Agricultural Wastes as Renewable Biomass to Remediate Water Pollution
Abstract
1. Introduction
2. Composition of Agricultural Wastes

3. Strategies of Chemical Modifications
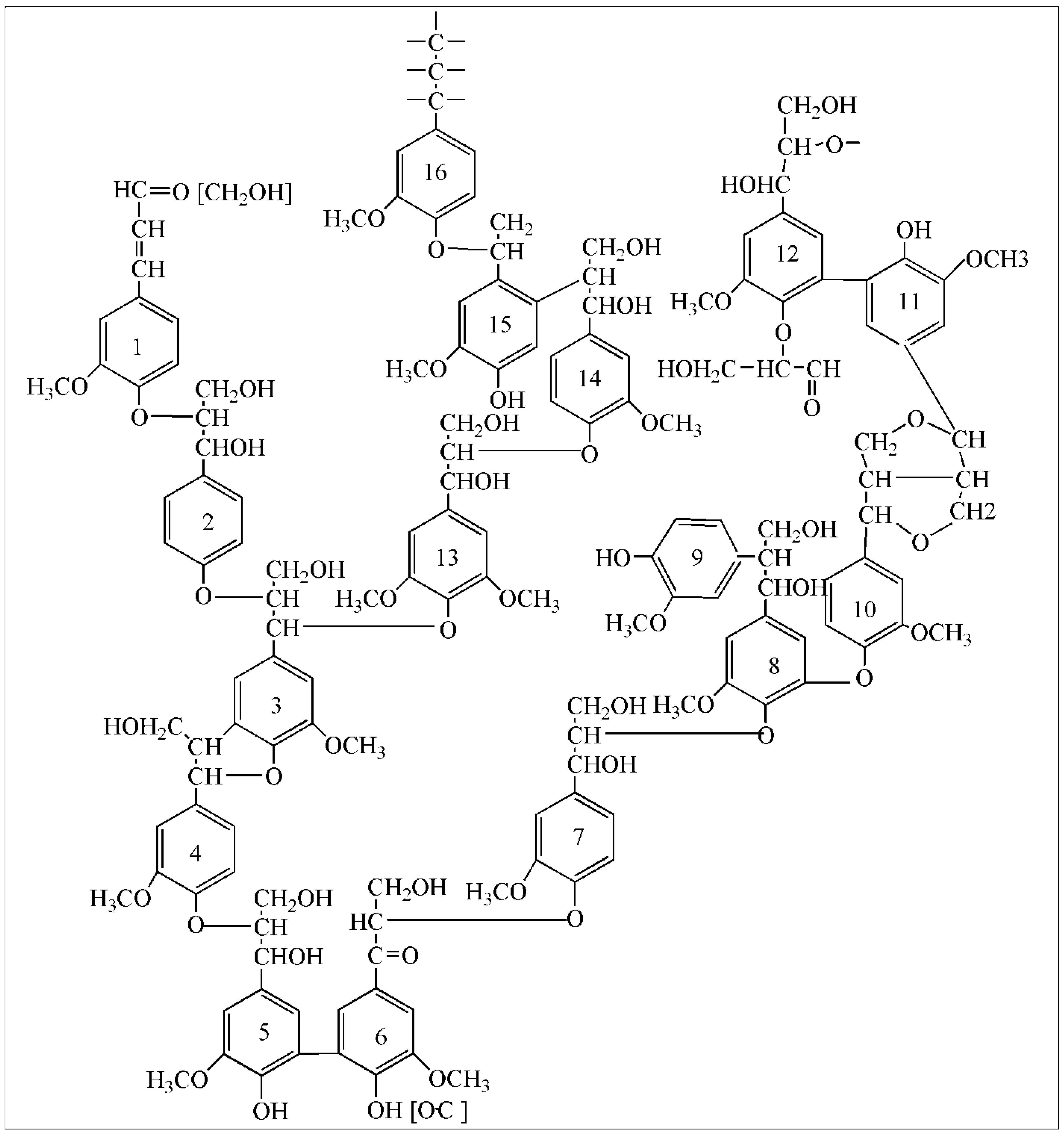
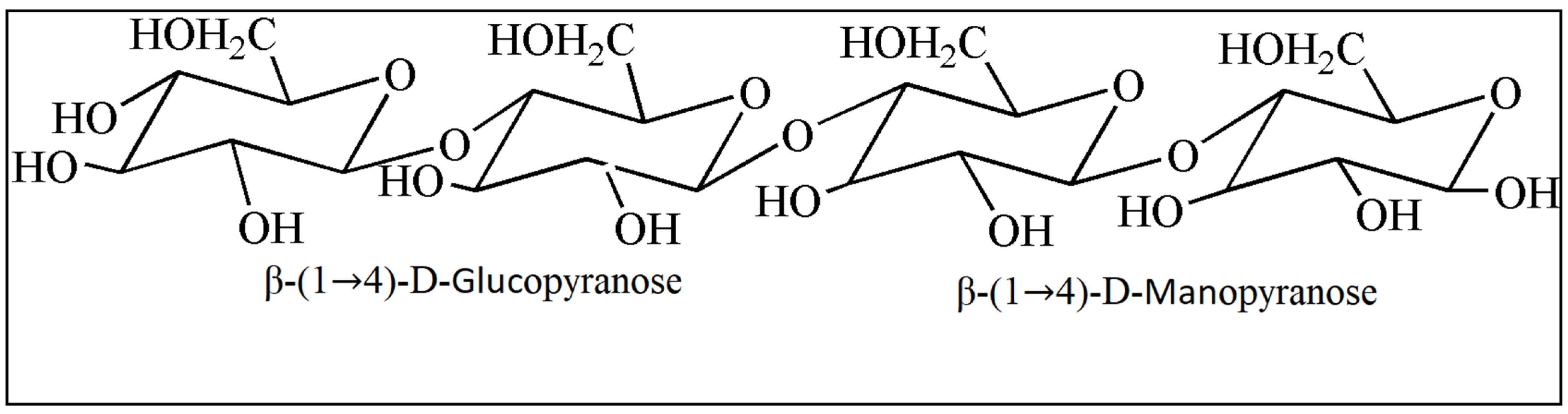
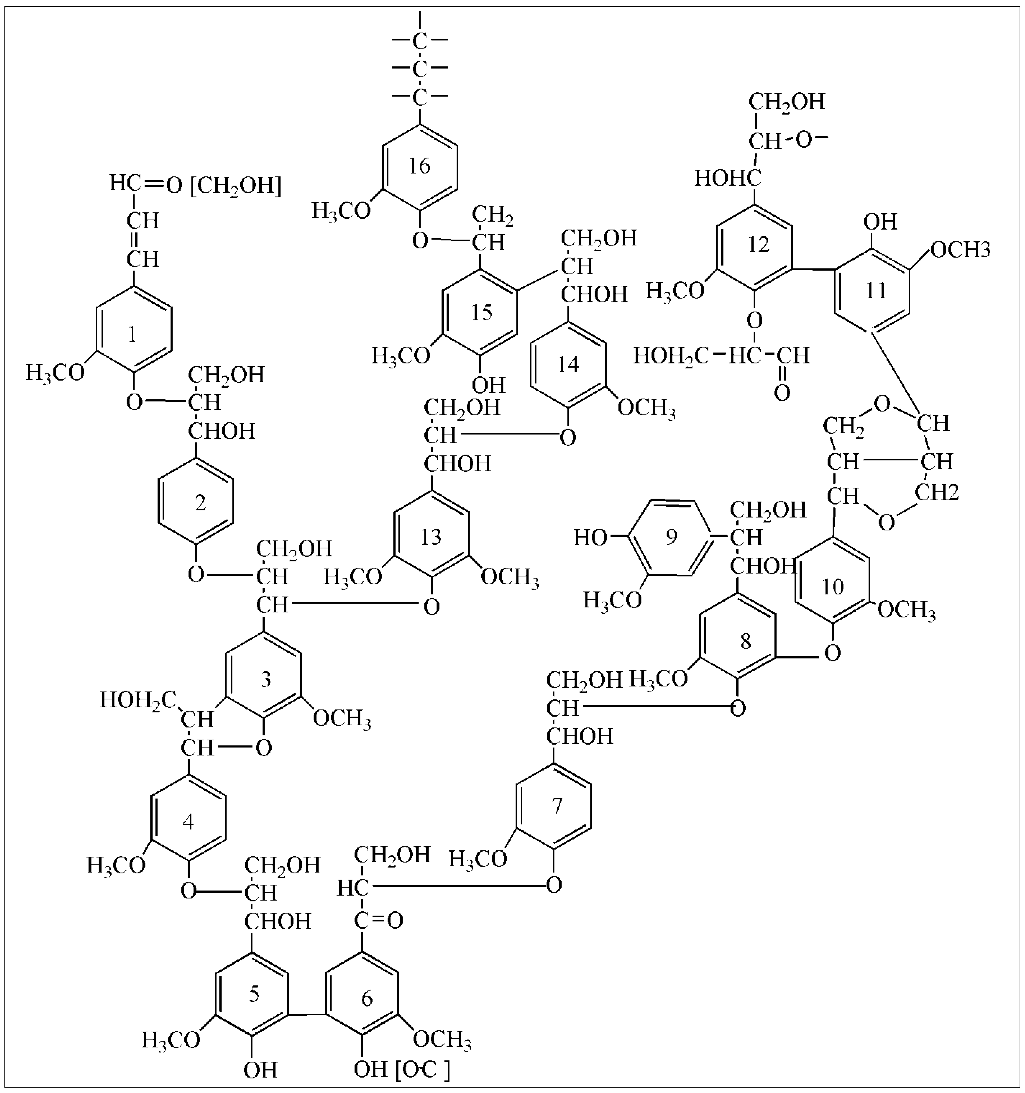
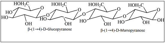
3.1. Extraction of Cellulose from Wood
3.2. Derivatization of Cellulose for Water Treatment
3.2.1. Graft Copolymer from Agricultural Wastes as an Adsorbent
3.2.2. Doped Pulp as Adsorbent
3.2.3. Carboxylated Cellulose as Adsorbent
3.2.4. Activated Carbon from Agricultural Wastes as Adsorbent
Activated Carbon through Physical Methods
Activated Carbon through Chemical Methods
3.2.5. Absorbent Derived from Sol-Gel Synthesis
3.2.6. Hydrogel from Cellulose as Adsorbent
4. Conclusions
Funding
Data Availability Statement
Conflicts of Interest
References
- Bandumula, N. Rice production in Asia: Key to global food security. Proc. Natl. Acad. Sci. India Sect. B Biol. Sci. 2018, 88, 1323–1328. [Google Scholar] [CrossRef]
- Andreichenko, A.V.; Andreichenko, S.S.; Smentyna, N.V. Ensuring Biosphere Balance in the Context of Agricultural Waste Management; ISPC: Lexington, MA, USA, 2021. [Google Scholar]
- Chaudhry, F.N.; Malik, M. Factors affecting water pollution: A review. J. Ecosyst. Ecography 2017, 7, 225–231. [Google Scholar]
- United Nations Organisation-Sustainable Development Goals (2021) Water Action Decade, 2018–2028: Averting a Global Water Crisis. Available online: https://www.un.org/sustainabledevelopment/water-action-decade/ (accessed on 2 February 2023).
- Sweta; Singh, B. A review on heavy metal and metalloid contamination of vegetables: Addressing the global safe food security concern. Int. J. Environ. Anal. Chem. 2022, 1–22. [Google Scholar] [CrossRef]
- Wu, J.; Duan, D.; Lu, J.; Luo, Y.; Wen, X.; Guo, X.; Boman, B.J. Inorganic pollution around the Qinghai-Tibet Plateau: An overview of the current observations. Sci. Total Environ. 2016, 550, 628–636. [Google Scholar] [CrossRef] [PubMed]
- Mousavi, S.M.; Brodie, G.; Payghamzadeh, K.; Raiesi, T.; Srivastava, A.K. Lead (Pb) bioavailability in the environment, its exposure and effects. J. Adv. Environ. Health Res 2022, 10, 1–14. [Google Scholar] [CrossRef]
- Waychunas, G.A.; Kim, C.S.; Banfield, J.F. Nanoparticulate iron oxide minerals in soils and sediments: Unique properties and contaminant scavenging mechanisms. J. Nanoparticle Res. 2005, 7, 409–433. [Google Scholar] [CrossRef]
- Roberts, L.C.; Hug, S.J.; Dittmar, J.; Voegelin, A.; Kretzschmar, R.; Wehrli, B.; Cirpka, O.A.; Saha, G.C.; Ashraf Ali, M.; Badruzzaman, A.B.M. Arsenic release from paddy soils during monsoon flooding. Nat. Geosci. 2010, 3, 53–59. [Google Scholar] [CrossRef]
- Teutsch, N.; Schmid, M.; Müller, B.; Halliday, A.N.; Bürgmann, H.; Wehrli, B. Large iron isotope fractionation at the oxic–anoxic boundary in Lake Nyos. Earth Planet. Sci. Lett. 2009, 285, 52–60. [Google Scholar] [CrossRef]
- Haferburg, G.; Kothe, E. Microbes and metals: Interactions in the environment. J. Basic Microbiol. 2007, 47, 453–467. [Google Scholar] [CrossRef]
- Stich, H.F. The beneficial and hazardous effects of simple phenolic compounds. Mutat. Res./Genet. Toxicol. 1991, 259, 307–324. [Google Scholar] [CrossRef]
- Wang, D.; Zhu, S.; Wang, L.; Zhen, Q.; Han, F.; Zhang, X. Distribution, origins and hazardous effects of polycyclic aromatic hydrocarbons in topsoil surrounding oil fields: A Case study on the Loess Plateau, China. Int. J. Environ. Res. Public Health 2020, 17, 1390. [Google Scholar] [CrossRef] [PubMed]
- Abdel-Shafy, H.I.; Mansour, M.S. A review on polycyclic aromatic hydrocarbons: Source, environmental impact, effect on human health and remediation. Egypt. J. Pet. 2016, 25, 107–123. [Google Scholar] [CrossRef]
- Rengarajan, T.; Rajendran, P.; Nandakumar, N.; Lokeshkumar, B.; Rajendran, P.; Nishigaki, I. Exposure to polycyclic aromatic hydrocarbons with special focus on cancer. Asian Pac. J. Trop. Biomed. 2015, 5, 182–189. [Google Scholar] [CrossRef]
- Chung, K.-T. Azo dyes and human health: A review. J. Environ. Sci. Health Part C 2016, 34, 233–261. [Google Scholar] [CrossRef] [PubMed]
- Manzoor, J.; Sharma, M. Impact of textile dyes on human health and environment. In Impact of Textile Dyes on Public Health and the Environment; IGI Global: Hershey, PA, USA, 2020; pp. 162–169. [Google Scholar]
- Som, I.; Roy, M.; Saha, R. Advances in Nanomaterial-based Water Treatment Approaches for Photocatalytic Degradation of Water Pollutants. ChemCatChem 2020, 12, 3409–3433. [Google Scholar] [CrossRef]
- Cheremisinoff, P.N. Handbook of Water and Wastewater Treatment Technology; Routledge: Oxfordshire, UK, 2019. [Google Scholar]
- Mehmood, R.F.; Khan, S.A.; Khan, E.; Izhar, M.; Samee, A.; Akhter, M.S. Sol-gel silica doped with 3-(2-naphthoyl)-1, 1-dibutylselenourea, an efficient precursor for removal of Pb (II) and Zn (II) from water samples. Int. J. Environ. Anal. Chem. 2022, 1–14. [Google Scholar] [CrossRef]
- Anfar, Z.; Ait Ahsaine, H.; Zbair, M.; Amedlous, A.; Ait El Fakir, A.; Jada, A.; El Alem, N. Recent trends on numerical investigations of response surface methodology for pollutants adsorption onto activated carbon materials: A review. Crit. Rev. Environ. Sci. Technol. 2020, 50, 1043–1084. [Google Scholar] [CrossRef]
- Ioannidou, O.; Zabaniotou, A. Agricultural residues as precursors for activated carbon production—A review. Renew. Sustain. Energy Rev. 2007, 11, 1966–2005. [Google Scholar] [CrossRef]
- Dai, Y.; Sun, Q.; Wang, W.; Lu, L.; Liu, M.; Li, J.; Yang, S.; Sun, Y.; Zhang, K.; Xu, J. Utilizations of agricultural waste as adsorbent for the removal of contaminants: A review. Chemosphere 2018, 211, 235–253. [Google Scholar] [CrossRef]
- Peternele, W.S.; Winkler-Hechenleitner, A.A.; Pineda, E.A.G. Adsorption of Cd (II) and Pb (II) onto functionalized formic lignin from sugar cane bagasse. Bioresour. Technol. 1999, 68, 95–100. [Google Scholar] [CrossRef]
- Sun, R. Cereal Straw as a Resource for Sustainable Biomaterials and Biofuels: Chemistry, Extractives, Lignins, Hemicelluloses and Cellulose; Elsevier: Amsterdam, The Netherlands, 2010. [Google Scholar]
- Sjostrom, E. Wood Chemistry: Fundamentals and Applications; Gulf Professional Publishing: Houston, TX, USA, 1993. [Google Scholar]
- Delmer, D.P. Cellulose biosynthesis: Exciting times for a difficult field of study. Annu. Rev. Plant Biol. 1999, 50, 245. [Google Scholar] [CrossRef] [PubMed]
- Brown, R.M., Jr.; Saxena, I.M.; Kudlicka, K. Cellulose biosynthesis in higher plants. Trends Plant Sci. 1996, 1, 149–156. [Google Scholar]
- Ramírez-Rodríguez, E.A.; McFarlane, H.E. Insights from the structure of a plant cellulose synthase trimer. Trends Plant Sci. 2021, 26, 4–7. [Google Scholar] [CrossRef] [PubMed]
- Isogai, A.; Usuda, M.; Kato, T.; Uryu, T.; Atalla, R.H. Solid-state CP/MAS carbon-13 NMR study of cellulose polymorphs. Macromolecules 1989, 22, 3168–3172. [Google Scholar] [CrossRef]
- Gong, J.; Mo, L.; Li, J. A comparative study on the preparation and characterization of cellulose nanocrystals with various polymorphs. Carbohydr. Polym. 2018, 195, 18–28. [Google Scholar] [CrossRef]
- Neto, W.P.F.; Silvério, H.A.; Dantas, N.O.; Pasquini, D. Extraction and characterization of cellulose nanocrystals from agro-industrial residue–Soy hulls. Ind. Crops Prod. 2013, 42, 480–488. [Google Scholar] [CrossRef]
- Silvério, H.A.; Neto, W.P.F.; Dantas, N.O.; Pasquini, D. Extraction and characterization of cellulose nanocrystals from corncob for application as reinforcing agent in nanocomposites. Ind. Crops Prod. 2013, 44, 427–436. [Google Scholar] [CrossRef]
- Calvino, C.; Macke, N.; Kato, R.; Rowan, S.J. Development, processing and applications of bio-sourced cellulose nanocrystal composites. Prog. Polym. Sci. 2020, 103, 101221. [Google Scholar] [CrossRef]
- Tang, J.; Sisler, J.; Grishkewich, N.; Tam, K.C. Functionalization of cellulose nanocrystals for advanced applications. J. Colloid Interface Sci. 2017, 494, 397–409. [Google Scholar] [CrossRef]
- Eckardt, N.A. Cellulose synthesis takes the CesA train. Plant Cell 2003, 15, 1685–1687. [Google Scholar] [CrossRef]
- Ralph, J.; Lapierre, C.; Boerjan, W. Lignin structure and its engineering. Curr. Opin. Biotechnol. 2019, 56, 240–249. [Google Scholar] [CrossRef] [PubMed]
- Katahira, R.; Elder, T.J.; Beckham, G.T. A Brief Introduction to Lignin Structure; USDA-Forest Service: Auburn, AL, USA, 2018. [Google Scholar]
- Yadav, V.K.; Gupta, N.; Kumar, P.; Dashti, M.G.; Tirth, V.; Khan, S.H.; Yadav, K.K.; Islam, S.; Choudhary, N.; Algahtani, A. Recent advances in synthesis and degradation of lignin and lignin nanoparticles and their emerging applications in nanotechnology. Materials 2022, 15, 953. [Google Scholar] [CrossRef] [PubMed]
- Lin, Q.; Huang, Y.; Yu, W. Effects of extraction methods on morphology, structure and properties of bamboo cellulose. Ind. Crops Prod. 2021, 169, 113640. [Google Scholar] [CrossRef]
- Vincent, S.; Kandasubramanian, B. Cellulose nanocrystals from agricultural resources: Extraction and functionalisation. Eur. Polym. J. 2021, 160, 110789. [Google Scholar] [CrossRef]
- Adler, E. Structural elements of lignin. Ind. Eng. Chem. 1957, 49, 1377–1383. [Google Scholar] [CrossRef]
- Andrade, M.F.; Colodette, J.L. Dissolving pulp production from sugar cane bagasse. Ind. Crops Prod. 2014, 52, 58–64. [Google Scholar] [CrossRef]
- Alén, R. Pulp mills and wood-based biorefineries. In Industrial Biorefineries & White Biotechnology; Elsevier: Amsterdam, The Netherlands, 2015; pp. 91–126. [Google Scholar]
- Fearon, O.; Kuitunen, S.; Ruuttunen, K.S.; Alopaeus, V.; Vuorinen, T. Detailed modeling of kraft pulping chemistry. Delignification. Ind. Eng. Chem. Res. 2020, 59, 12977–12985. [Google Scholar] [CrossRef]
- Higgins, F.; Ho, G. Hydrolysis of cellulose using HCl: A comparison between liquid phase and gaseous phase processes. Agric. Wastes 1982, 4, 97–116. [Google Scholar] [CrossRef]
- Griffin, R.; Ni, Y.; van Heiningen, A. Literature Reports. Tappi. J. 1998, 81, 171–178. [Google Scholar]
- Yoon, S.-H. Solvent-Kraft Pulping and Papermaking Properties of Aspen (Populus Tremuloides) and Spruce (Picea Exelsa); The Pennsylvania State University: Centre County, PA, USA, 1995. [Google Scholar]
- Fengel, D.; Wegener, G. Wood: Chemistry, Ultrastructure, Reactions; Walter de Gruyter: Berlin, Germany, 2011. [Google Scholar]
- Samuelson, O. The Impact of Polysaccharide Chemistry on the Woodpulpindustry, 27th International Congress of Pure and Applied Chemistry; Elsevier: Amsterdam, The Netherlands, 1980; pp. 291–298. [Google Scholar]
- Sun, D.; Sun, S.-C.; Wang, B.; Sun, S.-F.; Shi, Q.; Zheng, L.; Wang, S.-F.; Liu, S.-J.; Li, M.-F.; Cao, X.-F. Effect of various pretreatments on improving cellulose enzymatic digestibility of tobacco stalk and the structural features of co-produced hemicelluloses. Bioresour. Technol. 2020, 297, 122471. [Google Scholar] [CrossRef]
- Zhou, Z.; Ouyang, D.; Liu, D.; Zhao, X. Oxidative pretreatment of lignocellulosic biomass for enzymatic hydrolysis: Progress and challenges. Bioresour. Technol. 2022, 367, 128208. [Google Scholar] [CrossRef] [PubMed]
- Verlhac, C.; Dedier, J.; Chanzy, H. Availability of surface hydroxyl groups in Valonia and bacterial cellulose. J. Polym. Sci. Part A: Polym. Chem. 1990, 28, 1171–1177. [Google Scholar] [CrossRef]
- Haines, A.H. Relative reactivities of hydroxyl groups in carbohydrates. In Advances in Carbohydrate Chemistry and Biochemistry; Elsevier: Amsterdam, The Netherlands, 1976; Volume 33, pp. 11–109. [Google Scholar]
- El-Saied, H.; Basta, A.H.; Barsoum, B.N.; Elberry, M.M. Cellulose membranes for reverse osmosis Part I. RO cellulose acetate membranes including a composite with polypropylene. Desalination 2003, 159, 171–181. [Google Scholar] [CrossRef]
- Ladisch, C.M. Cadoxen solvolysis of cellulose. In Methods in Enzymology; Elsevier: Amsterdam, The Netherlands, 1988; Volume 160, pp. 11–19. [Google Scholar]
- Zhou, L.; Ke, K.; Yang, M.-B.; Yang, W. Recent progress on chemical modification of cellulose for high mechanical-performance Poly (lactic acid)/Cellulose composite: A review. Compos. Commun. 2021, 23, 100548. [Google Scholar] [CrossRef]
- Heise, K.; Delepierre, G.; King, A.W.; Kostiainen, M.A.; Zoppe, J.; Weder, C.; Kontturi, E. Chemical Modification of Reducing End-Groups in Cellulose Nanocrystals. Angew. Chem. Int. Ed. 2021, 60, 66–87. [Google Scholar] [CrossRef] [PubMed]
- Kang, P.H.; Jeun, J.P.; Chung, B.Y.; Kim, J.S.; Nho, Y.C. Preparation and characterization of glycidyl methacrylate (GMA) grafted kapok fiber by using radiation induced-grafting technique. J. Ind. Eng. Chem. 2007, 13, 956–958. [Google Scholar]
- Li, W.; Zhao, X.; Chen, S.; Zhou, X.; Chen, D.; Wang, X. Crosslinking of rayon fibers with co-oligomer of maleic acid and methylacrylate and their responses to water. Carbohydr. Polym. 2008, 73, 223–230. [Google Scholar] [CrossRef]
- Min, T.I.; Inagaki, H. New aspects of graft copolymerization of styrene onto cellulose induced by gamma rays. Polymer 1980, 21, 309–316. [Google Scholar] [CrossRef]
- Abdel-Aal, S.; Gad, Y.; Dessouki, A. The use of wood pulp and radiation-modified starch in wastewater treatment. J. Appl. Polym. Sci. 2006, 99, 2460–2469. [Google Scholar] [CrossRef]
- Singha, A.S.; Guleria, A. Synthesis and applications of functional polymers from natural okra fibers for removal of Cu (II) ions from aqueous solution. J. Nat. Fibers 2015, 12, 587–603. [Google Scholar] [CrossRef]
- Madrid, J.F.; Nuesca, G.M.; Abad, L.V. Amine functionalized radiation-induced grafted water hyacinth fibers for Pb2+, Cu2+ and Cr3+ uptake. Radiat. Phys. Chem. 2014, 97, 246–252. [Google Scholar] [CrossRef]
- Samir, K.; Ibrahim, M.; Sher, A. Decontamination of Manganese and Phenol from Aqueous Media by Sunflower Stems. Int. J. Polym. Mater. 2009, 58, 533. [Google Scholar]
- Hossain, M.M.; Moniruzzaman, M.; Khan, M.A.; Shahjahan, M.; Alam, M.Z.; Jamal, M.S. Preparation of selective ion adsorbent by gamma radiation induced graft copolymerization of n-butyl methacrylate & phosphoric acid on jute fiber. Ind. J. Adv. Chem. Sci. 2014, 2, 146–150. [Google Scholar]
- Kumar, D.; Pandey, J.; Khan, N.; Kumar, P.; Kundu, P.P. Synthesize and characterization of binary grafted psyllium for removing toxic mercury (II) ions from aqueous solution. Mater. Sci. Eng. C 2019, 104, 109900. [Google Scholar] [CrossRef] [PubMed]
- Hajeeth, T.; Sudha, P.; Vijayalakshmi, K.; Gomathi, T. Sorption studies on Cr (VI) removal from aqueous solution using cellulose grafted with acrylonitrile monomer. Int. J. Biol. Macromol. 2014, 66, 295–301. [Google Scholar] [CrossRef]
- Rahman, M.L.; Sarkar, S.M.; Yusoff, M.M.; Abdullah, M.H. Efficient removal of transition metal ions using poly (amidoxime) ligand from polymer grafted kenaf cellulose. RSC Adv. 2016, 6, 745–757. [Google Scholar] [CrossRef]
- Gupta, V.K.; Agarwal, S.; Singh, P.; Pathania, D. Acrylic acid grafted cellulosic Luffa cylindrical fiber for the removal of dye and metal ions. Carbohydr. Polym. 2013, 98, 1214–1221. [Google Scholar] [CrossRef]
- Wang, Y.; Zhang, Y.; Li, Q.; Li, Y.; Cao, L.; Li, W. Amidoximated cellulose fiber membrane for uranium extraction from simulated seawater. Carbohydr. Polym. 2020, 245, 116627. [Google Scholar] [CrossRef]
- Rahman, M.L.; Sarjadi, M.S.; Arshad, S.E.; Yusoff, M.M.; Sarkar, S.M.; Musta, B. Kenaf cellulose-based poly (amidoxime) ligand for adsorption of rare earth ions. Rare Met. 2019, 38, 259–269. [Google Scholar] [CrossRef]
- Abdel-Halim, E.S.; Al-Hoqbani, A.A. Utilization of poly (acrylic acid)/cellulose graft copolymer for dye and heavy metal removal. BioResources 2015, 10, 3112–3130. [Google Scholar] [CrossRef]
- Hakam, A.; Rahman, I.A.; Jamil, M.S.M.; Othaman, R.; Amin, M.; Lazim, A.M. Removal of methylene blue dye in aqueous solution by sorption on a bacterial-g-poly-(acrylic acid) polymer network hydrogel. Sains Malays. 2015, 44, 827–834. [Google Scholar] [CrossRef]
- Hashem, A.; Sokker, H.; Halim, E.A.; Gamal, A. γ-induced graft copolymerization onto cellulosic fabric waste for cationic dye removal. Adsorpt. Sci. Technol. 2005, 23, 455–466. [Google Scholar] [CrossRef]
- Gupta, V.K.; Pathania, D.; Agarwal, S.; Sharma, S. Amputation of congo red dye from waste water using microwave induced grafted Luffa cylindrica cellulosic fiber. Carbohydr. Polym. 2014, 111, 556–566. [Google Scholar] [CrossRef] [PubMed]
- Sharma, G.; Naushad, M.; Pathania, D.; Mittal, A.; El-Desoky, G. Modification of Hibiscus cannabinus fiber by graft copolymerization: Application for dye removal. Desalination Water Treat. 2015, 54, 3114–3121. [Google Scholar] [CrossRef]
- Goel, N.K.; Kumar, V.; Misra, N.; Varshney, L. Cellulose based cationic adsorbent fabricated via radiation grafting process for treatment of dyes waste water. Carbohydr. Polym. 2015, 132, 444–451. [Google Scholar] [CrossRef]
- Kumar, V.; Goel, N.; Bhardwaj, Y.; Sabharwal, S.; Varshney, L. Development of functional adsorbent from textile cotton waste by radiation induced grafting process: Equilibrium and kinetic studies of acid dye adsorption. Sep. Sci. Technol. 2012, 47, 1937–1947. [Google Scholar] [CrossRef]
- Desmet, G.; Takács, E.; Wojnárovits, L.; Borsa, J. Cellulose functionalization via high-energy irradiation-initiated grafting of glycidyl methacrylate and cyclodextrin immobilization. Radiat. Phys. Chem. 2011, 80, 1358–1362. [Google Scholar] [CrossRef]
- Du, J.; Dong, Z.; Pi, Y.; Yang, X.; Zhao, L. Fabrication of cotton linter-based adsorbents by radiation grafting polymerization for humic acid removal from aqueous solution. Polymers 2019, 11, 962. [Google Scholar] [CrossRef]
- Nasef, M.M.; Nallappan, M.; Ujang, Z. Polymer-based chelating adsorbents for the selective removal of boron from water and wastewater: A review. React. Funct. Polym. 2014, 85, 54–68. [Google Scholar] [CrossRef]
- Nishihama, S.; Sumiyoshi, Y.; Ookubo, T.; Yoshizuka, K. Adsorption of boron using glucamine-based chelate adsorbents. Desalination 2013, 310, 81–86. [Google Scholar] [CrossRef]
- Hassan, M.S. Removal of reactive dyes from textile wastewater by immobilized chitosan upon grafted Jute fibers with acrylic acid by gamma irradiation. Radiat. Phys. Chem. 2015, 115, 55–61. [Google Scholar] [CrossRef]
- Li, D.; Zhu, F.Z.; Li, J.Y.; Na, P.; Wang, N. Preparation and characterization of cellulose fibers from corn straw as natural oil sorbents. Ind. Eng. Chem. Res. 2013, 52, 516–524. [Google Scholar] [CrossRef]
- Feng, J.; Nguyen, S.T.; Fan, Z.; Duong, H.M. Advanced fabrication and oil absorption properties of super-hydrophobic recycled cellulose aerogels. Chem. Eng. J. 2015, 270, 168–175. [Google Scholar] [CrossRef]
- Wang, X.; Xu, S.; Tan, Y.; Du, J.; Wang, J. Synthesis and characterization of a porous and hydrophobic cellulose-based composite for efficient and fast oil–water separation. Carbohydr. Polym. 2016, 140, 188–194. [Google Scholar] [CrossRef] [PubMed]
- Onwuka, J.C.; Agbaji, E.B.; Ajibola, V.O.; Okibe, F.G. Treatment of crude oil-contaminated water with chemically modified natural fiber. Appl. Water Sci. 2018, 8, 1–10. [Google Scholar] [CrossRef]
- Gao, Y.; Zhou, Y.; Zhang, X.; Zhang, L.; Qu, P. Synthesis and characteristics of graft copolymers of poly (butyl acrylate) and cellulose with ultrasonic processing as a material for oil absorption. BioResources 2012, 7, 0135–0147. [Google Scholar] [CrossRef]
- Teli, M.; Valia, S.P. Grafting of butyl acrylate on to banana fibers for improved oil absorption. J. Nat. Fibers 2016, 13, 470–476. [Google Scholar] [CrossRef]
- Nwosu, F.; Adediran, G.; Kazeem, S. Chromatography Of Metal Ions On Wood Cellulose Impregnated With Urea And Thiourea. Ife J. Sci. 2007, 9, 145–148. [Google Scholar] [CrossRef]
- Monier, M.; Kenawy, I.; Hashem, M. Synthesis and characterization of selective thiourea modified Hg (II) ion-imprinted cellulosic cotton fibers. Carbohydr. Polym. 2014, 106, 49–59. [Google Scholar] [CrossRef]
- Monier, M.; Akl, M.; Ali, W.M. Modification and characterization of cellulose cotton fibers for fast extraction of some precious metal ions. Int. J. Biol. Macromol. 2014, 66, 125–134. [Google Scholar] [CrossRef]
- Neto, V.O.S.; Carvalho, T.V.; Honorato, S.B.; Gomes, C.L.; Barros, F.C.F.; Araújo-Silva, M.A.; Freire, P.d.T.C.; Nascimento, R.F. Coconut bagasse treated by thiourea/amonium solution for cadmium removal: Kinetic and adsorption equilibrium. BioResources 2012, 7, 1504–1524. [Google Scholar] [CrossRef]
- Ahamad, T.; Naushad, M.; Alhabarah, A.N.; Alshehri, S.M. N/S doped highly porous magnetic carbon aerogel derived from sugarcane bagasse cellulose for the removal of bisphenol-A. Int. J. Biol. Macromol. 2019, 132, 1031–1038. [Google Scholar] [CrossRef] [PubMed]
- He, S.; Shi, G.; Xiao, H.; Sun, G.; Shi, Y.; Chen, G.; Dai, H.; Yuan, B.; Chen, X.; Yang, X. Self S-doping activated carbon derived from lignin-based pitch for removal of gaseous benzene. Chem. Eng. J. 2021, 410, 128286. [Google Scholar] [CrossRef]
- Wang, C.; Wang, H.; Gu, G. Ultrasound-assisted xanthation of cellulose from lignocellulosic biomass optimized by response surface methodology for Pb (II) sorption. Carbohydr. Polym. 2018, 182, 21–28. [Google Scholar] [CrossRef] [PubMed]
- Singha, A.S.; Guleria, A. Utility of chemically modified agricultural waste okra biomass for removal of toxic heavy metal ions from aqueous solution. Eng. Agric. Environ. Food 2015, 8, 52–60. [Google Scholar] [CrossRef]
- Li, M.; Yan, P.; Liu, J.; Pei, Y.; Zheng, X.; Tang, K.; Wang, F. One-step hydrolysis for the preparation of carboxylated cellulose nanofibrils with highly stable dispersibility from pomelo peel. Cellulose 2022, 29, 1609–1621. [Google Scholar] [CrossRef]
- Moussa, I.; Khiari, R.; Moussa, A.; Belgacem, M.N.; Mhenni, M.F. Preparation and characterization of carboxymethyl cellulose with a high degree of substitution from agricultural wastes. Fibers Polym. 2019, 20, 933–943. [Google Scholar] [CrossRef]
- Tang, Y.; Lin, T.; Jiang, C.; Zhao, Y.; Ai, S. Renewable adsorbents from carboxylate-modified agro-forestry residues for efficient removal of methylene blue dye. J. Phys. Chem. Solids 2021, 149, 109811. [Google Scholar] [CrossRef]
- Amirza, M.; Adib, M.; Hamdan, R. Application of Agricultural Wastes Activated Carbon for Dye Removal–An Overview; MATEC web of conferences; EDP Sciences: Les Ulis, France, 2017; p. 06013. [Google Scholar]
- Yunus, Z.M.; Al-Gheethi, A.; Othman, N.; Hamdan, R.; Ruslan, N.N. Advanced methods for activated carbon from agriculture wastes; a comprehensive review. Int. J. Environ. Anal. Chem. 2022, 102, 134–158. [Google Scholar] [CrossRef]
- Heidarinejad, Z.; Dehghani, M.H.; Heidari, M.; Javedan, G.; Ali, I.; Sillanpää, M. Methods for preparation and activation of activated carbon: A review. Environ. Chem. Lett. 2020, 18, 393–415. [Google Scholar] [CrossRef]
- Köseoğlu, E.; Akmil-Başar, C. Preparation, structural evaluation and adsorptive properties of activated carbon from agricultural waste biomass. Adv. Powder Technol. 2015, 26, 811–818. [Google Scholar] [CrossRef]
- Malesic-Eleftheriadou, N.; Liakos, E.V.; Evgenidou, E.; Kyzas, G.Z.; Bikiaris, D.N.; Lambropoulou, D.A. Low-cost agricultural wastes (orange peels) for the synthesis and characterization of activated carbon biosorbents in the removal of pharmaceuticals in multi-component mixtures from aqueous matrices. J. Mol. Liq. 2022, 368, 120795. [Google Scholar] [CrossRef]
- Hesas, R.H.; Daud, W.M.A.W.; Sahu, J.; Arami-Niya, A. The effects of a microwave heating method on the production of activated carbon from agricultural waste: A review. J. Anal. Appl. Pyrolysis 2013, 100, 1–11. [Google Scholar] [CrossRef]
- Ukanwa, K.S.; Patchigolla, K.; Sakrabani, R.; Anthony, E.; Mandavgane, S. A review of chemicals to produce activated carbon from agricultural waste biomass. Sustainability 2019, 11, 6204. [Google Scholar] [CrossRef]
- Blachnio, M.; Derylo-Marczewska, A.; Charmas, B.; Zienkiewicz-Strzalka, M.; Bogatyrov, V.; Galaburda, M. Activated carbon from agricultural wastes for adsorption of organic pollutants. Molecules 2020, 25, 5105. [Google Scholar] [CrossRef] [PubMed]
- Yakout, S.; El-Deen, G.S. Characterization of activated carbon prepared by phosphoric acid activation of olive stones. Arab. J. Chem. 2016, 9, S1155–S1162. [Google Scholar] [CrossRef]
- Ozdemir, I.; Şahin, M.; Orhan, R.; Erdem, M. Preparation and characterization of activated carbon from grape stalk by zinc chloride activation. Fuel Process. Technol. 2014, 125, 200–206. [Google Scholar] [CrossRef]
- Tsubouchi, N.; Nishio, M.; Mochizuki, Y. Role of nitrogen in pore development in activated carbon prepared by potassium carbonate activation of lignin. Appl. Surf. Sci. 2016, 371, 301–306. [Google Scholar] [CrossRef]
- Islam, M.A.; Tan, I.; Benhouria, A.; Asif, M.; Hameed, B. Mesoporous and adsorptive properties of palm date seed activated carbon prepared via sequential hydrothermal carbonization and sodium hydroxide activation. Chem. Eng. J. 2015, 270, 187–195. [Google Scholar] [CrossRef]
- Hui, T.S.; Zaini, M.A.A. Potassium hydroxide activation of activated carbon: A commentary. Carbon Lett. 2015, 16, 275–280. [Google Scholar] [CrossRef]
- Al Bahri, M.; Calvo, L.; Gilarranz, M.; Rodríguez, J.J. Activated carbon from grape seeds upon chemical activation with phosphoric acid: Application to the adsorption of diuron from water. Chem. Eng. J. 2012, 203, 348–356. [Google Scholar] [CrossRef]
- Isoda, N.; Rodrigues, R.; Silva, A.; Gonçalves, M.; Mandelli, D.; Figueiredo, F.C.A.; Carvalho, W.A. Optimization of preparation conditions of activated carbon from agriculture waste utilizing factorial design. Powder Technol. 2014, 256, 175–181. [Google Scholar] [CrossRef]
- Ratan, J.K.; Kaur, M.; Adiraju, B. Synthesis of activated carbon from agricultural waste using a simple method: Characterization, parametric and isotherms study. Mater. Today Proc. 2018, 5, 3334–3345. [Google Scholar] [CrossRef]
- Mahmudi, M.; Arsad, S.; Amelia, M.C.; Rohmaningsih, H.A.; Prasetiya, F.S. An alternative activated carbon from agricultural waste on chromium removal. J. Ecol. Eng. 2020, 21, 1–9. [Google Scholar] [CrossRef]
- Mehrabinia, P.; Ghanbari-Adivi, E. Examining nitrate surface absorption method from polluted water using activated carbon of agricultural wastes. Model. Earth Syst. Environ. 2022, 8, 1553–1561. [Google Scholar] [CrossRef]
- Wu, H.-Y.; Chen, S.S.; Liao, W.; Wang, W.; Jang, M.-F.; Chen, W.-H.; Ahamad, T.; Alshehri, S.M.; Hou, C.-H.; Lin, K.-S. Assessment of agricultural waste-derived activated carbon in multiple applications. Environ. Res. 2020, 191, 110176. [Google Scholar] [CrossRef]
- Liu, X.; Xu, X.; Dong, X.; Park, J. Competitive adsorption of heavy metal ions from aqueous solutions onto activated carbon and agricultural waste materials. Pol. J. Environ. Stud. 2020, 29, 749–761. [Google Scholar] [CrossRef]
- Su, Y.-f.; Cheng, Y.-l.; Shih, Y.-H. Removal of trichloroethylene by zerovalent iron/activated carbon derived from agricultural wastes. J. Environ. Manag. 2013, 129, 361–366. [Google Scholar] [CrossRef]
- Özsin, G.; Kılıç, M.; Apaydın-Varol, E.; Pütün, A.E. Chemically activated carbon production from agricultural waste of chickpea and its application for heavy metal adsorption: Equilibrium, kinetic, and thermodynamic studies. Appl. Water Sci. 2019, 9, 56. [Google Scholar] [CrossRef]
- Ghorbani, F.; Kamari, S.; Zamani, S.; Akbari, S.; Salehi, M. Optimization and modeling of aqueous Cr (VI) adsorption onto activated carbon prepared from sugar beet bagasse agricultural waste by application of response surface methodology. Surf. Interfaces 2020, 18, 100444. [Google Scholar] [CrossRef]
- Ogbodo, N.O.; Asadu, C.O.; Ezema, C.A.; Onoh, M.I.; Elijah, O.C.; Ike, I.S.; Onoghwarite, O.E. Preparation and Characterization of activated carbon from agricultural waste (Musa-paradisiaca peels) for the remediation of crude oil contaminated water. J. Hazard. Mater. Adv. 2021, 2, 100010. [Google Scholar] [CrossRef]
- Habeeb, O.A.; Kanthasamy, R.; Saber, S.E.M.; Olalere, O.A. Characterization of agriculture wastes based activated carbon for removal of hydrogen sulfide from petroleum refinery waste water. Mater. Today: Proc. 2020, 20, 588–594. [Google Scholar] [CrossRef]
- Canales-Flores, R.; Prieto-García, F. Taguchi optimization for production of activated carbon from phosphoric acid impregnated agricultural waste by microwave heating for the removal of methylene blue. Diam. Relat. Mater. 2020, 109, 108027. [Google Scholar] [CrossRef]
- Sapawe, N.; Osman, N.S.; Zakaria, M.Z.; Fikry, S.A.S.S.M.; Aris, M.A.M. Synthesis of green silica from agricultural waste by sol-gel method. Mater. Today Proc. 2018, 5, 21861–21866. [Google Scholar] [CrossRef]
- Le, V.H.; Thuc, C.N.H.; Thuc, H.H. Synthesis of silica nanoparticles from Vietnamese rice husk by sol–gel method. Nanoscale Res. Lett. 2013, 8, 1–10. [Google Scholar] [CrossRef] [PubMed]
- Durairaj, K.; Senthilkumar, P.; Velmurugan, P.; Dhamodaran, K.; Kadirvelu, K.; Kumaran, S. Sol-gel mediated synthesis of silica nanoparticle from Bambusa vulgaris leaves and its environmental applications: Kinetics and isotherms studies. J. Sol-Gel Sci. Technol. 2019, 90, 653–664. [Google Scholar] [CrossRef]
- Benvenuti, J.; Giraldi Fisch, A.; Zimnoch Dos Santos, J.H.; Gutterres, M. Hybrid sol–gel silica adsorbent material based on grape stalk applied to cationic dye removal. Environ. Prog. Sustain. Energy 2020, 39, e13398. [Google Scholar] [CrossRef]
- Benvenuti, J.; Fisch, A.; dos Santos, J.H.Z.; Gutterres, M. Silica-based adsorbent material with grape bagasse encapsulated by the sol-gel method for the adsorption of Basic Blue 41 dye. J. Environ. Chem. Eng. 2019, 7, 103342. [Google Scholar] [CrossRef]
- Atmani, F.; Yeddou-Mezenner, N.; Bensaadi, Z. A novel activated carbon from sugar scums as an industrial waste for effective Basic Blue 41 dye removal. Biomass Convers Biorefinery 2022, 1–16. [Google Scholar] [CrossRef]
- Bayramoglu, G.; Arica, M.Y. Grafting of regenerated cellulose films with fibrous polymer and modified into phosphate and sulfate groups: Application for removal of a model azo-dye. Colloids Surf. A Physicochem. Eng. Asp. 2021, 614, 126173. [Google Scholar] [CrossRef]
- Chen, Z.; Pan, Y.; Cai, P. Sugarcane cellulose-based composite hydrogel enhanced by g-C3N4 nanosheet for selective removal of organic dyes from water. Int. J. Biol. Macromol. 2022, 205, 37–48. [Google Scholar] [CrossRef] [PubMed]
- El-Bery, H.M.; Saleh, M.; El-Gendy, R.A.; Saleh, M.R.; Thabet, S.M. High adsorption capacity of phenol and methylene blue using activated carbon derived from lignocellulosic agriculture wastes. Sci. Rep. 2022, 12, 5499. [Google Scholar] [CrossRef] [PubMed]
- Gupta, S.; Sireesha, S.; Sreedhar, I.; Patel, C.M.; Anitha, K. Latest trends in heavy metal removal from wastewater by biochar based sorbents. J. Water Process Eng. 2020, 38, 101561. [Google Scholar] [CrossRef]
- Zhang, Y.; Huang, R.; Peng, S.; Ma, Z. MWCNTs/cellulose hydrogels prepared from NaOH/urea aqueous solution with improved mechanical properties. J. Chem. 2015, 2015, 1–8. [Google Scholar] [CrossRef]
- Ma, J.; Li, X.; Bao, Y. Advances in cellulose-based superabsorbent hydrogels. RSC Adv. 2015, 5, 59745–59757. [Google Scholar] [CrossRef]
- Guan, Y.; Bian, J.; Peng, F.; Zhang, X.-M.; Sun, R.-C. High strength of hemicelluloses based hydrogels by freeze/thaw technique. Carbohydr. Polym. 2014, 101, 272–280. [Google Scholar] [CrossRef]
- Stoyneva, V.; Momekova, D.; Kostova, B.; Petrov, P. Stimuli sensitive super-macroporous cryogels based on photo-crosslinked 2-hydroxyethylcellulose and chitosan. Carbohydr. Polym. 2014, 99, 825–830. [Google Scholar] [CrossRef]
- Mohamad, N.; Amin, M.C.I.M.; Pandey, M.; Ahmad, N.; Rajab, N.F. Bacterial cellulose/acrylic acid hydrogel synthesized via electron beam irradiation: Accelerated burn wound healing in an animal model. Carbohydr. Polym. 2014, 114, 312–320. [Google Scholar] [CrossRef]
- Li, S.; Chen, G. Agricultural waste-derived superabsorbent hydrogels: Preparation, performance, and socioeconomic impacts. J. Clean. Prod. 2020, 251, 119669. [Google Scholar] [CrossRef]
- Muya, F.N.; Sunday, C.E.; Baker, P.; Iwuoha, E. Environmental remediation of heavy metal ions from aqueous solution through hydrogel adsorption: A critical review. Water Sci. Technol. 2016, 73, 983–992. [Google Scholar] [CrossRef]
- Mahmoud, G.A.; Abdel-Aal, S.E.; Badway, N.A.; Elbayaa, A.; Ahmed, D. A novel hydrogel based on agricultural waste for removal of hazardous dyes from aqueous solution and reuse process in a secondary adsorption. Polym. Bull. 2017, 74, 337–358. [Google Scholar] [CrossRef]
- Nguyen, H.T.; Van, T.N.; Thi, P.N.; Lan, P.D.T.; Pham, H.T.; Cao, H.T. Low-cost hydrogel derived from agro-waste for veterinary antibiotic removal: Optimization, kinetics, and toxicity evaluation. Environ. Technol. Innov. 2020, 20, 101098. [Google Scholar] [CrossRef]
- Hong, G.-B.; Yu, T.-J.; Lee, H.-C.; Ma, C.-M. Using rice bran hydrogel beads to remove dye from aqueous solutions. Sustainability 2021, 13, 5640. [Google Scholar] [CrossRef]
- Baiya, C.; Nannuan, L.; Tassanapukdee, Y.; Chailapakul, O.; Songsrirote, K. The synthesis of carboxymethyl cellulose-based hydrogel from sugarcane bagasse using microwave-assisted irradiation for selective adsorption of copper (II) ions. Environ. Prog. Sustain. Energy 2019, 38, S157–S165. [Google Scholar] [CrossRef]
- Zhang, H.; Li, G.-W.; Feng, W.; Yao, Z.-Y. Cu (II) Adsorption from Aqueous Solution onto Poly (Acrylic Acid/Chestnut Shell Pigment) Hydrogel. Water 2022, 14, 3500. [Google Scholar] [CrossRef]
- Flores-Céspedes, F.; Villafranca-Sánchez, M.; Fernández-Pérez, M. Alginate-based hydrogels modified with olive pomace and lignin to removal organic pollutants from aqueous solutions. Int. J. Biol. Macromol. 2020, 153, 883–891. [Google Scholar] [CrossRef]
- Dai, H.; Chen, Y.; Ma, L.; Zhang, Y.; Cui, B. Direct regeneration of hydrogels based on lemon peel and its isolated microcrystalline cellulose: Characterization and application for methylene blue adsorption. Int. J. Biol. Macromol. 2021, 191, 129–138. [Google Scholar] [CrossRef]
- Huang, P.-J.; Hwangbo, M.; Chen, Z.; Liu, Y.; Kameoka, J.; Chu, K.-H. Reusable functionalized hydrogel sorbents for removing long-and short-chain perfluoroalkyl acids (PFAAs) and GenX from aqueous solution. ACS Omega 2018, 3, 17447–17455. [Google Scholar] [CrossRef]
- Allouss, D.; Essamlali, Y.; Amadine, O.; Chakir, A.; Zahouily, M. Response surface methodology for optimization of methylene blue adsorption onto carboxymethyl cellulose-based hydrogel beads: Adsorption kinetics, isotherm, thermodynamics and reusability studies. RSC Adv. 2019, 9, 37858–37869. [Google Scholar] [CrossRef]
- Isobe, N.; Chen, X.; Kim, U.-J.; Kimura, S.; Wada, M.; Saito, T.; Isogai, A. TEMPO-oxidized cellulose hydrogel as a high-capacity and reusable heavy metal ion adsorbent. J. Hazard. Mater. 2013, 260, 195–201. [Google Scholar] [CrossRef]
- Sannino, A.; Demitri, C.; Madaghiele, M. Biodegradable cellulose-based hydrogels: Design and applications. Materials 2009, 2, 353–373. [Google Scholar] [CrossRef]








| Cellulose | Glucomannan | Xylan | Other Polysaccharides | Lignin | |
|---|---|---|---|---|---|
| Soft wood | 33–42 | 14–20 | 05–11 | 3–9 | 27–32 |
| Hard wood | 38–51 | 01–4.0 | 14–30 | 2–4 | 21–31 |
Disclaimer/Publisher’s Note: The statements, opinions and data contained in all publications are solely those of the individual author(s) and contributor(s) and not of MDPI and/or the editor(s). MDPI and/or the editor(s) disclaim responsibility for any injury to people or property resulting from any ideas, methods, instructions or products referred to in the content. |
© 2023 by the authors. Licensee MDPI, Basel, Switzerland. This article is an open access article distributed under the terms and conditions of the Creative Commons Attribution (CC BY) license (https://creativecommons.org/licenses/by/4.0/).
Share and Cite
Noor, A.; Khan, S.A. Agricultural Wastes as Renewable Biomass to Remediate Water Pollution. Sustainability 2023, 15, 4246. https://doi.org/10.3390/su15054246
Noor A, Khan SA. Agricultural Wastes as Renewable Biomass to Remediate Water Pollution. Sustainability. 2023; 15(5):4246. https://doi.org/10.3390/su15054246
Chicago/Turabian StyleNoor, Awal, and Sher Ali Khan. 2023. "Agricultural Wastes as Renewable Biomass to Remediate Water Pollution" Sustainability 15, no. 5: 4246. https://doi.org/10.3390/su15054246
APA StyleNoor, A., & Khan, S. A. (2023). Agricultural Wastes as Renewable Biomass to Remediate Water Pollution. Sustainability, 15(5), 4246. https://doi.org/10.3390/su15054246
