Metabolism and Urban Design: Insights from the Champs–Elysées, Paris
Abstract
1. Introduction
- (1)
- To show how the concept of metabolism can be leveraged by professionals for making urban design hypotheses;
- (2)
- To assess the potential of each of these hypotheses to reduce adverse environmental impacts and inform urban design decisions.
2. Methods
2.1. Context and Design Hypotheses
2.1.1. The Champs–Elysées: History and Contemporary Redevelopment
2.1.2. Three Design Hypotheses
2.2. Data Acquisition
2.2.1. Gathering Data
- The City of Paris, especially its databases on bike traffic (database “Comptage vélo”) and motorized traffic (database “Comptage routier”), as well as furniture (database “Mobilier sur voie publique”);
- The Ministry of Ecological Transition national reports on energy and water consumption, as well as transportation.
2.2.2. Data Quality and Limitations
2.3. Metabolism: Models and Representational Considerations
2.3.1. Analysis Steps
2.3.2. Modeling Metabolism
- (1)
- The commercial activities associated with the buildings;
- (2)
- The public spaces (green and overwise) associated with the avenue as an infrastructure;
- (3)
- Transportation associated with the flow of various vehicles (bikes, cars, vans, trucks, and buses).
2.3.3. Representing and Comparing Metabolism
3. Results
3.1. Water
3.1.1. Existing Condition
3.1.2. Design Hypotheses
3.2. Energy
3.2.1. Existing Condition
3.2.2. Design Hypotheses
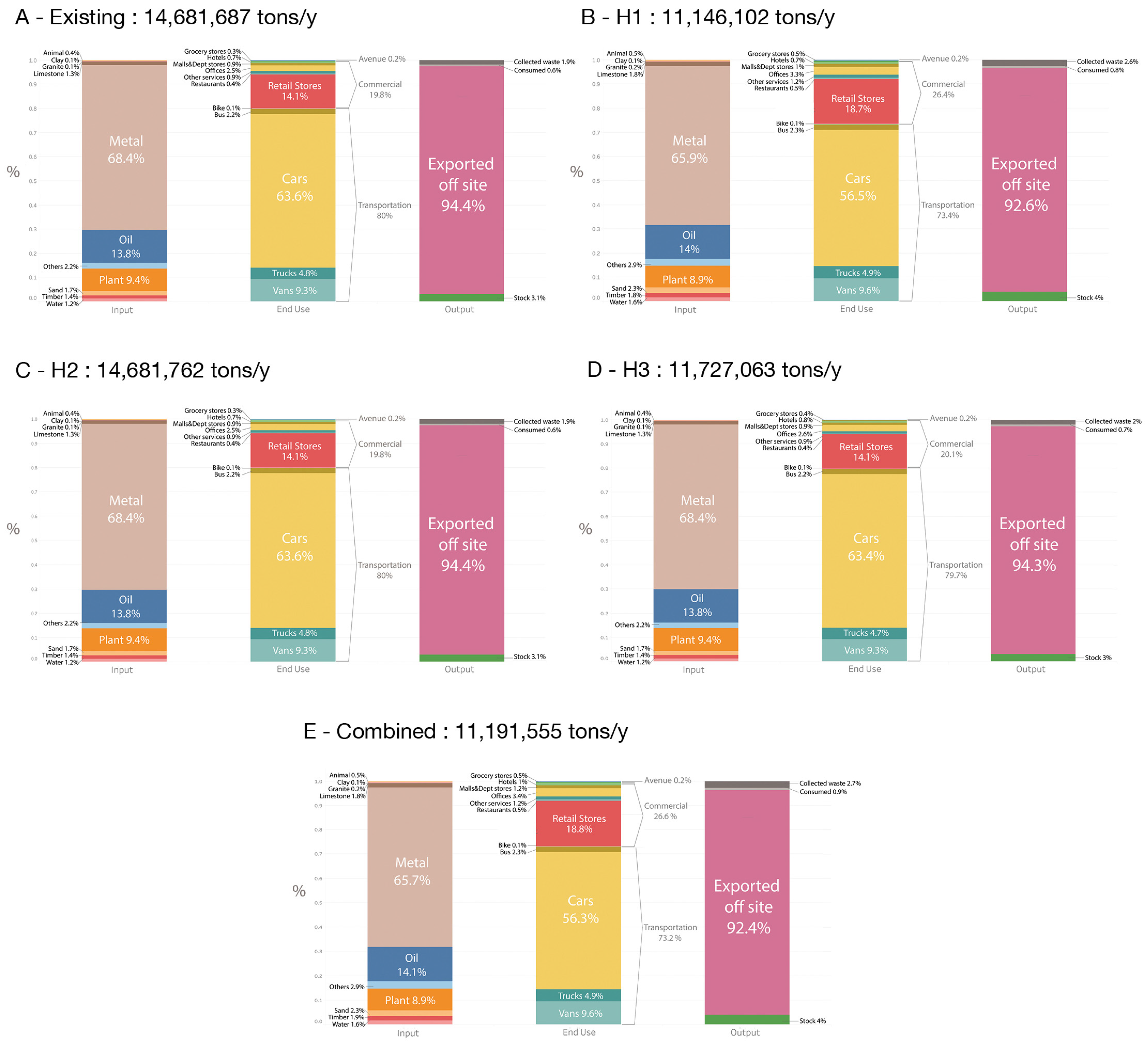
3.3. Materials
3.3.1. Existing Condition
3.3.2. Design Hypotheses
4. Discussion
4.1. Assessing the Metabolism of Urban Design
4.2. Implication of Metabolism Studies for Urban Design
5. Conclusions
Supplementary Materials
Author Contributions
Funding
Institutional Review Board Statement
Informed Consent Statement
Acknowledgments
Conflicts of Interest
References
- Gao, J.; O’Neill, B.C. Mapping global urban land for the 21st century with data-driven simulations and Shared Socioeconomic Pathways. Nat. Commun. 2020, 11, 2302. [Google Scholar] [CrossRef] [PubMed]
- Zhong, C.; Guo, H.; Swan, I.; Gao, P.; Yao, Q.; Li, H. Evaluating trends, profits, and risks of global cities in recent urban expansion for advancing sustainable development. Habitat Int. 2023, 138, 102869. [Google Scholar] [CrossRef]
- Musango, J.K.; Currie, P.; Robinson, B. Urban Metabolism for Resource Efficient Cities: From Theory to Implementation; UN Environment: Paris, France, 2017. [Google Scholar]
- Baccini, P.; Brunner, P.H. Metabolism of the Anthroposphere: Analysis, Evaluation, Design; MIT Press: Cambridge, MA, USA, 2012. [Google Scholar]
- Wolman, A. The metabolism of cities. Sci. Am. 1965, 213, 178–193. [Google Scholar] [CrossRef]
- Kennedy, C.; Pincetl, S.; Bunje, P. The study of urban metabolism and its applications to urban planning and design. Environ. Pollut. 2011, 159, 1965–1973. [Google Scholar] [CrossRef]
- Ramaswami, A.; Weible, C.; Main, D.; Heikkila, T.; Siddiki, S.; Duvall, A.; Pattison, A.; Bernard, M. A social-ecological-infrastructural systems framework for interdisciplinary study of sustainable city systems: An integrative curriculum across seven major disciplines. J. Ind. Ecol. 2012, 16, 801–813. [Google Scholar] [CrossRef]
- Newell, J.P.; Cousins, J.J. The boundaries of urban metabolism: Towards a political–industrial ecology. Prog. Hum. Geogr. 2015, 39, 702–728. [Google Scholar] [CrossRef]
- Wang, H.C. Case Studies of Urban Metabolism: What Should be Addressed Next? Urban Aff. Rev. 2022, 59, 949–968. [Google Scholar] [CrossRef]
- Lucertini, G.; Musco, F. Circular Urban Metabolism Framework. One Earth 2020, 2, 138–142. [Google Scholar] [CrossRef]
- Hanzl, M.; Geerse, A.; Guschl, L.; Dewan, R. Urban metabolism and land use optimization: In quest for modus operandi for urban resilience. In Understanding Disaster Risk. A Multidimensional Approach; Elsevier: Amsterdam, The Netherlands, 2021; pp. 109–130. [Google Scholar]
- Perroti, D.; Stremke, S. Can urban metabolism models advance green infrastructure planning? Insights from ecosystem services research. Environ. Plan. B Urban Anal. City Sci. 2020, 47, 678–694. [Google Scholar] [CrossRef]
- Bahers, J.-B.; Athanassiadis, A.; Perrotti, D.; Kampelmann, S. The place of space in urban metabolism research: Towards a spatial turn? A review and future agenda. Landsc. Urban Plan. 2022, 221, 104376. [Google Scholar] [CrossRef]
- Demaria, F.; Schindler, S. Contesting urban metabolism: Struggles over waste-to-energy in Delhi, India. Antipode 2016, 48, 293–313. [Google Scholar] [CrossRef]
- Bahers, J.-B.; Giacchè, G. Towards a metabolic rift analysis: The case of urban agriculture and organic waste management in Rennes (France). Geoforum 2019, 98, 97–107. [Google Scholar] [CrossRef]
- Kampelmann, S.; Raufflet, E.; Scialpi, G. Earth, wood, and coffee: Empirical evidence on value creation in the circular economy. In Environmental Sustainability and Economy; Elsevier: Amsterdam, The Netherlands, 2021; pp. 197–217. [Google Scholar]
- Barles, S. L’écologie territoriale et les enjeux de la dématérialisation des sociétés: L’apport de l’analyse des flux de matières. Dév. Durable Territ. Écon. Géogr. Polit. Droit Sociol. 2014, 5. [Google Scholar] [CrossRef]
- Haberl, H.; Fischer-Kowalski, M.; Krausmann, F.; Winiwarter, V. Social Ecology—Society-Nature Relations across Time and Space; Springer International Publishing: Berlin/Heidelberg, Germany, 2016. [Google Scholar]
- Desvaux, P. Pour une approche qualitative du métabolisme urbain, L’exemple des voies métaboliques des déchets plastiques au Caire (Égypte). Flux 2019, 2, 147–160. [Google Scholar] [CrossRef]
- Zhang, Y.; Xia, L.; Fath, B.D.; Yang, Z.; Yin, X.; Su, M.; Liu, G.; Li, Y. Development of a spatially explicit network model of urban metabolism and analysis of the distribution of ecological relationships: Case study of Beijing, China. J. Clean. Prod. 2016, 112, 4304–4317. [Google Scholar] [CrossRef]
- Perrotti, D. Evaluating urban metabolism assessment methods and knowledge transfer between scientists and practitioners: A combined framework for supporting practice-relevant research. Environ. Plan. B Urban Anal. City Sci. 2019, 46, 1458–1479. [Google Scholar] [CrossRef]
- Rowley, A. Definitions of urban design: The nature and concerns of urban design. Plan. Pract. Res. 1994, 9, 179–197. [Google Scholar] [CrossRef]
- Kennedy, C.A.; Stewart, I.; Facchini, A.; Cersosimo, I.; Mele, R.; Chen, B.; Uda, M.; Kansal, A.; Chiu, A.; Kim, K. Energy and material flows of megacities. Proc. Natl. Acad. Sci. USA 2015, 112, 5985–5990. [Google Scholar] [CrossRef]
- Codoban, N.; Kennedy, C.A. Metabolism of neighborhoods. J. Urban Plan. Dev. 2008, 134, 21–31. [Google Scholar] [CrossRef]
- Oswald, F.; Baccini, P.; Michaeli, M. Netzstadt; Springer Science & Business Media: Berlin/Heidelberg, Germany, 2003. [Google Scholar]
- Juwet, G.; Ryckewaert, M. Energy transition in the nebular city: Connecting transition thinking, metabolism studies, and urban design. Sustainability 2018, 10, 955. [Google Scholar] [CrossRef]
- Perrotti, D. Urban metabolism: Old challenges, new frontiers, and the research agenda ahead. In Urban Ecology Emerging Patterns and Social-Ecological Systems; Elsevier: Amsterdam, The Netherlands, 2020; pp. 17–32. [Google Scholar]
- Kolkwitz, M.; Luotonen, E.; Huunhka, S. How changes in urban morphology translate into urban metabolisms of building stocks: A framework for spatiotemporal material flow analysis and a case study. Environ. Plan. B Urban Anal. City Sci. 2022, 50, 1559–1576. [Google Scholar] [CrossRef]
- Voskamp, I.M.; Sutton, N.B.; Stremke, S.; Rijnaarts, H.H.M. A systematic review of factors influencing spatiotemporal variability in urban water and energy consumption. J. Clean. Prod. 2020, 256, 120310. [Google Scholar] [CrossRef]
- Morton, T. Hyperobjects: Philosophy and Ecology after the End of the World; U of Minnesota Press: Minneapolis, MI, USA, 2013. [Google Scholar]
- Atelier Parisien d’Urbanisme. Les Zones Touristiques Internationales à Paris (ZTI)—Diagnostic Initial sur les Commerces. 2015. Available online: https://www.apur.org/fr/nos-travaux/zones-touristiques-internationales-paris-zti-diagnostic-initial-commerces (accessed on 23 July 2023).
- PCA-STREAM. Champs-Élysées, Histoire & Perspectives; Éditions Pavillon de l’Arsenal/PCA Éditions; PCA-STREAM: Paris, France, 2020. [Google Scholar]
- Chiambaretta, P. Urban Metabolisms: Combining complex approaches. In Stream 04—Paradox of the Living; PCA-Éditions; PCA-STREAM: Paris, France, 2017. [Google Scholar]
- Artelia. Etude flux et mobilités. In Étude Urbaine Réenchanter les Champs-Elysées. Cahier 5—Annexes; PCA-STREAM: Paris, France, 2023. [Google Scholar]
- PCA-STREAM. Étude Urbaine Réenchanter les Champs-Elysées. Cahier 3—Avenue Haute; PCA-STREAM: Paris, France, 2023. [Google Scholar]
- Ville de Paris. Paris Pluie. Guide D’Accompagnement pour la Mise en Œuvre du Zonage Pluvial à Paris. 2018. Available online: https://cdn.paris.fr/paris/2019/07/24/843a7be4c5c6c532a4eaab07a15724da.pdf (accessed on 23 July 2023).
- Atelier Parisien d’Urbanisme. Recensement et Dynamiques du Parc de Bureaux. 2017. Available online: https://www.apur.org/fr/nos-travaux/recensement-dynamiques-parc-bureaux (accessed on 23 July 2023).
- Atelier Parisien d’Urbanisme. Actualité 2022 sur le Commerce à Paris—BDRues 2022. 2022. Available online: https://www.apur.org/fr/nos-travaux/actualite-2022-commerce-paris-bdrues-2022 (accessed on 23 July 2023).
- Derrible, S.; Cheah, L.; Arora, M.; Yeow, L.W. Urban metabolism. In Urban Informatics; Springer: Singapore, 2021; pp. 85–114. [Google Scholar]
- Fishman, T.; Schandl, H.; Tanikawa, H.; Walker, P.; Krausmann, F. Accounting for the material stock of nations. J. Ind. Ecol. 2014, 18, 407–420. [Google Scholar] [CrossRef] [PubMed]
- Rendgen, S. The Minard System: The Complete Structural Graphics of Charles Joseph Minard; Princeton Architectural Press: New York, NY, USA, 2018. [Google Scholar]
- Fédération Professionnelle des Entreprises de l’Eau. Les Services Publics d’Eau et D’Assainissement en France—Données Économiques, Sociales et Environnementales. 2019. Available online: https://fp2e.org/flowpaper/BIPE-2019/#page=80 (accessed on 23 July 2023).
- Dequincey, O. Énergie, Rendement… Comprendre Pour Comparer; Planète Terre—ENS Lyon: Lyon, France, 2023; Available online: https://planet-terre.ens-lyon.fr/ressource/rendement-energie.xml (accessed on 23 July 2023).










| Assets | Real Estate Evolution Rate | Model Hypotheses |
|---|---|---|
| Restaurants and food shops/courts | +3% | Addition of one “bistro” restaurant |
| Retail stores | +1.8% | Addition of: - one luxury goods store - one clothing store |
| Grocery stores | +1.8% | Extension or restructuring of an existing grocery store |
| Malls and department stores | +1.8% | Extension or restructuring of an existing mall |
| Hotels | +5.6% | Extension or moving of one hotel |
| Offices | +5.6% | Expansion of office space in assets presenting high level of vacancy |
| Other services | −2.1% | Closing of one movie theater and associated services |
| Brand Name | Asset Type | Commercial Activity | |
|---|---|---|---|
| 1 | Bistro 25 | Restaurants and food shops/courts | Bistro-type restaurant |
| 2 | Five guys | Fast food restaurant | |
| 3 | Café joyeux | Bakery and assimilated (coffee shop) | |
| 4 | Celio | Retail stores | Clothes and accessories |
| 5 | Cartier | Jewelry and luxury goods | |
| 6 | Yves Rocher | Cosmetics | |
| 7 | Pharmacie des Champs Elysées | Pharmacy | |
| 8 | FNAC | Cultural goods | |
| 9 | FNAC | Appliances and high tech | |
| 10 | Renault | Other | |
| 11 | Monoprix * | Grocery stores | Groceries and diverse consumer products |
| 12 | Galeries Lafayettes * | Mall and department stores | Diverse consumer products |
| 13 | Marriott | Hotels | Hotel-related activities |
| 14 | BNP ** | Offices | Office-related activities |
| 15 | BNP ** | Other | Bank: Customer service—related activities |
| 16 | Gaumont | Movie theater |
Disclaimer/Publisher’s Note: The statements, opinions and data contained in all publications are solely those of the individual author(s) and contributor(s) and not of MDPI and/or the editor(s). MDPI and/or the editor(s) disclaim responsibility for any injury to people or property resulting from any ideas, methods, instructions or products referred to in the content. |
© 2024 by the authors. Licensee MDPI, Basel, Switzerland. This article is an open access article distributed under the terms and conditions of the Creative Commons Attribution (CC BY) license (https://creativecommons.org/licenses/by/4.0/).
Share and Cite
Doussard, C.; Rowe, P.G.; Detavernier, P.; Guo, B. Metabolism and Urban Design: Insights from the Champs–Elysées, Paris. Sustainability 2024, 16, 603. https://doi.org/10.3390/su16020603
Doussard C, Rowe PG, Detavernier P, Guo B. Metabolism and Urban Design: Insights from the Champs–Elysées, Paris. Sustainability. 2024; 16(2):603. https://doi.org/10.3390/su16020603
Chicago/Turabian StyleDoussard, Claire, Peter G. Rowe, Pauline Detavernier, and Boya Guo. 2024. "Metabolism and Urban Design: Insights from the Champs–Elysées, Paris" Sustainability 16, no. 2: 603. https://doi.org/10.3390/su16020603
APA StyleDoussard, C., Rowe, P. G., Detavernier, P., & Guo, B. (2024). Metabolism and Urban Design: Insights from the Champs–Elysées, Paris. Sustainability, 16(2), 603. https://doi.org/10.3390/su16020603

