Drought Assessment across Erbil Using Satellite Products
Abstract
1. Introduction
2. Materials and Methods
2.1. Study Area and Data
2.2. Overview of the Implemented Drought Indices
2.2.1. SPEI
2.2.2. NDVI
2.3. Adopted Methodology
3. Results
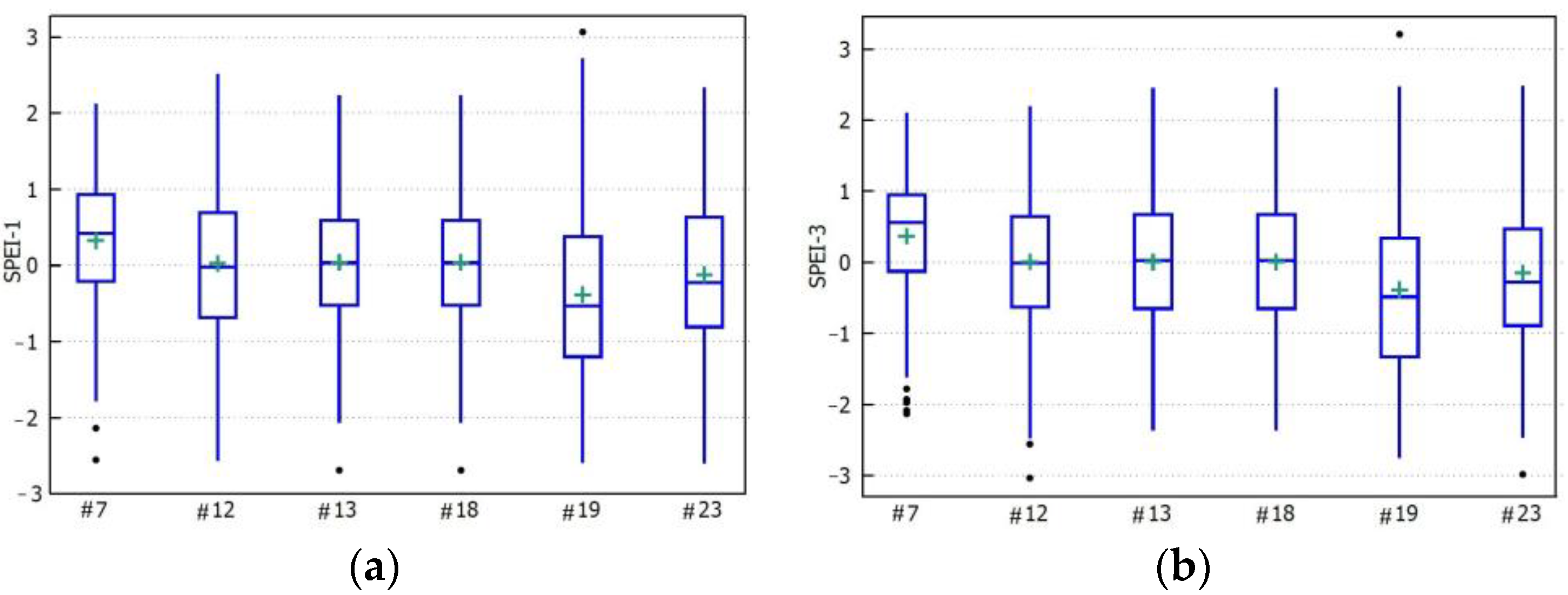
3.1. Spatiotemporal Variation in SPEI
3.2. Spatiotemporal Variation in NDVI
3.3. Response of Vegetation Coverage to Meteorological Drought
4. Discussion
5. Conclusions
Supplementary Materials
Author Contributions
Funding
Institutional Review Board Statement
Informed Consent Statement
Data Availability Statement
Acknowledgments
Conflicts of Interest
References
- Wilhite, D.A.; Glantz, M.H. Understanding: The drought phenomenon: The role of definitions. Water Int. 1985, 10, 111–120. [Google Scholar] [CrossRef]
- Panyasing, S.; Yongvanit, S.; Purnomo, E.P.; Tham, I.; Aim, S. The government policy on the organic rice farming groups embracing sustainable agricultural production: Evidence in Thailand. AgBioForum 2022, 24, 83–94. [Google Scholar]
- Jia, L.; He, Y.; Liu, W.; Zhang, Y.; Li, Y. Response of Photosynthetic Efficiency to Extreme Drought and Its Influencing Factors in Southwest China. Sustainability 2023, 15, 1095. [Google Scholar] [CrossRef]
- Maghrebi, M.; Noori, R.; Bhattarai, R.; Mundher Yaseen, Z.; Tang, Q.; Al-Ansari, N.; Madani, K. Iran’s Agriculture in the Anthropocene. Earth’s Future 2020, 8, e2020EF001547. [Google Scholar] [CrossRef]
- Şen, Z. Applied Drought Modeling, Prediction, and Mitigation; Elsevier: Amsterdam, The Netherlands, 2015. [Google Scholar]
- McKee, T.B.; Doesken, N.J.; Kleist, J. The relationship of drought frequency and duration to time scales. In Proceedings of the 8th Conference on Applied Climatology, Anaheim, CA, USA, 17–22 January 1993; pp. 179–183. [Google Scholar]
- Vicente-Serrano, S.M.; Beguería, S.; López-Moreno, J.I. A Multiscalar Drought Index Sensitive to Global Warming: The Standardized Precipitation Evapotranspiration Index. J. Climate 2010, 23, 1696–1718. [Google Scholar] [CrossRef]
- Palmer, W.C. Meteorological Drought; US Department of Commerce, Weather Bureau: Washington, DC, USA, 1965; Volume 30. [Google Scholar]
- Li, J.; Wang, Z.; Wu, X.; Xu, C.; Guo, S.; Chen, X. Toward Monitoring Short-Term Droughts Using a Novel Daily Scale, Standardized Antecedent Precipitation Evapotranspiration Index. J. Hydrometeorol. 2020, 21, 891–908. [Google Scholar] [CrossRef]
- Palmer, W.C. Keeping track of crop moisture conditions, nationwide: The new crop moisture index. Weatherwise 1968, 21, 156–161. [Google Scholar] [CrossRef]
- Peters, A.J.; Walter-Shea, E.A.; Ji, L.; Vina, A.; Hayes, M.; Svoboda, M.D. Drought monitoring with NDVI-based standardized vegetation index. PE&RS 2002, 68, 71–75. [Google Scholar]
- Huete, A.; Didan, K.; Miura, T.; Rodriguez, E.P.; Gao, X.; Ferreira, L.G. Overview of the radiometric and biophysical performance of the MODIS vegetation indices. Remote Sens. Environ. 2002, 83, 195–213. [Google Scholar] [CrossRef]
- Tarpley, J.D.; Schneider, S.R.; Money, R.L. Global vegetation indices from the NOAA-7 meteorological satellite. J. Clim. Appl. Meteorol. 1984, 23, 491–494. [Google Scholar] [CrossRef]
- Yihdego, Y.; Vaheddoost, B.; Al-Weshah, R.A. Drought indices and indicators revisited. Arab. J. Geosci. 2019, 12, 1–12. [Google Scholar] [CrossRef]
- Yu, W.; Li, Y.; Cao, Y.; Schillerberg, T. Drought assessment using GRACE terrestrial water storage deficit in Mongolia from 2002 to 2017. Water 2019, 11, 1301. [Google Scholar] [CrossRef]
- Danandeh Mehr, A.; Sorman, A.U.; Kahya, E.; Hesami Afshar, M. Climate change impacts on meteorological drought using SPI and SPEI: Case study of Ankara, Turkey. Hydrol. Sci. J. 2020, 65, 254–268. [Google Scholar] [CrossRef]
- Fadhil, A.M. Drought mapping using geoinformation technology for some sites in the Iraqi Kurdistan region. Int. J. Digit. Earth 2011, 4, 239–257. [Google Scholar] [CrossRef]
- Gaznayee, H.A.A.; Al-Quraishi, A.M.F. Analysis of agricultural drought’s severity and impacts in Erbil Province, the Iraqi Kurdistan region based on time series NDVI and TCI indices for 1998 through 2017. J. Adv. Res. Dyn. Control. Syst. 2019, 11, 287–297. [Google Scholar] [CrossRef]
- Hashim, B.M.; Abd Alraheem, E.; Jaber, N.A.; Jamei, M.; Tangang, F. Assessment of Future Meteorological Drought Under Representative Concentration Pathways (RCP8.5) Scenario: Case Study of Iraq. Knowl.-Based Eng. Sci. 2022, 3, 64–82. [Google Scholar]
- Almoussawi, Z.A.; Wafqan, H.M.; Mahdi, S.R.; Dhahim, A.; Ahmed, O.N.; Abdulhasan, M.M.; Freeh, K.B. The Effect of Adoption of Technology, Technology Diffusion, Human Capital, Formation of Capital and Labor Force in the Production of Agriculture Products in Iraq. AgBioForum 2022, 24, 144–152. [Google Scholar]
- Topcu, E.; Seckin, N. Drought Analysis of the Seyhan Basin by Using Standardized Precipitation Index SPI and L-moments. J. Agri. Sci. 2016, 22, 196–215. [Google Scholar]
- Sayari, N.; Bannayan, M.; Alizadeh, A.; Farid, A. Using drought indices to assess climate change impacts on drought conditions in the northeast of Iran (case study: Kashafrood basin). Meteorol. Appl. 2013, 20, 115–127. [Google Scholar] [CrossRef]
- Mahmoud, M.A. Impact of climate change on the agricultural sector in Egypt. Conv. Water Resour. Agric. Egypt 2017, 74, 213–227. [Google Scholar]
- Femia, F.; Werrell, C. Syria: Climate change, drought and social unrest. Cent. Clim. Secur. 2012, 29, 2–5. [Google Scholar]
- Dinç, N.; Aydinșakir, K.; Ișık, M.; Büyüktaș, D. Drought analysis of Antalya province by standardized precipitation index (SPI). Derim 2016, 33, 279–298. [Google Scholar]
- Yıldız, O. Spatiotemporal analysis of historical droughts in the Central Anatolia, Turkey. Gazi Univ. J. Sci. 2014, 27, 1177–1184. [Google Scholar]
- Gümüş, V.; Algin, H.M. Meteorological and hydrological drought analysis of the Seyhan−Ceyhan River Basins, Turkey. Meteorol. Appl. 2017, 24, 62–73. [Google Scholar] [CrossRef]
- Al-Quraishi, A.M.F.; Gaznayee, H.A.; Crespi, M. Drought trend analysis in a semi-arid area of Iraq based on Normalized Difference Vegetation Index, Normalized Difference Water Index and Standardized Precipitation Index. J. Arid Land 2021, 13, 413–430. [Google Scholar] [CrossRef]
- Hazaymeh, K.; Hassan, Q.K. A remote sensing-based agricultural drought indicator and its implementation over a semi-arid region, Jordan. J. Arid Land 2017, 9, 319–330. [Google Scholar] [CrossRef]
- Venkatesh, N.; Suresh, P.; Gopinath, M.; Naik, M.R. Design of Environmental Monitoring System in Farm House Based on Zigbee. Int. J. Commun. Comput. Technol. 2021, 10, 1–4. [Google Scholar] [CrossRef]
- Nguyen, H.C.; Thi, B.T.V.; Ngo, Q.H. Automatic Monitoring System for Hydroponic Farming: IoT-Based Design and Development. Asian J. Agric. Rural Dev. 2022, 12, 210–219. [Google Scholar] [CrossRef]
- Al-Quraishi, A.M.F.; Negm, A.M. Environmental Remote Sensing and GIS in Iraq; Springer: Cham, Switzerland, 2019. [Google Scholar]
- Almamalachy, Y.S.; Al-Quraishi, A.M.F.; Moradkhani, H. Agricultural drought monitoring over Iraq utilizing MODIS products. In Environmental Remote Sensing and GIS in Iraq; Springer: Cham, Switzerland, 2020; pp. 253–278. [Google Scholar]
- AL-Timimi, Y.K.; George, L.E.; AL-Jiboori, M.H. Drought risk assessment in Iraq using remote sensing and GIS techniques. Iraqi J. Sci. 2012, 53, 1078–1082. [Google Scholar]
- Suliman, A.H.A.; Awchi, T.A.; Al-Mola, M.; Shahid, S. Evaluation of remotely sensed precipitation sources for drought assessment in Semi-Arid Iraq. Atmos. Res. 2020, 242, 105007. [Google Scholar] [CrossRef]
- Hussein, S.O.; Kovács, F.; Tobak, Z. Spatiotemporal assessment of vegetation indices and land cover for Erbil city and its surrounding using MODIS imageries. J. Environ. Geogr. 2017, 10, 31–39. [Google Scholar] [CrossRef]
- Rasul, A.; Balzter, H.; Smith, C. Spatial variation of the daytime Surface Urban Cool Island during the dry season in Erbil, Iraqi Kurdistan, from Landsat 8. Urban Clim. 2015, 14, 176–186. [Google Scholar] [CrossRef]
- Forti, L.; Pezzotta, A.; Zebari, M.; Zerboni, A. Geomorphology of the Central Kurdistan Region of Iraq: Landscapes of the Erbil Plain between the Great Zab and Little Zab Rivers. J. Maps 2023, 1–12. [Google Scholar] [CrossRef]
- AppEEARS Team. Application for Extracting and Exploring Analysis Ready Samples (AppEEARS). Ver. 3.14; NASA EOSDIS Land Processes Distributed Active Archive Center (LP DAAC), USGS/Earth Resources Observation and Science (EROS) Center: Sioux Falls, SD, USA., 2022. Available online: https://appeears.earthdatacloud.nasa.gov (accessed on 27 October 2022).
- Didan, K. MODIS/Terra Vegetation Indices Monthly L3 Global 1km SIN Grid V061. NASA EOSDIS Land Processes DAAC. 2021. Available online: https://doi.org/10.5067/MODIS/MOD13A3.061 (accessed on 27 October 2022).
- Pettorelli, N. The Normalized Difference Vegetation Index; Oxford University Press: Oxford, UK, 2013. [Google Scholar]
- Maldonado-Enríquez, D.; Ortega-Rubio, A.; Breceda-Solís Cámara, A.M.; Díaz-Castro, S.C.; Sosa-Ramírez, J.; Martínez-Rincón, R.O. Trend and variability of NDVI of the main vegetation types in the Cape Region of Baja California Sur. Rev. Mex. De Biodivers. 2020, 91, e913213. [Google Scholar] [CrossRef]
- Jiang, W.; Yuan, L.; Wang, W.; Cao, R.; Zhang, Y.; Shen, W. Spatio-temporal analysis of vegetation variation in the Yellow River Basin. Ecol. Indic. 2015, 51, 117–126. [Google Scholar] [CrossRef]
- Peng, J.; Dadson, S.; Hirpa, F.; Dyer, E.; Lees, T.; Miralles, D.G.; Funk, C. A pan-African high-resolution drought index dataset. Earth Syst. Sci. Data 2020, 12, 753–769. [Google Scholar] [CrossRef]
- Pyarali, K.; Peng, J.; Disse, M.; Tuo, Y. Development and application of high resolution SPEI drought dataset for Central Asia. Sci. Data 2022, 9, 172. [Google Scholar] [CrossRef]
- Danandeh Mehr, A.; Tur, R.; Çalışkan, C.; Tas, E. A novel fuzzy random forest model for meteorological drought classification and prediction in ungauged catchments. Pure Appl. Geophys. 2020, 177, 5993–6006. [Google Scholar] [CrossRef]
- Tsakiris, G.; Pangalou, D.; Vangelis, H. Regional drought assessment based on the reconnaissance drought index (RDI). Water Resour. Manag. 2007, 21, 821e833. [Google Scholar] [CrossRef]











| Index | Grid Point | Longitude | Latitude | Minimum | Maximum | Mean |
|---|---|---|---|---|---|---|
| SPEI-1 | 7 | 43.75 | 35.75 | −2.5532 | 2.1198 | 0.3278 |
| 12 | 36.25 | −2.5642 | 2.5100 | 0.0284 | ||
| 13 | 44.25 | −2.6883 | 2.2342 | 0.0394 | ||
| 18 | 36.75 | −2.6883 | 2.2342 | 0.0394 | ||
| 19 | 44.75 | −2.58476 | 3.0652 | −0.3841 | ||
| 23 | 44.25 | 37.25 | −2.5987 | 2.3334 | −0.1192 | |
| SPEI-3 | 7 | 43.75 | 35.75 | −2.1315 | 2.10008 | 0.367463 |
| 12 | 36.25 | −3.03464 | 2.19109 | 0.006825 | ||
| 13 | 44.25 | −2.36187 | 2.44919 | 0.002513 | ||
| 18 | 36.75 | −2.36187 | 2.44919 | 0.002513 | ||
| 19 | 44.75 | −2.7503 | 3.20759 | −0.38800 | ||
| 23 | 44.25 | 37.25 | −2.98458 | 2.48341 | −0.14909 | |
| NDVI | 7 | 43.75 | 35.75 | 0.0858 | 0.4731 | 0.169493 |
| 12 | 36.25 | 0.0995 | 0.6820 | 0.208935 | ||
| 13 | 44.25 | 0.1419 | 0.5977 | 0.252704 | ||
| 18 | 36.75 | 0.1963 | 0.6423 | 0.361581 | ||
| 19 | 44.75 | −0.0537 | 0.5967 | 0.295135 | ||
| 23 | 44.25 | 37.25 | −0.0617 | 0.7076 | 0.363180 |
| Classification | Threshold Values 1 |
|---|---|
| Extremely wet (EW) | SPEI ≥ 1.83 |
| Severely wet (SW) | 1.42 < SPEI < 1.83 |
| Moderately wet (MW) | 1.00 < SPEI ≤ 1.42 |
| Near-normal | −1.0 < SPEI ≤ 1.0 |
| Moderate drought (MD) | −1.42 < SPEI ≤ −1.0 |
| Severe drought (SD) | −1.82 < SPEI ≤ −1.42 |
| Extreme drought (ED) | SPEI ≤ −1.82 |
| Surface Coverage | NDVI Range |
|---|---|
| Very healthy vegetation | 0.66–1.0 |
| Moderate healthy vegetation | 0.33–0.66 |
| Sparse vegetation (Unhealthy) | 0.0–0.33 |
| No vegetation (dead vegetation) | −1.0–0.0 |
| Point | SPEI-1 | SPEI-3 | ||||
|---|---|---|---|---|---|---|
| MD | SD | ED | MD | SD | ED | |
| 7 | 10 (12) 1 | 6 (7) | 2 (1) | 9 (12) | 3 (3) | 2 (5) |
| 12 | 21 (25) | 7 (7) | 5 (7) | 17 (29) | 6 (7) | 4 (8) |
| 13 | 23 (26) | 8 (8) | 6 (6) | 15 (21) | 10 (12) | 4 (11) |
| 18 | 23 (26) | 8 (8) | 6 (6) | 15 (21) | 10 (12) | 4 (11) |
| 19 | 41 (44) | 21 (21) | 20 (25) | 16 (25) | 21 (41) | 12 (21) |
| 23 | 30 (34) | 10 (11) | 9 (13) | 23 (27) | 12 (14) | 6 (13) |
Disclaimer/Publisher’s Note: The statements, opinions and data contained in all publications are solely those of the individual author(s) and contributor(s) and not of MDPI and/or the editor(s). MDPI and/or the editor(s) disclaim responsibility for any injury to people or property resulting from any ideas, methods, instructions or products referred to in the content. |
© 2023 by the authors. Licensee MDPI, Basel, Switzerland. This article is an open access article distributed under the terms and conditions of the Creative Commons Attribution (CC BY) license (https://creativecommons.org/licenses/by/4.0/).
Share and Cite
Mustafa Alee, M.; Danandeh Mehr, A.; Akdegirmen, O.; Nourani, V. Drought Assessment across Erbil Using Satellite Products. Sustainability 2023, 15, 6687. https://doi.org/10.3390/su15086687
Mustafa Alee M, Danandeh Mehr A, Akdegirmen O, Nourani V. Drought Assessment across Erbil Using Satellite Products. Sustainability. 2023; 15(8):6687. https://doi.org/10.3390/su15086687
Chicago/Turabian StyleMustafa Alee, Mohammed, Ali Danandeh Mehr, Ozgun Akdegirmen, and Vahid Nourani. 2023. "Drought Assessment across Erbil Using Satellite Products" Sustainability 15, no. 8: 6687. https://doi.org/10.3390/su15086687
APA StyleMustafa Alee, M., Danandeh Mehr, A., Akdegirmen, O., & Nourani, V. (2023). Drought Assessment across Erbil Using Satellite Products. Sustainability, 15(8), 6687. https://doi.org/10.3390/su15086687

