Short-Term Wind Power Prediction Based on a Modified Stacking Ensemble Learning Algorithm
Abstract
1. Introduction
- -
- Five suitable base models were chosen for the following research, including two boosting algorithms and methods to determine internal parameters.
- -
- A stacking algorithm with both tree-based models and neural networks combines the advantages of the two, both of which have been proposed for wind power predictions and to reduce errors therein.
- -
- In addition, a modified stacking algorithm is proposed to overcome deficiencies, such that all outputs of the first layer have equal weights.
2. Model Evaluation Criteria
3. A Modified Stacking Ensemble Learning Algorithm
3.1. Bagging
3.2. Boosting
3.2.1. Procedure of BEM Boosting
- Initialize sample probabilities in original data set so that their initial selection probabilities are equal and the probability of the ith sample is determined as:where N is the number of the datum in the sample set.
- Compose a new input space based on the above probability with putative sampling, and use the corresponding output space as the target to train the learner.
- From the simulated raw data of the above learner, calculate absolute error AE between the simulated and actual values:
- Split the data into two categories of large and small errors based on the absolute error, with the split point set to an adjustable φ. Count the data with errors larger than the split point and calculate their errors ε for subsequent integrations:
- Since boosting pays more attention to the samples that are difficult to learn and have large errors, the selection probability of the samples with large errors is increased, while the selection probability of the samples with small errors is decreased. The mth probability is updated:where normalization constant .
- Repeat steps 2–5 several times, with the first T times serving to meet the accuracy of the basic conditions of the combination of learners and the remaining iterations being implemented because the beginning of the T + 1 times learners are all abandoned. Here, T is the final number of iterations. Combine the initial learner and these T learners in the following way:
3.2.2. Procedure of AdaBoost.RT
3.3. Generate the Base Learner
3.4. Linear Weighted Model Integration
- 7.
- Equal Weighted Integrated Model
- 8.
- Weighted Integrated Model
- 9.
- Sum of Squared Error Weighted Integrated Model
- 10.
- Root Mean Squared Error Weighted Integrated Model
- 11.
- Coefficient of Determination Weighted Integrated Model
3.5. Stacking
4. Case Study
4.1. Data Collection
4.2. Base Learner
4.3. Meta Learner (Integration Model)
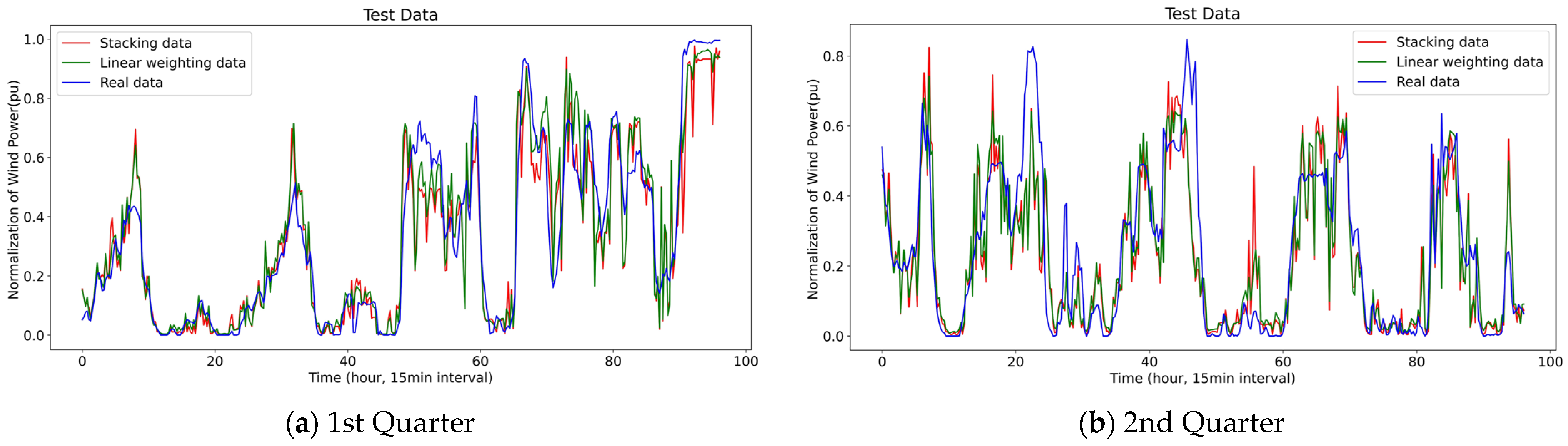
4.3.1. Wind Power Prediction Results at Different Times
- The first quarter deterministic prediction. In this phase, the historical NWP data from January to February were used, and the first 20 days of March were tested.
- The second quarter deterministic prediction. In this phase, the historical NWP data from April to May were used, and the first 20 days of June were tested.
- The third quarter deterministic prediction. In this phase, the historical NWP data from July to August were used, and the first 20 days of September were tested.
- The last quarter deterministic prediction. In this phase, the historical NWP data from October to November were used, and the first 20 days of December were tested.
4.3.2. Wind Power Prediction Results of Different Look-Ahead Times
5. Conclusions
Author Contributions
Funding
Institutional Review Board Statement
Informed Consent Statement
Data Availability Statement
Conflicts of Interest
Nomenclature
| Variables | Meaning |
| MAPE | Mean absolute percentage error |
| NRMSE | Normalized root mean square error |
| R2 | Coefficient of determination |
| True value of wind power corresponding the ith input | |
| Average of the true value of wind power | |
| Predicted value of wind power corresponding the ith input | |
| N | Number of samples |
| Maximum value of wind power | |
| Minimum value of wind power | |
| Original data set | |
| AE | Absolute error |
| φ | An adjustable parameter to split point set |
| Number of data with errors larger than the split point | |
| ε | Total errors |
| Probability of the mth selection and the ith item | |
| Z | Normalization constant for probability |
| T | Final number of iterations |
| ARE | Average relative error |
| hth output of the hidden layer | |
| Prediction of the jth output of the output layer | |
| d | Number of neurons in input layers |
| q | Number of neurons in hidden layers |
| l | Number of neurons in output layers |
| Weight between the ith neuron in the input layer to the hth neuron in the hidden layer | |
| hth bias of the hidden layer | |
| Weight between hth neuron in the hidden layer to the jth neuron in output layer | |
| jth bias of the output layer | |
| hth input of the hidden layer | |
| jth input of the output layer | |
| f | Activation function |
| Weight coefficients of the ith model | |
| SSE | Sum of squared errors |
| Hypothesis space for Stacking prediction | |
| Hypothesis space for Modified Stacking prediction | |
| Input vector (matrix) of ith input in Stacking prediction | |
| Input vector (matrix) of ith input in Modified Stacking prediction |
References
- China Electricity Council. Analysis and Forecast Report on the National Power Supply and Demand Situation in 2023–2024. Available online: https://cec.org.cn/detail/index.html?3-330280 (accessed on 24 May 2024).
- Wan, C.; Cui, W.; Song, Y. Probabilistic Forecasting for Power Systems with Renewable Energy Sources: Basic Concepts and Mathematical Principles. Proc. CSEE 2021, 41, 6493–6509. [Google Scholar]
- Wan, C.; Lin, J.; Wang, J.; Song, Y.; Dong, Z.Y. Direct quantile regression for nonparametric probabilistic forecasting of wind power generation. IEEE Trans. Power Syst. 2016, 32, 2767–2778. [Google Scholar] [CrossRef]
- Park, D.C.; El-Sharkawi, M.; Marks, R.; Atlas, L.; Damborg, M. Electric load forecasting using an artificial neural network. IEEE Trans. Power Syst. 1991, 6, 442–449. [Google Scholar] [CrossRef]
- Fan, S.; Chen, L. Short-term load forecasting based on an adaptive hybrid method. IEEE Trans. Power Syst. 2006, 21, 392–401. [Google Scholar] [CrossRef]
- Cao, Z.; Wan, C.; Zhang, Z.; Li, F.; Song, Y. Hybrid Ensemble Deep Learning for Deterministic and Probabilistic Low-Voltage Load Forecasting. IEEE Trans. Power Syst. 2020, 35, 1881–1897. [Google Scholar] [CrossRef]
- Wu, Y.-K.; Wu, S.-H.; Huang, C.-L.; Hong, J.-S.; Chang, H.-L. Deterministic and Probabilistic Wind Power Forecasts by Considering Various Atmospheric Models and Feature Engineering Approaches. In Proceedings of the 2022 IEEE/IAS 58th Industrial and Commercial Power Systems Technical Conference (I&CPS), Las Vegas, NV, USA, 2–5 May 2022; pp. 1–10. [Google Scholar]
- Wan, C.; Cao, Z.; Lee, W.-J.; Song, Y.; Ju, P. An Adaptive Ensemble Data Driven Approach for Nonparametric Probabilistic Forecasting of Electricity Load. IEEE Trans. Smart Grid 2021, 12, 5396–5408. [Google Scholar] [CrossRef]
- Li, Z.; Ma, P.; Wang, X.; Xu, J.; Wan, X. An improved BP neural network method for Wind Power Prediction. In Proceedings of the 2022 IEEE 5th International Electrical and Energy Conference (CIEEC), Nanjing, China, 27–29 May 2022; pp. 653–658. [Google Scholar]
- Yang, R.; Sun, Z.; Lei, X. Photovoltaic Power Prediction Based on Stacking Model Fusion. Comput. Syst. Appl. 2020, 29, 36–45. [Google Scholar]
- Cao, Y.; Liu, G.; Luo, D.; Bavirisetti, D.P.; Xiao, G. Multi-timescale photovoltaic power forecasting using an improved Stacking ensemble algorithm based LSTM-Informer mode. Energy 2023, 283, 128669. [Google Scholar] [CrossRef]
- Teng, X. Research on SOC Prediction of New Energy Vehicle Power Battery Based on Stacking Algorithm; Chongqing Technology and Business University: Chongqing, China, 2022. [Google Scholar]
- Yashwanth, B.; Jaisharma, K. An Automated Users Profile Classification in Instagram to Improve the Precision Using an Integrated Neural Network Model and Decision Tree Algorithm. In Proceedings of the 2023 6th International Conference on Contemporary Computing and Informatics (IC3I), Gautam Buddha Nagar, India, 14–16 September 2023; pp. 2553–2557. [Google Scholar]
- Okeleye, S.A.; Thiruvengadam, A.; Perhinschi, M.G.; Carder, D. Data-driven machine learning model of a Selective Catalytic Reduction on Filter (SCRF) in a heavy-duty diesel engine: A comparison of Artificial Neural Network with Tree-based algorithms. Energy 2024, 290, 130117. [Google Scholar] [CrossRef]
- Zhou, Z. Machine Learning; Tsinghua University Press: Beijing, China, 2016. [Google Scholar]
- Pramudita, R.; Solikin; Safitri, N. Optimization Analysis of Neural Network Algorithms Using Bagging Techniques on Classification of Date Fruit Types. In Proceedings of the 2022 Seventh International Conference on Informatics and Computing (ICIC), Denpasar, Bali, Indonesia, 8–9 December 2022; pp. 1–4. [Google Scholar]
- Assaad, M.; Romuald, B.; Cardot, H. A New Boosting Algorithm for Improved Time-Series Forecasting with Recurrent Neural Networks. Inf. Fusion 2008, 9, 41–55. [Google Scholar] [CrossRef]
- Sotnikov, D.; Lyly, M.; Salmi, T. Prediction of 2G HTS Tape Quench Behavior by Random Forest Model Trained on 2-D FEM Simulations. IEEE Trans. Appl. Supercond. 2023, 33, 1–5. [Google Scholar] [CrossRef]
- Badola, S.; Mishra, V.N.; Parkash, S. Landslide susceptibility mapping using XGBoost machine learning method. In Proceedings of the 2023 International Conference on Machine Intelligence for GeoAnalytics and Remote Sensing (MIGARS), Hyderabad, India, 27–29 January 2023; pp. 1–4. [Google Scholar]
- Kumar, D.; Abhinav, R.; Pindoriya, N. An Ensemble Model for Short-Term Wind Power Forecasting using Deep Learning and Gradient Boosting Algorithms. In Proceedings of the 2020 21st National Power Systems Conference (NPSC), Gandhinagar, India, 17–19 December 2020; pp. 1–6. [Google Scholar]
- Breiman, L. Stacked regressions. Mach. Learn. 1996, 24, 49–64. [Google Scholar] [CrossRef]
- Dietterich, T. Approximate Statistical Tests for Comparing Supervised Classification Learning Algorithms. Neural Comput. 1998, 10, 1895–1923. [Google Scholar] [CrossRef] [PubMed]
- Thanh, T.; Van, L.; Binh, L.M. Effects of Data Standardization on Hyperparameter Optimization with the Grid Search Algorithm Based on Deep Learning: A Case Study of Electric Load Forecasting. Adv. Technol. Innov. 2022, 7, 258. [Google Scholar]
- Zhou, Q.; Ma, Y.; Lv, Q.; Zhang, R.; Wang, W.; Yang, S. Short-Term Interval Prediction of Wind Power Based on KELM and a Universal Tabu Search Algorithm. Sustainability 2022, 14, 10779. [Google Scholar] [CrossRef]
- Zhao, Y.; Hu, Q.; Srinivasan, D.; Wang, Z. Data-driven correction approach to refine power curve of wind farm under wind curtailment. IEEE Trans. Sustain. Energy 2018, 9, 95–105. [Google Scholar] [CrossRef]
- Hu, Y.; Qiao, Y.; Liu, J.; Zhu, H. Adaptive confidence boundary modeling of wind turbine power curve using SACADA data and its application. IEEE Trans. Sustain. Energy 2018, 10, 1330–1341. [Google Scholar] [CrossRef]
- Xing, Z.; Zhi, Y.; Hao, R.-H.; Yan, H.-W.; Qing, C. Wind Speed Forecasting Model Based on Extreme Learning Machines and Complete Ensemble Empirical Mode Decomposition. In Proceedings of the 2020 5th Asia Conference on Power and Electrical Engineering (ACPEE), Chengdu, China, 4–7 June 2020; pp. 159–163. [Google Scholar]
- Pan, G.; Zhang, H.; Ju, W.; Yang, W.; Qin, C.; Pei, L.; Sun, Y.; Wang, R. A Prediction Method for Ultra Short-Term Wind Power Prediction Basing on Long Short -Term Memory Network and Extreme Learning Machine. In Proceedings of the 2020 Chinese Automation Congress (CAC), Shanghai, China, 6–8 November 2020; pp. 7608–7612. [Google Scholar]
- Jizmundo, R.E.; Maltezo, R.J.F.; Villanueva, F.G.; Pacis, M.C. A Long-Term Wind Power Prediction using Support Vector Regression and Ensemble Boosted Tree Algorithm (SVR-EBTA). In Proceedings of the 2023 15th International Conference on Computer and Automation Engineering (ICCAE), Sydney, Australia, 3–5 March 2023; pp. 149–152. [Google Scholar]
- Arshad, J.; Zameer, A.; Khan, A. Wind Power Prediction Using Genetic Programming Based Ensemble of Artificial Neural Networks (GPeANN). In Proceedings of the 2014 12th International Conference on Frontiers of Information Technology, Islamabad, Pakistan, 17–19 December 2014; pp. 257–262. [Google Scholar]







| Model | MAPE | NRMSE | R2 |
|---|---|---|---|
| RF | 8.303% | 11.659% | 0.764211072 |
| XGBoost | 8.316% | 11.697% | 0.762671824 |
| LightGBM | 8.315% | 11.565% | 0.768005054 |
| BP BEM Boosting | 8.315% | 12.513% | 0.728408502 |
| BP AdaBoost.RT | 8.613% | 12.172% | 0.743009887 |
| Season | Model | Training Dataset Metrics | Test Dataset Metrics | ||||
|---|---|---|---|---|---|---|---|
| MAPE | NRMSE | R2 | MAPE | NRMSE | R2 | ||
| 1st Quarter | RF | 3.720% | 7.180% | 0.943799246 | 6.824% | 10.692% | 0.876278386 |
| XGBoost | 3.542% | 6.600% | 0.952517148 | 6.958% | 10.970% | 0.869752545 | |
| LightGBM | 4.175% | 7.601% | 0.937008462 | 6.905% | 10.715% | 0.875734685 | |
| BP BEM Boosting | 5.158% | 11.107% | 0.865503138 | 6.976% | 10.715% | 0.875731071 | |
| BP AdaBoost.RT | 5.154% | 11.103% | 0.865595447 | 7.500% | 11.963% | 0.845121147 | |
| Linear Weighted 1 | 4.063% | 7.889% | 0.932155762 | 6.335% | 9.996% | 0.891858533 | |
| Linear Weighted 2 | 4.066% | 7.895% | 0.932040174 | 6.336% | 9.999% | 0.891790414 | |
| Linear Weighted 3 | 3.869% | 7.299% | 0.941922394 | 6.489% | 10.235% | 0.886613431 | |
| Linear Weighted 4 | 3.952% | 7.543% | 0.937969772 | 6.399% | 10.100% | 0.889587824 | |
| Linear Weighted 5 | 4.040% | 7.814% | 0.933430257 | 6.344% | 10.012% | 0.891509564 | |
| Stacking | 2.831% | 5.459% | 0.967507691 | 6.017% | 9.598% | 0.904283235 | |
| Modified Stacking | 2.854% | 5.450% | 0.967612491 | 5.967% | 9.503% | 0.906589526 | |
| 2nd Quarter | RF | 7.944% | 11.847% | 0.822613381 | 8.303% | 11.659% | 0.764211072 |
| XGBoost | 8.138% | 11.937% | 0.819909272 | 8.316% | 11.697% | 0.762671824 | |
| LightGBM | 8.656% | 12.541% | 0.801238329 | 8.315% | 11.565% | 0.768005054 | |
| BP BEM Boosting | 10.628% | 17.103% | 0.630305072 | 8.315% | 12.513% | 0.728408502 | |
| BP AdaBoost.RT | 11.038% | 17.208% | 0.625762387 | 8.613% | 12.172% | 0.743009887 | |
| Linear Weighted 1 | 8.402% | 12.638% | 0.798147646 | 7.840% | 11.128% | 0.785186501 | |
| Linear Weighted 2 | 8.463% | 12.752% | 0.794477499 | 7.829% | 11.124% | 0.785359731 | |
| Linear Weighted 3 | 8.146% | 12.129% | 0.814089328 | 7.946% | 11.207% | 0.782117116 | |
| Linear Weighted 4 | 8.241% | 12.330% | 0.807860135 | 7.889% | 11.155% | 0.784130852 | |
| Linear Weighted 5 | 8.278% | 12.399% | 0.805698832 | 7.876% | 11.146% | 0.784506212 | |
| Stacking | 6.833% | 10.224% | 0.867889374 | 7.559% | 10.656% | 0.794307533 | |
| Modified Stacking | 6.798% | 10.212% | 0.868206889 | 7.494% | 10.581% | 0.797350030 | |
| 3rd Quarter | RF | 7.944% | 8.786% | 0.870844715 | 9.576% | 13.041% | 0.776532352 |
| XGBoost | 8.138% | 8.886% | 0.867889090 | 9.682% | 13.236% | 0.769792381 | |
| LightGBM | 8.656% | 9.413% | 0.851758807 | 9.677% | 13.038% | 0.776647279 | |
| BP BEM Boosting | 10.628% | 9.982% | 0.833305919 | 9.761% | 13.447% | 0.762397117 | |
| BP AdaBoost.RT | 11.038% | 10.162% | 0.827246353 | 9.793% | 13.220% | 0.770365891 | |
| Linear Weighted 1 | 6.057% | 8.929% | 0.866629720 | 9.284% | 12.573% | 0.792304657 | |
| Linear Weighted 2 | 6.059% | 8.924% | 0.866777689 | 9.285% | 12.572% | 0.792310802 | |
| Linear Weighted 3 | 6.057% | 8.892% | 0.867721061 | 9.299% | 12.599% | 0.791421221 | |
| Linear Weighted 4 | 6.056% | 8.909% | 0.867208690 | 9.290% | 12.585% | 0.791904049 | |
| Linear Weighted 5 | 6.057% | 8.922% | 0.866838530 | 9.286% | 12.577% | 0.792169706 | |
| Stacking | 5.078% | 7.400% | 0.908396294 | 8.636% | 11.502% | 0.800468944 | |
| Modified Stacking | 5.056% | 7.400% | 0.908379363 | 8.602% | 11.428% | 0.803092836 | |
| 4th Quarter | RF | 4.790% | 8.149% | 0.920345949 | 2.572% | 4.775% | 0.876127312 |
| XGBoost | 4.852% | 8.081% | 0.921679310 | 2.601% | 4.794% | 0.875137442 | |
| LightGBM | 5.474% | 8.908% | 0.904827315 | 2.766% | 4.595% | 0.885309730 | |
| BP BEM Boosting | 4.938% | 9.552% | 0.890562007 | 2.220% | 4.116% | 0.907979616 | |
| BP AdaBoost.RT | 6.169% | 10.887% | 0.857850149 | 5.516% | 7.910% | 0.660125525 | |
| Linear Weighted 1 | 4.997% | 8.433% | 0.914707161 | 2.902% | 4.597% | 0.885217680 | |
| Linear Weighted 2 | 5.002% | 8.446% | 0.914435299 | 2.918% | 4.610% | 0.884567662 | |
| Linear Weighted 3 | 4.935% | 8.283% | 0.917719618 | 2.757% | 4.507% | 0.889631651 | |
| Linear Weighted 4 | 4.962% | 8.349% | 0.916384685 | 2.821% | 4.542% | 0.887931725 | |
| Linear Weighted 5 | 4.988% | 8.411% | 0.915141855 | 2.880% | 4.580% | 0.886060534 | |
| Stacking | 3.684% | 6.340% | 0.951788957 | 2.455% | 4.270% | 0.900361683 | |
| Modified Stacking | 3.675% | 6.335% | 0.951867104 | 2.445% | 4.218% | 0.903223258 | |
| Look-Ahead Time | Model | Training Dataset Metrics | Test Dataset Metrics | ||||
|---|---|---|---|---|---|---|---|
| MAPE | NRMSE | R2 | MAPE | NRMSE | R2 | ||
| 15 min | See above | ||||||
| 30 min | RF | 9.015% | 13.065% | 0.784251850 | 9.061% | 12.615% | 0.723847075 |
| XGBoost | 9.212% | 13.227% | 0.778874960 | 9.050% | 12.642% | 0.722655063 | |
| LightGBM | 9.750% | 13.833% | 0.758151130 | 9.050% | 12.482% | 0.729659837 | |
| BP BEM Boosting | 11.359% | 17.946% | 0.592946634 | 8.994% | 13.236% | 0.696015216 | |
| BP AdaBoost.RT | 11.466% | 17.760% | 0.601351939 | 9.368% | 13.372% | 0.689747241 | |
| Linear Weighted 1 | 9.354% | 13.823% | 0.758491032 | 8.613% | 12.140% | 0.744277930 | |
| Linear Weighted 2 | 9.377% | 13.868% | 0.756911813 | 8.611% | 12.139% | 0.744325672 | |
| Linear Weighted 3 | 9.203% | 13.441% | 0.771669886 | 8.682% | 12.184% | 0.742420939 | |
| Linear Weighted 4 | 9.261% | 13.601% | 0.766189456 | 8.642% | 12.153% | 0.743712171 | |
| Linear Weighted 5 | 9.270% | 13.623% | 0.765442534 | 8.639% | 12.150% | 0.743822392 | |
| Stacking | 7.744% | 11.329% | 0.837794039 | 8.192% | 11.724% | 0.759075358 | |
| Modified Stacking | 7.724% | 11.324% | 0.837933722 | 8.160% | 11.710% | 0.759707105 | |
| 1 h | RF | 11.269% | 15.683% | 0.689119575 | 11.186% | 15.229% | 0.597820244 |
| XGBoost | 11.587% | 16.018% | 0.675682783 | 11.009% | 15.096% | 0.604793105 | |
| LightGBM | 12.111% | 16.596% | 0.651864864 | 11.142% | 15.081% | 0.605570133 | |
| BP BEM Boosting | 13.507% | 20.974% | 0.443999575 | 10.993% | 16.290% | 0.539794949 | |
| BP AdaBoost.RT | 14.875% | 21.766% | 0.401172809 | 12.445% | 17.327% | 0.479350627 | |
| Linear Weighted 1 | 11.720% | 16.638% | 0.650101009 | 10.595% | 14.706% | 0.624942026 | |
| Linear Weighted 2 | 11.775% | 16.732% | 0.646156699 | 10.608% | 14.716% | 0.624432778 | |
| Linear Weighted 3 | 11.542% | 16.216% | 0.667615956 | 10.660% | 14.711% | 0.624721131 | |
| Linear Weighted 4 | 11.613% | 16.395% | 0.660265527 | 10.619% | 14.696% | 0.625497369 | |
| Linear Weighted 5 | 11.564% | 16.279% | 0.665040871 | 10.640% | 14.704% | 0.625083714 | |
| Stacking | 9.696% | 13.640% | 0.764829815 | 10.063% | 14.222% | 0.627542378 | |
| Modified Stacking | 9.647% | 13.583% | 0.766817397 | 10.053% | 14.187% | 0.629403895 | |
Disclaimer/Publisher’s Note: The statements, opinions and data contained in all publications are solely those of the individual author(s) and contributor(s) and not of MDPI and/or the editor(s). MDPI and/or the editor(s) disclaim responsibility for any injury to people or property resulting from any ideas, methods, instructions or products referred to in the content. |
© 2024 by the authors. Licensee MDPI, Basel, Switzerland. This article is an open access article distributed under the terms and conditions of the Creative Commons Attribution (CC BY) license (https://creativecommons.org/licenses/by/4.0/).
Share and Cite
Yang, Y.; Li, Y.; Cheng, L.; Yang, S. Short-Term Wind Power Prediction Based on a Modified Stacking Ensemble Learning Algorithm. Sustainability 2024, 16, 5960. https://doi.org/10.3390/su16145960
Yang Y, Li Y, Cheng L, Yang S. Short-Term Wind Power Prediction Based on a Modified Stacking Ensemble Learning Algorithm. Sustainability. 2024; 16(14):5960. https://doi.org/10.3390/su16145960
Chicago/Turabian StyleYang, Yankun, Yuling Li, Lin Cheng, and Shiyou Yang. 2024. "Short-Term Wind Power Prediction Based on a Modified Stacking Ensemble Learning Algorithm" Sustainability 16, no. 14: 5960. https://doi.org/10.3390/su16145960
APA StyleYang, Y., Li, Y., Cheng, L., & Yang, S. (2024). Short-Term Wind Power Prediction Based on a Modified Stacking Ensemble Learning Algorithm. Sustainability, 16(14), 5960. https://doi.org/10.3390/su16145960

