Current Trends in Sustainable Sewage Sludge Management—A Case Study for Poznań County, Poland
Abstract
1. Introduction
2. Materials and Methods
2.1. Study Area
2.2. Methods
2.3. Survey Research
2.4. Statistical Analysis
3. Results and Discussion
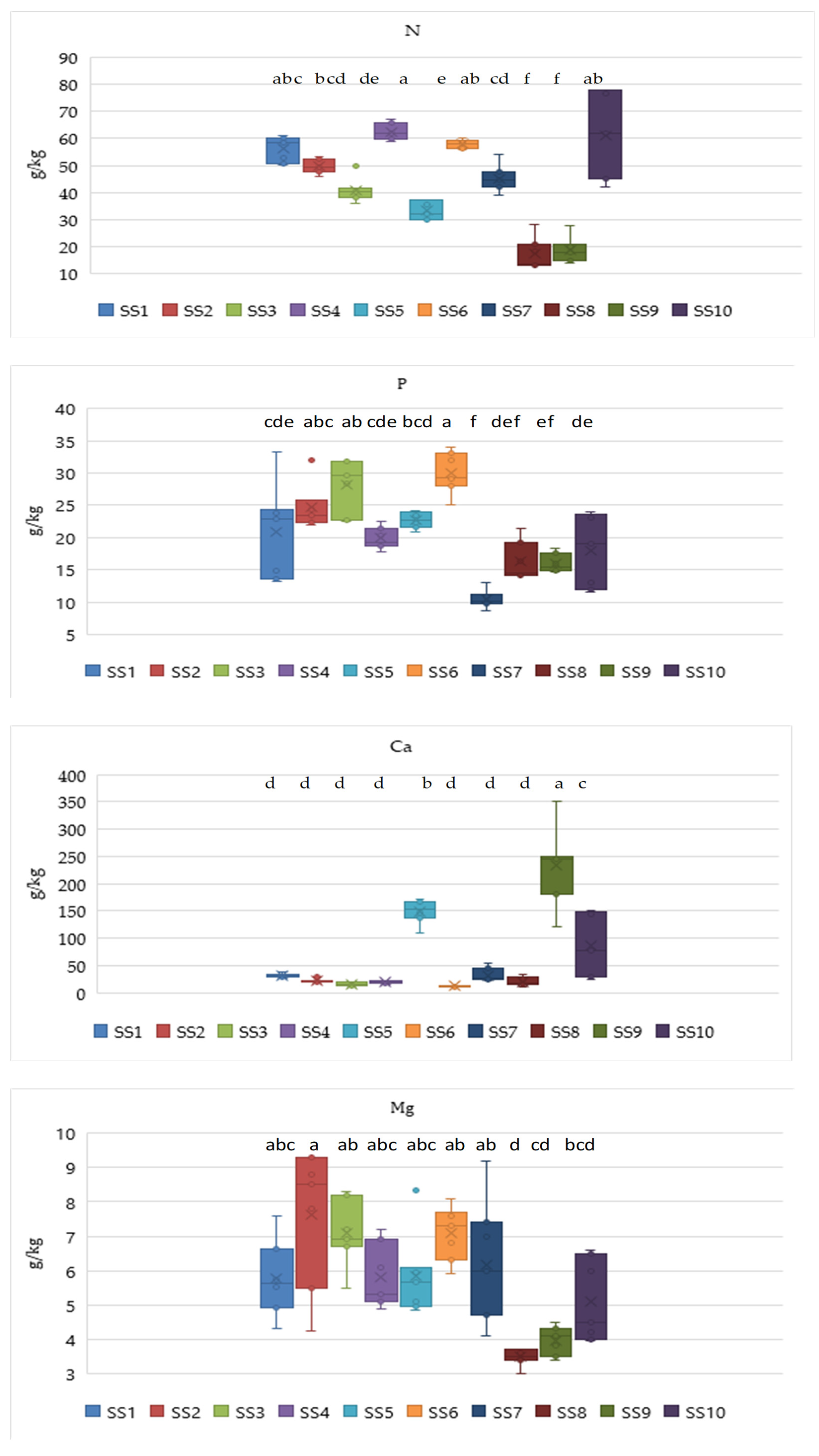
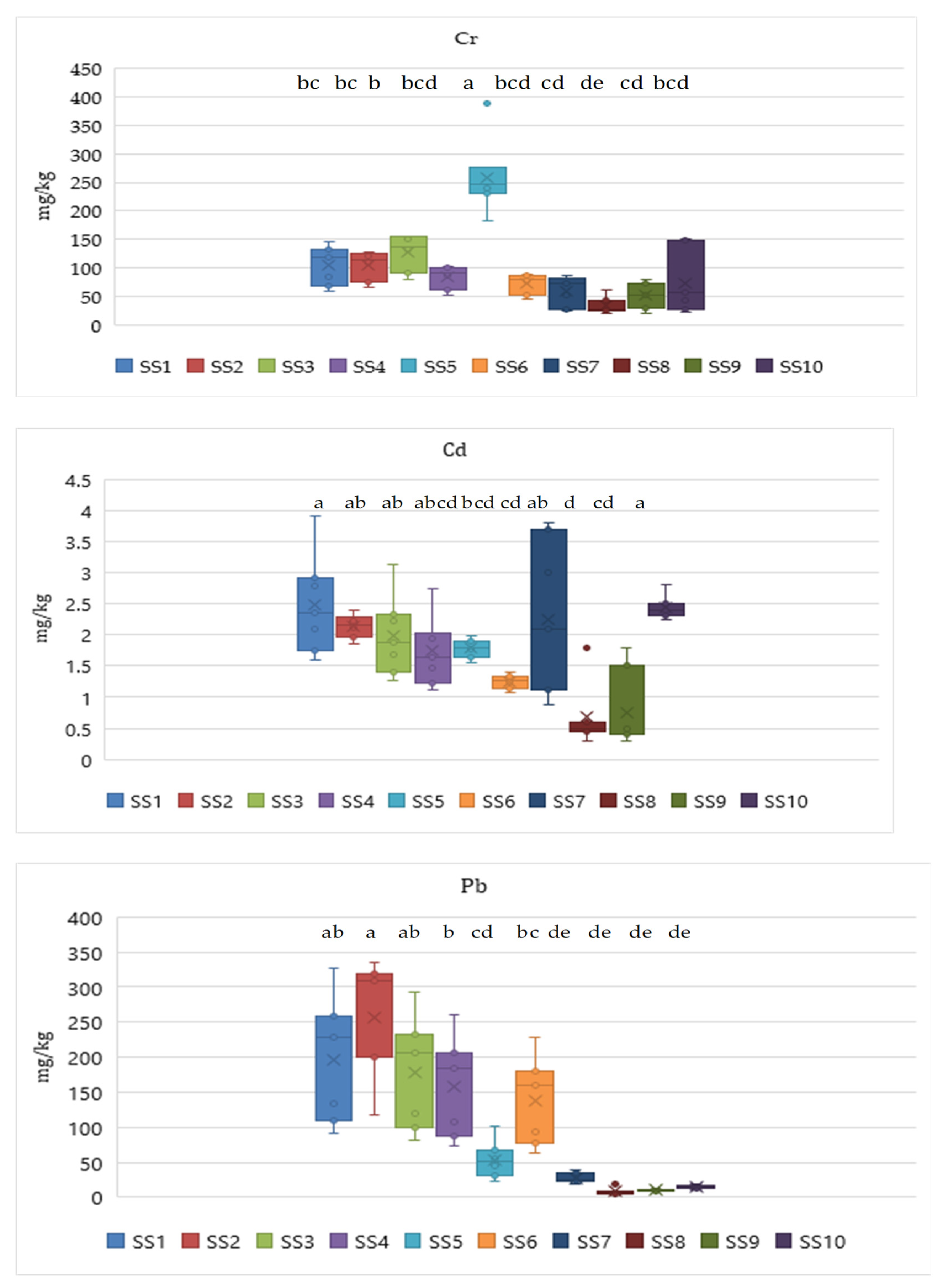
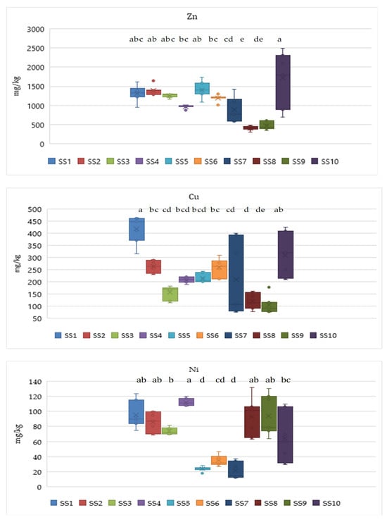
3.1. SS Mass and Chemical Composition
3.2. Currently Used Methods of SS Management
3.3. Opportunities for Alternative Methods of SS Utilization
3.4. Public Awareness and Knowledge in the Local Community Regarding the Presence of SS in the Environment
4. Conclusions
Funding
Institutional Review Board Statement
Informed Consent Statement
Data Availability Statement
Conflicts of Interest
References
- Regulation of the Minister of the Environment Regarding the Waste Catalog. Journal of Laws 2020, Item 10. Available online: https://isap.sejm.gov.pl/isap.nsf/DocDetails.xsp?id=WDU20200000010 (accessed on 30 December 2023).
- Official Journal of the European Communities. L226. 2000/532/EC: Commission Decision of 3 May 2000 Replacing Decision 94/3/EC Establishing a List of Wastes Pursuant to Article 1(a) of Council Directive 75/442/EEC on Waste and Council Decision 94/904/EC Establishing a List of Hazardous Waste Pursuant to Article 1(4) of Council Directive 91/689/EEC on Hazardous Waste (Notified under Document Number C(2000) 1147). Available online: https://eur-lex.europa.eu/legal-content/EN/TXT/?uri=CELEX%3A32000D0532 (accessed on 30 May 2024).
- Waste Act. Journal of Laws of 2023, Item 1587. Available online: https://isap.sejm.gov.pl/isap.nsf/DocDetails.xsp?id=WDU20230001587 (accessed on 30 May 2024).
- Jakubus, M. Sewage Sludge. In Origin and Administration; Poznan University of Life Sciences: Poznan, Poland, 2012; p. 55. (in Polish) [Google Scholar]
- Rorat, A.; Courtois, P.; Vandenbulcke, F.; Lemiere, S. Sanitary and environmental aspects of sewage sludge management. In Industrial and Municipal Sludge; Elsievier Inc.: Amsterdam, The Netherlands, 2019; pp. 155–177. [Google Scholar]
- Hudcová, H.; Vymazal, J.; Rozkošny, M. Present restrictions of sewage sludge application in agriculture within the European Union. Soil. Water Res. 2019, 14, 104–120. [Google Scholar] [CrossRef]
- Izydorczyk, G.; Mikula, K.; Skrzypczak, D.; Trzaska, K.; Moustakas, K.; Witek-Krowiak, A.; Chojnacla, K. Agricultural and non-agricultural directions of bio-based sewage sludge valorization by chemical conditioning. Environ. Sci. Pollut. Res. 2021, 28, 47725–47740. [Google Scholar] [CrossRef] [PubMed]
- Emmanouil, C.; Giannakis, I.; Kyzas, G.Z. Terrestrial bioassays for assessing the biochemical and toxicological impact of biosolids application derived from wastewater treatment plants. Sci. Total Environ. 2024, 931, 172718. [Google Scholar] [CrossRef] [PubMed]
- EPA. Basic Information about Biosolids. Available online: https://www.epa.gov/biosolids/basic-information-about-biosolids (accessed on 30 May 2024).
- Collivignarelli, M.C.; Abba, A.; Frattarola, A.; Miino, M.C.; Padovani, S.; Katsoyiannis, I.; Torretta, V. Legislation for the reuse of biosolids on agricultural land in Europe: Overview. Sustainability 2019, 11, 6015. [Google Scholar] [CrossRef]
- Regulation of the Minister of Environment on the Municipal Sewage Sludge. Journal of Laws 2023, Item 23. Available online: https://isap.sejm.gov.pl/isap.nsf/DocDetails.xsp?id=WDU20230000023 (accessed on 30 December 2023).
- Official Journal of the European Communities. L 181/6. Council Directive 1986/278/EEC of 12 June 1986 on the Protection of the Environment, and in Particular of the Soil, When Sewage Sludge Is Used in Agriculture. Available online: https://eur-lex.europa.eu/legal-content/EN/TXT/?uri=celex%3A31986L0278 (accessed on 30 May 2024).
- Official Journal of the European Communities. L 135. Council Directive 1991/271/EEC of 21 May 1991 Concerning Urban Waste-Water Treatment. Available online: https://eur-lex.europa.eu/legal-content/EN/TXT/?uri=CELEX%3A31991L0271 (accessed on 30 May 2024).
- Regulation of the Minister of Environment on the R10 Recovery Process. Journal of Laws 2015, Item 132. Available online: https://isap.sejm.gov.pl/isap.nsf/DocDetails.xsp?id=wdu20150000132 (accessed on 30 May 2024).
- Official Journal of the European Communities. L 182. Council Directive 1999/31/EC of 26 April 1999 on the Landfill of Waste. Available online: https://eur-lex.europa.eu/legal-content/EN/TXT/?uri=celex%3A31999L0031 (accessed on 30 May 2024).
- Regulation of the Minister of Economy on the Criteria of Waste Admission for Landfill. Journal of Laws 2015, Item 1277. Available online: https://isap.sejm.gov.pl/isap.nsf/DocDetails.xsp?id=WDU20150001277 (accessed on 30 May 2024).
- Official Journal of the European Communities. L 312. Directive 2008/98/EC of the European Parliament and of the Council of 19 November 2008 on Waste and Repealing Certain Directives. Available online: https://eur-lex.europa.eu/legal-content/EN/TXT/?uri=celex%3A32008L0098 (accessed on 30 May 2024).
- Shaddel, S.; Bakhtiary-Davijany, H.; Kabbe, C.; Dadgar, F.; Østerhus, S.W. Sustainable sewage sludge management: From current practices to emerging nutrient recovery technologies. Sustainability 2019, 11, 3435. [Google Scholar] [CrossRef]
- Werle, S.; Sobek, S. Gasification of sewage sludge within a circular economy perspective: A Polish case study. Environ. Sci. Pollut. Res. 2019, 26, 35422–35432. [Google Scholar] [CrossRef] [PubMed]
- Rosiek, K. Directions and challenges in the management of municipal SS in Poland in the context of the circular economy. Sustainability 2020, 12, 3686. [Google Scholar] [CrossRef]
- Kacprzyk, M.; Kupich, I. The specifies of the circular economy (CE) in the municipal wastewater and sewage sludge sector—Local circumstances in Poland. Clean. Technol. Environ. Policy 2023, 25, 519–535. [Google Scholar]
- Local Data Bank. 2023. Available online: https://bdl.stat.gov.pl/bdl/dane/podgrup/temat (accessed on 30 May 2024).
- Strategy for Dealing with Municipal Sewage Sludge. 2022. Available online: https://www.gov.pl/Strategia_post%C4%99powania_z_komunalnymi_osadami_%C5%9Bciekowymi_na_lata_2019-2022-3.pdf_9 (accessed on 30 May 2024).
- Boudjabi, S.; Chenchouni, H. On the sustainability of land applications of sewage sludge: How to apply the sewage sludge biosolid in order to improve soil fertility and increase crop yield? Chemosphere 2021, 282, 131122. [Google Scholar] [CrossRef]
- Dhanker, R.; Chaudhary, S.; Goyal, S.; Garg, V.K. Influence of urban sewage sludge amendment on agricultural soil parameters. Environ. Technol. Inno 2021, 23, 101642. [Google Scholar] [CrossRef]
- Jakubus, M. A comparative study of composts prepared from various organic waste based on biological and chemical parameters. Agronomy 2020, 10, 869. [Google Scholar] [CrossRef]
- Jakubus, M.; Bakinowska, E.; Tobiasova, E. Valorisation of sewage sludge humic compounds in the aspect of its application in natural environment. Environ. Prot. Eng. 2021, 47, 67–83. [Google Scholar] [CrossRef]
- Jakubus, M. Quantitative Distribution and Contamination Risk Assessment of Cu and Zn in Municipal Sewage Sludge. Sustainability 2023, 15, 12087. [Google Scholar] [CrossRef]
- Regulation of the Minister of Agriculture and Rural Development of 18 June 2008. Journal of Laws 2008, 119, Item 765. Available online: https://isap.sejm.gov.pl/isap.nsf/DocDetails.xsp?id=wdu20081190765 (accessed on 30 December 2023).
- Hernandez, T.; Chocano, C.; Moreno, J.J.; Garcia, C. Use of compost as an alternative to conventional inorganic fertilisers in intensive lettuce (Lactuca sativa L.) crops-effects on soil and plant. Soil. Tillage Res. 2016, 160, 14–22. [Google Scholar] [CrossRef]
- Zhang, X.; Zhao, Y.; Zhu, L.; Cui, H.; Jia, L.; Xie, X.; Li, J.; Wei, Z. Assessing the use of 653 composts from multiple sources based on the characteristics of carbon mineralization in soil. Waste Manag. 2017, 70, 30–36. [Google Scholar] [CrossRef] [PubMed]
- Wang, D.; Lin, J.Y.; Sayre, J.M.; Schmidt, R.; Fonte, S.J.; Rodrigues, J.L.; Scow, K.M. Compost amendment maintains soil structure and carbon storage by increasing available carbon and microbial biomass in agricultural soil- A six-year field study. Geoderma 2022, 427, 116117. [Google Scholar] [CrossRef]
- Przydatek, G.; Wota, K.A. Analysis of the comprehensive management of SS in Poland. J. Mater. Cycles Waste Manag. 2020, 22, 80–88. [Google Scholar] [CrossRef]
- Goldan, E.; Nedeff, V.; Barsa, N.; Culea, M.J.; Tomozei, C.; Panainte–Lehadus, M.; Mosnegutu, E. Evaluation of the use of sewage sludge biochar as a soil amendment—A review. Sustainability 2022, 14, 5309. [Google Scholar] [CrossRef]
- Official Journal of the European Communities. L 170. Regulation (EU) 2019/1009 of the European Parliament and of the Council of 5 June 2019 Laying down Rules on the Making Available on the Market of EU Fertilising Products and Amending Regulations (EC) No 1069/2009 and (EC) No 1107/2009 and Repealing Regulation (EC) No 2003. Available online: https://eur-lex.europa.eu/legal-content/EN/TXT/HTML/?uri=PI_COM:Ares(2021)898281&rid=15 (accessed on 30 May 2024).
- Chen, W.-T.; Haque, A.; Lu, T.; Aierzhati, A.; Reimonn, G. A perspective on hydrothermal processing of sewage sludge. Curr. Opin. Environ. Sci. Health 2020, 14, 63–73. [Google Scholar] [CrossRef]
- Singh, S.; Kumar, V.; Dhanjal, D.S.; Datta, S.; Bhatia, D.; Dhiman, J.; Samuel, J.; Prasad, R.; Singh, J. A sustainable paradigm of sewage sludge biochar: Valorization, opportunities, challenges and future prospects. J. Clean. Prod. 2020, 269, 122259. [Google Scholar] [CrossRef]
- Agegnehu, G.; Srivastava, A.K.; Bird, M.I. The role of biochar and biochar-compost in improving soil quality and crop performance: A review. Appl. Soil. Ecol. 2017, 119, 156–170. [Google Scholar] [CrossRef]
- Nogues, I.; Miritana, V.M.; Passatore, L.; Zacchini, M.; Peruzzi, E.; Carloni, S.; Pietrini, F.; Marabottini, R.; Chiti, T.; Massaccesi, L.; et al. Biochar soil amendment as carbon farming practice in a Mediterranean environment. Geoderma Reg. 2023, 33, e00634. [Google Scholar] [CrossRef]
- Nicholas, H.L.; Halfacree, K.H.; Mabbett, I. Public perceptions of fecal sludge biochar and biosolids use in agriculture. Sustainability 2022, 14, 15385. [Google Scholar] [CrossRef]
- Mela, A.; Alexakis, D.E.; Varelidis, G. Investigating public awareness towards wastewater management in a small community. Global Nest J. 2022, 24, 254–261. [Google Scholar]
- Cagno, E.; Garrone, P.; Neri, A. Sewage sludge management options and civil society stakeholders’ influence: First evidence from Italian cases. Int. Conf. Resour. Sustain. (icRS) 2021, 1198, 012006. [Google Scholar] [CrossRef]
- Ekane, N.; Barquet, K.; Rosemarin, A. Resources and Risk: Perceptions on the application of sewage sludge on agricultural land in Sweden, a case study. Front. Sustain. Food Syst. 2021, 5, 647780. [Google Scholar] [CrossRef]








| European Legal Acts | Polish Legal Acts |
|---|---|
| 2000/532/EC: Commission Decision of 3 May 2000 replacing Decision 94/3/EC establishing a list of wastes pursuant to Article 1(a) of Council Directive 75/442/EEC on waste and Council Decision 94/904/EC establishing a list of hazardous waste pursuant to Article 1(4) of Council Directive 91/689/EEC on hazardous waste (notified under document number C(2000) 1147) [2] | Regulation of the Minister of the Environment regarding the waste catalog [1] |
| Council Directive 86/278/EEC of 12 June 1986 on the protection of the environment, and in particular of the soil, when sewage sludge is used in agriculture [12] | Regulation of the Minister of Environment on the Municipal Sewage Sludge [11] |
| Council Directive 91/271/EEC of 21 May 1991 concerning urban waste-water treatment [13] | Regulation of the Minister of Environment on the R10 recovery process [14] |
| Council Directive 1999/31/EC of 26 April 1999 on the landfill of waste [15] | Regulation of the Minister of Economy on the Criteria of Waste Admission for Landfill [16] |
| Directive 2008/98/EC of the European Parliament and of the Council of 19 November 2008 on waste and repealing certain Directives [17] | Waste Act [3] |
| Question 1 | Do you know what sewage sludge is?
|
| Question 2 | Do you think sewage sludge is an environmental problem?
|
| Question 3 | Do you have knowledge about sewage sludge management?
|
If yes, select the correct answer:
|
| Nutrient | Poland | Wielkopolska Province |
|---|---|---|
| OM | 287.0–850.0 | 301.0–788.0 (615.0) * |
| N | 12.5–83.5 | 12.3–71.6 (39.1) |
| P | 0.4–68.0 | 4.9–67.5 (23.3) |
| Ca | 0.8–89.3 | 11.6–63.4 (33.0) |
| Mg | 0.2–21.1 | 1.3–20.7 (8.3) |
| Cu | 17.3–868.0 | 98.0–838.0 (259.0) |
| Zn | 30.5–4200 | 220–3000 (1416.1) |
| Mn | 63.0–479.0 | 91.0–794.0 (237) |
| Fe | 1205–17,500 | 8419–89,109 (31,066.35) |
| Age of Respondents | |||||
|---|---|---|---|---|---|
| Response | 18–25 | 26–35 | 36–45 | 46–60 | 60+ |
| Question 1 | |||||
| No | 48 | 30 | 12 | 32 | 41 |
| Yes | 52 | 70 | 88 | 68 | 59 |
| Question 2 | |||||
| No | 36 | 42 | 31 | 34 | 22 |
| Yes | 0 | 10 | 14 | 18 | 12 |
| I have no opinion | 64 | 48 | 55 | 48 | 66 |
| Question 3 | |||||
| No | 56 | 29 | 12 | 34 | 54 |
| Yes | 44 | 71 | 88 | 66 | 46 |
| If yes, select the appropriate answer: | |||||
| Agricultural and reclamation purposes | 30 | 56 | 42 | 28 | 30 |
| Landfilling | 0 | 5 | 28 | 12 | 5 |
| Composting | 7 | 10 | 14 | 16 | 8 |
| Incineration | 7 | 0 | 0 | 10 | 3 |
| Education | |||
|---|---|---|---|
| Response | vocational | secondary | higher |
| Question 1 | |||
| No | 7 | 12 | 7 |
| Yes | 15 | 28 | 31 |
| Question 2 | |||
| No | 5 | 7 | 15 |
| Yes | 1 | 4 | 5 |
| I have no opinion | 16 | 29 | 18 |
| Question 3 | |||
| No | 11 | 14 | 11 |
| Yes | 11 | 26 | 27 |
| If yes, select the appropriate answer: | |||
| Agricultural and reclamation purposes | 7 | 15 | 18 |
| Landfilling | 1 | 2 | 2 |
| Composting | 2 | 7 | 5 |
| Incineration | 1 | 2 | 2 |
Disclaimer/Publisher’s Note: The statements, opinions and data contained in all publications are solely those of the individual author(s) and contributor(s) and not of MDPI and/or the editor(s). MDPI and/or the editor(s) disclaim responsibility for any injury to people or property resulting from any ideas, methods, instructions or products referred to in the content. |
© 2024 by the author. Licensee MDPI, Basel, Switzerland. This article is an open access article distributed under the terms and conditions of the Creative Commons Attribution (CC BY) license (https://creativecommons.org/licenses/by/4.0/).
Share and Cite
Jakubus, M. Current Trends in Sustainable Sewage Sludge Management—A Case Study for Poznań County, Poland. Sustainability 2024, 16, 5056. https://doi.org/10.3390/su16125056
Jakubus M. Current Trends in Sustainable Sewage Sludge Management—A Case Study for Poznań County, Poland. Sustainability. 2024; 16(12):5056. https://doi.org/10.3390/su16125056
Chicago/Turabian StyleJakubus, Monika. 2024. "Current Trends in Sustainable Sewage Sludge Management—A Case Study for Poznań County, Poland" Sustainability 16, no. 12: 5056. https://doi.org/10.3390/su16125056
APA StyleJakubus, M. (2024). Current Trends in Sustainable Sewage Sludge Management—A Case Study for Poznań County, Poland. Sustainability, 16(12), 5056. https://doi.org/10.3390/su16125056
