Synthesis of Low Density and High Purity Silica Xerogels from South African Sugarcane Leaves without the Usage of a Surfactant
Abstract
1. Introduction
2. Materials and Methods
2.1. Materials
2.2. Methods
2.2.1. Experimental
2.2.2. Characterization of Silica Xerogels
3. Results and Discussion
3.1. FTIR Analysis of the Silica Xerogels
3.2. XRD Analysis
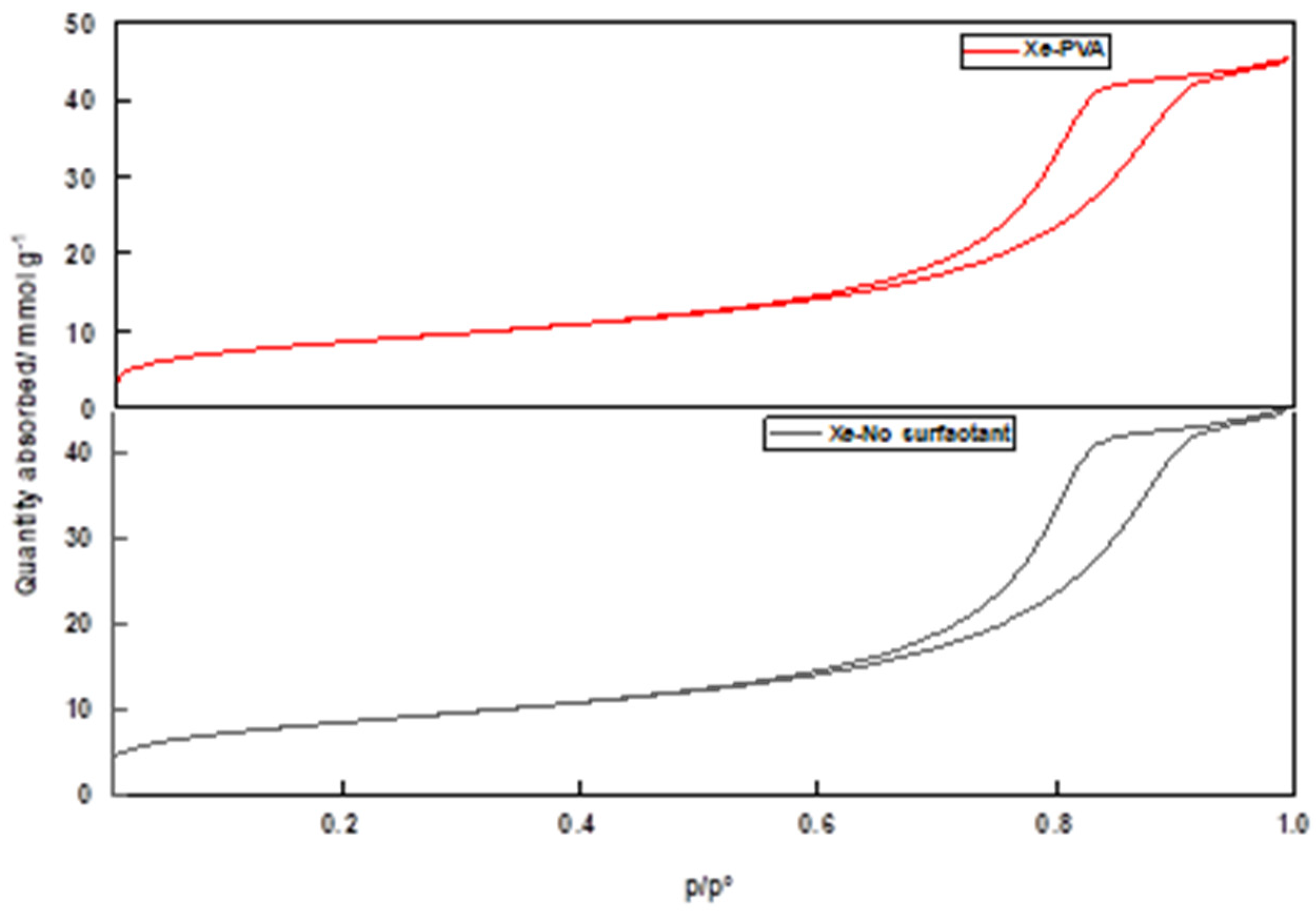
3.3. Properties of the Pore System
3.4. Elemental Analysis
3.5. SEM and TEM Analysis
4. Conclusions
Author Contributions
Funding
Acknowledgments
Conflicts of Interest
References
- Maseko, N.N.; Schneider, D.; Wassersleben, S.; Enke, D.; Iwarere, S.A.; Pocock, J.; Stark, A. The production of biogenic silica from different South African agricultural residues through a thermo-chemical treatment method. Sustainability 2021, 13, 577. [Google Scholar] [CrossRef]
- Fatimah, I.; Zaenuri, F.U.; Doewandono, L.N.; Yahya, A.; Citradewi, P.W.; Sagadevan, S.; Oh, W.-C. Biogenic Silica Extracted from Salacca Leaf Ash for Salicylic Acid Adsorption. Sci. Technol. Indones. 2021, 6, 296–302. [Google Scholar] [CrossRef]
- Iswara, S.; Malfaita, W.J.; Balogb, S.; Winnefeldc, F.; Lattuadab, M.; Koebela, M.M. Effect of aging on silica aerogel properties. Microporous Mesoporous Mater. 2017, 241, 293–302. [Google Scholar] [CrossRef]
- Kalapathy, U.; Proctor, A.; Shultz, J. An improved method for production of silica from rice hull ash. Bioresour. Technol. 2002, 85, 285–289. [Google Scholar] [CrossRef]
- Al-Oweini, R.; El-Rassy, H. Synthesis and characterization by FTIR spectroscopy of silica aerogels prepared using several Si(OR)4 and R′′Si(OR′)3 precursors. J. Mol. Struct. 2020, 919, 140–145. [Google Scholar] [CrossRef]
- Kaya, G.; Yilmaza, E.; Devecia, H. A Novel Silica Xerogel Synthesized from Volcanic Tuff as an Adsorbent for High Efficient Removal of Methylene Blue: Parameter Optimization Using Taguchi Experimental Design. J. Chem. Technol. Biotechnol. 2019, 94, 2729–2737. [Google Scholar] [CrossRef]
- Li, Z.-D.; Wang, H.-L.; Wei, X.-N.; Liu, X.-Y.; Yang, Y.-F.; Jiang, W.-F. Preparation and photocatalytic performance of magnetic Fe3O4@TiO2 core–shell microspheres supported by silica aerogels from industrial fly ash. J. Alloys Compd. 2016, 659, 240–247. [Google Scholar] [CrossRef]
- Hu, W.; Li, M.; Chen, W.; Zhang, N.; Li, B.; Wang, M.; Zhao, Z. Preparation of hydrophobic silica aerogel with kaolin dried at ambient pressure. Colloid. Surf. A Physicochem. Eng. Asp. 2016, 501, 83–91. [Google Scholar] [CrossRef]
- Gao, G.-M.; Liu, D.-R.; Zou, H.-F.; Zou, L.-C.; Gan, S.-C. Preparation of silica aerogel from oil shale ash by fluidized bed drying. Powder Technol. 2010, 197, 283–287. [Google Scholar] [CrossRef]
- Vareda, J.P.; Durães, L. Functionalized silica xerogels for adsorption of heavy metals from groundwater and soils. J. Sol-Gel Sci. Technol. 2017, 84, 400–408. [Google Scholar] [CrossRef]
- Kalapathy, U.; Proctor, A.; Shultz, J. Silica xerogels from rice hull ash: Structure, density and mechanical strength as affected by gelation pH and silica concentration. Chem. Technol. Biotechnol. 2000, 75, 464–468. [Google Scholar] [CrossRef]
- Kalapathy, U.; Proctor, A.; Shultz, J. A simple method for production of pure silica from rice hull ash. Bioresour. Technol. 2000, 73, 257–262. [Google Scholar] [CrossRef]
- Czarnobaj, K.; Sawicki, W. Influence of surfactants on the release behaviour and structural properties of sol-gel derived silica xerogels embedded with metronidazole. Pharm. Dev. Technol. 2013, 18, 377–383. [Google Scholar] [CrossRef] [PubMed]
- Estella, J.; Echeverria, J.; Laguna, M.; Garrido, J. Effects of aging and drying conditions on the structural and textural properties of silica gels. Microporous Mesoporous Mater. 2007, 102, 274–282. [Google Scholar] [CrossRef]
- Jabariyan, S.; Zanjanchi, M.A. A simple and fast sonication procedure to remove surfactant templates from mesoporous MCM-41. Ultrason. Sonochemistry 2012, 19, 1087–1093. [Google Scholar] [CrossRef]
- De Vasconcelos, A.B.P.; Silva, W.E.; Belian, M.F. PH dependent drug delivery based on silica xerogel. J. Chil. Chem. Soc. 2017, 62, 3700–3702. [Google Scholar] [CrossRef]
- Darmakkolla, S.R.; Trana, H.; Gupta, A.; Blackwell, J.; Rananavare, S.B. A method to derivatize surface silanol groups to Si-alkyl groups in carbon-doped silicon oxides. R. Soc. Chem. Adv. 2016, 6, 93219–93230. [Google Scholar] [CrossRef]
- Rovani, S.; Santos, J.J.; Corio, P.; Fungaro, D.A. Highly Pure Silica Nanoparticles with High Adsorption capacity obtained from Sugarcane Waste Ash. ACS Omega 2018, 3, 2618–2627. [Google Scholar] [CrossRef] [PubMed]
- Li, M.; Jiang, H.; Xu, D.; Hai, O.; Zheng, W. Low density and hydrophobic silica aerogels dried under ambient pressure using a new co-precursor method. J. Non-Cryst. Solids 2016, 452, 187–193. [Google Scholar] [CrossRef]
- Shim, J.; Velmurugan, P.; Oh, B.-T. Extraction and physical characterization of amorphous silica made from corn cob ash at variable pH conditions via sol gel processing. J. Ind. Eng. Chem. 2015, 30, 249–253. [Google Scholar] [CrossRef]
- Blond, J.S.L.; Horwell, C.J.; Williamson, B.J.; Oppenheimer, C. Generation of crystalline silica from sugarcane burning. J. Environ. Monit. 2010, 12, 1459–1470. [Google Scholar] [CrossRef] [PubMed]
- Liu, G.; Yang, R.; Li, M. Liquid adsorption of basic dye using silica aerogels with different textural properties. J. Non-Cryst. Solids 2010, 356, 250–257. [Google Scholar] [CrossRef]
- Thommes, M.; Kanelo, K.; Neimark, A.; Olivier, J.; Rodriguez-Reinoso, F.; Rouquerol, J.; Sing, K. Physisorption of gases, with special reference to the evaluation of surface area and pore size distribution (IUPAC Technical Report). Pure Appl. Chem. 2015, 87, 1051–1069. [Google Scholar] [CrossRef]
- Alyosef, H.A.; Schneider, D.; Wassersleben, S.; Roggendorf, H.; Weiß, M.; Eilert, A.; Denecke, R.; Hartmann, I.; Enke, D. Meso/Macroporous Silica from Miscanthus, Cereal Remnant Pellets, and Wheat Straw. ACS Sustain. Chem. Eng. 2015, 3, 2012–2021. [Google Scholar] [CrossRef]
- Alyosef, H.A.; Ibrahim, S.; Welscher, J.; Inayat, A.; Eilert, A.; Denecke, R.; Schwieger, W.; Münster, T.; Kloess, G.; Einicke, W.-D.; et al. Effect of acid treatment on the chemical composition and the structure of Egyptian diatomite. Int. J. Miner. Process. 2014, 132, 17–25. [Google Scholar] [CrossRef]
- Schneider, D.; Wassersleben, S.; Weiß, M.; Denecke, R.; Stark, A.; Enke, D. A Generalized Procedure for the Production of High-Grade, Porous Biogenic Silica. Waste Biomass Valoriz. 2018, 11, 1–15. [Google Scholar] [CrossRef]
- Kumar, R.; Bhattacharjee, B. Porosity, pore size distribution and in situ strength of concrete. Cem. Concr. Res. 2003, 33, 155–164. [Google Scholar] [CrossRef]
- Purnawira, B.; Purwaningsih, H.; Ervianto, Y.; Pratiwi, V.; Rochiem, R.; Purniawan, A. Synthesis and characterization of mesoporous silica nanoparticles (MSNp) MCM 41 from natural waste rice husk. IOP Conf. Ser. Mater. Sci. Eng. 2019, 541, 012018. [Google Scholar] [CrossRef]
- Purwaningsih, H.; Ervianto, Y.; Pratiwi, V.M.; Susanti, D.; Purniawan, A. Effect of Cetyl Trimethyl Ammonium Bromide as Template of Mesoporous Silica MCM-41 from Rice Husk by Sol-Gel Method. IOP Conf. Ser. Mater. Sci. Eng. 2019, 515, 012051. [Google Scholar] [CrossRef]
- Guo, Y.; Gou, K.; Yang, B.; Wang, Y.; Pu, X.; Li, S.; Li, H. Enlarged Pore Size Chiral Mesoporous Silica Nanoparticles Loaded Poorly Water-Soluble Drug Perform Superior Delivery Effect. Molecules 2019, 24, 3552. [Google Scholar] [CrossRef]
- Imoisili, P.E.; Ukoba, K.O.; Jen, T.-C. Green technology extraction and characterisation of silica nanoparticles from palm kernel shell ash via sol–gel. J. Mater. Sci. Technol. 2020, 9, 307–313. [Google Scholar] [CrossRef]
- Prempeh, C.O.; Formann, S.; Hartmann, I.; Nelles, M. An improved method for the production of biogenic silica from cornhusk using sol–gel polymeric route. Biomass Convers. Biorefin. 2022, 1–11. [Google Scholar] [CrossRef]
- Hassan, A.F.; Abdelghny, A.M.; Elhadidy, H.; Youssef, A.M. Synthesis and characterization of high surface area nanosilica from rice husk ash by surfactant-free sol–gel method. J. Sol-Gel Sci. Technol. 2013, 69, 465–472. [Google Scholar] [CrossRef]
- Affandi, S.; Setyawan, H.; Winardi, S.; Purwanto, A.; Balgis, R. A facile method for production of high-purity silica xerogels from bagasse ash. Adv. Powder Technol. 2009, 20, 468–472. [Google Scholar] [CrossRef]
- Norsuraya, S.; Fazlena, H.; Norhasyimi, R. Sugarcane Bagasse as a Renewable Source of Silica to Synthesize Santa Barbara Amorphous-15 (SBA-15). Procedia Eng. 2016, 148, 839–846. [Google Scholar] [CrossRef]
- Setyawan, N.; Wulanawati, A. Simple extraction of silica nanoparticles from rice husk using technical grade solvent: Effect of volume and concentration. IOP Conf. Ser. Earth Environ. Sci. 2019, 309, 012032. [Google Scholar] [CrossRef]
- Dhaneswara, D.; Fatriansyah, J.F.; Situmorang, F.W.; Haqoh, A.N. Synthesis of Amorphous Silica from Rice Husk Ash: Comparing HCl and CH3COOH Acidification Methods and Various Alkaline Concentrations. Int. J. Technol. 2020, 11, 200–208. [Google Scholar] [CrossRef]
- Sawasdeea, V.; Pisutpaisal, N. Rice Husk Ash Characterization and Utilization as a source of Silica Material. Chem. Eng. Trans. 2022, 93, 79–84. [Google Scholar] [CrossRef]
- Mor, S.; Manchanda, C.K.; Kansal, S.K.; Ravindra, K. Nanosilica extraction from processed agricultural residue using green technology. J. Clean. Prod. 2016, 143, 1284–1290. [Google Scholar] [CrossRef]







| Sample | ABET m2 g−1 | Pore Diameter (nm) | Pore Volume cm3 g−1 |
|---|---|---|---|
| Xe-No surfactant | 668 | 7.5 | 1.25 |
| Xe-PVA | 693 | 9.2 | 1.61 |
| Source of Silica Surfactant Used | BET Surface Area m2 g−1 | Pore Diameter (nm) | Pore Volume cm3 g−1 | Reference |
|---|---|---|---|---|
| TEOS—NA | 441 | 2.2 | 0.36 | Yingyu Guo [30] |
| TMOS—NA | 670 | 4.9 | 0.73 | Czarnobaj et al. [13] |
| TEOS—NA | 697 | nr | 0.42 | Estella [14] |
| volcanic tuff—None | 197 | 10.0 | 0.50 | Kaya [6] |
| Rice husk—CTAB | 768 | 6.1 | 1.17 | Purnawira et al. [28] |
| Salacca Leaf—None | 93 | 1.2 | 0.03 | Fatimah et al. [2] |
| Rice husk—CTAB | 706 | 5.81 | 1.03 | Purwaningsih et al. [29] |
| Palm kernel—None | 438 | 2.2–6.3 | nr | Imoisili et al. [31] |
| Corn cob—None | 57 | 4.7 | 0.67 | Shim et al. [20] |
| Corn husk—None | 384 | 3.8 | 0.35 | Prempeh et al. [32] |
| Rice husk—None | 653 | 2.0 | 0.65 | Hassan [33] |
| Sugarcane waste ash—None | 131 | 2.2 | 1.05 | Rovani et al. [18] |
| Sugarcane bagasse—None | 137 | 3.4 | 0.14 | Affandi et al. [34] |
| Sugarcane bagasse—P123 | 466 | 3.1 | 0.14 | Norsuraya et al. [35] |
| Xerogel | Carbon (%) | Hydrogen (%) | Nitrogen (%) | Sulphur (%) |
|---|---|---|---|---|
| Xe-No surfactant | n.d | 0.09 ± 0.01 | 0.01 ± 0.00 | n.d |
| Xe-PVA | n.d | 0.07 ± 0.01 | 0.01 ± 0.01 | n.d |
| Constituent | Biogenic Silica (wt%) | Xe-No Surfactant (wt%) | Xe-PVA (wt%) |
|---|---|---|---|
| SiO2 | 95.4 | 99.9 | 99.8 |
| Fe2O3 | 0.2 | n.d | n.d |
| P2O5 | 0.4 | n.d | n.d |
| K2O | 0.2 | 0.01 | 0.06 |
| CaO | 2.6 | 0.05 | 0.12 |
| MgO | 0.4 | n.d | n.d |
| SO3 | 0.9 | n.d | n.d |
| Al2O3 | 0.1 | n.d | n.d |
| Others a | 0.0 | 0.0 | 0.0 |
Disclaimer/Publisher’s Note: The statements, opinions and data contained in all publications are solely those of the individual author(s) and contributor(s) and not of MDPI and/or the editor(s). MDPI and/or the editor(s) disclaim responsibility for any injury to people or property resulting from any ideas, methods, instructions or products referred to in the content. |
© 2023 by the authors. Licensee MDPI, Basel, Switzerland. This article is an open access article distributed under the terms and conditions of the Creative Commons Attribution (CC BY) license (https://creativecommons.org/licenses/by/4.0/).
Share and Cite
Maseko, N.N.; Enke, D.; Iwarere, S.A.; Oluwafemi, O.S.; Pocock, J. Synthesis of Low Density and High Purity Silica Xerogels from South African Sugarcane Leaves without the Usage of a Surfactant. Sustainability 2023, 15, 4626. https://doi.org/10.3390/su15054626
Maseko NN, Enke D, Iwarere SA, Oluwafemi OS, Pocock J. Synthesis of Low Density and High Purity Silica Xerogels from South African Sugarcane Leaves without the Usage of a Surfactant. Sustainability. 2023; 15(5):4626. https://doi.org/10.3390/su15054626
Chicago/Turabian StyleMaseko, Ncamisile Nondumiso, Dirk Enke, Samuel Ayodele Iwarere, Oluwatobi Samuel Oluwafemi, and Jonathan Pocock. 2023. "Synthesis of Low Density and High Purity Silica Xerogels from South African Sugarcane Leaves without the Usage of a Surfactant" Sustainability 15, no. 5: 4626. https://doi.org/10.3390/su15054626
APA StyleMaseko, N. N., Enke, D., Iwarere, S. A., Oluwafemi, O. S., & Pocock, J. (2023). Synthesis of Low Density and High Purity Silica Xerogels from South African Sugarcane Leaves without the Usage of a Surfactant. Sustainability, 15(5), 4626. https://doi.org/10.3390/su15054626

