.77 | ab | 72.69 | a | 150.42 | a | 130.76 | a | 19.66 | a | 1.38 | a | 0.91 | a | 17.38 | a | 0.50 | a | 42.73 | a | 5.37 | A |
| IRR × 2020 | 70.93 | a | 39.46 | a | 89.25 | a | 77.67 | a | 11.58 | a | 4.62 | a | 3.30 | a | 3.65 | a | 0.61 | a | 24.16 | c | 2.95 | A |
| RDI × 2020 | 61.69 | b | 38.36 | a | 79.81 | a | 65.79 | a | 14.02 | a | 7.53 | a | 4.11 | a | 2.38 | a | 0.60 | a | 26.60 | c | 3.09 | A |
| Significance | ||||||||||||||||||||||
| Treatment | ns | ns | ns | ns | ns | ns | ns | ns | * | *** | * | |||||||||||
| Year | ns | *** | *** | *** | * | *** | ** | *** | *** | ** | *** | |||||||||||
| Treatment × Year | ** | ns | ns | ns | ns | ns | ns | ns | ns | * | ns | |||||||||||
| Mean | 64.67 | 56.32 | 118.24 | 100.39 | 17.86 | 3.94 | 2.33 | 11.59 | 0.55 | 31.64 | 3.83 | |||||||||||
| TDF | SsF | CRACK | VrF | pH | TtA | SSC | DM | SSC/TtA | BrY | |||||||||||
|---|---|---|---|---|---|---|---|---|---|---|---|---|---|---|---|---|---|---|---|---|
| (%) | (%) | (%) | (%) | (g% CA) | (°Bx) | (g%) | (t ha−1) | |||||||||||||
| Treatment | ||||||||||||||||||||
| IRR | 15.00 | a | 4.25 | a | 1.88 | a | 13.00 | a | 4.44 | a | 0.48 | a | 5.32 | b | 6.40 | b | 11.02 | b | 5.27 | A |
| RDI | 21.67 | a | 4.17 | a | 2.17 | a | 15.33 | a | 4.54 | a | 0.46 | a | 5.78 | a | 6.85 | a | 12.73 | a | 5.58 | A |
| Year | ||||||||||||||||||||
| 2019 | 5.50 | b | 2.67 | a | 1.33 | a | 1.50 | b | 4.60 | a | 0.45 | a | 5.15 | b | 5.84 | b | 11.36 | a | 6.65 | A |
| 2020 | 31.17 | a | 5.80 | a | 2.30 | a | 24.10 | a | 4.42 | b | 0.47 | a | 5.79 | a | 7.11 | a | 12.39 | a | 4.20 | B |
| Treatment × Year | ||||||||||||||||||||
| IRR × 2019 | 6.00 | a | 1.33 | a | 2.00 | a | 2.67 | a | 4.58 | a | 0.43 | b | 4.82 | a | 5.40 | a | 11.21 | ab | 6.13 | B |
| RDI × 2019 | 5.00 | a | 4.00 | a | 0.67 | a | 0.33 | a | 4.61 | a | 0.48 | ab | 5.48 | a | 6.27 | a | 11.51 | ab | 7.16 | A |
| IRR × 2020 | 24.00 | a | 6.00 | a | 1.80 | a | 19.20 | a | 4.35 | a | 0.51 | a | 5.62 | a | 7.00 | a | 10.84 | b | 4.40 | C |
| RDI × 2020 | 38.33 | a | 4.33 | a | 3.67 | a | 30.33 | a | 4.46 | a | 0.44 | b | 6.07 | a | 7.44 | a | 13.95 | a | 3.99 | C |
| Significance | ||||||||||||||||||||
| Treatment | ns | ns | ns | ns | ns | ns | * | * | * | ns | ||||||||||
| Year | *** | ns | ns | *** | *** | ns | ** | *** | ns | *** | ||||||||||
| Treatment × Year | ns | ns | ns | ns | ns | *** | ns | ns | * | ** | ||||||||||
| Mean | 18.33 | 3.92 | 2.03 | 13.13 | 4.50 | 0.46 | 5.50 | 6.53 | 11.88 | 5.42 | ||||||||||
| Glc | Fru | Fru/Glc | Suc | Sta | Lyc | PP | ||||||||
|---|---|---|---|---|---|---|---|---|---|---|---|---|---|---|
| (mg g−1 FW) | (mg g−1 FW) | (mg g−1 FW) | (mg g−1 FW) | (µg 100 g−1 FW) | (mg GAE 100 g−1 FW) | |||||||||
| Treatment | ||||||||||||||
| IRR | 11.8 | b | 8.91 | a | 0.75 | a | 0.63 | a | 3.87 | a | 64.2 | a | 39.3 | B |
| RDI | 13.9 | a | 9.65 | a | 0.70 | b | 0.87 | a | 3.82 | a | 60.2 | a | 47.4 | A |
| Year | ||||||||||||||
| 2019 | 11.8 | b | 9.05 | a | 0.78 | a | 0.82 | a | 3.70 | a | 92.2 | a | 39.8 | A |
| 2020 | 14.0 | a | 9.51 | a | 0.69 | b | 0.68 | a | 3.99 | a | 32.1 | b | 46.9 | A |
| Treatment × Year | ||||||||||||||
| IRR × 2019 | 10.7 | a | 8.68 | a | 0.81 | a | 0.64 | a | 3.86 | a | 94.7 | a | 37.6 | A |
| RDI × 2019 | 12.8 | a | 9.42 | a | 0.74 | a | 1.00 | a | 3.55 | a | 89.7 | a | 41.9 | A |
| IRR × 2020 | 12.9 | a | 9.14 | a | 0.71 | a | 0.63 | a | 3.89 | a | 33.6 | a | 40.9 | A |
| RDI × 2020 | 15.1 | a | 9.89 | a | 0.66 | a | 0.74 | a | 4.10 | a | 30.6 | a | 52.8 | A |
| Significance | ||||||||||||||
| Treatment | * | ns | * | ns | ns | ns | * | |||||||
| Year | * | ns | *** | ns | ns | *** | ns | |||||||
| Treatment × Year | ns | ns | ns | ns | ns | ns | ns | |||||||
| Mean | 12.9 | 9.28 | 0.73 | 0.75 | 3.85 | 62.16 | 43.31 | |||||||
| Treatment | Year | Treatment × Year | Significance | Mean | ||||||||||||||||
|---|---|---|---|---|---|---|---|---|---|---|---|---|---|---|---|---|---|---|---|---|
| IRR | RDI | 2019 | 2020 | IRR × 2019 | RDI × 2019 | IRR × 2020 | RDI × 2020 | T | Y | T × Y | ||||||||||
| Prot | 1.66 | a | 1.77 | a | 2.13 | a | 1.36 | b | 1.98 | a | 2.29 | a | 1.48 | a | 1.25 | a | ns | * | ns | 1.75 |
| Ala | 3.05 | a | 1.91 | a | 1.26 | b | 3.39 | a | 1.01 | b | 1.51 | b | 4.27 | a | 2.31 | b | ns | *** | * | 2.28 |
| Arg | 1.14 | a | 0.75 | a | 0.59 | b | 1.20 | a | 0.60 | a | 0.57 | a | 1.45 | a | 0.92 | a | ns | *** | ns | 0.89 |
| Asn | 7.31 | a | 7.15 | a | 7.43 | a | 6.87 | a | 7.40 | a | 7.46 | a | 7.26 | a | 6.84 | a | ns | ns | ns | 7.24 |
| Asp | 5.18 | a | 5.04 | a | 5.52 | a | 4.60 | a | 5.59 | a | 5.46 | a | 4.93 | a | 4.63 | a | ns | ns | ns | 5.15 |
| GABA | 9.08 | a | 7.78 | a | 7.58 | a | 8.79 | a | 8.25 | a | 6.91 | a | 9.58 | a | 8.65 | a | ns | ns | ns | 8.35 |
| Gln | 13.90 | a | 10.20 | a | 12.30 | a | 12.00 | a | 13.20 | a | 11.50 | a | 14.30 | a | 8.80 | a | ns | ns | ns | 12.00 |
| Glu | 17.90 | a | 14.50 | a | 24.00 | a | 10.30 | b | 26.60 | a | 21.40 | a | 12.60 | a | 7.61 | a | ns | *** | ns | 17.10 |
| Gly | 0.34 | a | 0.34 | a | 0.26 | b | 0.40 | a | 0.23 | a | 0.28 | a | 0.41 | a | 0.41 | a | ns | ** | ns | 0.33 |
| His | 0.99 | a | 0.94 | a | 0.97 | a | 0.92 | a | 1.01 | a | 0.94 | a | 0.98 | a | 0.94 | a | ns | ns | ns | 0.97 |
| Met | 1.89 | a | 1.34 | a | 0.08 | b | 2.94 | a | 0.08 | a | 0.07 | a | 2.97 | a | 2.60 | a | ns | *** | ns | 1.43 |
| MEA | 0.21 | a | 0.19 | a | 0.24 | a | 0.17 | b | 0.25 | a | 0.23 | a | 0.19 | a | 0.16 | a | ns | * | ns | 0.20 |
| Orn | 0.15 | a | 0.11 | a | 0.09 | b | 0.16 | a | 0.10 | a | 0.09 | a | 0.18 | a | 0.14 | a | ns | ** | ns | 0.13 |
| Phe | 0.65 | a | 0.56 | a | 0.73 | a | 0.51 | b | 0.77 | a | 0.70 | a | 0.58 | a | 0.42 | a | ns | * | ns | 0.62 |
| Pro | 0.57 | b | 0.76 | a | 0.54 | b | 0.72 | a | 0.42 | a | 0.66 | a | 0.67 | a | 0.86 | a | * | * | ns | 0.65 |
| Ser | 1.42 | a | 1.01 | a | 1.03 | a | 1.37 | a | 0.90 | b | 1.15 | ab | 1.74 | a | 0.88 | b | ns | ns | * | 1.17 |
| Thr | 0.33 | a | 0.23 | a | 0.38 | a | 0.21 | b | 0.43 | a | 0.32 | a | 0.26 | a | 0.14 | a | ns | ** | ns | 0.29 |
| Tyr | 0.89 | a | 0.70 | a | 0.61 | a | 0.92 | a | 0.68 | a | 0.55 | a | 1.02 | a | 0.85 | a | ns | ns | ns | 0.77 |
| TAA | 57.40 | a | 46.80 | a | 57.20 | a | 48.20 | a | 60.50 | a | 54.00 | a | 55.60 | a | 39.70 | a | ns | ns | ns | 52.40 |
| BCAA | 1.13 | a | 0.87 | a | 0.87 | a | 1.11 | a | 0.90 | a | 0.84 | a | 1.26 | a | 0.89 | a | ns | ns | ns | 0.97 |
| EAA | 4.95 | a | 3.84 | a | 2.79 | b | 5.76 | a | 2.94 | a | 2.65 | a | 6.16 | a | 5.03 | a | ns | ** | ns | 4.20 |
Disclaimer/Publisher’s Note: The statements, opinions and data contained in all publications are solely those of the individual author(s) and contributor(s) and not of MDPI and/or the editor(s). MDPI and/or the editor(s) disclaim responsibility for any injury to people or property resulting from any ideas, methods, instructions or products referred to in the content. |
© 2024 by the authors. Licensee MDPI, Basel, Switzerland. This article is an open access article distributed under the terms and conditions of the Creative Commons Attribution (CC BY) license (https://creativecommons.org/licenses/by/4.0/).
Share and Cite
Burato, A.; Fusco, G.M.; Pentangelo, A.; Nicastro, R.; Modugno, A.F.; Scotto di Covella, F.; Ronga, D.; Carillo, P.; Campi, P.; Parisi, M. Regulated Deficit Irrigation to Boost Processing Tomato Sustainability and Fruit Quality. Sustainability 2024, 16, 3798. https://doi.org/10.3390/su16093798
Burato A, Fusco GM, Pentangelo A, Nicastro R, Modugno AF, Scotto di Covella F, Ronga D, Carillo P, Campi P, Parisi M. Regulated Deficit Irrigation to Boost Processing Tomato Sustainability and Fruit Quality. Sustainability. 2024; 16(9):3798. https://doi.org/10.3390/su16093798
Chicago/Turabian StyleBurato, Andrea, Giovanna Marta Fusco, Alfonso Pentangelo, Rosalinda Nicastro, Anna Francesca Modugno, Fabio Scotto di Covella, Domenico Ronga, Petronia Carillo, Pasquale Campi, and Mario Parisi. 2024. "Regulated Deficit Irrigation to Boost Processing Tomato Sustainability and Fruit Quality" Sustainability 16, no. 9: 3798. https://doi.org/10.3390/su16093798
APA StyleBurato, A., Fusco, G. M., Pentangelo, A., Nicastro, R., Modugno, A. F., Scotto di Covella, F., Ronga, D., Carillo, P., Campi, P., & Parisi, M. (2024). Regulated Deficit Irrigation to Boost Processing Tomato Sustainability and Fruit Quality. Sustainability, 16(9), 3798. https://doi.org/10.3390/su16093798

