Life Cycle Assessment of Municipal Solid Waste Management within Open Dumping and Landfilling Contexts: A Strategic Analysis and Planning Responses Applicable to Algeria
Abstract
1. Introduction
2. Materials and Methods
2.1. Senarios’ Definition
2.1.1. Scenario 1
2.1.2. Scenario 2
2.1.3. Scenario 3
2.1.4. Scenario 4
3. Results and Discussions
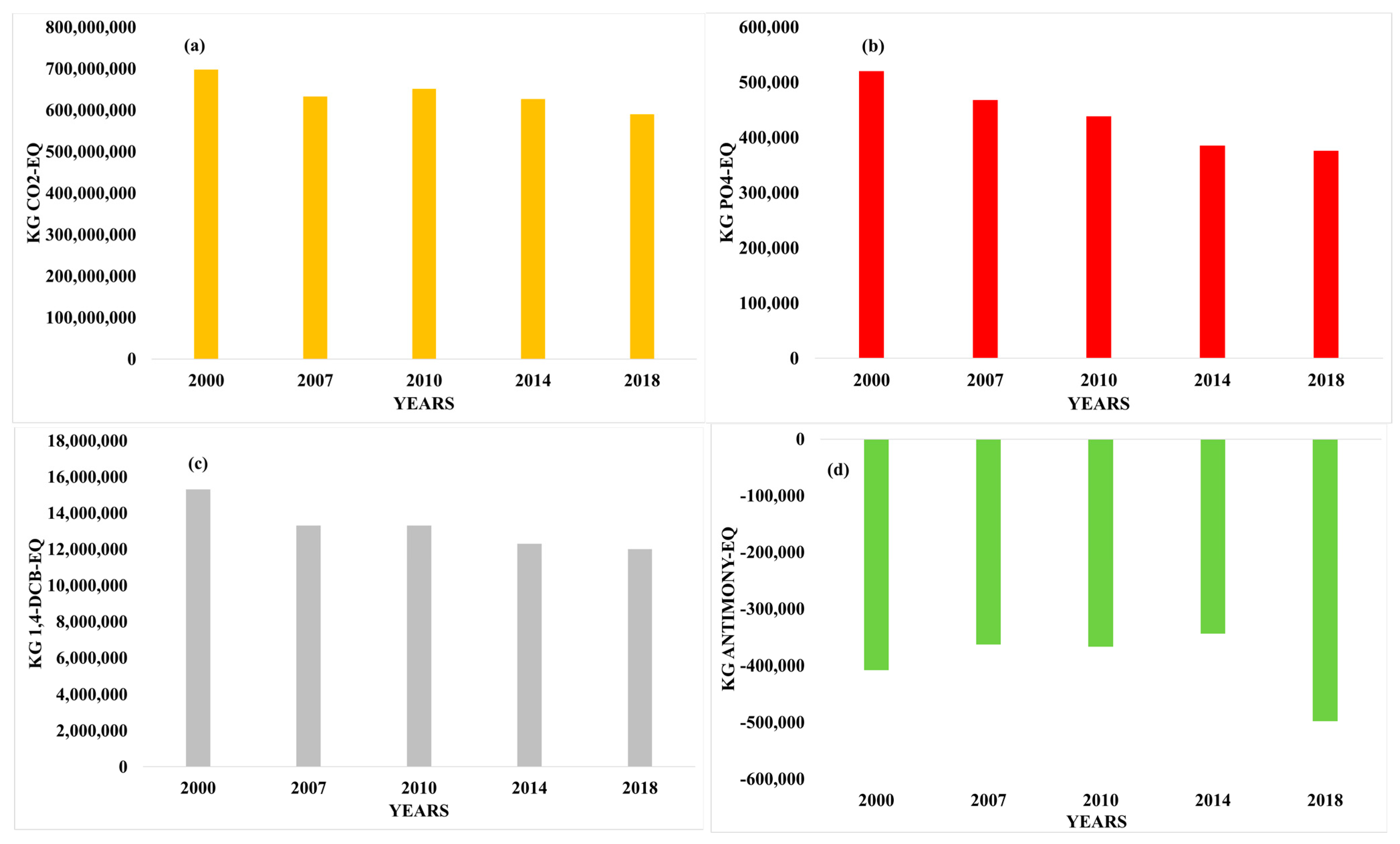
3.1. Global Environmental Impact Assessment
3.2. Contribution of Single Stages of Waste Management in Algeria
3.3. Quantitative Contribution of MSW Composition Change in LCA Results
3.4. Strategic Implications and Critical Analysis of Algeria’s National Waste Management Strategy 2035
3.5. Limitations, Outlook and Recommendations
4. Conclusions
- (i)
- It conducts a comprehensive analysis of the environmental impacts associated with various waste management scenarios in Algeria, highlighting the benefits of transitioning from current practices to more sustainable options. The research underscores the significant environmental gains achievable through strategic policy interventions.
- (ii)
- A scenario-based impact assessment reveals that the baseline scenario (scenario 1) describes the highest negative environmental impact.
- (iii)
- Scenario 2, incorporating methane capture from landfills with 20% energy recovery, demonstrates an 84% reduction in climate change impact, illustrating the potential of advanced waste management technologies to mitigate environmental harm.
- (iv)
- Stage-specific insights emphasize landfilling of MSW as the predominant contributor to adverse environmental impacts across all scenarios, particularly pronounced in scenario 1. In contrast, due to the limited number of trucks, current transportation practices show comparatively lower environmental impacts. However, future scenarios are anticipated to involve increased truck traffic, necessitating optimization algorithms for routing. This proactive approach is essential to maximize efficiency and minimize environmental impacts achieving up to 58% reductions in CO2 emissions.
- (v)
- The study proposes financial equilibrium achieved by changing the service fees from a flat rate of 2000 Algerian Dinars (DZD) per household per year to 1% of household income, with at least 41% cost recovery from citizens at the national level, with minimum recovery targets for composting (50%), recycling (25%), and efficient landfilling (15%) with 20% energy recovery.
- (vi)
- Critical findings underscore the urgency of transitioning from conventional waste management practices toward Scenario 2 and beyond, where methane capture and increased recycling significantly improve environmental outcomes.
- (vii)
- The shift in waste composition toward reduced organic content and increased recyclables presents both challenges and strategic opportunities for future policy development in Algeria and nations with similar municipal waste characteristics and strategic municipal waste management orientations.
- (viii)
- Policy implications include the need for strengthened infrastructure and review of the legislative frameworks to manage methane emissions efficiency. Promoting composting and recycling initiatives, along with implementing strict regulatory measures such as extended producer responsibility, emerge as key strategies. Addressing financial sustainability in waste management requires innovative tax reforms and increased recovery rates to achieve fiscal equilibrium while advancing environmental objectives.
Supplementary Materials
Author Contributions
Funding
Institutional Review Board Statement
Informed Consent Statement
Data Availability Statement
Acknowledgments
Conflicts of Interest
References
- Getahun, T.; Mengistie, E.; Haddis, A.; Wasie, F.; Alemayehu, E.; Dadi, D.; Van Gerven, T.; Van der Bruggen, B. Municipal Solid Waste Generation in Growing Urban Areas in Africa: Current Practices and Relation to Socioeconomic Factors in Jimma, Ethiopia. Environ. Monit. Assess. 2012, 184, 6337–6345. [Google Scholar] [CrossRef]
- Harris, J.R.; Wilkinson, L.; Heather, K.; Fumerton, S.; Bernier, M.; Ayer, J.; Dahn, R. Application of GIS Processing Techniques for Producing Mineral Prospectivity Maps—A Case Study: Mesothermal Au in the Swayze Greenstone Belt, Ontario, Canada. Nat. Resour. Res. 2001, 10, 91–124. [Google Scholar] [CrossRef]
- Maalouf, A.; El-Fadel, M. Life Cycle Assessment for Solid Waste Management in Lebanon: Economic Implications of Carbon Credit. Waste Manag. Res. 2019, 37, 14–26. [Google Scholar] [CrossRef]
- Wilson, D.C.; Velis, C.; Cheeseman, C. Role of Informal Sector Recycling in Waste Management in Developing Countries. Habitat. Int. 2006, 30, 797–808. [Google Scholar] [CrossRef]
- Diaz, L.F. Waste Management in Developing Countries and the Circular Economy. Waste Manag. Res. 2017, 35, 1–2. [Google Scholar] [CrossRef] [PubMed]
- Kaza, S.; Yao, L.C.; Bhada-Tata, P.; Van Woerden, F. What a Waste 2.0: A Global Snapshot of Solid Waste Management to 2050; World Bank Publications: Chicago, IL, USA, 2018. [Google Scholar]
- Blanco, G.; Gerlagh, R.; Suh, S. Drivers, Trends and Mitigation. In Climate Change 2014, Mitigation of Climate Change; Working Group III Contribution to the IPCC 5th Assessment Report; IPCC: Geneva, Switzerland, 2014. [Google Scholar]
- Maalouf, A.; El-Fadel, M. A Novel Software for Optimizing Emissions and Carbon Credit from Solid Waste and Wastewater Management. Sci. Total Environ. 2020, 714, 136736. [Google Scholar] [CrossRef]
- Christensen, T.H.; Simion, F.; Tonini, D.; Møller, J. Global Warming Factors Modelled for 40 Generic Municipal Waste Management Scenarios. Waste Manag. Res. 2009, 27, 871–884. [Google Scholar] [CrossRef] [PubMed]
- Dahlén, L.; Åberg, H.; Lagerkvist, A.; Berg, P.E.O. Inconsistent Pathways of Household Waste. Waste Manag. 2009, 29, 1798–1806. [Google Scholar] [CrossRef] [PubMed]
- Di Maria, F.; Sisani, F. A Life Cycle Assessment of Conventional Technologies for Landfill Leachate Treatment. Environ. Technol. Innov. 2017, 8, 411–422. [Google Scholar] [CrossRef]
- Ripa, M.; Fiorentino, G.; Vacca, V.; Ulgiati, S. The Relevance of Site-Specific Data in Life Cycle Assessment (LCA). The Case of the Municipal Solid Waste Management in the Metropolitan City of Naples (Italy). J. Clean. Prod. 2017, 142, 445–460. [Google Scholar] [CrossRef]
- Noya, I.; Inglezakis, V.; González-García, S.; Katsou, E.; Feijoo, G.; Moreira, M. Comparative Environmental Assessment of Alternative Waste Management Strategies in Developing Regions: A Case Study in Kazakhstan. Waste Manag. Res. 2018, 36, 689–697. [Google Scholar] [CrossRef] [PubMed]
- Othman, S.N.; Noor, Z.Z.; Abba, A.H.; Yusuf, R.O.; Hassan, M.A.A. Review on Life Cycle Assessment of Integrated Solid Waste Management in Some Asian Countries. J. Clean. Prod. 2013, 41, 251–262. [Google Scholar] [CrossRef]
- Bisinella, V.; Götze, R.; Conradsen, K.; Damgaard, A.; Christensen, T.H.; Astrup, T.F. Importance of Waste Composition for Life Cycle Assessment of Waste Management Solutions. J. Clean. Prod. 2017, 164, 1180–1191. [Google Scholar] [CrossRef]
- Slagstad, H.; Brattebø, H. Influence of Assumptions about Household Waste Composition in Waste Management LCAs. Waste Manag. 2013, 33, 212–219. [Google Scholar] [CrossRef] [PubMed]
- den Boer, J.; den Boer, E.; Jager, J. LCA-IWM: A Decision Support Tool for Sustainability Assessment of Waste Management Systems. Waste Manag. 2007, 27, 1032–1045. [Google Scholar] [CrossRef] [PubMed]
- Thabit, Q.; Nassour, A.; Nelles, M. Facts and Figures on Aspects of Waste Management in Middle East and North Africa Region. Waste 2022, 1, 52–80. [Google Scholar] [CrossRef]
- Abdallah, M.; Shanableh, A.; Arab, M.; Shabib, A.; Adghim, M.; El-Sherbiny, R. Waste to Energy Potential in Middle Income Countries of MENA Region Based on Multi-Scenario Analysis for Kafr El-Sheikh Governorate, Egypt. J. Environ. Manag. 2019, 232, 58–65. [Google Scholar] [CrossRef] [PubMed]
- Kebaili, F.K.; Baziz-Berkani, A.; Aouissi, H.A.; Mihai, F.-C.; Houda, M.; Ababsa, M.; Azab, M.; Petrisor, A.-I.; Fürst, C. Characterization and Planning of Household Waste Management: A Case Study from the MENA Region. Sustainability 2022, 14, 5461. [Google Scholar] [CrossRef]
- Zarea, M.A.; Moazed, H.; Ahmadmoazzam, M.; Malekghasemi, S.; Jaafarzadeh, N. Life Cycle Assessment for Municipal Solid Waste Management: A Case Study from Ahvaz, Iran. Environ. Monit. Assess. 2019, 191, 131. [Google Scholar] [CrossRef]
- Guermoud, N.; Ouadjnia, F.; Abdelmalek, F.; Taleb, F.; addou, A. Municipal Solid Waste in Mostaganem City (Western Algeria). Waste Manag. 2009, 29, 896–902. [Google Scholar] [CrossRef]
- National Waste Agency 2019. Available online: https://and.dz/rapport-de-caracterisation-des-dechets-cotiers-20019-2020/ (accessed on 15 June 2024).
- Cheniti, H.; Serradj, T.; Brahamia, K. Generation and Physical Characterization of Household Waste in Annaba City. Environ. Eng. Manag. J. 2020, 19, 713–720. [Google Scholar] [CrossRef]
- Cheniti, H.; Serradj, T.; Brahamia, K.; Makhlouf, A.; Guerraiche, S. Physical Knowledge of Household Waste in Algeria: Generation and Composition in the Town of Annaba. Waste Manag. Res. 2013, 31, 1180–1186. [Google Scholar] [CrossRef] [PubMed]
- Clavreul, J.; Guyonnet, D.; Christensen, T.H. Quantifying Uncertainty in LCA-Modelling of Waste Management Systems. Waste Manag. 2012, 32, 2482–2495. [Google Scholar] [CrossRef] [PubMed]
- Lodato, C.; Tonini, D.; Damgaard, A.; Fruergaard Astrup, T. A Process-Oriented Life-Cycle Assessment (LCA) Model for Environmental and Resource-Related Technologies (EASETECH). Int. J. Life Cycle Assess. 2020, 25, 73–88. [Google Scholar] [CrossRef]
- Gentil, E.C.; Damgaard, A.; Hauschild, M.; Finnveden, G.; Eriksson, O.; Thorneloe, S.; Kaplan, P.O.; Barlaz, M.; Muller, O.; Matsui, Y.; et al. Models for Waste Life Cycle Assessment: Review of Technical Assumptions. Waste Manag. 2010, 30, 2636–2648. [Google Scholar] [CrossRef]
- Henriksen, T.; Levis, J.W.; Barlaz, M.A.; Damgaard, A. Approaches to Fill Data Gaps and Evaluate Process Completeness in LCA—Perspectives from Solid Waste Management Systems. Int. J. Life Cycle Assess. 2019, 24, 1587–1601. [Google Scholar] [CrossRef]
- D’Amato, S.; Del Panta, G. Does Rentierism Have a Conditional Effect on Violence? Regime Oil Dependency and Civil War in Algeria. Extr. Ind. Soc. 2017, 4, 361–370. [Google Scholar] [CrossRef]
- Ruedy, J. Modern Algeria: The Origins and Development of a Nation, 2nd ed.; Indiana University Press: Bloomington, IN, USA, 2005; ISBN 978-0-253-21782-0. [Google Scholar]
- Akerkar, A. Évolution de La Ruralité En Kabylie: Dynamiques Sociodémographiques et Mutations Spatio-Économiques. Les Cah. D’outre-Mer 2015, 271, 289–317. [Google Scholar] [CrossRef]
- Arif, S. Etude sur la Stratégie Nationale et Plan d’Action de la Gestion Intégrée et de la Valorisation des Déchets à l’Horizon 2035. 2017; p. 185. Available online: https://www.me.gov.dz/fr/elaboration-dune-strategie-nationale-pour-la-gestion-integree-des-dechets-a-lhorizon-2035/ (accessed on 7 April 2022).
- ISO 14040:2006; Environmental management—Life cycle assessment—Principles and framework. ISO Publishing: Geneve, Switzerland, 2006.
- ISO 14044:2006; Environmental management—Life cycle assessment—Requirements and guidelines. ISO Publishing: Geneve, Switzerland, 2006.
- Golder Associates WRATE (Waste and Resources Assessment Tool for the Environment). User Manual V3; WRATE: Toronto, ON, Canada, 2014. [Google Scholar]
- Hauschild, M.Z.; Wenzel, H. The European Person Equivalent: Measuring the Personal Environmental Space. In Proceedings of the Annual Report NATO/CCMS Pilot Study, Clean Products and Processes (Phase I); Report no. 242. U.S. En. United States Environmental Protection Agency: Washington, DC, USA, 2001. [Google Scholar]
- Hischier, R.; Weidema, B. Implementation of Life Cycle Impact Assessment Methods Data v2.2 Ecoinvent; Swiss Centre for Life Cycle Inventories: Duebendorf, Switzerland, 2010. [Google Scholar]
- Prado, V.; Cinelli, M.; Ter Haar, S.F.; Ravikumar, D.; Heijungs, R.; Guinée, J.; Seager, T.P. Sensitivity to Weighting in Life Cycle Impact Assessment (LCIA). Int. J. Life Cycle Assess. 2020, 25, 2393–2406. [Google Scholar] [CrossRef]
- Tunesi, S. LCA of Local Strategies for Energy Recovery from Waste in England, Applied to a Large Municipal Flow. Waste Manag. 2011, 31, 561–571. [Google Scholar] [CrossRef]
- Dahlén, L.; Lagerkvist, A. Methods for Household Waste Composition Studies. Waste Manag. 2008, 28, 1100–1112. [Google Scholar] [CrossRef] [PubMed]
- ADEME MODECOMTM. A Method for Characterization of Domestic Waste; ADEME, Ed.; Connaître Pour Agir (Paris): Paris, France, 1993; ISBN 2-908035-16-2. [Google Scholar]
- Boonmee, C.; Arimura, M.; Kasemset, C. Post-Disaster Waste Management with Carbon Tax Policy Consideration. Energy Rep. 2021, 7, 89–97. [Google Scholar] [CrossRef]
- Brown, C.; Milke, M.; Seville, E. Disaster Waste Management: A Review Article. Waste Manag. 2011, 31, 1085–1098. [Google Scholar] [CrossRef] [PubMed]
- Sarkodie, S.A.; Owusu, P.A. Impact of COVID-19 Pandemic on Waste Management. Environ. Dev. Sustain. 2021, 23, 7951–7960. [Google Scholar] [CrossRef] [PubMed]
- Ananda, J.; Karunasena, G.G.; Pearson, D. Has the COVID-19 Pandemic Changed Household Food Management and Food Waste Behavior? A Natural Experiment Using Propensity Score Matching. J. Environ. Manag. 2023, 328, 116887. [Google Scholar] [CrossRef] [PubMed]
- Cheniti, H.; Cheniti, M.; Brahamia, K. Use of GIS and Moran’s I to Support Residential Solid Waste Recycling in the City of Annaba, Algeria. Environ. Sci. Pollut. Res. 2020, 28, 34027–34041. [Google Scholar] [CrossRef]
- Max, K.; Shannon, K.; Jenny, S. Quantifying Methane Emissions from Landfilled Food Waste; U.S. Environmental Protection Agency (EPA): Washington, DC, USA, 2023; pp. 1–31. [Google Scholar]
- Ngnikam, E.; Tanawa, E.; Rousseaux, P.; Riedacker, A.; Gourdon, R. Evaluation of the Potentialities to Reduce Greenhouse Gases (GHG) Emissions Resulting from Various Treatments of Municipal Solid Wastes (MSW) in Moist Tropical Climates: Application to Yaounde. Waste Manag. Res. 2003, 20, 501–513. [Google Scholar] [CrossRef] [PubMed]
- Yoshida, H.; Gable, J.; Park, J. Evaluation of Organic Waste Diversion Alternatives for Greenhouse Gas Reduction. Resour. Conserv. Recycl. 2012, 60, 1–9. [Google Scholar] [CrossRef]
- Zhu-Barker, X.; Bailey, S.K.; Burger, M.; Horwath, W.R. Greenhouse Gas Emissions from Green Waste Composting Windrow. Waste Manag. 2016, 59, 70–79. [Google Scholar] [CrossRef]
- Pace, S.A.; Yazdani, R.; Kendall, A.; Simmons, C.W.; VanderGheynst, J.S. Impact of Organic Waste Composition on Life Cycle Energy Production, Global Warming and Water Use for Treatment by Anaerobic Digestion Followed by Composting. Resour. Conserv. Recycl. 2018, 137, 126–135. [Google Scholar] [CrossRef]
- Nordahl, S.; Preble, C.; Kirchstetter, T.; Scown, C. Greenhouse Gas and Air Pollutant Emissions from Composting. Environ. Sci. Technol. 2023, 57, 2235–2247. [Google Scholar] [CrossRef] [PubMed]
- Kulczycka, J.; Generowicz, A.; Kowalski, Z. Strength and Weakness of Municipal and Packaging Waste System in Poland; IntechOpen: London, UK, 2011; ISBN 978-953-307-469-6. [Google Scholar]
- Lee, D.; Tongarlak, M. Converting Retail Food Waste into By-Product. Eur. J. Oper. Res. 2016, 257, 944–956. [Google Scholar] [CrossRef]
- Radhakrishnan, S. Environmental Implications of Reuse and Recycling of Packaging. In Environmental Footprints of Packaging; Springer: Singapore, 2015; pp. 165–192. ISBN 978-981-287-911-0. [Google Scholar]
- Prasetya, H.; Arkeman, Y.; Hambali, E. Role of Methane Capture for Sustainable Biodiesel Production from Palm Oil: A Life Cycle Assessment Approach. Int. J. Adv. Sci. Eng. Inf. Technol. 2013, 3, 346. [Google Scholar] [CrossRef]
- Sohoo, I.; Ritzkowski, M.; Kuchta, K.; Cinar, S.Ö. Environmental Sustainability Enhancement of Waste Disposal Sites in Developing Countries through Controlling Greenhouse Gas Emissions. Sustainability 2020, 13, 151. [Google Scholar] [CrossRef]
- Scharff, H.; Soon, H.-Y.; Rwabwehare Taremwa, S.; Zegers, D.; Dick, B.; Villas Bôas Zanon, T.; Shamrock, J. The Impact of Landfill Management Approaches on Methane Emissions. Waste Manag. Res. 2023, 0734242X231200742. [Google Scholar] [CrossRef] [PubMed]
- Lacerda, M.T.; Maceno, M.M.C. The Gaps for Future Studies in Life Cycle Assessment (LCA) of Single-Use Plastic Bags: A Literature Review: Review on the Gaps for Future Studies. In Handbook of Sustainability Science in the Future; Leal Filho, W., Azul, A.M., Doni, F., Salvia, A.L., Eds.; Springer International Publishing: Cham, Switzerland, 2022; pp. 1–20. ISBN 978-3-030-68074-9. [Google Scholar]
- Pamukçu, H.; Soyertaş Yapıcıoğlu, P.; İrfan Yeşilnacar, M. Investigating the Mitigation of Greenhouse Gas Emissions from Municipal Solid Waste Management Using Ant Colony Algorithm, Monte Carlo Simulation and LCA Approach in Terms of EU Green Deal. Waste Manag. Bull. 2023, 1, 6–14. [Google Scholar] [CrossRef]
- Chaerul, M.; Tompubolon, G.M.H. The Role of Waste Compaction Facility for Reducing Greenhouse Gasses Emission of Waste Transportation. IOP Conf. Ser. Earth Environ. Sci. 2019, 245, 012050. [Google Scholar] [CrossRef]
- Rouhi, K.; Shafiepour Motlagh, M.; Dalir, F. Developing a Carbon Footprint Model and Environmental Impact Analysis of Municipal Solid Waste Transportation: A Case Study of Tehran, Iran. J. Air Waste Manag. Assoc. 2023, 73, 890–901. [Google Scholar] [CrossRef]
- Kristanto, G.A.; Koven, W. Estimating Greenhouse Gas Emissions from Municipal Solid Waste Management in Depok, Indonesia. City Environ. Interact. 2019, 4, 100027. [Google Scholar] [CrossRef]
- World Bioenergy Association. Global Bioenergy Statistics; World Bioenergy Association: Stockholm, Sweden, 2022. [Google Scholar]
- Amez, I.; Castells, B.; Llamas, B.; Bolonio, D.; García-Martínez, M.J.; Lorenzo, J.L.; García-Torrent, J.; FOrtega, M. Experimental Study of Biogas–Hydrogen Mixtures Combustion in Conventional Natural Gas Systems. Appl. Sci. 2021, 11, 6513. [Google Scholar] [CrossRef]
- Gorman, M.R.; Dzombak, D.A.; Frischmann, C. Potential Global GHG Emissions Reduction from Increased Adoption of Metals Recycling. Resour. Conserv. Recycl. 2022, 184, 106424. [Google Scholar] [CrossRef]
- Schäfer, P.; Schmidt, M. Discrete-Point Analysis of the Energy Demand of Primary versus Secondary Metal Production. Environ. Sci. Technol. 2020, 54, 507–516. [Google Scholar] [CrossRef] [PubMed]
- Laurent, A.; Bakas, I.; Clavreul, J.; Bernstad, A.; Niero, M.; Gentil, E.; Hauschild, M.Z.; Christensen, T.H. Review of LCA Studies of Solid Waste Management Systems—Part I: Lessons Learned and Perspectives. Waste Manag. 2014, 34, 573–588. [Google Scholar] [CrossRef] [PubMed]
- United Nations Department of Economic and Social Affairs. The 17 Goals; United Nations Department of Economic and Social Affairs: New York, NY, USA, 2015. [Google Scholar]
- United Nations. Transforming Our World: The 2030 Agenda for Sustainable Development; United Nations: New York, NY, USA, 2015. [Google Scholar]
- Stambouli, A.B.; Khiat, Z.; Flazi, S.; Kitamura, Y. A Review on the Renewable Energy Development in Algeria: Current Perspective, Energy Scenario and Sustainability Issues. Renew. Sustain. Energy Rev. 2012, 16, 4445–4460. [Google Scholar] [CrossRef]
- Khelidj, B.; Abderezzak, B.; Kellaci, A. Biogas Production Potential in Algeria: Waste to Energy Opportunities. In Proceedings of the 2012 International Conference on Renewable Energies for Developing Countries (REDEC), Beirut, Lebanon, 28–29 November 2012; pp. 1–5. [Google Scholar]
- Eddine, B.; Salah, M. Solid Waste as Renewable Source of Energy: Current and Future Possibility in Algeria. Int. J. Energy Environ. Eng. 2012, 3, 17. [Google Scholar] [CrossRef]
- Simsek, C.; Elci, A.; Gunduz, O.; Taskin, N. An Improved Landfill Site Screening Procedure under NIMBY Syndrome Constraints. Landsc. Urban. Plan. 2014, 132, 1–15. [Google Scholar] [CrossRef]
- Xu, M.; Liu, Y.; Cui, C.; Xia, B.; Ke, Y.; Skitmore, M. Social Acceptance of NIMBY Facilities: A Comparative Study between Public Acceptance and the Social License to Operate Analytical Frameworks. Land. Use Policy 2023, 124, 106453. [Google Scholar] [CrossRef]
- Waste Hierarchy: Step Up & Go Green. 2023. Available online: https://www.researchgate.net/figure/Waste-Hierarch-e-Step-Up-Go-Green-Lansinks-ladder-63-Open-Source_fig2_344607535 (accessed on 7 April 2022).
- Zhang, C.; Hu, M.; Di Maio, F.; Sprecher, B.; Yang, X.; Tukker, A. An Overview of the Waste Hierarchy Framework for Analyzing the Circularity in Construction and Demolition Waste Management in Europe. Sci. Total Environ. 2022, 803, 149892. [Google Scholar] [CrossRef] [PubMed]
- EC Council. Directive 1999/31/EC of 26 April 1999 on the Landfill of Waste 1999. Off. J. Eur. Union 1999, L182, 1–19. Available online: https://eur-lex.europa.eu/eli/dir/1999/31/oj (accessed on 7 April 2022).
- EC. Directive (EU). 2018/850 of the European Parliament and of the Council of 30 May 2018 Amending Directive 1999/31/EC on the Landfill of Waste (Text with EEA Relevance) 2018. Off. J. Eur. Union 2018, L150, 100–108. [Google Scholar]
- Eurostat. Landfill Rate of Waste Excluding Major Mineral Wastes; Eurostat: Luxembourg, 2021. [Google Scholar]
- EC. Directive 94/62/EC on Packaging and Packaging Waste and Its Revision(s) 1994. Off. J. Eur. Union 1994, L365, 10–23. Available online: https://eur-lex.europa.eu/legal-content/EN/TXT/?uri=celex%3A31994L0062 (accessed on 7 April 2022).
- EC. Directive 2008/98/EC of the European Parliament and of the Council of 19 November 2008 on Waste and Repealing Certain Directives 2008. Off. J. Eur. Union 2008, L312, 3–30. Available online: https://eur-lex.europa.eu/legal-content/EN/TXT/?uri=celex%3A32008L0098 (accessed on 7 April 2022).
- EC. Directive (EU) 2018/851 of the European Parliament and of the Council of 30 May 2018 Amending Directive 2008/98/EC on Waste (Text with EEA Relevance) 2018. Off. J. Eur. Union 2018, L150, 109–140. Available online: https://eur-lex.europa.eu/eli/dir/2018/851/oj (accessed on 7 April 2022).
- Chu, Z.; Zhou, A.; He, Z.; Huang, W.; Lv, Z. The Potential Value of Recycling Municipal Household Solid Waste in Shanghai, China. J. Air Waste Manag. Assoc. 2021, 71, 285–292. [Google Scholar] [CrossRef]
- Widyatmika, M.A.; Bolia, N.B. Understanding Citizens’ Perception of Waste Composting and Segregation. J. Mater. Cycles Waste Manag. 2023, 25, 1608–1621. [Google Scholar] [CrossRef]










Disclaimer/Publisher’s Note: The statements, opinions and data contained in all publications are solely those of the individual author(s) and contributor(s) and not of MDPI and/or the editor(s). MDPI and/or the editor(s) disclaim responsibility for any injury to people or property resulting from any ideas, methods, instructions or products referred to in the content. |
© 2024 by the authors. Licensee MDPI, Basel, Switzerland. This article is an open access article distributed under the terms and conditions of the Creative Commons Attribution (CC BY) license (https://creativecommons.org/licenses/by/4.0/).
Share and Cite
Cheniti, H.; Kerboua, K.; Sekiou, O.; Aouissi, H.A.; Benselhoub, A.; Mansouri, R.; Zeriri, I.; Barbari, K.; Gilev, J.B.; Bouslama, Z. Life Cycle Assessment of Municipal Solid Waste Management within Open Dumping and Landfilling Contexts: A Strategic Analysis and Planning Responses Applicable to Algeria. Sustainability 2024, 16, 6930. https://doi.org/10.3390/su16166930
Cheniti H, Kerboua K, Sekiou O, Aouissi HA, Benselhoub A, Mansouri R, Zeriri I, Barbari K, Gilev JB, Bouslama Z. Life Cycle Assessment of Municipal Solid Waste Management within Open Dumping and Landfilling Contexts: A Strategic Analysis and Planning Responses Applicable to Algeria. Sustainability. 2024; 16(16):6930. https://doi.org/10.3390/su16166930
Chicago/Turabian StyleCheniti, Hamza, Kaouther Kerboua, Omar Sekiou, Hani Amir Aouissi, Aissa Benselhoub, Rachida Mansouri, Ibtissem Zeriri, Karima Barbari, Jadranka Blazevska Gilev, and Zihad Bouslama. 2024. "Life Cycle Assessment of Municipal Solid Waste Management within Open Dumping and Landfilling Contexts: A Strategic Analysis and Planning Responses Applicable to Algeria" Sustainability 16, no. 16: 6930. https://doi.org/10.3390/su16166930
APA StyleCheniti, H., Kerboua, K., Sekiou, O., Aouissi, H. A., Benselhoub, A., Mansouri, R., Zeriri, I., Barbari, K., Gilev, J. B., & Bouslama, Z. (2024). Life Cycle Assessment of Municipal Solid Waste Management within Open Dumping and Landfilling Contexts: A Strategic Analysis and Planning Responses Applicable to Algeria. Sustainability, 16(16), 6930. https://doi.org/10.3390/su16166930

