pH Dynamics in Aquaponic Systems: Implications for Plant and Fish Crop Productivity and Yield
Abstract
1. Introduction
2. Materials and Methods
2.1. System Design
2.2. Plant and Fish Materials
2.3. Measurement of Water Quality Parameters
2.4. Measurement of Water Quality Parameters Quantitative PCR
2.5. Measurement of Fish Growth Rate and Feed-Conversion Ratio
2.6. Measurement of Plant Biomass and Photosynthetic Properties
2.7. Nutrient Analysis
2.8. Mediation Analysis

2.9. Data Analysis
3. Results
3.1. Water Quality
3.2. The pH Effect on Fish Production
3.3. Plant Biomass
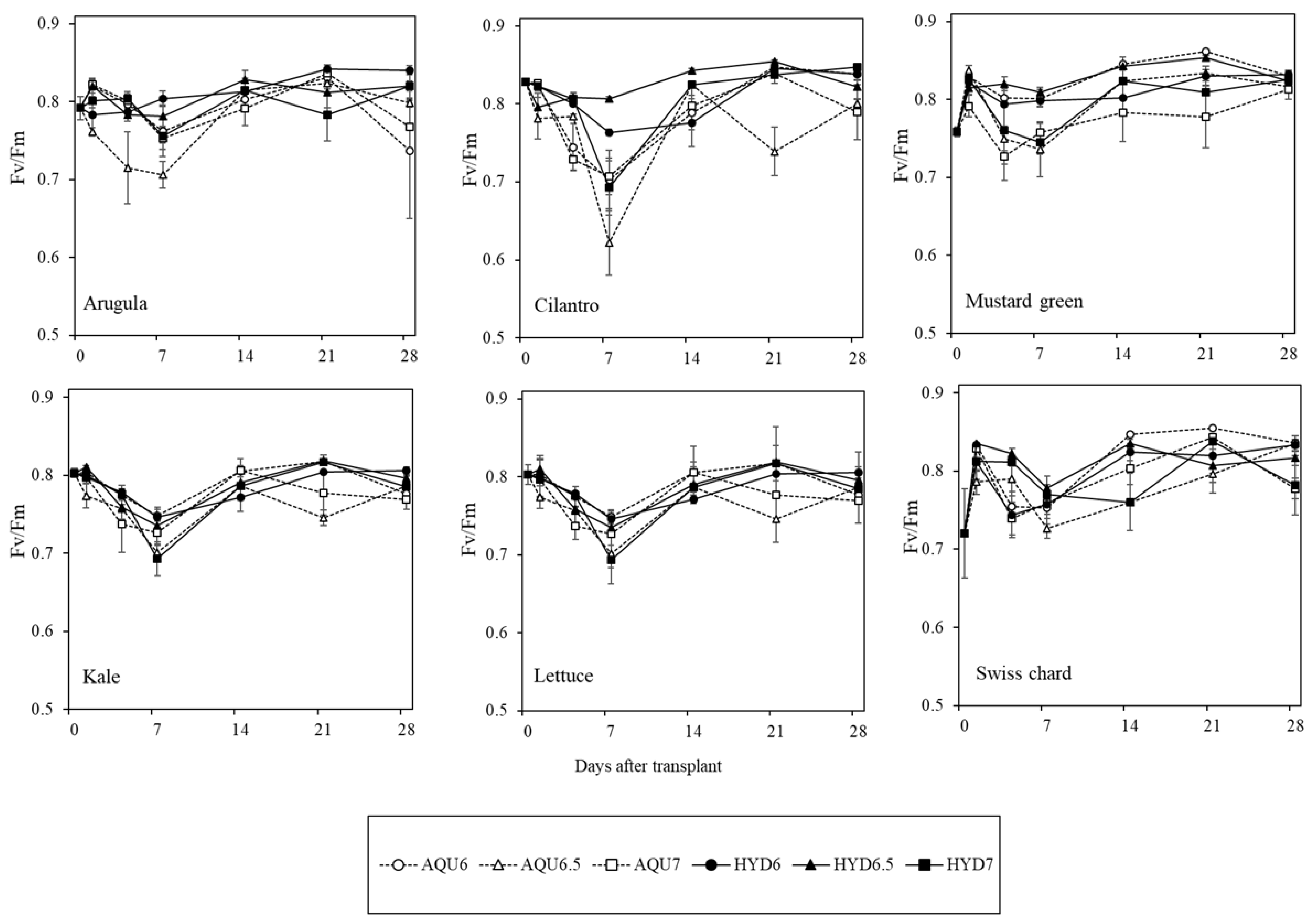
3.4. Leaf Chlorophyll and Photosynthetic Parameters
3.5. The Nutrient Analysis
3.6. The Mediation Analysis of pH Effect on Nutrient Level in Plant Tissues and Total Fresh Weight
4. Discussion
4.1. Water Quality of Aquaponic System
4.2. The pH Effect on Nitrification Activity
4.3. The pH Effect on Plant Yield
4.4. The pH Effect on Nutrient Level in Plant Tissues and Total Fresh Weight
5. Conclusions
Author Contributions
Funding
Institutional Review Board Statement
Informed Consent Statement
Data Availability Statement
Acknowledgments
Conflicts of Interest
References
- Suhl, J.; Dannehl, D.; Kloas, W.; Baganz, D.; Jobs, S.; Scheibe, G.; Schmidt, U. Advanced Aquaponics: Evaluation of Intensive Tomato Production in Aquaponics vs. Conventional Hydroponics. Agric. Water Manag. 2016, 178, 335–344. [Google Scholar] [CrossRef]
- Yang, T.; Kim, H.-J. Nutrient Management Regime Affects Water Quality, Crop Growth, and Nitrogen Use Efficiency of Aquaponic Systems. Sci. Hortic. 2019, 256, 108619. [Google Scholar] [CrossRef]
- Schmautz, Z.; Graber, A.; Mathis, A.; Bulc, T.G.; Junge, R. Tomato Production In Aquaponic System: Mass Balance And Nutrient Recycling. Aquac. Eur. 2015, 15, 15. [Google Scholar]
- Rafiee, G.; Saad, C.R. Nutrient Cycle and Sludge Production during Different Stages of Red Tilapia (Oreochromis Sp.) Growth in a Recirculating Aquaculture System. Aquaculture 2005, 244, 109–118. [Google Scholar] [CrossRef]
- Rakocy, J.E. Aquaponics—Integrating Fish and Plant Culture. In Aquaculture Production Systems; Wiley-Blackwell: Hoboken, NJ, USA, 2012; pp. 344–386. ISBN 978-1-118-25010-5. [Google Scholar]
- Roosta, H.R. Effects of Foliar Spray of K on Mint, Radish, Parsley and Coriander Plants in Aquaponic System. J. Plant Nutr. 2014, 37, 2236–2254. [Google Scholar] [CrossRef]
- Villarroel, M.; Alvariño, J.M.R.; Duran, J.M. Aquaponics: Integrating Fish Feeding Rates and Ion Waste Production for Strawberry Hydroponics. Span. J. Agric. Res. 2011, 9, 537. [Google Scholar] [CrossRef]
- Seawright, D.E.; Stickney, R.R.; Walker, R.B. Nutrient Dynamics in Integrated Aquaculture–Hydroponics Systems. Aquaculture 1998, 160, 215–237. [Google Scholar] [CrossRef]
- Gieseke, A.; Tarre, S.; Green, M.; Beer, D. De Nitrification in a Biofilm at Low PH Values: Role of In Situ Microenvironments and Acid Tolerance. Appl. Environ. Microbiol. 2006, 72, 4283–4292. [Google Scholar] [CrossRef]
- Wongkiew, S.; Hu, Z.; Chandran, K.; Lee, J.W.; Khanal, S.K. Nitrogen Transformations in Aquaponic Systems: A Review. Aquac. Eng. 2017, 76, 9–19. [Google Scholar] [CrossRef]
- Chu, Y.-T.; Bao, Y.; Huang, J.-Y.; Kim, H.-J.; Brown, P.B. Supplemental C Addressed the PH Conundrum in Sustainable Marine Aquaponic Food Production Systems. Foods 2023, 12, 69. [Google Scholar] [CrossRef]
- Tan, Z.; Guan, Y.; Luo, Y.; Wang, L.; Zhou, H.; Yang, C.; Meng, D.; Chen, Y. Evaluation of the Stability of Shortcut Nitrification-Denitrification Process Based on Online Specific Oxygen Uptake Rate Monitoring. Chin. Chem. Lett. 2022, 108074. [Google Scholar] [CrossRef]
- Wongkiew, S.; Park, M.-R.; Chandran, K.; Khanal, S.K. Aquaponic Systems for Sustainable Resource Recovery: Linking Nitrogen Transformations to Microbial Communities. Environ. Sci. Technol. 2018, 52, 12728–12739. [Google Scholar] [CrossRef]
- Zhang, Q.; Li, Y.; He, Y.; Brookes, P.C.; Xu, J. Elevated Temperature Increased Nitrification Activity by Stimulating AOB Growth and Activity in an Acidic Paddy Soil. Plant Soil 2019, 445, 71–83. [Google Scholar] [CrossRef]
- Bugbee, B. Nutrient Management in Recirculating Hydroponic Culture. In Proceedings of the Acta Horticulturae; International Society for Horticultural Science (ISHS), Leuven, Belgium, 1 February 2004; pp. 99–112. [Google Scholar]
- Asao, T. Hydroponics: A Standard Methodology for Plant Biological Researches; BoD—Books on Demand: Paris, France, 2012; ISBN 978-953-51-0386-8. [Google Scholar]
- Yang, T.; Kim, H.-J. Effects of Hydraulic Loading Rate on Spatial and Temporal Water Quality Characteristics and Crop Growth and Yield in Aquaponic Systems. Horticulturae 2020, 6, 9. [Google Scholar] [CrossRef]
- Yang, T.; Kim, H.-J. Characterizing Nutrient Composition and Concentration in Tomato-, Basil-, and Lettuce-Based Aquaponic and Hydroponic Systems. Water 2020, 12, 1259. [Google Scholar] [CrossRef]
- Kim, H.-J.; Yang, T.; Lin, M.-Y.; Langenhoven, P. Plant Propagation for Successful Hydroponic Production ©. Acta Hortic. 2018, 109–116. [Google Scholar] [CrossRef]
- Cristina, C.; Gouveia, C.; Dias, T.; Varma, A.; Babalola, O.O. How to Disentangle Changes in Microbial Function from Changes in Microbial Community. In Modern Tools and Techniques to Understand Microbes; Varma, A., Sharma, A.K., Eds.; Springer International Publishing: Cham, Switzerland, 2017; pp. 149–158. ISBN 978-3-319-49197-4. [Google Scholar]
- Fang, Y.; Hu, Z.; Zou, Y.; Zhang, J.; Zhu, Z.; Zhang, J.; Nie, L. Improving Nitrogen Utilization Efficiency of Aquaponics by Introducing Algal-Bacterial Consortia. Bioresour. Technol. 2017, 245, 358–364. [Google Scholar] [CrossRef] [PubMed]
- Sharma, D.K.; Andersen, S.B.; Ottosen, C.-O.; Rosenqvist, E. Wheat Cultivars Selected for High Fv/Fm under Heat Stress Maintain High Photosynthesis, Total Chlorophyll, Stomatal Conductance, Transpiration and Dry Matter. Physiol. Plant. 2015, 153, 284–298. [Google Scholar] [CrossRef]
- Kalaji, H.M.; Carpentier, R.; Allakhverdiev, S.I.; Bosa, K. Fluorescence Parameters as Early Indicators of Light Stress in Barley. J. Photochem. Photobiol. B Biol. 2012, 112, 1–6. [Google Scholar] [CrossRef]
- da Silva Branco, M.C.; de Almeida, A.-A.F.; Dalmolin, Â.C.; Ahnert, D.; Baligar, V.C. Influence of Low Light Intensity and Soil Flooding on Cacao Physiology. Sci. Hortic. 2017, 217, 243–257. [Google Scholar] [CrossRef]
- Zhou, J.; Li, P.; Wang, J.; Fu, W. Growth, Photosynthesis, and Nutrient Uptake at Different Light Intensities and Temperatures in Lettuce. HortScience 2019, 54, 1925–1933. [Google Scholar] [CrossRef]
- Dong, T.; Shang, J.; Chen, J.M.; Liu, J.; Qian, B.; Ma, B.; Morrison, M.J.; Zhang, C.; Liu, Y.; Shi, Y.; et al. Assessment of Portable Chlorophyll Meters for Measuring Crop Leaf Chlorophyll Concentration. Remote Sens. 2019, 11, 2706. [Google Scholar] [CrossRef]
- Chang, T.-G.; Xin, C.-P.; Qu, M.-N.; Zhao, H.-L.; Song, Q.-F.; Zhu, X. Evaluation of Protocols for Measuring Leaf Photosynthetic Properties of Field-Grown Rice. Rice Sci. 2017, 24, 1–9. [Google Scholar] [CrossRef]
- Poitevin, E.; Nicolas, M.; Graveleau, L.; Richoz, J.; Andrey, D.; Monard, F.; Abrahamson, A.; Baillon, A.; Barrios, J.; Berger, S.; et al. Improvement of AOAC Official Method 984.27 for the Determination of Nine Nutritional Elements in Food Products by Inductively Coupled Plasma-Atomic Emission Spectroscopy After Microwave Digestion: Single-Laboratory Validation and Ring Trial. J. Aoac Int. 2009, 92, 1484. [Google Scholar] [CrossRef]
- Imai, K.; Keele, L.; Yamamoto, T. Identification, Inference and Sensitivity Analysis for Causal Mediation Effects. Stat. Sci. 2010, 25, 51–71. [Google Scholar] [CrossRef]
- Lee, D.; Arbuckle, J.G.; Zhu, Z.; Nowatzke, L. Conditional Causal Mediation Analysis of Factors Associated with Cover Crop Adoption in Iowa, USA. Water Resour. Res. 2018, 54, 9566–9584. [Google Scholar] [CrossRef]
- Zhao, X.; Lynch, J.G., Jr.; Chen, Q. Reconsidering Baron and Kenny: Myths and Truths about Mediation Analysis. J. Consum. Res. 2010, 37, 197–206. [Google Scholar] [CrossRef]
- Hay, R.K.M. Harvest Index: A Review of Its Use in Plant Breeding and Crop Physiology. Ann. Appl. Biol. 1995, 126, 197–216. [Google Scholar] [CrossRef]
- VanderWeele, T.J. Simple Relations between Principal Stratification and Direct and Indirect Effects. Stat. Probab. Lett. 2008, 78, 2957–2962. [Google Scholar] [CrossRef]
- VanderWeele, T.J.; Vansteelandt, S.; Robins, J.M. Effect Decomposition in the Presence of an Exposure-Induced Mediator-Outcome Confounder. Epidemiology 2014, 25, 300. [Google Scholar] [CrossRef]
- Cheong, J.; MacKinnon, D.P. Mediation/indirect effects in structural equation modeling. In Handbook of Structural Equation Modeling; Hoyle, R.H., Ed.; The Guilford Press: New York, NY, USA, 2012; pp. 417–435. [Google Scholar]
- Nobre, M.K.B.; Lima FR dos, S.; Magalhães, F.B.; Sá, M.V. do C. e Alternative Liming Blends for Fish Culture. Acta Sci. Anim. Sci. 2014, 36, 11–16. [Google Scholar] [CrossRef]
- Mustapha, M.K.; Atolagbe, S.D. Tolerance Level of Different Life Stages of Nile Tilapia Oreochromis Niloticus (Linnaeus, 1758) to Low PH and Acidified Waters. JoBAZ 2018, 79, 46. [Google Scholar] [CrossRef]
- El-Sherif, M.S.; El-Feky, A.M.I. Performance of Nile Tilapia (Oreochromis niloticus) Fingerlings. I. Effect of PH. Int. J. Agric. Biol. 2009, 11, 4. [Google Scholar]
- Oliveira, F.D.A.D.; Carrilho, M.J.S.d.O.; de Medeiros, J.F.; Maracajá, P.B.; Oliveira, M.K.T. De Desempenho de cultivares de alface submetidas a diferentes níveis de salinidade da água de irrigação. Rev. Bras. Eng. Agrícola Ambient. 2011, 15, 771–777. [Google Scholar] [CrossRef]
- Kappel, N.; Boros, I.F.; Ravelombola, F.S.; Sipos, L. EC Sensitivity of Hydroponically-Grown Lettuce (Lactuca Sativa L.) Types in Terms of Nitrate Accumulation. Agriculture 2021, 11, 315. [Google Scholar] [CrossRef]
- Graber, A.; Junge, R. Aquaponic Systems: Nutrient Recycling from Fish Wastewater by Vegetable Production. Desalination 2009, 246, 147–156. [Google Scholar] [CrossRef]
- Tyson, R.V.; Simonne, E.H.; White, J.M.; Lamb, E.M. Reconciling Water Quality Parameters Impacting Nitrification in Aquaponics: The PH Levels. Proc. Fla. State Hortic. Soc. 2004, 117, 79–83. [Google Scholar]
- Thompson, H.C.; Langhans, R.W.; Both, A.-J.; Albright, L.D. Shoot and Root Temperature Effects on Lettuce Growth in a Floating Hydroponic System. J. Am. Soc. Hortic. Sci. 1998, 123, 361–364. [Google Scholar] [CrossRef]
- Beamish, F.W.H. Influence of Temperature and Salinity Acclimation on Temperature Preferenda of the Euryhaline Fish Tilapia Nilotica. J. Fish. Board Can. 1970, 27, 1209–1214. [Google Scholar] [CrossRef]
- El-Sayed, A.-F.M. Tilapia Culture: Second Edition; Academic Press: Cambridge, MA, USA, 2019; ISBN 978-0-12-816541-6. [Google Scholar]
- Yao, Q.; Peng, D.-C. Nitrite Oxidizing Bacteria (NOB) Dominating in Nitrifying Community in Full-Scale Biological Nutrient Removal Wastewater Treatment Plants. AMB Express 2017, 7, 25. [Google Scholar] [CrossRef] [PubMed]
- Zou, Y.; Hu, Z.; Zhang, J.; Xie, H.; Guimbaud, C.; Fang, Y. Effects of PH on Nitrogen Transformations in Media-Based Aquaponics. Bioresour. Technol. 2016, 210, 81–87. [Google Scholar] [CrossRef] [PubMed]
- Timmons, M.B.; Ebeling, J.M.; Wheaton, F.W.; Summerfelt, S.T.; Vinci, B.J. Recirculating Aquaculture Systems, 2nd ed.; Cayuga Aqua Ventures: Ithaca, NY, USA, 2002. [Google Scholar]
- Day, J.A.; Diener, C.; Otwell, A.E.; Tams, K.E.; Bebout, B.; Detweiler, A.M.; Lee, M.D.; Scott, M.T.; Ta, W.; Ha, M.; et al. Lettuce (Lactuca Sativa) Productivity Influenced by Microbial Inocula under Nitrogen-Limited Conditions in Aquaponics. PLoS ONE 2021, 16, e0247534. [Google Scholar] [CrossRef] [PubMed]
- Ayipio, E.; Wells, D.E.; McQuilling, A.; Wilson, A.E. Comparisons between Aquaponic and Conventional Hydroponic Crop Yields: A Meta-Analysis. Sustainability 2019, 11, 6511. [Google Scholar] [CrossRef]
- Anderson, T.S.; Martini, M.R.; De Villiers, D.; Timmons, M.B. Growth and Tissue Elemental Composition Response of Butterhead Lettuce (Lactuca Sativa, Cv. Flandria) to Hydroponic Conditions at Different PH and Alkalinity. Horticulturae 2017, 3, 41. [Google Scholar] [CrossRef]
- Alcarraz, E.; Flores, M.; Tapia, M.L.; Bustamante, A.; Wacyk, J.; Escalona, V. Quality of Lettuce (Lactuca Sativa L.) Grown in Aquaponic and Hydroponic Systems. In Proceedings of the Acta Horticulturae; International Society for Horticultural Science (ISHS)), Leuven, Belgium, 4 April 2018; pp. 31–38. [Google Scholar]
- Roosta, H.R.; Afsharipoor, S. Effects Of Different Cultivation Media On Vegetative Growth, Ecophysiological Traits And Nutrients Concentration In Strawberry Under Hydroponic And Aquaponic Cultivation Systems. Adv. Environ. Biol. 2012, 6, 543–555. [Google Scholar]
- Chen, P.; Kim, H.-J.; Thatcher, L.R.; Hamilton, J.M.; Alva, M.L.; Zhou, Z.; Brown, P.B. Maximizing Nutrient Recovery from Aquaponics Wastewater with Autotrophic or Heterotrophic Management Strategies. Bioresour. Technol. Rep. 2023, 21, 101360. [Google Scholar] [CrossRef]
- Neocleous, D.; Nikolaou, G.; Ntatsi, G.; Savvas, D. Impact of Chelated or Inorganic Manganese and Zinc Applications in Closed Hydroponic Bean Crops on Growth, Yield, Photosynthesis, and Nutrient Uptake. Agronomy 2020, 10, 881. [Google Scholar] [CrossRef]
- Uchida, R. Essential Nutrients for Plant Growth: Nutrient Functions and Deficiency Symptoms. Plant Nutr. Manag. Hawaii’s Soils 2000, 4, 31–55. [Google Scholar]
- Alejandro, S.; Höller, S.; Meier, B.; Peiter, E. Manganese in Plants: From Acquisition to Subcellular Allocation. Front. Plant Sci. 2020, 11, 300. [Google Scholar] [CrossRef]




| Parameter | Hydroponic Fertilizer a | Aquaponic Fish Feed b |
|---|---|---|
| Macronutrient (%) | ||
| Total nitrogen (N) | 0.043 | >6.88 |
| Phosphorus pentoxide (P) | 0.093 | >1.10 |
| Potassium oxide (K) | 0.035 | 0.99 |
| Sulfate(S) | – | 0.43 |
| Calcium (Ca) | 0.075 | 2.25–2.75 |
| Magnesium (Mg) | 0.039 | 0.23 |
| Micronutrient (ppm) | ||
| Boron (B) | 2 | – |
| Copper (Cu) | 1.05 | 10 |
| Iron (Fe) | 21 | 40 |
| Manganese (Mn) | 1.9 | 80 |
| Molybdenum (Mo) | 0.42 | – |
| Zinc (Zn) | 2.1 | 153 |
| System | pH | pH Correction Solution (mL day−1) | Electrical Conductivity (mS cm−1) | Dissolved Oxygen (mg L−1) | Temperature (°C) |
|---|---|---|---|---|---|
| Aquaponic | 6.0 | 39.5 | 1.57 | 7.51 | 22.8 |
| 6.5 | 80.6 | 1.61 | 7.32 | 23.3 | |
| 7.0 | 91.3 | 1.59 | 7.25 | 23.1 | |
| Hydroponic | 6.0 | 2.0 | 1.54 | 7.75 | 23.2 |
| 6.5 | 0.8 | 1.50 | 7.80 | 23.0 | |
| 7.0 | 0.0 | 1.51 | 7.83 | 23.6 | |
| ANOVA | |||||
| System | *** | ns | ns | ns | |
| pH | *** | ns | ns | ns | |
| System × pH | *** | ns | ns | ns |
| System | pH | AOB (Copy Numbers g−1 Biomedia) | Ammonia (mg L−1) | Nitrite (mg L−1) | Nitrate (mg L−1) |
|---|---|---|---|---|---|
| Aquaponic | 6.0 | 5.3 × 105 | 1.62 | 0.12 | 29 |
| 6.5 | 1.1 × 106 | 1.45 | 0.09 | 30.4 | |
| 7.0 | 3.2 × 106 | 1.13 | 0.12 | 30.2 | |
| p | ns | ns | ns | ns |
| Treatment | Fish Feed Applied (g) | Initial Stocking Density (kg m−3) | Final Stocking Density (kg m−3) | Fish Biomass Gain (kg m−3) | SGR | FCR |
|---|---|---|---|---|---|---|
| pH 6 | 2100 | 19.9 | 27.0 | 2.5 | 8.3 | 0.84 |
| pH 6.5 | 2100 | 20.3 | 27.5 | 2.5 | 8.4 | 0.83 |
| pH 7 | 2100 | 20.4 | 27.9 | 2.6 | 8.7 | 0.80 |
| p | ns | ns | ns | ns | ns |
| Treatments | Fresh Biomass (g plant−1) | Dry Biomass (g plant−1) | ||||
|---|---|---|---|---|---|---|
| Total | Shoots | Roots | Total | Shoots | Roots | |
| Arugula | ||||||
| System | ||||||
| Aquaponic | 111.5 b | 96.2 b | 15.4 b | 8.5 b | 7.8 b | 1.0 b |
| Hydroponic | 270.4 a | 270.8 a | 22.8 a | 19.5 a | 20.2 a | 1.9 a |
| pH | ||||||
| 6 | 253.7 a | 238.0 a | 25.6 a | 18.2 a | 18.0 a | 1.9 a |
| 6.5 | 181.2 b | 188.2 b | 20.2 ab | 14.1 b | 14.0 b | 1.7 a |
| 7 | 137.9 c | 124.4 c | 11.5 b | 9.6 c | 9.9 c | 0.8 b |
| Significance | ||||||
| System | *** | *** | * | *** | *** | ** |
| pH | *** | *** | ** | *** | *** | ** |
| System × pH | ns | ns | ns | ns | ns | ns |
| Cilantro | ||||||
| System | ||||||
| Aquaponic | 72.5 b | 55.0 b | 23.0 b | 6.6 b | 4.8 b | 2.0 |
| Hydroponic | 109.2 a | 80.8 a | 27.9 a | 9.7 a | 7.3 a | 2.2 |
| pH | ||||||
| 6 | 124.7 a | 87.7 a | 37.0 a | 11.3 a | 8.1 a | 3.2 a |
| 6.5 | 87.6 b | 65.0 b | 22.6 b | 7.7 b | 5.8 b | 1.9 b |
| 7 | 60.3 c | 51.0 b | 16.9 c | 5.4 c | 4.4 b | 1.1 b |
| Significance | ||||||
| System | *** | *** | ns | ** | *** | ns |
| pH | *** | *** | *** | *** | *** | ** |
| System × pH | * | ns | * | ns | ns | ns |
| Mustard green | ||||||
| System | ||||||
| Aquaponic | 218.0 b | 195.6 b | 17.5 | 17.9 b | 16.4 b | 1.1 b |
| Hydroponic | 324.2 a | 300.1 a | 19.4 | 26.7 a | 25.1 a | 1.5 a |
| pH | ||||||
| 6 | 323.9 a | 296.2 a | 23.2 a | 27.8 a | 25.9 a | 2.0 a |
| 6.5 | 275.6 b | 249.3 ab | 16.6 b | 22.3 ab | 20.9 b | 1.4 b |
| 7 | 213.7 c | 198.1 b | 15.5 b | 16.9 b | 15.6 c | 0.7 c |
| Significance | ||||||
| System | *** | *** | ns | *** | *** | * |
| pH | *** | *** | * | *** | *** | *** |
| System × pH | *** | *** | ns | *** | ** | * |
| Kale | ||||||
| System | ||||||
| Aquaponic | 177.3 b | 160.3 b | 19.1 b | 16.0 b | 14.5 b | 1.6 b |
| Hydroponic | 269.5 a | 244.4 a | 27.9 a | 22.8 a | 21.4 a | 2.0 a |
| pH | ||||||
| 6 | 247.1 a | 223.4 a | 22.6 | 22.4 a | 20.3 a | 1.9 |
| 6.5 | 246.9 a | 228.2 a | 25.6 | 20.9 b | 19.7 a | 1.9 |
| 7 | 176.1 b | 155.4 b | 22.3 | 15.0 c | 14.0 b | 1.6 |
| Significance | ||||||
| System | *** | *** | *** | *** | *** | * |
| pH | *** | ** | ns | *** | *** | ns |
| System × pH | ** | ** | ns | * | ** | ns |
| Lettuce | ||||||
| System | ||||||
| Aquaponic | 303.9 | 286.5 | 17.2 | 10.4 a | 8.9 | 1.3 |
| Hydroponic | 290.0 | 289.6 | 14.4 | 9.1 b | 8.4 | 1.0 |
| pH | ||||||
| 6 | 334.8 a | 315.4 a | 20.4 a | 11.6 a | 9.7 a | 1.5 a |
| 6.5 | 270.4 b | 277.9 b | 13.6 b | 8.8 b | 8.3 b | 1.1 ab |
| 7 | 285.5 ab | 270.9 b | 13.5 b | 8.8 b | 7.9 c | 0.9 b |
| Significance | ||||||
| System | ns | ns | ns | * | ns | ns |
| pH | * | * | ** | ** | ** | * |
| System × pH | ns | ns | ns | ns | * | ns |
| Swiss chard | ||||||
| System | ||||||
| Aquaponic | 342.9 b | 311.7 b | 30.3 b | 28.4 | 26.7 | 2.5 |
| Hydroponic | 521.9 a | 419.2 a | 50.0 a | 33.5 | 30.4 | 3.0 |
| pH | ||||||
| 6 | 526.6 a | 393.9 a | 53.8 a | 38.8 a | 35.4 a | 3.3 |
| 6.5 | 435.0 b | 402.9 a | 33.7 b | 32.7 a | 31.0 a | 2.6 |
| 7 | 335.7 c | 299.6 b | 33.1 b | 21.3 b | 19.3 b | 2.3 |
| Significance | ||||||
| System | *** | * | * | ns | ns | ns |
| pH | ** | ns | ns | *** | *** | ns |
| System × pH | ** | ns | ns | ** | ** | ns |
| Arugula | Cilantro | Mustard Green | Kale | Lettuce | Swiss Chard | ||||||||
|---|---|---|---|---|---|---|---|---|---|---|---|---|---|
| Systems | pH | SPAD | Fv/Fm | SPAD | Fv/Fm | SPAD | Fv/Fm | SPAD | Fv/Fm | SPAD | Fv/Fm | SPAD | Fv/Fm |
| AQU | 6.0 | 38.1 | 0.76 | 36.9 | 0.70 | 30.6 | 0.80 | 37.2 | 0.75 | 28.4 | 0.79 | 34.0 | 0.75 |
| 6.5 | 31.8 | 0.71 | 29.5 | 0.62 | 31.7 | 0.74 | 32.7 | 0.70 | 26.5 | 0.75 | 33.2 | 0.73 | |
| 7.0 | 43.6 | 0.75 | 34.9 | 0.71 | 27.8 | 0.76 | 35.8 | 0.73 | 28.9 | 0.73 | 33.9 | 0.76 | |
| ns | ns | ns | ns | ns | ns | ns | ns | ns | ns | ns | ns | ||
| HYD | 6.0 | 45.9 | 0.80 | 35.4 | 0.76 | 32.7 | 0.80 | 37.9 | 0.75 | 27.2 | 0.77 | 31.4 | 0.76 |
| 6.5 | 38.4 | 0.78 | 38.7 | 0.81 | 30.1 | 0.81 | 43.0 | 0.74 | 30.1 | 0.77 | 31.0 | 0.78 | |
| 7.0 | 39.7 | 0.76 | 34.3 | 0.69 | 30.4 | 0.75 | 32.4 | 0.69 | 26.2 | 0.71 | 32.8 | 0.77 | |
| ns | ns | ns | ns | ns | * | ns | ns | ns | ns | ns | ns | ||
| Systems | ns | * | ns | * | ns | ns | ns | ns | ns | ns | ns | ns | |
| pH | ns | ns | ns | ns | ns | * | ns | ns | ns | ns | ns | ns | |
| Systems × pH | * | ns | ns | ns | ns | ns | ns | ns | ns | ns | ns | ns | |
| Treatments | Macronutrient Concentration (%) | Micronutrient Concentration (ppm) | |||||||||
|---|---|---|---|---|---|---|---|---|---|---|---|
| N | P | K | Mg | Ca | S | Fe | Mn | B | Cu | Zn | |
| Arugula | |||||||||||
| System | |||||||||||
| Aquaponic | 5.1 | 0.9 a | 9.2 a | 0.7 a | 2.2 b | 0.9 b | 48.4 a | 135.6 a | 42.4 b | 12.4 a | 275.6 a |
| Hydroponic | 5.7 | 0.8 b | 8.0 b | 0.6 b | 2.5 a | 1.1 a | 42.1 b | 62.1 b | 44.5 a | 7.8 b | 164.8 b |
| pH | |||||||||||
| 6 | 5.7 a | 0.8 b | 7.8 c | 0.5 b | 2.8 a | 1.3 a | 42.5 b | 53.8 c | 43.1 | 6.8 | 133.5 c |
| 6.5 | 5.3 b | 0.8 b | 9.8 a | 0.8 a | 2.2 b | 1.0 b | 51.3 a | 112.9 b | 46.5 | 10.7 | 187.6 b |
| 7 | 5.3 b | 1.0 a | 8.5 b | 0.7 a | 1.9 c | 0.9 c | 41.9 b | 129.8 a | 40.8 | 13 | 339.5 a |
| Significance | |||||||||||
| System | ns | ** | *** | *** | ** | *** | *** | *** | * | * | *** |
| pH | * | * | ** | ** | ** | *** | ** | *** | ns | ns | *** |
| System × pH | * | ns | ** | ** | ** | *** | ns | *** | * | ** | ** |
| Cilantro | |||||||||||
| System | |||||||||||
| Aquaponic | 4.0 b | 0.6 b | 10.1 | 0.4 | 2.1 | 0.4 | 43.7 b | 751.1 a | 78.5 a | 15.4 | 284.8 a |
| Hydroponic | 4.7 a | 0.8 a | 9.1 | 0.5 | 2.2 | 0.4 | 80.3 a | 192.3 b | 61.1 b | 14.2 | 171.3 b |
| pH | |||||||||||
| 6 | 4.9 a | 0.8 a | 8.7 b | 0.4 b | 1.8 | 0.4 | 95.3 a | 533.0 b | 70.4 b | 14.5 | 214.7 |
| 6.5 | 4.2 b | 0.7 b | 10.1 a | 0.5 a | 2.3 | 0.4 | 56.5 b | 619.8 a | 58.5 c | 15.3 | 263.7 |
| 7 | 3.9 b | 0.6 c | 10.0 a | 0.5 a | 2.3 | 0.4 | 34.2 c | 262.3 c | 80.4 a | 14.7 | 205.8 |
| Significance | |||||||||||
| System | ** | ** | ns | ns | ns | ns | *** | *** | ** | ns | *** |
| pH | ** | ** | ** | * | ns | ns | *** | *** | ** | ns | ns |
| System × pH | * | ** | *** | ns | ns | ns | ** | *** | ns | ns | ns |
| Mustard green | |||||||||||
| System | |||||||||||
| Aquaponic | 4.7 | 0.7 | 7.9 | 0.5 | 2.8 | 0.8 b | 40.9 | 83.4 a | 36.3 | 5.4 | 165.8 |
| Hydroponic | 4.8 | 0.7 | 8.3 | 0.5 | 3.1 | 1.2 a | 35 | 62.0 b | 40.3 | 6.3 | 156.8 |
| pH | |||||||||||
| 6 | 4.3 | 0.7 | 7.8 | 0.4 | 2.9 | 0.9 b | 35.2 | 64.3 | 35.7 | 5 | 152.8 |
| 6.5 | 4.9 | 0.8 | 8.6 | 0.5 | 3.2 | 1.2 a | 37.5 | 59.8 | 39 | 6.5 | 142.5 |
| 7 | 5.1 | 0.7 | 7.7 | 0.6 | 2.8 | 0.9 b | 41.2 | 84.2 | 40.3 | 6.2 | 188.7 |
| Significance | |||||||||||
| System | ns | ns | ns | ns | ns | * | ns | * | ns | ns | ns |
| pH | ns | ns | ns | ns | ns | *** | ns | ns | ns | ns | ns |
| System × pH | * | ns | ns | * | ns | *** | ns | ** | * | ns | * |
| Kale | |||||||||||
| System | |||||||||||
| Aquaponic | 5.4 | 0.7 | 7.4 a | 0.5 | 2.9 | 1.3 a | 66.1 a | 105.3 a | 41.7 a | 7.8 | 247.6 a |
| Hydroponic | 5.5 | 0.7 | 7.0 b | 0.6 | 3 | 1.1 b | 51.0 b | 71.1 b | 38.3 b | 6.1 | 116.4 b |
| pH | |||||||||||
| 6 | 5.5 a | 0.7 a | 6.8 c | 0.7 a | 4.2 a | 1.6 a | 41.5 c | 93.7 a | 51.5 a | 6.2 b | 192.7 b |
| 6.5 | 5.3 b | 0.6 b | 7.7 a | 0.4 b | 2.0 b | 0.9 b | 81.2 a | 89.2 b | 31.7 b | 7.7 a | 241.7 a |
| 7 | 5.6 a | 0.6 b | 7.3 b | 0.5 b | 2.6 b | 1.1 b | 53.0 b | 81.8 c | 36.8 b | 7.0 b | 111.7 c |
| Significance | |||||||||||
| System | ** | ns | *** | ns | ** | *** | *** | ns | * | ns | *** |
| pH | ** | *** | *** | *** | *** | *** | *** | *** | *** | * | *** |
| System × pH | *** | ** | *** | *** | *** | *** | *** | ns | *** | * | ** |
| Lettuce | |||||||||||
| System | |||||||||||
| Aquaponic | 4.5 | 1.2 a | 9.9 a | 0.5 | 2 | 0.4 | 253.1 | 386.9 a | 33.8 | 13.6 | 156.9 a |
| Hydroponic | 4.5 | 1.0 b | 9.0 b | 0.5 | 1.5 | 0.3 | 231.1 | 294.1 b | 29.8 | 11.4 | 102.2 b |
| pH | |||||||||||
| 6 | 4.4 b | 1.2 a | 8.8 | 0.5 | 1.7 b | 0.4 | 265.2 b | 392.5 a | 29.5 | 12.5 b | 143.8 a |
| 6.5 | 4.2 c | 1.1 b | 8.5 | 0.5 | 1.5 b | 0.4 | 334.2 a | 362.3 b | 30.7 | 14.0 a | 106.2 b |
| 7 | 4.9 a | 1.0 c | 11.1 | 0.5 | 2.0 a | 0.4 | 127.0 c | 266.7 c | 35.2 | 11.0 b | 138.7 a |
| Significance | |||||||||||
| System | ** | *** | *** | ns | ns | *** | *** | *** | ns | ns | *** |
| pH | *** | *** | ns | * | *** | *** | *** | *** | ns | *** | ** |
| System × pH | * | *** | *** | *** | *** | *** | *** | *** | *** | *** | *** |
| Swiss chard | |||||||||||
| System | |||||||||||
| Aquaponic | 5.1 b | 0.6 a | 10.7 a | 1.0 b | 1.5 a | 0.3 | 53.1 a | 191.9 a | 49.7 b | 9.4 | 116.2 a |
| Hydroponic | 5.4 a | 0.5 b | 9.5 b | 1.1 a | 1.1 b | 0.4 | 49.8 b | 34.9 b | 51.1 a | 6.1 | 49.9 b |
| pH | |||||||||||
| 6 | 5.5 | 0.6 a | 9.2 b | 0.9 b | 1.1 | 0.3 | 52.5 | 105.3 b | 45.0 b | 7.8 b | 67.3 c |
| 6.5 | 5.2 | 0.5 b | 9.2 b | 1.2 a | 1.3 | 0.4 | 56 | 97.0 c | 52.8 a | 8.0 a | 72.0 b |
| 7 | 5.1 | 0.6 a | 11.7 a | 1.1 a | 1.5 | 0.3 | 45.8 | 138.0 a | 53.3 a | 7.5 b | 109.8 a |
| Significance | |||||||||||
| System | ** | *** | ** | * | *** | ns | ** | *** | ** | ns | *** |
| pH | ns | *** | ** | ** | ns | ns | ns | *** | ** | ** | *** |
| System × pH | ** | *** | *** | *** | *** | ns | ns | *** | * | ns | *** |
| Dependent Variable | ACME (p-Value) | ADE (p-Value) | Result |
|---|---|---|---|
| N | 0.79 | <0.05 | Direct effect |
| P | 0.16 | <0.05 | Direct effect |
| K | 0.94 | <0.05 | Direct effect |
| Mg | 0.28 | <0.05 | Direct effect |
| Ca | 0.91 | <0.05 | Direct effect |
| S | 0.48 | <0.05 | Direct effect |
| Na | 0.83 | <0.05 | Direct effect |
| Fe | 0.45 | <0.05 | Direct effect |
| Mn | <0.05 | <0.05 | Partial mediation effect |
| B | 0.67 | <0.05 | Direct effect |
| Cu | 0.14 | <0.05 | Direct effect |
| Zn | 0.38 | <0.05 | Direct effect |
Disclaimer/Publisher’s Note: The statements, opinions and data contained in all publications are solely those of the individual author(s) and contributor(s) and not of MDPI and/or the editor(s). MDPI and/or the editor(s) disclaim responsibility for any injury to people or property resulting from any ideas, methods, instructions or products referred to in the content. |
© 2023 by the authors. Licensee MDPI, Basel, Switzerland. This article is an open access article distributed under the terms and conditions of the Creative Commons Attribution (CC BY) license (https://creativecommons.org/licenses/by/4.0/).
Share and Cite
Wang, Y.-J.; Yang, T.; Kim, H.-J. pH Dynamics in Aquaponic Systems: Implications for Plant and Fish Crop Productivity and Yield. Sustainability 2023, 15, 7137. https://doi.org/10.3390/su15097137
Wang Y-J, Yang T, Kim H-J. pH Dynamics in Aquaponic Systems: Implications for Plant and Fish Crop Productivity and Yield. Sustainability. 2023; 15(9):7137. https://doi.org/10.3390/su15097137
Chicago/Turabian StyleWang, Yi-Ju, Teng Yang, and Hye-Ji Kim. 2023. "pH Dynamics in Aquaponic Systems: Implications for Plant and Fish Crop Productivity and Yield" Sustainability 15, no. 9: 7137. https://doi.org/10.3390/su15097137
APA StyleWang, Y.-J., Yang, T., & Kim, H.-J. (2023). pH Dynamics in Aquaponic Systems: Implications for Plant and Fish Crop Productivity and Yield. Sustainability, 15(9), 7137. https://doi.org/10.3390/su15097137

