Evaluation of Rheological Properties of Polymer-Modified Asphalt Binders and Mastics with Organic Additive—Imidazoline
Abstract
1. Introduction
2. Materials and Methods
2.1. Materials
2.1.1. Asphalt Binders and Mastics
2.1.2. Imidazolines
2.2. Methods
- The test at intermediate temperatures was performed using a system of two parallel measuring plates with a diameter of 8 mm and a test gap of 1.5 mm. Measurement temperatures ranging from 40 °C to −36 °C were used, with increments of 6 °C. At each temperature, the test was performed at a logarithmically variable vibration frequency value in the range of 100 Hz to 0.1 Hz.
- The test was performed in the high temperature range from 82 °C to 40 °C, with increments of 6 °C. A measuring system of two parallel plates with a diameter of 25 mm and a test gap of 1.0 mm was used. At each temperature, the test was performed at a variable frequency from 100 to 0.1 Hz.
- MSCR (Multiple Stress Creep Recovery) cyclic creep testing with stress relief using a system of parallel plates with a diameter of 25 mm and a measurement gap of 1 mm. A variable temperature was used in the study, i.e., in the range from 82 °C to 58 °C in 6 °C increments. At each of the given temperatures, the test consisted of the following stages: creep cycle (loading the asphalt binder sample for a period of 1 s) and stress relief cycle (relieving the stresses of the asphalt binder sample for a period of 9 s). Figure 5a single cycle lasted 10 s and was repeated 10 times. The test was performed at three different shear stress values of 0.1 kPa, 3.2 kPa and 10 kPa. The test began with the application of the lowest shear stress (0.1 kPa). The sample was subjected to 10 cycles of loading and unloading, then the stress was changed, and a similar test was carried out for each temperature stress level.
3. Results
3.1. Results of the Determination |G*| and δ of Asphalt Binders and Mastics Tested at Temperatures from 82 °C to −36 °C
3.2. Results of Testing of Asphalt Binders and Mastics Using the Multiple Stress Creep Recovery Method
4. Discussion
5. Conclusions
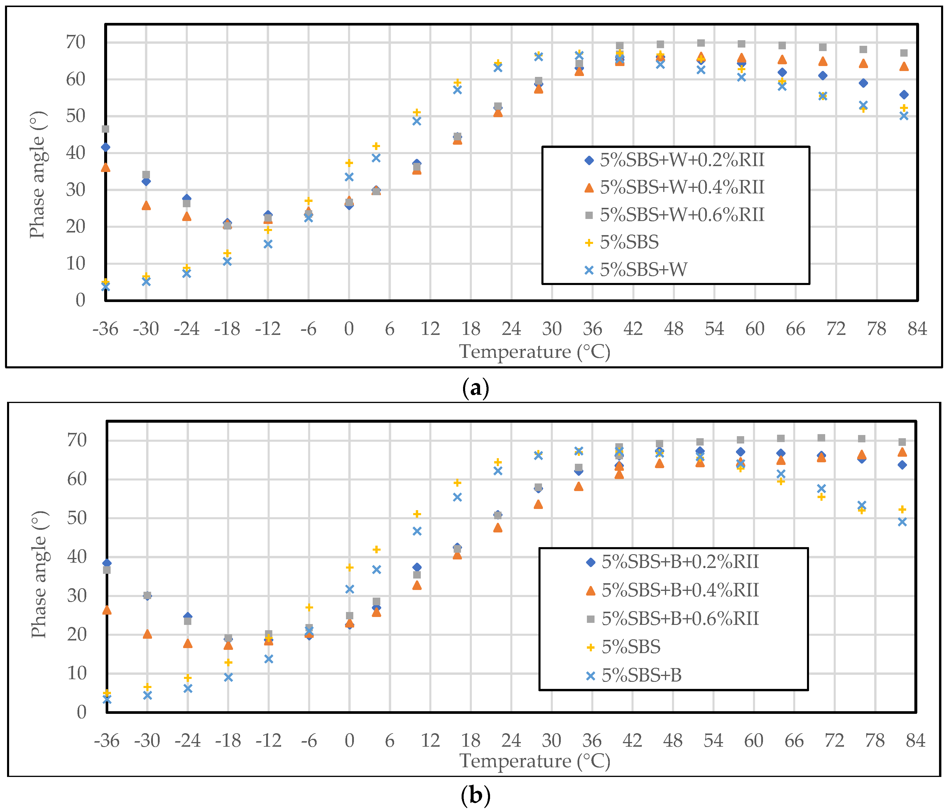
- The use of three different imidazoline contents (ranging from 0.2% to 0.6%) did not significantly affect the differences in the DSM, phase angle and Jnr results. For this reason, it is reasonable to consider 0.2% imidazoline in the binder as an additive improving rheological properties.
- The addition of imidazoline 0.2% significantly improved the properties of mastics at low and high temperatures, as suggested by the DSM values (values close to the ideal binder compared to asphalt mastics).
- The most beneficial effect on the elastic properties of the binder (represented by the phase angle values) was found in the temperature range from −6 °C to 40 °C, which is the temperature most frequently occurring in a moderate climate during pavement operation. Due to the increase in the phase angle values at higher temperatures, the most favorable imidazoline content is 0.2%, which may reduce the occurrence of ruts in the pavement.
- At negative temperatures, the phase angle of mastics with the addition of imidazoline increases in comparison to the results obtained on mastic samples without the addition of imidazoline—the mastic becomes more elastic, which increases its resistance to low-temperature cracking. However, it becomes more susceptible to rutting at the highest temperatures used in the tests. Only with the content of 0.2% imidazoline in the binder used in mastic was a reduction in the phase angle value observed for the highest DSM values, in contrast to higher (0.4 and 0.6%) imidazoline contents.
- Due to possible increased rutting of the pavement, the values of the Jnr and rutting factor parameters were determined. After comparing results with those obtained for mastic without imidazoline additives, it was not found that the imidazoline content used in the tested binders (even 0.6%) had a significant negative impact on the resistance of mastics to permanent deformation.
Author Contributions
Funding
Institutional Review Board Statement
Informed Consent Statement
Data Availability Statement
Conflicts of Interest
References
- Liu, T.; Yang, S.; Jiang, X.; Liao, B.; Castillo-Camarena, E.A. Adaptation measures for asphalt pavements to climate change in China. J. Clean. Prod. 2023, 415, 137861. [Google Scholar] [CrossRef]
- Gudipudi, P.P.; Underwood, B.S.; Zalghout, A. Impact of climate change on pavement structural performance in the United States. Transp. Res. Part D Transp. Environ. 2017, 57, 172–184. [Google Scholar] [CrossRef]
- Bilski, M.; Słowik, M.; Fornalczyk, S.; Niwczyk, F. Study on Styrene-Butadiene-Styrene Modified Asphalt Binders Relaxation at Low Temperature. Materials 2021, 14, 2888. [Google Scholar] [CrossRef]
- Radziszewski, P.; Sarnowski, M.; Król, J.; Kowalski, K. Właściwości Asfaltów Modyfikowanych Gumą i Mieszanek Mineralno-Gumowo-Asfaltowych; Wydawnictwo Komunikacji i Łączności: Warsaw, Poland, 2017. [Google Scholar]
- Mielczarek, M.; Słowik, M.; Andrzejczak, K. The assessment of influence of styrene-butadiene-styrene alastomer’s content on the functional properties of asphalt binders. Eksploat. I Niezawodn.—Maint. Reliab. 2020, 22, 148–153. [Google Scholar]
- Airey, D.G. Viscosity-temperature relationship for a polymer modified bitumen. Int. J. Pavement Eng. 2001, 2, 223–242. [Google Scholar] [CrossRef]
- Al-Atroush, M.E. Structural behavior of the geothermo-electrical asphalt pavement: A critical review concerning climate change. Heliyon 2022, 8, 12. [Google Scholar] [CrossRef] [PubMed]
- Motamedi, M.; Shafabakhsh, G.; Azadi, M. Evaluation of fatigue and rutting properties of asphalt binder and mastic modified by synthesized polyurethane. J. Traffic Transp. Eng. (Engl. Ed.) 2021, 8, 1036–1048. [Google Scholar] [CrossRef]
- Mujtaba, H.; Khalida, U.; Rehman, Z.; Farooqa, K. Recycling of reclaimed subbase materials in flexible pavement design. Road Mater. Pavement Des. 2021, 23, 2713–2732. [Google Scholar] [CrossRef]
- Yousefi, A.; Behnood, A.; Nowruzi, A.; Haghshenas, H. Performance evaluation of asphalt mixtures containing warm mix asphalt (WMA) additives and reclaimed asphalt pavement (RAP). Constr. Build. Mater. 2021, 268, 121200. [Google Scholar] [CrossRef]
- Yi, X.; Wong, Y.D.; Chen, H.; Fan, Y.; Yang, J.; Huang, W.; Wang, H. Influence of epoxy resin polymer on recycled asphalt binder properties. Constr. Build. Mater. 2023, 398, 132549. [Google Scholar] [CrossRef]
- Diaz-Romero, P.L.; Braham, A.F. Refining particle size specification for asphalt emulsion. Constr. Build. Mater. 2022, 350, 128812. [Google Scholar] [CrossRef]
- Szczepaniak, Z.; Skierczyński, P. Cationic Bituminous Emulsions; Road and Bridge Research Institute: Warsaw, Poland, 2010. [Google Scholar]
- Mieczkowski, P. Possible applications of imidazoline as an asphalt binders modifier. J. Civ. Eng. Environ. Archit. 2016, 267–274. [Google Scholar] [CrossRef][Green Version]
- Zhao, Y.; Wang, Y.; Wang, M.; Liang, N.; Li, Z. Bio-mediated MOF-derived core–shell flame retardant: Towards styrene–butadiene–styrene asphalt with enhanced flame safety and pavement performance. Constr. Build. Mater. 2023, 392, 131408. [Google Scholar] [CrossRef]
- Babiak, M.; Kosno, J.; Mitka, H.; Twardochleb, B.; Koenig, K.; Fiszer, R. Patent: Method of Producing Modified Asphalt. PL Patent 231244 B1, 28 February 2019. [Google Scholar]
- Budziński, B.; Mieczkowski, P.; Słowik, M.; Mielczarek, M.; Bilski, M.; Fornalczyk, S. Assessment of the low-temperature performance of asphalt mixtures for bridge pavement. Road Mater. Pavement Des. 2023, 24, 409–423. [Google Scholar] [CrossRef]
- Amirah Mazalan, N.A.; Mohd Satar, M.K.I.; Azman, M.; Mohd Warid, M.N. Rheological properties of asphaltene-modified asphalt binder and mastic. Phys. Chem. Earth Parts A/B/C 2023, 131, 103422. [Google Scholar] [CrossRef]
- Iwański, M. The Use of Carbonate Aggregates in Road Construction; Stowarzyszenie Przemysłu Wapienniczego: Krakow, Poland, 2013; ISBN 978-83-925644-2-3. [Google Scholar]
- Yadykova, A.Y.; Ilyin, S.O. Bitumen improvement with bio-oil and natural or organomodified montmorillonite: Structure, rheology and adhesion of composite asphalt binders. Constr. Build. Mater. 2023, 364, 129919. [Google Scholar] [CrossRef]













| Bitumen | Penetration (0.1 mm) | TR&B (°C) |
|---|---|---|
| 50/70 | 67.5 ± 0.4 | 46.6 ± 0.5 |
| 5% SBS | 71.0 ± 0.8 | 93.3 ± 0.3 |
| 5% SBS + 0.2% RII | 70.8 ± 0.5 | 87.4 ± 0.3 |
| 5% SBS + 0.4% RII | 67.3 ± 1.7 | 88.5 ± 0.4 |
| 5% SBS + 0.6% RII | 69.3 ± 1.7 | 88.9 ± 0.4 |
| Type of Imidazoline Added to the Asphalt Binder | Area Which Was Not Covered after 3 h of Testing (%) | Area Which Was Not Covered after 6 h of Testing (%) | Area Which Was Not Covered after 24 h of Testing (%) |
|---|---|---|---|
| Limestone Aggregate | |||
| O I | 3.3 ± 1.0 | 5.8 ± 0.2 | 33.1 ± 13.2 |
| O II | 5.3 ± 1.1 | 10.8 ± 2.6 | 34.9 ± 6.4 |
| R I | 3.4 ± 0.4 | 5.3 ± 1.8 | 33.1 ± 6.5 |
| R II | 3.7 ± 1.6 | 8.1 ± 0.3 | 23.0 ± 7.1 |
| S I | 4.5 ± 0.8 | 14.6 ± 3.3 | 33.6 ± 4.1 |
| S II | 3.8 ± 0.2 | 6.0 ± 1.3 | 40.9 ± 3.9 |
| Basalt Aggregate | |||
| O I | 18.9 ± 1.3 | 27.0 ± 2.0 | 31.4 ± 4.8 |
| O II | 30.9 ± 2.3 | 37.6 ± 3.6 | 48.3 ± 1.3 |
| R I | 17.6 ± 0.3 | 29.9 ± 4.1 | 30.7 ± 2.2 |
| R II | 15.0 ± 3.8 | 36.9 ± 0.3 | 43.2 ± 8.1 |
| S I | 43.3 ± 0.8 | 43.6 ± 3.3 | 46.1 ± 2.9 |
| S II | 30.2 ± 3.8 | 40.8 ± 3.3 | 44.7 ± 1.4 |
| Granodiorite Aggregate | |||
| O I | 5.4 ± 1.0 | 12.0 ± 2.7 | 25.8 ± 4.4 |
| O II | 5.9 ± 0.8 | 14.1 ± 2.4 | 23.0 ± 2.5 |
| R I | 14.0 ± 3.2 | 29.8 ± 0.8 | 33.1 ± 6.5 |
| R II | 17.5 ± 2.6 | 30.1 ± 2.6 | 34.9 ± 4.4 |
| S I | 24.5 ± 5.1 | 28.4 ± 4.2 | 32.2 ± 4.3 |
| S II | 30.3 ± 0.3 | 30.5 ± 3.6 | 41.7 ± 1.6 |
| DSM Change in Comparison to Mastics without Imidazoline (%) at 82 °C | |||
|---|---|---|---|
| Imidazoline | Limestone | Basalt | Granodiorite |
| 0.2% RII | 591.49 | 476.95 | 147.06 |
| 0.4% RII | 362.76 | 412.82 | 199.71 |
| 0.6% RII | 359.33 | 333.60 | 117.01 |
| DSMChange in Comparison to Mastics without Imidazoline (%) at 0 °C | |||
| 0.2% RII | −15.30 | −23.47 | −44.24 |
| 0.4% RII | 16.26 | 50.38 | 17.57 |
| 0.6% RII | −4.71 | 9.80 | −39.78 |
| DSM Change in Comparison to Mastics without Imidazoline (%) at −36 °C | |||
| 0.2% RII | −79.28 | −81.74 | −84.14 |
| 0.4% RII | −79.16 | −62.76 | −66.12 |
| 0.6% RII | −85.13 | −72.92 | −83.10 |
| Tested Mastic | Jnr (kPa−1) | |G*|/sin δ (kPa) |
|---|---|---|
| 5% SBS + W | 0.0006 | 8.95 |
| 5% SBS + W + 0.2 RII | 0.0006 | 66.85 |
| 5% SBS + W+ 0.4 RII | 0.0009 | 48.49 |
| 5% SBS + W + 0.6 RII | 0.0009 | 61.21 |
| 5% SBS + B | 0.0003 | 8.89 |
| 5% SBS + B + 0.2 RII | 0.0004 | 51.38 |
| 5% SBS + B + 0.4 RII | 0.0005 | 56.27 |
| 5% SBS + B + 0.6 RII | 0.0006 | 47.34 |
| 5% SBS + G | 0.0011 | 11.42 |
| 5% SBS + G + 0.2 RII | 0.0012 | 36.41 |
| 5% SBS + G + 0.4 RII | 0.0007 | 41.62 |
| 5% SBS + G + 0.6 RII | 0.0012 | 24.22 |
Disclaimer/Publisher’s Note: The statements, opinions and data contained in all publications are solely those of the individual author(s) and contributor(s) and not of MDPI and/or the editor(s). MDPI and/or the editor(s) disclaim responsibility for any injury to people or property resulting from any ideas, methods, instructions or products referred to in the content. |
© 2024 by the authors. Licensee MDPI, Basel, Switzerland. This article is an open access article distributed under the terms and conditions of the Creative Commons Attribution (CC BY) license (https://creativecommons.org/licenses/by/4.0/).
Share and Cite
Mielczarek, M.; Fornalczyk, S.; Słowik, M. Evaluation of Rheological Properties of Polymer-Modified Asphalt Binders and Mastics with Organic Additive—Imidazoline. Sustainability 2024, 16, 1434. https://doi.org/10.3390/su16041434
Mielczarek M, Fornalczyk S, Słowik M. Evaluation of Rheological Properties of Polymer-Modified Asphalt Binders and Mastics with Organic Additive—Imidazoline. Sustainability. 2024; 16(4):1434. https://doi.org/10.3390/su16041434
Chicago/Turabian StyleMielczarek, Marta, Sylwia Fornalczyk, and Mieczysław Słowik. 2024. "Evaluation of Rheological Properties of Polymer-Modified Asphalt Binders and Mastics with Organic Additive—Imidazoline" Sustainability 16, no. 4: 1434. https://doi.org/10.3390/su16041434
APA StyleMielczarek, M., Fornalczyk, S., & Słowik, M. (2024). Evaluation of Rheological Properties of Polymer-Modified Asphalt Binders and Mastics with Organic Additive—Imidazoline. Sustainability, 16(4), 1434. https://doi.org/10.3390/su16041434

