Abstract
As the installed capacity of the power system is scaled up and the distance of transmission increases constantly, high-voltage direct current (HVDC) transmission technology has been widely applied across the power system. The HVDC system can lead to sub-synchronous oscillations (SSO) in the turbine and new energy generation systems. When the SSO caused by HVDC are studied through small signal analysis, it is usually necessary to establish the detailed state space model and electromagnetic transient model, which shows various disadvantages such as the high complexity of the model, the high order of the state space matrix, the complex calculation of eigenvalues, and the slow pace of simulation. In the present study, a simplified model intended for the HVDC transmission system is proposed, which can be used to simplify the calculation model and accelerate the simulation by omitting the high-frequency component and simultaneously keeping the sub-synchronous frequency component unchanged. The time domain simulation method is used to compare the dynamic response of the proposed simplified simulation model with that of the original detailed model, and the accuracy of the proposed model is demonstrated. The proposed simplified simulation model is applied to explore the SSO of wind-thermal power bundling in the HVDC transmission system. Additionally, the simulation results of SSO are compared by using the simplified model and the detailed model; the results of which demonstrate the effectiveness and rapidity of the simplified simulation model. The simplified model proposed can greatly improve the efficiency of SSO risk assessment. By selecting reasonable types and parameters of new energy units, SSO of the system can be avoided under risky operation mode, and the power grid operation mode can be monitored and adjusted to ensure the safe operation of the system. Finally, it can promote the sustainable development of the power system.
1. Introduction
Under the context of a national commitment to achieving “carbon peak and carbon neutrality” in China, there is a gradual increase in the proportion of renewable energy in the power system currently developing [1]. As the scale of renewable energy generation increases year after year, most of the large thermal and wind power stations have large installed capacity and are distant from the load center, showing the characteristics of “large-scale centralized access, long-distance transmission” [2]. HVDC technology shows various advantages such as no reactive power consumption, no limitations of synchronous operation stability, high flexibility and controllability, high cost effectiveness, and etc. Therefore, it is widely applied in many large-capacity long-distance transmission systems. However, it has been found in theoretical studies [3] and real-world operations [4] that the wind-thermal bundling via HVDC transmission systems can trigger the SSO caused by machine-network AC-DC coupling. Frequency stability is an important indicator of power system stability. The References [5,6,7] avoids frequency shifts caused by power plants and loads through a new type of controller, while grid frequency oscillations caused by SSO cause torsional vibrations in the generator shaft, which also affect the safety and stability of the power system operation. To solve the SSO problem, HVDC systems should consider its economic cost and benefit, literature [8,9,10,11] to improve the economy of the HVDC system from the perspective of the whole life cycle cost, and etc. This paper reduces the analysis and simulation cost by simplifying the system model.
In Reference [12], a typical model of wind-thermal bundling power is developed via the HVDC transmission system, and the mechanism of SSO in this system was analyzed. Under the operating condition that direct-drive wind farms located in close proximity to the HVDC rectifier station, the mechanism of sub-synchronous interaction between them is explained in detail in Reference [13], and an analysis was conducted to explore the impact of controller parameters on SSO mode damping. In Reference [14], the additional excitation signal injection method is used to analyze the effect of control parameters, operating wind speed, and the number of grid-connected units on the damping characteristics of each torsional vibration mode of the synchronous generator set when the DC transmission capacity is fixed. Additionally, the mechanism of negative damping torsional vibration of the synchronous generator set shaft system is revealed. In Reference [15], the characteristics of complex SSO in the hybrid AC-DC systems are investigated, and the causes of SSO are analyzed. In Reference [16], the modeling and mechanism of SSO in AC-DC interconnected power systems are studied in depth. In Reference [17], a study is carried out on the mechanism of sub-synchronous torsional oscillations in grid-connected direct-drive wind farms under the context of weak connection, with a case provided to verify the theoretical analysis.
However, the existing approach to modeling is to model the simulation of the bridge rectifier or inverter circuits composed of thyristors according to the exact composition of the HVDC transmission system [18]. With high modulation frequency and wide band coupling, these power electronics are sensitive to the wide band dynamics such as medium and high frequencies. It is possible for the interaction between them and the grid to cause non-characteristic harmonic oscillations, the frequency of which ranges from a hundred hertz to over a thousand hertz [19,20,21,22], which seriously affects the quality of power and reduces system stability. The simulation model established according to such system is disadvantaged by a complex circuit and the slow pace of simulation. When used to conduct small signal model analysis, the eigenvalue is of high order and is difficult to calculate, which is adverse to the research of SSO in the HVDC transmission system. Therefore, an equivalent simplified HVDC model is proposed in this study for the research of SSO, which can not only preserve the dynamic characteristics of the HVDC system effectively in the low frequency range, but also simplify the simulation model and accelerate the simulation process.
The main research content of this paper is divided into three parts. First, the structure and components of HVDC are introduced, and the state-space equations of each part are listed. Then, for different subsystems, the simplified methods are proposed, and the simplified model is obtained. In the third part, the accuracy, effectiveness, and rapidity of the simplified models are verified.
2. Modeling of HVDC Transmission Systems
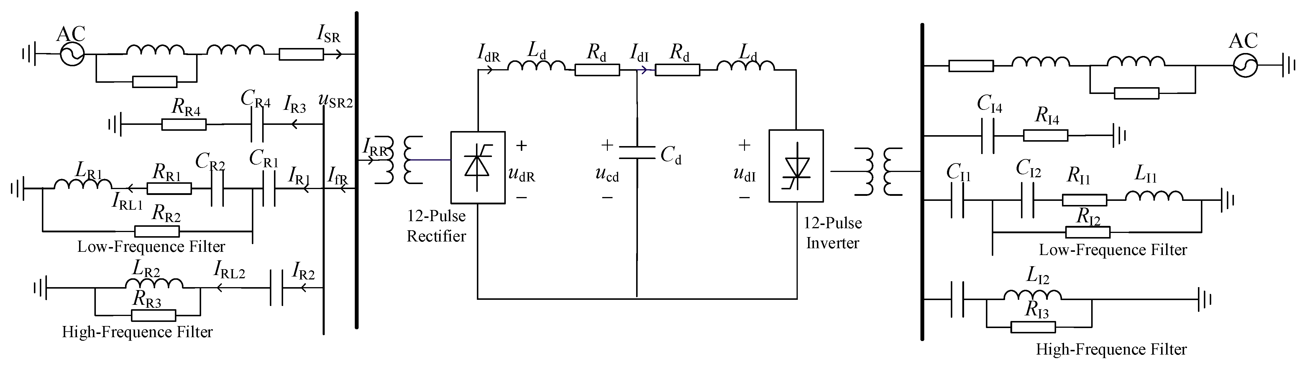
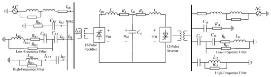
To study the SSO caused by the HVDC transmission system, it is necessary to model the HVDC transmission system at first. Currently, linearized quasi-steady-state models are applied in most studies to construct small-signal models [23]. To improve the applicability of the model, modular modeling is performed to establish small-signal models. To begin, the system is divided into several subsystems for separate modeling. Then, the small-signal model is obtained by association, which significantly reduces the complexity of unified modeling while enabling the analysis of dynamic interaction between subsystems [24]. In this HVDC transmission system, the standard test system of the International Council on Large Electric systems (CIGRE) is adopted for DC transmission [25]. The small signal model of the HVDC system consists mainly of a transformer, a thyristor converter bridge, a reactive power compensation mechanism, the filtering branches and control strategies on both the rectifier side and the inverter side, and multiple DC transmission lines. Figure 1 shows how the system is structured. The AC side of the converter station includes the AC system, system equivalent impedance, filter, and capacitor. Since it is a 12-pulse converter, a set of double-tuned filters and a set of high-pass filters are used. Capacitors are used to provide reactive power compensation, and filters also act as reactive power compensation. The DC side of the converter station includes a flat-wave reactor, and the transmission line is replaced by a T-circuit equivalent.
Figure 1.
Diagram of the HVDC transmission system for wind farms.
Among them, the DC line is modeled with lumped parameters, and it is expressed as follows:
The rectifier converter is modeled as follows:
The direction of current and power from the AC system to the DC system is positive. In Equation (2), each variable subscript “R” represents the rectification side; “I” indicates the contravariant side; udR and idR represent the DC voltage and current on the rectifier side, respectively; uSR denotes the AC voltage on the rectifier side; uSRx and uSRy represent its components in the xy axis; iRR refers to the current flowing into the converter station from the rectifier side; Xr1 denotes the equivalent commutation reactance of the converter transformer; and α indicates the trigger angle on the rectifier side. The positive direction of the inverter-side converter is from the DC system to the AC system. It has the identical structure to the commutator, whose modeling process will not be explained again herein.
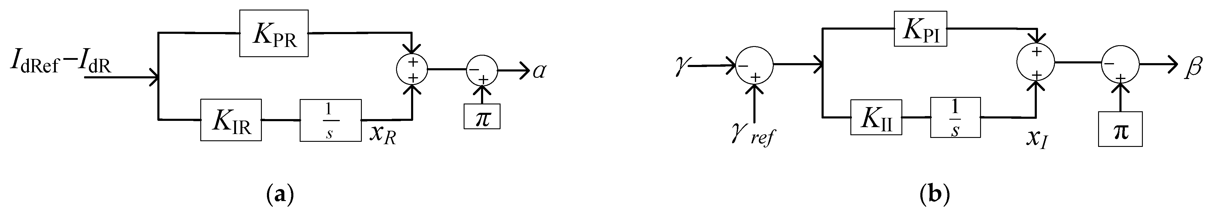
The control strategy of the converter station relies on the constant current control imposed on the rectifier side to keep the DC pole line current unchanged. The constant turn-off angle control strategy is adopted on the inverter side. The control models are presented as follows.
With the output xR of the integrator as the state variable, and KPR and KIR as the proportional and integral coefficients of the PI regulator, respectively, the control strategy model can be constructed according to Figure 2a as Equation (3):
Figure 2.
Converter station control strategy. (a) Control strategy model of the rectifier side; (b) Control strategy model of the inverter side.
Likewise, the output xI of the integrator is taken as the state variable, while KPI and KII are treated as the proportional and integral coefficients of the PI regulator, respectively. γ represents the off-trigger angle, and β refers to the inverter-side trigger angle. According to Figure 2b, the control strategy model can be constructed as Equation (4):
The rectifier-side filter consists of three branches: a fixed capacitor compensation branch, a low-pass filter branch, and a high-pass filter branch. Equation (5) is obtained according to the system structure shown in Figure 1.
The modular models are coupled and linearized at the equilibrium point to obtain the linearized model as shown in Equation (6).
In Equation (6), AHVDC, BHVDC, CHVDC, and DHVDC represent the state matrix, input matrix, output matrix, and direct transfer matrix of the HVDC system, respectively. The model is constructed according to the actual composition of the system, which is comprised of a bridge rectifier and an inverter circuit composed of thyristor. It generates plenty of high harmonics, whose complex transient process leads to a high order of the characteristic matrix of the established mathematical model, including 29 state variable increment ΔxHVDC. The state variable is composed of capacitor voltage, inductor current, and the integral component in the controlling unit. Among them include the input variables for ΔuHVDC = (Usr2d,Usr2q,Usi2d,Usi2q,Idref)T for the dq axis component of the AC voltage both in the rectifier and inverter side. Idref is the reference value of the constant current controller. The output variable ΔyHVDC = (Ird,Irq,Iid,Iiq)T is the dq axis component of the AC current on the rectifier side and the inverter side, respectively. In addition, it is difficult to calculate information regarding the eigenvalue. The corresponding simulation model circuit is highly complex, and the pace of simulation is slow.
3. Simplified Model of the HVDC Transmission System
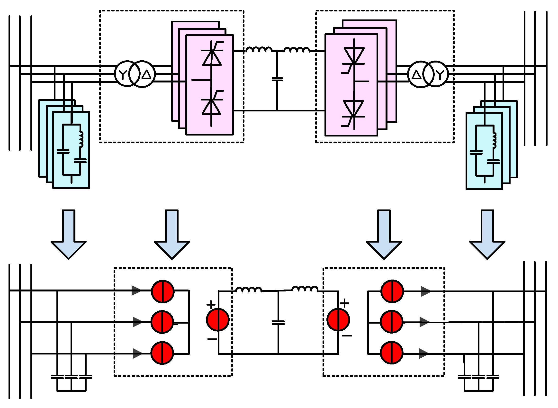
Reference [26] achieves model downscaling by splitting a high-dimensional matrix into small, low-dimensional matrices for computation through similar transformation of matrices, and Reference [27] uses the equilibrium truncation method to downscale the SSO model, but these two downscaling methods are extremely time consuming. When the SSO is analyzed, only the low frequency characteristics of the HVDC system are taken into account as necessary, not the high frequency characteristics. Therefore, it is proposed in this paper to establish an equivalent simulation model of the HVDC system by using an equivalent current source and equivalent voltage source. In the simplified simulation model, what is simplified includes converter transformers, thyristor converter bridges, reactive compensation, and the filtering branches on the rectifier side and the inverter side, with the remaining parts remaining unchanged. As for the AC grid, the converter on the rectifier side and that on the inverter side are equivalent to the load so the three-phase AC current source can be substituted. For the DC transmission line, the converter on the rectifier side and that on the inverter side are equivalent to the power source so the DC voltage source can be substituted. Since the reactive power compensation and filtering branches are always capacitive at the power frequency and lower frequencies, it can be substituted with the capacitor equivalent. Therefore, a simplified simulation model of the HVDC transmission system can be obtained, as shown in Figure 3.
Figure 3.
Simplified simulation model of the HVDC transmission system.
Since the simplified simulation model relies on current and voltage sources for the isolation of the AC grid and DC grid, a thyristor is not required for simulation, which avoids the transient process of the thyristor from turn-on to turn-off, and then from turn-off to turn-on. Therefore, the high frequency component can be omitted, and the simulation process can be accelerated, which is conducive to SSO analysis.
3.1. Calculation Method of Rectifier Side Current Source and Voltage Source Parameters
The voltage and current calculation method of the equivalent power supply on the rectifier side is detailed as follows. With the actual three-phase AC voltages of the primary winding of the converter transformer on the rectifier side denoted as usra, usrb, and usrc, the referenced voltages usrd and usrq can be obtained by means of dq transformation. Therefore, the effective value of the AC voltage at the rectifier side is expressed as
, by
The voltage of equivalent voltage source Udcr on the DC side is obtained, Nr is indicated by the number of 6-pulse converters on the rectifier side, Xr refers to the reactance of the rectifier side transformer, and Idcr represents the DC current on the rectifier side.
When the power loss of the converter is discounted, the active power input at the primary side of the transformer on the rectifier side is supposed to be equal to the loss of the transformer plus the power of the rectifier side DC transmission line, that is,
Among them, isrd and isrq denote the dq axial components of the three-phase AC current of the primary winding of converter transformer on the rectifier side, and RTr represents the resistance of the converter transformer. In addition, the reactive power is expressed as Equation (9).
Equations (8) and (9) can be solved to obtain isrd and isrq. Then, the current values of isra, isrb, and isrc, namely the equivalent current source on the rectifier AC side, can be obtained by means of dq inverse transformation.
3.2. Calculation Method of Inverter Side Current Source and Voltage Source Parameters
The three-phase AC voltages of the primary winding of converter transformer on the inverter side are denoted as usia, usib, and usic. usid and usiq can be obtained through dq transformation. Therefore, the effective value of the AC voltage on the inverter side is expressed as .
The voltage of equivalent voltage source udci on the DC side can be obtained using Equation (10), where Ni indicates the number of 6-pulse converters on the inverter side, Xi denotes the reactance of the transformer on the inverter side, and Idci refers to the DC current on the inverter side. When the power loss of the converter is ignored, the active power input at the primary side of the transformer on the inverter side is supposedly equal to the loss of the transformer plus the power of the rectifier side DC transmission line, that is,
Among them, isid and isiq represent the dq axis components of the three-phase AC current in the primary winding of the converter transformer on the inverter side, and RTi stands for the resistance of the converter transformer. In addition, due to reactive power,
Equations (11) and (12) can be used to solve isid and isiq. Through dq inverse transformation, isia, isib, and isic can be obtained, indicating the current value of the equivalent current source on the AC side of the inverter.
3.3. Parameter Calculation of the Equivalent Reactive Power Compensation Branch
Since the DC transmission system requires the consumption of reactive power in large amounts during operation, and the current on the AC side contains a large number of harmonic components, a reactive power compensation mechanism and a filter circuit are equipped on the rectifier side and inverter side of the DC transmission, respectively [28]. The reactive power compensation mechanism and filter branches are usually comprised of a fixed capacitor branch, a low frequency filter branch and a high frequency filter branch, as shown in Figure 1. Since the high frequency filter branch of the low frequency filter branch is capacitive in the sub-synchronous frequency range, the reactive power compensation mechanism and the filter branch can be treated as equivalent to a capacitor. The capacitance value is obtained on the basis that the total capacitance value of the reactive power compensation, and the filter branch is equal under the context of power frequency [29].
The parameters in the HVDC benchmark model as given by CIGRE are used to calculate the equivalent capacitance [30]. The specific values are presented in Table A1 in Appendix A. At the sub-synchronous frequency, the impedance–frequency changes of the reactive compensation mechanism and filtering branches in the reference model are compared with those of the equivalent capacitance in the simplified model. Figure 4 shows the comparison results. It can be seen from the Figure 4a,b that at the sub-synchronous frequency, the impedance amplitude of the equivalent capacitor is identical to that of the actual reactive power compensation mechanism and filter branch, and the phase is basically unchanged. The reference model is effectively substituted.

Figure 4.
Amplitude–frequency and phase–frequency curves of the reactive power compensation branch and equivalent capacitance branch. (a) Amplitude–frequency curves of the reactive power compensation branch for the detailed model and the simplified model; (b) Phase–frequency curves of the reactive power compensation branch for the detailed model and the simplified model.
4. Simulation and Verification of the Simplified HVDC Model
4.1. Verification of the Correctness of the Simplified Simulation Model
To verify the proposed simplified simulation model, a comparison is performed in time domain response characteristics between the original detailed model and the simplified model used to the external input disturbance. In this paper, the detailed electromagnetic transient simulation model and the simplified simulation model of the DC transmission system are established in Matlab/Simulink, and the simulation results of the rectifier converter on the AC and DC sides are compared under the same input conditions.
When the system operates in the rated state to 0.4 s, the remaining inputs and control parameters are kept unchanged, the reference value Idref of the constant current controller steps from 0.1 per unit quantity (pu) to 0.3 pu, and the system operation state changes. After stable operation is restored, Idref is stepped from 0.3 pu to 0.8 pu.
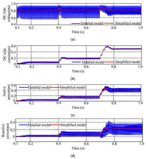
The change of electrical component at the AC side is observed. Figure 5 shows the comparison results of A-phase voltage and current on the AC side of the two models. It can be seen from the figure that the three-phase voltage and current measured by the AC of the simplified model and the detailed model are basically consistent before and after the input step.

Figure 5.
Simulation results of the AC side electrical quantity with input disturbance. (a) Simulation results of the AC side voltage; (b) Simulation results of the AC side current.
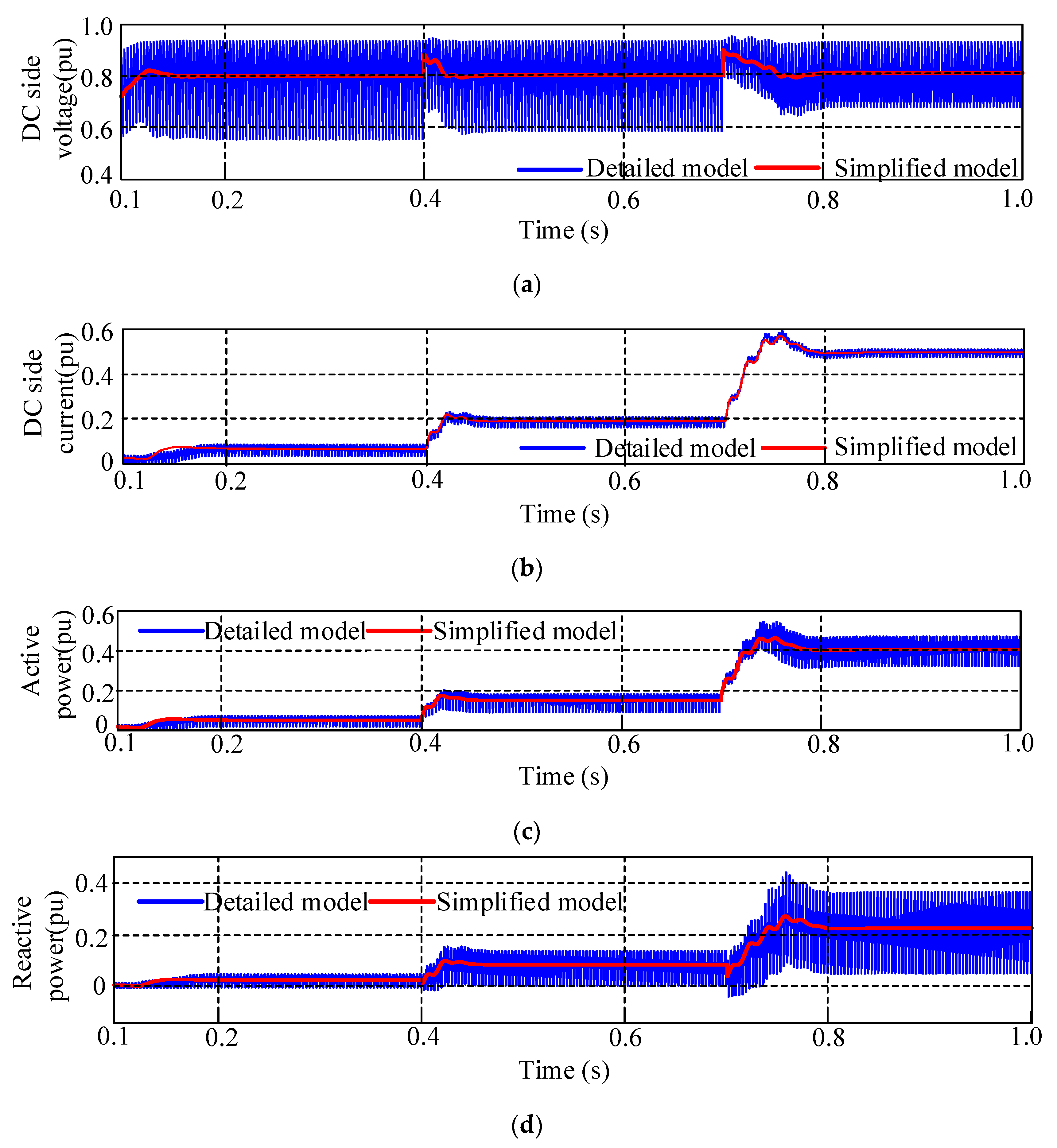
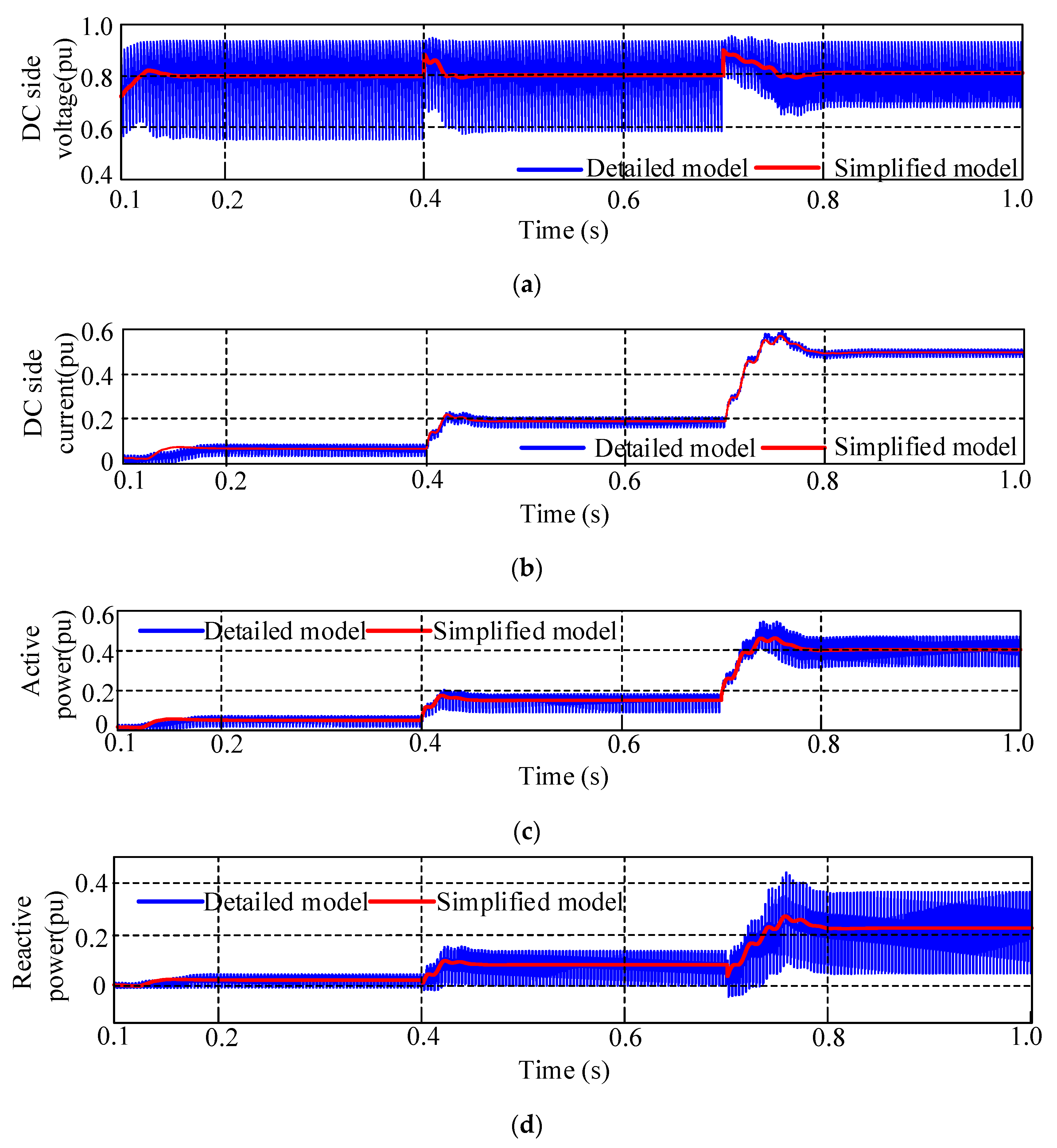
Figure 6 shows the simulation results of the voltage, current, active power, reactive power, and trigger angle at the DC side.

Figure 6.
Simulation results of the DC side electrical quantity with input disturbance. (a) Simulation results of the DC side voltage; (b) Simulation results of the DC side current; (c) Simulation results of the DC side active power; (d) Simulation results of the DC side reactive power; (e) Simulation results of the DC side rectifier trigger angle.
As shown in Figure 6, whether before or after Idref takes a step, there is no change in the average value of each electric quantity at the DC side of the simplified simulation model and the detailed model, except that each electric quantity in the detailed model contains a large number of harmonics. In addition, after the step occurs, the dynamic response of each electrical volume and the triggering angle of the rectifier side are basically coherent.
The simulation results of the simplified simulation model and the detailed model of the inverter side are basically consistent, which supports the correctness and effectiveness of the simplified simulation model proposed in this paper.
4.2. Verification of the Applicability of Simplified Simulation Model for SSO Research
To validate the simplified simulation model proposed in this paper for SSO analysis, the electromagnetic transient simulation model of wind–thermal bundling power supply is established for research by applying the HVDC transmission system, which is based on the actual parameters of a local power network. The topology of this system is illustrated in Figure 7.
Figure 7.
Diagram of wind–thermal bundling power supply through the UHVDC transmission system.
Among them, the HVDC transmission system has a capacity of 10,000 MVA and a rated DC voltage of ±800 kV. Possessing a bipolar 24-pulse rectifier bridge structure, the main circuit has a total of 16 converter transformers and 16 three-phase rectifier bridges, as shown in Figure 7. The parameters of the DC transmission system are listed in Table 1. The thermal power plant consists of a synchronous machine and an excitation and shafting model. At the wind farm, the DFIG is connected to the power grid through a voltage boost transformer (0.69 kV/35 kV) after the outlet current multiplication in a single machine model. The parameters of the thermal power plant and wind farm are described in Reference [31] and Reference [32], respectively.
Table 1.
HVDC system parameters.
The detailed simulation model and simplified simulation model of the system are constructed. In the simulation process, the thermal power plant and wind farm are set to complete initialization in 4 s, with the power supply transformed into the actual model. Figure 8 and Figure 9 show the output power simulation results of a wind farm and thermal power plant. As shown in Figure 8, regardless of the detailed simulation model or the simplified simulation model, the output power waveform starts to diverge gradually in 4 s, with obvious SSO observed. According to the frequency spectrum analysis of the waveform, the oscillation frequency is approximately 30 Hz, indicating the risk of SSO presented to the system. The results of the simulation waveform and spectrum analysis are basically consistent for the wind farm output power in the two models.
Figure 8.
Wind farm output power waveform and spectrum analysis. (a) Wind farm output power waveform; (b) Spectrum analysis of the wind farm output power waveform.
Figure 9.
Thermal power plant output power waveform and spectrum analysis. (a) Thermal power plant output power waveform; (b) Spectrum analysis of the thermal power plant output power waveform.
The results of the waveform and spectrum analysis are also basically consistent for the output power of the thermal power plant. It is demonstrated that the simplified model proposed in this paper is applicable to the simulation analysis of SSO.
The state space model is requisite for analysis of small signal stability of the system. To further verify the accuracy of the simplified model established in this paper, a comparison is drawn between the eigenvalue calculation results of the simplified model and the simulation results. Since the characteristics of SSO are affected by the magnitude of the HVDC transmission power, the SSO characteristics of the system are analyzed when the transmission power falls within a certain range. By considering the system structure and parameters as described above, the state space model is established to calculate the eigenvalues and oscillation frequencies of the system. With the wind power and thermal power output kept constant, the DC transmission power is gradually reduced by 10% each time to observe the changes in the eigenvalues as the DC transmission power diminishes. The calculated results are listed in Table 2 from which it can be seen that the eigenvalues of the system oscillation modes increase progressively from 0.934 to 1.870 as the DC transmission power declines. Moreover, the stability of the system gradually declines and the risk of sub-synchronous oscillation increases.
Table 2.
Characteristic values of system oscillation modes changing with DC transmission power.
A linearized model can be obtained by linearizing an n–dimensional dynamic system at its operating point such as Equation (6), where AHVDC is the state matrix. The corresponding eigenvalue (λi = σi + jωi) can be obtained by solving AHVDC, where λi represents an eigenvalue of the state equation, σi is the real part of the eigenvalue, and its positive and negative values can judge the stability of the system. The negative real part represents the decaying mode, the positive real part represents the diverging mode, and ωi is the angular frequency. The results of the theoretical calculation are verified by simulation, and the simulation results are shown in Figure 10. It can be seen from this figure that with the decrease of DC transmission power, the system diverges faster and the amplitude of oscillation increases, which is consistent with the results of the eigenvalue analysis. Thus, it can be concluded that the system state space model established on the basis of the simplified model is applicable to SSO analysis.
Figure 10.
System active power waveform under different DC transmission power.
4.3. Verification of the Rapidity of Simplified Simulation Model
In this paper, an Intel i7 4 GHz computer with 8 G memory was used to perform the simulation. The time taken by the detailed simulation model was 276 s, and the simplified simulation model took 63 s, which demonstrates that the simulation time can be significantly reduced by the simplified simulation model.
5. Conclusions
A simplified simulation model of the HVDC transmission system is proposed in this paper, which adopts a three-phase AC current source and DC voltage source instead of a thyristor rectifier bridge and an inverter bridge. Additionally, a capacitor branch is adopted instead of a reactive power compensation and filter branch, which ensures the accuracy in retaining the dynamic characteristics of the HVDC transmission system in the sub-synchronous frequency range. Meanwhile, the simulation model is simplified, and the pace of simulation is improved.
The composition of the standard HVDC model and the expression of each component are introduced in this paper, and the corresponding simplified methods are proposed for each subsystem. The voltage and current of the equivalent sources and parameters of the equivalent reactive power compensation branch are calculated. The equivalent simplified model of HVDC is deduced theoretically.
The simplified simulation model proposed in this paper performs well in meeting the requirements of a sub-synchronous oscillation analysis. The proposed simplified simulation model is verified by comparing the dynamic response simulation results of the simplified simulation model and the detailed model on the AC side and the DC side. The simulation results show that before and after the Idref takes a step, the three-phase voltage and current on the AC side of the simplified model and the detailed model are basically the same. The mean value of each electrical component at the DC side is the same, and the dynamic response process coincides.
The proposed simplified simulation model is verified by analyzing the eigenvalues of the simplified model and comparing the simulation results with the detailed model when sub-synchronous oscillation occurs. The simulation results show that sub-synchronous oscillation with the same oscillation frequency occurs in both models, and the harmonic content is basically the same.
Finally, the speed of the simplified model is verified by comparing the simulation time. The two models are simulated in the same computer, and the results show that the running time of the simplified model is reduced by 77% compared with that of the original detailed model.
The simplified model proposed in this paper can reduce the complexity of the system and improve the simulation speed on the premise of maintaining the accuracy. It can greatly improve the efficiency of the sub-synchronous oscillation risk assessment. By selecting reasonable types and parameters of new energy units, sub-synchronous oscillations can be avoided, thereby reducing equipment damage and economic losses and ensuring stable operation and sustainable development of the power system.
Author Contributions
Conceptualization, Y.W. and L.W.; methodology, Y.W. and L.W.; software, L.W. and S.C.; validation, L.W. and S.C.; formal analysis, S.C.; writing—original draft preparation, L.W.; funding acquisition, Y.W. All authors have read and agreed to the published version of the manuscript.
Funding
This research was funded by Science and Technology Project of State Grid Corporation of China, grant number 529923160009.
Institutional Review Board Statement
Not applicable.
Informed Consent Statement
Not applicable.
Data Availability Statement
Not applicable.
Acknowledgments
Authors would like to acknowledge the anonymous reviewers for their constructive comments.
Conflicts of Interest
The authors declare no conflict of interest.
Appendix A
Table A1.
Parameter values in the HVDC benchmark model.
Table A1.
Parameter values in the HVDC benchmark model.
| Serial Number | Parameters on Rectifier Side | Description | Named Value |
|---|---|---|---|
| 1 | CR | Series capacitor in the low-pass filter branch (μF) | 6.685 |
| 2 | CR2 | Parallel capacitor in a low-pass filter branch (μF) | 74.28 |
| 3 | LR1 | Inductance in a low-pass filter branch (H) | 0.1364 |
| 4 | RR1 | Series resistance in a low-pass filter branch (Ω) | 29.76 |
| 5 | RR2 | Parallel resistance in a low-pass filter branch (Ω) | 261.87 |
| 6 | CR3 | Capacitor in the high-pass filter branch (μF) | 6.685 |
| 7 | LR2 | Inductance in the high-pass filter branch (H) | 0.0136 |
| 8 | RR3 | Resistance in the high-pass filter branch (Ω) | 83.32 |
| 9 | CR4 | Capacitor in the fixed compensation branch (μF) | 3.342 |
| 10 | RR4 | Resistance in the fixed compensation branch (Ω) | 1.19 |
References
- Xie, X.; He, J.; Mao, H.; Li, Z. New issues and classification of power system stability with high shares of renewables and power electronics. Proc. CSEE 2021, 41, 461–475. [Google Scholar]
- Chen, G.; Li, M.; Xu, T.; Liu, M. Study on technical bottleneck of new energy development. Proc. CSEE 2017, 37, 20–27. [Google Scholar]
- Yang, W.; Zhu, L.; Li, W.; Zheng, H.; Liu, F.; Liu, X. Study on subsynchronous oscillation and propagation characteristics of wind-fire bundled sending system. Power Syst. Protect. Control 2019, 47, 58–64. [Google Scholar]
- Yang, W.; Wang, X.; Wang, S. Analysis of high frequency resonance and suppression in Yu to E VSC-HVDC project connected to power grid. Power Gener. Technol. 2022, 43, 492–500. [Google Scholar]
- Kavita, S.; Mohammad, A.; Yogendra, A. Optimal dynamic frequency regulation of renewable energy based hybrid power system utilizing a novel TDF-TIDF controller. Energy Sources Part A-Recovery Util. Environ. Eff. 2022, 44, 10733–10754. [Google Scholar]
- Kavita, S.; Mohammad, A.; Furkan, A.; Shady, S.R. Enhancement of frequency control for stand-alone multi-microgrids. IEEE Access 2021, 9, 79128–79142. [Google Scholar]
- Zaheeruddin; Kavita, S.; Mohammad, A. Intelligent fuzzy TIDF-II controller for load frequency control in hybrid energy system. IETE Tech. Rev. 2022, 39, 1355–1371. [Google Scholar] [CrossRef]
- Chen, N.; Zha, K.; Qu, H. Economy analysis of flexible LCC-HVDC Systems with controllable capacitors. CSEE J. Power Energy Syst. 2022, 8, 1708–1719. [Google Scholar] [CrossRef]
- Hakan, A.; Fausto, P.G.M. Economic viability assessments of high voltage direct current for wind energy systems. Sustain. Energy Technol. Assess. 2023, 56, 102948. [Google Scholar]
- Hakan, A.; Fausto, P.G.M. High voltage direct current systems through submarine cables for offshore wind farms: A life-cycle cost analysis with voltage source converters for bulk power transmission. Energy 2022, 249, 123713. [Google Scholar]
- Hakan, A.; Fausto, P.G.M. A life-cycle cost analysis of High Voltage Direct Current utilization for solar energy systems: The case study in Turkey. J. Clean. Prod. 2022, 360, 132128. [Google Scholar]
- Zhao, S.; Zhang, X.; Gao, B.; Li, R.; Yang, L. Analysis and countermeasure of sub-synchronous oscillation in wind-thermal bundling system sent out via HVDC transmission. Adv. Technol. Electr. Eng. Energy 2017, 36, 41–50. [Google Scholar]
- Gao, B.; Liu, Y.; Li, Y.; Zhao, F.; Shao, B. Analysis on disturbance transfer path and damping characteristics of sub-synchronous interaction between D-PMSG-based wind farm and LCC-HVDC. Proc. CSEE 2021, 41, 1713–1729. [Google Scholar]
- Wang, J.; Jia, Q.; Liu, K.; Wang, J.; Yang, H. Analysis of sub-synchronous torsional mode of wind-thermal bundled system transmitted via HVDC based on a signal injection method. Power Syst. Protect. Control 2021, 49, 109–120. [Google Scholar]
- Gu, Q.; Wu, Y. Research on subsynchronous oscillation and suppression countermeasure to AC and DC power transmission system. J. Power Supply 2015, 13, 83–92. [Google Scholar]
- Zhang, P. Study on the Modeling and Mechanism Analysis of Subsynchronous Oscillation in AC/DC Power Systems. Ph.D. Thesis, North China Electric Power University, Beijing, China, 25 June 2014. [Google Scholar]
- Zhang, T.; Du, W.; Chen, C.; Wang, H. A mechanism investigation on SSTOs in power system without series compensated lines induced by PMSG wind farms under the condition of weak connection. Proc. CSEE 2020, 40, 5875–5885. [Google Scholar]
- Li, Z.; Li, H.; Wei, W.; Liu, C. LCC-HVDC small signal modeling method considering voltage variation. Mod. Electr. Power 2022, 39, 262–269. [Google Scholar]
- Cheah-Mane, M.; Sainz, L.; Liang, J.; Jenkins, N.; Ugalde-Loo, C.E. Criterion for the electrical resonance stability of offshore wind power plants connected through HVDC links. IEEE Trans. Power Syst. 2017, 32, 4579–4589. [Google Scholar] [CrossRef]
- Zou, C.; Rao, H.; Xu, S.; Li, Y.; Chen, J.; Zhao, X.; Yang, Y.; LEI, B. Analysis of resonance between a VSC-HVDC converter and the AC grid. IEEE Trans. Power Electron. 2018, 33, 10157–10168. [Google Scholar] [CrossRef]
- Ebrahimzadeh, E.; Blaabjerg, F.; Wang, X.; Bak, C.L. Harmonic stability and resonance analysis in large PMSG-Based wind power plants. IEEE Trans. Sustain. Energy 2018, 9, 12–23. [Google Scholar] [CrossRef]
- Adil, A.; Emir, I. DolWin1—Challenges of connecting offshore wind farms. In Proceedings of the 2016 IEEE International Energy Conference (ENERGYCON), Leuven, Belgium, 4–8 April 2016; pp. 1–10. [Google Scholar]
- He, Y.; Xiang, W.; Zhou, J.; Zhao, J.; Wen, J. Small-signal modelling of LCC-MMC series hybrid HVDC transmission system. Trans. China Electrotech. Soc. 2021, 36, 1492–1506. [Google Scholar]
- Fu, Q.; Du, W.; Wang, H. Small signal stability analysis of AC/DC hybrid power system: An overview. Proc. CSEE 2018, 38, 2829–2840, 3134. [Google Scholar]
- Wei, L.; Song, J.; Sun, L. The research on the control system of CIGRE HVDC model based on PSCAD. J. Shandong Univ. Technol. 2014, 28, 69–75. [Google Scholar]
- Shao, B.; Zhao, S.; Gao, B. Simplified model for studying the sub-synchronous oscillation of direct-drive wind farms via VSC-HVDC System based on similar transformation theory. Proc. CESS 2020, 40, 4780–4791. [Google Scholar]
- Liu, K. Subcyncronouse Oscillation Characteristics Analysis of D-PMSG Based Wind Farm Connected with Power Grid and Its Model Order Reduction. Master’s Thesis, Northeast Electric Power University, Jilin, China, 10 June 2022. [Google Scholar]
- Zhang, F.; Xu, Z. Theory and experiences of SVC for damping subsynchronous resonance. High Voltage Eng. 2007, 172, 26–31. [Google Scholar]
- Xie, X.; Yang, T.; Jiang, Q.; Lin, J.; Wu, Y. Mechanism study on the mitigation of SSR with SVC. Autom. Electr. Power Syst. 2008, 32, 1–5. [Google Scholar]
- Faruque, M.O.; Zhang, Y.; Dinavahi, V. Detailed modeling of CIGRE HVDC benchmark system using PSCAD/EMTDC and PSB/SIMULINK. IEEE Trans. Power Deliv. 2006, 21, 378–387. [Google Scholar] [CrossRef]
- Wang, X. Research of Modeling and Simulation for Large Thermal Power Unit Based on Matlab/Simulink. Master’s Thesis, North China Electric Power University (Hebei), Baoding, China, 15 December 2007. [Google Scholar]
- Dong, X.; Xie, X.; Yang, Y. Impacting factors and stable area analysis of subsynchronous resonance in DFIG based wind farms connected to series-compensated power systeme. Power Syst. Technol. 2015, 39, 189–193. [Google Scholar]
Disclaimer/Publisher’s Note: The statements, opinions and data contained in all publications are solely those of the individual author(s) and contributor(s) and not of MDPI and/or the editor(s). MDPI and/or the editor(s) disclaim responsibility for any injury to people or property resulting from any ideas, methods, instructions or products referred to in the content. |
© 2023 by the authors. Licensee MDPI, Basel, Switzerland. This article is an open access article distributed under the terms and conditions of the Creative Commons Attribution (CC BY) license (https://creativecommons.org/licenses/by/4.0/).












