Next Article in Journal
The Adhesion Performance in Green-Glued Finger Joints Using Different Wood Ring Orientations
Next Article in Special Issue
A Multivariate Model and Correlation Study on the Impact of Typical Residential Spatial Forms in the Middle Reaches of the Hanjiang River on the Thermal Environment and Thermal Comfort
Previous Article in Journal
Bringing Animals in-to Wildlife Tourism
Previous Article in Special Issue
A Parametric-Simulation Method to Study the Interconnections between Urban-Street-Morphology Indicators and Their Effects on Pedestrian Thermal Comfort in Tropical Summer
 
 
Font Type:
Arial Georgia Verdana
Font Size:
Aa Aa Aa
Line Spacing:
Column Width:
Background:
Article

Energy Consumption and Outdoor Thermal Comfort Characteristics in High-Density Urban Areas Based on Local Climate Zone—A Case Study of Changsha, China

1
School of Design and Art, Hunan University of Technology and Business, Changsha 410205, China
2
School of Information Science and Engineering, Hunan Normal University, Changsha 410081, China
3
Hunan Lugu Architectural Technology Co., Ltd., Changsha 410036, China
*
Author to whom correspondence should be addressed.
Sustainability 2024, 16(16), 7157; https://doi.org/10.3390/su16167157
Submission received: 15 July 2024 / Revised: 24 July 2024 / Accepted: 16 August 2024 / Published: 20 August 2024

Abstract

This study aims to investigate the characteristics of energy consumption and outdoor thermal comfort within the high-density urban fabric of Changsha. Two different types of building (residential and office), as well as three building forms (point, slab, and enclosed) were analyzed under the local climate zone scheme. Utilizing the ENVI-met 5.6.1 and EnergyPlus 23.2.0 software, simulations were conducted to assess the thermal comfort and energy consumption of 144 architectural models. Then, multiple regression and spatial regression were applied to predict the energy consumption characteristics of the study area. The results showed the following: (1) In the high-density urban area of Changsha, the central business district and historic old town adjacent to the Xiangjiang River are identified as areas with high energy use intensity. (2) Among the residential categories, the point-types LCZ-3 and LCZ-6, as well as the slab-type LCZ-4, exhibit the lowest energy use intensity. In contrast, the enclosed office buildings, LCZ-2 and LCZ-5, are characterized by the highest energy use intensity. (3) Urban form parameters such as floor area ratio and building shape coefficient have a significant impact on EUIwinter, while EUIsummer is highly related to the normalized difference vegetation index and building shape coefficient (BSC). (4) The slab-type LCZ-4 stands out with its notably lower cooling and heating energy use intensity, coupled with excellent thermal comfort, making it particularly well-suited for the climatic conditions of Changsha.

1. Introduction

The construction industry, along with manufacturing and transportation, is widely acknowledged as one of the three main energy-consuming industries, consistently ranking high in energy usage. In 2019, the operational energy consumption of China’s buildings represented a significant 22% of the nation’s total societal energy use, while carbon emissions from buildings were responsible for 20% of the overall emissions [1]. On a global scale, urban areas and buildings are responsible for the consumption of over two-thirds of the world’s final energy and are the source of more than 70% of carbon emissions [2]. With the ongoing trend of global urbanization, it is projected that the energy consumption within buildings will continue to escalate [3]. This urgency was further highlighted during the 26th United Nations Climate Change Conference of the Parties (COP26), which emphasized the need for immediate and transformative action across all sectors, including the construction industry, to mitigate climate change. Consequently, the imperative to reduce energy usage in buildings and to implement energy-saving initiatives in urban development has emerged as a critical challenge for nations across the globe. For China, addressing this challenge is essential, not only for achieving sustainable urban growth [4] but also for realizing “Carbon Peak and Carbon Neutrality” targets [5], aligning with the global efforts initiated at COP26.
Cities situated in regions that experience hot summers and cold winters are confronted with the dual challenge of managing high temperatures and humidity during the warmer months, while also enduring the chill and dampness of the colder season. Unlike northern regions, these areas often lack extensive centralized heating systems. As a result, urban development in these regions must carefully balance the need for effective cooling in summer with the necessity for heat retention in winter. However, the impact of global climate change, coupled with a surge in energy consumption, has exacerbated the issue of energy usage in buildings in these regions. The trend towards high-density urbanization further amplifies this concern. High-density urban zones are characterized by a dense concentration of buildings, people, and transportation needs, leading to an increased demand for energy resources [6,7]. In comparison to suburban areas, high-density urban regions grapple with more pronounced climate and energy consumption challenges [8]. It is, therefore, imperative to urgently identify strategies to optimize energy consumption throughout the year in these regions.
Research has shown that urban form has a significant impact on building energy consumption [5,6,7]. Currently, studies on the relationship between urban form and building energy consumption can be roughly divided into two categories: ideal grids and real forms. Ideal grids originated from the research on urban form by Leslie Martin and Lionel March of the University of Cambridge [8], which simplifies and abstracts urban form using a square grid combined with architectural prototypes, while retaining the most important textural characteristics of urban form to a certain extent. Real forms refer to the direct use of urban forms from real-world environments as research subjects; however, only targeted conclusions can be drawn due to the complexity of real forms. In contrast, general models can provide basic and universal insights into the processes of real urban areas [9,10]. The construction of urban form parameters is mainly expressed through two methods: one based on the form of the building itself, and the other on the spatial form outside the building, such as the form of urban green space and the form of external impervious surfaces [11]. Oke and Stewart (2012) proposed the use of the local climate zone (LCZ) scheme to establish a general method for characterizing urban spatial form and standardizing urban heat island (UHI) research. This framework has been widely used to analyze the spatiotemporal variations of UHI, thereby affecting thermal comfort and building energy consumption [12,13]. Related results have also preliminarily verified the effectiveness of the LCZ [14,15,16]. Considering the morphological indication of plots, functional attributes (qualitative description) and characteristic parameter ranges (quantitative intervals) can effectively identify the types of the study sample areas. Characteristic parameters include 10 parameters closely related to microclimate, such as sky view factor (SVF), height-to-width ratio (H/W), average building height (BH), building surface fraction (BSF), and permeable/impervious area ratio (PAR/IAR). Each LCZ has a uniform distribution of physical characteristics, such as underlying surface, spatial form, material construction, and human activities. Moreover, similar LCZs usually have similar microclimate characteristics [17]. Therefore, the selection of sample areas using the LCZ method helps to reasonably classify urban form types, distinguish the differences in the effects of local microclimates, and is more conducive to clarifying the response of building energy consumption to morphological factors.
Research on the impact of urban form on energy consumption can be divided into two categories: (1) the influence of changes in single-form indicator parameters on building energy consumption, and (2) the study of the correlations between multiple form indicator parameters and their comprehensive impact on building energy consumption.
In examining the influence of urban form parameters on building energy use, existing research has achieved certain results in terms of traditional factors affecting building energy consumption, such as building physical parameters and local climate differences. By using thermodynamic energy consumption models to establish multiple simulation scenarios, researchers have explored the energy consumption differences caused by morphological factors such as FAR, BH, BSF, BSC, and building orientation (BO) [18,19,20,21,22,23,24]. Some studies have established coupling models between urban microclimate and building energy consumption, revealing the extent and mechanism of impact of microclimate elements such as temperature/humidity, solar radiation, and wind speed/direction on building energy consumption [25,26,27,28,29]. These case studies and simulation research indicate that the impact of urban design parameters on building energy consumption is concentrated within 10–30%, and in some cases even more. The difference in building energy consumption under different urban forms can reach 1.5–6 times [30]. Some studies suggest that increasing BSF is beneficial for reducing heating energy consumption per unit of building [31]. Due to the smaller individual space and external wall area in high-density building areas, less energy is required for housing insulation. Research has found that street canyon design has a significant impact on the energy consumption of residential and office buildings, with respective increases of 19% and 30% [32]. Yang et al. [33] used the EnergyPlus model to conduct simulations on the energy consumption of office and residential buildings in Nanjing. The study shows that, for residential or office buildings, the UHI effect can increase cooling demand by 12–24% or 9–14%, reduce heating demand by 3–20% or 5–20%, and increase total energy demand by 2–5% or 2–6%. Quan [34] proposed that, when the BSF is 0.5, the energy consumption of buildings first decreases and then increases with the increase of FAR, reaching the minimum value at an FAR of 3.5.
However, single morphological indicator parameters cannot accurately describe the relationship between urban form parameters and building energy consumption, as there are direct or indirect relationships among the parameters. For example, the FAR is the product of BSF and BH, and both the sky view factor (SVF) and the height-to-width ratio (H/W) describe the compactness of buildings to some extent, and both are related to the shortwave and longwave radiation from the sun. Kruger et al. [35] studied the impact of two morphological parameters, H/W and BO, on the cooling load of buildings in hot dry climates and suggested increasing H/W to create more shading. Toparlar [36] found that adjusting the H/W and increasing green spaces can effectively reduce the cooling demand of buildings.
Most current comprehensive studies on parameters have failed to specifically investigate the relationships between different parameters and lack predictions of energy consumption on a large scale. As a result, it is often difficult to clearly explain and identify the key dominant factors that impact building energy consumption, which is not conducive to planners and designers directly adopting and referencing these findings. Additionally, existing research on the impact of urban morphology on building energy consumption is mostly set against backgrounds of hot climates [37] or severe cold climates [38], with limited attention to the hot summer and cold winter climate conditions. Therefore, exploring the quantitative relationship between urban morphology and energy consumption, and proposing planning strategies for energy efficiency has become an urgent issue for the hot summer and cold winter regions of China. To bridge the gap in the current literature, the present research endeavors to delineate the influence of urban morphology on the energy consumption and thermal comfort of buildings. Specifically, this investigation seeks to examine the energy intensity associated with various combinations of urban form elements at the target temperatures of 18 °C and 26 °C. Subsequently, the study will delve into the practical application of these research findings in the realm of neighborhood form planning for energy conservation in construction. The overarching objective is to furnish a theoretical basis for the construction of energy-efficient urban environments in regions that experience hot summers and cold winters.

2. Materials and Methods

2.1. Study Area

Changsha is in the Area A of hot summer and cold winter regions in China, where summers and winters are long and springs and autumns are short, with summers lasting approximately 118–127 days and winters 117–122 days in a year.
Taking Changsha as an example, this study applies a combination of microclimate simulation, building energy consumption simulation, and statistical analysis to compare the importance ranking of various parameters for office buildings and residential buildings in terms of energy consumption based on the local climate zone (LCZ) scheme. Changsha is the capital city of Hunan province in southern China, with a population of 10.42 million and a total area of approximately 11,819 km2. Changsha has a subtropical monsoon climate with a mean annual temperature of 17.2 °C. From late May to late September, it is subjected to intense solar radiation with extremely high temperature, while it is extremely cold and humid from late November to mid-March of the following year. This study was conducted within the high-density area of Changsha, which is mainly in the west of the Liuyang River Avenue, the east of Xiangjiang Road, and the north of Muli West Road (Figure 1).

2.2. Datasets

In this study, there are mainly three types of data, namely, building information, road networks, and land cover images. Data of building floors, building footprint, and building categories (2018) are sourced from BIGEMAP, Geographic Information System (GIS) platforms, and Baidu Maps (https://map.baidu.com/ (accessed on 14 July 2024)). In addition, this study assumes that the height of each floor is 3 m, and therefore multiplies the total number of floors of each building by 3 m to obtain the building height. Road networks and land cover images are used to calculate building environment parameters. The road network data of 2018 were sourced from BIGEMAP and GIS platforms for indicator extraction. The road categories used in this study include major roads, minor roads, highways, and other roads. The land cover images of 2018 were sourced from the Geospatial Information Monitoring Cloud Platform (http://www.dsac.cn/ (accessed on 14 July 2024)), with a spatial resolution of 30 m.
This study analyzed the building energy consumption and thermal comfort in the high-density urban spaces of Changsha based on the LCZ framework. Firstly, the study summarizes the spatial morphological characteristics of typical blocks. Secondly, the study simulates the thermal comfort and building energy consumption under different urban forms, utilizing a combination of ENVI-met and EnergyPlus. Microclimate boundary data were input into energy consumption simulation software and, based on the building space database and the calculation of typical building unit area energy consumption, the energy use intensity for each grid (EUIgrid) was calculated in order to measure building energy consumption, and the ways that various urban form elements affect building energy consumption through their impact on the microclimate were analyzed. Thirdly, the study employs regression analysis methods such as multiple regression and spatial regression to predict the energy consumption characteristics within the high-density urban area. Finally, urban form planning strategies for building energy efficiency are proposed. Figure 2 shows the workflow of this study.

2.3. Calculation of Urban Form and Generation of LCZ Maps

The urban form parameters refer to the relevant conclusions drawn from existing research on urban microclimate and factors affecting building energy consumption. Specifically, the parameters were as follows: urban density parameters, including floor area ratio (FAR), building surface fraction (BSF), and building height (BH); spatial layout parameters, including sky view factor (SVF), street height-to-width ratio (H/W), and building shape coefficient (BSC); urban underlying surface parameters, including impervious surface ratio (ISR), normalized difference vegetation index (NDVI), and roughness (R); building type (BT) (Table 1).
Stewart and Oke (2012) provided a local climate zone (LCZ) framework for classifying urban surfaces based on urban morphology and surface properties. Referring to the classification criteria of building height and building density, this study divides the LCZ into two categories: compact (0.1 < BH < 0.3) and open (0.3 < BH < 0.6). These two categories are further subdivided into compact high-rise (LCZ–1) (BH > 21 m), compact mid-rise (LCZ–2) (9 m < BH < 21 m), and compact low-rise (LCZ–3) (BH < 9 m), as well as open high-rise (LCZ–4) (9 m < BH < 21 m), open mid-rise (LCZ–5) (9 m < BH < 21 m), and open low-rise (LCZ–6) (BH < 9 m).

2.4. Simulation of Energy Consumption and Thermal Comfort

In Changsha, electricity is the main energy source for cooling, heating, lighting and ventilation. Therefore, this study uses electricity consumption to represent building energy consumption. The electricity consumption for cooling and heating is calculated to achieve 26 °C and 18 °C in summer and winter, respectively. Among them, the electricity consumption for lighting, ventilation, and other equipment is set the same for all samples and is not considered additionally in this study.
The study applied EnergyPlus and its visualization user interface Open Studio to simulate the theoretical energy consumption of residential buildings. As a plugin based on Google SketchUp, OpenStudio can model buildings using SketchUp and obtain the energy consumption density of individual buildings by setting parameters such as weather file and design days, construction sets, loads, and schedule sets. Additionally, the spatial functions of the space type and the division of thermal zones are considered to run the EnergyPlus simulation.

2.4.1. Generic Residential and Office District Prototypes

Before 1949, the core area of Changsha was dominated by traditional Hunan-style low-rise-type courtyard and courtyard-style residences. After 1949, with the arrival of the planned economy, the relatively extensive rationing system led to the creation of many “mega” plots, forming enclosed unit compounds. The buildings were mainly composed of low-rise courtyard-style combinations, with loose layouts, internal courtyards, and low building heights. After the reform and opening up, the unit compounds gradually disintegrated, and spontaneously updated buildings filled the original plane texture, with scattered, piecemeal buildings showing no clear distinction between new and old. As real-estate developers pursued economic benefits, they promoted the development of large-scale real-estate projects. After the 21st century, residential buildings were mainly high-rise buildings with point-type, slab-type, and enclosed layouts. By investigating samples of residential and office buildings with different characteristics in Changsha and the Technical Regulations for Urban Planning and Management in Changsha City (CSCR-2016-0001), the study explored the morphological features of typical samples, such as building length, building width, and building spacing. Subsequently, each group of samples was encapsulated into a general building prototype that essentially reflects the morphological characteristics of the current prototypes. Based on the high-density urban areas, the study identified the distribution of LCZ-1, LCZ-2, LCZ-3, LCZ-4, LCZ-5, and LCZ-6 within the high-density area of Changsha and selected samples of point, slab, and enclosed building groups within each LCZ type (Figure 3). It also identified the category of building use (whether residential or office building) by visual interpretation, with a total of 36 typical samples selected (Figure 4). The study investigates the electricity consumption of typical urban forms in high-density areas that achieve indoor temperatures of 26 °C in summer and 18 °C in winter. There are a total of 144 models. Among them, low-rise buildings consist of 3 stories, mid-rise buildings have 6 stories, and high-rise buildings are 18 stories tall. The models in the study are placed on open ground, free from obstruction by surrounding buildings and trees. The energy consumption values of the buildings simulated under this ideal state, unaffected by urban environmental factors, are defined as theoretical energy consumption values.

2.4.2. Energy Consumption Calculations

The study sets the winter season from 1 January to 28 February 2021, and from 1 November to 30 December, while the summer season is from 1 May to 30 September 2021. The microclimate simulation data under different urban forms (Figure 5) are converted into the input weather files for building energy simulation. Firstly, the numerical analysis tool Leonardo in the ENVI-met software is used to extract microclimate data such as outdoor temperature, radiation temperature, and wind speed from each simulated block. Secondly, the Weather Statistics and Conversions tool in the EnergyPlus software is used to convert the EPW-formatted weather file to CSV format. Thirdly, Excel software is utilized to adjust the weather data for 20 January and 22 July in the CSV-formatted file to match the outcomes derived from the ENVI-met simulation. Fourthly, the Weather Statistics and Conversions tool is employed to transform the CSV-formatted weather data file into the EPW format, which is compatible with EnergyPlus weather data requirements. Finally, the modified weather file is imported into the OpenStudio software. The thermal parameters of the model are set according to the standards, such as the “Design Standard for Energy Efficiency of Public Buildings in Hunan Province” DBJ43/003-2017, “Technical Standard for Nearly Zero Energy Buildings” GB/T 51350-2019, “General Code for Energy Efficiency and Renewable Energy Application in Buildings” GB 55015-2021, “Design Code for Heating, Ventilation, and Air Conditioning of Civil Buildings” GB50736-2012, and “Design Standard for Office Buildings” JGJ/T67-2019. The input parameters for OpenStudio are shown in Table 2 and Table 3.

2.4.3. Thermal Comfort

The computational domain was set to 300 m × 300 m × 108 m (x × y × z), since the domain height of ENVI-met software must be set to more than twice the building height (54 m). All models had a regular grid resolution of 3 m × 3 m × 3 m (x × y × z). The typical simulation dates selected were 22 July (major heat of the traditional Chinese lunar calendar) for the heating season and 30 January (major cold of the traditional Chinese lunar calendar) for the cooling season. The settings for initial conditions and boundary conditions are shown in Table 4. Since the microclimate simulation results for each sample would vary depending on the geographical location, all microclimate results were obtained at pedestrian-height (2 m) in the center point of each sample.
To assess the accuracy of ENVI-met in both summer and winter, a comparison between simulation and field measurement was conducted in the Bafang residential area of Changsha on 22 July 2021 and 20 January 2021 under clear and stable weather conditions and lasted 24 h. Meteorological data including air temperature and relative humidity were recorded at 1 min intervals by I-Button at a height of 2 m above the ground at the receiver location. The root mean square error (RMSE) was used to verify the accuracy of the ENVI-met model (Formular 1). The RMSE of air temperature in summer and winter were 0.33 °C and 0.31 °C, with an RMSE of Rh 1.29% and 1.93%, respectively. The underestimation of air temperature in summer may be due to the neglect of the excessive anthropogenic heat during the day. The tendency is reversed for Rh because, as the air temperature increases, the evaporation of water vapor intensifies, leading to the fact that Rh decreases. Secondly, the ENVI-met simulation maintains a single wind direction throughout the entire simulation period, which introduces uncertainty into the model results. Overall, the result shows good correlations between simulated and measured values for air temperature and relative humidity. The accuracy of simulation results was higher in summer than in winter, which shows an acceptable accuracy. Thus, the model can offer reliable microclimate output in the current study.
R M S E = i = 1 n ( X o b s , i X m o d e l , i ) 2 n

2.5. Statistical Models

This study employs multiple linear regression (MLR) and spatial regression models to examine the impact of urban high-density building environments on microclimate and building energy consumption. In the models, the explanatory variables are set as urban morphological indicator factors, and the dependent variable is set as EUIgrid. The regression analysis is conducted using SPSS 26 and GeoDa 1.18. Since some urban morphological elements may exhibit multicollinearity, the presence of this linear relationship can affect the accuracy of the regression analysis results between building energy consumption and various block morphological elements. Therefore, the study first uses SPSS software to perform correlation analysis, along with a scatter plot drawing of the block morphological elements around the sample buildings. Based on this, the linear relationships between the urban morphological parameters are analyzed to exclude collinear independent variables in the regression analysis, i.e., those with a variance inflation factor (VIF) greater than 10, to improve the accuracy of the regression analysis.
Firstly, multiple regression analysis is used to examine the relationship between urban morphology and building energy consumption. The estimated multiple linear regression model is as follows:
Yi = B0 + B1X1 +…+ BnXn + ε
where Yi represents the dependent variable, Xn represents the independent variable, Bn represents the regression coefficient of each independent variable, and ε represents the random error term.
Secondly, spatial regression models are used to further measure the relationship between urban morphological parameters and EUIgrid. Firstly, Global Moran’s I is used to measure the spatial autocorrelation of the dependent variable. Then, an appropriate model is selected between the spatial error model (SEM) and the spatial lag model (SLM) to ensure the accuracy of the analysis results. The spatial lag model (SLM) and the spatial error model (SEM) are as follows:
Y = ρWY + βX + ε (Spatial lag model)
Y = λWξ + βX + ε (Spatial error model)
where Y represents the dependent variable, ρ is the spatial regression coefficient, W is the spatial weight matrix, β represents the coefficients of each independent variable, X is the independent variable, ε is the random error term, λ is the residual correlation coefficient, and ξ is the spatial component of the error term.
The study further utilizes the logarithmic likelihood value, Akaike information criterion (AIC), and Schwarz criterion (SC) to compare the goodness of fit and statistics of different models. The larger the logarithmic likelihood value, the better the model’s performance. However, since the logarithmic likelihood value does not account for the complexity of the model, the final model cannot be determined based solely on the logarithmic likelihood value. Therefore, it is also necessary to consider the AIC and SC values. The smaller the AIC and SC values, the better the model’s performance.

3. Results

3.1. Distribution of Urban Form Parameters

Within the study area, there are a total of 968 grids, each with a size of 250*250 m, which has been proven in the previous study [39]. Through calculations, the distribution map of urban morphological parameters is as shown in Figure 6. In the northern and central parts of the old town within the study area, the BSF is higher, with values ranging from 35% to 70%, and 60% of the blocks have building densities between 17% and 57%. In terms of spatial layout, the variation range of BH is 3 to 102 m, the SVF ranges from 0.55 to 1.00, the FAR ranges from 0 to 0.35, and the BSF ranges from 0 to 70%. The range of BSC is 0.1 to 0.4. The range of H/W is 0 to 7. The range of NDVI and ISR are 0 to 0.7 and 0 to 0.8, respectively.

3.2. Local Climate Zone

Based on the calculation of urban form parameters, different LCZ types are delineated. Due to the high building density in the study area, the urban spatial characteristics are summarized by compact high-rise (LCZ-1), compact mid-rise (LCZ-2), compact low-rise (LCZ-3), open high-rise (LCZ-4), open mid-rise (LCZ-5), and open low-rise (LCZ-6). According to previous research, BH and BSF are the key parameters for clustering LCZ-1 to LCZ-6 [39]. Based on the GIS decision tree, the grid is divided into compact types (0.3 < BSF < 0.6) and sparse types (0.1 < BSF < 0.3), and then the compact LCZ-1 to LCZ-3 and open types LCZ-4 to LCZ-6 are further divided into high-rise (BH > 25 m), mid-rise (10 m < BH < 25 m), and low-rise (BH < 10 m). Preliminary classification accuracy is then tested using SVF, ISR, NDVI, and R. For instance, LCZ-1 to LCZ-3 should have an ISR > 0.4, LCZ-4 to LCZ-5 should have an NDVI > 0.3, and LCZ-6 should have an SVF between 0.3 and 0.7. The final LCZ map is shown in Figure 7a. It can be seen that the open mid-rise LCZ-5 accounts for the highest proportion (36.20%), followed by LCZ-2 (13.5%) and LCZ-6 (27.40%), mainly distributed near the lake area and the south in the study area. The residential LCZ-2 is primarily located in the old town area near the Xiangjiang River, and the proportion of residential buildings in LCZ-4 is only second to LCZ-2, distributed along the Liuyang River. LCZ-1 has the lowest proportion (3%). Among the various types of local climate zones, the proportion of residential buildings are relatively more than office buildings, with the highest proportion of residences in LCZ-5 and LCZ-6, followed by LCZ-4 and LCZ-2.

3.3. Thermal Comfort of LCZs

Figure 5 illustrates the main differences in micrometeorological conditions between the samples. As a result, there is a 1.6 °C difference for scenarios with different building morphology in the summer. The Wv varies from 0.1 m/s to 2.09 m/s and the relative humidity ranges from 44.1% to 46.5% for different cases. On the other hand, the Ta, Wv, and Rh of winter ranged from 0.56 °C to 1.51 °C and 0.2 m/s to 2.57 m/s, respectively.
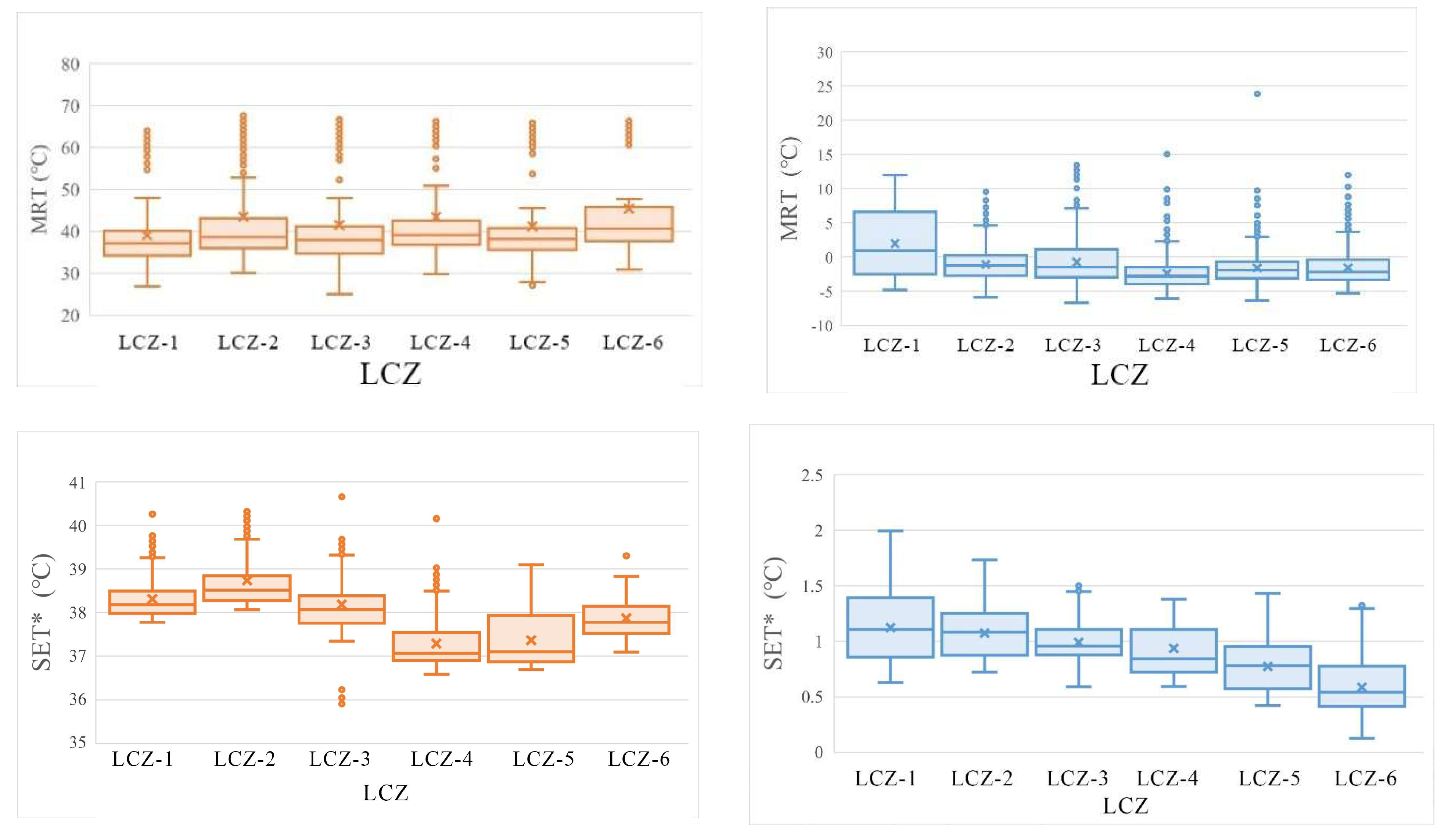
The study applied the standard effective temperature (SET*) as a thermal comfort parameter. It is a thermal comfort evaluation index proposed by Gagge in the 1970s, which was included in the ASHRAE standard, and has been widely used for a long time. The SET* (Figure 8) were found to fluctuate within a range of 36.9–40.6 °C in the summer and 0.2–2 °C in the winter. This indicates that outdoor thermal conditions can sometimes become quite harsh among the samples.
The variation in thermal comfort showed a similar trend in summer and winter in all cases. Compact LCZs generally reported higher SET* values (i.e., more uncomfortable in the summer) compared with other samples. Mean SET* of range LCZ-2 featured the highest (38.5 °C). The fluctuation of SET* was most evident in the summer, while the fluctuation in the winter was smaller. Specifically, in the range of 0.002 to 0.345, the outliers exceeded 40 °C. LCZ-2 featured the highest SET* and LCZ-4 generally the lowest SET* in the summer, while SET* of LCZ-1 characterized the highest and LCZ-6 in the winter. The reason for this was due to there being a considerable area of effective building shade in the LCZ-4. Moreover, the close distance between buildings has affected airflow, lowered wind speed, and increased temperature. On the contrary, the buildings in LCZ-3 and LCZ-6 are generally low, most of them being historical sites and old residential areas, featuring narrow and compact streets. Therefore, the shading effect of the buildings would be lower. Meanwhile, the mean SET* was distributed around 1 ± 0.5 °C in the winter periods, with the highest mean SET* (1.2 °C) belonging to LCZ-1. The interquartile range was 0.9 °C to 1.4 °C. The values were 35.02 °C, 37.6 °C, and 34.13 °C, respectively. The lowest mean SET* (37 °C) was observed in LCZ-4 and LCZ-5 in the summer.

3.4. Energy Consumption

3.4.1. Monthly Cumulative Energy Consumption

Figure 9 and Figure 10 illustrate the monthly cumulative energy consumption across various local climate zones, with the indoor temperature consistently maintained at 26 °C and 18 °C, respectively. It is evident that the energy required for refrigeration across all samples exceeds that for heating. Optimal thermal comfort, which coincides with minimal energy consumption for electricity, cooling, and heating, is observed only during March, April, and October. Continuous cooling is necessary from May to September to ensure thermal comfort. Conversely, heating is essential from January to April and from October to December.
Additionally, Figure 9 demonstrates that when the target temperature is set at 26 °C, the monthly cumulative energy consumption for office buildings surpasses that of residential buildings across all LCZs, with the energy demand for refrigeration consistently exceeding that for heating. The energy consumption data across entire LCZs indicate a pronounced peak during the summer months of June, July, and August, with July recording the highest energy consumption ranging from 500 to 1000 kWh, followed by August, with a consumption between 400 and 900 kWh. In contrast, the highest heating energy consumption occurs in January, with usage varying from 420 to 480 kWh. Conversely, when the target temperature is lowered to 18 °C, the energy required for cooling in the peak month of July nearly doubles compared to the 26 °C setting. For instance, at a 26 °C cooling target, the energy consumption for cooling in LCZ-1 reaches 960 kWh in July. However, this figure soars to 1750 kWh when the cooling target is set at 18 °C, as depicted in Figure 10. When the heating target is adjusted to 18 °C, except for residential buildings in LCZ-3 and LCZ-6, the winter energy consumption for other sample types at this lower temperature is approximately half of that at 26 °C. To illustrate, for LCZ-5 residential buildings, the heating energy consumption in January amounts to 90 kWh at 26 °C, which significantly reduces to 50 kWh when the temperature is set to 18 °C. For instance, at a 26 °C cooling target, the energy consumption for cooling in LCZ-1 reaches 960 kWh in July. However, this figure soars to 1750 kWh when the cooling target is set at 18 °C, as depicted in Figure 10. When the heating target is adjusted to 18 °C, except for residential buildings in LCZ-3 and LCZ-6, the winter energy consumption for other sample types at this lower temperature is approximately half of that at 26 °C. To illustrate, for LCZ-5 residential buildings, the heating energy consumption in January amounts to 90 kWh at 26 °C, which significantly reduces to 50 kWh when the temperature is set to 18 °C.

3.4.2. EUI of LCZs

This study employed energy use intensity (EUIgrid), expressed in kWh/m2 per year, to gauge the energy consumption levels of buildings at the grid scale. Figure 11 illustrates that the range of total energy consumption per unit area, as measured by EUI, for the various sample buildings fluctuates between 90 and 180 kWh/m2 per year. For cooling energy consumption, the EUI fluctuation is narrower, ranging from 5 to 75 kWh/m2 per year, while for heating energy consumption, the EUI range is even tighter, from 2 to 15 kWh/m2 per year. The graph reveals that when the indoor temperature is consistently maintained at 26 °C throughout the year, the combined total EUI for all samples is marginally lower than that for an 18 °C setting, as depicted in Figure 11c. When the summer temperature setting is reduced from 26 °C to 18 °C, the cooling EUI value increases twofold. This suggests that, across all local climate zones (LCZs), maintaining a temperature of 26 °C is more energy-efficient.
For total energy consumption, the ranking of EUI for office buildings is as follows: LCZ-2 > LCZ-5 > LCZ-1 > LCZ-4 > LCZ-3 > LCZ-6. For residential buildings, the EUI ranking is as follows: LCZ-2 > LCZ-1 > LCZ-5 > LCZ-3 > LCZ-4 > LCZ-6. Among the LCZs, the most significant difference in EUI between the 26 °C and 18 °C settings is observed in the enclosed offices of LCZ-2 and LCZ-5. Conversely, the smallest EUI difference between the two target temperatures is found in the point residential LCZ-3, slab residential LCZ-4, and point residential LCZ-6. In terms of total energy consumption, the point residential LCZ-3 and LCZ-6, along with the slab residential LCZ-4, exhibit the lowest energy consumption rates, with 100 kWh/m2 for a 26 °C setting and 105 kWh/m2 for an 18 °C setting. The enclosed office buildings of LCZ-2 and LCZ-5, however, have the highest EUI, at 145 kWh/m2 for a 26 °C setting and 180 kWh/m2 for an 18 °C setting.
In terms of heating, the EUI for all types of office and residential buildings within LCZ-3 and LCZ-6 exceeds that of other samples, averaging around 14 kWh/m2 per year at a temperature setting of 26 °C. Among the residential categories, slab residential buildings in LCZ-4 exhibit the lowest cooling energy consumption, with 5 kWh/m2 per year at 26 °C and 18 kWh/m2 per year at 18 °C. This is followed by point residential buildings in LCZ-3, which have a cooling energy consumption of 11 kWh/m2 per year at 26 °C and 26 kWh/m2 per year at 18 °C, and point residential buildings in LCZ-6, with 10 kWh/m2 per year at 26 °C and 25 kWh/m2 per year at 18 °C. Conversely, enclosed office buildings in LCZ-2 and LCZ-5 demonstrate the highest EUI for cooling, with 33 kWh/m2 per year at 26 °C and a significant increase to 75 kWh/m2 per year at 18 °C.

3.4.3. Hourly EUI of a Typical Summer Day

Given the higher summer cooling energy consumption compared to winter heating energy consumption in the densely populated areas of Changsha, it is imperative to focus on the hourly EUI of typical summer meteorological day samples. Figure 12 reveals that office buildings, which are occupied during daylight hours, experience peak hourly energy consumption rates—exceeding 0.07 kWh/m2 per day—between 12:00 p.m. and 4:00 p.m. In contrast, residential cooling demand peaks between 8:00 p.m. and 11:00 p.m., with EUI ranging from 0.05 to 0.10 kWh/m2 per day. The daytime cooling EUI for residential buildings generally falls between 0.04 and 0.07 kWh/m2 per day. Both office and residential areas exhibit minimal EUI—below 0.04 kWh/m2 per day—during the early morning hours of 6:00 a.m. to 7:00 a.m. Notably, for office buildings, the cooling EUI for LCZ-2 surpasses that of LCZ-5, particularly between 11:00 a.m. and 3:00 p.m., where the enclosed LCZ-2 can reach an EUI as high as 0.09 to 0.10 kWh/m2 per day. This disparity may stem from the limited spacing between middle-storied buildings in LCZ-2, which hinders ventilation compared to the more open LCZ-5, especially when facing the wind direction. Additionally, at midday, the high solar altitude angle results in insufficient building shadows to mitigate the temperature increase caused by solar radiation.
Simultaneously, it was observed that the EUI for residential buildings in LCZ-1 and LCZ-4 was notably lower during the afternoon hours of 2:00 p.m. to 6:00 p.m., ranging from 0.04 to 0.06 kWh/m2 per day. However, EUI were higher at night compared to other refrigeration types, averaging around 0.08 kWh/m2 per day. The likely explanation for this is that high-rise buildings, due to their substantial vertical volume, emit more heat and require a longer cooling duration, leading to increased EUI. In contrast, low-rise buildings, with their smaller volume and heat capacity, may release heat more rapidly. The EUI of the open slab types, LCZ-5 and LCZ-6, is lower than that of point and enclosed buildings. This could be attributed to the fact that, at the same building height, the shadows cast by the slab types obstruct some solar radiation in the afternoon, and their layout is more favorable for ventilation compared to enclosed types. Furthermore, the energy consumption of low-rise buildings, LCZ-3 and LCZ-6, is slightly higher in the morning than other types. This may be due to the smaller shadow area created by their height and the rise in environmental temperature caused by solar radiation, which in turn increases the demand for air conditioning and cooling energy.

3.4.4. Multiple Linear Regression Model

Firstly, based on the rele PMant analysis results of residential buildings, the variables SVF and ISR, which are not significantly related to EUI, were excluded. The urban form variables related to EUI were retained as independent variables, and the energy consumption value of residential buildings (EUI) was used as the dependent variable for multiple linear regression analysis. Then, to eliminate the influence of collinear variables, backward regression was chosen as the regression method. The correlation of seven urban form parameters with EUI and the final regression equation can be seen in Table 5.
It can be observed that, in winter, the urban parameters most strongly correlated with EUI are FAR, BSF, and BSC. SVF, H/W, and ISR do not have statistical significance. BSC has the most significant impact on the EUIgrid of both seasons. For every unit increase in BSC, the building EUI increases by 0.403–0.538 kWh/m2 per year in both winter and summer, indicating that BSC plays a crucial role in regulating the energy exchange between the external environment and the internal space. In summer, for every unit increase in NDVI, the building EUI decreases by 0.454–0.458 kWh/m2 y. On the other hand, for every unit increase in FAR, the building EUI decreases by 0.382–0.396 kWh/m2 y in winter.
Figure 13 illustrates the spatial distribution of EUIgrid in the high-density central area of Changsha. It is evident that the annual cooling EUI, ranging from 30 to 210 kWh/m2 per year, significantly exceeds the heating EUI, which varies from 10 to 60 kWh/m2 per year. This disparity is particularly pronounced when maintaining a lower temperature of 18 °C, with 78.6% of the study area exhibiting an EUIgrid between 150 and 180 kWh/m2 per year. The EUIgrid values are notably higher on the northwest and central sides of the study area, where dense high-rise (LCZ-1) and mid-rise buildings (LCZ-2) are predominantly located. In contrast, low-rise buildings are more uniformly distributed, primarily in the northern and southeastern parts of the study area. These areas consist mainly of residential buildings and schools, which contribute to a lower cooling EUIgrid. When the cooling temperature is set at 26 °C, elevated EUIgrid values are observed exclusively in the densely populated areas adjacent to the river, with an EUI between 90 and 120 kWh/m2 per year. However, when the cooling temperature is reduced to 18 °C, a substantial portion of the area exhibits an EUIgrid within the range of 150 to 180 kWh/m2 per year.
When the heating temperature is set at 26 °C, a substantial majority—81.3%—of the region’s EUIgrid falls within the range of 30 to 40 kWh/m2 per year. Intriguingly, the EUIgrid in most local climate zones is approximately double that of EUI when the temperature is set at 18 °C. This is particularly evident in the central western and southwestern regions, where the EUI soars to 50 to 60 kWh/m2 per year. Upon reducing the heating temperature to 18 °C, the EUI across the entire study area remains below 40 kWh/m2 per year. Notably, 54.8% of the EUIgrid is found within a lower range of 10 to 20 kWh/m2 per year, with concentrations in the LCZ-4 and LCZ-5 regions. Observations indicate that the EUIgrid surrounding the central lake area exceeds that of most other regions, particularly when the heating temperature is set at 26 °C. This could be attributed to the area’s proximity to the lake and its predominance of mid-level open residential buildings, primarily LCZ-5 and LCZ-6. The expansive green spaces of these two LCZ types, while beneficial for the environment, may contribute to lower winter thermal comfort, necessitating increased energy consumption for heating.

3.4.5. Spatial Regression Model

According to Appendix A (Table A1), the Moran’s I values range from 0.274 to 0.719 and are significant at the 5% level for the dependent variable. This signifies a substantial spatial autocorrelation within the EUIgrid values, validating the suitability of a spatial regression model for this study. When comparing the spatial lag model (SLM) with the spatial error model (SEM), the SLM exhibits a relatively higher log likelihood value. Conversely, the Akaike information criterion (AIC) and the Schwarz criterion (SC) yield comparatively lower log likelihood values for SEM, suggesting that SLM provides a better fit for the data. Consequently, this study opts for the SLM for the analysis. In this study, both the dependent and independent variables were quantified and subjected to normalization transformation using the Z-score method. This process facilitated the acquisition of standardized coefficients for each variable, enhancing the comparability and interpretability of the results.
Table 6 presents the standard coefficients from the spatial lag model (SLM), where each coefficient signifies the anticipated change in the dependent variable, EUI, for a one-unit alteration in its respective independent variable, the urban form elements. The dynamics between EUIgrid and architectural attributes differ across various local climate zones. With the exception of LCZ-3, a significant positive correlation is observed between SVF and EUIgrid in other LCZ types. Grids with higher SVF values tend to have inferior shading, resulting in increased cooling energy demand. Among LCZ-1 to LCZ-6, the BSC positively influences EUIgrid, exerting the most substantial effect on LCZ-2 and LCZ-5, while having a lesser impact on LCZ-1 and LCZ-4. This suggests that BSC significantly affects the energy consumption of low-rise or multi-story buildings, whereas its effect on high-rise buildings is less pronounced. The rationale could be that high-rise buildings, due to their greater height, have a smaller ratio of external surface area to volume, diminishing the heat exchange surface with the external environment. Furthermore, the BSC positively affects the EUIgrid in compact LCZs, whereas its influence on open LCZs is negligible. This could be attributed to the fact that areas with high building density might intensify the UHI effect, where structures and other artificial surfaces absorb and re-emit solar heat, thereby raising the ambient air temperature and escalating the cooling demand for buildings. In contrast, areas with lower building density favor natural ventilation, which can decrease the reliance on air conditioning systems in summer and, consequently, reduce the associated cooling energy consumption.

4. Discussion

The figure demonstrates a clear distinction in SET* values among the LCZs, which can be attributed to the distinct urban morphologies and microclimates associated with each zone. The compact LCZs, as indicated by the higher SET* values, are likely characterized by high building density and minimal spacing between structures. This architectural configuration impedes convective heat transfer between buildings and the air, resulting in elevated SET* values. Conversely, LCZs with lower SET* values may be associated with more open, less dense urban layouts that facilitate better air circulation and heat dissipation. The variation in SET* across LCZs underscores the importance of urban planning in managing urban heat island effects and promoting energy efficiency in urban areas. High SET* values in compact LCZs suggest that these areas may require more effective cooling strategies and energy management practices to mitigate the impacts of high temperatures on human comfort and energy consumption.
This results in a relatively low heating energy consumption for buildings during the winter months. Conversely, the EUI for mid- to low-rise buildings, specifically LCZ-3 and LCZ-6, peaks during the noon and afternoon hours during the summer. The rationale is that shorter buildings cast smaller shadows, which leads to increased radiation temperatures within the blocks and a rise in outdoor temperatures, consequently increasing the heat absorbed by the buildings. At night, the shorter stature of LCZ-5 and LCZ-6 structures reduces the number of thermal radiation reflections within the built environment, making it less effective at retaining heat. This leads to a decrease in both the average daily radiation temperature and air temperature outdoors, reducing the external heat gain for buildings and, consequently, lowering EUI for residential buildings at night. However, the heating EUI for LCZ-5 and LCZ-6 in winter is not the lowest. A possible explanation for this is that, while the wind speed between buildings is further reduced, the impact of this reduction is not significant enough to offset the decrease in external heat gain for the buildings. As a result, the heating energy consumption remains high due to insufficient heat dissipation caused by the diminished wind speed.
Table 5 reveals the varying impacts of urban form parameters, including FAR, H/W, BSC, and NDVI, on the EUI across LCZ-1-6. The characteristics of the underlying surface in densely populated urban areas significantly influence building energy consumption. Previous studies have posited a positive linear correlation between NDVI and vegetation coverage. As illustrated in Table 5, for high-rise buildings, the summer EUIgrid decreases with an increase in NDVI. This could be attributed to the fact that open green spaces absorb less solar radiation compared to impermeable surfaces, leading to a reduced reliance on cooling energy. The winter EUIgrid for buildings in LCZ-2 to LCZ-6 decreases as FAR increases, except for LCZ-1, a factor that is known to contribute to the escalation of EUIgrid. The construction intensity of urban spatial material can influence building energy consumption by affecting physical attributes such as building area, depth, height, and shape coefficient. Regions with greater construction intensity exhibit a heightened demand for heating, potentially due to the substantial correlation between FAR and the thermal environment. The FAR predominantly reduces the utilization of heating appliances in winter by impacting the building’s lighting, outdoor ventilation conditions, and the interplay between human heat sources and the thermal environment.
Additionally, the BSC is an indicator of the heat dissipation area per unit of building space and significantly influences building energy consumption. If the heat transfer coefficient and the window-to-wall ratio of the building envelope remain constant throughout the structure, energy consumption escalates with an increase in BSC during both winter and summer months. In essence, a lower BSC correlates with a reduced external surface area, leading to fewer pathways for energy loss and greater energy efficiency. It is also important to note that heat dissipation in compact buildings is challenging, which paradoxically results in lower heating energy consumption during winter. In contrast, dispersed high-rise buildings can effectively create ventilation corridors that facilitate the dispersion of cold air, enhancing thermal comfort. Existing research presents divergent views on the impact of urban spatial compactness on residential energy consumption. Some studies suggest that high-density housing policies can lead to a reduction in greenhouse gas emissions compared to low-density housing [40]. Conversely, other research indicates that modern urban buildings can generate excessive heat and that compact spatial forms may impede heat dissipation, thereby increasing residential energy consumption [41,42,43]. This study aligns with the latter perspective, suggesting that residential communities with lower compactness often feature more spacious units and superior green environments. Therefore, the positive and negative impacts of three-dimensional spatial compactness on residential energy consumption should be evaluated comprehensively, considering not only the correlation results but also the effects of FAR, BSC, and NDVI.
In regions characterized by hot summers and cold winters, slab-type buildings provide more effective shading than that of point-type counterparts, with an expanded area of shade that is especially beneficial during the afternoon hours. Urban planning under such a climate background should promote the construction of open high-rise (LCZ-4) slab-style structures for both office and residential use. These buildings are designed to be energy-efficient and to offer excellent outdoor thermal comfort. Furthermore, selecting an appropriate BSC is crucial, because it enables the strategic determination of the heat transfer area relative to the volume of the building, tailored to withstand the seasonal extremes of winter and summer.
This study acknowledges a few limitations. Firstly, the analysis was based on theoretical energy consumption values derived from typical building forms and common layouts that are assumed to be unobstructed by other buildings or trees. Future research should incorporate real-world urban construction conditions to enhance the accuracy of the findings. Secondly, the current calculation method for building energy consumption does not account for the interactions between buildings. There is a need for further exploration to develop a more comprehensive approach that can accurately calculate energy consumption at the urban scale. Lastly, this study focused solely on the impact of densely populated areas in urban centers. Additional research is required to establish a clearer correlation between these areas and the overall energy consumption of urban buildings.

5. Conclusions

This study integrates the building energy conservation principles within the urban planning discipline. The research is centered on Changsha, a city characterized by its hot summers and cold winters. Utilizing a local climate zone map and an assessment of building energy consumption, the study employs a hybrid approach of statistical and simulation analyses to identify the key LCZ elements that significantly influence building energy usage.
The results indicate that the EUI for both cooling and heating is predominantly determined by the floor area ratio (FAR), building shape coefficient (BSC), and normalized difference vegetation index (NDVI). The BSC exhibits a positive correlation with EUI in both winter and summer, while the FAR shows a negative correlation with EUI during summer months. Conversely, the NDVI demonstrates a negative correlation with EUI in winter. In the present study, the correlational analysis has revealed no significant association between BSF, SVF, and H/W with the overall EUI. Slab-type residential buildings, with their lower cooling and heating energy consumption, are more suitable for regions like Changsha, which experiences hot summers and cold winters. Additionally, the demands for summer cooling significantly outweighs that for winter heating in Changsha. Also, maintaining an annual air conditioning temperature of 26 °C proves to be more energy-efficient than setting it at 18 °C. The city’s annual cooling EUI, ranging from 30 to 210 kWh/m2 per year, greatly exceeds its heating EUI, which varies from 10 to 60 kWh/m2 per year. Notably, when the air temperature is kept at a low 18 °C, 78.6% of the study area shows an EUI within the 150–180 kWh/m2 per year bracket, with high-energy-use areas primarily located in the old town and the central business district (CBD). The research indicates that urban planning and design will play a crucial role in solving the demands of low-carbon society and energy conservation in buildings in a sustainable manner. Understanding which urban planning factors have a greater effect on saving building energy is key to solving the problem. Therefore, architects designing for such climates should prioritize controlling the BSC of buildings, which will help regulate the energy consumption, further facilitating the planning of energy-efficient cities.

Author Contributions

Conceptualization, Y.C.; methodology, C.W.; software, Y.H.; writing—original draft preparation, Y.C.; writing—review and editing, Y.H.; funding acquisition, Y.C. All authors have read and agreed to the published version of the manuscript.

Funding

The work was supported by the Natural Science Foundation of Hunan Province, China [No.2023JJ40228], the Natural Science Foundation of Changsha, China [No.kq2208058], the Excellent Youth Foundation of Hunan Educational Committee [No. 22B0628], the Hunan Provincial Social Science Achievement Evaluation Committee [No.XSP2023YSC061], “Digital Intelligence” Interdisciplinary Research Project of Hunan University of Technology and Business [No.2023SZJ25].

Institutional Review Board Statement

Not applicable.

Informed Consent Statement

Not applicable.

Data Availability Statement

Data are contained within the article.

Conflicts of Interest

Yaping Chen (First, author, School of Design and Art, Hunan University of Technology and Business, Changsha, China), Chun Wang (Corresponding author, School of Information Science and Engineering, Hunan Normal University, Changsha, China), Yinze Hu (Hunan Lugu Architectural Technology Co., Ltd., Changsha, China). All the authors above declare that they have no known competing financial interests or personal relationships that could have appeared to influence the work reported in this paper.

Appendix A

Table A1. Moran’s I values for grid group.
Table A1. Moran’s I values for grid group.
LCZ-1LCZ-2LCZ-3LCZ-4LCZ-5LCZ-6
Moran’s I0.7190.5820.5460.3420.3910.303
p-value0.0010.0010.0010.0010.0010.001
Z-value5.1651 **3.7873 **4.2140 **7.0382 **5.0807 **4.8382 **
** p < 0.05.
Table A2. SEM results.
Table A2. SEM results.
ParametersLCZ-1LCZ-2LCZ-3LCZ-4LCZ-5LCZ-6
FAR-0.3713-0.1779 *0.0239 *0.2328
BSF0.01460.06540.0784 *0.09400.0035-
SVF0.00340.013-0.01150.00510.0068
H/W---0.0043 *0.93200.0345
BSC0.08850.2415 **0.99020.1338 **0.014360.0940
NDVI0.0124 *0.00510.0047 **0.0038 ***0.00650.0062 *
ISR0.00040.00030.0002 **0.0003 *0.00050.0002 *
R20.33560.36210.48340.45800.53610.5742
Log-likelihood−641.7855−695.3006−104.3849−87.5532−158.3889−195.5067
AIC1437.51845.3216.664175.689355.462356.114
SC1484.341857.06219.317185.594350.255405.032
* p < 0.1, ** p < 0.05, *** p < 0.01.

References

  1. Tsinghua University Research Center for Architectural Energy Conservation. Annual Development Report on Energy Conservation in Chinese Architecture 2020; China Architecture & Building Press: Beijing, China, 2020. [Google Scholar]
  2. Ribeiro, H.V.; Rybski, D.; Kropp, J.P. Effects of Changing Population or Density on Urban Carbon Dioxide Emissions. Nat. Commun. 2019, 10, 3204. [Google Scholar] [CrossRef] [PubMed]
  3. Huo, T.; May, Y.; Cai, W.; Liu, B.S.; Mu, L. Will the Urbanization Process Influence the Peak of Carbon Emissions in the Building Sector? A Dynamic Scenario Simulation. Energy Build. 2021, 232, 110590. [Google Scholar] [CrossRef]
  4. Li, D.Y.; Zhao, Y.N.; Zhang, L.; Chen, X.H.; Cao, C. Impact of quality management on green innovation. J. Clean. Prod. 2018, 170, 462–470. [Google Scholar] [CrossRef]
  5. Zhou, Z.; Nie, L.; Ji, H.; Zeng, H.; Chen, X.H. Does a firm’s low-carbon awareness promote low-carbon behaviors? empirical evidence from China. J. Clean. Prod. 2019, 244, 118903. [Google Scholar] [CrossRef]
  6. Chen, X.H.; Gong, X.M.; Li, D.Y.; Zhang, J.P. Can information and communication technology reduce CO2 emission? A quantile regression analysis. Environ. Sci. Pollut. Res. 2019, 26, 32977–32992. [Google Scholar] [CrossRef]
  7. Gong, Y.L.; Luo, X.Y. Experimental Study on the Carbon Sequestration Benefit in Urban Residential Green Space Based on Urban Ecological Carrying Capacity. Sustainability 2022, 14, 7780. [Google Scholar] [CrossRef]
  8. Liu, L.M.; Chen, X.Y.; Yi, Y.; Yang, J.F.; Chen, J. Prioritization of Off-Grid Hybrid Renewable Energy Systems for Residential Communities in China Considering Public Participation with Basic Uncertain Linguistic Information. Sustainability 2023, 15, 8454. [Google Scholar] [CrossRef]
  9. Strcjmann-Andersen, J.; Sattrup, P.A. The Urban Canyon and Building Energy Use: Urban Density versus Daylight and Passive Solar Gains. Energy Build. 2011, 43, 2011–2020. [Google Scholar] [CrossRef]
  10. Ko, Y.; Radke, J.D. The Effect of Urban Form and Residential Cooling Energy Use in Sacramento, California. Environ. Plan. B Plan. Des. 2014, 41, 573–593. [Google Scholar] [CrossRef]
  11. Li, C.; Song, Y.; Kaza, N. Urban Form and Household Electricity Consumption: A Multilevel Study. Energy Build. 2018, 158, 181–193. [Google Scholar] [CrossRef]
  12. Liu, K.; Xu, X.; Zhang, R.; Kong, L.; Wang, W.; Deng, W. Impact of urban form on building energy consumption and solar energy potential: A case study of residential blocks in Jianhu, China. Energy Build. 2023, 280, 112727. [Google Scholar] [CrossRef]
  13. Martins, T.A.D.L.; Faraut, S.; Adolphe, L. Influence of context-sensitive urban and architectural design factors on the energy demand of buildings in Toulouse, France. Energy Build. 2019, 190, 262–278. [Google Scholar] [CrossRef]
  14. Martin, L.; March, L. Urban Space and Structures; Cambridge University Press: London, UK, 1972. [Google Scholar]
  15. Ascione, F.; Bianco, N.; Iovane, T.; Mastellone, M.; Mauro, G.M. Is it fundamental to model the inter-building effect for reliable building energy simulations? Interaction with shading systems. Build. Environ. 2020, 183, 107161. [Google Scholar] [CrossRef]
  16. Zhang, B.; Xie, G.D.; Gao, J.X.; Yang, Y. The cooling effect of urban green spaces as a contribution to energy-saving and emission-reduction: A case study in Beijing, China. Build. Environ. 2014, 76, 37–43. [Google Scholar] [CrossRef]
  17. Stewart, I.D.; Oke, T.R. Local climate zones for urban temperature studies. Bull. Am. Meteorol. Soc. 2012, 93, 1879–1900. [Google Scholar] [CrossRef]
  18. Krayenhoff, E.S.; Stewart, I.D.; Oke, T.R. Evaluation of the ‘local climate zone’ scheme using temperature observations and model simulations. Int. J. Climatol. A J. R. Meteorol. Soc. 2014, 34, 1062–1080. [Google Scholar]
  19. Kotharkar, R.; Ghosh, A.; Kapoor, S.; Reddy, D.G.K. Approach to local climate zone based energy consumption assessment in an Indian city. Energy Build. 2022, 259, 111835. [Google Scholar] [CrossRef]
  20. Du, R.Q.; Liu, C.H.; Li, X.X.; Lin, C.Y. Effect of local climate zone (LCZ) and building category (BC) classification on the simulation of urban climate and air-conditioning load in Hong Kong. Energy 2023, 271, 127004. [Google Scholar] [CrossRef]
  21. Chen, G.; Chen, Y.Q.; He, H.; Wang, J.S.; Zhao, L.H.; Cai, Y.N. Assessing the synergies between heat waves and urban heat islands of different local climate zones in Guangzhou, China. Build. Environ. 2023, 240, 110434. [Google Scholar] [CrossRef]
  22. Parvar, Z.; Mohammadzadeh, M.; Saeidi, S. LCZ framework and landscape metrics: Exploration of urban and peri-urban thermal environment emphasizing 2/3D characteristics. Build. Environ. 2024, 254, 111370. [Google Scholar] [CrossRef]
  23. Ahn, Y.J.; Sohn, D.W. The effect of neighbourhood-level urban form on residential building energy use: A GIS-based model using building energy benchmarking data in Seattle. Energy Build. 2019, 196, 124–133. [Google Scholar] [CrossRef]
  24. Hamdan, D.M.A.; Oliveira, D.F.L.D. The impact of urban design elements on microclimate in hot arid climatic conditions: Al Ain City, UAE. Energy Build. 2019, 200, 86–103. [Google Scholar]
  25. Martilli, A. An idealized study of city structure, urban climate, energy consumption, and air quality. Urban Clim. 2014, 10, 430–446. [Google Scholar] [CrossRef]
  26. Fonseca, J.A.; Schlueter, A. Integrated model for characterization of spatiotemporal building energy consumption patterns in neighborhoods and city districts. Appl. Energy 2015, 142, 247–265. [Google Scholar] [CrossRef]
  27. Quan, S.J.; Wu, J.; Wang, Y.; Shi, Z.M.; Yang, T.R.; Yang, P.P.J. Urban form and building energy performance in Shanghai neighborhoods. Energy Procedia 2016, 88, 126–132. [Google Scholar] [CrossRef]
  28. Rodríguez-álvarez, J. Urban Energy Index for Buildings (UEIB): A new method to evaluate the effect of urban form on buildings’ energy demand. Landsc. Urban Plan. 2016, 148, 170–187. [Google Scholar] [CrossRef]
  29. Fahed, J.; Kinab, E.; Ginestet, S.; Adolphe, L. Impact of urban heat island mitigation measures on microclimate and pedestrian comfort in a dense urban district of Lebanon. Sustain. Cities Soc. 2020, 61, 102375. [Google Scholar] [CrossRef]
  30. Javanroodi, K.; Mahdavinejad, M.; Nik, V.M. Impacts of urban morphology on reducing cooling load and increasing ventilation potential in hot-arid climate. Appl. Energy 2018, 231, 714–746. [Google Scholar] [CrossRef]
  31. Lima, I.; Scalco, V.; Lamberts, R. Estimating the impact of urban densification on high-ise office building cooling loads in a hot and humid climate. Energy Build. 2019, 182, 30–44. [Google Scholar] [CrossRef]
  32. Futcher, J.A.; Kershaw, T.; Mills, G. Urban form and function as building performance parameters. Build. Environ. 2013, 62, 112–123. [Google Scholar] [CrossRef]
  33. Martins, T.; Adolphe, L.; Bonhomme, M. Building Energy Demand Based on Urban Morphology Analysis: Case Study in Maceió, Brazil. In Proceedings of the 29th Conference on Passive and Low Energy Architecture (PLEA), Munich, Gemany, 2 October 2013. [Google Scholar]
  34. Murshed, S.M.; Duval, A.; Koch, A. Impact of urban morphology on energy consumption of vertical mobility in Asian cities-a comparative analysis with 3D city models. Urban Sci. 2019, 3, 4. [Google Scholar] [CrossRef]
  35. Rickwood, P.; Glazerbook, G.; Searle, G. Urban structure and energy—A review. Urban Policy Res. 2008, 26, 57–81. [Google Scholar] [CrossRef]
  36. Trepci, E.; Maghelal, P.; Azar, E. Effect of densification and compactness on urban building energy consumption: Case of a Transit-0riented Development in Dallas, TX. Sustain. Cities Soc. 2020, 56, 101987. [Google Scholar] [CrossRef]
  37. Yang, X.S.; Peng, L.L.H.; Jiang, Z.D.; Chen, Y.; Xu, T. Impact of urban heat island on energy demand in buildings: Local climate zones in Nanjing. Appl. Energy 2020, 260, 0306–2619. [Google Scholar] [CrossRef]
  38. Quan, S.; Economou, A.; Grasl, T.; Yang, P.P.J. An exploration of the relationship between density and building energy performance. Urban Des. Int. 2020, 25, 92–112. [Google Scholar] [CrossRef]
  39. Kruger, M.E. Options for Sustainability in Building and Energy: A South African Permaculture Case Study. Energy Procedia 2015, 83, 544–554. [Google Scholar] [CrossRef]
  40. Toparlar, Y.; Blocken, B.; Maiheu, B.; Van Heijst, G.J.F. Impact of urban microclimate on summertime building cooling demand: A parametric analysis for Antwerp, Belgium. Appl. Energy 2018, 228, 852–872. [Google Scholar] [CrossRef]
  41. Leng, H.; Chen, X.; Ma, Y.; Wong, N.H.; Ming, T. Urban morphology and building heating energy consumption: Evidence from Harbin, a severe cold region city. Energy Build. 2020, 224, 110143. [Google Scholar] [CrossRef]
  42. Chen, Y.; Li, J.; Hu, Y.; Liu, L.Y. Spatial and temporal characteristics of nighttime UHII based on local climate zone scheme using mobile measurement-A case study of Changsha. Build. Environ. 2023, 228, 109869. [Google Scholar] [CrossRef]
  43. Singh, M.; Sharston, R. Quantifying the dualistic nature of urban heat Island effect (UHI) on building energy consumption. Energy Build. 2022, 255, 111649. [Google Scholar] [CrossRef]
Figure 1. Location of the study area.
Figure 1. Location of the study area.
Sustainability 16 07157 g001
Figure 2. The workflow.
Figure 2. The workflow.
Sustainability 16 07157 g002
Figure 3. The layout of samples (O means office, R represent residential, P represent Point, S means Slab, E means enclosed).
Figure 3. The layout of samples (O means office, R represent residential, P represent Point, S means Slab, E means enclosed).
Sustainability 16 07157 g003aSustainability 16 07157 g003bSustainability 16 07157 g003c
Figure 4. LCZ samples.
Figure 4. LCZ samples.
Sustainability 16 07157 g004aSustainability 16 07157 g004b
Figure 5. The standard layers.
Figure 5. The standard layers.
Sustainability 16 07157 g005aSustainability 16 07157 g005bSustainability 16 07157 g005cSustainability 16 07157 g005d
Figure 6. Maps of urban form parameters.
Figure 6. Maps of urban form parameters.
Sustainability 16 07157 g006aSustainability 16 07157 g006bSustainability 16 07157 g006c
Figure 7. LCZ map and percentages of different LCZ types.
Figure 7. LCZ map and percentages of different LCZ types.
Sustainability 16 07157 g007
Figure 8. Boxplots of Ta, Wv, Rh, MRT, and SET* of different LCZs in summer and winter (red represent summer and blue represent winter).
Figure 8. Boxplots of Ta, Wv, Rh, MRT, and SET* of different LCZs in summer and winter (red represent summer and blue represent winter).
Sustainability 16 07157 g008aSustainability 16 07157 g008b
Figure 9. Monthly energy consumption (26 °C).
Figure 9. Monthly energy consumption (26 °C).
Sustainability 16 07157 g009aSustainability 16 07157 g009b
Figure 10. Monthly energy consumption (18 °C).
Figure 10. Monthly energy consumption (18 °C).
Sustainability 16 07157 g010aSustainability 16 07157 g010b
Figure 11. The energy use intensity (EUI).
Figure 11. The energy use intensity (EUI).
Sustainability 16 07157 g011aSustainability 16 07157 g011b
Figure 12. Hourly EUI of typical summer days, 26 °C (P represent point, D represent determinant, E represent enclosed).
Figure 12. Hourly EUI of typical summer days, 26 °C (P represent point, D represent determinant, E represent enclosed).
Sustainability 16 07157 g012
Figure 13. The heating and cooling EUI of central Changsha.
Figure 13. The heating and cooling EUI of central Changsha.
Sustainability 16 07157 g013
Table 1. Urban morphology parameters that affect energy consumption and microclimate.
Table 1. Urban morphology parameters that affect energy consumption and microclimate.
CategoryParametersFormulaIllustration
Urban DensityFloor Area Ratio (FAR)FAR = ΣFAR/Area gridSustainability 16 07157 i001
Building Surface Fraction (BSF)BSF = Building Footprint Area/Area gridSustainability 16 07157 i002
Average Building Height (BH)BH = ΣBH /N buildingSustainability 16 07157 i003
Spatial LayoutSky View Factor (SVF) ψ S V F = 1 i sin 2 β i ( α i 360 ° ) Sustainability 16 07157 i004
Height/width
(H/W)
Width = Area/Length,
H/W = H_avg/W_avg
Sustainability 16 07157 i005Sustainability 16 07157 i006
Building Shape Coefficient (BSC)BSC = Total Surface Area of Buildings/Total Volume of BuildingsSustainability 16 07157 i007
Urban Underlying SurfaceNormalized Difference Vegetation Index (NDVI)Remote Sensing Image Inversion-
Impervious Surface Ratio (ISR)Remote Sensing Image Inversion-
Roughness (R)Remote Sensing Image Inversion-
BuildingBuilding Type (BT)Point, RD, Enclosed type-
Table 2. Parameter set of residential buildings and office buildings in OpenStudio.
Table 2. Parameter set of residential buildings and office buildings in OpenStudio.
ParametersOfficeResidence
Indoor Temperature (°C)
Area per person (m2)
Ventilation Rate (Times/h)
26 °C/18 °C26 °C/18 °C
1025
0.50.5
Occupancy Rate of Rooms8:00–17:00 (workdays)65%35%
8:00–17:00 (holidays)35%65%
Other time90%90%
Sensible Heat Gain (W/m2)Illumination Power Density Value55
Equipment Power Density Value3.83.8
Illumination Usage Rate6:00–18:00100%0%
19:00–21:00, 24:0050%75%
22:00–23:00, 24:00–6:000%100%
Electrical Equipment Usage Rate6:00–12:00, 15:00–19:0095%15%
13:00–14:0095%40%
19:00–21:0030%85%
22:00–23:00, 24:00–6:000%100%
Table 3. Heat transfer coefficient of building structures.
Table 3. Heat transfer coefficient of building structures.
No.StructureHeat Transfer Coefficient (W/m2K)
1Roof0.30
2Exterior Wall0.5
3Overhanging or Cantilevered Floor Slab0.5
4Partition Walls and Floor Slabs Separating Heated/Air-conditioned Spaces from Unheated/Non-air-conditioned Spaces1.0
5Partition Wall and Floor Slab Between Units1.5
6External Doors, Apartment Doors (Non-transparent)1.5
7Window-to-Wall Area Ratio ≤ 0.252.5
0.25 < Window-to-Wall Area Ratio ≤ 0.402.0
0.40 < Window-to-Wall Area Ratio ≤ 0.601.8
Table 4. The input data of ENVI-met.
Table 4. The input data of ENVI-met.
Initial Meteorological DataSoil DataGround Data
DataSummer (22 July 2021)
Ta: 36.5 °C
Wv: 2.2 m/s
Wd: South
RH: 50%
Winter (20 January 2021)
Ta: −1 °C
Wv: 3.4 m/s
Wd: Northwest
RH: 53.4%
0–20 cm: 305 K/30%; 20–50 cm: 307 K/40%; Blow 50 cm: 306 K/50%Asphalt: grey
Albedo: 0.1
Brick: default data
Table 5. The correlation coefficient and regression model between urban morphological parameters and EUIgrid.
Table 5. The correlation coefficient and regression model between urban morphological parameters and EUIgrid.
FARBSFSVFH/WBSCNDVIISR
EUI winter 18 °C−0.546 **−0.365 *−0.215−0.2030.575 **−0.2970.022
EUI winter 26 °C−0.414 **−0.287 *−0.328 *−0.2200.675 **−0.272−0.020
EUI summer 18 °C−0.165−0.469 **0.044−0.574 **0.526 **−0.444 **0.161
EUI summer 26 °C−0.126−0.458 **0.078−0.540 **0.391 **−0.444 **0.073
EUI winter 18 °C EUI w18 = −0.396FAR + 0.44BSC
EUI winter 26 °C EUI w26 = −0.382FAR + 0.449BSC
EUI summer 18 °C EUI s18 = 0.538BSC − 0.458NDVI
EUI summer 26 °C EUI s26 = 0.403BSC − 0.454NDVI
** Significantly correlated at the 0.01 level (one-tailed); * Significantly correlated at the 0.05 level (one-tailed).
Table 6. SLM standard coefficients.
Table 6. SLM standard coefficients.
ParametersLCZ-1LCZ-2LCZ-3LCZ-4LCZ-5LCZ-6
FAR0.21160.35460.32410.23170.20450.2032
BSF0.28910.12150.1220---
SVF0.06030.0844-0.01920.15690.0265
H/W−0.3476−0.4650−0.4179−0.3343−0.3054−0.3739
BSC0.25630.45320.36420.24760.40450.4151
NDVI−0.2135−0.3543−0.3562−0.3780−0.3179−0.4152
ISR---0.1842--
Disclaimer/Publisher’s Note: The statements, opinions and data contained in all publications are solely those of the individual author(s) and contributor(s) and not of MDPI and/or the editor(s). MDPI and/or the editor(s) disclaim responsibility for any injury to people or property resulting from any ideas, methods, instructions or products referred to in the content.

Share and Cite

MDPI and ACS Style

Chen, Y.; Wang, C.; Hu, Y. Energy Consumption and Outdoor Thermal Comfort Characteristics in High-Density Urban Areas Based on Local Climate Zone—A Case Study of Changsha, China. Sustainability 2024, 16, 7157. https://doi.org/10.3390/su16167157

AMA Style

Chen Y, Wang C, Hu Y. Energy Consumption and Outdoor Thermal Comfort Characteristics in High-Density Urban Areas Based on Local Climate Zone—A Case Study of Changsha, China. Sustainability. 2024; 16(16):7157. https://doi.org/10.3390/su16167157

Chicago/Turabian Style

Chen, Yaping, Chun Wang, and Yinze Hu. 2024. "Energy Consumption and Outdoor Thermal Comfort Characteristics in High-Density Urban Areas Based on Local Climate Zone—A Case Study of Changsha, China" Sustainability 16, no. 16: 7157. https://doi.org/10.3390/su16167157

APA Style

Chen, Y., Wang, C., & Hu, Y. (2024). Energy Consumption and Outdoor Thermal Comfort Characteristics in High-Density Urban Areas Based on Local Climate Zone—A Case Study of Changsha, China. Sustainability, 16(16), 7157. https://doi.org/10.3390/su16167157

Note that from the first issue of 2016, this journal uses article numbers instead of page numbers. See further details here.

Article Metrics

Back to TopTop