Introducing Industrial Clusters in Multi-Node Energy System Modelling by the Application of the Industry–Infrastructure Quadrant
Abstract
1. Introduction
1.1. Goal and Contribution of This Paper
1.2. Literature Review
2. Materials and Methods
2.1. The Industry–Infrastructure Quadrant
2.2. Data Collection and Processing
2.2.1. Industry
2.2.2. Energy Infrastructure
Electrical Backbone Grid
Molecule Backbone Grid
2.3. Industry–Infrastructure Quadrant Application
3. Results
3.1. Industry Data Collection and Processing for the Belgian Case Study
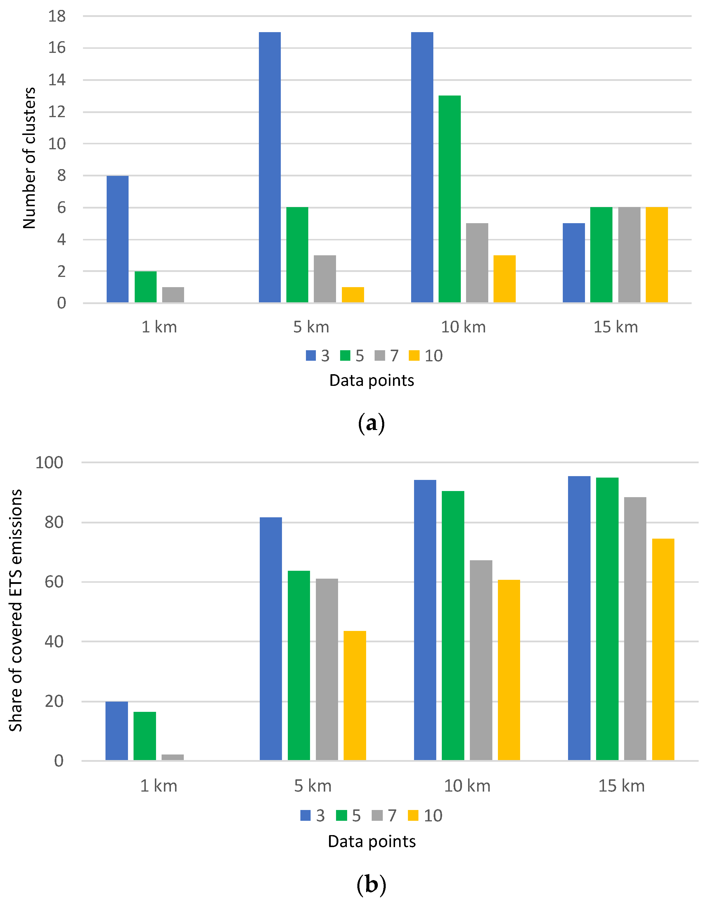
3.2. Infrastructure Data Collection and Processing for the Belgian Case Study
3.3. Industry–Infrastructure Quadrant Application
4. Discussion
4.1. Industry Composition
4.2. Methodology Comparison and Limitations
5. Conclusions
Future Work
- Translate the Belgian case study into a suitable energy system model framework to verify the effectivity of the final node selection in Section 3. Potential focal points of research that could benefit from this IC-based spatial resolution are upcoming hydrogen and CO2 infrastructure developments. Industrial cluster composition knowledge can be used to disaggregate industrial demand and supply data over the nodes.
- Perform additional case studies to validate the IIQ framework and verify whether the results hold if applied to other, less dense, EU countries with varying industry and infrastructure landscapes.
- Analyse the impact of (a lack of) infrastructure on the industry in the midst of the energy transition. Use the IIQ concept to reflect on the availability of infrastructure to industry (clusters).
- Extend the infrastructure scope beyond transmission grids to deepen the knowledge of the role of distribution grids in industrial clusters.
- Suggest synergies enabled by the energy transition of industrial clusters and evaluate their impact and feasibility. The Funnel tool, currently in development by the authors, combines industry-specific roadmaps together with IS databases to identify such opportunities in a wide range of future cluster layouts. A survey on legal, economic, spatial, technical, and social (LESTS) constraints is included in the tool and indicates industrial symbiosis hurdles and enablers [13]. The aim is to facilitate IS implementation and support ICs in their transition.
Supplementary Materials
Author Contributions
Funding
Institutional Review Board Statement
Informed Consent Statement
Data Availability Statement
Acknowledgments
Conflicts of Interest
Nomenclature
| Epsilon | Distance in km between two neighbouring industries |
| MinPoints | Minimal number of neighbouring industries for them to be considered a cluster |
References
- Directorate-General for Research and Innovation (European Commission). Scaling up Innovative Technologies for Climate Neutrality: Mapping of EU Demonstration Projects in Energy Intensive Industries; Publications Office of the European Union: Luxembourg, 2023; Available online: https://data.europa.eu/doi/10.2777/926968 (accessed on 16 January 2024).
- Energy—European Commission. 2024. Available online: https://energy.ec.europa.eu/index_en (accessed on 16 January 2024).
- INEOS. INEOS Sustainability Report 2022. 2023. Available online: https://www.ineos.com/globalassets/sustainability/sustainability-reports/ineos_sustainabilityreport_2022.pdf (accessed on 16 January 2024).
- European Commission. Directorate General for Internal Market, Industry, Entrepreneurship and SMEs. Masterplan for a Competitive Transformation of EU Energy-Intensive Industries Enabling a Climate-Neutral, Circular Economy by 2050; Publications Office: Luxembourg, 2019; Available online: https://data.europa.eu/doi/10.2873/854920 (accessed on 11 January 2024).
- European Commission. Directorate General for Research and Innovation. ERA Industrial Technology Roadmap for Low-Carbon Technologies in Energy-Intensive Industries; Publications Office: Luxembourg, 2022; Available online: https://data.europa.eu/doi/10.2777/92567 (accessed on 16 January 2024).
- EU ITRE Committee. Energy-Intensive Industries, Challenges and Opportunities in Energy Transition. Available online: https://cedelft.eu/publications/energy-intensive-industries-challenges-and-opportunities-in-the-energy-transition/ (accessed on 16 January 2024).
- TRILateral Research for Optimal Investments in Adequate Cross-Border Infrastructure (TRILATE). Universiteit Gent. Available online: https://www.ugent.be/ea/emsme/en/research/eelab/ecm/trilate (accessed on 13 February 2024).
- Ringkjøb, H.K.; Haugan, P.M.; Solbrekke, I.M. A review of modelling tools for energy and electricity systems with large shares of variable renewables. Renew. Sustain. Energy Rev. 2018, 96, 440–459. [Google Scholar] [CrossRef]
- Openmod—Open Energy Modelling Initiative. Available online: https://openmod-initiative.org/ (accessed on 16 January 2024).
- Fodstad, M.; Crespo Del Granado, P.; Hellemo, L.; Knudsen, B.R.; Pisciella, P.; Silvast, A.; Bordin, C.; Schmidt, S.; Straus, J. Next frontiers in energy system modelling: A review on challenges and the state of the art. Renew. Sustain. Energy Rev. 2022, 160, 112246. [Google Scholar] [CrossRef]
- WEF, Accenture, EPRI. Transitioning Industrial Clusters towards Net Zero. 2023. Available online: https://www.weforum.org/publications/transitioning-industrial-clusters-towards-net-zero/ (accessed on 16 January 2024).
- Industrial Clusters: Working Together to Achieve Net Zero. Available online: https://www.accenture.com/content/dam/accenture/final/accenture-com/document/Accenture-WEF-Industrial-Clusters-Report.pdf (accessed on 16 January 2024).
- Mendez Alva, F. Industrial Symbiosis Enabling Resource Circularity and Climate Neutrality in the Process Industry. Ph.D. Thesis, Faculty of Engineering and Architecture, Ghent University, Ghent, Belgium, 2022. [Google Scholar]
- Mendez Alva, F.; De Boever, R.; Van Eetvelde, G. Hubs for Circularity: Geo-Based Industrial Clustering towards Urban Symbiosis in Europe. Sustainability 2021, 13, 13906. [Google Scholar] [CrossRef]
- Prina, M.G.; Manzolini, G.; Moser, D.; Nastasi, B.; Sparber, W. Classification and challenges of bottom-up energy system models—A review. Renew. Sustain. Energy Rev. 2020, 129, 109917. [Google Scholar] [CrossRef]
- Lopion, P.; Markewitz, P.; Robinius, M.; Stolten, D. A review of current challenges and trends in energy systems modeling. Renew. Sustain. Energy Rev. 2018, 96, 156–166. [Google Scholar] [CrossRef]
- Kriechbaum, L.; Scheiber, G.; Kienberger, T. Grid-based multi-energy systems—Modelling, assessment, open source modelling frameworks and challenges. Energy Sustain. Soc. 2018, 8, 35. [Google Scholar] [CrossRef]
- Martínez-Gordón, R.; Morales-España, G.; Sijm, J.; Faaij, A.P.C. A review of the role of spatial resolution in energy systems modelling: Lessons learned and applicability to the North Sea region. Renew. Sustain. Energy Rev. 2021, 141, 110857. [Google Scholar] [CrossRef]
- Cervo, H. Development of a Methodology Enabling the Identification of Industrial Symbiosis Opportunities and Their Assessment in the Petrochemical Industry. Ph.D. Thesis, Faculty of Engineering and Architecture, Ghent University, Ghent, Belgium, 2020. [Google Scholar]
- Colbertaldo, P.; Parolin, F.; Campanari, S. A comprehensive multi-node multi-vector multi-sector modelling framework to investigate integrated energy systems and assess decarbonisation needs. Energy Convers. Manag. 2023, 291, 117168. [Google Scholar] [CrossRef]
- Frysztacki, M.M.; Hagenmeyer, V.; Brown, T. Inverse methods: How feasible are spatially low-resolved capacity expansion modelling results when disaggregated at high spatial resolution? Energy 2023, 281, 128133. [Google Scholar] [CrossRef]
- Sechi, S.; Giarola, S.; Leone, P. Taxonomy for Industrial Cluster Decarbonization: An Analysis for the Italian Hard-to-Abate Industry. Energies 2022, 15, 8586. [Google Scholar] [CrossRef]
- Calvillo, C.; Race, J.; Chang, E.; Turner, K.; Katris, A. Characterisation of UK Industrial Clusters and Techno-Economic Cost Assessment for Carbon Dioxide Transport and Storage Implementation. Int. J. Greenh. Gas Control 2022, 119, 103695. [Google Scholar] [CrossRef]
- Catholic University Leuven; DECHEMA; Directorate-General for Energy (European Commission); EnergyVille; Ghent University; IPESE EPFL; Vito; Vrije Universiteit Brussel; Girardin, L.; Valee, J.; et al. AIDRES, “Advancing Industrial Decarbonization by Assessing the Future Use of Renewable Energies in Industrial Processes”: Assessment and Geo Mapping of Renewable Energy Demand for Technological Paths towards Carbon Neutrality of EU Energy Intensive Industries: Methodology and Results in Support to the EU Industrial Plants Database; Publications Office of the European Union: Luxembourg, 2023; Available online: https://data.europa.eu/doi/10.2833/696697 (accessed on 11 January 2024).
- Industrial Reporting under the Industrial Emissions Directive 2010/75/EU and European Pollutant Release and Transfer Register Regulation (EC) No 166/2006. Available online: https://www.eea.europa.eu/en/datahub/datahubitem-view/9405f714-8015-4b5b-a63c-280b82861b3d (accessed on 11 January 2024).
- Elia Group. Powering Industry towards Net Zero. 2022. Available online: https://issuu.com/eliagroup/docs/powering_industry_towards_net_zero?fr=sNThlMjU0MTU1OTg (accessed on 11 January 2024).
- Union Registry—European Commission. Available online: https://climate.ec.europa.eu/eu-action/eu-emissions-trading-system-eu-ets/union-registry_en (accessed on 11 January 2024).
- The Database “Advancing Industrial Decarbonisation by Assessing the Future Use of Renewable Energies in Industrial Processes” (AIDRES)—European Commission. Available online: https://energy.ec.europa.eu/publications/database-advancing-industrial-decarbonisation-assessing-future-use-renewable-energies-industrial_en (accessed on 11 January 2024).
- sklearn.cluster.DBSCAN. Scikit-Learn. Available online: https://scikit-learn/stable/modules/generated/sklearn.cluster.DBSCAN.html (accessed on 17 January 2024).
- Pareto Principle. In: Wikipedia. 2023. Available online: https://en.wikipedia.org/w/index.php?title=Pareto_principle&oldid=1191440343 (accessed on 17 January 2024).
- Grid Map. Available online: https://www.entsoe.eu/data/map/ (accessed on 11 January 2024).
- scipy.spatial.voronoi_plot_2d—SciPy v1.11.4 Manual. Available online: https://docs.scipy.org/doc/scipy/reference/generated/scipy.spatial.voronoi_plot_2d.html#scipy.spatial.voronoi_plot_2d (accessed on 17 January 2024).
- Maps|ENTSOG. Available online: https://www.entsog.eu/maps (accessed on 11 January 2024).
- FPS Economy, S.M.E.s, Self-employed and Energy. Belgium’s Economy in a Nutshell—Economic Outlook of August 2022; Séverine Waterbley: Brussels, Belgium, 2022; Available online: https://economie.fgov.be/en/publication/belgiums-economy-nutshell-8#:~:text=The%20estimated%20inflation%20increase%20in%202022%20is%208.1%25.,will%20slow%20down%20to%20about%202.6%25%20in%202022 (accessed on 22 January 2024).
- OpenStreetMap. Available online: https://www.openstreetmap.org/ (accessed on 23 January 2024).
- FOD Economie, K.O.; Middenstand en Energie. Belgian Energy Data Overview—Editie Januari 2024; Séverine Waterbley: Brussels, Belgium, 2024; Available online: https://economie.fgov.be/en/publication/belgian-energy-data-overview (accessed on 16 February 2024).
- Ventilus. Available online: https://www.elia.be/nl/infrastructuur-en-projecten/infrastructuurprojecten/ventilus (accessed on 25 January 2024).
- Boucle du Hainaut. Available online: https://www.elia.be/fr/infrastructure-et-projets/projets-infrastructure/boucle-du-hainaut (accessed on 25 January 2024).
- Vanthillo, T.; Cant, J.; Vanelslander, T.; Verhetsel, A. Understanding evolution in the Antwerp chemical cluster: The role of regional development strategies. Eur. Plan. Stud. 2018, 26, 1519–1536. [Google Scholar] [CrossRef]
- Moglianesi, A.; Das, P.; Nijs, W.; Vingerhoets, P.; Coppens, L.; Lempereur, A.; Capart, R.; Marenne, Y. Low Carbon Scenarios for Belgium: Insights from a Tri-Regional Energy System Model. Available online: https://www.epocbelgium.be/sites/epoc/files/2.2.1%20Moglianesi%20A.%20Das%20P.%20Coppens%20L.%20et%20al%20TIMES%20final%20report.pdf (accessed on 6 March 2024).









| Colour | Cluster Name 1 | Share of ETS Emissions (%) | Add to ESM Node Selection? | Number |
|---|---|---|---|---|
| ■ | Antwerp | 45.7 * | Yes, the Pareto limit has not yet been reached | 1 |
| ■ | Ghent | 15.1 * | 2 | |
| ■ | Tournai | 6.5 * | 3 | |
| ■ | Mons | 5.6 * | 4 | |
| ■ | Maastricht | 4.3 * | 5 | |
| ■ | Charleroi | 2.9 * | 6 | |
| ■ | Albert Canal | 2.7 | Yes, electron and molecule interconnection | 7 |
| ■ | Liège | 2.7 | Merge with 5; good proximity and connectivity | Merge with 5 |
| ■ | Namur | 1.9 | Yes, electron and molecule interconnection | 8 |
| ■ | Kortrijk | 1.1 | Yes, electron and molecule interconnection | 9 |
| ■ | Mol | 0.8 | Merge with 7; no significant added value | Merge with 7 |
| ■ | Genk | 0.7 | Merge with 5; no significant added value | Merge with 5 |
| ■ | Beerse | 0.5 | Merge with 7; no significant added value | Merge with 7 |
| Industrial Sector | Total Number of Facilities Total Share ETS Emissions | Clustered | Non-Clustered |
|---|---|---|---|
| Cement and lime | 12 18.7% | 11 17.3% | 1 1.3% |
| Ceramics | 23 1.7% | 15 1.1% | 8 0.6% |
| Chemicals | 67 31.5% | 57 29.8% | 10 1.7% |
| Fertilisers | 1 2.3% | 1 2.3% | 0 0% |
| Food and drink | 38 4.8% | 21 2.2% | 17 2.6% |
| Glass | 8 2.2% | 4 0.6% | 4 1.7% |
| Non-ferrous | 6 1.4% | 6 1.4% | 0 0% |
| Paper and pulp | 11 2.3% | 6 1.2% | 5 1.1% |
| Refineries | 4 19.4% | 4 19.4% | 0 0% |
| Steel (incl. processing) | 16 15.7% | 13 15.1% | 3 0.6% |
| Total | 186 100% | 138 90.4% | 48 9.6% |
Disclaimer/Publisher’s Note: The statements, opinions and data contained in all publications are solely those of the individual author(s) and contributor(s) and not of MDPI and/or the editor(s). MDPI and/or the editor(s) disclaim responsibility for any injury to people or property resulting from any ideas, methods, instructions or products referred to in the content. |
© 2024 by the authors. Licensee MDPI, Basel, Switzerland. This article is an open access article distributed under the terms and conditions of the Creative Commons Attribution (CC BY) license (https://creativecommons.org/licenses/by/4.0/).
Share and Cite
Dhondt, N.; Mendez Alva, F.; Van Eetvelde, G. Introducing Industrial Clusters in Multi-Node Energy System Modelling by the Application of the Industry–Infrastructure Quadrant. Sustainability 2024, 16, 2585. https://doi.org/10.3390/su16062585
Dhondt N, Mendez Alva F, Van Eetvelde G. Introducing Industrial Clusters in Multi-Node Energy System Modelling by the Application of the Industry–Infrastructure Quadrant. Sustainability. 2024; 16(6):2585. https://doi.org/10.3390/su16062585
Chicago/Turabian StyleDhondt, Nienke, Francisco Mendez Alva, and Greet Van Eetvelde. 2024. "Introducing Industrial Clusters in Multi-Node Energy System Modelling by the Application of the Industry–Infrastructure Quadrant" Sustainability 16, no. 6: 2585. https://doi.org/10.3390/su16062585
APA StyleDhondt, N., Mendez Alva, F., & Van Eetvelde, G. (2024). Introducing Industrial Clusters in Multi-Node Energy System Modelling by the Application of the Industry–Infrastructure Quadrant. Sustainability, 16(6), 2585. https://doi.org/10.3390/su16062585

