Biochars Derived from Olive Mill Byproducts: Typology, Characterization, and Eco-Efficient Application in Agriculture—A Systematic Review
Abstract
1. Introduction
2. Materials and Methods
Data Survey and Screening
- (i)
- We formulated the search string using different combinations of the keywords “biochar”, “olive pomace”, and “olive stone”. On this basis, the following search string was designed: (olive pomace biochar OR olive pomace char OR olive pomace charcoal OR olive stone biochar OR olive stone char OR olive stone charcoal OR olive pit biochar OR olive pit char OR olive pit charcoal OR olive mill biochar OR olive mill char OR olive mill charcoal OR olive bagasse biochar OR olive bagasse char OR olive bagasse charcoal) AND (soil application OR soil amendment OR wastewater treatment OR plant growth OR characterization physical chemistry). The references available on the papers that resulted from the mentioned search were added to the paper’s list to ensure that the obtained database comprised a complete survey on this topic.
- (ii)
- Applying exclusion and inclusion criteria—identification: the search included all papers published before May 2023 and available from Scopus, Google Scholar, and Web of Science databases, resulting in 245, 105, and 3 scientific papers, respectively. Results were merged, and duplicated ones were removed, totaling 270 papers. Only peer-reviewed articles in English were considered, and “other” publication types, such as press releases, book chapters, and newsletters, were removed.
- (iii)
- Titles and abstracts screening: the titles and abstracts of articles were first checked by two reviewers, and for the doubtful cases, a full-text evaluation was performed. The screening process allowed for a reduction from 270 results to 140 publications.
- (iv)
- Excluding irrelevant papers based on their full text: the selected papers were carefully reviewed, and studies not directly related to this research aim were excluded. A total of 78 papers were excluded in this step. The selected papers thus addressed the characterization of biochar from OP and OS and/or its applications for environmental remediation and soil amendments, which constitute the sample included and analyzed in this systematic review.
- (v)
- Snowballing: we applied backward snowballing (search in the paper’s reference list). This step has the advantage of identifying important papers in the literature review that could not be identified via the systematic review method. Four papers were added by considering this step, resulting in a total of 62 papers.
3. Results
3.1. Statistical Data
3.2. Olive Pomace and Olive Stone Biochar Production Process
Production of Biochar and Activated Carbon
3.3. Olive Pomace and Olive Stone Biochar Characteristics
3.3.1. Physical and Chemical Properties of Biochar
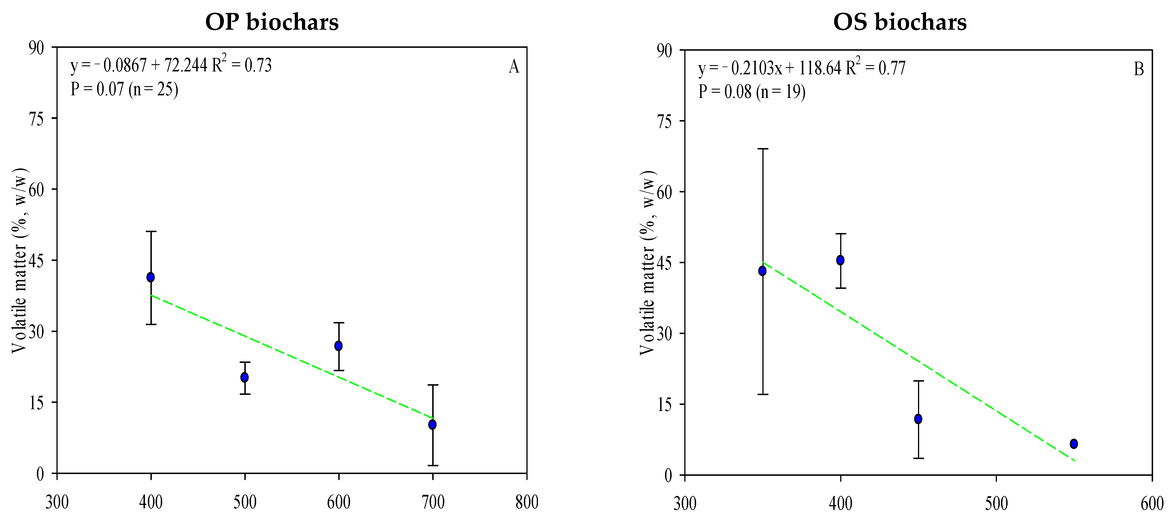
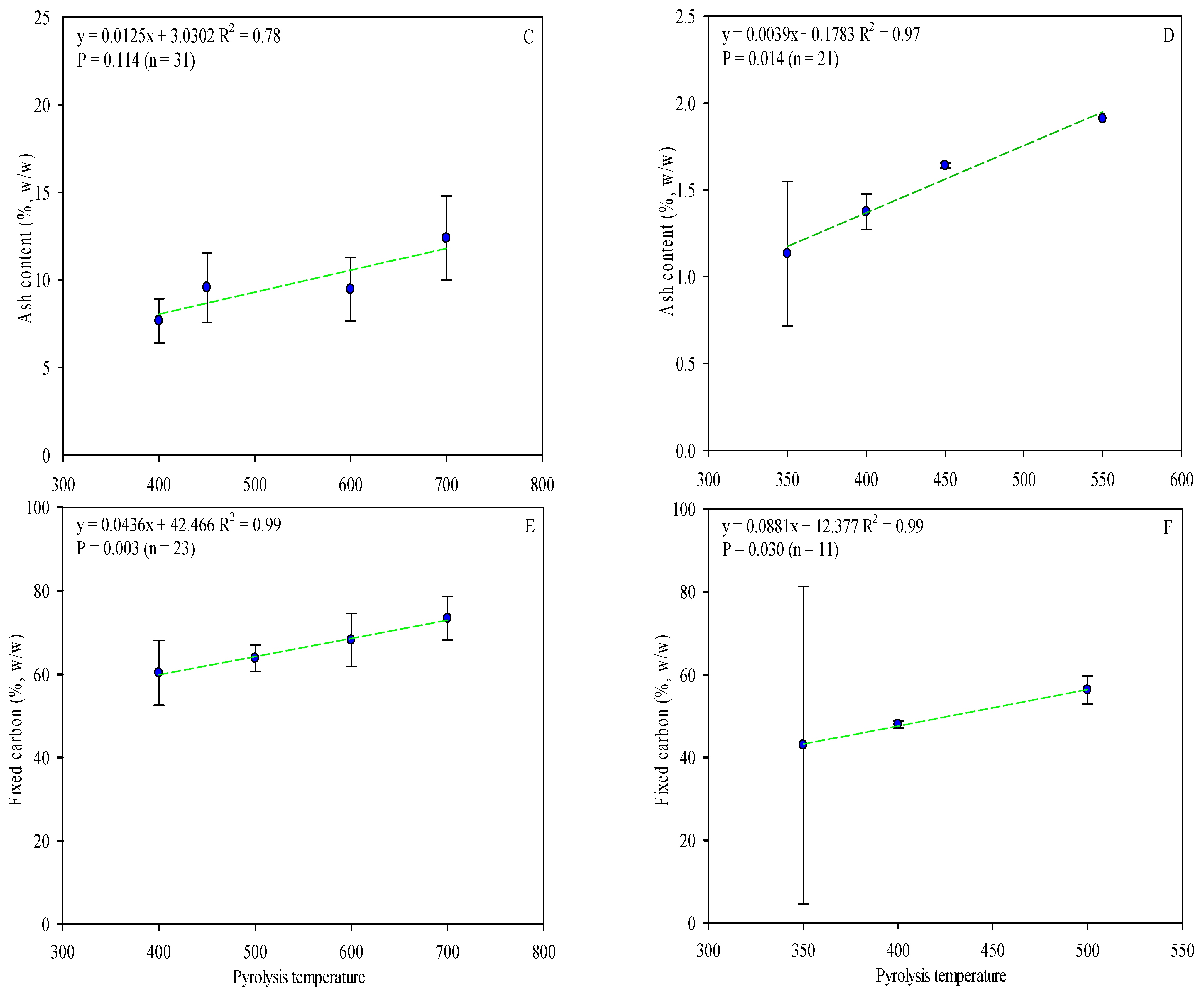
3.3.2. Proximate Analysis
3.3.3. Ultimate Analysis
3.3.4. Surface Area and Porosity
3.3.5. Nutrient Content
3.3.6. Effect of Activation and Functionalization on Activated Carbon Characteristics
3.3.7. Elemental Composition and Thermogravimetric Analysis of Activated Carbons from OP and OS
3.4. Applications of OP and OS Biochars
3.4.1. As Soil Amendments or Conditioners
3.4.2. Plant Growth
3.4.3. Biochar and Activated Carbon Applications
3.5. Challenges and Future Perspectives
4. Conclusions
Supplementary Materials
Author Contributions
Funding
Institutional Review Board Statement
Informed Consent Statement
Data Availability Statement
Acknowledgments
Conflicts of Interest
References
- FAO Food and Agriculture Organization of the United Nations: FAOSTAT Statistical Database. Available online: https://www.fao.org/statistics/en (accessed on 20 January 2023).
- International Olive Council Prices & Balances. Available online: https://www.internationaloliveoil.org/ (accessed on 20 January 2023).
- Borja, R.; Raposo, F.; Rincón, B. Treatment Technologies of Liquid and Solid Wastes from Two-Phase Olive Oil Mills. Grasas Aceites 2006, 57, 32–46. [Google Scholar] [CrossRef]
- Alba, J.; Hidalgo, F.; Martínez, F.; Ruíz, M.A.; Moyano, M.J.; Borja, R. Evolución Medioambiental de Los Sistemas de Elaboración de Aceite de Oliva En Andalucía. Mercacei 1995, 2, 20–22. [Google Scholar]
- Cabrera, F.; López, R.; Martinez-Bordiú, A.; Dupuy de Lome, E.; Murillo, J.M. Land Treatment of Olive Oil Mill Wastewater. Int. Biodeterior. Biodegrad. 1996, 38, 215–225. [Google Scholar] [CrossRef]
- Giannoutsou, E.; Lambraki, M.; Karagouni, A.D. Microbial Treatment of Olive Mill Effluents. In Proceedings of the Symposium Olive Wastes, Kalamata, Greece, 5–8 November 1997; pp. 89–96. [Google Scholar]
- Vera, D.; Jurado, F.; Carpio, J.; Kamel, S. Biomass Gasification Coupled to an EFGT-ORC Combined System to Maximize the Electrical Energy Generation: A Case Applied to the Olive Oil Industry. Energy 2018, 144, 41–53. [Google Scholar] [CrossRef]
- EEA EMEP/EEA Air Pollutant Emission Inventory Guidebook 2023. Technical Guidance to Prepare National Emission Inventories. Available online: https://www.eea.europa.eu/publications/emep-eea-guidebook-2023 (accessed on 20 January 2023).
- Ministry of Economy Estudios Cadena de Valor Alimentos Frescos. Available online: https://www.mapa.gob.es/es/alimentacion/temas/observatorio-cadena/estudios-e-informes/default.aspx (accessed on 20 May 2023).
- Huang, Y.; Li, B.; Liu, D.; Xie, X.; Zhang, H.; Sun, H.; Hu, X.; Zhang, S. Fundamental Advances in Biomass Autothermal/Oxidative Pyrolysis: A Review. ACS Sustain. Chem. Eng. 2020, 8, 11888–11905. [Google Scholar] [CrossRef]
- Alburquerque, J. Agrochemical Characterisation of “Alperujo”, a Solid by-Product of the Two-Phase Centrifugation Method for Olive Oil Extraction. Bioresour. Technol. 2004, 91, 195–200. [Google Scholar] [CrossRef]
- Kamali, M.; Sweygers, N.; Al-Salem, S.; Appels, L.; Aminabhavi, T.M.; Dewil, R. Biochar for Soil Applications-Sustainability Aspects, Challenges and Future Prospects. Chem. Eng. J. 2022, 428, 131189. [Google Scholar] [CrossRef]
- Rodriguez, J.A.; Lustosa Filho, J.F.; Melo, L.C.A.; de Assis, I.R.; de Oliveira, T.S. Classifying the Potential of Biochars from Agricultural and Industrial Waste for the Recovery of Fe and Mg Mining Tailings. J. Anal. Appl. Pyrolysis 2022, 161, 105383. [Google Scholar] [CrossRef]
- Li, S.; Harris, S.; Anandhi, A.; Chen, G. Predicting Biochar Properties and Functions Based on Feedstock and Pyrolysis Temperature: A Review and Data Syntheses. J. Clean. Prod. 2019, 215, 890–902. [Google Scholar] [CrossRef]
- Lu, H.; Zhang, W.; Wang, S.; Zhuang, L.; Yang, Y.; Qiu, R. Characterization of Sewage Sludge-Derived Biochars from Different Feedstocks and Pyrolysis Temperatures. J. Anal. Appl. Pyrolysis 2013, 102, 137–143. [Google Scholar] [CrossRef]
- Pariyar, P.; Kumari, K.; Jain, M.K.; Jadhao, P.S. Evaluation of Change in Biochar Properties Derived from Different Feedstock and Pyrolysis Temperature for Environmental and Agricultural Application. Sci. Total Environ. 2020, 713, 136433. [Google Scholar] [CrossRef]
- Rodriguez, J.A.; Ferreira, J.; Filho, L.; Carrijo, L.; Melo, A.; Rodrigues De Assis, I.; Senna De Oliveira, T. Influence of Pyrolysis Temperature and Feedstock on the Properties of Biochars Produced from Agricultural and Industrial Wastes. J. Anal. Appl. Pyrolysis 2020, 149, 104839. [Google Scholar] [CrossRef]
- Rodriguez, J.A.; Lustosa Filho, J.F.; Melo, L.C.A.; de Assis, I.R.; de Oliveira, T.S. Co-Pyrolysis of Agricultural and Industrial Wastes Changes the Composition and Stability of Biochars and Can Improve Their Agricultural and Environmental Benefits. J. Anal. Appl. Pyrolysis 2021, 155, 105036. [Google Scholar] [CrossRef]
- Domingues, R.R.; Trugilho, P.F.; Silva, C.A.; De Melo, I.C.N.A.; Melo, L.C.A.; Magriotis, Z.M.; Sánchez-Monedero, M.A. Properties of Biochar Derived from Wood and High-Nutrient Biomasses with the Aim of Agronomic and Environmental Benefits. PLoS ONE 2017, 12, e0176884. [Google Scholar] [CrossRef]
- Garcia-Ibañez, P.; Sanchez-Garcia, M.; Sánchez-Monedero, M.A.; Cayuela, M.L.; Moreno, D.A. Olive Tree Pruning Derived Biochar Increases Glucosinolate Concentrations in Broccoli. Sci. Hortic. 2020, 267, 109329. [Google Scholar] [CrossRef]
- Enaime, G.; Baçaoui, A.; Yaacoubi, A.; Lübken, M. Biochar for Wastewater Treatment-Conversion Technologies and Applications. Appl. Sci. 2020, 10, 3492. [Google Scholar] [CrossRef]
- Leng, L.; Xiong, Q.; Yang, L.; Li, H.; Zhou, Y.; Zhang, W.; Jiang, S.; Li, H.; Huang, H. An Overview on Engineering the Surface Area and Porosity of Biochar. Sci. Total Environ. 2021, 763, 144204. [Google Scholar] [CrossRef]
- Danesh, P.; Niaparast, P.; Ghorbannezhad, P.; Ali, I. Biochar Production: Recent Developments, Applications, and Challenges. Fuel 2022, 337, 126889. [Google Scholar] [CrossRef]
- Vilas-Boas, A.C.M.; Tarelho, L.A.C.; Oliveira, H.S.M.; Silva, F.G.C.S.; Pio, D.T.; Matos, M.A.A. Valorisation of Residual Biomass by Pyrolysis: Influence of Process Conditions on Products. Sustain. Energy Fuels 2024, 8, 379–396. [Google Scholar] [CrossRef]
- Figueiredo, C.; Lopes, H.; Coser, T.; Vale, A.; Busato, J.; Aguiar, N.; Novotny, E.; Canellas, L. Influence of Pyrolysis Temperature on Chemical and Physical Properties of Biochar from Sewage Sludge. Arch. Agron. Soil Sci. 2018, 64, 881–889. [Google Scholar] [CrossRef]
- Sarfaraz, Q.; Silva, L.; Drescher, G.; Zafar, M.; Severo, F.; Kokkonen, A.; Molin, G.; Shafi, M.; Shafique, Q.; Solaiman, Z. Characterization and Carbon Mineralization of Biochars Produced from Different Animal Manures and Plant Residues. Sci. Rep. 2020, 10, 955. [Google Scholar] [CrossRef]
- Singh, S.; Kumar, V.; Dhanjal, D.S.; Datta, S.; Bhatia, D.; Dhiman, J.; Samuel, J.; Prasad, R.; Singh, J. A Sustainable Paradigm of Sewage Sludge Biochar: Valorization, Opportunities, Challenges and Future Prospects. J. Clean. Prod. 2020, 269, 122259. [Google Scholar] [CrossRef]
- Ahmad, Z.; Gao, B.; Mosa, A.; Yu, H.; Yin, X.; Bashir, A.; Ghoveisi, H.; Wang, S. Removal of Cu(II), Cd(II) and Pb(II) Ions from Aqueous Solutions by Biochars Derived from Potassium-Rich Biomass. J. Clean. Prod. 2018, 180, 437–449. [Google Scholar] [CrossRef]
- Azzaz, A.A.; Ghimbeu, C.M.; Jellai, S.; El-Bassi, L.; Jeguirim, M. Olive Mill By-Products Thermochemical Conversion via Hydrothermal Carbonization and Slow Pyrolysis: Detailed Comparison between the Generated Hydrochars and Biochars Characteristics. Processes 2022, 10, 231. [Google Scholar] [CrossRef]
- Marks, E.A.N.; Kinigopoulou, V.; Akrout, H.; Azzaz, A.A.; Doulgeris, C.; Jellali, S.; Rad, C.; Zulueta, P.S.; Tziritis, E.; El-Bassi, L.; et al. Potential for Production of Biochar-Based Fertilizers from Olive Mill Waste in Mediterranean Basin Countries: An Initial Assessment for Spain, Tunisia, and Greece. Sustainability 2020, 12, 6081. [Google Scholar] [CrossRef]
- Alotaibi, K.D.; Arcand, M.; Ziadi, N. Effect of Biochar Addition on Legacy Phosphorus Availability in Long-Term Cultivated Arid Soil. Chem. Biol. Technol. Agric. 2021, 8, 47. [Google Scholar] [CrossRef]
- Delgado-Moreno, L.; Bazhari, S.; Gasco, G.; Méndez, A.; El Azzouzi, M.; Romero, E. New Insights into the Efficient Removal of Emerging Contaminants by Biochars and Hydrochars Derived from Olive Oil Wastes. Sci. Total Environ. 2021, 752, 141838. [Google Scholar] [CrossRef]
- Campos, P.; De la Rosa, J.M. Assessing the Effects of Biochar on the Immobilization of Trace Elements and Plant Development in a Naturally Contaminated Soil. Sustainability 2020, 12, 6025. [Google Scholar] [CrossRef]
- MAPA. Available online: https://www.mapa.gob.es/es/agricultura/temas/producciones-agricolas/aceite-oliva-y-aceituna-mesa (accessed on 26 January 2023).
- Abdelhadi, S.O.; Dosoretz, C.G.; Rytwo, G.; Gerchman, Y.; Azaizeh, H. Production of Biochar from Olive Mill Solid Waste for Heavy Metal Removal. Bioresour. Technol. 2017, 244, 759–767. [Google Scholar] [CrossRef]
- Aguirre, J.L.; González-Egido, S.; González-Lucas, M.; González-Pernas, F.M. Medium-Term Effects and Economic Analysis of Biochar Application in Three Mediterranean Crops. Energies 2023, 16, 4131. [Google Scholar] [CrossRef]
- Aissaoui, M.H.; Trabelsi, A.B.H.; Bensidhom, G.; Ceylan, S.; Leahy, J.J.; Kwapinski, W. Insights into Olive Pomace Pyrolysis Conversion to Biofuels and Biochars: Characterization and Techno-Economic Evaluation. Sustain. Chem. Pharm. 2023, 32, 101022. [Google Scholar] [CrossRef]
- Alazzaz, A.; Usman, A.R.A.; Ahmad, M.; Ibrahim, H.M.; Elfaki, J.; Sallam, A.S.; Akanji, M.A.; Al-Wabel, M.I. Potential Short-Term Negative versus Positive Effects of Olive Mill-Derived Biochar on Nutrient Availability in a Calcareous Loamy Sand Soil. PLoS ONE 2020, 15, e0232811. [Google Scholar] [CrossRef]
- Alburquerque, J.A.; Calero, J.M.; Barrón, V.; Torrent, J.; del Campillo, M.C.; Gallardo, A.; Villar, R. Effects of Biochars Produced from Different Feedstocks on Soil Properties and Sunflower Growth. J. Plant Nutr. Soil Sci. 2014, 177, 16–25. [Google Scholar] [CrossRef]
- Alburquerque, J.A.; Sánchez, M.E.; Mora, M.; Barrón, V. Slow Pyrolysis of Relevant Biomasses in the Mediterranean Basin. Part 2. Char Characterisation for Carbon Sequestration and Agricultural Uses. J. Clean. Prod. 2016, 120, 191–197. [Google Scholar] [CrossRef]
- Ayadi, M.; Awad, S.; Villot, A.; Abderrabba, M.; Tazerout, M. Heterogeneous Acid Catalyst Preparation from Olive Pomace and Its Use for Olive Pomace Oil Esterification. Renew. Energy 2021, 165, 1–13. [Google Scholar] [CrossRef]
- Belda, R.M.; Lidón, A.; Fornes, F. Biochars and Hydrochars as Substrate Constituents for Soilless Growth of Myrtle and Mastic. Ind. Crops Prod. 2016, 94, 132–142. [Google Scholar] [CrossRef]
- Caballero, B.M.; López-Urionabarrenechea, A.; Pérez, B.; Solar, J.; Acha, E.; de Marco, I. Potentiality of “Orujillo”(Olive Oil Solid Waste) to Produce Hydrogen by Means of Pyrolysis. Int. J. Hydrogen Energy 2020, 45, 20549–20557. [Google Scholar] [CrossRef]
- Calzado, M.; Valero-Romero, M.J.; Garriga, P.; Chica, A.; Guerrero-Pérez, M.O.; Rodríguez-Mirasol, J.; Cordero, T. Lignocellulosic Waste-Derived Basic Solids and Their Catalytic Applications for the Transformation of Biomass Waste. Catal. Today 2015, 257, 229–236. [Google Scholar] [CrossRef]
- Campos, P.; Miller, A.Z.; Knicker, H.; Costa-Pereira, M.F.; Merino, A.; De la Rosa, J.M. Chemical, Physical and Morphological Properties of Biochars Produced from Agricultural Residues: Implications for Their Use as Soil Amendment. Waste Manag. 2020, 105, 256–267. [Google Scholar] [CrossRef]
- Campos, P.; Miller, A.Z.; Prats, S.A.; Knicker, H.; Hagemann, N.; De la Rosa, J.M. Biochar Amendment Increases Bacterial Diversity and Vegetation Cover in Trace Element-Polluted Soils: A Long-Term Field Experiment. Soil Biol. Biochem. 2020, 150, 108014. [Google Scholar] [CrossRef]
- Campos, P.; Knicker, H.; López, R.; De la Rosa, J.M. Application of Biochar Produced from Crop Residues on Trace Elements Contaminated Soils: Effects on Soil Properties, Enzymatic Activities and Brassica Rapa Growth. Agronomy 2021, 11, 1394. [Google Scholar] [CrossRef]
- Campos, P.; Knicker, H.; Velasco-Molina, M.; De la Rosa, J.M. Assessment of the Biochemical Degradability of Crop Derived Biochars in Trace Elements Polluted Soils. J. Anal. Appl. Pyrolysis 2021, 157, 105186. [Google Scholar] [CrossRef]
- Campos, P.; Knicker, H.; Miller, A.Z.; Velasco-Molina, M.; De la Rosa, J.M. Biochar Ageing in Polluted Soils and Trace Elements Immobilisation in a 2-Year Field Experiment. Environ. Pollut. 2021, 290, 118025. [Google Scholar] [CrossRef] [PubMed]
- Cavoski, I.; Al Chami, Z.; Jarrar, M.; Mondelli, D. Solutions for Soil Fertility Management to Overcome the Challenges of the Mediterranean Organic Agriculture: Tomato Plant Case Study. Soil Res. 2016, 54, 125–133. [Google Scholar] [CrossRef]
- De la Rosa, J.M.; Campos, P.; Diaz-Espejo, A.; Rosa Arranz, J.M.; Campos Díaz de Mayorga, P.; Díaz-Espejo, A.; De la Rosa, J.M.; Campos, P.; Diaz-Espejo, A.; Rosa Arranz, J.M.; et al. Soil Biochar Application: Assessment of the Effects on Soil Water Properties, Plant Physiological Status, and Yield of Super-Intensive Olive Groves under Controlled Irrigation Conditions. Agronomy 2022, 12, 2321. [Google Scholar] [CrossRef]
- del Pozo, C.; Rego, F.; Puy, N.; Bartrolí, J.; Fàbregas, E.; Yang, Y.; Bridgwater, A.V. The Effect of Reactor Scale on Biochars and Pyrolysis Liquids from Slow Pyrolysis of Coffee Silverskin, Grape Pomace and Olive Mill Waste, in Auger Reactors. Waste Manag. 2022, 148, 106–116. [Google Scholar] [CrossRef]
- El Hanandeh, A.; Albalasmeh, A.; Gharaibeh, M.; Alajlouni, M. Modification of Biochar Prepared from Olive Oil Processing Waste to Enhance Phenol Removal from Synthetic and Olive Mill Wastewater. Sep. Sci. Technol. 2021, 56, 1659–1671. [Google Scholar] [CrossRef]
- El-Azazy, M.; Nabil, I.; Hassan, S.S.; El-Shafie, A.S. Adsorption Characteristics of Pristine and Magnetic Olive Stones Biochar with Respect to Clofazimine. Nanomaterials 2021, 11, 963. [Google Scholar] [CrossRef]
- El-Bassi, L.; Azzaz, A.A.; Jellali, S.; Akrout, H.; Marks, E.A.N.; Ghimbeu, C.M.; Jeguirim, M. Application of Olive Mill Waste-Based Biochars in Agriculture: Impact on Soil Properties, Enzymatic Activities and Tomato Growth. Sci. Total Environ. 2021, 755, 142531. [Google Scholar] [CrossRef]
- El-Shafie, A.S.; Ahsan, I.; Radhwani, M.; Al-Khangi, M.A.; El-Azazy, M. Synthesis and Application of Cobalt Oxide (Co3O4)-Impregnated Olive Stones Biochar for the Removal of Rifampicin and Tigecycline: Multivariate Controlled Performance. Nanomaterials 2022, 12, 379. [Google Scholar] [CrossRef]
- Fornes, F.; Belda, R.M.; Lidón, A. Analysis of Two Biochars and One Hydrochar from Different Feedstock: Focus Set on Environmental, Nutritional and Horticultural Considerations. J. Clean. Prod. 2015, 86, 40–48. [Google Scholar] [CrossRef]
- Fornes, F.; Belda, R.M.; Fernández de Córdova, P.; Cebolla-Cornejo, J. Assessment of Biochar and Hydrochar as Minor to Major Constituents of Growing Media for Containerized Tomato Production. J. Sci. Food Agric. 2017, 97, 3675–3684. [Google Scholar] [CrossRef] [PubMed]
- Fornes, F.; Belda, R.M. Acidification with Nitric Acid Improves Chemical Characteristics and Reduces Phytotoxicity of Alkaline Chars. J. Environ. Manag. 2017, 191, 237–243. [Google Scholar] [CrossRef] [PubMed]
- Fornes, F.; Belda, R.M. Biochar versus Hydrochar as Growth Media Constituents for Ornamental Plant Cultivation. Sci. Agric. 2018, 75, 304–312. [Google Scholar] [CrossRef]
- Galán-Pérez, J.A.; Gámiz, B.; Celis, R. Soil Modification with Organic Amendments and Organo-Clays: Effects on Sorption, Degradation, and Bioactivity of the Allelochemical Scopoletin. J. Environ. Manag. 2022, 302, 114102. [Google Scholar] [CrossRef] [PubMed]
- Gámiz, B.; Pignatello, J.J.; Cox, L.; Hermosín, M.C.; Celis, R. Environmental Fate of the Fungicide Metalaxyl in Soil Amended with Composted Olive-Mill Waste and Its Biochar: An Enantioselective Study. Sci. Total Environ. 2016, 541, 776–783. [Google Scholar] [CrossRef] [PubMed]
- Ghouma, I.; Jeguirim, M.; Dorge, S.; Limousy, L.; Ghimbeu, C.M.; Ouederni, A. Activated Carbon Prepared by Physical Activation of Olive Stones for the Removal of NO2 at Ambient Temperature. C. R. Chim. 2015, 18, 63–74. [Google Scholar] [CrossRef]
- Ghouma, I.; Jeguirim, M.; Guizani, C.; Ouederni, A.; Limousy, L. Pyrolysis of Olive Pomace: Degradation Kinetics, Gaseous Analysis and Char Characterization. Waste Biomass Valorization 2017, 8, 1689–1697. [Google Scholar] [CrossRef]
- Gómez, N.; Rosas, J.G.; Cara, J.; Martínez, O.; Alburquerque, J.A.; Sánchez, M.E. Slow Pyrolysis of Relevant Biomasses in the Mediterranean Basin. Part 1. Effect of Temperature on Process Performance on a Pilot Scale. J. Clean. Prod. 2016, 120, 181–190. [Google Scholar] [CrossRef]
- Guerrero-Pérez, M.O.; Valero-Romero, M.J.; Hernández, S.; Nieto, J.M.L.; Rodríguez-Mirasol, J.; Cordero, T. Lignocellulosic-Derived Mesoporous Materials: An Answer to Manufacturing Non-Expensive Catalysts Useful for the Biorefinery Processes. Catal. Today 2012, 195, 155–161. [Google Scholar] [CrossRef]
- Hmid, A.; Mondelli, D.; Fiore, S.; Fanizzi, F.P.; Al Chami, Z.; Dumontet, S. Production and Characterization of Biochar from Three-Phase Olive Mill Waste through Slow Pyrolysis. Biomass Bioenergy 2014, 71, 330–339. [Google Scholar] [CrossRef]
- Hmid, A.; Al Chami, Z.; Sillen, W.; De Vocht, A.; Vangronsveld, J. Olive Mill Waste Biochar: A Promising Soil Amendment for Metal Immobilization in Contaminated Soils. Environ. Sci. Pollut. Res. 2015, 22, 1444–1456. [Google Scholar] [CrossRef]
- İlay, R. Short-Lived Effects of Olive Pomace Biochar Produced at Different Temperatures on Nitrate (NO3−), Bromide (Br−), Sulfate (SO42−) and Phosphate (PO43−) Leaching from Sandy Loam Soils. Commun. Soil Sci. Plant Anal. 2020, 51, 2223–2243. [Google Scholar] [CrossRef]
- Kavdır, Y.; İlay, R.; Güven, O.B.; Sungur, A. Characterization of Olive Pomace Biochar Produced at Different Temperatures and Their Temporal Effects on Soil Aggregation and Carbon Content. Biomass Convers. Biorefinery. 2023. [Google Scholar] [CrossRef]
- Khalil, A.M.; Michely, L.; Pires, R.; Bastide, S.; Jlassi, K.; Ammar, S.; Jaziri, M.; Chehimi, M.M. Copper/Nickel-Decorated Olive Pit Biochar: One Pot Solid State Synthesis for Environmental Remediation. Appl. Sci. 2021, 11, 8513. [Google Scholar] [CrossRef]
- Lilli, M.A.; Paranychianakis, N.V.; Lionoudakis, K.; Kritikaki, A.; Voutsadaki, S.; Saru, M.L.; Komnitsas, K.; Nikolaidis, N.P. The Impact of Sewage-Sludge- and Olive-Mill-Waste-Derived Biochar Amendments to Tomato Cultivation. Sustainability 2023, 15, 3879. [Google Scholar] [CrossRef]
- López-Cabeza, R.; Gámiz, B.; Cornejo, J.; Celis, R. Behavior of the Enantiomers of the Herbicide Imazaquin in Agricultural Soils under Different Application Regimes. Geoderma 2017, 293, 64–72. [Google Scholar] [CrossRef]
- Marra, R.; Vinale, F.; Cesarano, G.; Lombardi, N.; D’Errico, G.; Crasto, A.; Mazzei, P.; Piccolo, A.; Incerti, G.; Woo, S.L.; et al. Biochars from Olive Mill Waste Have Contrasting Effects on Plants, Fungi and Phytoparasitic Nematodes. PLoS ONE 2018, 13, e0198728. [Google Scholar] [CrossRef] [PubMed]
- Molina-Sabio, M.; Sánchez-Montero, M.J.; Juarez-Galan, J.M.; Salvador, F.; Rodríguez-Reinoso, F.; Salvador, A. Development of Porosity in a Char during Reaction with Steam or Supercritical Water. J. Phys. Chem. B 2006, 110, 12360–12364. [Google Scholar] [CrossRef]
- Monteagudo, J.M.; Durán, A.; Mänttäri, M.; López, S. Insights into the Adsorption of CO2 Generated from Synthetic Urban Wastewater Treatment on Olive Pomace Biochar. J. Environ. Manag. 2023, 339, 117951. [Google Scholar] [CrossRef]
- Omiri, J.; Snoussi, Y.; Bhakta, A.K.; Truong, S.; Ammar, S.; Khalil, A.M.; Jouini, M.; Chehimi, M.M. Citric-Acid-Assisted Preparation of Biochar Loaded with Copper/Nickel Bimetallic Nanoparticles for Dye Degradation. Colloids Interfaces 2022, 6, 18. [Google Scholar] [CrossRef]
- Pellera, F.-M.; Gidarakos, E. Effect of Dried Olive Pomace—Derived Biochar on the Mobility of Cadmium and Nickel in Soil. J. Environ. Chem. Eng. 2015, 3, 1163–1176. [Google Scholar] [CrossRef]
- Pellera, F.-M.; Regkouzas, P.; Manolikaki, I.; Diamadopoulos, E. Biochar Production from Waste Biomass: Characterization and Evaluation for Agronomic and Environmental Applications. Detritus 2021, 17, 15–29. [Google Scholar] [CrossRef]
- Piscitelli, L.; Malerba, A.D.; Mezzapesa, G.N.; Dumontet, S.; Mondelli, D.; Miano, T.; Bruno, G.L. Potential Microbial Remediation of Pyrene Polluted Soil: The Role of Biochar. Soil Res. 2019, 57, 807–813. [Google Scholar] [CrossRef]
- Piscitelli, L.; Rasse, D.P.; Malerba, A.D.; Miano, T.; Mondelli, D. Slow Pyrolysis of Olive Mill Solid Residues as a Sustainable Valorization Strategy for Waste Biomass. J. Mater. Cycles Waste Manag. 2023, 25, 1688–1698. [Google Scholar] [CrossRef]
- Reda, R.M.; El Gaafary, N.M.; Rashwan, A.A.; Mahsoub, F.; El-Gazzar, N. Evaluation of Olive Stone Biochar as Valuable and Inexpensive Agro-waste Adsorbent for the Adsorption and Removal of Inorganic Mercury from Nile Tilapia Aquaculture Systems. Aquac. Res. 2022, 53, 1676–1692. [Google Scholar] [CrossRef]
- Rittenhouse, J.L.; Rice, P.J.; Spokas, K.A.; Koskinen, W.C. Assessing Biochar’s Ability to Reduce Bioavailability of Aminocyclopyrachlor in Soils. Environ. Pollut. 2014, 189, 92–97. [Google Scholar] [CrossRef] [PubMed]
- Román, S.; González, J.F.; González-García, C.M.; Zamora, F. Control of Pore Development during CO2 and Steam Activation of Olive Stones. Fuel Process. Technol. 2008, 89, 715–720. [Google Scholar] [CrossRef]
- Sanginés, P.; Domínguez, M.P.; Sánchez, F.; San Miguel, G. Slow Pyrolysis of Olive Stones in a Rotary Kiln: Chemical and Energy Characterization of Solid, Gas, and Condensable Products. J. Renew. Sustain. Energy 2015, 7, 043103. [Google Scholar] [CrossRef]
- Senbayram, M.; Saygan, E.P.; Chen, R.; Aydemir, S.; Kaya, C.; Wu, D.; Bladogatskaya, E. Effect of Biochar Origin and Soil Type on the Greenhouse Gas Emission and the Bacterial Community Structure in N Fertilised Acidic Sandy and Alkaline Clay Soil. Sci. Total Environ. 2019, 660, 69–79. [Google Scholar] [CrossRef]
- Tamošiūnas, A.; Chouchène, A.; Valatkevičius, P.; Gimžauskaitė, D.; Aikas, M.; Uscila, R.; Ghorbel, M.; Jeguirim, M. The Potential of Thermal Plasma Gasification of Olive Pomace Charcoal. Energies 2017, 10, 710. [Google Scholar] [CrossRef]
- Usama, M.; Rafique, M.I.; Ahmad, J.; Ahmad, M.; Al-Wabel, M.I.; Al-Farraj, A.S.F. A Sustainable Approach towards the Restoration of Lead-Contaminated Soils through Nutrient-Doped Olive Waste-Derived Biochar Application. Sustainability 2023, 15, 2606. [Google Scholar] [CrossRef]
- Valero-Romero, M.J.; García-Mateos, F.J.; Rodríguez-Mirasol, J.; Cordero, T. Role of Surface Phosphorus Complexes on the Oxidation of Porous Carbons. Fuel Process. Technol. 2017, 157, 116–126. [Google Scholar] [CrossRef]
- Volpe, M.; D’Anna, C.; Messineo, S.; Volpe, R.; Messineo, A. Sustainable Production of Bio-Combustibles from Pyrolysis of Agro-Industrial Wastes. Sustainability 2014, 6, 7866–7882. [Google Scholar] [CrossRef]
- Windeatt, J.H.; Ross, A.B.; Williams, P.T.; Forster, P.M.; Nahil, M.A.; Singh, S. Characteristics of Biochars from Crop Residues: Potential for Carbon Sequestration and Soil Amendment. J. Environ. Manag. 2014, 146, 189–197. [Google Scholar] [CrossRef]
- Zouari, M.; Marrot, L.; DeVallance, D.B. Effect of Demineralization and Ball Milling Treatments on the Properties of Arundo Donax and Olive Stone-Derived Biochar. Int. J. Environ. Sci. Technol. 2023, 21, 101–114. [Google Scholar] [CrossRef]
- Blanco López, M.; Blanco, C.; Martínez-Alonso, A.; Tascón, J.M. Composition of Gases Released during Olive Stones Pyrolysis. J. Anal. Appl. Pyrolysis 2002, 65, 313–322. [Google Scholar] [CrossRef]
- Stefanidis, S.D.; Kalogiannis, K.G.; Iliopoulou, E.F.; Michailof, C.M.; Pilavachi, P.A.; Lappas, A.A. A Study of Lignocellulosic Biomass Pyrolysis via the Pyrolysis of Cellulose, Hemicellulose and Lignin. J. Anal. Appl. Pyrolysis 2014, 105, 143–150. [Google Scholar] [CrossRef]
- Kan, T.; Strezov, V.; Evans, T.J. Lignocellulosic Biomass Pyrolysis: A Review of Product Properties and Effects of Pyrolysis Parameters. Renew. Sustain. Energy Rev. 2016, 57, 1126–1140. [Google Scholar] [CrossRef]
- dos Santos, S.R.; Lustosa Filho, J.F.; Vergütz, L.; Melo, L.C.A. Biochar Association with Phosphate Fertilizer and Its Influence on Phosphorus Use Efficiency by Maize. Ciênc. Agrotecnol. 2019, 43, e025718. [Google Scholar] [CrossRef]
- Li, S.; Chen, G. Thermogravimetric, Thermochemical, and Infrared Spectral Characterization of Feedstocks and Biochar Derived at Different Pyrolysis Temperatures. Waste Manag. 2018, 78, 198–207. [Google Scholar] [CrossRef] [PubMed]
- Bolan, N.; Hoang, S.A.; Beiyuan, J.; Gupta, S.; Hou, D.; Karakoti, A.; Joseph, S.; Jung, S.; Kim, K.H.; Kirkham, M.B.; et al. Multifunctional Applications of Biochar beyond Carbon Storage. Int. Mater. Rev. 2022, 67, 150–200. [Google Scholar] [CrossRef]
- Xu, G.; Lv, Y.; Sun, J.; Shao, H.; Wei, L. Recent Advances in Biochar Applications in Agricultural Soils: Benefits and Environmental Implications. Clean.-Soil Air Water 2012, 40, 1093–1098. [Google Scholar] [CrossRef]
- Laghari, M.; Naidu, R.; Xiao, B.; Hu, Z.; Mirjat, M.S.; Hu, M.; Kandhro, M.N.; Chen, Z.; Guo, D.; Jogi, Q.; et al. Recent Developments in Biochar as an Effective Tool for Agricultural Soil Management: A Review. J. Sci. Food Agric. 2016, 96, 4840–4849. [Google Scholar] [CrossRef] [PubMed]
- Zhao, L.; Cao, X.; Mašek, O.; Zimmerman, A. Heterogeneity of Biochar Properties as a Function of Feedstock Sources and Production Temperatures. J. Hazard. Mater. 2013, 256–257, 1–9. [Google Scholar] [CrossRef] [PubMed]
- Inyang, M.I.; Gao, B.; Yao, Y.; Xue, Y.; Zimmerman, A.; Mosa, A.; Pullammanappallil, P.; Ok, Y.S.; Cao, X. A Review of Biochar as a Low-Cost Adsorbent for Aqueous Heavy Metal Removal. Crit. Rev. Environ. Sci. Technol. 2016, 46, 406–433. [Google Scholar] [CrossRef]
- Singh, B.; Dolk, M.M.; Shen, Q.; Camps-Arbestain, M. Conductivity and Liming Potential. In Biochar: A Guide to Analytical Methods; Singh, B., Camps-Arbestain, M., Lehmann, J., Eds.; CRC Press: New York, NY, USA, 2017; pp. 23–38. [Google Scholar]
- Chaturvedi, S.; Singh, S.V.; Dhyani, V.C.; Govindaraju, K.; Vinu, R.; Mandal, S. Characterization, Bioenergy Value, and Thermal Stability of Biochars Derived from Diverse Agriculture and Forestry Lignocellulosic Wastes. Biomass Convers. Biorefinery 2023, 13, 879–892. [Google Scholar] [CrossRef]
- Zhang, B.; Heidari, M.; Regmi, B.; Salaudeen, S.; Arku, P.; Thimmannagari, M.; Dutta, A. Hydrothermal Carbonization of Fruit Wastes: A Promising Technique for Generating Hydrochar. Energies 2018, 11, 2022. [Google Scholar] [CrossRef]
- Nagel, K.; Hoilett, N.O.; Mottaleb, M.A.; Meziani, M.J.; Wistrom, J.; Bellamy, M. Physicochemical Characteristics of Biochars Derived From Corn, Hardwood, Miscanthus, and Horse Manure Biomasses. Commun. Soil Sci. Plant Anal. 2019, 50, 987–1002. [Google Scholar] [CrossRef]
- Fawzy, S.; Osman, A.I.; Yang, H.; Doran, J.; Rooney, D.W. Industrial Biochar Systems for Atmospheric Carbon Removal: A Review; Springer International Publishing: Berlin/Heidelberg, Germany, 2021; Volume 19, ISBN 0123456789. [Google Scholar]
- Weber, K.; Quicker, P. Properties of Biochar. Fuel 2018, 217, 240–261. [Google Scholar] [CrossRef]
- International Biochar Initiative (IBI). Standardized Product Definition and Product Testing Guidelines for Biochar That Is Used in Soil. Available online: https://biochar-international.org/wp-content/uploads/2023/01/IBI_Biochar_Standards_V2.1_Final2.pdf (accessed on 22 October 2023).
- Wang, W.; Bai, J.; Lu, Q.; Zhang, G.; Wang, D.; Jia, J.; Guan, Y.; Yu, L. Pyrolysis Temperature and Feedstock Alter the Functional Groups and Carbon Sequestration Potential of Phragmites Australis- and Spartina Alterniflora-Derived Biochars. GCB Bioenergy 2021, 13, 493–506. [Google Scholar] [CrossRef]
- Wiedner, K.; Rumpel, C.; Steiner, C.; Pozzi, A.; Maas, R.; Glaser, B. Chemical Evaluation of Chars Produced by Thermochemical Conversion (Gasification, Pyrolysis and Hydrothermal Carbonization) of Agro-Industrial Biomass on a Commercial Scale. Biomass Bioenergy 2013, 59, 264–278. [Google Scholar] [CrossRef]
- Yang, G.; Wu, L.; Xian, Q.; Shen, F.; Wu, J.; Zhang, Y. Removal of Congo Red and Methylene Blue from Aqueous Solutions by Vermicompost-Derived Biochars. PLoS ONE 2016, 11, e0154562. [Google Scholar] [CrossRef]
- EBC. European Biochar Certificate—Guidelines for a Sustainable Production of Biochar’. 2012. Available online: http://www.european-biochar.org/en/download (accessed on 9 October 2023).
- Jaafar, N.M.; Clode, P.L.; Abbott, L.K. Soil Microbial Responses to Biochars Varying in Particle Size, Surface and Pore Properties. Pedosphere 2015, 25, 770–780. [Google Scholar] [CrossRef]
- Zhao, S.X.; Ta, N.; Wang, X.D. Effect of Temperature on the Structural and Physicochemical Properties of Biochar with Apple Tree Branches as Feedstock Material. Energies 2017, 10, 1293. [Google Scholar] [CrossRef]
- Nkoh, J.N.; Ajibade, F.O.; Atakpa, E.O.; Baquy, M.A.-A.; Mia, S.; Odii, E.C.; Xu, R. Reduction of Heavy Metal Uptake from Polluted Soils and Associated Health Risks through Biochar Amendment: A Critical Synthesis. J. Hazard. Mater. Adv. 2022, 6, 100086. [Google Scholar] [CrossRef]
- Khadem, A.; Raiesi, F.; Besharati, H.; Khalaj, M.A. The Effects of Biochar on Soil Nutrients Status, Microbial Activity and Carbon Sequestration Potential in Two Calcareous Soils. Biochar 2021, 3, 105–116. [Google Scholar] [CrossRef]
- El-Naggar, A.; El-Naggar, A.H.; Shaheen, S.M.; Sarkar, B.; Chang, S.X.; Tsang, D.C.W.; Rinklebe, J.; Ok, Y.S. Biochar Composition-Dependent Impacts on Soil Nutrient Release, Carbon Mineralization, and Potential Environmental Risk: A Review. J. Environ. Manag. 2019, 241, 458–467. [Google Scholar] [CrossRef] [PubMed]
- Song, B.; Almatrafi, E.; Tan, X.; Luo, S.; Xiong, W.; Zhou, C.; Qin, M.; Liu, Y.; Cheng, M.; Zeng, G.; et al. Biochar-Based Agricultural Soil Management: An Application-Dependent Strategy for Contributing to Carbon Neutrality. Renew. Sustain. Energy Rev. 2022, 164, 112529. [Google Scholar] [CrossRef]
- Ghosh, D.; Maiti, S.K. Biochar Assisted Phytoremediation and Biomass Disposal in Heavy Metal Contaminated Mine Soils: A Review. Int. J. Phytoremediat. 2021, 23, 559–576. [Google Scholar] [CrossRef]
- Igaz, D.; Šimanský, V.; Horák, J.; Kondrlová, E.; Domanová, J.; Rodný, M.; Buchkina, N.P. Can a Single Dose of Biochar Affect Selected Soil Physical and Chemical Characteristics? J. Hydrol. Hydromech. 2018, 66, 421–428. [Google Scholar] [CrossRef]
- Hussain, R.; Garg, A.; Ravi, K. Soil-Biochar-Plant Interaction: Differences from the Perspective of Engineered and Agricultural Soils. Bull. Eng. Geol. Environ. 2020, 79, 4461–4481. [Google Scholar] [CrossRef]
- Toková, L.; Igaz, D.; Horák, J.; Aydin, E. Effect of Biochar Application and Re-application on Soil Bulk Density, Porosity, Saturated Hydraulic Conductivity, Water Content and Soil Water Availability in a Silty Loam Haplic Luvisol. Agronomy 2020, 10, 1005. [Google Scholar] [CrossRef]
- Xu, W.; Whitman, W.B.; Gundale, M.J.; Chien, C.; Chiu, C. Functional Response of the Soil Microbial Community to Biochar Applications. GCB Bioenergy 2021, 13, 269–281. [Google Scholar] [CrossRef]
- Kavitha, B.; Reddy, P.V.L.; Kim, B.; Lee, S.S.; Pandey, S.K.; Kim, K.-H. Benefits and Limitations of Biochar Amendment in Agricultural Soils: A Review. J. Environ. Manag. 2018, 227, 146–154. [Google Scholar] [CrossRef] [PubMed]
- Hasnain, M.; Munir, N.; Abideen, Z.; Zulfiqar, F.; Koyro, H.W.; El-Naggar, A.; Caçador, I.; Duarte, B.; Rinklebe, J.; Yong, J.W.H. Biochar-Plant Interaction and Detoxification Strategies under Abiotic Stresses for Achieving Agricultural Resilience: A Critical Review. Ecotoxicol. Environ. Saf. 2023, 249, 114408. [Google Scholar] [CrossRef] [PubMed]
- Abbas, T.; Rizwan, M.; Ali, S.; Adrees, M.; Zia-ur-Rehman, M.; Qayyum, M.F.; Ok, Y.S.; Murtaza, G. Effect of Biochar on Alleviation of Cadmium Toxicity in Wheat (Triticum aestivum L.) Grown on Cd-Contaminated Saline Soil. Environ. Sci. Pollut. Res. 2018, 25, 25668–25680. [Google Scholar] [CrossRef]
- Ibrahim, M.; Li, G.; Chan, F.K.S.; Kay, P.; Liu, X.X.; Firbank, L.; Xu, Y.Y. Biochars Effects Potentially Toxic Elements and Antioxidant Enzymes in Lactuca sativa L. Grown in Multi-Metals Contaminated Soil. Environ. Technol. Innov. 2019, 15, 100427. [Google Scholar] [CrossRef]
- Rehman, M.; Liu, L.; Bashir, S.; Saleem, M.H.; Chen, C.; Peng, D.; Siddique, K.H. Influence of Rice Straw Biochar on Growth, Antioxidant Capacity and Copper Uptake in Ramie (Boehmeria nivea L.) Grown as Forage in Aged Copper-Contaminated Soil. Plant Physiol. Biochem. 2019, 138, 121–129. [Google Scholar] [CrossRef]
- Palansooriya, K.N.; Ok, Y.S.; Awad, Y.M.; Lee, S.S.; Sung, J.-K.; Koutsospyros, A.; Moon, D.H. Impacts of Biochar Application on Upland Agriculture: A Review. J. Environ. Manag. 2019, 234, 52–64. [Google Scholar] [CrossRef]
- Lehmann, J.; Joseph, S. (Eds.) Biochar for Environmental Management; Routledge: London, UK, 2015; ISBN 9780203762264. [Google Scholar]
- Galán-Martín, Á.; Contreras, M.d.M.; Romero, I.; Ruiz, E.; Bueno-Rodríguez, S.; Eliche-Quesada, D.; Castro-Galiano, E. The Potential Role of Olive Groves to Deliver Carbon Dioxide Removal in a Carbon-Neutral Europe: Opportunities and Challenges. Renew. Sustain. Energy Rev. 2022, 165, 112609. [Google Scholar] [CrossRef]
- EN 14214:2008; Automotive Fuels—Fatty Acid Methyl Esters (FAME) for Diesel Engines—Requirements and Test Methods. European Committee for Standardization: Brussels, Belgium, 2008.


) represents a standard error.
) represents a standard error.
) represents a standard error.
) represents a standard error.

) represents a standard error.
) represents a standard error.

| References | Feedstock | Temperature | Gas | Activation | PhysicoChemical Properties | Ultimate Analysis | Proximate Analysis | SSA | Pores | Soil | Plant | Adsorption | Nutrient |
|---|---|---|---|---|---|---|---|---|---|---|---|---|---|
| [35] | OP and OS | 340, 450 | CO2 | ✕ | ✕ | ✕ | ✕ | ✔ | ✕ | ✕ | ✕ | ✔ | ✕ |
| [36] | OS | 550–600 | CO2 | ✕ | ✔ | ✕ | ✔ | ✕ | ✕ | ✕ | ✕ | ✕ | ✔ |
| [37] | OP | 500, 600, 700 | N2 | ✕ | ✕ | ✔ | ✔ | ✕ | ✕ | ✕ | ✕ | ✕ | ✔ |
| [38] | OP | 300, 400, 500, 600, 700 | CO2 | ✕ | ✔ | ✕ | ✔ | ✔ | ✔ | ✔ | ✔ | ✕ | ✕ |
| [39] | OS | 507 | CO2 | ✕ | ✔ | ✕ | ✔ | ✕ | ✕ | ✔ | ✔ | ✕ | ✔ |
| [40] | OS | 350, 450, 550 | CO2 | ✕ | ✔ | ✕ | ✔ | ✔ | ✕ | ✕ | ✔ | ✕ | ✔ |
| [31] | OP | 300, 500, 700 | CO2 | ✕ | ✔ | ✕ | ✕ | ✔ | ✕ | ✔ | ✕ | ✕ | ✔ |
| [41] | OP | 800 | N2 | ✔ | ✕ | ✔ | ✔ | ✔ | ✔ | ✕ | ✕ | ✕ | ✕ |
| [29] | OP | 400, 500, 600 | N2 | ✔ | ✕ | ✔ | ✔ | ✕ | ✕ | ✕ | ✕ | ✕ | ✔ |
| [42] | OP | 500 | CO2 | ✕ | ✔ | ✕ | ✕ | ✕ | ✕ | ✔ | ✔ | ✕ | ✕ |
| [43] | OP | 500, 700 | N2 | ✕ | ✕ | ✔ | ✔ | ✕ | ✕ | ✕ | ✕ | ✕ | ✕ |
| [44] | OS | 500, 800, 900 | N2 | ✔ | ✕ | ✕ | ✕ | ✔ | ✔ | ✕ | ✕ | ✕ | ✕ |
| [33] | OS | 500 | N2 | ✕ | ✔ | ✔ | ✔ | ✔ | ✕ | ✔ | ✔ | ✔ | ✕ |
| [45] | OS | 350, 400, 500, 600 | N2 | ✕ | ✔ | ✔ | ✔ | ✕ | ✕ | ✕ | ✕ | ✕ | ✕ |
| [46] | OS | 500 | N2 | ✕ | ✔ | ✔ | ✔ | ✔ | ✕ | ✔ | ✔ | ✔ | ✕ |
| [47] | OS | 400, 500 | N2 | ✕ | ✔ | ✔ | ✔ | ✕ | ✕ | ✔ | ✔ | ✕ | ✕ |
| [48] | OS | 500 | N2 | ✕ | ✔ | ✔ | ✔ | ✕ | ✕ | ✔ | ✕ | ✕ | ✕ |
| [49] | OS | 500 | N2 | ✕ | ✔ | ✔ | ✔ | ✔ | ✕ | ✔ | ✕ | ✕ | ✕ |
| [50] | OP | 1100–1200 | CO2 | ✕ | ✔ | ✕ | ✕ | ✕ | ✕ | ✔ | ✔ | ✕ | ✔ |
| [51] | OP | 500 | N2 | ✕ | ✔ | ✕ | ✔ | ✕ | ✕ | ✔ | ✔ | ✕ | ✕ |
| [52] | OP | 400 | N2 | ✕ | ✔ | ✔ | ✔ | ✕ | ✕ | ✕ | ✕ | ✕ | ✕ |
| [32] | OS | 300, 500 | N2 | ✕ | ✔ | ✕ | ✕ | ✔ | ✔ | ✕ | ✕ | ✔ | ✔ |
| [53] | OP | 350, 550 | CO2 | ✔ | ✔ | ✕ | ✔ | ✔ | ✕ | ✕ | ✕ | ✔ | ✕ |
| [54] | OS | 500 | CO2 | ✔ | ✕ | ✕ | ✕ | ✔ | ✔ | ✕ | ✕ | ✔ | ✕ |
| [55] | OP | 500 | N2 | ✕ | ✔ | ✔ | ✔ | ✕ | ✕ | ✔ | ✔ | ✕ | ✔ |
| [56] | OS | 500 | CO2 | ✔ | ✕ | ✕ | ✕ | ✔ | ✔ | ✕ | ✕ | ✔ | ✕ |
| [57] | OP | 500 | CO2 | ✕ | ✔ | ✕ | ✕ | ✕ | ✕ | ✔ | ✔ | ✕ | ✔ |
| [58] | OP | 500 | CO2 | ✕ | ✕ | ✕ | ✕ | ✕ | ✕ | ✔ | ✔ | ✕ | ✕ |
| [59] | OP | 500 | CO2 | ✔ | ✕ | ✕ | ✕ | ✕ | ✕ | ✕ | ✔ | ✕ | ✔ |
| [60] | OP | 500 | CO2 | ✕ | ✕ | ✕ | ✕ | ✕ | ✕ | ✔ | ✔ | ✕ | ✕ |
| [61] | OP | 400 | N2 | ✕ | ✔ | ✕ | ✕ | ✕ | ✕ | ✔ | ✔ | ✔ | ✕ |
| [62] | OP | 400 | N2 | ✕ | ✔ | ✕ | ✕ | ✕ | ✕ | ✔ | ✕ | ✕ | ✕ |
| [63] | OS | 750 | N2 | ✔ | ✕ | ✕ | ✕ | ✔ | ✔ | ✕ | ✕ | ✔ | ✕ |
| [64] | OS | 600 | N2 | ✕ | ✕ | ✕ | ✕ | ✔ | ✔ | ✕ | ✕ | ✕ | ✕ |
| [65] | OS | 350, 450, 550 | N2 | ✕ | ✕ | ✔ | ✔ | ✕ | ✕ | ✕ | ✕ | ✕ | ✕ |
| [66] | OS | 500, 800 | N2 | ✔ | ✕ | ✕ | ✕ | ✔ | ✔ | ✕ | ✕ | ✔ | ✕ |
| [67] | OP | 430, 480, 530 | CO2 | ✕ | ✔ | ✔ | ✔ | ✕ | ✕ | ✕ | ✔ | ✕ | ✕ |
| [68] | OP | 400–450 | CO2 | ✕ | ✔ | ✔ | ✔ | ✕ | ✕ | ✔ | ✔ | ✕ | ✕ |
| [69] | OP | 350, 700 | N2 | ✕ | ✔ | ✕ | ✔ | ✔ | ✔ | ✔ | ✕ | ✕ | ✔ |
| [70] | OP | 350, 700 | N2 | ✕ | ✔ | ✕ | ✔ | ✔ | ✔ | ✔ | ✕ | ✕ | ✔ |
| [71] | OS | 400 | N2 | ✔ | ✕ | ✕ | ✕ | ✕ | ✕ | ✕ | ✕ | ✔ | ✕ |
| [72] | OP | 400 | N2 | ✕ | ✔ | ✔ | ✔ | ✔ | ✕ | ✔ | ✔ | ✕ | ✔ |
| [73] | OP | 400 | N2 | ✕ | ✔ | ✕ | ✕ | ✕ | ✕ | ✔ | ✕ | ✕ | ✕ |
| [74] | OP | 300, 500, 800, 1000 | CO2 | ✕ | ✔ | ✔ | ✕ | ✕ | ✕ | ✕ | ✔ | ✕ | ✕ |
| [75] | OS | 850 | N2 | ✔ | ✕ | ✕ | ✕ | ✕ | ✔ | ✕ | ✕ | ✕ | ✕ |
| [76] | OS | 750 | CO2 | ✕ | ✕ | ✔ | ✕ | ✔ | ✔ | ✕ | ✕ | ✔ | ✕ |
| [77] | OS | 400 | N2 | ✔ | ✕ | ✕ | ✕ | ✕ | ✕ | ✕ | ✕ | ✔ | ✕ |
| [78] | OP | 400, 700 | CO2 | ✕ | ✔ | ✔ | ✔ | ✔ | ✕ | ✔ | ✕ | ✕ | ✔ |
| [79] | OP | 400, 600 | N2 | ✕ | ✔ | ✔ | ✔ | ✔ | ✕ | ✔ | ✔ | ✕ | ✔ |
| [80] | OP | 450 | N2 | ✕ | ✔ | ✔ | ✔ | ✕ | ✕ | ✔ | ✕ | ✕ | ✕ |
| [81] | OS | 450 | N2 | ✕ | ✔ | ✔ | ✔ | ✕ | ✕ | ✕ | ✔ | ✕ | ✕ |
| [82] | OS | 459 | N2 | ✕ | ✕ | ✕ | ✕ | ✔ | ✔ | ✕ | ✕ | ✔ | ✕ |
| [83] | OP | 700 | CO2 | ✕ | ✕ | ✔ | ✔ | ✔ | ✕ | ✔ | ✕ | ✕ | ✕ |
| [84] | OS | 800, 850, 900 | N2 | ✔ | ✕ | ✕ | ✕ | ✔ | ✔ | ✕ | ✕ | ✕ | ✕ |
| [85] | OS | 200, 300, 400, 500, 700, 900 | N2 | ✕ | ✕ | ✔ | ✔ | ✔ | ✔ | ✕ | ✕ | ✔ | ✕ |
| [86] | OP | 280 | CO2 | ✕ | ✔ | ✔ | ✕ | ✕ | ✕ | ✔ | ✕ | ✕ | ✔ |
| [87] | OP | 450 | CO2 | ✕ | ✕ | ✔ | ✕ | ✕ | ✕ | ✕ | ✕ | ✕ | ✕ |
| [88] | OP | 500 | CO2 | ✔ | ✔ | ✕ | ✔ | ✕ | ✔ | ✔ | ✕ | ✕ | ✕ |
| [89] | OS | 800 | N2 | ✔ | ✕ | ✔ | ✔ | ✔ | ✔ | ✕ | ✕ | ✔ | ✕ |
| [90] | OP | 325, 400, 500, 650 | He | ✕ | ✕ | ✔ | ✔ | ✕ | - | ✕ | ✕ | ✕ | ✕ |
| [91] | OP | 600 | N2 | ✕ | ✔ | ✔ | ✔ | ✔ | ✔ | ✕ | ✕ | ✕ | ✔ |
| [92] | OS | 600 | N2 | ✔ | ✕ | ✕ | ✔ | ✔ | ✔ | ✕ | ✕ | ✕ | ✕ |
| Reference | FD | T (°C) | Carbonization | Treatment |
|---|---|---|---|---|
| [41] | OP | 800 | Slow Pyrolysis | Superheated steam |
| Superheated steam + H2SO4 | ||||
| [44] | OS | 400 | Slow Pyrolysis | Olive mill wastewater |
| 500 | ||||
| 600 | ||||
| 800 | Gasification CO2 | |||
| 900 | ||||
| 800 | NaOH | |||
| Ba(OH)2 | ||||
| Ca(CH3COO)2·H2O | ||||
| [53] | OP | 350 | - | Pre-treatment with FeCl3 |
| 550 | ||||
| 350 | Post-treatment with FeCl3 | |||
| 550 | ||||
| [54] | OS | 500 | - | Fe3O4 |
| [56] | OS | 500 | Fast Pyrolysis | Co3O4 |
| [59] | OP | 500 | Slow Pyrolysis | HNO3 |
| [63] | OS | 750 | - | Water vapor |
| [66] | OS | 500 | - | Impregnation H3PO4 3:1 |
| 800 | Gasification CO2 | |||
| 250 | NH4VO3 | |||
| NH4VO3 + Zr(OCH2CH2CH3)4 | ||||
| NH4VO3 + Zr(OCH2CH2CH3)4 | ||||
| Zr(OCH2CH2CH3)4 | ||||
| NH4VO3 | ||||
| NH4VO3 + Zr(OCH2CH2CH3)4 | ||||
| Zr(OCH2CH2CH3)4 | ||||
| [71] | OS | 400 | Slow and Mild Pyrolysis | Ni(NO3)2·6H2O |
| Cu(NO3)2·3H2O | ||||
| Cu(NO3)2·3H2O + Ni(NO3)2·6H2O | ||||
| [75] | OS | 850 | Slow Pyrolysis | Supercritical water |
| [77] | OS | 400 | Slow Pyrolysis | Citric Acid |
| Citri Acid + Ni(NO3)2·6H2O | ||||
| Citri Acid + Cu(NO3)2·3H2O + Ni(NO3)2·6H2O | ||||
| Citri Acid + Cu(NO3)2·3H2O + Ni(NO3)2·6H2O | ||||
| Cu(NO3)2·3H2O + | ||||
| [84] | OS | 850 | - | CO2 |
| 900 | ||||
| 800 | Steam | |||
| 850 | ||||
| 900 | ||||
| 850 | ||||
| CO2/Steam | ||||
| [88] | OP | 500 | - | Na2SiO3 |
| KH2PO4 and KNO₃ | ||||
| [89] | OS | 800 | - | CO2 |
| CO2/H3PO4 | ||||
| H3PO4 | ||||
| [92] | OS | 600 | Slow Pyrolysis | Demineralized |
| Ball-milled | ||||
| Demineralized and ball-milled |
| OP biochars | |||||||
| Temperature | C (%) | H (%) | N (%) | O (%) | H/C | O/C | C/N |
| 400 °C | 65.3 ± 4.6 | 3.82 ± 1.0 | 1.72 ± 0.5 | 25.5 ± 7.6 | 0.35 ± 0.14 | 0.37 ± 0.13 | 35.2 ± 11 |
| 500 °C | 73.3 ± 3.7 | 2.37 ± 0.6 | 1.79 ± 0.6 | 11.5 ± 4.3 | 0.06 ± 0.03 | 0.17 ± 0.06 | 80.0 ± 10 |
| 600 °C | 77.6 ± 4.7 | 2.38 ± 0.3 | 3.11 ± 1.1 | 6.73 ± 3.1 | 0.04 ± 0.00 | 0.17 ± 0.07 | 24.0 ± 7.4 |
| 700 °C | 76.9 ± 6.5 | 1.29 ± 1.1 | 2.69 ± 0.1 | - | 0.02 ± 0.02 | - | 39.0 ± 13 |
| OS biochars | |||||||
| Temperature | C (%) | H (%) | N (%) | O (%) | H/C | O/C | C/N |
| 350 °C | 66.4 ± 18 | 4.43 ± 1.3 | 0.24 ± 0.08 | 28.8 ± 17 | 0.72 ± 0.7 | 0.42 ± 0.28 | 291 ± 20 |
| 400 °C | 78.7 ± 1.8 | 4.27 ± 0.2 | 0.31 ± 0.05 | 15.8 ±1.9 | 0.52 ± 0.2 | 0.17 ± 0.03 | 284 ± 54 |
| 500 °C | 82.7 ± 2.9 | 3.50 ± 0.3 | 0.30 ± 0.03 | 12.8 ± 2.7 | 0.46 ± 0.1 | 0.13 ± 0.04 | 319 ± 47 |
| Reference | AC | Treatment | SSAT | ESA | Vt | Vmicro |
|---|---|---|---|---|---|---|
| - | - | - | m2 g−1 | cm3 g−1 | ||
| [41] | OPAC | Superheated steam | 345.31 | - | 0.24 | 0.106 |
| OPACS | Superheated steam + H2SO4 | 618.18 | - | 0.32 | 0.203 | |
| [44] | ACG800 | Gasification CO2 | 1355 | 77 | 0.59 | |
| ACG900 | Gasification CO2 | 2360 | 172 | 0.802 | ||
| NaC | NaOH | 528 | 49 | 0.217 | ||
| BaC | Ba(OH)2 | 123 | 2 | 0.048 | ||
| 3CaO/ACG800 | Ca(CH3COO)2·H2O solution | 1235 | 146 | 0.499 | ||
| 6CaO/ACG900 | Ca(CH3COO)2·H2O solution | 1960 | 225 | 0.693 | ||
| [53] | BC350_pre | Pre-treatment with FeCl3 | 28.19 | - | ||
| BC550_pre | Pre-treatment with FeCl3 | 31.95 | - | |||
| BC350_post | Post-treatment with FeCl3 | 27.6 | - | |||
| BC550_post | Post-treatment with FeCl3 | 29.44 | - | |||
| [54] | MAG–OSBC | Fe3O4 | 33.82 | - | 0.166 | |
| [56] | Co–OSBC | Co3O4 | 39.85 | - | 0.168 | |
| [63] | OSAC_PW360 | Water vapor | 807 | - | 0.3 | |
| [66] | ACP | Impregnation H3PO4 3:1 | 1300 | 594 | 0.389 | |
| AC | Gasification CO2 | 1355 | 50 | 0.59 | ||
| 1V/ACP | NH4VO3 | 722 | 290 | 0.233 | ||
| 0.9V–0.1Zr/ACP | NH4VO3 + Zr(OCH2CH2CH3)4 | 746 | 275 | 0.245 | ||
| 0.8V–0.2Zr/ACP | NH4VO3 + Zr(OCH2CH2CH3)4 | 830 | 267 | 0.291 | ||
| 1Zr/ACP | Zr(OCH2CH2CH3)4 | 818 | 268 | 0.282 | ||
| 1V/AC | NH4VO3 | 1000 | 40 | 0.43 | ||
| 0.8V–0.2Zr/AC | NH4VO3 + Zr(OCH2CH2CH3)4 | 940 | 39 | 0.403 | ||
| 1Zr/AC | Zr(OCH2CH2CH3)4 | 906 | 33 | 0.389 | ||
| [84] | C-850-30 | CO2 | 446 | 56 | 0.243 | |
| C-850-60 | CO2 | 572 | 90 | 0.319 | ||
| C-850-90 | CO2 | 761 | 124 | 0.406 | ||
| C-850-120 | CO2 | 778 | 177 | 0.406 | ||
| C-900-60 | CO2 | 603 | 139 | 0.3 | ||
| S-800-30 (2.4) | Steam | 808 | 166 | 0.426 | ||
| S-850-30 (2.4) | Steam | 813 | 174 | 0.427 | ||
| S-850-20 (1.6) | Steam | 589 | 101 | 0.312 | ||
| S-850-20-F (3) | Steam | 713 | 233 | 0.358 | ||
| S-900-30 (2.4) | Steam | 437 | 155 | 0.216 | ||
| S-850-60 (4.8) | Steam | 1074 | 417 | 0.525 | ||
| CS-850-30 | CO2/Steam | 674 | 125 | 0.357 | ||
| CS-850-60 | CO2/Steam | 1187 | 469 | 0.553 | ||
| [89] | ACG800 | CO2 | 1355 | - | 0.57 | |
| ACG800-P2 | CO2/H3PO4 | 1506 | - | 0.591 | ||
| ACP2800 | H3PO4 | 1380 | - | 0.514 | ||
| [92] | DOS-BC | Demineralized | 268 | - | 0.115 | 0.163 |
| BM-OS-BC | Ball-milled | 438 | - | 0.193 | 0.152 | |
| BM-DOS-BC | Demineralized and ball-milled | 435 | - | 0.194 | 0.154 | |
| References | Biomass/Pyrolysis Temperature | Country | Experiment Type | Biochar Dose | Soil Type | Impact on Soil Properties |
|---|---|---|---|---|---|---|
| [38] | OP/300,500 and 700 °C | Saudi Arabia | Greenhouse | 1% and 3% | Calcareous loamy sand soil | The biochar application, especially with increasing pyrolytic temperature and/or application rate, significantly increased soil pH and EC and extractable K, Na, Ca, Mg, Fe, and Zn. |
| [39] | OS/507 °C | Spain | Greenhouse | 0.5%, 1%, 2.5%, 5%, and 7.5% | Haplic Luvisol | Biochar application significantly increased field capacity, soil pH, soil EC, and resin-nitrate and decreased soil bulk density, soil nitrate content, and resin-ammonium. |
| [31] | OP/300, 500 and 700 °C | Saudi Arabia | Incubation | 3% | Sandy loam texture | The Resin-Pi, NaHCO3-Pi, NaHCO3-Po, and HCl-Pi fractions content was decreased after biochar addition. |
| [42] | OP/600 °C | Spain | Incubation | 5%, 15% and 30% | Calcaric Arenosol | The bulk density and particle density were decreased, and total pore space, water-holding capacity, air volume, soil pH, EC, and organic matter were increased after biochar addition, especially at the largest doses (15–30%). |
| [33] | OS/500 °C | Spain | Greenhouse | 2% and 5% | Sandy loam Typic Xerofluvent | The addition of biochar to acidic and moderately acidic soils increased soil pH. Furthermore, EC showed a slight increase in applying 2% of biochar. However, the application of biochar has not modified the water-holding capacity. |
| [46] | OS/500 °C | Spain | Field | 8 t ha−1 | Fluvisol | Enzymatic activities and soil respiration rates were not modified with biochar application but increased the total carbon content of soils. |
| [47] | OS/400 and 500 °C | Spain | Incubation and greenhouse | 2%, 5% and 10% | Fluvisol | Biochar addition increased the soil pH (dose 5 and 10%), C content, and C/N ratio. The application of biochar reduced the β-glucosidase activity. Furthermore, the concentrations of CaCl2-extractable heavy metals significantly decreased in biochar-amended pots. |
| [49] | OS/500 °C | Spain | Field | 10% | Fluvisols | Biochar addition caused an increase in the total carbon content, but the N content was not modified. |
| [48] | OS/500 °C | Spain | Incubation | 8 t ha−1 | Fluvisols | Biochar amendment increased the C content of the soils after two years. In general, biochar application did not reduce the low bioavailable contents of trace elements found (As, Cu, Pb, Ba, and Zn) compared to non-amended soils. |
| [50] | OP/1100–1200 °C | Italy | Field | 5 t ha−1 | Lithic Ruptic-Inceptic Haploxeralfs | Soil chemical characteristics at the end of the experiment (3-month duration) did not show significant differences for application biochar. |
| [51] | OP/500 °C | Spain | Field | 6.67 t ha−1 | Sandy loam (Xerochrept) | Adding biochar increased pH and EC up to 10 cm deep and water content for the soil samples below 5 cm depth. In Situ, applying biochar increased soil moisture of the topsoil (0–5 cm depth) and reduced penetration resistance measured in the field. |
| [55] | OP/500 °C | Tunisia | Greenhouse | 1%, 2.5% and 5% | Agricultural soil | Applying biochar considerably increased the pH and EC of the resulting soil–biochar mixture, an effect that increased with the biochar application rate. |
| [68] | OP/400–450 °C | Belgium | Greenhouse | 5%, 10%, and 15 % | Sandy soil | The increasing biochar rates increased the soil’s pH and EC and reduced from 37% for Pb, 37% for Cd, and 49% for Zn, compared to the non-amended soil (0% biochar). |
| [69] | OP/350 and 700 °C | Turkey | Incubation | 1% | Hypereutric Fluvisols | Biochar application did not affect NO3−, Br−, and SO42− leaching from sandy loam soils in a short time (46 days). |
| [70] | OP/350 and 700 °C | Turkey | Incubation | 4% and 8% | Mollisol | Applying biochar improved soil aggregate stability and soil total carbon while the proportion of >4 mm aggregates and mean weight diameter of aggregates decreased. Biochar produced at high temperatures significantly increased soil aggregate stability value compared to low temperatures. |
| [72] | OP/400 °C | Greece | Field | 10 and 25 t ha−1 | - | Biochar application also positively impacted C and P sequestration in the soil, improved soil structure, and improved soil nutrient content at deeper soil levels. |
| [78] | OP/400 and 700 °C | Greece | Incubation | 5%, 10%, 15% and 20% | Loamy sand | It was noticed that the addition of both biochars caused an increase in soil pH and organic matter content. Both biochars enhanced the ability of soil to immobilize cadmium and nickel; however, in most cases, the biochar produced at 700 °C was proven to be more efficient. |
| [80] | OP/450 °C | Italy | Italy | ~8% | Clay loam | The biochar did not interfere with pyrene bioavailability or affect microbial pyrene-degrading activity. |
| [86] | OP/280 °C | Germany | Incubation | 4 t ha−1 | Alkaline clay soil and acidic sandy soil | Applying biochar to the acidic sandy soil significantly increased soil pH, CO2, and N2O fluxes. Additionally, there was a clear variation in bacterial community structure in the acidic sandy soil (phyla Acidobacteria, Nitrospirare, and Arthrobacter) with the biochar addition. |
| [88] | OP/500 °C | Saudi Arabia | Incubation | 1% and 2% | Sandy loam soil | The modification of biochar with silica and nutrients showed an excellent ability to decrease metal (Pb) contents and bioavailability in soil and also increase essential nutrient availability in soil (P, NO3−, NH4+). |
| References | Biomass/Pyrolysis Temperature | Biochar Dose | Soil Type | Plant | Effects |
|---|---|---|---|---|---|
| [39] | OS/507 °C | 0.5%, 1%, 2.5%, 5%, and 7.5% | Haplic Luvisol | Sunflower | Adding ash-poor biochar (produced from OS) positively affected seed germination; however, it did not increase total plant dry biomass. |
| [40] | OS/350, 450 and 550 °C | - | - | Cress and lettuce | All the biochars (350, 450, and 550 °C) showed germination indices > 82% for both cress and lettuce, typical of non-phytotoxic materials. |
| [42] | OP/600 °C | 5%, 15% and 30% | Calcaric Arenosol | Mastic and myrtle | The biochar of olive mill waste proved phytotoxic for myrtle in mixes with coir in 25% and 50% doses. However, mastic showed relatively good growth in the biochar mixes, the mix only being adverse at the 50% dose. |
| [33] | OS/500 °C | 2% and 5% | Sandy loam Typic Xerofluvent | Chinese cabbage | The plant survival rates and height were significantly lower for the pots amended with biochar. In addition, the root and shoot dry weight of the Brassica rapa plant was not higher in plots amended with biochar compared to the unamended plots. |
| [46] | OS/500 °C | 8 t ha−1 | Fluvisol | “native plants” | Applying biochar in highly polluted soil plots significantly increased the area of vegetation cover in comparison with the control plots. In contrast, although an increase in vegetation cover was observed for moderately polluted soil amended with biochar, it was not statistically significant. |
| [47] | OS/400 and 500 °C | 2%, 5% and 10% | Fluvisol | Chinese cabbage | Biochar addition significantly increased the root-to-shoot ratio compared to the control soil. In particular, 10% of amendment increased this ratio to the greatest extent. |
| [50] | OP/1100–1200 °C | 5 t ha−1 | Lithic Ruptic-Inceptic Haploxeralfs | Tomato | Biochar application alone did not affect any of the parameters of tomato production and quality compared with the control, and in combination with organic fertilizers, no synergistic effect was observed. |
| [51] | OP/500 °C | 6.67 t ha−1 | Sandy loam (Xerochrept) | Olive | The biochar led to a relative olive production increase of about 15% compared with the control. Furthermore, an improvement was observed in the physiological parameters of the plants from the biochar-amended plots. |
| [55] | OP/500 °C | 1%, 2.5% and 5% | Agricultural soil | Tomato | Biochar amendment promoted tomato seedling growth after ten weeks, which was highest in the 2.5% and 5% application rates for both biochar OP and biochar from OP impregnation with olive mill wastewater. |
| [57] | OP/500 °C | - | - | Cress and lettuce | Biochar was highly phytotoxic, with an average reduction of germination index of 82%. |
| [59] | OP/500 °C | - | - | Cress, lettuce, pea and Tomato | The biochar from OP showed considerable phytotoxicity with a reduction of seed germination by 80% and early seedling death. |
| [58] | OP/500 °C | 0%, 10%, 25%, 50%, 75%, and 100% | “substrates” | Tomato | Biochar affected plant growth negatively only at doses larger than 25%. The effect of biochar on fruit quality was very limited. |
| [60] | OP/500 °C | 10%, 25% and 50% | “substrates” | Petunia and calendula | Biochar at 10% markedly reduced the germination percentage, shoot and root growth, and the percentage of flowering plants in these species compared to the control. Furthermore, the plants showed an unbalanced nutrient uptake and low chlorophyll content. |
| [68] | OP/400–450 °C | 5%, 10%, and 15% | Sandy soil | Bean | With the increasing biochar application rate, the growth of bean plants improved; leaf metal contents were reduced, the activities of antioxidative stress enzymes decreased, and soluble protein contents increased. |
| [72] | OP/400 °C | 25 t ha−1 | - | Tomato | The yield of tomato plants treated with biochar was 29% higher than the control treatment. |
| [74] | OP/300, 500, 800 and 1000 °C | - | In vitro | Garden cress and field mustard | The root growth of Lepidium sativum and Brassica rapa, as well as the survival of the nematode Meloidogyne incognita, were inhibited by biochar produced at 300 °C, but toxicity decreased at higher pyrolysis temperatures. |
| [79] | OP/400 and 600 °C | - | 1% | Cress | OP-derived biochars exerted a phytostimulant effect on Lepidium sativum seeds because their corresponding germination indexes were greater than 100%. |
| [81] | OP/450 °C | - | - | Cress | Germination indexes of biochar water extracts at two different dilution ratios (1:9 and 3:7) were 107 and 58%, respectively. |
Disclaimer/Publisher’s Note: The statements, opinions and data contained in all publications are solely those of the individual author(s) and contributor(s) and not of MDPI and/or the editor(s). MDPI and/or the editor(s) disclaim responsibility for any injury to people or property resulting from any ideas, methods, instructions or products referred to in the content. |
© 2024 by the authors. Licensee MDPI, Basel, Switzerland. This article is an open access article distributed under the terms and conditions of the Creative Commons Attribution (CC BY) license (https://creativecommons.org/licenses/by/4.0/).
Share and Cite
Lustosa Filho, J.F.; da Silva, A.P.F.; Costa, S.T.; Gomes, H.T.; de Figueiredo, T.; Hernández, Z. Biochars Derived from Olive Mill Byproducts: Typology, Characterization, and Eco-Efficient Application in Agriculture—A Systematic Review. Sustainability 2024, 16, 5004. https://doi.org/10.3390/su16125004
Lustosa Filho JF, da Silva APF, Costa ST, Gomes HT, de Figueiredo T, Hernández Z. Biochars Derived from Olive Mill Byproducts: Typology, Characterization, and Eco-Efficient Application in Agriculture—A Systematic Review. Sustainability. 2024; 16(12):5004. https://doi.org/10.3390/su16125004
Chicago/Turabian StyleLustosa Filho, José Ferreira, Ana Paula Ferreira da Silva, Silvana Teixeira Costa, Hélder Teixeira Gomes, Tomás de Figueiredo, and Zulimar Hernández. 2024. "Biochars Derived from Olive Mill Byproducts: Typology, Characterization, and Eco-Efficient Application in Agriculture—A Systematic Review" Sustainability 16, no. 12: 5004. https://doi.org/10.3390/su16125004
APA StyleLustosa Filho, J. F., da Silva, A. P. F., Costa, S. T., Gomes, H. T., de Figueiredo, T., & Hernández, Z. (2024). Biochars Derived from Olive Mill Byproducts: Typology, Characterization, and Eco-Efficient Application in Agriculture—A Systematic Review. Sustainability, 16(12), 5004. https://doi.org/10.3390/su16125004

