Application of Plant Ingredients for Improving Sustainability of Fresh Pasta
Abstract
:1. Introduction
2. Materials and Methods
2.1. Raw Materials
2.2. Microbiological Analysis of Plant Ingredients
2.3. Pasta Preparation
2.4. Pasta Cooking Properties
2.5. Firmness of Cooked Pasta
2.6. Sensory Evaluation
2.7. Pasta Microbiological Analysis
2.8. Statistical Analysis
3. Results and Discussion
3.1. Pasta Cooking Properties
3.2. Firmness of Cooked Pasta
3.3. Sensory Evaluation
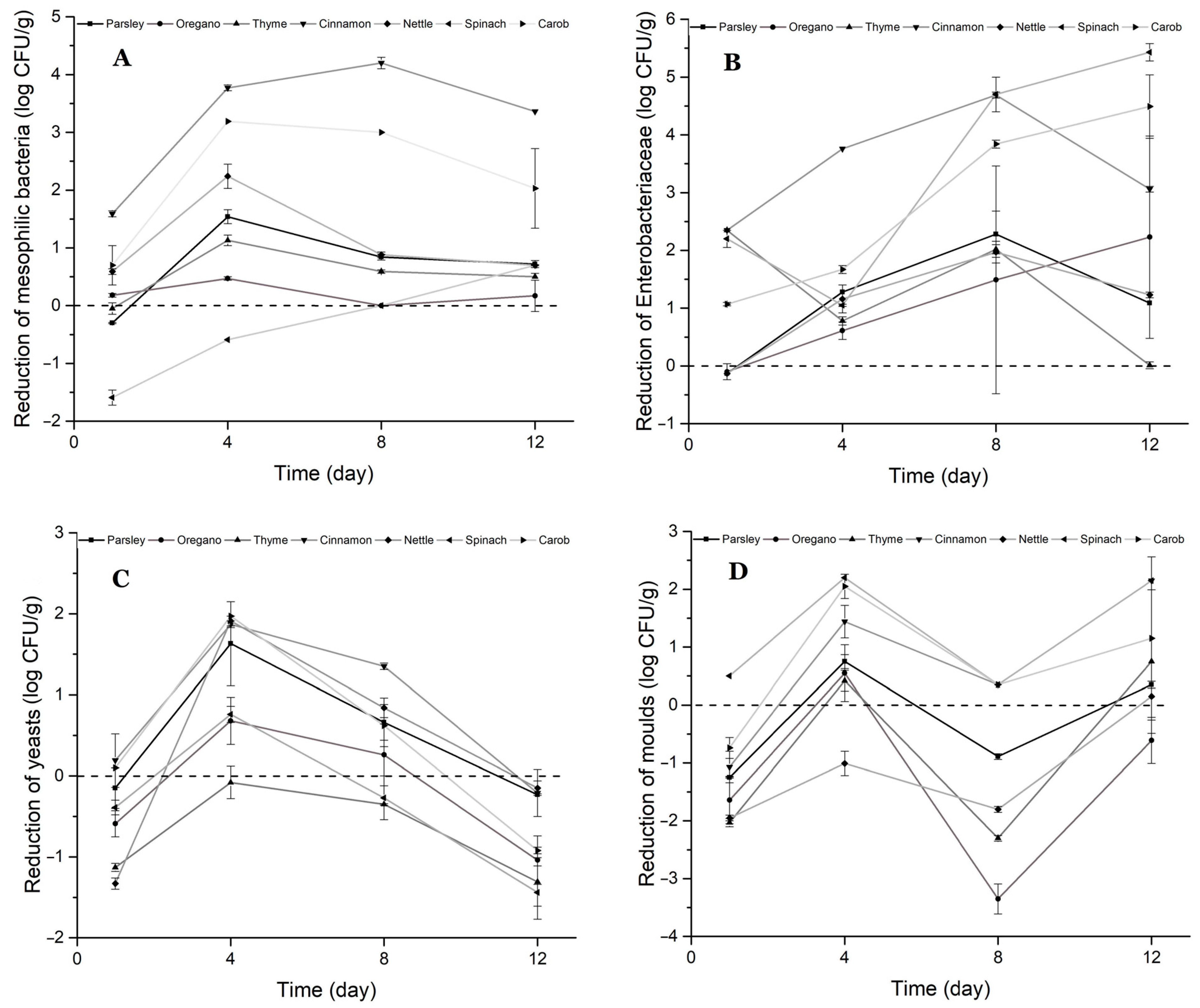
3.4. Microbiological Analysis of Pasta Samples and Plant Materials Used for Pasta Enrichment
4. Conclusions
Author Contributions
Funding
Institutional Review Board Statement
Informed Consent Statement
Data Availability Statement
Conflicts of Interest
References
- Foschia, M.; Peressini, D.; Sensidoni, A.; Brennan, C.S. The effects of dietary fibre addition on the quality of common cereal products. J. Cereal Sci. 2013, 58, 216–227. [Google Scholar] [CrossRef]
- Borneo, R.; Aguirre, A. Chemical composition, cooking quality, and consumer acceptance of pasta made with dried amaranth leaves flour. LWT-Food Sci. Technol. 2008, 41, 1748–1751. [Google Scholar] [CrossRef]
- Rajeswari, G.; Susanna, S.; Prabhasankar, P.; Rao, G.V. Influence of onion powder and its hydrocolloid blends on pasta dough, pasting, microstructure, cooking and sensory characteristics. Food Biosci. 2013, 4, 13–20. [Google Scholar] [CrossRef]
- Oliviero, T.; Fogliano, V. Food design strategies to increase vegetable intake: The case of vegetable enriched pasta. Trends Food Sci. 2016, 51, 58–64. [Google Scholar] [CrossRef]
- Biney, K.; Beta, T. Phenolic profile and carbohydrate digestibility of durum spaghetti enriched with buckwheat flour and bran. LWT-Food Sci. Technol. 2014, 57, 569–579. [Google Scholar] [CrossRef]
- Padalino, L.; Mastromatteo, M.; Lecce, L.; Spinelli, S.; Contò, F.; Del Nobile, M.A. Effect of durum wheat cultivars on physico-chemical and sensory properties of spaghetti. J. Sci. Food Agric. 2014, 94, 2196–2204. [Google Scholar] [CrossRef]
- Tabanelli, G.; Barbieri, F.; Campedelli, I.; Venturini, M.C.; Gardini, F.; Montanari, C. Effects of bioprotective cultures on the microbial community during storage of Italian fresh filled pasta. Food Control 2020, 115, 107304. [Google Scholar] [CrossRef]
- Del Nobile, M.A.; Di Benedetto, N.; Suriano, N.; Conte, A.; Corbo, M.R.; Sinigaglia, M. Combined effects of chitosan and MAP to improve the microbial quality of amaranth homemade fresh pasta. Food Microbiol. 2009, 26, 587–591. [Google Scholar] [CrossRef]
- Burt, S. Essential oils: Their antibacterial properties and potential applications in foods—A review. Int. J. Food Microbiol. 2004, 94, 223–253. [Google Scholar] [CrossRef]
- Rousta, L.K.; Bodbo dak, S.; Nejatian, M.; Yazdi, A.P.G.; Rafiee, Z.; Xiao, J.; Jafari, S.M. Use of encapsulation technology to enrich and fortify bakery, pasta, and cereal-based products. Trends Food Sci. Technol. 2021, 118, 688–710. [Google Scholar] [CrossRef]
- Farzaei, M.H.; Abbasabadi, Z.; Reza, M.; Ardekani, S.; Rahimi, R. Parsley: A review of ethnopharmacology, phytochemistry and biological activities. J. Tradit. Chin. Med. 2013, 33, 815–826. [Google Scholar] [CrossRef] [PubMed]
- Loizzo, M.R.; Menichini, F.; Conforti, F.; Tundis, R.; Bonesi, M.; Saab, A.M. Chemical analysis, antioxidant, antiinflammatory and anticholinesterase activities of Origanum ehrenbergii Boiss and Origanum syriacum L. essential oils. Food Chem. 2009, 117, 174–180. [Google Scholar] [CrossRef]
- Nikolić, M.; Glamočlija, J.; Ferreira, I.C.; Calhelha, R.C.; Fernandes, A.; Marković, T.; Marković, D.; Giweli, A.; Soković, M. Chemical composition, antimicrobial, antioxidant and antitumor activity of Thymus serpyllum L., Thymus algeriensis Boiss. and Reut and Thymus vulgaris L., essential oils. Ind. Crops Prod. 2014, 52, 183–190. [Google Scholar] [CrossRef]
- Gruenwald, J.; Freder, J.; Armbruester, N. Cinnamon and health. Crit. Rev. Food Sci. Nutr. 2010, 50, 822–834. [Google Scholar] [CrossRef] [PubMed]
- Bonetti, G.; Tedeschi, P.; Meca, G.; Bertelli, D.; Manes, J.; Brandolini, V.; Maietti, A. In vitro bioaccessibility, transepithelial transport and antioxidant activity of Urtica dioica L. phenolic compounds in nettle based food products. Food Funct. 2016, 7, 4222–4230. [Google Scholar] [CrossRef] [PubMed]
- Marchetti, N.; Bonetti, G.; Brandolini, V.; Cavazzini, A.; Maietti, A.; Meca, G.; Mañes, J. Stinging nettle (Urtica dioica L.) as a functional food additive in egg pasta: Enrichment and bioaccessibility of Lutein and β-carotene. J. Funct. Foods. 2018, 47, 547–553. [Google Scholar] [CrossRef]
- Sęczyk, Ł.; Świeca, M.; Gawlik-Dziki, U. Effect of carob (Ceratonia siliqua L.) flour on the antioxidant potential, nutritional quality, and sensory characteristics of fortified durum wheat pasta. Food Chem. 2016, 194, 637–642. [Google Scholar] [CrossRef] [PubMed]
- Sujka, K.; Cacak-Pietrzak, G.; Sułek, A.; Murgrabia, K.; Dziki, D. Buckwheat hull-enriched pasta: Physicochemical and sensory properties. Molecules 2022, 27, 4065. [Google Scholar] [CrossRef]
- Zingale, S.; Spina, A.; Ingrao, C.; Fallico, B.; Timpanaro, G.; Anastasi, U.; Guarnaccia, P. Factors Affecting the Nutritional, Health, and Technological Quality of Durum Wheat for Pasta-Making: A Systematic Literature Review. Plants 2022, 12, 530. [Google Scholar] [CrossRef]
- Gumul, D.; Kruczek, M.; Ivanišová, E.; Słupski, J.; Kowalski, S. Apple pomace as an ingredient enriching wheat pasta with health-promoting compounds. Foods 2023, 12, 804. [Google Scholar] [CrossRef]
- Shiau, S.Y.; Yeh, A.I. Effects of alkali and acid on dough rheological properties and characteristics of extruded noodles. J. Cereal Sci. 2001, 33, 27–37. [Google Scholar] [CrossRef]
- De Noni, I.; Pagani, M.A. Cooking properties and heat damage of dried pasta as influenced by raw material characteristics and processing conditions. Crit. Rev. Food Sci. Nutr. 2010, 50, 465–472. [Google Scholar] [CrossRef] [PubMed]
- Ghaffar, S.; Abdulamir, A.S.; Bakar, F.A.; Karim, R.; Saari, N. Microbial growth, sensory characteristic and pH as potential spoilage indicators of Chinese yellow wet noodles from commercial processing plants. Am. J. Appl. Sci. 2009, 6, 1059–1066. [Google Scholar] [CrossRef]
- Witkowska, A.M.; Hickey, D.K.; Alonso-Gomez, M.; Wilkinson, M.G. The microbiological quality of commercial herb and spice preparations used in the formulation of a chicken supreme ready meal and microbial survival following a simulated industrial heating process. Food Control 2011, 22, 616–625. [Google Scholar] [CrossRef]
- Stanković, N.; Čomić, L.; Kocić, B. Microbiological correctness of spices on sale in health food stores and supermarkets in Nis. Acta Fac. Med. Naiss. 2006, 23, 79–84. [Google Scholar]
- ISO 4833-1; Microbiology of the Food Chain–Horizontala Method for the Enumeration of Microorganisms–Part 1: Colony Count at 30 Degrees C by the Pour Plate Technique. International Organization for Standardization: Geneva, Switzerland, 2013.
- ISO 21528-1; Microbiology of the Food Chain–Horizontal Method for the Detection and Enumeration of Enterobacteriaceae–Part 1: Detetction of Enterobacteriaceae. International Organization for Standardization: Geneva, Switzerland, 2017.
- ISO 7954; Microbiology–General Guidance for Enumeration of Yeasts and Moulds–Colony Count Technique at 25 Degrees C. International Organization for Standardization: Geneva, Switzerland, 1987.
- ISO 6888-1; Microbiology of Food and Animal Feeding Stuffs–Horizontal Method for the Enumeration of Coagulase-Positive Staphylococci (Staphylococcus aureus and Other Species)–Part 1: Technique Using Baird-Parker Agar Medium. International Organization for Standardization: Geneva, Switzerland, 1999.
- ISO 7932; Microbiology of Food and Animal Feeding Stuffs–Horizontal Method for the Enumeration of Presumptive Bacillus cereus–Colony-Count Technique at 30 Degrees C. International Organization for Standardization: Geneva, Switzerland, 2003.
- AACC 66-50.01; Pasta and Noodle Cooking Quality-Firmness. AACC International: St. Paul, MN, USA, 2000.
- Simonato, B.; Trevisan, S.; Tolve, R.; Favati, F.; Pasini, G. Pasta fortification with olive pomace: Effects on the technological characteristics and nutritional properties. LWT 2019, 114, 108368. [Google Scholar] [CrossRef]
- Sissons, M.J.; Schlichting, L.M.; Egan, N.; Aarts, W.A.; Harden, S.; Marchylo, B.A. A standardized method for the instrumental determination of cooked spaghetti firmness. Cereal Chem. 2008, 85, 440–444. [Google Scholar] [CrossRef]
- AACC International. Approved Method of the American Association of Cereal Chemists, 10th ed.; Method 66-50; AACC International: St. Paul, MN, USA, 2000. [Google Scholar]
- Biernacka, B.; Dziki, D.; Gawlik-Dziki, U.; Rózyło, R.; Siastała, M. Physical, sensorial, and antioxidant properties of common wheat pasta enriched with carob fiber. LWT 2017, 77, 186–192. [Google Scholar] [CrossRef]
- Boroski, M.; de Aguiar, A.C.; Boeing, J.S.; Rotta, E.M.; Wibby, C.L.; Bonafé, E.G.; de Souza, N.E.; Visentainer, J.V. Enhancement of pasta antioxidant activity with oregano and carrot leaf. Food Chem. 2011, 125, 696–700. [Google Scholar] [CrossRef]
- Sęczyk, Ł.; Świeca, M.; Gawlik-Dziki, U.; Luty, M.; Czyz, J. Effect of fortification with parsley (Petroselinum crispum Mill.) leaves on the nutraceutical and nutritional quality of wheat pasta. Food Chem. 2016, 190, 419–428. [Google Scholar] [CrossRef]
- Rakhesh, N.; Fellows, C.M.; Sissons, M. Evaluation of the technological and sensory properties of durum wheat spaghetti enriched with different dietary fibres. J. Sci. Food Agric. 2015, 95, 2–11. [Google Scholar] [CrossRef] [PubMed]
- Torres, A.; Frias, J.; Granito, M.; Vidal-Valverde, C. Germinated Cajanus cajan seeds as ingredients in pasta products: Chemical, biological and sensory evaluation. Food Chem. 2007, 101, 202–211. [Google Scholar] [CrossRef]
- Aravind, N.; Sissons, M.J.; Fellows, C.M.; Blazek, J.; Gilbert, E.P. Effect of inulin soluble dietary fibre addition on technological, sensory, and structural properties of durum wheat spaghetti. Food Chem. 2012, 132, 993–1002. [Google Scholar] [CrossRef]
- Aravind, N.; Sissons, M.; Egan, N.; Fellows, C. Effect of insoluble dietary fibre addition on technological, sensory, and structural properties of durum wheat spaghetti. Food Chem. 2012, 130, 299–309. [Google Scholar] [CrossRef]
- Fratianni, A.; Vitone, C.; D’Agostino, A.; Trivisonno, M.C.; Falasca, L.; Panfili, G. Development of functional pasta enriched with green leafy vegetables: Impact on liposoluble compounds, nutritional, technological and sensorial quality. Int. J. Food Sci. Technol. 2023. [Google Scholar] [CrossRef]
- Foschia, M.; Peressini, D.; Sensidoni, A.; Brennan, M.A.; Brennan, C.S. How combinations of dietary fibres can affect physicochemical characteristics of pasta. LWT-Food Sci. Technol. 2015, 61, 41–46. [Google Scholar] [CrossRef]
- Dick, J.W.; Youngs, V.L. Evaluation of durum wheat, semolina and pasta in the United States. In Durum Wheat: Chemistry and Technology; Fabriani, G., Lintas, C., Eds.; AACC Press: St. Paul, MN, USA, 1988; pp. 237–248. [Google Scholar]
- Wang, J. Technical and Nutritional Properties of Vegetable Enriched Pasta Utilising Juice and Pomace from Spinach, Red Cabbage, Beetroot and Carrot: A Thesis Submitted in Partial Fulfilment of the Requirements for the Degree of Doctor of Philosophy at Lincoln University. Ph.D. Thesis, Lincoln University, Philadelphia, PA, USA, 2023. [Google Scholar]
- Nocente, F.; Taddei, F.; Galassi, E.; Gazza, L. Upcycling of brewers’ spent grain by production of dry pasta with higher nutritional potential. LWT 2019, 114, 108421. [Google Scholar] [CrossRef]
- Padalino, L.; Mastromatteo, M.; Lecce, L.; Cozzolino, F.; Del Nobile, M.A. Manufacture and characterization of gluten-free spaghetti enriched with vegetable flour. J. Cereal Sci. 2013, 57, 333–342. [Google Scholar] [CrossRef]
- Drewnowski, A.; Gomez-Carneros, C. Bitter taste, phytonutrients, and the consumer: A review. Am. J. Clin. Nutr. 2000, 72, 1424–1435. [Google Scholar] [CrossRef]
- Gabrowska, M.; Berthold-Pluta, A.; Stasiak-Rozanska, L. Microbiological quality of selected spices and herbs including the presence of Cronobacter spp. Food Microbiol. 2015, 49, 1–5. [Google Scholar]
- ICMSF. Spices, herbs, and vegetable seasonings. In Microorganisms in Foods 6, Microbial Ecology of Food Commodities, 2nd ed.; ICMSF (International Commission on Microbiological Specifications for Food), Ed.; Kluwer Academic/Plenum Publishers: London, UK, 2005; pp. 360–372. [Google Scholar]
- Jogic, V.; Džaferović, A.; Toromanović, M.; Nikitović, J. Antimicrobial activity of selected spice extracts on Escherichia coli, Salmonella spp., and Listeria monocytogenes. Technol. Acta 2023, 16, 23–28. [Google Scholar] [CrossRef]
- Mokhtari, R.; Kazemi Fard, M.; Rezaei, M.; Moftakharzadeh, S.A.; Mohseni, A. Antioxidant, Antimicrobial Activities, and Characterization of Phenolic Compounds of Thyme (Thymus vulgaris L.), Sage (Salvia officinalis L.), and Thyme–Sage Mixture Extracts. J. Food Qual. 2023, 2023, 2602454. [Google Scholar] [CrossRef]
- Kocić-Tanackov, S.D.; Dimić, G.R.; Karalić, D. Contamination of spices with moulds potential producers of sterigmatocystine. Acta Period. Technol. 2007, 38, 29–35. [Google Scholar] [CrossRef]
- Fogele, B.; Granta, R.; Valciņa, O.; Bērziņš, A. Occurrence and diversity of Bacillus cereus and moulds in spices and herbs. Food Control 2018, 83, 69–74. [Google Scholar] [CrossRef]
- Henis, Y.; Tagari, H.; Volcani, R. Effect of water extracts of carob pods, tannic acid, and their derivates on the morphology and growth of microorganisms. Appl. Microbiol. 1964, 12, 204–209. [Google Scholar] [CrossRef]
- Özcan, M.; Boyraz, N. Antifungal properties of some herb decoctions. Eur. Food Res. Technol. 2000, 212, 86–88. [Google Scholar] [CrossRef]
- Tajkarimi, M.M.; Ibrahim, S.A.; Cliver, D.O. Review: Antimicrobial herbal and spice compounds in food. Food Control 2010, 21, 1199–1218. [Google Scholar] [CrossRef]
- Stahl-Biskup, E.; Venskutonis, R.P. Thyme. In Handbook of Herbs and Spices, 2nd ed.; Peter, K.V., Ed.; Woodhead Publishing Limited: Cambridgeshire, UK, 2012; pp. 499–525. [Google Scholar]
- Aksu, M.I.; Kaya, M. Effects of usage Urtica dioica L. microbiological properties of sucuk, a Turkish dry-fermented sausage. Food Control 2004, 8, 591–595. [Google Scholar] [CrossRef]


| Plant-Enriched Pasta | Optimum Cooking Time (min) | Cooking Loss (%) | Firmness (g) |
|---|---|---|---|
| Control | 4.4 ± 0.2 a | 4.12 ± 0.16 b | 813.41 ± 15.69 cd |
| Parsley | 4.5 ± 0.3 a | 4.76 ± 0.02 e | 581.29 ± 18.98 ab |
| Oregano | 4.3 ± 0.4 a | 4.41 ± 0.04 cd | 645.89 ± 12.74 b |
| Thyme | 4.5 ± 0.2 a | 3.34 ± 0.03 a | 745.95 ± 11.57 c |
| Cinnamon | 4.3 ± 0.3 a | 4.41 ± 0.11 cd | 531.94 ± 14.18 a |
| Nettle | 4.3 ± 0.3 a | 4.64 ± 0.03 de | 524.18 ± 33.29 a |
| Spinach | 4.4 ± 0.5 a | 4.38 ± 0.03 c | 846.57 ± 86.80 d |
| Carob | 4.3 ± 0.4 a | 5.35 ± 0.05 f | 628.80 ± 32.81 b |
| Plant-Enriched Pasta. | Shape | Colour | Smell | Taste | Adhesivenes | Chewiness | Surface Stickness | Stickness after 10 min |
|---|---|---|---|---|---|---|---|---|
| Control | 5.00 ± 0.00 c | 5.00 ± 0.16 a | 4.83 ± 0.41 bd | 4.00 ± 0.00 ac | 4.83 ± 0.41 a | 5.00 ± 0.00 a | 4.66 ± 0.52 b | 3.16 ± 0.75 ab |
| Parsley | 4.00 ± 0.00 ab | 5.00 ± 0.00 a | 4.00 ± 0.00 a | 5.00 ± 0.00 d | 4.83 ± 0.41 a | 4.83 ± 0.41 a | 3.00 ± 0.00 c | 3.66 ± 0.52 abc |
| Oregano | 4.33 ± 0.81 abc | 4.83 ± 0.41 a | 4.33 ± 0.52 ac | 3.50 ± 0.84 ab | 4.83 ± 0.41 a | 4.66 ± 0.51 a | 4.33 ± 0.82 ab | 3.33 ± 0.51 abc |
| Thyme | 3.83 ± 0.98 a | 3.83 ± 0.75 b | 4.00 ± 0.00 a | 3.33 ± 1.03 ab | 4.83 ± 0.41 a | 4.00 ± 0.00 b | 3.83 ± 0.75 a | 3.00 ± 0.00 a |
| Cinnamon | 4.00 ± 0.63 ab | 5.00 ± 0.00 a | 5.00 ± 0.00 b | 5.00 ± 0.00 d | 4.00 ± 0.00 b | 4.50 ± 0.55 ab | 3.66 ± 0.52 a | 3.33 ± 0.52 abc |
| Nettle | 4.16 ± 0.40 ab | 5.00 ± 0.00 a | 4.50 ± 0.53 cd | 4.00 ± 0.00 ac | 4.83 ± 0.41 a | 4.66 ± 0.52 a | 4.33 ± 0.52 ab | 3.83 ± 0.41 bc |
| Spinach | 4.66 ± 0.51 bc | 5.00 ± 0.00 a | 5.00 ± 0.00 b | 4.66 ± 0.82 cd | 4.83 ± 0.41 a | 4.83 ± 0.41 a | 3.83 ± 0.41 a | 3.16 ± 0.75 ab |
| Carob | 5.00 ± 0.00 c | 5.00 ± 0.00 a | 3.17 ± 0.41 e | 3.17 ± 0.41 b | 4.83 ± 0.41 a | 4.00 ± 0.63 b | 3.83 ± 0.41 a | 4.00 ± 0.63 c |
| Plant Materials | Mesophylic Bacteria (log CFU/g) * | Enterobacteriaceae (log CFU/g) * | Yeasts and Moulds (log CFU/g) * | Staphylococcus aureus ** | Bacillus cereus ** |
|---|---|---|---|---|---|
| Parsley | 4.15 ± 0.05 d | 2.00 ± 0.00 a | 2.15 ± 0.05 b | + | + |
| Oregano | 3.87 ± 0.09 c | 2.37 ± 0.07 b | 2.74 ± 0.08 d | + | + |
| Thyme | 4.72 ± 0.03 e | − | 2.52 ± 0.02 c | − | + |
| Cinnamon | 2.00 ± 0.00 a | − | 2.05 ± 0.01 a | − | + |
| Nettle | 3.37 ± 0.07 b | 2.72 ± 0.05 c | 2.97 ± 0.07 e | − | + |
| Spinach | 4.96 ± 0.08 f | 2.15 ± 0.15 a | 2.23 ± 0.05 b | − | − |
| Carob | 2.00 ± 0.00 a | − | 2.00 ± 0.00 a | + | + |
Disclaimer/Publisher’s Note: The statements, opinions and data contained in all publications are solely those of the individual author(s) and contributor(s) and not of MDPI and/or the editor(s). MDPI and/or the editor(s) disclaim responsibility for any injury to people or property resulting from any ideas, methods, instructions or products referred to in the content. |
© 2023 by the authors. Licensee MDPI, Basel, Switzerland. This article is an open access article distributed under the terms and conditions of the Creative Commons Attribution (CC BY) license (https://creativecommons.org/licenses/by/4.0/).
Share and Cite
Zahorec, J.; Šoronja-Simović, D.; Petrović, J.; Šereš, Z.; Sterniša, M.; Jozinović, A.; Šubarić, D.; Ačkar, Đ.; Babić, J.; Možina, S.S. Application of Plant Ingredients for Improving Sustainability of Fresh Pasta. Sustainability 2024, 16, 209. https://doi.org/10.3390/su16010209
Zahorec J, Šoronja-Simović D, Petrović J, Šereš Z, Sterniša M, Jozinović A, Šubarić D, Ačkar Đ, Babić J, Možina SS. Application of Plant Ingredients for Improving Sustainability of Fresh Pasta. Sustainability. 2024; 16(1):209. https://doi.org/10.3390/su16010209
Chicago/Turabian StyleZahorec, Jana, Dragana Šoronja-Simović, Jovana Petrović, Zita Šereš, Meta Sterniša, Antun Jozinović, Drago Šubarić, Đurđica Ačkar, Jurislav Babić, and Sonja Smole Možina. 2024. "Application of Plant Ingredients for Improving Sustainability of Fresh Pasta" Sustainability 16, no. 1: 209. https://doi.org/10.3390/su16010209
APA StyleZahorec, J., Šoronja-Simović, D., Petrović, J., Šereš, Z., Sterniša, M., Jozinović, A., Šubarić, D., Ačkar, Đ., Babić, J., & Možina, S. S. (2024). Application of Plant Ingredients for Improving Sustainability of Fresh Pasta. Sustainability, 16(1), 209. https://doi.org/10.3390/su16010209

