Predicting Freshwater Microbial Pollution Using a Spatial Model: Transferability between Catchments
Abstract
1. Introduction
2. Material and Methods
2.1. Study Areas and Monitoring Points
2.2. Data Resources
- FIO water quality dataset from the Environmental Agency (EA) 2011–2020; each catchment had four to five monitoring points; There are 904 data for 5 points in the East Suffolk catchment, 29 data for 4 points in Northumberland, and 34 data for 4 points in Kent and Leven [21]. September to January was selected as the flood season, and February to August was selected as the drought season, the geometric average of E. coli content in the flood season and drought season was calculated, respectively.
- OS Terrain 5 DEM in Digimap [22].
- The use of a rough DEM resolution usually leads to a decline in model prediction ability and output reliability [23], so this study focused on obtaining high-resolution DEM data. Digimap is a website that provides online maps and spatial data for Great Britain. Digimap offers students unlimited DEM with a 50 m × 50 m resolution and DEM within 400 tiles with a 5 m × 5 m resolution for one download. The 5 m × 5 m DEM data were chosen for use in this study.
- Centre for Ecology and Hydrology Land Cover Map 2015 [24].
2.3. Risk Analysis
2.4. Flow Accumulation without DEM Sinks
2.5. Risk Weightings for Different Land Cover Types
2.6. Statistical Analysis
3. Results
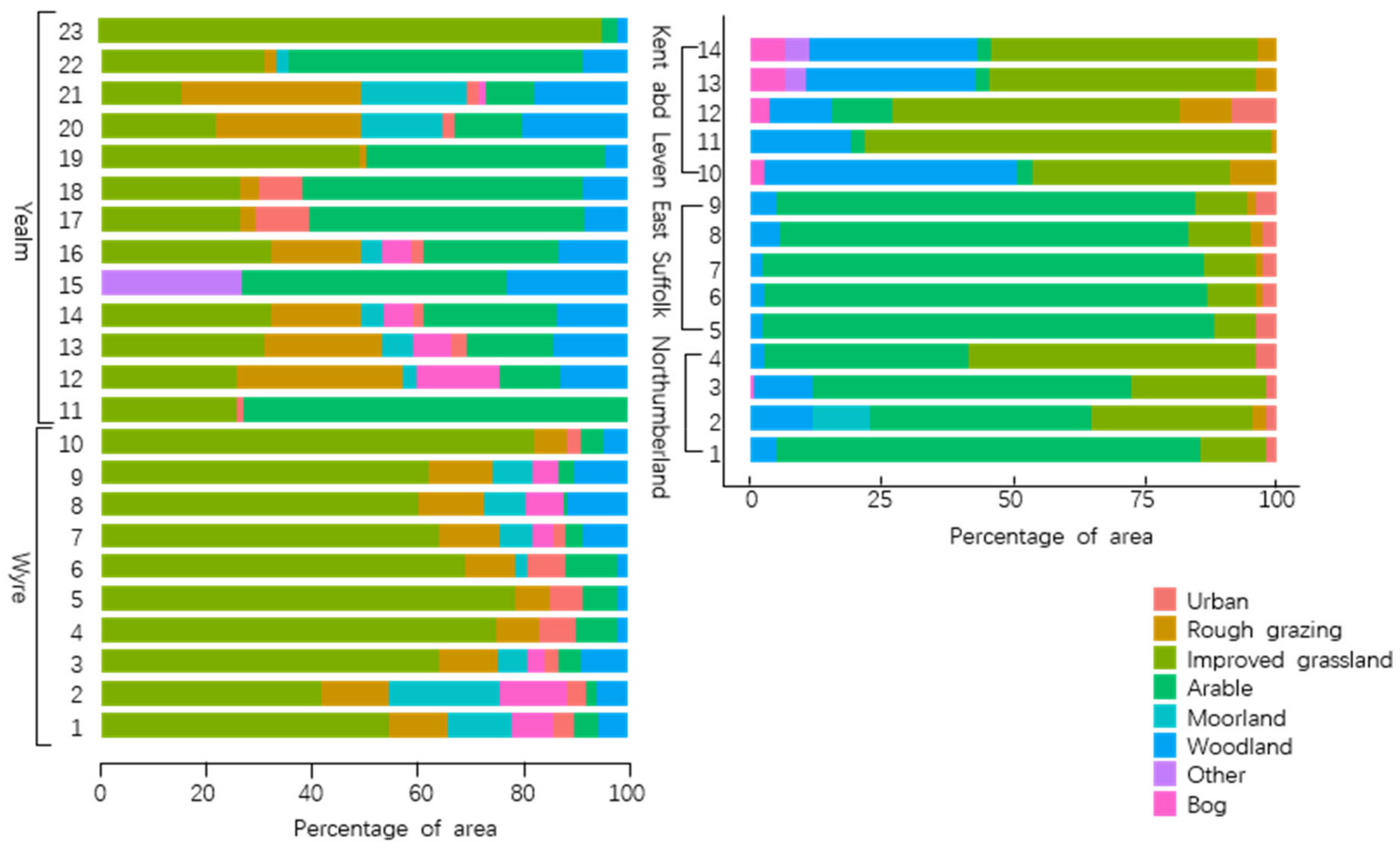
3.1. Land Cover
3.2. The Observed Geomean Value of E. coli in Running Surface Water
3.3. Upslope Contributing Area
3.4. The Risk Map of E. coli
3.5. The Relationship between the Land Cover Contribution Area and E. coli
4. Discussion
4.1. Assessment of Models: Prediction of Microbial Pollution and Transferability of Land Cover Parameters
4.2. Limitation and Uncertainty
4.3. Ideas for Policy and Environment Management for Microbial Water Pollution
5. Conclusions
Author Contributions
Funding
Institutional Review Board Statement
Informed Consent Statement
Data Availability Statement
Acknowledgments
Conflicts of Interest
References
- Sarker, S.; Veremyev, A.; Boginski, V.; Singh, A. Critical Nodes in River Networks. Sci. Rep. 2019, 9, 11178. [Google Scholar] [CrossRef] [PubMed]
- Sarker, S. Investigating Topologic and Geometric Properties of Synthetic and Natural River Networks under Changing Climate; University of Central Florida: Orlando, FL, USA, 2021. [Google Scholar]
- Pandey, P.K.; Kass, P.H.; Soupir, M.L.; Biswas, S.; Singh, V.P. Contamination of water resources by pathogenic bacteria. AMB Express 2014, 4, 16. [Google Scholar] [CrossRef] [PubMed]
- Price, R.; Wildeboer, D. Escherichia coli—Recent Advances on Physiology, Pathogenesis and Biotechnological Applications; IntechOpen: Rijeka, Croatia, 2017. [Google Scholar]
- Jamieson, R.; Gordon, R.; Joy, D.; Lee, H. Assessing microbial pollution of rural surface waters—A review of current watershed scale modeling approaches. Agric. Water Manag. 2004, 70, 1–17. [Google Scholar] [CrossRef]
- Kay, D.; Crowther, J.; Stapleton, C.M.; Wyer, M.D. Faecal indicator organism inputs to watercourses from streamside pastures grazed by cattle: Before and after implementation of streambank fencing. Water Res. 2018, 143, 229–239. [Google Scholar] [CrossRef] [PubMed]
- Rajan, R.J.; Sudarsan, J.S.; Nithiyanantham, S. Efficiency of constructed wetlands in treating E. coli bacteria present in livestock wastewater. Int. J. Environ. Sci. Technol. 2020, 17, 2153–2162. [Google Scholar] [CrossRef]
- Bu, C.H.; Lai, S.H.; Goh, X.T.; Chong, W.T.; Chin, R.J. Influence of filter media depth and vegetation on Faecal Coliform removal by stormwater biofilters. Water Environ. J. 2021, 35, 181–189. [Google Scholar] [CrossRef]
- Lane, S.N.; Brookes, C.J.; Heathwaite, A.L.; Reaney, S. Surveillant science: Challenges for the management of rural environments emerging from the new generation diffuse pollution models. J. Agric. Econ. 2006, 57, 239–257. [Google Scholar] [CrossRef]
- Milledge, D.G.; Lane, S.N.; Heathwaite, A.L.; Reaney, S.M. A Monte Carlo approach to the inverse problem of diffuse pollution risk in agricultural catchments. Sci. Total Environ. 2012, 433, 434–449. [Google Scholar] [CrossRef]
- Parajuli, P.B.; Mankin, K.R.; Barnes, P.L. Applicability of targeting vegetative filter strips to abate fecal bacteria and sediment yield using SWAT. Agric. Water Manag. 2008, 95, 1189–1200. [Google Scholar] [CrossRef]
- Pease, L.M.; Oduor, P.; Padmanabhan, G. Estimating sediment, nitrogen, and phosphorous loads from the Pipestem Creek watershed, North Dakota, using AnnAGNPS. Comput. Geosci. 2010, 36, 282–291. [Google Scholar] [CrossRef]
- Ribarova, I.; Ninov, P.; Cooper, D. Modeling nutrient pollution during a first flood event using HSPF software: Iskar River case study, Bulgaria. Ecol. Model. 2008, 211, 241–246. [Google Scholar] [CrossRef]
- Matthews, R. The People and Landscape Model (PALM): Towards full integration of human decision-making and biophysical simulation models. Ecol. Model. 2006, 194, 329–343. [Google Scholar] [CrossRef]
- Ekholm, P.; Turtola, E.; Gronroos, J.; Seuri, P.; Ylivainio, K. Phosphorus loss from different farming systems estimated from soil surface phosphorus balance. Agric. Ecosyst. Environ. 2005, 110, 266–278. [Google Scholar] [CrossRef]
- Haag, D.; Kaupenjohann, M. Landscape fate of nitrate fluxes and emissions in Central Europe—A critical review of concepts, data, and models for transport and retention. Agric. Ecosyst. Environ. 2001, 86, 1–21. [Google Scholar] [CrossRef]
- Wolf, J.; Hack-ten Broeke, M.J.D.; Rotter, R. Simulation of nitrogen leaching in sandy soils in The Netherlands with the ANIMO model and the integrated modelling system STONE. Agric. Ecosyst. Environ. 2005, 105, 523–540. [Google Scholar] [CrossRef]
- Lam, Q.D.; Schmalz, B.; Fohrer, N. Modelling point and diffuse source pollution of nitrate in a rural lowland catchment using the SWAT model. Agric. Water Manag. 2010, 97, 317–325. [Google Scholar] [CrossRef]
- Li, Z.F.; Luo, C.; Xi, Q.; Li, H.P.; Pan, J.J.; Zhou, Q.S.; Xiong, Z.Q. Assessment of the AnnAGNPS model in simulating runoff and nutrients in a typical small watershed in the Taihu Lake basin, China. Catena 2015, 133, 349–361. [Google Scholar] [CrossRef]
- Mishra, A.; Kar, S.; Singh, V.P. Determination of runoff and sediment yield from a small watershed in sub-humid subtropics using the HSPF model. Hydrol. Process. 2007, 21, 3035–3045. [Google Scholar] [CrossRef]
- Environment Agency. Download Open Water Quality Archive Datasets. Available online: https://environment.data.gov.uk/water-quality/view/download/new (accessed on 4 April 2020).
- Digimap. OS Data Download. Available online: https://digimap.edina.ac.uk/roam/download/os (accessed on 1 June 2020).
- Xu, F.; Dong, G.X.; Wang, Q.R.; Liu, L.M.; Yu, W.W.; Men, C.; Liu, R.M. Impacts of DEM uncertainties on critical source areas identification for non-point source pollution control based on SWAT model. J. Hydrol. 2016, 540, 355–367. [Google Scholar] [CrossRef]
- Land Cover Map. Available online: https://digimap.edina.ac.uk/roam/download/environment (accessed on 3 June 2020).
- Porter, K.D.H.; Reaney, S.M.; Quilliam, R.S.; Burgess, C.; Oliver, D.M. Predicting diffuse microbial pollution risk across catchments: The performance of SCIMAP and recommendations for future development. Sci. Total Environ. 2017, 609, 456–465. [Google Scholar] [CrossRef]
- Lane, S.N.; Reaney, S.M.; Heathwaite, A.L. Representation of landscape hydrological connectivity using a topographically driven surface flow index. Water Resour. Res. 2009, 45, 10. [Google Scholar] [CrossRef]
- Heathwaite, A.L.; Quinn, P.F.; Hewett, C.J.M. Modelling and managing critical source areas of diffuse pollution from agricultural land using flow connectivity simulation. J. Hydrol. 2005, 304, 446–461. [Google Scholar] [CrossRef]
- Vogel, R.M. The geometric mean? Commun. Stat. Theory Methods 2022, 51, 82–94. [Google Scholar] [CrossRef]
- Chen, J. Basics of Statistics; Beijing Institute of Technology Press: Beijing, China, 2013. [Google Scholar]
- Rozovsky, L.V. Comparison of Arithmetic, Geometric, and Harmonic Means. Math. Notes 2021, 110, 118–125. [Google Scholar] [CrossRef]
- Hrachowitz, M.; Savenije, H.H.G.; Bloschl, G.; McDonnell, J.J.; Sivapalan, M.; Pomeroy, J.W.; Arheimer, B.; Blume, T.; Clark, M.P.; Ehret, U.; et al. A decade of Predictions in Ungauged Basins (PUB)—A review. Hydrol. Sci. J.-J. Sci. Hydrol. 2013, 58, 1198–1255. [Google Scholar] [CrossRef]
- Heuvelmans, G.; Muys, B.; Feyen, J. Evaluation of hydrological model parameter transferability for simulating the impact of land use on catchment hydrology. Phys. Chem. Earth Parts A/B/C 2004, 29, 739–747. [Google Scholar] [CrossRef]
- Zalzal, J.; Alameddine, I.; El Khoury, C.; Minet, L.; Shekarrizfard, M.; Weichenthal, S.; Hatzopoulou, M. Assessing the transferability of landuse regression models for ultrafine particles across two Canadian cities. Sci. Total Environ. 2019, 662, 722–734. [Google Scholar] [CrossRef]
- Beven, K. Prophecy, reality and uncertainty in distributed hydrological modelling. Adv. Water Resour. 1993, 16, 41–51. [Google Scholar] [CrossRef]
- Hodgson, C.J.; Bulmer, N.; Chadwick, D.R.; Oliver, D.M.; Heathwaite, A.L.; Fish, R.D.; Winter, M. Establishing relative release kinetics of faecal indicator organisms from different faecal matrices. Lett. Appl. Microbiol. 2009, 49, 124–130. [Google Scholar] [CrossRef]
- Collins, R.; McLeod, M.; Hedley, M.; Donnison, A.; Close, M.; Hanly, J.; Horne, D.; Ross, C.; Davies-Colley, R.; Bagshaw, C.; et al. Best management practices to mitigate faecal contamination by livestock of New Zealand waters. N. Z. J. Agric. Res. 2007, 50, 267–278. [Google Scholar] [CrossRef]
- Hutchison, M.L.; Walters, L.D.; Avery, S.M.; Munro, F.; Moore, A. Analyses of livestock production, waste storage, and pathogen levels and prevalences in farm manures. Appl. Environ. Microbiol. 2005, 71, 1231–1236. [Google Scholar] [CrossRef] [PubMed]





| Model Type | Explanation | Characteristics | Water Quality Parameters | Spatial Unit | Classification of Land Cover Type | Software | Author |
|---|---|---|---|---|---|---|---|
| Transfer function modelling (export coefficient modelling approach) | Based on transfer function, obtain the output with known inputs, such as fertilizers and manure | The calculation method is simple, but the accuracy is not high | Phosphorus (kg ha−1 year−1) | / | / | / | Ekholm et al. [14] |
| Nitrate (kg ha−1 year−1) | Haag [15] | ||||||
| Land unit modelling | Predict the concentration of pollutants in freshwater based on individual land units, such as grid square, regardless of spatial heterogeneity | The relative accuracy of the results is high, but it is not possible to investigate areas lacking data | Carbon and nitrogen (kg ha−1 year−1) | / | Crops, food, livestock | The People and Landscape Model (PALM) | Matthews [16] |
| Nitrate (kg ha−1 year−1) | 250 m × 250 m | Grassland, beets, maize | ANIMO model and STONE | Wolf et al. [17] | |||
| Land transfer modelling | On the basis of land unit modelling, cross-landscape dynamic analysis is carried out | The process of pollution generation and transfer is simulated based on the concept of connectivity; this has a higher accuracy | Nitrate (kg ha−1 year−1) | 25 m × 25 m | Agricultural land, deciduous forest land, evergreen forest land, pasture land, range brush land, range grass land, urban land, and water | SWAT model | Lam et al. [18] |
| Nitrogen and phosphorus (kg ha−1 year−1) | 30 m × 30 m | Bare land, urban land, agricultural land, forest, grassland, water body | AnnAGNPS model | Li et al. [19] | |||
| Sediment (t/ha) | 30 m × 30 m | Deep water, shallow water, dense forest, growing forest, paddy, upland crops, fallow land, and eroded land | HSPF | Mishra et al. [20] |
| CEH Class | Description | SCIMAP Class |
|---|---|---|
| Broadleaved woodland and coniferous woodland | Deciduous, mixed, conifer, larch, evergreen, felled forest, scrub and new plantation | Woodland |
| Arable and horticulture | Arable bare ground, freshly ploughed land, cereal, non-cereal, horticulture, and rational horticulture | Arable |
| Improved grassland | Intensively managed grassland for hay, silage, and grazing marsh | Improved grassland |
| Neutral grassland, calcareous grassland, acid grassland | Semi-natural grassland and managed low-productivity grassland | Rough grazing |
| Fen, marsh, swamp, bog, saltmarsh | Swamp, fen/marsh, fen willow, bog, shrub, grass/shrub and undifferentiated (all on deep peat) | Bog |
| Heather, heather grassland | Heather grassland and exposed rock as well as habitats occurring at higher altitudes | Moorland |
| Inland rock, saltwater, freshwater, supra-littoral rock, supra-littoral sediment, littoral rock, littoral sediment | Coastal water, rivers, canals, and standing water; coastal rock and sediment | Other |
| Urban, suburban | Urban areas, including towns, cities, docksides, industrial estates, and car parks; suburban areas including a mix of built-up areas and vegetation | Urban |
| Land Cover Type/Position Name | Yealm | Diffuse or Dilute to FIO Pollution | Wyre | Contribute or Dilute to FIO Pollution |
|---|---|---|---|---|
| Improved grassland | 0.08 | High dilution | 0.63 | Medium diffusion |
| Rough grazing | 0.78 | High diffusion | 0.58 | Medium diffusion |
| Moorland | 0.5 | Not influential | 0.52 | Not influential |
| Bog | 0.5 | Not influential | 0.49 | Not influential |
| Urban | 0.5 | Not influential | 0.52 | Not influential |
| Arable | 0.54 | Not influential | 0.18 | High dilution |
| Woodland | 0.19 | High dilution | 0.04 | High dilution |
| Monitoring Points | Catchments | Unweighted Flow Accumulation (Km2) | Wyre Weighted Flow Accumulation (Km2) | Yealm Weighted Flow Accumulation (Km2) |
|---|---|---|---|---|
| 1 | Northumberland | 60.98925 | 14.47405 | 28.0045 |
| 2 | Northumberland | 58.41975 | 20.8057 | 20.90293 |
| 3 | Northumberland | 12.49323 | 3.6116 | 4.73415 |
| 4 | Northumberland | 12.49323 | 0.235556 | 0.14814 |
| 5 | East Suffolk | 38.04375 | 8.542375 | 18.83795 |
| 6 | East Suffolk | 21.59735 | 5.002875 | 10.57358 |
| 7 | East Suffolk | 98.862 | 23.30825 | 48.0325 |
| 8 | East Suffolk | 61.724 | 14.92693 | 28.75775 |
| 9 | East Suffolk | 56.26825 | 13.31958 | 26.84325 |
| 10 | Kent and Leven | 0.857025 | 0.27527 | 0.182128 |
| 11 | Kent and Leven | 0.9558 | 0.4811 | 0.112465 |
| 12 | Kent and Leven | 0.282175 | 0.137879 | 0.074914 |
| 13 | Kent and Leven | 2.881125 | 1.13017 | 0.501063 |
| 14 | Kent and Leven | 2.904175 | 1.140095 | 0.511477 |
| Dependent Variable | Independent Variable | Adjusted R2 | Significance |
|---|---|---|---|
| Objective Risk | Predicted Risk | ||
| Geometric average of the E. coli concentration in the Northumberland catchment during the wet season | Northumberland upslope area weighted by the Yealm land cover weight | 0.955 | p < 0.05 |
| Northumberland upslope area weighted by the Wyre land cover weight | 0.42 | p > 0.05 | |
| Geometric average of the E. coli concentration in the Northumberland catchment during the dry season | Northumberland upslope area weighted by the Yealm land cover weight | 0.799 | p > 0.05 |
| Northumberland upslope area weighted by the Wyre land cover weight | 0.124 | p > 0.05 | |
| Geometric average of the E. coli concentration in the East Suffolk catchment during the wet season | East Suffolk upslope area weighted by the Yealm land cover weight | 0.916 | p < 0.01 |
| East Suffolk upslope area weighted by the Wyre land cover weight | 0.872 | p < 0.01 | |
| Geometric average of the E. coli concentration in the East Suffolk catchment during the dry season | East Suffolk upslope area weighted by the Yealm land cover weight | 0.969 | p < 0.01 |
| East Suffolk upslope area weighted by the Wyre land cover weight | 0.991 | p < 0.01 | |
| Geometric average of the E. coli concentration in the Kent and Leven catchment during the wet season | Kent and Leven upslope area weighted by the Yealm land cover weight | 0.545 | p > 0.05 |
| Kent and Leven upslope area weighted by the Wyre land cover weight | 0.644 | p > 0.05 | |
| Geometric average of the E. coli concentration in the Kent and Leven catchment during the dry season | Kent and Leven upslope area weighted by the Yealm land cover weight | −0.162 | p > 0.05 |
| Kent and Leven upslope area weighted by the Wyre land cover weight | −0.173 | p > 0.05 |
Publisher’s Note: MDPI stays neutral with regard to jurisdictional claims in published maps and institutional affiliations. |
© 2022 by the authors. Licensee MDPI, Basel, Switzerland. This article is an open access article distributed under the terms and conditions of the Creative Commons Attribution (CC BY) license (https://creativecommons.org/licenses/by/4.0/).
Share and Cite
Li, J.; Liu, J. Predicting Freshwater Microbial Pollution Using a Spatial Model: Transferability between Catchments. Sustainability 2022, 14, 13583. https://doi.org/10.3390/su142013583
Li J, Liu J. Predicting Freshwater Microbial Pollution Using a Spatial Model: Transferability between Catchments. Sustainability. 2022; 14(20):13583. https://doi.org/10.3390/su142013583
Chicago/Turabian StyleLi, Jiawei, and Junyou Liu. 2022. "Predicting Freshwater Microbial Pollution Using a Spatial Model: Transferability between Catchments" Sustainability 14, no. 20: 13583. https://doi.org/10.3390/su142013583
APA StyleLi, J., & Liu, J. (2022). Predicting Freshwater Microbial Pollution Using a Spatial Model: Transferability between Catchments. Sustainability, 14(20), 13583. https://doi.org/10.3390/su142013583

