Next Article in Journal
Sustainable Protection Strategies for Traditional Villages Based on a Socio-Ecological Systems Spatial Pattern Evaluation: A Case Study from Jinjiang River Basin in China
Next Article in Special Issue
Research on Sustainable Scheduling of Material-Handling Systems in Mixed-Model Assembly Workshops Based on Deep Reinforcement Learning
Previous Article in Journal
Spatiotemporal Evaluation of the Coupling Relationship between Public Service Facilities and Population: A Case Study of Wuhan Metropolitan Area, Central China
Previous Article in Special Issue
Barriers to Implementing Environmental Sustainability in UAE Construction Project Management: Identification and Comparison of ISO 14001-Certified and Non-Certified Firms
 
 
Font Type:
Arial Georgia Verdana
Font Size:
Aa Aa Aa
Line Spacing:
Column Width:
Background:
Article

Exploring the Influence of Pulsed Electric Field and Temperature on Key Physical Attributes in Sustainable Hot-Air-Dried Apple Tissue

by
Agnieszka Ciurzyńska
*,
Katarzyna Rybak
,
Dorota Witrowa-Rajchert
and
Małgorzata Nowacka
*
Department of Food Engineering and Process Management, Institute of Food Sciences, Warsaw University of Life Sciences—SGGW, 02-787 Warsaw, Poland
*
Authors to whom correspondence should be addressed.
Sustainability 2024, 16(17), 7699; https://doi.org/10.3390/su16177699
Submission received: 19 July 2024 / Revised: 28 August 2024 / Accepted: 3 September 2024 / Published: 4 September 2024
(This article belongs to the Special Issue Sustainability in Industrial Engineering and Engineering Management)

Abstract

The study aimed to determine the optimal parameters of the pulsed electric field as pre-treatment, and air temperature, in order to determine the sustainable production of dried apples with beneficial selected physical properties. A combination of PEF with energies of 1, 3.5, and 6 kJ/kg with hot-air drying at 60, 70, and 80 °C was used. The highest dry matter content was observed in tissue treated with PEF with an energy of 6 kJ/kg, and dried at a temperature of 80 °C. Both the drying and pre-treatment parameters influenced the change in the color of the dried material and the loss of dry matter during rehydration, but did not cause significant changes in the rehydration capacity and thermogravimetric properties (TGA). The novelty of investigations indicates that PEF treatment is capable of altering the quality of dried products. Nevertheless, the selection of particular drying temperatures has a more significant influence on the ultimate product quality. Therefore, choosing specific parameters for the treatment and drying process should be guided by the desired properties of the final product. PEF treatment is one of the most promising pre-treatments used before drying, and examining the possibility of its application to apples, which are one of the most frequently preserved fruits, will make an important contribution to the study of this field of science.

1. Introduction

Air drying is the most usual method of drying food. A large amount of thermal energy is supplied to the product in the form of hot air, which reaches the inside of the dried material, after which the air lowers its temperature and flows out of the product together with water vapor [1]. Drying inhibits the course of chemical reactions and the development of microorganisms in the product, extending the shelf life of food products. An additional advantage is minimizing the costs of packaging, transport, and storage due to the smaller volume of dried products [2]. This method is quite cheap, but due to the use of the high temperature of the drying agent and the long duration of the process, it significantly reduces the quality of the final product of the raw material (unfavorable changes in color, texture, taste, and reduction in nutritional value) [1]. Undesirable changes can be minimized by selecting appropriate drying process parameters. To reduce quality losses and obtain a product with high retained nutritional value and desired sensory characteristics, pre-treatment is used, e.g., a pulsed electric field (PEF) [3].
PEF is a non-thermal technique and involves treating biological material with short, repeated pulses of a high-voltage electric field. As a result of the action of PEF, the phenomenon of electroporation occurs, which involves a change of conformation in the cell membrane, which causes pores to appear in the material, the diameter of which ranges from 1 to 10 nm, and the cell membrane increases its permeability, which facilitates the transfer into the cell of various components, e.g., ions. The resulting pores also facilitate the mass exchange process [4]. Even though PEF is a non-thermal process, the application of a high-voltage electric field contributes to an increase in temperature in the material due to the Joule effect. The temperature increase in the material is influenced by the electrical conductivity of the raw material and the electric field strength. The use of short, low-frequency pulses allows the limiting of excessive temperature increases in the material [5]. The standard equipment used for the application of a pulsed electric field includes a high-voltage pulse generator, a working chamber, and a process control system in which thermocouples, voltage and current monitoring sensors, oscilloscopes, and digital recording devices are installed. There are two electrodes in the working chamber, between which the material is placed. Through the electrodes, an electric field pulse is delivered inside the product, which causes the destruction of the cell membrane of microorganisms [6,7].
Pre-treatment in the form of a pulsed electric field with suitable parameters has a useful effect on the quality of the dried material, but when too intensive PEF is used, a negative impact on the quality of the dried material may be observed. This was proven by Lammerskitten et al. [8] by examining the effect of a pulsed electric field on selected properties of mango dried by hot air at 70 °C, and treated with an electric field of 1.07 kV/cm, with energy of 1 and 3 kJ/kg. Yamakage et al. [9] investigated the effect of a pulsed electric field on the drying rate and quality changes of spinach during hot-air-drying at 50 °C with the prior use of PEF with an electric field intensity of 2.8 kV/cm and a frequency of 30 Hz. They showed that the PEF pre-treatment ensures a better color of dried material than the material obtained without pre-treatment. Also, Zhang et al. [10] stated that PEF can be used before drying to enhance heat and mass transfer. Nowak and Jakubczyk [11] used PEF pre-treatment before freeze-drying apples and showed that the application of PEF treatment had a positive effect on the reduction in freeze-drying time, but optimal parameters should be used. Intensive parameters of PEF treatment would cause cellular structure damage in 50% of cells. The apple tissue structure could be affected by PEF parameters during freeze-drying, and PEF pre-treatment reduced drying time by 0.86 h, improving the rehydration ratio of apple tissue. The hardness of apple slices decreased with PEF treatment but increased with the increase in electric field intensity and pulse number [12]. Ostermeier et al. [13] also emphasized that the level of increase in the water diffusion coefficient depends on the PEF parameters or drying conditions, but the type of tissue subjected to these processes also influences the changes in these parameters. Castagnini et al. [14] confirmed the effect of PEF pre-treatment on the sorption behavior of dried apples. They showed that the PEF pre-treatment at 1.5 kV/cm caused a modification of the isotherm shape, from type II to type III, so the highest level of PEF pre-treatment could increase the availability of reducing sugars to chemical interactions with water molecules. Matys et al. [15] showed that a PEF pre-treatment could be effectively applied to improve the vacuum-drying of apple tissues. The drying time was reduced by 22%. A low drying temperature (40 °C) and mild energy input (1 kJ/kg) may result in better properties of bioactive components. Wiktor et al. [16] indicated that the application of PEF for carrots caused the reduction of the drying time by 6.9–8.2%, decreased sample lightness, and changed the microstructure.
Previous research published by Ciurzyńska et al. [17] covered the impact of PEF pre-treatment and drying temperature on changes in bioactive components in hot-air-dried apples. This work aimed to investigate the impact of a pulsed electric field and air temperature on selected physical properties of apple tissue. The scope of the work included drying organic apple tissue using the convection method preceded by the action of a pulsed electric field, and then determining dry matter content and rehydration, as well as the hygroscopic and thermochemical (TGA) properties, and color, in the CIE L*a*b* system.
The innovation of the research results presented relies on indicating optimal parameters of hot-air-drying and PEF processing before drying apples. This work provides more knowledge about the PEF-assisted drying processes as one of the most interesting pre-treatments used before drying during the last years. It also provides practical information to enhance dried apple quality for the food processing industry. Sustainable development in the context of the conducted research concerns the selection of optimal process parameters to reduce costs and material losses. Usually, optimization is performed for the different parameters of the specific processes. In this study, the optimization was done for the whole process—PEF and drying together.

2. Materials and Methods

2.1. Material

The material for the research was apples of the Gloster variety (organic cultivation, Warsaw, Poland). The pulsed electric field (PEF) pre-treatment was used for fruits which were then cut into 5 mm-thick slices. The slices were divided into 2 parts.

2.2. Technological Methods

2.2.1. Application of a Pulsed Electric Field (PEF)

Before drying, the investigated material was subjected to a pulsed electric field (PEF) in the ELEA Pilot-Dual impulse reactor (Elea GmbH, Quakenbrück, Germany). The device enables the processing of solid, liquid, and semi-liquid food by using a pulsed electric field. The set allows the use of an electric field with a voltage of up to 24 kV and a current of up to 1000 A at a frequency of 500 Hz. The device, thanks to its design, allows easy scaling of the process. The chamber of the impulse reactor is equipped with stainless steel electrodes with a distance between the electrodes equaling 27 cm. Whole apples (approx. 150 g) were placed in the chamber, into which tap water was added (room temperature) until the mass of the entire system was approximately 1000 g. By considering the total mass of the chamber content, the required specific energy intake (kJ/kg) was adjusted by adapting the number of pulses (140–850 pulses). Energy of 1, 3, 5, and 6 kJ/kg was supplied to the system during processing, and the electric field intensity was 1.07 kV/cm. The specific PEF parameters were chosen based on preliminary studies.
The specific energy intake Wspec (kJ/kg) and electric field strength E (kV/cm) were calculated according to the following Equations [15]:
W s p e c = U 2 C n 2 m
E = U d
where n is the number of pulses (–); m is the mass of the treated samples (kg); U is the voltage (kV); d is the distance between electrodes (cm); C—is the capacitance (F).

2.2.2. Drying in a Convection/Hot-Air Dryer

The material was dried on sieves in a convection dryer (PROMIS, Wrocław, Poland) at a drying air temperature of 60, 70, and 80 °C, and an air speed of 1.2 m/s. Apple samples were placed on the sieve (about 150 g). The sample type and symbols are shown in Table 1.

2.3. Analytical Methods

2.3.1. Determination of Dry Matter Content

Approximately 0.2 g (accuracy of 0.0001 g) of homogenized dried apple slices were weighed into weighing vessels, which were then dried in a laboratory dryer at 70 °C for 24 h. After this time, the samples were weighed again, and the dry matter content in the apples was calculated. The measurement was performed twice [18].

2.3.2. Color Measurement in the CIE System L*a*b*

Color measurement was performed with a spectrophotometer CR-5 (Konica-Minolta Co., Ltd., Tokyo, Japan) in the CIE L*a*b* system. The L* parameter is responsible for the color lightness, the a* parameter describes the green and red colors, and the b* parameter describes the blue and yellow colors. A standard D65 light source, a measuring diameter of 3 mm, and a standard 2° observer were used. Six repetitions were carried out for each dried sample. Based on the obtained results, the total color change ΔE was calculated [19].

2.3.3. Determination of Rehydration Properties

A sample of the dried apple was weighed on an analytical scale, and then the slice was placed in a beaker, into which 100 mL of distilled water was poured. The prepared material was left for an hour at room temperature, then removed, drained on a sieve and filter paper, and then weighed. For rehydrated samples, the dry matter content was investigated according to the method described in Section 2.3.1. Taking into account the differences in apple mass before and after hydration and the dry matter content, the rehydration coefficient (RR) and the relative dry matter loss (SSL) were determined. The assay was performed in three repetitions [20].

2.3.4. Determination of Hygroscopic Properties

Dried apple slices were weighed on an analytical scale with an accuracy of ±0.0001 g, and then the material was placed in a desiccator over a saturated NaCl solution with a water activity of 0.75. The mass measurement was performed after 1, 24, 48, and 72 h twice for each type of dried fruit [21].

2.3.5. Thermogravimetric Analysis (TGA)

Thermogravimetric analysis was performed using thermogravimetry (TGA/DSC 3+, Mettler Toledo, Greifensee, Switzerland) [22]. Approximately 5 mg of ground dried material was weighed into open crucibles with a capacity of 70 µL made of aluminum oxide, then the material was subjected to pyrolysis at temperatures from 30 to 600 °C, with a heating rate of 10 K/min under nitrogen conditions with a flow of 50 mL/min. Thermograms were analyzed using STAR software (version 16.10) from Mettler Evaluation. The analysis was performed in one repetition.

2.3.6. Determination of Textural Properties

The textural properties of the dried fruit were determined by measuring the force needed to deform the apple slices by 50%. The TA.HD.plus Texture Analyser (Stable Micro Systems Ltd., Surrey, UK), and the Texture Exponent 32 computer program were used for the analysis. During the measurement, the measuring head moved at a speed of 1 mm/s, and when it touched the material, it reduced its speed by half. The maximum force recorded during the experiment [Fmax] was analyzed based on the penetration curves. The measurement was performed in at least 10 repetitions for each analyzed variant [23].

2.4. Statistical Analysis

The analysis of the impact of the electric field energy and the applied temperature on the quality of dried samples was assessed based on a one-way ANOVA, and homogeneous groups were determined based on the Tukey test. Additionally, the study employed response surface methodology (RSM) to organize the experiment, incorporating a planned investigation of two factors: drying temperature (60, 70, 80 °C) and energy applied during PEF treatment (1, 3.5, 6 kJ/kg). On this basis the response surface graphs were created for each property of the dried apples.

3. Results

3.1. The Influence of PEF on the Drying Process and Dry Matter Content of Dried Apples

Figure 1 shows the change in the dry matter content in an apple dried by hot-air at 60, 70, and 80 °C, which was subjected to PEF pre-treatment with the application of an electric field with energy values of 1, 3.5, and 6 kJ/kg.
A two-way analysis of variance showed that the dry matter content in the dried material was influenced only by the drying air temperature (Table 2). Taking into account all the parameters used, the highest dry matter content (97.9%) was observed in the tissue pre-treated with PEF with an energy of 6 kJ/kg, dried at a temperature of 80 °C, and the lowest (94.6%) was observed in the tissue obtained by applying the same electric field energy, but dried at 60 °C. Based on the one-way analysis of variance, it can be concluded that there were no significant differences in the dry matter content between the following samples: Control 60 °C; Control 70 °C; PEF 1, 70 °C; PEF 3.5, 70 °C; PEF 6, 70 °C; Control 80 °C; PEF 1, 80 °C; PEF 3.5, 80 °C; PEF 6, 80 °C.
Figure 2 shows the response fitting surface of the dry matter content in dried apples obtained as a result of the action of a pulsed electric field of different energy and convective drying at different temperatures. The statistical analysis performed showed that the model fit and the application of higher temperature drying results in higher dry matter content in the final product. The Pareto chart (not presented in this work) shows that the drying air temperature had a significant linear influence on the dry matter content.

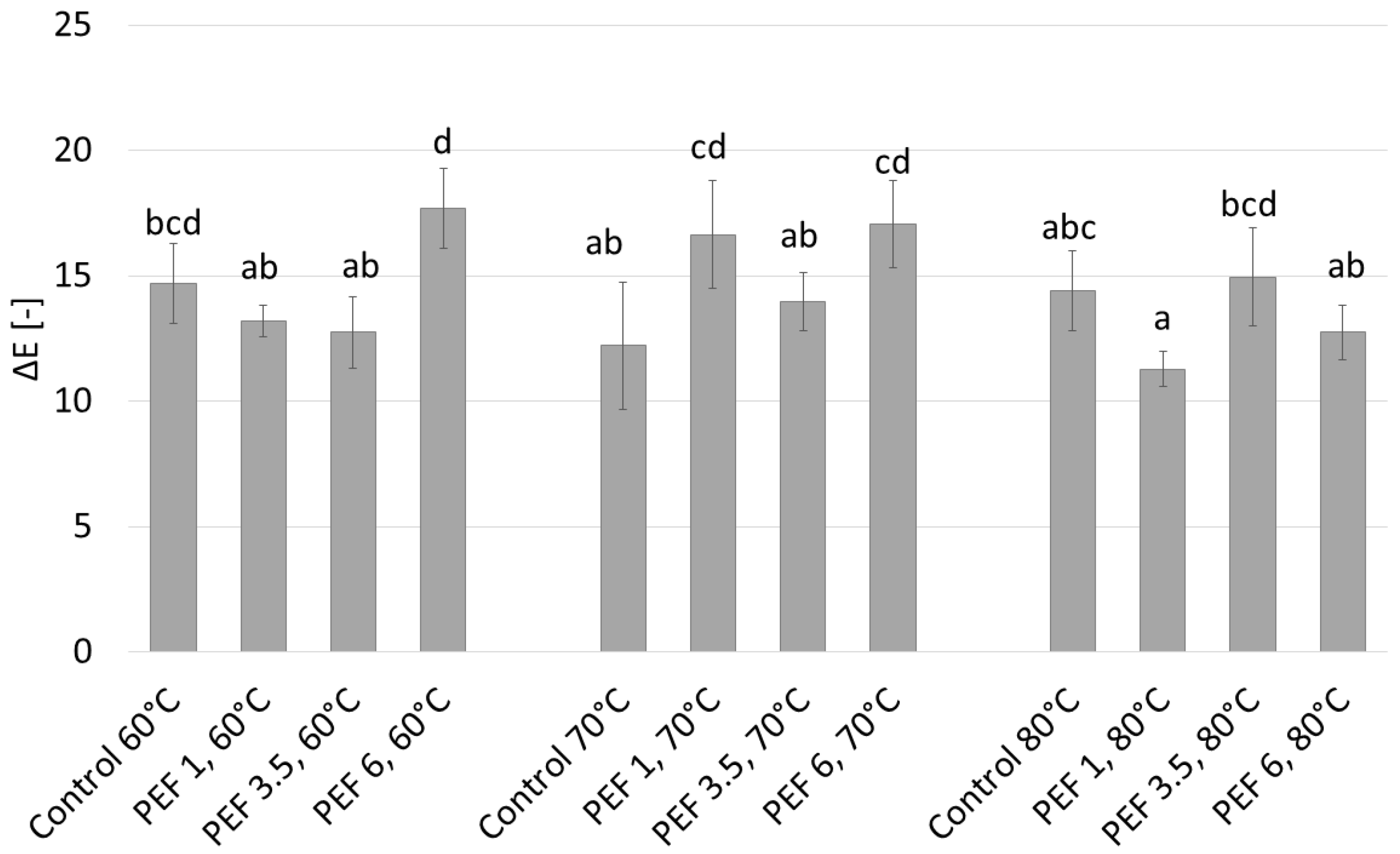
3.2. The Influence of PEF on the Color Change of Dried Apples

Figure 3 shows the values of the total color change of dried apples in relation to the color of raw fruit. A two-way analysis of variance showed that the color change was influenced by both the pre-treatment (PEF) and the drying air temperature, with the drying temperature being more important (Table 2). The values of the total color change were in the range of 11.29–17.70. The lowest total color change was observed in PEF 1, 80 °C, and the highest in PEF 6, 60 °C.
Figure 4 shows the response surface of the total color change for the obtained dried apples. The statistical analysis performed showed that the model fit, and on this basis, the lower total color change for dried apples was obtained when low PEF energy (1–3.5 kJ/kg) and high (80 °C) or low (60 °C) temperature of drying will be applied.

3.3. The Influence of PEF on the Rehydration Properties of Dried Apple

Table 3 shows the calculated rehydration capacity (RR) and loss of soluble components (SSL) of dried apples pre-treated with PEF of various energies. Statistical analysis showed that the applied electric field energy and drying air temperature had no significant effect on the rehydration capacity (RR) (Table 2). Apple dried at a temperature of 80 °C had the best rehydration capacity (2.84), and the material obtained after initial treatment with an energy of 1 kJ/kg and dried at a temperature of 70 °C had the lowest weight gain capacity (2.56). Pre-treatment reduced the rehydration capacity of the dried material compared to control samples, except for the PEF 6, 70 °C material, where pre-treatment had a minimal impact on improving the rehydration capacity, but one-way analysis of variance showed that the differences in rehydration capacity were not statistically significant.
Figure 5a shows the response surfaces of the rehydration capacity of dried apples. The statistical analysis showed that the model was statistically fit, and in addition, the Pareto chart (not presented in the paper) showed that none of the process parameters used had any effect on the RR of dried apples. The loss of soluble ingredients ranged from 0.61 to 0.73, with the lowest value achieved by Control 80 °C and the highest by PEF 3.5, 80 °C. Based on the two-factor analysis of variance, it can be concluded that both the drying temperature used and the PEF energy had a significant impact on the loss of soluble ingredients, with the temperature used having a greater impact. Analysis of variance showed that the differences in the loss of soluble components were significant (Table 2). Figure 5b shows the response surfaces of the loss of soluble substances from dried apples. Statistical analysis showed that the model fit statistically, and a Pareto chart (not presented in this work) showed that temperature has a quadratic effect on the loss of soluble substances from apple tissue.

3.4. The Influence of PEF on the Hygroscopic Properties of Dried Apple

Figure 6 shows the water content in dried apple tissue after being kept in NaCl solution for 24 h. The conducted two-factor analysis of variance shows that the hygroscopic properties were significantly influenced by the drying temperature, as well as by the PEF treatment, however, the effect of the temperature was higher than that of the performed treatment (Table 2). The presented results show that the most advantageous treatment at a drying temperature of 60 °C is the use of an electric field energy of 6 kJ/kg, because the obtained dried material has the lowest water content, i.e., 12.21 g/100 g d.m., while PEF with an energy of 3.5 kJ/kg is the least favorable preliminary treatment. The dried product had the highest water content (14.29 g/100 g d.m.), approx. 13% higher than the control sample. The use of a preliminary treatment before drying at 70 °C allowed for dried samples with a lower hygroscopic ability, which indicates a better quality of dried material. In the control test, the apple tissue absorbed the largest amounts of water (11.91 g/100 g d.m.). In the case of PEF energy of 3.5 kJ/kg, the dried samples reached the highest water content (10.99 g/100 g d.m.), and the lowest at 6 kJ/kg energy (9.44 g/100 g d.m.). At a drying air temperature of 80 °C, the energy of 6 kJ/kg allowed for dried apples that absorbed the smallest amount of water to be obtained, i.e., 10.02 g, a value approximately 6% lower than the control sample. The most water (11.71 g/100 g d.m.) was absorbed by the material after the application of an electric field with an energy of 3.5 kJ/kg, which gives a value approximately 9 and 15% higher, respectively, compared to the control sample and the dried material, which absorbed the smallest amount water. The analysis of variance showed no significant differences in the change in water content between the tested variants.
Figure 7 shows the fitting surface of the water content response in dried samples obtained as a result of applying a pulsed electric field of different energy and convective drying at different temperatures. The analysis showed model fit, and the result shows the application effects of the high- or low-temperature drying and PEF treatment with energy of 3.5 kJ/kg on obtaining higher values for hygroscopic properties of dried apple tissue.

3.5. The Influence of PEF on the Thermochemical Properties of Dried Apples (TGA)

The research showed that the pyrolysis process for the obtained dried products was similar (Figure 8). In the second stage of decomposition, the most intense mass loss is noticeable in the case of the PEF 1, 60 °C sample. Figure 8 shows also the derivative of the mass loss of dried apples. The figure shows three peaks in different temperature ranges, i.e., 35–90, 150–240, and 280–360 °C.

3.6. The Influence of PEF on the Textural Properties of Dried Apples

The textural properties were examined by performing a penetration test to deform the dried material by 50%, and the maximum deformation force was measured (Table 4). The conducted two-factor analysis of variance showed that the drying temperature had a significant impact on the penetration force. The maximum deformation force in a fresh apple was 2.39 N, and drying and pre-treatment increased the deformation force. The highest force of 21.33 N was demonstrated by dried PEF 6, 80 °C, while the lowest force of 3.95 N was recorded in the case of dried PEF 6, 60 °C. Only in the case of drying at a temperature of 70 °C, did the application of PEF cause an increase in the deformation force compared to the control sample (without pre-treatment). When dried at 60 °C, the force required for deformation decreased compared to the control sample, dried without pre-treatment. Based on the Tukey test, statistically significant differences were found in the change in the maximum force needed to deform the dried herbs by 50%.
Figure 9 shows the response surfaces of the textural properties of dried apples. Statistical analysis showed model fit. The Pareto chart (not presented in this work) indicates that the drying temperature had a linear impact on the value of the maximum deformation force of the material, which means that the use of the higher dying temperature results in obtaining harder apple tissue after drying.

4. Discussion

Removing water from food allows its shelf life and storage time to be extended. The selection of the best parameters of the drying process is very important for obtaining the best quality product [24]. The use of PEF treatment, especially with a higher intensity of used parameters, facilitates water removal from the apple tissue [17]. The application of PEF reduced the drying time in the range of 3.8 to 37.1%, depending on the used drying temperature. Furthermore, utilizing higher temperatures leads to a shorter drying time for the apple tissue, while lower temperatures lengthens drying time. It was shown that the dry matter content in the dried apples was influenced only by the air-drying temperature, and increased with a temperature increase. Also, Senadeera et al. [25] found that moisture content decreased with an increase in drying temperature in persimmon slices, and Briki et al. [26] found the same for pomegranate arils.
Color is an important determinant of the quality of dried fruit. This is one of the main features taken into account by the consumer when choosing a product. Technological treatments, including blanching and drying, have a significant impact on the color change compared to the raw material. The changing color depends on the content of chemical compounds responsible for the color in the material, the so-called coloring substances. These include carotenoids, chlorophyll, and anthocyanins. The above-mentioned dyes have low stability, and therefore undergo degradation or noticeable changes due to changes in pH, temperature, or the presence of oxygen [27]. It was shown that the color change of dried apples was influenced by both the pre-treatment (PEF) and the air-drying temperature, but the drying temperature was more important. The lowest total color change was observed in PEF 1, 80 °C, and the highest in PEF 6, 60 °C. These results are in line with the previous ones, where Alam et al. [28] studied the effect of PEF treatment on the color of carrots and parsnips. The material pre-treated with PEF with an intensity of 0.9 kV/cm was dried by hot air at temperatures of 50, 60, and 70 °C. In the case of carrots, the highest value of color change was observed in samples dried at 70 °C, while in the case of parsnips (with color similar to apple tissue), the highest result was recorded for material dried at 60 °C. Changes in the color of the dried samples may have been caused by the degradation of dyes due to long exposure to oxygen. Additionally, the color changes could be related to the phenomenon of electroporation caused by PEF, and the resulting channels facilitated the degradation of dyes located inside the plant tissue cell.
Rehydration properties determine the ability of the dried material to absorb water. Rehydration is sometimes defined as the opposite operation to drying, but it is impossible for the dried material to absorb as much water after contact with water, as water evaporated during drying. During rehydration, the water absorption process is simultaneous with the penetration of chemical compounds, e.g., vitamins and sugars from the dried material into the surroundings, because the absorbed water washes out compounds from the material that easily dissolve in the aqueous environment. The ability to rehydrate depends on the pre-treatment and drying method used. Inappropriately selected parameters of these treatments affect the breakdown of the material’s cell wall, which makes it difficult to retain the absorbed water [27]. It was shown for hot-air-dried apples that the applied electric field energy and drying air temperature had no significant effect on the rehydration capacity, but the drying temperature used and the PEF energy had a significant impact on the loss of soluble ingredients. The lowest value of soluble ingredients for the Control 80 °C and the highest viewed by PEF 3.5, 80 °C can be explained by the fact that the application of an electric field could cause the formation of pores, which facilitated the migration of components into water. The ability to reconstruct plant tissue was presented by Fauster et al. [29] who, among others, investigated the effect of PEF on the ability to rehydrate freeze-dried strawberry tissue. Three different energy values were used, i.e., 0.3, 0.7, and 1.5 kJ/kg, as well as two freezing temperatures, i.e., −4 and −40 °C. The conducted research showed that PEF, regardless of its parameters, improved the rehydration capacity of strawberries compared to samples not treated with an electric field. The lack of confirmation of the results may be due to the fact that the rehydration properties depend on the processes used and their parameters, as well as on the biological material tested. Plant tissues differ in terms of structure, which means that the repeatability of the effect of PEF on the rehydration of the material is rare among the studies performed.
Hygroscopic properties determine the ability of dried fruit to absorb water in an environment with increased humidity. This ability depends on the structure of the dried plant tissue and the type of chemical substances contained in the dried plant. Too high a water content in the biological material allows the development of undesirable microflora, which ultimately leads to a reduction in the durability of the product [30]. The hygroscopic properties were significantly influenced by the drying temperature, as well as PEF treatment, but the temperature was more important. Similar relationships were obtained by Wiktor et al. [10] for dried apples and Dadan et al. [31] for dried white button mushrooms, and those studies showed that the gain in mass was dependent on drying temperature, and, generally, PEF pre-treatment did not have a significant effect on the hygroscopic properties.
When analyzing thermogravimetric curves, several periods of the pyrolysis process should be distinguished. The first phase occurs in the range of 0–110 °C. During this phase, water is removed from the raw material. The next period is the range of 110–260 °C, in which the most intensive loss of material mass occurs, which is associated with the removal of gas from the product. The third period is characterized by a change in the range of 260–480 °C. In this case, the most intense decomposition of the product occurs. The decomposition of the material is the result of the degassing of hemicellulose, cellulose, and lignin. The fourth, or last, period occurs at temperatures above 480 °C and is characterized by a negligible mass loss in the material [32]. The process of weight loss during the drying of these apples was presented in a previous work [17]. The lack of noticeable differences in the decomposition process of dried material may be due to the similar chemical composition of apples. Due to the lack of significant differences in the duration of the pyrolysis process, it can be concluded that pyrolysis is not influenced by the pre-treatment used or the air-drying temperature. However, based on the minimum deviation of the Control 80 °C sample, it can be assumed that, in the case of this sample, pyrolysis occurred the fastest, which may indicate low thermal stability compared to other dried samples. No noticeable differences when heating the material were noticed by Wang et al. [33] when they conducted research using eucalyptus, and in this case ultrasound was used as a preliminary treatment. The presented results did not show any significant differences in the influence of the method of US application on the thermochemical properties of eucalyptus. We observed that, for dried apples, three peaks are responsible for the pyrolysis of lignin, hemicellulose, and cellulose. As in the case of TGA, no significant differences were observed in the graph between all dried variants. Guerrero et al. [34]’s research showed that the pyrolysis of hemicellulose occurs in the range of 197–327 °C, that of cellulose in the range of 277–427 °C, and the decomposition of lignin occurs in the range of 227–527 °C. It was noticed that the pyrolysis process slows down significantly at a temperature of 480 °C, which is related to the dynamics of lignin decomposition.
Textural properties are one of the most important qualitative features of dried samples. Texture is a feature of the dried product that describes the components of the structure of the material. Textural properties are felt and registered by humans during consumption. The change in the texture of the dried fruit is influenced by the preliminary treatments used [35]. It was shown that the drying temperature had a significant impact on the penetration force, and increased the deformation force. Fauster et al. [29] showed that, in the case of freeze-dried strawberries and peppers, the use of pre-treatment led to a decrease in the hardness of the material compared to the control sample not treated with an electric field. The results were supported by the increasing number of pores caused by the action of PEF. The resulting pores lead to reduced material shrinkage and, at the same time, higher porosity, which gives the effect of a softer structure of the dried material.
The textural properties are influenced by the drying of plant tissue—when water evaporates, the material hardens, which increases the force needed to deform the tissue. Pectin also affects the hardness of dried fruit. During drying with hot air, pectin is solubilized in the plant tissue, which makes the dried product harder and, consequently, limits the tissue’s deformation [35].

5. Conclusions

The conducted research proved that the pulsed electric field used as a preliminary treatment before the hot-air drying process caused a change in the physical properties of the obtained dried products. Based on the study, the following conclusions were drawn:
1. The dry matter content in the dried material was influenced by the drying air temperature. The use of the highest electric field energy and the highest temperature allowed the highest dry substance content in the dried apples to be obtained.
2. The color change was influenced by both the pre-treatment (PEF) and the air-drying temperature, with the drying temperature being more important. Significant changes in the color of the dried material after the application of PEF were observed, with the color closest to that of the fresh material being that of the dried material after the application of PEF 1 kJ/kg, dried at 80 °C.
3. The PEF energy and air-drying temperature had no significant effect on the rehydration capacity, but the impact on the loss of soluble ingredients was important, with the temperature used having a greater impact. The temperature has a significant impact on the hygroscopic properties of dried apples.
4. The thermochemical properties of the obtained dried apples were similar for each variant, which indicates a lack of detailed changes in their chemical composition.
5. Apple dried at 80 °C after prior treatment of 3.5 kJ/kg was characterized by the highest hardness among the dried apples with PEF pre-treatment.
On the basis of the obtained results, it can be stated that the PEF treatment can be used to modify the quality of dried products. However, the use of specific temperatures for drying has an even greater impact on the quality of the final product. This means that the application of specific parameters of the treatment and drying process should be chosen based on the properties that want to be obtained for the final product.
Further research may concern the behavior of other apple varieties or plant raw materials using similar parameters of PEF treatment and hot-air-drying, as well as the use of PEF treatment in combination with hybrid drying techniques.

Author Contributions

Conceptualization, A.C. and M.N.; methodology, K.R. and M.N.; software, A.C. and M.N.; validation, A.C. and M.N.; formal analysis, A.C. and M.N.; investigation, K.R. and M.N.; resources, A.C. and M.N.; data curation, A.C. and M.N.; writing—original draft preparation, A.C., K.R., D.W.-R. and M.N.; writing—review and editing, A.C., K.R., D.W.-R. and M.N.; visualization, A.C. and M.N.; supervision, D.W.-R. and M.N.; project administration, M.N.; funding acquisition, M.N. All authors have read and agreed to the published version of the manuscript.

Funding

This project has received funding from transnational funding bodies, partners of the H2020 ERA-NETs SUSFOOD2 and CORE Organic Cofunds, under the Joint SUSFOOD2/CORE Organic Call 2019 (MILDSUSFRUIT), as well as from the National Centre for Research and Development (POLAND, decision DWM/SF-CO/31/2021). This research was performed using research equipment purchased as part of the “Food and Nutrition Centre-modernisation of the WULS campus to create a Food and Nutrition Research and Development Centre (CŻiŻ)”, co-financed by the European Union from the European Regional Development Fund under the Regional Operational Programme of the Mazowieckie Voivodeship for 2014–2020 (Project No. RPMA.01.01.00-14-8276/17).

Institutional Review Board Statement

Not applicable.

Informed Consent Statement

Not applicable.

Data Availability Statement

Data are contained within the article.

Acknowledgments

The authors would like to thank Weronika Socha and Artur Wiktor.

Conflicts of Interest

The authors declare no conflicts of interest.

References

  1. Liu, C.; Grimi, N.; Lebovka, N.; Vorobiev, E. Effects of Pulsed Electric Fields Treatment on Vacuum Drying of Potato Tissue. LWT 2018, 95, 289–294. [Google Scholar] [CrossRef]
  2. Vargas, L.; Kapoor, R.; Nemzer, B.; Feng, H. Application of different drying methods for evaluation of phytochemical content and physical properties of broccoli, kale, and spinach. LWT 2021, 15, 112892. [Google Scholar] [CrossRef]
  3. Ammelt, D.; Lammerskitten, A.; Wiktor, A.; Barba, F.J.; Töpfl, S.; Parniakov, O. The impact of pulsed electric fields on quality parameters of freeze-dried red beets and pineapples. Int. J. Food Sci. Technol. 2020, 56, 1777–1787. [Google Scholar] [CrossRef]
  4. Mello, R.E.; Fontana, A.; Mulet, A.; Correa, J.L.G.; Caler, J.A. PEF as pretreatment to ultrasound-assisted convective drying: Influence on quality parameters of orange peel. Innov. Food Sci. Emerg. Technol. 2021, 72, 102753. [Google Scholar] [CrossRef]
  5. Kanduser, M.; Miklavcic, D. Electroporation in biological cell and tissue: An overview. In Electrotechnologies for Extraction from Food Plants and Biomaterials; Vorobiev, E., Lebovka, N., Eds.; Food Engineering Series; Springer: New York, NY, USA, 2009; pp. 1–37. [Google Scholar]
  6. Aoude, C.; Lammerskitten, A.; Parniakov, O.; Zhang, R.; Grimi, N.; El Zakhem, H.; Vorobiev, E. Chapter 7—Equipment and recent advances in pulsed electric fields. In Innovative and Emerging Technologies in the Bio-Marine Food Sector; Garcia-Vaquero, M., Rajauria, G., Eds.; Academic Press: Cambridge, MA, USA, 2022; pp. 149–172. ISBN 9780128200964. [Google Scholar] [CrossRef]
  7. Oziembłowski, M.; Dróżdż, T.; Wrona, P. Oddziaływanie pulsacyjnych pól elektrycznych (PEF) na mikroorganizmy w kontekście technologii żywności. Przegląd Elektrotechniczny 2013, 89, 222–225. (In Polish) [Google Scholar]
  8. Lammerskitten, A.; Shorstkii, I.; Parniakov, O.; Mykhailyk, V.; Toepfl, S.; Rybak, K.; Dadan, M.; Nowacka, M.; Wiktor, A. The effect of different methods of mango drying assisted by a pulsed electric field on chemical and physical properties. J. Food Process Preserv. 2020, 44, 14973. [Google Scholar] [CrossRef]
  9. Yamakage, K.; Yamada, T.; Takahashi, K.; Takaki, K.; Komuro, M.; Sasaki, K.; Aoki, H.; Kamagata, J.; Koide, S.; Orikasa, T. Impact of pre-treatment with pulsed electric field on drying rate and changes in spinach quality during hot air drying. Innov. Food Sci. Emerg. Technol. 2021, 68, 102615. [Google Scholar] [CrossRef]
  10. Zhang, C.; Lyu, X.; Arshad, R.N.; Aadil, R.M.; Tong, Y.; Zhao, W.; Yang, R. Pulsed electric field as a promising technology for solid foods processing: A review. Food Chem. 2023, 403, 134367. [Google Scholar] [CrossRef]
  11. Nowak, D.; Jakubczyk, E. Effect of pulsed electric field pre-treatment and the freezing methods on the kinetics of the freeze-drying process of apple and its selected physical properties. Foods 2022, 11, 2407. [Google Scholar] [CrossRef]
  12. Wu, Y.; Zhang, D. Pulsed electric field enhanced freeze-drying of apple tissue. Czech J. Food Sci. 2019, 37, 432–438. [Google Scholar] [CrossRef]
  13. Ostermeier, R.; Parniakov, O.; Töpfl, S.; Jäger, H. Applicability of Pulsed Electric Field (PEF) Pre-Treatment for a Convective Two-Step Drying Process. Foods 2020, 9, 512. [Google Scholar] [CrossRef] [PubMed]
  14. Castagnini, J.M.; Iaccheri, E.; Tylewicz, U.; Dalla Rosa, M.; Rocculi, P. Pulsed electric fields effect on mechanical and sorption properties of dried apple tissue. Innov. Food Sci. Emerg. Technol. 2020, 65, 102442. [Google Scholar] [CrossRef]
  15. Matys, A.; Witrowa-Rajchert, D.; Parniakov, O.; Wiktor, A. Application of pulsed electric field prior to vacuum drying: Effect on drying time and quality of apple tissue. Res. Agric. Eng. 2022, 68, 1–9. [Google Scholar] [CrossRef]
  16. Wiktor, A.; Nowacka, M.; Dadan, M.; Rybak, K.; Lojkowski, W.; Chudoba, T.; Witrowa-Rajchert, D. The effect of pulsed electric field (PEF) on drying kinetics, color and microstructure of carrot. Dry. Technol. 2016, 34, 1286–1296. [Google Scholar] [CrossRef]
  17. Ciurzyńska, A.; Trusinska, M.; Rybak, K.; Wiktor, A.; Nowacka, M. The influence of pulsed electric field and air temperature on the course of hot-air drying and bioactive compounds of apple tissue. Molecules 2023, 28, 2970. [Google Scholar] [CrossRef]
  18. Horwitz, W. Official Methods of Analysis of AOAC International, 17th ed.; AOAC International: Gaithersburg, MD, USA, 2002. [Google Scholar]
  19. Smith, G.N. Total Color change (ΔE∗) is a poor estimator of total carotenoids lost during post-harvest storage of biofortified maize grains. Heliyon 2020, 6, e05173. [Google Scholar]
  20. Lewicki, P.P. Some remarks on rehydration of dried foods. J. Food Eng. 1998, 36, 81–87. [Google Scholar] [CrossRef]
  21. Liu, C.; Pirozzi, A.; Ferrari, G.; Vorobiev, E.; Grimi, N. Effects of pulsed electric fields on vacuum drying and quality characteristics of dried carrot. Food Bioprocess Technol. 2020, 13, 45–52. [Google Scholar] [CrossRef]
  22. Zlatanović, S.; Ostojić, S.; Micić, D.; Rankov, S.; Dodevska, M.; Vukosavljević, P.; Gorjanović, S. Thermal behaviour and degradation kinetics of apple pomace flours. Thermochim Acta 2019, 673, 17–25. [Google Scholar] [CrossRef]
  23. Dłużewska, E.; Marcianiak-Łukasiak, K. Textural features of gluten free breads. Acta Agrophys. 2014, 21, 433–443. (In Polish) [Google Scholar]
  24. Onwude, D.I.; Iranshahi, K.; Rubinetti, D.; Schudel, S.; Schemminger, J.; Martynenkoe, A.; Defraeye, T. How much do process parameters affect the residual quality attributes of dried fruits and vegetables for convective drying? Food Bioprocess Proc. 2022, 131, 176–190. [Google Scholar] [CrossRef]
  25. Senadeera, W.; Adiletta, G.; Önal, B.; Di Matteo, M.; Russo, P. Influence of different hot air drying temperatures on drying kinetics, shrinkage, and colour of persimmon slices. Foods 2020, 9, 101. [Google Scholar] [CrossRef]
  26. Briki, S.B.; Zitouni, B.; Bechaa, B.; Amiali, M. Comparison of convective and infrared heating as means of drying pomegranate arils (Punica granatum L.). Heat Mass Transf. 2019, 55, 3189–3199. [Google Scholar] [CrossRef]
  27. Calín-Sánchez, A.; Lipan, L.; Cano-Lamadrid, M.; Kharaghani, A.; Masztalerz, K.; Carbonell-Barrachina, A.A.; Figiel, A. Comparison of traditional and novel drying techniques and its effect on quality of fruits, vegetables and aromatic herbs. Foods 2020, 9, 1261. [Google Scholar] [CrossRef]
  28. Alam, R.; Lyng, J.G.; Frontuto, D.; Marra, F.; Cinquanta, L. Effect of pulsed electric field pretreatment on drying kinetics, color, and texture of parsnip and carrot. J. Food Sci. 2018, 83, 2159–2166. [Google Scholar] [CrossRef]
  29. Fauster, T.; Giancaterino, M.; Pittia, P.; Jaeger, H. Effect of pulsed electric field pretreatment on shrinkage, rehydration capacity and texture of freeze-dried plant materials. Food Sci. Technol. 2020, 121, 108937. [Google Scholar] [CrossRef]
  30. Caballero-Cerón, C.; Serment-Moreno, V.; Velazquez GTorres, J.A.; Welti-Chanes, J. Hygroscopic properties and glass transition of dehydrated mango, apple and banana. J. Food Sci. Technol. 2018, 55, 540–549. [Google Scholar] [CrossRef]
  31. Cheng, X.-C.; Cui, X.-Y.; Qin, Z.; Liu, H.-M.; Wang, X.-D.; Liu, Y.-L. Effect of drying pretreatment methods on structural features and antioxidant activities of brauns native lignin extracted from Chinese quince fruit. Process Biochem. 2021, 106, 70–77. [Google Scholar] [CrossRef]
  32. Wang, Z.; He, Z.; Zhao, Z.; Yi, S.; Mu, J. Influence of ultrasound-assisted extraction on the phyrolysis characteristics and kinetic parametrers of eucalyptus. Ultrasonifics Sonochem. 2017, 37, 47–55. [Google Scholar] [CrossRef]
  33. Guerrero, M.R.B.; da Silva Paula, M.M.; Zaragoza, M.M.; Gutiérrez, J.S.; Velderrain, V.G.; Ortiz, A.L.; Collins-Martínez, V. Thermogravimetric study on the pyrolysis kinetics of apple pomace as waste biomass. Int. J. Hydrogen Energy 2024, 39, 16619–16627. [Google Scholar] [CrossRef]
  34. Marzec, A.; Kowalska, H.; Kowalska, J.; Domian, E.; Lenart, A. Influence of pear variety and drying methods on the quality of dried fruit. Molecules 2020, 25, 5146. [Google Scholar] [CrossRef] [PubMed]
  35. Deng, Y.; Zhao, Y. Effect of pulsed vacuum and ultrasound osmopretreatments on glass transition temperature, texture, microstructure and calcium penetration of dried apples (Fuji). LWT 2008, 41, 1575–1585. [Google Scholar] [CrossRef]
Figure 1. Dry matter content of dried apples depending on the drying temperature and PEF pre-treatment parameters. The columns with different letters are significantly different (p < 0.05). Designations in Table 1.
Figure 1. Dry matter content of dried apples depending on the drying temperature and PEF pre-treatment parameters. The columns with different letters are significantly different (p < 0.05). Designations in Table 1.
Sustainability 16 07699 g001
Figure 2. Response surface results of the dry matter content, depending on the pulsed electric field intensity and the temperature, obtained in apple tissue subjected to different PEF pre-treatment intensities (1, 3.5, and 6 kJ/kg) and hot-air-drying at different temperatures (60, 70, and 80 °C). Experimental values are marked with points.
Figure 2. Response surface results of the dry matter content, depending on the pulsed electric field intensity and the temperature, obtained in apple tissue subjected to different PEF pre-treatment intensities (1, 3.5, and 6 kJ/kg) and hot-air-drying at different temperatures (60, 70, and 80 °C). Experimental values are marked with points.
Sustainability 16 07699 g002
Figure 3. The total color change [ΔE] of dried apple obtained using PEF pre-treatment with different electric field energies and drying at different temperatures. The columns with different letters in column are significantly different (p < 0.05). Designations in Table 1.
Figure 3. The total color change [ΔE] of dried apple obtained using PEF pre-treatment with different electric field energies and drying at different temperatures. The columns with different letters in column are significantly different (p < 0.05). Designations in Table 1.
Sustainability 16 07699 g003
Figure 4. Response surface results of the total color change [ΔE], depending on the pulsed electric field intensity and the temperature, obtained in apple tissue subjected to different PEF pre-treatment intensities (1, 3.5, and 6 kJ/kg) and hot air drying at different temperatures (60, 70, and 80 °C). Experimental values are marked with points.
Figure 4. Response surface results of the total color change [ΔE], depending on the pulsed electric field intensity and the temperature, obtained in apple tissue subjected to different PEF pre-treatment intensities (1, 3.5, and 6 kJ/kg) and hot air drying at different temperatures (60, 70, and 80 °C). Experimental values are marked with points.
Sustainability 16 07699 g004
Figure 5. Response surface results of (a) the rehydration capacity [RR] and (b) loss of soluble substances [SSL], depending on the pulsed electric field intensity and the temperature obtained in apple tissue subjected to different PEF pre-treatment intensities (1, 3.5, and 6 kJ/kg) and hot-air-drying at different temperatures (60, 70, and 80 °C). Experimental values are marked with points.
Figure 5. Response surface results of (a) the rehydration capacity [RR] and (b) loss of soluble substances [SSL], depending on the pulsed electric field intensity and the temperature obtained in apple tissue subjected to different PEF pre-treatment intensities (1, 3.5, and 6 kJ/kg) and hot-air-drying at different temperatures (60, 70, and 80 °C). Experimental values are marked with points.
Sustainability 16 07699 g005
Figure 6. Water content after 24 h of hygroscopic testing of dried apple obtained using PEF pre-treatment with different electric field energies and drying at different temperatures. The columns with different letters are significantly different (p < 0.05). Designations in Table 1.
Figure 6. Water content after 24 h of hygroscopic testing of dried apple obtained using PEF pre-treatment with different electric field energies and drying at different temperatures. The columns with different letters are significantly different (p < 0.05). Designations in Table 1.
Sustainability 16 07699 g006
Figure 7. Response surface results of water content after 24 h of hygroscopic testing, depending on the pulsed electric field intensity and the temperature, obtained in apple tissue subjected to different PEF pre-treatment intensities (1, 3.5, and 6 kJ/kg) and hot- air- drying at different temperatures (60, 70, and 80 °C). Experimental values are marked with points.
Figure 7. Response surface results of water content after 24 h of hygroscopic testing, depending on the pulsed electric field intensity and the temperature, obtained in apple tissue subjected to different PEF pre-treatment intensities (1, 3.5, and 6 kJ/kg) and hot- air- drying at different temperatures (60, 70, and 80 °C). Experimental values are marked with points.
Sustainability 16 07699 g007
Figure 8. Mass loss (TGA) and derivative of mass loss (DTG) during the pyrolysis process of dried apples obtained by pre-treatment in the form of PEF with different energy and drying using different air-drying temperatures.
Figure 8. Mass loss (TGA) and derivative of mass loss (DTG) during the pyrolysis process of dried apples obtained by pre-treatment in the form of PEF with different energy and drying using different air-drying temperatures.
Sustainability 16 07699 g008
Figure 9. Response surface of the penetration force (Fmax) of dried apples subjected to different PEF pre-treatment intensities (1, 3.5, and 6 kJ/kg) and hot-air-drying at different temperatures (60, 70, and 80 °C). Experimental values are marked with points.
Figure 9. Response surface of the penetration force (Fmax) of dried apples subjected to different PEF pre-treatment intensities (1, 3.5, and 6 kJ/kg) and hot-air-drying at different temperatures (60, 70, and 80 °C). Experimental values are marked with points.
Sustainability 16 07699 g009
Table 1. Symbols of the obtained dried apples depending on the PEF pre-treatment parameters and hot-air-drying temperature and time necessary to dry apples to moisture ratio equal 0.01.
Table 1. Symbols of the obtained dried apples depending on the PEF pre-treatment parameters and hot-air-drying temperature and time necessary to dry apples to moisture ratio equal 0.01.
SymbolsProcess ParametersDrying Time to MR = 0.01
Temperature [°C]PEF Energy [kJ/kg] [min]
Control 60 °C60-220
PEF 1, 60 °C601195
PEF 3.5, 60 °C603.5175
PEF 6, 60 °C606185
Control 70 °C70-175
PEF 1, 70 °C701185
PEF 3.5, 70 °C703.5168
PEF 6, 70 °C706110
Control 80 °C80-130
PEF 1, 80 °C801120
PEF 3.5, 80 °C803.5135
PEF 6, 80 °C806120
Table 2. Two-way analysis of variance and the effect (η2) of the drying air temperature and PEF pre-treatment parameters.
Table 2. Two-way analysis of variance and the effect (η2) of the drying air temperature and PEF pre-treatment parameters.
PropertiesEffect (η2)
Temperature [°C]PEF Energy [kJ/kg]
Dry matter content [%]0.939 (p < 0.05)0.354 (p > 0.05)
ΔE [-] total color change0.706 (p < 0.05)0.399 (p < 0.05)
RR [-] rehydration coefficient0.222 (p > 0.05)0.048 (p > 0.05)
SSL [-] relative dry matter loss0.519 (p < 0.05)0.385 (p < 0.05)
Hygroscopic properties [g H2O/100 g d.m.]0.677 (p < 0.05)0.336 (p < 0.05)
Fmax [N] maximum force0.611 (p < 0.05)0.001 (p > 0.05)
Table 3. Rehydration properties (RR) and loss of soluble components (SSL) of dried apple obtained using a pulsed electric field with energies of 1, 3.5, and 6 kJ/kg and hot-air-drying at temperatures of 60, 70, and 80 °C. The letters a–e in the upper index indicates belonging to homogeneous group, between which no statistically significant differences were found (p < 0.05).
Table 3. Rehydration properties (RR) and loss of soluble components (SSL) of dried apple obtained using a pulsed electric field with energies of 1, 3.5, and 6 kJ/kg and hot-air-drying at temperatures of 60, 70, and 80 °C. The letters a–e in the upper index indicates belonging to homogeneous group, between which no statistically significant differences were found (p < 0.05).
SymbolsRR [-] ± SDSSL [-] ± SD
Control 60 °C2.73 ± 0.10 a0.68 ± 0.02 abc
PEF 1, 60 °C2.60 ± 0.06 a0.72 ± 0.02 cde
PEF 3.5, 60 °C2.60 ± 0.06 a0.69 ± 0.02 bcde
PEF 6, 60 °C2.59 ± 0.09 a0.70 ± 0.03 abcde
Control 70 °C2.73 ± 0.06 a0.68 ± 0.01 abcd
PEF 1, 70 °C2.56 ± 0.06 a0.71 ± 0.02 de
PEF 3.5, 70 °C2.67 ± 0.06 a0.71 ± 0.01 e
PEF 6, 70 °C2.77 ± 0.09 a0.67 ± 0.02 e
Control 80 °C2.84 ± 0.04 a0.61 ± 0.01 a
PEF 1, 80 °C2.73 ± 0.10 a0.68 ± 0.02 cde
PEF 3.5, 80 °C2.62 ± 0.16 a0.73 ± 0.04 abcde
PEF 6, 80 °C2.73 ± 0.19 a0.70 ± 0.05 ab
Table 4. Penetration force (Fmax) of dried apples obtained after PEF pre-treatment using different electric field energies and drying in different air-drying temperatures. The letters a–f in the upper index indicates belonging to homogeneous group, between which no statistically significant differences were found (p < 0.05).
Table 4. Penetration force (Fmax) of dried apples obtained after PEF pre-treatment using different electric field energies and drying in different air-drying temperatures. The letters a–f in the upper index indicates belonging to homogeneous group, between which no statistically significant differences were found (p < 0.05).
SymbolsFmax [N]SD
Control 60 °C7.88 abc4.67
PEF 1, 60 °C6.21 ab2.01
PEF 3.5, 60 °C5.44 a1.94
PEF 6, 60 °C3.95 a1.17
Control 70 °C7.88 a4.67
PEF 1, 70 °C12.66 bcde3.69
PEF 3.5, 70 °C13.30 de4.88
PEF 6, 70 °C9.15 abcd1.64
Control 80 °C17.20 ef10.78
PEF 1, 80 °C14.52 cdef4.15
PEF 3.5, 80 °C13.86 cde2.01
PEF 6, 80 °C21.33 f8.65
Disclaimer/Publisher’s Note: The statements, opinions and data contained in all publications are solely those of the individual author(s) and contributor(s) and not of MDPI and/or the editor(s). MDPI and/or the editor(s) disclaim responsibility for any injury to people or property resulting from any ideas, methods, instructions or products referred to in the content.

Share and Cite

MDPI and ACS Style

Ciurzyńska, A.; Rybak, K.; Witrowa-Rajchert, D.; Nowacka, M. Exploring the Influence of Pulsed Electric Field and Temperature on Key Physical Attributes in Sustainable Hot-Air-Dried Apple Tissue. Sustainability 2024, 16, 7699. https://doi.org/10.3390/su16177699

AMA Style

Ciurzyńska A, Rybak K, Witrowa-Rajchert D, Nowacka M. Exploring the Influence of Pulsed Electric Field and Temperature on Key Physical Attributes in Sustainable Hot-Air-Dried Apple Tissue. Sustainability. 2024; 16(17):7699. https://doi.org/10.3390/su16177699

Chicago/Turabian Style

Ciurzyńska, Agnieszka, Katarzyna Rybak, Dorota Witrowa-Rajchert, and Małgorzata Nowacka. 2024. "Exploring the Influence of Pulsed Electric Field and Temperature on Key Physical Attributes in Sustainable Hot-Air-Dried Apple Tissue" Sustainability 16, no. 17: 7699. https://doi.org/10.3390/su16177699

APA Style

Ciurzyńska, A., Rybak, K., Witrowa-Rajchert, D., & Nowacka, M. (2024). Exploring the Influence of Pulsed Electric Field and Temperature on Key Physical Attributes in Sustainable Hot-Air-Dried Apple Tissue. Sustainability, 16(17), 7699. https://doi.org/10.3390/su16177699

Note that from the first issue of 2016, this journal uses article numbers instead of page numbers. See further details here.

Article Metrics

Back to TopTop