The Impact of Innovative and Low-Carbon Pilot Cities on Green Innovation
Abstract
1. Introduction
2. Literature Review
2.1. Innovative Cities vs. Innovative Development
2.2. Low-Carbon Pilot Cities vs. Green Development
2.3. Dual-Pilot Policies vs. Green Innovation
2.4. Inadequacies and Improvement of Existing Research
3. Data and Modeling
3.1. Study Design
3.2. Selection of Variables
3.2.1. Explained Variable: Green Innovation
3.2.2. Explanatory Variables: Innovative Cities and Low-Carbon Pilot City Policies
3.2.3. Control Variables
- (1)
- Industrial structure: share of secondary industry
- (2)
- Market environment: total retail sales of consumer goods
- (3)
- Land use: urban construction land area
- (4)
- Standard of living: average wage of employed workers
3.2.4. Intermediate Variables
3.3. Research Modeling
3.3.1. DID Modeling
3.3.2. Modeling Intermediary Effects
3.4. Data Sources
4. Analysis of the Effects of the Dual-Policy Pilot
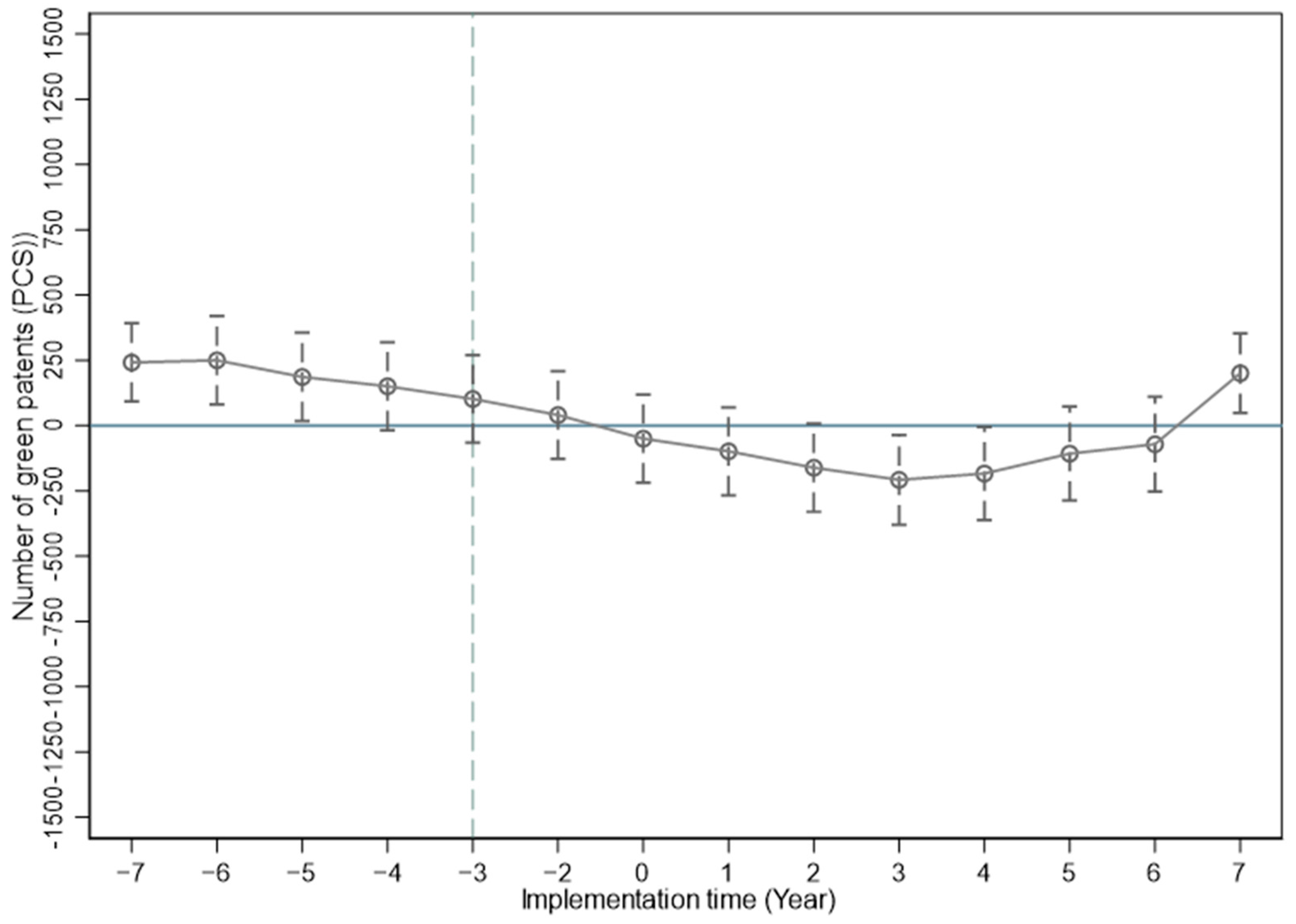
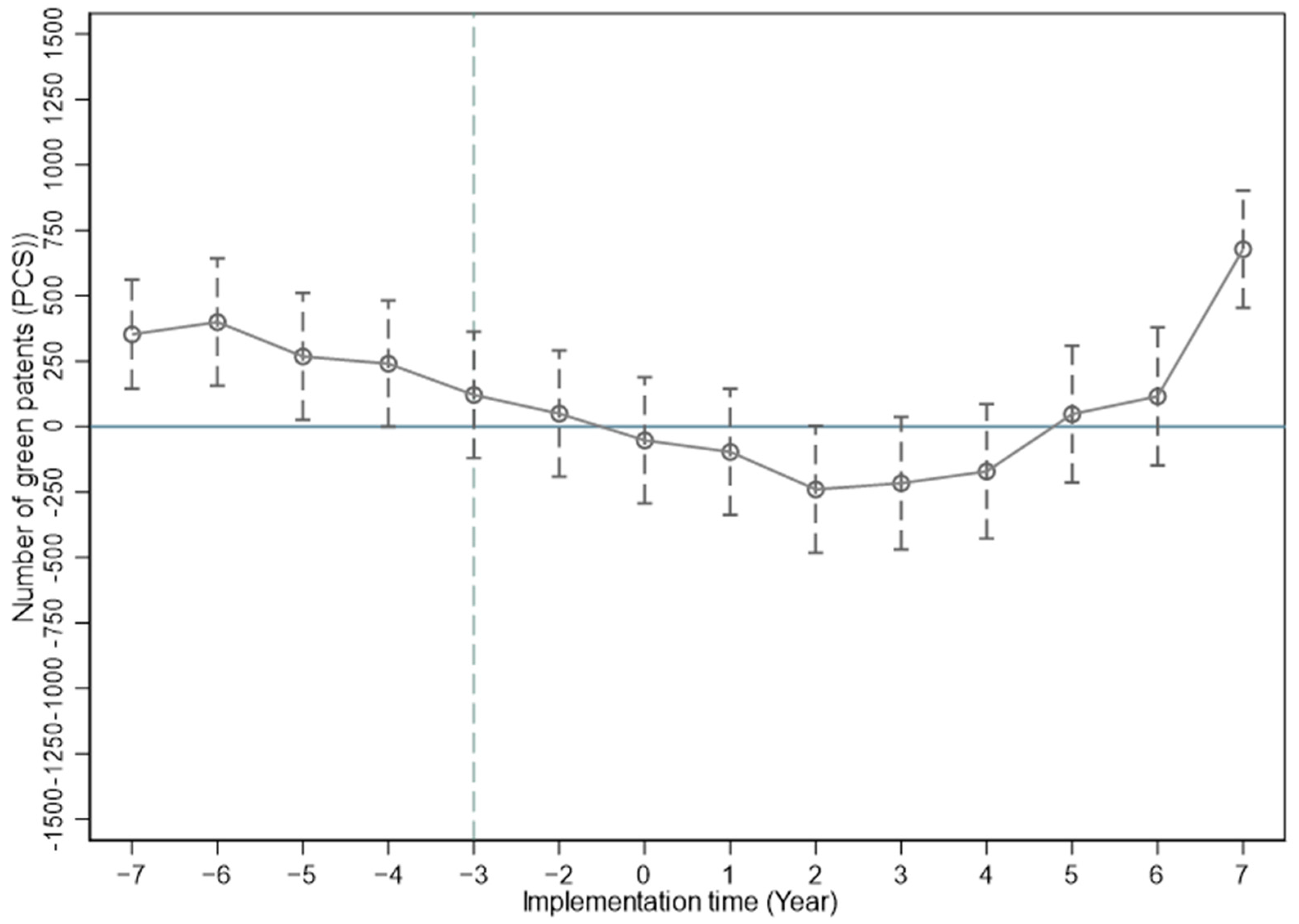
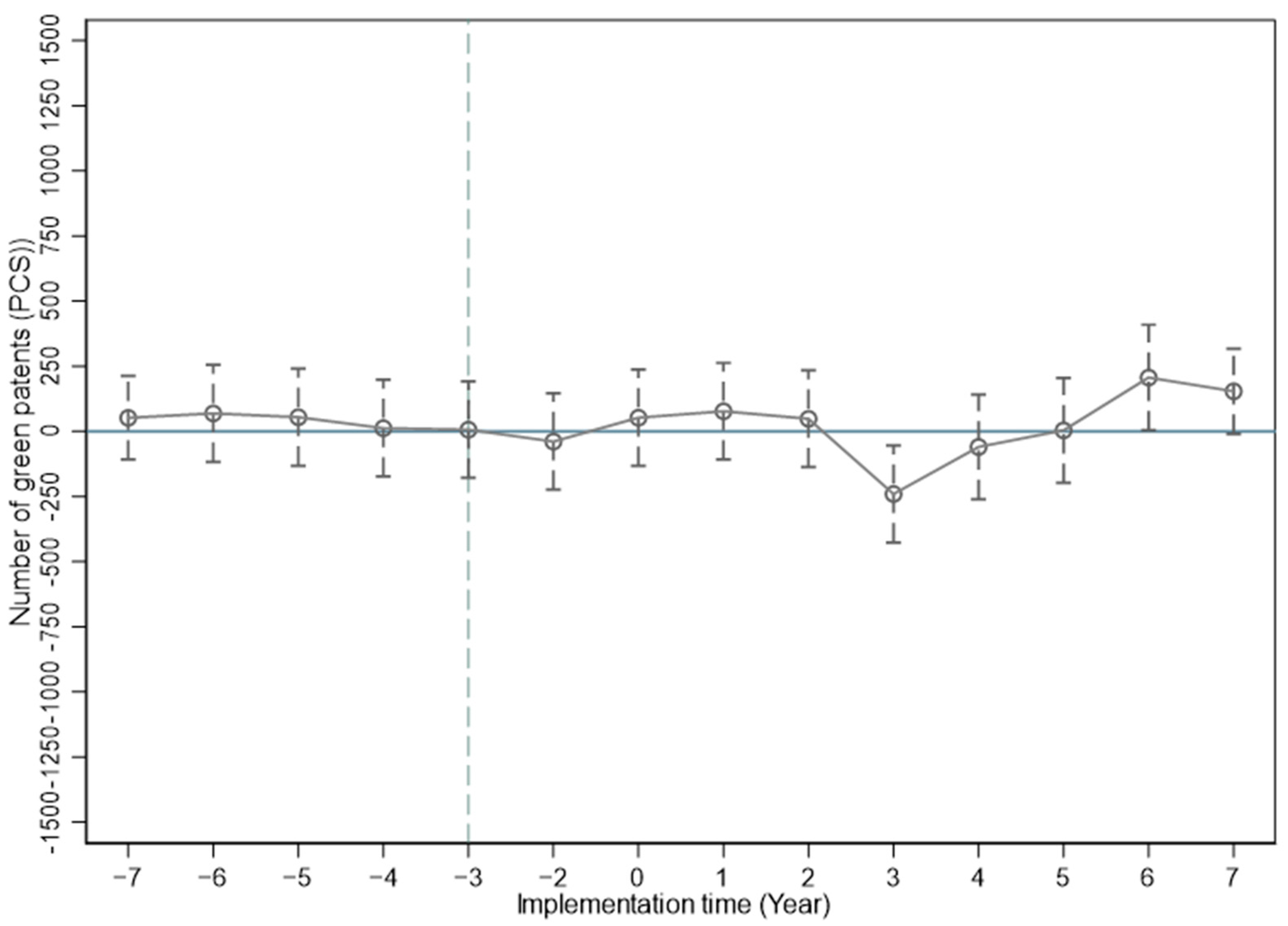
4.1. Parallel Trend Test
4.2. Benchmark Regression
4.3. Robustness Tests
- (1)
- Addition of Control Variables
- (2)
- Replacement of Control Variables
- (3)
- Placebo Test
- (4)
- Controlling for time fixed effects
4.4. Impact Mechanism Test
4.5. Analysis of Regional Heterogeneity
5. Individual Policy Tests
5.1. Tests of the Impact of Individual Policy in Their Respective Dimensions
- (1)
- Testing the impact of innovative city policy on innovation development
- (2)
- Testing the impact of a low-carbon pilot city on green development
5.2. Non-Superposition Test for Individual Policy Implementation
5.3. Testing Individual Policies for Green Innovation
- (1)
- Innovative cities’ test for green innovation
- (2)
- Low-carbon pilot cities as a test for green innovation
6. Conclusions
6.1. Main Findings
- (1)
- In terms of impact mechanisms, the stepwise test reveals that the dual-pilot policy can foster green innovation in cities via four channels: enhancing the regional economy, financial level, employment level, and educational level in the city.
- (2)
- A supplementary test of individual pilot policies proved that innovative cities and low-carbon pilot city policies, correspondingly, successfully encouraged green growth and innovation in cities, supporting the validity of the policy selection process. Further evidence that only the execution of dual-pilot policy may considerably advance the development of urban green innovation was obtained by evaluating non-overlapping and single-pilot policy on the subject of urban green innovation.
6.2. Discussion
6.3. Policy Recommendations
6.4. Limitations
Author Contributions
Funding
Institutional Review Board Statement
Informed Consent Statement
Data Availability Statement
Conflicts of Interest
References
- Lauer, J.; Liefner, I. State-led innovation at the city level: Policy measures to promote new energy vehicles in Shenzhen, China. Geogr. Rev. 2019, 109, 436–456. [Google Scholar] [CrossRef]
- Rothwell, R. The impact of regulation on innovation: Some US data. Technol. Forecast. Soc. Change 1980, 17, 7–34. [Google Scholar] [CrossRef]
- Wang, Q.J.; Feng, G.F.; Wang, H.J.; Chang, C.P. The impacts of democracy on innovation: Revisited evidence. Technovation 2021, 108, 102333. [Google Scholar] [CrossRef]
- Guo, J.; Zhou, Y.; Ali, S.; Shahzad, U.; Cui, L. Exploring the role of green innovation and investment in energy for environmental quality: An empirical appraisal from provincial data of China. J. Environ. Manag. 2021, 292, 112779. [Google Scholar] [CrossRef] [PubMed]
- Hou, G.; Chen, J.; Lu, B.; Chen, S.; Cui, E.; Naguib, H.M.; Guo, M.Z.; Zhang, Q. Composition design and pilot study of an advanced energy-saving and low-carbon rankinite clinker. Cem. Concr. Res. 2020, 127, 105926. [Google Scholar] [CrossRef]
- Li, H.; Lu, J. Temperature change and industrial green innovation: Cost increasing or responsibility forcing? J. Environ. Manag. 2023, 325, 116492. [Google Scholar] [CrossRef] [PubMed]
- Li, L.; Li, M.; Ma, S.; Zheng, Y.; Pan, C. Does the construction of innovative cities promote urban green innovation? J. Environ. Manag. 2022, 318, 115605. [Google Scholar] [CrossRef]
- Frondel, M.; Horbach, J.; Rennings, K. What triggers environmental management and innovation? Empirical evidence for Germany. Ecol. Econ. 2008, 66, 153–160. [Google Scholar] [CrossRef]
- Fang, S.; Zhang, L. Adoption of green innovations in project-based firms: An integrating view of cognitive and emotional framing. J. Environ. Manag. 2021, 279, 111612. [Google Scholar] [CrossRef]
- Naguib, H.M.; Zaki, E.G.; Abdelsattar, D.E.; Dhmees, A.S.; Azab, M.A.; Elsaeed, S.M.; Kandil, U.F. Environmentally friendly polymer concrete: Polymer treatment, processing, and investigating carbon footprint with climate change. ACS Omega 2023, 8, 8804–8814. [Google Scholar] [CrossRef]
- Liu, X.; Liu, F.; Ren, X. Firms’ digitalization in manufacturing and the structure and direction of green innovation. J. Environ. Manag. 2023, 335, 117525. [Google Scholar] [CrossRef] [PubMed]
- He, N.; Zeng, S.; Jin, G. Achieving synergy between carbon mitigation and pollution reduction: Does green finance matter? J. Environ. Manag. 2023, 342, 118356. [Google Scholar] [CrossRef]
- Wei, L.; Lin, B.; Zheng, Z.; Wu, W.; Zhou, Y. Does fiscal expenditure promote green technological innovation in China? Evidence from Chinese cities. Environ. Impact Assess. Rev. 2023, 98, 106945. [Google Scholar] [CrossRef]
- Hu, S.; Liu, S. Do the coupling effects of environmental regulation and R&D subsidies work in the development of green innovation? Empirical evidence from China. Clean Technol. Environ. Policy 2019, 21, 1739–1749. [Google Scholar]
- Liu, B.; Li, Z.; Yang, X.; Wang, J.; Qiu, Z. National innovative city and green technology progress: Empirical evidence from China. Environ. Sci. Pollut. Res. 2024, 31, 36311–36328. [Google Scholar] [CrossRef]
- Jiang, Y.; Xu, J.; Wang, G. Trade in green patents: How do green technologies flow in China? J. Technol. Transf. 2024, 49, 823–856. [Google Scholar] [CrossRef]
- Li, K.; Lin, B. Economic growth model, structural transformation, and green productivity in China. Appl. Energy 2017, 187, 489–500. [Google Scholar] [CrossRef]
- Clerici, A.; Cova, B.; Callegari, G. Decarbonization of the electrical power sector in Europe: An asset, an opportunity or a problem? Energy Environ. 2015, 26, 127–142. [Google Scholar] [CrossRef]
- Lin, G.T.; Shen, Y.C.; Chou, J. National innovation policy and performance: Comparing the small island countries of Taiwan and Ireland. Technol. Soc. 2010, 32, 161–172. [Google Scholar] [CrossRef]
- Wonglimpiyarat, J. Government programmes in financing innovations: Comparative innovation system cases of Malaysia and Thailand. Technol. Soc. 2011, 33, 156–164. [Google Scholar] [CrossRef]
- Yang, S.; Jahanger, A.; Hossain, M.R.; Wang, Y.; Balsalobre-Lorente, D. Enhancing export product quality through innovative cities: A firm-level quasi-natural experiment in China. Econ. Anal. Policy 2023, 79, 462–478. [Google Scholar] [CrossRef]
- Gao, K.; Yuan, Y. Government intervention, spillover effect and urban innovation performance: Empirical evidence from national innovative city pilot policy in China. Technol. Soc. 2022, 70, 102035. [Google Scholar] [CrossRef]
- Zhang, Y.; Abbas, M.; Koura, Y.H.; Su, Y.; Iqbal, W. The impact trilemma of energy prices, taxation, and population on industrial and residential greenhouse gas emissions in Europe. Environ. Sci. Pollut. Res. 2021, 28, 6913–6928. [Google Scholar] [CrossRef] [PubMed]
- Zeng, N.; Ding, Y.; Pan, J.; Wang, H.; Gregg, J. Climate change--the Chinese challenge. Science 2008, 319, 730–731. [Google Scholar] [CrossRef] [PubMed]
- Shuai, C.; Shen, L.; Jiao, L.; Wu, Y.; Tan, Y. Identifying key impact factors on carbon emission: Evidences from panel and time-series data of 125 countries from 1990 to 2011. Appl. Energy 2017, 187, 310–325. [Google Scholar] [CrossRef]
- Gomi, K.; Shimada, K.; Matsuoka, Y. A low-carbon scenario creation method for a local-scale economy and its application in Kyoto city. Energy Policy 2010, 38, 4783–4796. [Google Scholar] [CrossRef]
- Yan, D.; Liu, C.; Li, P. Effect of carbon emissions and the driving mechanism of economic growth target setting: An empirical study of provincial data in China. J. Clean. Prod. 2023, 415, 137721. [Google Scholar] [CrossRef]
- Yu, Z.; Wang, Z.; Ma, L.; Ma, M. Energy-saving targets and carbon neutrality: A perspective on carbon emissions and carbon substitution in 288 Chinese cities. J. Environ. Manag. 2024, 356, 120523. [Google Scholar] [CrossRef] [PubMed]
- Dong, F.; Li, Y.; Qin, C.; Zhang, X.; Chen, Y.; Zhao, X.; Wang, C. Information infrastructure and greenhouse gas emission performance in urban China: A difference-in-differences analysis. J. Environ. Manag. 2022, 316, 115252. [Google Scholar] [CrossRef]
- Lan, J.; Li, Q.; Zheng, Y.; Liu, Z. The impact of the Low-Carbon City Pilots programme on industrial land transfer by local governments in China. Econ. Anal. Policy 2023, 77, 824–842. [Google Scholar] [CrossRef]
- Li, J.; Fang, L.; Chen, S.; Mao, H. Can low-carbon pilot policy improve atmospheric environmental performance in China? A quasi-natural experiment approach. Environ. Impact Assess. Rev. 2022, 96, 106807. [Google Scholar] [CrossRef]
- Zhao, S.; Zhang, L.; An, H.; Peng, L.; Zhou, H.; Hu, F. Has China’s low-carbon strategy pushed forward the digital transformation of manufacturing enterprises? Evidence from the low-carbon city pilot policy. Environ. Impact Assess. Rev. 2023, 102, 107184. [Google Scholar] [CrossRef]
- Huo, W.; Qi, J.; Yang, T.; Liu, J.; Liu, M.; Zhou, Z. Effects of China’s pilot low-carbon city policy on carbon emission reduction: A quasi-natural experiment based on satellite data. Technol. Forecast. Soc. Change 2022, 175, 121422. [Google Scholar] [CrossRef]
- Zhou, Y.; Li, S. Can the innovative-city-pilot policy promote urban innovation? An empirical analysis from China. J. Urban Aff. 2021, 45, 1679–1697. [Google Scholar] [CrossRef]
- Zhu, Y.; Zhao, R. The impact of broadband China and low-carbon pilot on China’s urban carbon emissions. Energy Environ. 2024. [Google Scholar] [CrossRef]
- Dente, B.; Coletti, P. Measuring governance in urban innovation. Local Gov. Stud. 2011, 37, 43–56. [Google Scholar] [CrossRef]
- Landry, C. The Creative City: A Toolkit for Urban Innovators; Earthscan: Barcelona, Spain, 2012. [Google Scholar]
- Shi, D.; Ding, H.; Wei, P.; Liu, J. Can smart city construction reduce environmental pollution. China Ind. Econ. 2018, 6, 117–135. [Google Scholar]
- Zeng, J.; Ning, Z.; Lassala, C.; Ribeiro-Navarrete, S. Effect of innovative-city pilot policy on industry–university–research collaborative innovation. J. Bus. Res. 2023, 162, 113867. [Google Scholar] [CrossRef]
- Zhao, Z.; Zheng, Y.; Chen, Y.; Ye, C.; He, Z. Research on the impact of innovative city construction on financial development: Evidence from China. Discret. Dyn. Nat. Soc. 2021, 2021, 1–10. [Google Scholar] [CrossRef]
- Ramírez, R.B.; Arellano, R.M.; Gómez, L.; Rosillo, V.L.; Sandoval, C.G. HoD Detector, a System to Create Indicators about the Happiness of Citizens in a Smart City: Case of Study—GDL Smart City. J. Softw. Eng. Appl. 2016, 9, 524–532. [Google Scholar] [CrossRef][Green Version]
- Wang, S.; Wang, J.; Wei, C.; Wang, X.; Fan, F. Collaborative innovation efficiency: From within cities to between cities—Empirical analysis based on innovative cities in China. Growth Change 2021, 52, 1330–1360. [Google Scholar] [CrossRef]
- Caragliu, A.; Del Bo, C.F. Smart innovative cities: The impact of Smart City policies on urban innovation. Technol. Forecast. Soc. Change 2019, 142, 373–383. [Google Scholar] [CrossRef]
- Fan, M.; Zhang, Z.; Wei, Y.; Sun, S. Does innovative city pilot policy improve carbon reduction? Quasi-experimental evidence from China. Environ. Res. 2024, 119748. [Google Scholar] [CrossRef]
- Xiao, D.; Fan, J.; Wang, W.; Wang, J.; Hou, L. Innovation city and low-carbon future: A quasinatural experiment from China. Environ. Sci. Pollut. Res. 2023, 30, 98004–98019. [Google Scholar] [CrossRef] [PubMed]
- Liu, S.; Hou, P.; Gao, Y.; Tan, Y. Innovation and green total factor productivity in China: A linear and nonlinear investigation. Environ. Sci. Pollut. Res. 2022, 29, 12810–12831. [Google Scholar] [CrossRef]
- Yang, L.; Li, Y. Low-carbon city in China. Sustain. Cities Soc. 2013, 9, 62–66. [Google Scholar] [CrossRef]
- Cai, W.; Song, X.; Zhang, P.; Xin, Z.; Zhou, Y.; Wang, Y.; Wei, W. Carbon emissions and driving forces of an island economy: A case study of Chongming Island, China. J. Clean. Prod. 2020, 254, 120028. [Google Scholar] [CrossRef]
- Peng, Y.; Bai, X. Experimenting towards a low-carbon city: Policy evolution and nested structure of innovation. J. Clean. Prod. 2018, 174, 201–212. [Google Scholar] [CrossRef]
- Liu, Z.L.; Dai, Y.X.; Dong, C.G.; Qi, Y. Low-carbon city: Concepts, international practice and implications for China. Urban Stud. 2009, 16, 1–7. [Google Scholar]
- Zheng, J.; Shao, X.; Liu, W.; Kong, J.; Zuo, G. The impact of the pilot program on industrial structure upgrading in low-carbon cities. J. Clean. Prod. 2021, 290, 125868. [Google Scholar] [CrossRef]
- Liu, X.; Xu, H. Does low-carbon pilot city policy induce low-carbon choices in residents’ living: Holistic and single dual perspective. J. Environ. Manag. 2022, 324, 116353. [Google Scholar] [CrossRef] [PubMed]
- Wang, Z.; Liang, F.; Li, C.; Xiong, W.; Chen, Y.; Xie, F. Does China’s low-carbon city pilot policy promote green development? Evidence from the digital industry. J. Innov. Knowl. 2023, 8, 100339. [Google Scholar] [CrossRef]
- Yin, H.; Qian, Y.; Zhang, B.; Pérez, R. Urban construction and firm green innovation: Evidence from China’s low-carbon pilot city initiative. Pac.-Basin Financ. J. 2023, 80, 102070. [Google Scholar] [CrossRef]
- Liu, F. The impact of China’s low-carbon city pilot policy on carbon emissions: Based on the multi-period DID model. Environ. Sci. Pollut. Res. 2023, 30, 81745–81759. [Google Scholar] [CrossRef] [PubMed]
- Yang, S.; Jahanger, A.; Hossain, M.R. How effective has the low-carbon city pilot policy been as an environmental intervention in curbing pollution? Evidence from Chinese industrial enterprises. Energy Econ. 2023, 118, 106523. [Google Scholar] [CrossRef]
- Yu, Y.; Zhang, N. Low-carbon city pilot and carbon emission efficiency: Quasi-experimental evidence from China. Energy Econ. 2021, 96, 105125. [Google Scholar] [CrossRef]
- Chen, H.; Guo, W.; Feng, X.; Wei, W.; Liu, H.; Feng, Y.; Gong, W. The impact of low-carbon city pilot policy on the total factor productivity of listed enterprises in China. Resour. Conserv. Recycl. 2021, 169, 105457. [Google Scholar] [CrossRef]
- Wang, C.A.; Liu, X.; Li, H.; Yang, C. Analyzing the impact of low-carbon city pilot policy on enterprises’ labor demand: Evidence from China. Energy Econ. 2023, 124, 106676. [Google Scholar] [CrossRef]
- Zhu, C.; Lee, C.C. The effects of low-carbon pilot policy on technological innovation: Evidence from prefecture-level data in China. Technol. Forecast. Soc. Chang. 2022, 183, 121955. [Google Scholar] [CrossRef]
- Huang, Y.; Wang, Y. How does high-speed railway affect green innovation efficiency? A perspective of innovation factor mobility. J. Clean. Prod. 2020, 265, 121623. [Google Scholar] [CrossRef]
- Gao, X.; Wang, S.; Ahmad, F.; Chandio, A.A.; Ahmad, M.; Xue, D. The nexus between misallocation of land resources and green technological innovation: A novel investigation of Chinese cities. Clean Technol. Environ. Policy 2021, 23, 2101–2115. [Google Scholar] [CrossRef]
- Alvarez-Herranz, A.; Balsalobre-Lorente, D.; Shahbaz, M.; Cantos, J.M. Energy innovation and renewable energy consumption in the correction of air pollution levels. Energy Policy 2017, 105, 386–397. [Google Scholar] [CrossRef]
- Luo, S.; Yimamu, N.; Li, Y.; Wu, H.; Irfan, M.; Hao, Y. Digitalization and sustainable development: How could digital economy development improve green innovation in China? Bus. Strategy Environ. 2023, 32, 1847–1871. [Google Scholar] [CrossRef]
- Liu, B.; Gan, L.; Huang, K.; Hu, S. The impact of Low-Carbon City Pilot Policy on Corporate Green Innovation: Evidence from China. Financ. Res. Lett. 2023, 58, 104055. [Google Scholar] [CrossRef]
- Du, M.; Antunes, J.J.; Wanke, P.F.; Chen, Z. Ecological efficiency assessment under the construction of low-carbon city: A perspective of green technology innovation. J. Environ. Plan. Manag. 2021, 65, 1727–1752. [Google Scholar] [CrossRef]
- Miao, C.L.; Duan, M.M.; Zuo, Y.; Wu, X.Y. Spatial heterogeneity and evolution trend of regional green innovation efficiency--an empirical study based on panel data of industrial enterprises in China’s provinces. Energy Policy 2021, 156, 112370. [Google Scholar] [CrossRef]
- Mirza, N.; Umar, M.; Afzal, A.; Firdousi, S.F. The role of fintech in promoting green finance, and profitability: Evidence from the banking sector in the euro zone. Econ. Anal. Policy 2023, 78, 33–40. [Google Scholar] [CrossRef]
- Shen, L.; Du, X.; Cheng, G.; Shi, F.; Wang, Y. Temporal-spatial evolution analysis on low carbon city performance in the context of China. Environ. Impact Assess. Rev. 2021, 90, 106626. [Google Scholar] [CrossRef]
- Wang, J.; Deng, K. Impact and mechanism analysis of smart city policy on urban innovation: Evidence from China. Econ. Anal. Policy 2022, 73, 574–587. [Google Scholar] [CrossRef]
- Lv, C.; Shao, C.; Lee, C.C. Green technology innovation and financial development: Do environmental regulation and innovation output matter? Energy Econ. 2021, 98, 105237. [Google Scholar] [CrossRef]
- Lin, B.; Ma, R. How does digital finance influence green technology innovation in China? Evidence from the financing constraints perspective. J. Environ. Manag. 2022, 320, 115833. [Google Scholar] [CrossRef] [PubMed]
- Malik, M.S.; Ali, K.; Kausar, N.; Chaudhry, M.A. Enhancing environmental performance through green hrm and green innovation: Examining the mediating role of green creativity and moderating role of green shared vision. Pak. J. Commer. Soc. Sci. 2021, 15, 265–285. [Google Scholar]
- Dong, F.; Li, Y.; Qin, C.; Sun, J. How industrial convergence affects regional green development efficiency: A spatial conditional process analysis. J. Environ. Manag. 2021, 300, 113738. [Google Scholar] [CrossRef]
- Chen, F.; Wang, L.; Gu, Q.; Wang, M.; Ding, X. Nexus between natural resources, financial development, green innovation and environmental sustainability in China: Fresh insight from novel quantile ARDL. Resour. Policy 2022, 79, 102955. [Google Scholar] [CrossRef]
- Bai, R.; Lin, B. Green finance and green innovation: Theoretical analysis based on game theory and empirical evidence from China. Int. Rev. Econ. Financ. 2024, 89, 760–774. [Google Scholar] [CrossRef]
- Du, G.; Yu, M.; Sun, C.; Han, Z. Green innovation effect of emission trading policy on pilot areas and neighboring areas: An analysis based on the spatial econometric model. Energy Policy 2021, 156, 112431. [Google Scholar] [CrossRef]
- Xu, L.; Fan, M.; Yang, L.; Shao, S. Heterogeneous green innovations and carbon emission performance: Evidence at China’s city level. Energy Econ. 2021, 99, 105269. [Google Scholar] [CrossRef]
- Lu, Z.; Li, H. Does environmental information disclosure affect green innovation? Econ. Anal. Policy 2023, 80, 47–59. [Google Scholar] [CrossRef]
- Jianmin, W.; Li, Y. Does factor endowment allocation improve technological innovation performance? An empirical study on the Yangtze River Delta region. Sci. Total Environ. 2020, 716, 137107. [Google Scholar] [CrossRef]
- Liu, H.; Zhou, G.; Wennersten, R.; Frostell, B. Analysis of sustainable urban development approaches in China. Habitat Int. 2014, 41, 24–32. [Google Scholar] [CrossRef]
- Li, M.; Gao, X. Implementation of enterprises’ green technology innovation under market-based environmental regulation: An evolutionary game approach. J. Environ. Manag. 2022, 308, 114570. [Google Scholar] [CrossRef] [PubMed]
- Shao, X.; Liu, S.; Ran, R.; Liu, Y. Environmental regulation, market demand, and green innovation: Spatial perspective evidence from China. Environ. Sci. Pollut. Res. 2022, 29, 63859–63885. [Google Scholar] [CrossRef]
- Mowery, D.; Rosenberg, N. The influence of market demand upon innovation: A critical review of some recent empirical studies. Res. Policy 1979, 8, 102–153. [Google Scholar] [CrossRef]
- Kim, J.H. Linking land use planning and regulation to economic development: A literature review. J. Plan. Lit. 2011, 26, 35–47. [Google Scholar]
- Zhao, N.; Liu, X.; Pan, C.; Wang, C. The performance of green innovation: From an efficiency perspective. Socio-Econ. Plan. Sci. 2021, 78, 101062. [Google Scholar] [CrossRef]
- Brewer, M.; O’Dea, C. Measuring Living Standards with Income and Consumption: Evidence from the UK; No. 2012-05; ISER Working Paper Series; University of Essex, Institute for Social and Economic Research (ISER): Colchester, UK, 2012. [Google Scholar]
- Shao, J. Sustainable consumption in China: New trends and research interests. Bus. Strategy Environ. 2019, 28, 1507–1517. [Google Scholar] [CrossRef]
- Hao, X.; Li, Y.; Ren, S.; Wu, H.; Hao, Y. The role of digitalization on green economic growth: Does industrial structure optimization and green innovation matter? J. Environ. Manag. 2023, 325, 116504. [Google Scholar] [CrossRef] [PubMed]
- Wang, H.; Chen, Z.; Wu, X.; Nie, X. Can a carbon trading system promote the transformation of a low-carbon economy under the framework of the porter hypothesis?—Empirical analysis based on the PSM-DID method. Energy Policy 2019, 129, 930–938. [Google Scholar] [CrossRef]
- Zhao, Y.; Peng, B.; Elahi, E.; Wan, A. Does the extended producer responsibility system promote the green technological innovation of enterprises? An empirical study based on the difference-in-differences model. J. Clean. Prod. 2021, 319, 128631. [Google Scholar] [CrossRef]
- Jia, R. The legacies of forced freedom: China’s treaty ports. Rev. Econ. Stat. 2014, 96, 596–608. [Google Scholar] [CrossRef]
- Fauver, L.; Hung, M.; Li, X.; Taboada, A.G. Board reforms and firm value: Worldwide evidence. J. Financ. Econ. 2017, 125, 120–142. [Google Scholar] [CrossRef]
- Cao, W.; Wang, H.; Ying, H. The effect of environmental regulation on employment in resource-based areas of China—An empirical research based on the mediating effect model. Int. J. Environ. Res. Public Health 2017, 14, 1598. [Google Scholar] [CrossRef] [PubMed]
- Chen, C.; Zhang, Y.; Bai, Y.; Li, W. The impact of green credit on economic growth—The mediating effect of environment on labor supply. PLoS ONE 2021, 16, e0257612. [Google Scholar] [CrossRef]
- Mohy-ud-Din, K. ESG reporting, corporate green innovation and interaction role of board diversity: A new insight from US. Innov. Green Dev. 2024, 3, 100161. [Google Scholar] [CrossRef]
- Khan, F.; Din, A.U.; Jehangir, M.; Farooq, S.H.; Riviezzo, A. The nexus of technology orientation and green innovation performance: The potential mediating role of innovation capability. J. High Technol. Manag. Res. 2024, 35, 100509. [Google Scholar] [CrossRef]
- Eghbali, M.A.; Rasti-Barzoki, M.; Altmann, J. An evolutionary game-theoretic approach to analysis the green innovation chain dynamics under government policies. Technol. Soc. 2024, 77, 102568. [Google Scholar] [CrossRef]
- Din, A.U.; Yang, Y.; Yan, R.; Wei, A.; Ali, M. Growing success with sustainability: The influence of green HRM, innovation, and competitive advantage on environmental performance in the manufacturing industry. Heliyon 2024, 10, e30855. [Google Scholar] [CrossRef]









| Variable | Obs | Mean | StD.Dev. | Min | Max |
|---|---|---|---|---|---|
| Y | 5112 | 4.917 × 102 | 1.764 × 103 | 0 | 3.467 × 104 |
| X | 5112 | 6.7 × 10−2 | 2.5 × 10−1 | 0 | 1 |
| C1 | 5112 | 4.697 × 10 | 1.134 × 10 | 1.93 | 90.97 |
| C2 | 5112 | 7.249 × 106 | 1.222 × 107 | 238 | 1.593 × 108 |
| C3 | 5112 | 2.249 × 102 | 2.958 × 103 | 1 | 1.011 × 105 |
| C4 | 5112 | 4.144 × 104 | 2.487 × 104 | 9.81 | 3.206 × 105 |
| M1 | 5112 | 1.820 × 107 | 2.991 × 107 | 3.177 × 105 | 3.870 × 108 |
| M2 | 5112 | 2.306 × 107 | 5.689 × 107 | 2.815 × 105 | 8.104 × 108 |
| M3 | 5112 | 5.099 × 10 | 7.790 × 10 | 4.05 | 1.143 × 103 |
| M4 | 5112 | 8.149 × 104 | 1.611 × 10 | 8.055 × 10 | 1.307 × 106 |
| Variables | Coefficients | Variables | Coefficients |
|---|---|---|---|
| X | 3.757 × 102 *** | C3 | −2.581 × 10−2 *** |
| (0.000) | (0.000) | ||
| C1 | −4.735 *** | C4 | −6.867 × 10−3 *** |
| (0.003) | (0.000) | ||
| C2 | 1.412 × 10−4 *** | cons_ | −4.397 × 10 |
| (0.000) | (0.615) | ||
| sigma_u | 469.4031 | sigma_e | 742.4067 |
| Variables | The Addition of Control Variables’ Coefficient | Adding Replacement Variables’ Coefficient | Placebo Test Results’ Coefficient | Time Fixed Effects Test |
|---|---|---|---|---|
| X | 3.758 × 102 *** | 3.806 × 102 *** | 6.904 × 101 | 3.757 × 102 *** |
| cons_ | −4.461 × 101 | −2.830 × 102 *** | −4.767 × 101 | −4.397 × 101 |
| control variable | Yes | Yes | Yes | Yes |
| fixed effect | Yes | Yes | Yes | Yes |
| Regional Economy | Financial Level | Employment | Education Level | |||||
|---|---|---|---|---|---|---|---|---|
| (1) | (2) | (3) | (4) | (5) | (6) | (7) | (8) | |
| M | 3.41 × 10−5 *** | 2.570 × 10−5 *** | 2.169 *** | −5.079 × 10−3 *** | ||||
| (0.000) | (0.000) | (0.000) | (0.000) | |||||
| X | 3.399 × 106 *** | 2.407 × 102 *** | 1.17 × 107 *** | 5.563 × 10 | 2.229 × 10 *** | 3.084 × 102 *** | 2.427 × 104 *** | 4.800 × 102 *** |
| (0.000) | (0.000) | (0.000) | (0.360) | (0.000) | (0.000) | (0.000) | (0.000) | |
| C1 | 1.211 × 105 *** | −9.217 *** | −2.133 × 105 *** | 4.070 × 10−1 | 2.485 × 10−1 *** | −5.623 *** | 1.276 × 102 * | −4.436 ** |
| (0.000) | (0.000) | (0.000) | (0.798) | (0.000) | (0.002) | (0.099) | (0.011) | |
| C2 | 2.128 *** | 7.8 × 10−5 *** | 4.176 *** | 4.310 × 10−5 *** | 2.490 × 10−6 *** | 1.452 × 10−4 *** | 3.196 × 10−3 *** | 1.668 × 10−4 *** |
| (0.000) | (0.000) | (0.000) | (0.000) | (0.000) | (0.000) | (0.000) | (0.000) | |
| C3 | 1.641 × 10 | −2.248 × 10−2 *** | 1.482 × 102 * | −2.573 × 10−2 *** | 1.194 × 10−3 *** | −2.451 × 10−2 *** | 1.710 × 10−2 | −2.183 × 10−2 *** |
| (0.619) | (0.000) | (0.061) | (0.000) | (0.000) | (0.000) | (0.928) | (0.000) | |
| C4 | 1.357 × 10 *** | −9.187 × 10−3 *** | −1.047 × 102 *** | −6.030 × 10−3 *** | 9.950 × 10−5 *** | −8.508 × 10−3 *** | 1.851 × 10−1 *** | −7.784 × 10−3 *** |
| (0.003) | (0.000) | (0.000) | (0.000) | (0.000) | (0.000) | (0.000) | (0.000) | |
| cons_ | −3.710 × 106 *** | 9.084 × 10 | 6.330 × 106 *** | −1.816 × 102 ** | 2.365 × 10 *** | −6.999 × 10 | 4.302 × 104 *** | 1.998 × 102 ** |
| (0.000) | (0.235) | (0.000) | (0.029) | (0.000) | (0.456) | (0.000) | (0.031) | |
| sigma_u | 5,599,941.9 | 655.54362 | 13,368,655 | 544.80772 | 46.294316 | 662.83906 | 118,871.67 | 605.05967 |
| sigma_e | 5,619,074.9 | 717.27847 | 13,472,870 | 656.51616 | 26.555194 | 740.24603 | 32,083.142 | 724.37623 |
| Variables | Eastern Region | Central Region | Western Region |
|---|---|---|---|
| X | 3.409 × 102 ** | 4.461 × 102 *** | 2.636 × 102 *** |
| (0.016) | (0.000) | (0.000) | |
| _cons | 1.579 × 10 | 1.531 * | 8.536 × 10−1 *** |
| (0.962) | (0.982) | (0.990) | |
| control variables | Yes | Yes | Yes |
| fixed effect | Yes | Yes | Yes |
| Variables | Coefficients | Variables | Coefficients |
|---|---|---|---|
| X | 8.696 *** | C3 | −1.337 × 10−4 |
| (0.000) | (0.114) | ||
| C1 | −1.415 × 10−1 *** | C4 | 1.254 × 10−4 *** |
| (0.000) | (0.000) | ||
| C2 | 1.08 × 10−6 *** | cons_ | 3.625 * |
| (0.000) | (0.070) | ||
| sigma_u | 16.490122 | sigma_e | 14.468223 |
| Variables | Coefficients | Variables | Coefficients |
|---|---|---|---|
| X | 1.360 × 105 *** | C3 | −2.045 |
| (0.000) | (0.610) | ||
| C1 | 8.472 × 103 *** | C4 | 9.055 *** |
| (0.000) | (0.000) | ||
| C2 | 1.025 × 10−2 *** | cons_ | −8.246 × 104 |
| (0.000) | (0.457) | ||
| sigma_u | 1,191,965.1 | sigma_e | 686,156.11 |
Disclaimer/Publisher’s Note: The statements, opinions and data contained in all publications are solely those of the individual author(s) and contributor(s) and not of MDPI and/or the editor(s). MDPI and/or the editor(s) disclaim responsibility for any injury to people or property resulting from any ideas, methods, instructions or products referred to in the content. |
© 2024 by the authors. Licensee MDPI, Basel, Switzerland. This article is an open access article distributed under the terms and conditions of the Creative Commons Attribution (CC BY) license (https://creativecommons.org/licenses/by/4.0/).
Share and Cite
Wang, S.; Cao, Y.; Wang, Y.; Wang, C. The Impact of Innovative and Low-Carbon Pilot Cities on Green Innovation. Sustainability 2024, 16, 7234. https://doi.org/10.3390/su16167234
Wang S, Cao Y, Wang Y, Wang C. The Impact of Innovative and Low-Carbon Pilot Cities on Green Innovation. Sustainability. 2024; 16(16):7234. https://doi.org/10.3390/su16167234
Chicago/Turabian StyleWang, Song, Yuyao Cao, Yifan Wang, and Chaoquan Wang. 2024. "The Impact of Innovative and Low-Carbon Pilot Cities on Green Innovation" Sustainability 16, no. 16: 7234. https://doi.org/10.3390/su16167234
APA StyleWang, S., Cao, Y., Wang, Y., & Wang, C. (2024). The Impact of Innovative and Low-Carbon Pilot Cities on Green Innovation. Sustainability, 16(16), 7234. https://doi.org/10.3390/su16167234

