Abstract
Legionella dumoffii is an intracellular pathogen of freshwater protozoans capable of infecting and multiplying in mammalian cells, causing a severe respiratory disease called Legionnaires’ disease. The pathomechanism of infection development is very complex and depends on many factors, including the structure and properties of macromolecules that build the components of the L. dumoffii cell envelope. Phospholipids (PLs) forming biological membranes have a significant impact on the integrity of the membrane as well as on the interactions with the host cells. L. dumoffii changes its lipid profile under the influence of external factors, which allows it to adapt to the living environment. One of the factors altering the PL composition is the presence of exogenous choline. The aim of this study was to determine the physicochemical properties of the model bacterial membranes adsorbed at the air–liquid interface (Langmuir monolayers). They were composed of phospholipids isolated from L. dumoffii cultured with (PL+choline) and without (PL−choline) choline. Moreover, the effect of the human cathelicidin (LL-37 peptide) added to the subphase on these monolayers was analyzed in terms of phospholipid–peptide interactions. The results indicated that the monolayers of PL+choline were slightly more condensed than PL−choline. In the presence of LL-37, the elasticity of both monolayers increased; thus, their molecular packing and ordering decreased. The disturbing effect was related to the peptide’s antibacterial activity.
1. Introduction
Legionella bacteria are ubiquitous in freshwater reservoirs, soils, and water-based engineered structures. In natural environments, Legionella can invade and survive intracellularly in various protozoans. The ability of these bacteria to proliferate within biofilms provides additional protection from environmental stresses. Upon infection, human macrophages can be invaded and used by Legionella for replication, resembling the infection of protozoan hosts in the environment. Legionella cause Legionnaires’ disease and Pontiac fever and, more rarely, extrapulmonary infections, collectively called legionellosis. Typically, Legionnaires’ disease is manifested by severe pneumonia, which usually requires hospitalization. Pontiac fever is milder than Legionnaires’ disease and resembles an influenza-like illness with fever, headache, and muscle pain. The disease transmission occurs primarily through inhaling the Legionella-contaminated aerosolized water. Exposure is also possible from breathing in the Legionella-contaminated soil or while drinking water, which is rather rare. Although human-to-human transmission was not suspected, there was one reported case, suggesting that this form of infection can exist, though it is very rare [1]. There are at least 71 species of Legionella, of which 30 species are known to be responsible for community-acquired and nosocomial-acquired pneumonia [2]. The analysis of 140 sporadic cases of community-acquired Legionella pneumonia showed that L. pneumophila was the most frequently isolated species (90.7%), followed by L. bozemanae (3.6%), L. dumoffii (3.6%), L. micdadei (1.4%), and L. longbeachae (0.7%) [3]. L. dumoffii causes a more severe and rapidly progressive form of pneumonia compared to the other Legionella species. Moreover, the bacterium can contribute to extrapulmonary infections such as septic arthritis, pericarditis, and prosthetic valve endocarditis [4]. L. dumoffii is able to survive and multiply in both protozoa and human macrophage cell lines and can invade and proliferate in the epithelial cells of alveolar macrophages [5].
Despite the availability of effective antibacterial agents such as fluoroquinolones (ciprofloxacin and levofloxacin) and macrolides (clarithromycin and azithromycin), Legionnaires’ disease can be fatal in approximately 8% of cases, and up to 30% of patients were admitted to an intensive care unit. The emergence of the ciprofloxacin-resistant strains of L. pneumophila is also troublesome [6]. The high level of mortality caused by Legionella infections and the emerging resistance of these bacteria to conventional antibiotics motivates the search for new therapeutic methods that would take advantage of the possibilities of the human body defenses. The peptides with antimicrobial activity have attracted particular attention. Some of these peptides exist in nature as a part of the natural defense system. The LL-37 peptide (the cathelicidin, hCAP18/LL-37) is synthesized in the human body mainly by the epithelial cells and also by the macrophages, natural killer cells, neutrophils, and dendritic cells. This peptide exhibits the bactericidal activity against Gram-positive and Gram-negative bacteria directly by disrupting the integrity of the bacterial cell membrane as well as indirectly through immunomodulatory properties, including both pro-inflammatory and anti-inflammatory responses [7]. This peptide can be synthesized in laboratory conditions [8].
The use of cell membrane models was well established for the study of drug and antimicrobial peptide interactions with bacterial membranes. These models can be produced using the Langmuir monolayer technique, which is a useful tool to track the physicochemical properties of lipid membranes at the molecular level. These properties are essential to understand the mechanisms by which the bacterial membranes interact with external agents. In our previous study, the Langmuir monolayer technique enabled the formation of a monomolecular film from the L. micdadei lipids on the liquid subphase with LL-37 peptide and the characterization of lipid–human cathelicidin interactions based on the compression isotherms obtained by measuring the surface pressure () of the interfacial monolayer as a function of the mean molecular area (). Perturbation of the L. micdadei-derived lipid monolayers under the influence of the LL-37 peptide was correlated with its bactericidal activity [9].
This study employed the Langmuir monolayers as cell membrane models to obtain molecular-level information related to the LL-37 peptide action against L. dumoffii.
2. Materials and Methods
2.1. Culture Conditions
Legionella dumoffii (ATCC 33279) was cultured on the BCYE (buffered charcoal yeast extract) agar and Legionella growth supplement (ferric pyrophosphate, L-cysteine hydrochloride, α-ketoglutarate), or on the medium supplemented with 100 g/mL choline chloride (Sigma-Aldrich, St. Louis, MO, USA; referred to as choline in this paper), and incubated at 37 °C for 3 days. The bacteria cultured on the BCYE medium with and without exogenous choline were harvested with 0.5 M NaCl and centrifuged at 8000× g for 20 min. The cell pellets were washed once with 0.5 M NaCl and once with distilled water and lyophilized.
2.2. Lipids Isolation
Lipids were extracted from 300 mg of freeze-dried bacterial cells grown on the medium with and without the addition of choline according to the protocol of Bligh and Dyer [10].
2.3. Langmuir Monolayer Studies
Phospholipids isolated from L. dumoffii cultured with (PL+choline) or without (PL−choline) choline were dissolved in chloroform (Avantor Performance Materials Poland S.A., Gliwice, Poland; purity > 99.9%) and methanol (ROMIL Chemicals Ltd., Cambridge, UK; purity > 99.9%) at the volume ratio of 4:1. The concentration of the obtained mixtures was 1 mg/mL. The Langmuir (KSV Nima, Biolin Scientific, Stockholm, Sweden) and Langmuir–Blodgett (KSV 2000 Standard, KSV Instruments, Helsinki, Finland) troughs were used to conduct the measurements. Both devices were equipped with symmetric barriers and the platinum Wilhelmy plate for determining the surface pressure–mean molecular area () isotherms. The accuracy of the surface pressure sensor was 0.1 mN/m. Acetone (Avantor Performance Materials Poland S.A., purity > 99.5%), methanol, and Milli-Q water (resistivity 18.2 ) were used to clean the troughs. Water purified by the Milli-Q system was employed to dilute the concentrated acetic acid (Avantor Performance Materials Poland S.A., 99.7%) to obtain 0.01% solution utilized as the subphase for all experiments. The prepared PL solutions were carefully applied to the subphase surface using the Hamilton microsyringe. Then, the trough was left for 10 min to ensure that the volatile solvents were completely evaporated. The monolayer was compressed with the symmetric barriers at the rate of 10 mm/min, until the film collapsed. As each experiment was conducted 2–3 times, the mean error was established to be 2 /molecule. The measurements with the addition of the LL-37 peptide (LL-37 (human) trifluoroacetate salt, Merck, Darmstadt, Germany; purity ≥ 95%) were made, applying 50L of cathelicidin solution (1 mg/mL) on the subphase surface (to obtain the concentration of 0.08 g/mL in the bulk phase), leaving it for 2 h, and then dropping the phospholipid solution and carrying on as described above. The measurements were made at the constant temperature (20) due to the external water circulating system (Lauda, Schwechat, Austria). Simultaneously, the surface potential–mean molecular area () isotherms were recorded by means of the surface potential sensor (SPOT, Biolin Scientific) with the accuracy of 1 mV. Moreover, the Langmuir trough was coupled with the Brewster angle microscope (nanofilm_ultrabam, Accurion, Göttingen, Germany) which allowed us to visualize, directly, the film morphology with the lateral resolution of 2 . The 50 mW solid-state laser emitting the p-polarized light (wavelength = 658 nm) was employed. The incident angle was 53.2. Images of 720400 were obtained.
3. Results
3.1. Isotherms
Phospholipids (PLs), as amphiphilic compounds, are capable of adsorbing at the air–liquid interface and forming stable Langmuir monolayers. PLs isolated from the non-supplemented (PL−choline) and choline-supplemented (PL+choline) L. dumoffii bacteria were used for modeling the bacterial membrane with and without the addition of the LL-37 peptide to the subphase. The obtained isotherms registered during the monolayer compression are presented in Figure 1.
Figure 1.
Surface pressure () as a function of mean molecular area () obtained for the monolayers of phospholipids isolated from the non-supplemented (PL−choline) and choline-supplemented (PL+choline) L. dumoffii bacteria, in the absence or presence of LL-37.
On the basis of these data, the lift-off area (, the area corresponding to the surface pressure of 0.5 mN/m) was determined. Moreover, the collapse pressure () associated with the two-dimensional monolayer break down and the three-dimensional structure formation was specified (Table 1).
Table 1.
Lift-off () point and collapse pressure ( ) for the indicated monolayers.
As can be seen in Figure 1 and Table 1, the presence of choline in the medium for bacteria, as well as of the LL-37 peptide in the subphase, alters the PL molecules’ behavior in the model membrane. The isotherms for the PL−choline monolayer are shifted to the right (towards a larger area per molecule) in comparison to those for PL+choline by approximately 34 /molecule. This indicates that phospholipid molecules in the PL−choline monolayer can be more loosely packed. Nevertheless, the effect of LL-37 is similar in both cases.
The addition of the human cathelicidin causes a shift of the isotherm position to the right on the x-axis as well. Comparing the lift-off areas determined for the monolayers with and without the peptide, the differences are equal to 26 /molecule (PL−choline) and 32 /molecule (PL+choline). The influence of LL-37 molecules on the monolayer properties can also be seen as slightly lower collapse pressure values ( in comparison to the systems analyzed without the peptide. It is important to note that the isotherms registered for the PL−choline and PL+choline monolayers without the LL-37 peptide show a gradual increase up to the collapse pressure; while, in the presence of LL-37, the isotherms exhibit an inflection in the range of the surface pressure 20–30 mN/m (Figure 1).
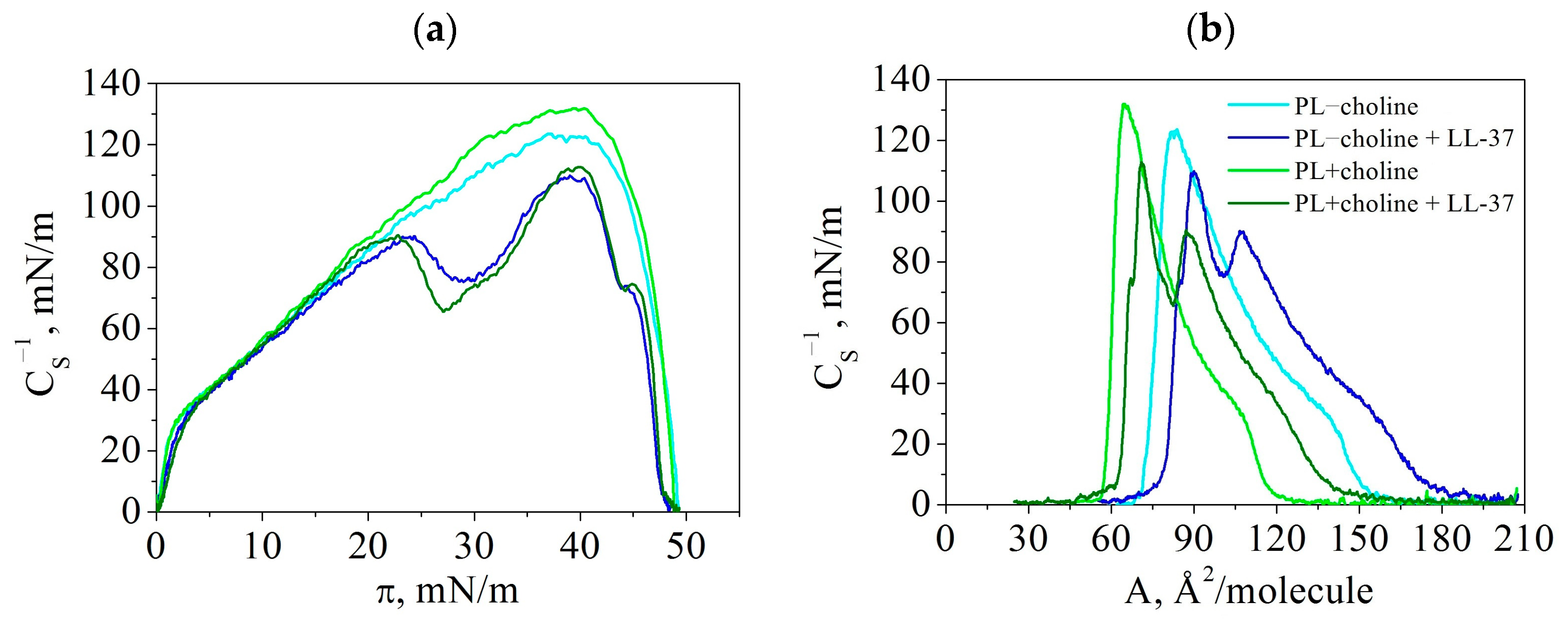
3.2. Compression Modulus (Elasticity)—
For further analysis of the model membrane properties, the compression modulus ( was calculated for all the monolayers, based on the isotherms data. Calculations were performed using the formula presented below (Equation (1)):
This parameter allows us to determine the physical state of the monolayer as strictly related to the degree of packing and ordering of molecules. According to the Davies and Rideal criterion, values in the range 12.5–50 mN/m correspond to the liquid-expanded (LE) phase, 100–250 mN/m indicate the liquid-condensed (LC) state, and the in-between values (50–100 mN/m) are consistent with the intermediate LE-LC state [11]. The compression modulus above 250 mN/m is assigned to the solid state in which fatty acid chains are perpendicular to the subphase surface and show great ordering. The and dependencies, obtained for the PL−choline and PL+choline monolayers, with and without the human cathelicidin in the subphase, are presented in Figure 2.
Figure 2.
Compression modulus () as a function of surface pressure ( (a) and mean molecular area ( ) (b) obtained for the monolayers of phospholipids extracted from the non-supplemented (PL−choline) and choline-supplemented (PL+choline) L. dumoffii bacteria, in the absence or presence of LL-37 peptide.
Moreover, the maximal ( and minimal ( values of the compression moduli for all obtained monolayers are presented in Table 2 along with the corresponding surface pressure () and the mean molecular area () values at which they occur.
Table 2.
Maximal ( and minimal ( compressibility modulus values along with the corresponding surface pressure () and the mean molecular area () values for all obtained monolayers.
Without the peptide, PL−choline and PL+choline monolayers are in the liquid-condensed phase at the most packed state as the compression modulus values increase to about 124 mN/m and 132 mN/m, respectively. The presence of LL-37 causes phospholipids to form less condensed (more elastic) monolayers. The maximal values reach ~ 90–100 mN/m for both phospholipid mixtures, indicating the intermediate LE-LC phase [11].
For the phospholipid monolayers without LL-37 in the subphase, the one maximum on the and curves is observed. Contrarily, as can be seen in Figure 2, the dependencies obtained for the monolayers with the addition of the LL-37 peptide show discontinuities (two maxima and minimum), which is consistent with the inflections visible on the isotherms (Figure 1). This observation suggests that some reorganization of molecules in the monolayers occurs under the LL-37 peptide action due to the molecular packing and ordering alterations. The compression modulus minimal values allow us to determine precisely the surface pressure and the area per molecule at which the greatest monolayer reorganization takes place. This is hardly possible based on the isotherm course (Figure 1) due to the subtle character of the alterations visible around 20–30 mN/m. Based on the and functions (Figure 2), it was possible to specify these values. They are listed in Table 2.
3.3. Surface Potential
Phospholipids are amphiphilic compounds, meaning that at the liquid–air interface, the molecules will take specific orientations. In general, the hydrophilic groups are in contact with the polar subphase, while hydrophobic chains are orienting away from it, as the molecules adapt the orientation at which the energy of the inter- and intramolecular interactions is the greatest [12]. The surface potential () measurements provide the information about the orientation of the molecules on the subphase surface [13,14]. This parameter defines the electrical properties of the monolayer and is very useful for the interpretation of intermolecular interactions. The measured defines the difference between the surface potential of the pure subphase and the surface with the monolayer [15]. The alterations of the normal component of the dipole density with respect to the surface, caused by the phospholipid film compression, result in a proportional surface potential change which allows one to analyze molecular behavior [16].
Similar dependencies can be noted for the PL−choline and PL+choline monolayers and the values are comparable for both (Figure 3). The isotherms are characterized by the so-called critical area (), corresponding to the mean molecular area at which the surface potential values start to increase (Figure 3). When the phospholipid molecules are in close proximity to each other, the hydrogen bonds with water break and the monolayer becomes more structured [14,17,18]. This is observed as the sharp increase. With further compression, the PL molecules alter their orientation on the subphase surface, due to the formation of the more condensed monolayer. After the isotherm lift-off, the change in the slope of functions can be observed, and the maximal surface potential is obtained at the collapse of the film. is equal to 0.30 V for both the PL−choline and PL+choline films at ~72 /molecule and 56 /molecule, respectively.
Figure 3.
Surface pressure () and surface potential changes ( ) as a function of mean molecular area ( ) obtained for the monolayers of phospholipids extracted from the non-supplemented (PL−choline) and choline-supplemented (PL+choline) L. dumoffii bacteria, in the absence (a,b) or presence (c,d) of LL-37 peptide.
The dependencies obtained for the monolayers in the presence of the LL-37 peptide are largely different. Due to the fact that the phospholipid mixture is applied to the subphase with the amphipathic cationic peptide already in it, at the beginning of the measurement, the values are bigger than in the analysis without the human cathelicidin. Before the isotherm lift-off, the surface potential rises at a slow rate and many fluctuations are observed. The maximal values are obtained at the area corresponding to the monolayers collapse, equal to ~0.45 V (PL−choline + LL-37, A = 74 /molecule) and 0.35 V (PL+choline + LL-37, A = 65 /molecule).
3.4. Surface Morphology
For further examinations of the monolayer surface during the compression, images of their morphology were taken by means of the BAM technique (Figure 4). The images were obtained with the background correction at specific values of the surface pressure (included under each picture, expressed in mN/m).
Figure 4.
BAM images with the background correction obtained at specific values of the surface pressure (mN/m) for all analyzed monolayers.
The PL−choline monolayer is homogeneous from ~0.5 mN/m up to the ~15 mN/m (Figure 4). After exceeding that value, regular circular domains appear and persist until the monolayer collapses. Interestingly, similar observations can be made for PL+choline as the domains occur at the same value. No significant differences in the amount or shape of the condensed structures are noticed between the two, suggesting that the choline presence in a culture medium does not influence the domain formation in L. dumoffii, even though it affects the other analyzed parameters.
The BAM images indicate insignificant changes in the monolayers caused by the LL-37 presence (Figure 4). Considering the PL−choline monolayer formed in the presence of the peptide, the domains appear at the surface pressure ~22 mN/m, thus at higher values than in the pure phospholipid monolayers. However, there are no alterations in the shape, size, or amount of the condensed structures at high . In the case of PL+choline + LL-37 the greatest distinctions are noted. Circular domains can be seen only after exceeding ~26 mN/m, the greatest value among all analyzed systems. Moreover, the number of domains at the surface pressure close to the collapse is smaller than that of the other monolayers.
4. Discussion
In this contribution, the properties of model bacterial membranes (Langmuir monolayers) formed by phospholipids isolated from the L. dumoffii bacteria cultured on the medium with or without the addition of choline were studied, along with the effect of antimicrobial LL-37 peptide on the intermolecular interactions, packing, and ordering under the monolayer compression.
Our previous studies showed that L. dumoffii synthesizes four classes of PLs: phosphatidylethanolamine (PE), phosphatidylcholine (PC), cardiolipin (CL), and trace amounts of phosphatidylglycerol (PG). The content of each PL obtained from the bacteria grown without exogenous choline was as follows: PE (42.0 ± 3.6 nmol/mg), PC (28.2 ± 2.5 nmol/mg), and CL (12.1 ± 1.0 nmol/mg). The bacteria grown on a medium with choline synthesized 13 nmol/mg more PC, 7 nmol/mg less PE, and a similar level of CL compared to the bacteria grown on the non-supplemented choline medium [19]. PE and PC are the main classes, whose content is changed due to the presence of choline in the medium; thus, the interactions between them are crucial for the model membranes properties. Since there is no significant difference in the amount of CL and PG, the PC/PE ratio and the headgroups properties are considered mainly for the Langmuir monolayer characteristics.
As can be seen in Figure 1, the isotherm of the PL+choline monolayer is located at smaller areas per molecule in comparison to that of PL−choline monolayer. The difference between the lift-off points is 34 /molecule (Table 1). The shift of the isotherm for PL+choline to the left on the x-axis (Figure 1) correlates with greater compression modulus () values (Figure 2). This is indicative of a more condensed state of the monolayer ascribed to tighter packing and the higher ordering of molecules. The reason for that can be the increased PC/PE ratio, which promotes greater packing of the molecules in the monolayer [20]. Moreover, the isotherm (Figure 3) of the PL−choline is characterized by the larger critical area () in comparison to the PL+choline monolayer. This is presumably the result of the increased PE content in PL−choline, which can interact strongly with water and other phospholipids through inter- and intramolecular hydrogen bonds [21].
The shape of the PE and PC molecules is the crucial factor for the monolayer organization. This determines their orientation and behavior to some extent during the monolayer compression [22]. PC comprises a large headgroup and two fatty acid chains, causing the molecule to adopt the cylindrical shape [20]. Contrarily, PE molecules are characterized by the conical shape as the headgroup is much smaller than PC and the volume difference between the hydrophilic and hydrophobic groups is observed [23]. Curvature-forming molecules can destabilize and alter the shape of the bilayer [22] and mixed monolayers. Additionally, the simulations made by Leekumjorn and Sum for the phospholipid models with saturated C16 fatty acid chains (DPPC and DPPE) proved that the PE headgroups are oriented towards the hydrophobic chains while those of PC are oriented towards the subphase [24]. These statements are consistent with the PE tendency to form structures with the negative curvature [22]. Therefore, in this study, the PL−choline monolayer with a reduced PC/PE ratio is less condensed and thus more elastic than PL+choline (Figure 2).
Furthermore, the changes in the phospholipid content in the PL−choline and PL+choline monolayers do not affect the film surface morphology to a large extent. At the higher surface pressure, small circular condensed domains are observed (Figure 4). Their occurrence is a result of the specific interactions between particular PL molecules, leading to the formation of domains enriched in some components (due to attraction) and depleted of others (due to repulsion). Cardiolipin can play an important role in domain formation. The large headgroup and four FA chains in the CL molecule are responsible for steric effects and the greater curvature of the monolayer [25], while the negative charge can strengthen the electrostatic repulsions in the phospholipid mixture. Moreover, both PE and CL, having a negative curvature, show a tendency to accumulate in the concave-shaped parts of the monolayer [25]. Therefore, these factors can be responsible for domain formation. It is known that domains exist naturally in bacterial membranes, ensuring their proper functioning. Moreover, certain cationic antimicrobial agents can generate the domains by preferentially sequestering anionic lipids [26].
In this study, the influence of the LL-37 peptide on the phospholipid monolayers properties was analyzed. LL-37 is the cationic, amphiphilic, antimicrobial peptide adopting the helical conformation [27]. It is one of the antimicrobial peptides (AMPs) that are membrane-active, and they act by interfering with the barrier function of bacterial lipid bilayers. Due to the cationic nature of many AMPs, they are attracted to the anionic lipid headgroups present in the bacterial membranes. The LL-37 presence in the monolayer changes the molecular organization and packing of the phospholipid molecules [28].
The presented results also indicate the incorporation of peptide molecules into the phospholipid monolayer, as the shift of the isotherms towards larger values of the mean molecular area is observed for both the PL−choline and PL+choline monolayers (Figure 1, Table 1). Moreover, the inflections visible on the isotherms (Figure 1) are reflected in discontinuities (two maxima and minimum) on the and curves (Figure 2). The first maximum at lower surface pressure (23–24 mN/m) indicated the formation of tightly packed molecules in the mixed PL/LL-37 monolayers. These values correlate very well with the collapse pressure of the pure human cathelicidin monolayer at the air–liquid interface, which is around 24–30 mN/m [28,29]. Once the surface pressure of LL-37 collapse is reached, the domains rich in this component also collapse. Thus, when the collapse pressure of LL-37 is exceeded, the monolayer is destabilized. At this point, PL and LL-37 can show an immiscible or partially miscible behavior and the peptide-rich phase separated from the PL-enriched phase can be forced out of the monolayer. In consequence, the monolayers become more disordered. However, as the compression progresses and greater surface pressure values are obtained, the degree of packing increases and the compression modulus reaches the second maximum at higher surface pressure (39–40 mN/m). This corresponds to the collapse of the PL-enriched phase. These results suggest the formation of various phases within the monolayer. However, the BAM images taken for the monolayers with or without the LL-37 presence do not reveal the differences on the microscale (Figure 4). Nevertheless, the nanodomains can exist, although they cannot be seen due to the low microscope resolution (2 m).
The action of LL-37 on the monolayer is presented schematically in Figure 5. Before the LL-37 ejection, the PL monolayer is in the LE state (Figure 5a). As the expulsion of the peptide molecules takes place and the cathelicidin-rich phase is pushed-out of the monolayer, the PL film is destabilized and the degree of packing decreases (Figure 5b). However, at high , the compression modulus for the systems with the LL-37 is smaller than that of the pure monolayers (Figure 2). Therefore, one can suspect that due to the strong interactions, the human cathelicidin removes some PL molecules from the monolayer as it collapses (Figure 5b). A similar LL-37 influence on the model L. micdadei membranes was observed [9].
Figure 5.
Proposed scheme of the LL-37 action on the monolayers formed from the lipids extracted from L. dumoffii before (a) and during (b) the monolayer reorganization (disruption). LL-37 amino acid sequence is Leu-Leu-Gly-Asp-Phe-Phe-Arg-Lys-Ser-Lys-Glu-Lys-Ile-Gly-Lys-Glu-Phe-Lys-Arg-Ile-Val-Gln-Arg-Ile-Lys-Asp-Phe-Leu-Arg-Asn-Leu-Val-Pro-Arg-Thr-Glu-Ser.
Several studies were carried out in order to understand the mechanism of the LL-37 action in the bacterial membranes; however, this is strongly dependent on the membrane composition and intermolecular interactions of specific phospholipids [29]. LL-37 does not act via one unique molecular mechanism; different membrane destruction mechanisms should be considered. LL-37 can form pores in the unsaturated lipid bilayers but the peptide-lipid fibrils in the saturated lipid bilayers [30] cause massive disruption by destabilizing the cell membrane [31] or form a toroidal pore that permeabilizes the membrane [32]. Although different types of interactions cannot be ruled out entirely [29], the most commonly assumed one is the “carpet” mechanism [33]. The other studies showed the significance of the PG content in the monolayers for the LL-37 antimicrobial action due to the presence of groups with the negative charge [9,28,34]. The increase in the susceptibility of L. micdadei to LL-37 was dependent on a slight increase in the PG content and the presence of longer acyl chains in the model membranes of these bacteria. Similarly, the activity of another AMPs, magainin-2, which forms pores in the membrane, was PG-dependent [35]. However, L. dumoffii contains the PG trace amounts [19]. Therefore, it is justified to assume that in the L. dumoffii membranes, LL-37 action is related to different molecules. Since CL also belongs to the anionic PLs, the LL-37 interactions with this compound could be responsible for model membrane disruption. In addition, the LL-37 peptide tends to bind to the high-curvature membrane regions that are characteristic of cardiolipin-rich regions [36]. Similar CL content in the mixtures of PLs isolated from the non-supplemented and choline-supplemented L. dumoffii bacteria is consistent with the statement that no significant differences between the films with the addition of the peptide are observed (Figure 1, Figure 2, Figure 3 and Figure 4). This also indicates that the PC/PE ratio is not significant for the human cathelicidin interactions with model L. dumoffii membranes.
Although the lipid headgroup charge is still the focal point of consideration, it is not the decisive factor, compared to the other lipid properties (such as H-bonding ability, packing density, molecular shape, and hydrocarbon chain length), for the interactions of the peptide with the model membranes [29,37]. The diverse behavior of LL-37 is justified by a balance between the hydrocarbon chain length and the electrostatic interactions responsible for different penetration depths of the peptide [37]. LL-37 is most active in the lipid bilayers containing longer, unsaturated lipids. Similarly, magainin-2 incorporates into the bilayers to a higher degree with longer, unsaturated alkyl chains [35]. In the analyzed L. dumoffii phospholipid mixtures, saturated chains are predominant among the individual PL classes with the exception of CL, comprising the greater amount of unsaturated acids [19]. In non-supplemented and choline-supplemented L. dumoffii bacteria, the fatty acid composition does not differ significantly; thus, the comparable LL-37 effect is observed for both model membranes (Figure 1, Figure 2, Figure 3 and Figure 4).
5. Conclusions
In this study, the physicochemical properties of monolayers composed of phospholipids isolated from L. dumoffii bacteria grown with and without the exogenous choline, as well as the LL-37 peptide’s influence on the behavior of PL molecules on the subphase surface, were analyzed. The presence of choline in the growth medium, determining the composition of phospholipids in the L. dumoffii membrane, changes the properties of model PL membranes. The monolayers formed by lipids extracted from bacteria grown on the media with and without exogenous choline differ in the degree of packing and the ordering of molecules. The LL-37 peptide interacts with the phospholipids in the monolayer, disrupting its structure. Larger expansion and alteration in the organization of the molecules confirm the antibacterial action of the human cathelicidin. The observed effect of the LL-37 peptide is similar in both analyzed monolayers due to the constant content of cardiolipin and similar fatty acid composition, both of which are suspected to define the peptide–monolayer interactions in L. dumoffii model membranes.
Author Contributions
Conceptualization, M.J. and M.P.-S.; Investigation, M.J., K.P., B.K., J.T. and M.P.-S.; Resources, B.K., J.T. and M.P.-S.; Writing—original draft, K.P., M.J. and M.P.-S.; Writing—review and editing, M.J. and M.P.-S.; Visualization, K.P. and J.T.; Supervision, M.J. and M.P.-S. All authors have read and agreed to the published version of the manuscript.
Funding
This research received no external funding.
Institutional Review Board Statement
Not applicable.
Informed Consent Statement
Not applicable.
Data Availability Statement
Not applicable.
Conflicts of Interest
The authors declare no conflict of interest. The funders had no role in the design of the study; in the collection, analyses, or interpretation of data; in the writing of the manuscript; or in the decision to publish the results.
References
- Correia, A.M.; Ferreira, J.S.; Borges, V.; Nunes, A.; Gomes, B.; Capucho, R.; Gonçalves, J.; Antunes, D.M.; Almeida, S.; Mendes, A.; et al. Probable person-to-person transmission of Legionnaires’ disease. N. Engl. J. Med. 2016, 374, 497–498. [Google Scholar] [CrossRef]
- Euzeby, J.P. List of Prokaryotic Names with Standing in Nomenclature Genus Legionella. Available online: https://www.bacterio.net/legionella.html (accessed on 27 February 2023).
- Miyashita, N.; Higa, F.; Aoki, Y.; Kikuchi, T.; Seki, M.; Tateda, K.; Maki, N.; Uchino, K.; Ogasawara, K.; Kiyota, H.; et al. Distribution of Legionella species and serogroups in patients with culture-confirmed Legionella pneumonia. J. Infect. Chemother. 2020, 26, 411–417. [Google Scholar] [CrossRef] [PubMed]
- O’Connell, W.A.; Dhand, L.; Cianciotto, N.P. Infection of macrophage-like cells by Legionella species that have not been associated with disease. Infect. Immun. 1996, 64, 4381–4384. [Google Scholar] [CrossRef] [PubMed]
- Maruta, K.; Miyamoto, H.; Hamada, T.; Ogawa, M.; Taniguchi, H.; Yoshida, S. Entry and intracellular growth of Legionella dumoffii in alveolar epithelial cells. Am. J. Respir. Crit. Care Med. 1998, 157, 1967–1974. [Google Scholar] [CrossRef]
- Bruin, J.P.; Koshkalda, T.; IJzerman, E.P.F.; Luck, C.; Diederen, B.M.W.; Den Boer, J.W.; Mouton, J.W. Isolation of ciprofloxacin-resistant Legionella pneumophila in a patient with severe pneumonia. J. Antimicrob. Chemother. 2014, 69, 2869–2871. [Google Scholar] [CrossRef] [PubMed]
- Ridyard, K.E.; Overhage, J. The potential of human peptide LL-37 as an antimicrobial and anti-biofilm agent. Antibiotics 2021, 10, 650. [Google Scholar] [CrossRef] [PubMed]
- Dutta, I.; Ramesh, S.; Radebe, S.M.; Somboro, A.M.; de la Torre, B.G.; Kruger, H.G.; Essack, S.Y.; Albericio, F.; Govender, T. Optimized microwave assisted synthesis of LL-37, a cathelicidin human antimicrobial peptide. Int. J. Pept. Res. Ther. 2015, 21, 13–20. [Google Scholar] [CrossRef]
- Palusińska-Szysz, M.; Jurak, M.; Gisch, N.; Waldow, F.; Zehethofer, N.; Nehls, C.; Schwudke, D.; Koper, P.; Mazur, A. The human LL-37 peptide exerts antimicrobial activity against Legionella micdadei interacting with membrane phospholipids. Biochim. Biophys. Acta Mol. Cell Biol. Lipids 2022, 1867, 159138. [Google Scholar] [CrossRef]
- Bligh, E.G.; Dyer, J.W. A rapid method of total lipid extraction and purification. Can. J. Biochem. Physiol. 1959, 37, 911–917. [Google Scholar] [CrossRef]
- Davies, J.T.; Rideal, E.K. Interfacial Phenomena; Academic Press: New York, NY, USA, 1963. [Google Scholar]
- Adamson, A.W.; Gast, A.P. Physical Chemistry of Surfaces, 6th ed.; Wiley: New York, NY, USA, 1997. [Google Scholar]
- Dynarowicz-Łatka, P.; Milart, P. Synthesis and Langmuir monolayer characterisation of some nitro derivatives of polyphenyl carboxylic acids. J. Chem. Res. 2009, 2009, 225–228. [Google Scholar] [CrossRef]
- Chachaj-Brekiesz, A.; Kobierski, J.; Wnętrzak, A.; Dynarowicz-Łatka, P. Electrical properties of membrane phospholipids in Langmuir monolayers. Membranes 2021, 11, 53. [Google Scholar] [CrossRef] [PubMed]
- Ohshima, H.; Ohki, S. Donnan potential and surface potential of a charged membrane. Biophys. J. 1985, 47, 673–678. [Google Scholar] [CrossRef] [PubMed]
- Vogel, V.; Möbius, D. Local surface potentials and electric dipole moments of lipid monolayers: Contributions of the water/lipid and the lipid/air interfaces. J. Colloid Interface Sci. 1988, 126, 408–420. [Google Scholar] [CrossRef]
- Oliveira, O.N., Jr.; Bonardi, C. The surface potential of Langmuir monolayers revisited. Langmuir 1997, 13, 5920–5924. [Google Scholar] [CrossRef]
- Oliveira, O.N., Jr.; Riul, A., Jr.; Leite, V.B.P. Water at interfaces and its influence on the electrical properties of adsorbed films. Braz. J. Phys. 2004, 34, 73–83. [Google Scholar] [CrossRef]
- Palusińska-Szysz, M.; Zdybicka-Barabas, A.; Reszczyńska, E.; Luchowski, R.; Kania, M.; Gisch, N.; Waldow, F.; Mak, P.; Danikiewicz, W.; Gruszecki, W.I.; et al. The lipid composition of Legionella dumoffii membrane modulates the interaction with Galleria mellonella apolipophorin III. Biochim. Biophys. Acta 2016, 1861, 617–629. [Google Scholar] [CrossRef]
- Caillon, L.; Nieto, V.; Gehan, P.; Omrane, M.; Rodriguez, N.; Monticelli, L.; Thiam, A.R. Triacylglycerols sequester monotopic membrane proteins to lipid droplets. Nat. Commun. 2020, 11, 1–12. [Google Scholar] [CrossRef]
- Möhwald, H. Phospholipid and phospholipid-protein monolayers at the air/water interface. Annu. Rev. Phys. Chem. 1990, 41, 441–476. [Google Scholar] [CrossRef]
- Suetsugu, S.; Kurisu, S.; Takenawa, T. Dynamic shaping of cellular membranes by phospholipids and membrane-deforming proteins. Physiol. Rev. 2014, 94, 1219–1248. [Google Scholar] [CrossRef]
- Ridgway, N.D. Phospholipid synthesis in mammalian cells. In Biochemistry of Lipids, Lipoproteins and Membranes, 6th ed.; Elsevier: Amsterdam, The Netherlands, 2016; pp. 209–236. [Google Scholar] [CrossRef]
- Leekumjorn, S.; Sum, A.K. Molecular simulation study of structural and dynamic properties of mixed DPPC/DPPE bilayers. Biophys. J. 2006, 90, 3951–3965. [Google Scholar] [CrossRef]
- Phan, M.D.; Shin, K. Effects of cardiolipin on membrane morphology: A Langmuir monolayer study. Biophys. J. 2015, 108, 1977–1986. [Google Scholar] [CrossRef] [PubMed]
- Epand, R.M.; Epand, R.F. Domains in bacterial membranes and the action of antimicrobial agents. Mol. Biosyst. 2009, 6, 580–587. [Google Scholar] [CrossRef] [PubMed]
- Xhindoli, D.; Pacor, S.; Benincasa, M.; Scocchi, M.; Gennaro, R.; Tossi, A. The human cathelicidin LL-37—A pore-forming antibacterial peptide and host-cell modulator. Biochim. Biophys. Acta (BBA)-Biomembr. 2016, 1858, 546–566. [Google Scholar] [CrossRef]
- Neville, F.; Cahuzac, M.; Konovalov, O.; Ishitsuka, Y.; Lee, K.Y.C.; Kuzmenko, I.; Kale, G.M.; Gidalevitz, D. Lipid headgroup discrimination by antimicrobial peptide LL-37: Insight into mechanism of action. Biophys. J. 2006, 90, 1275–1287. [Google Scholar] [CrossRef] [PubMed]
- Sevcsik, E.; Pabst, G.; Richter, W.; Danner, S.; Amenitsch, H.; Lohner, K. Interaction of LL-37 with model membrane systems of different complexity: Influence of the lipid matrix. Biophys. J. 2008, 94, 4688–4699. [Google Scholar] [CrossRef] [PubMed]
- Shahmiri, M.; Enciso, M.; Adda, C.G.; Smith, B.J.; Perugini, M.A.; Mechler, A. Membrane core-specific antimicrobial action of cathelicidin LL-37 peptide switches between pore and nanofibre formation. Sci. Rep. 2016, 6, 38184. [Google Scholar] [CrossRef] [PubMed]
- Den Hertog, A.L.; van Marle, J.; van Veen, H.A.; van’t Hof, W.; Bolscher, J.G.M.; Veerman, E.C.I.; Amerongen, A.V.N. Candidacidal effects of two antimicrobial peptides: Histatin 5 causes small membrane defects, but LL-37 causes massive disruption of the cell membrane. Biochem. J. 2005, 388, 689–695. [Google Scholar] [CrossRef]
- Wildman, K.A.H.; Ramamoorthy, D.-K.L.A. Mechanism of lipid bilayer disruption by the human antimicrobial peptide, LL-37. Biochemistry 2003, 42, 6545–6558. [Google Scholar] [CrossRef]
- Febriza, A.; Hatta, M.; Natzir, R.; Kasim, V.N.A.; Idrus, H.H. Activity of antimicrobial peptide, cathelicidin, on bacterial infection. Open Biochem. J. 2019, 13, 45–53. [Google Scholar] [CrossRef]
- Ciumac, D.; Campbell, R.A.; Xu, H.; Clifton, L.A.; Hughes, A.V.; Webster, J.R.; Lu, J.R. Implications of lipid monolayer charge characteristics on their selective interactions with a short antimicrobial peptide. Colloids Surf. B Biointerfaces 2017, 150, 308–316. [Google Scholar] [CrossRef]
- Walker, L.R.; Marty, M.T. Lipid tails modulate antimicrobial peptide membrane incorporation and activity. Biochim. Biophys. Acta (BBA)-Biomembr. 2022, 1864, 183870. [Google Scholar] [CrossRef] [PubMed]
- Rashid, R.; Veleba, M.; Kline, K.A. Focal targeting of the bacterial envelope by antimicrobial peptides. Front. Cell Dev. Biol. 2016, 4, 55. [Google Scholar] [CrossRef] [PubMed]
- Sevcsik, E.; Pabst, G.; Jilek, A.; Lohner, K. How lipids influence the mode of action of membrane-active peptides. Biochim. Biophys. Acta (BBA)-Biomembr. 2007, 1768, 2586–2595. [Google Scholar] [CrossRef] [PubMed]
Disclaimer/Publisher’s Note: The statements, opinions and data contained in all publications are solely those of the individual author(s) and contributor(s) and not of MDPI and/or the editor(s). MDPI and/or the editor(s) disclaim responsibility for any injury to people or property resulting from any ideas, methods, instructions or products referred to in the content. |
© 2023 by the authors. Licensee MDPI, Basel, Switzerland. This article is an open access article distributed under the terms and conditions of the Creative Commons Attribution (CC BY) license (https://creativecommons.org/licenses/by/4.0/).




