Assessing Hydrological Performances of Bioretention Cells to Meet the LID Goals
Abstract
1. Introduction
2. Materials and Methods
2.1. Site Description and Data Source
2.2. Modeled Scenarios
- (1)
- Developed Model
- (2)
- Pre-developed model
- (3)
- Developed with BRCs
2.3. Performances Indicator System
3. Results and Discussion
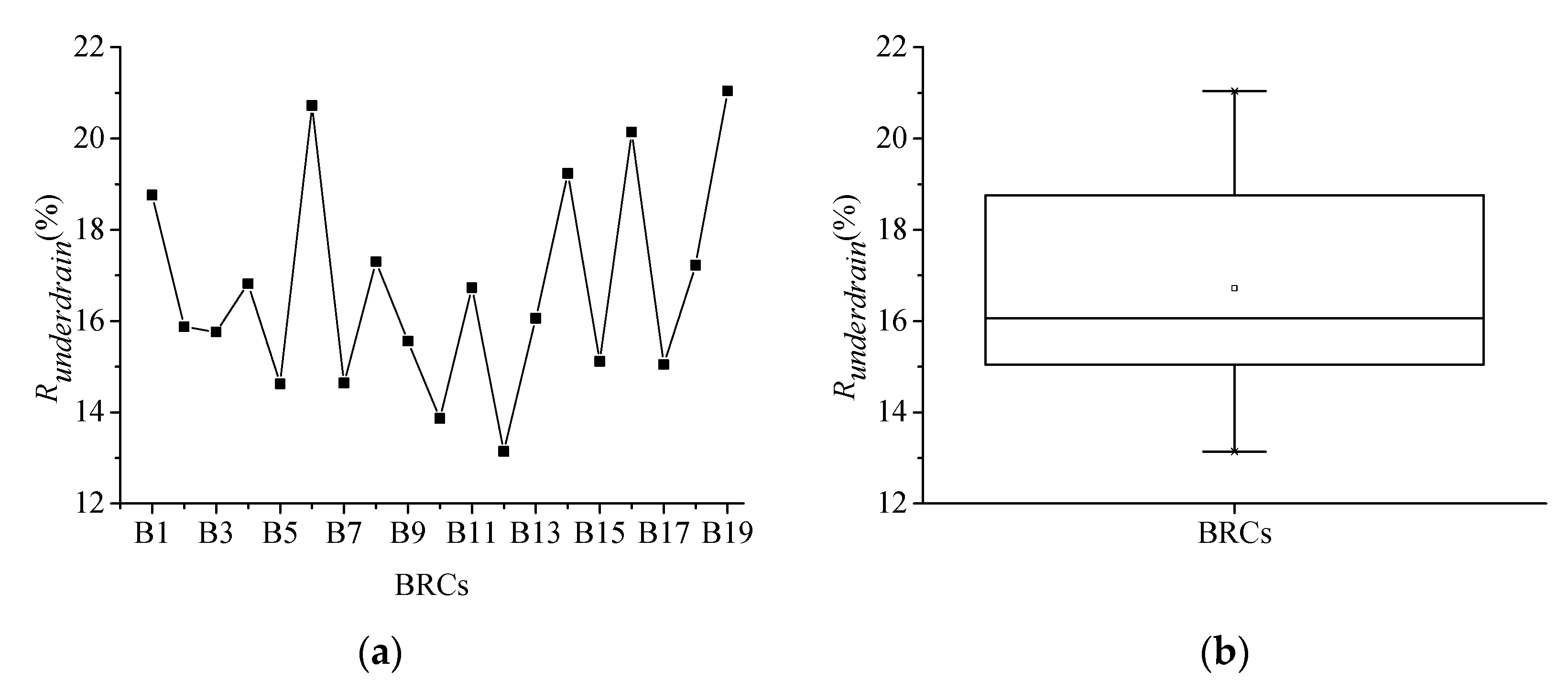
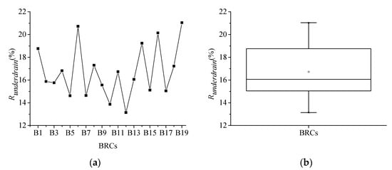
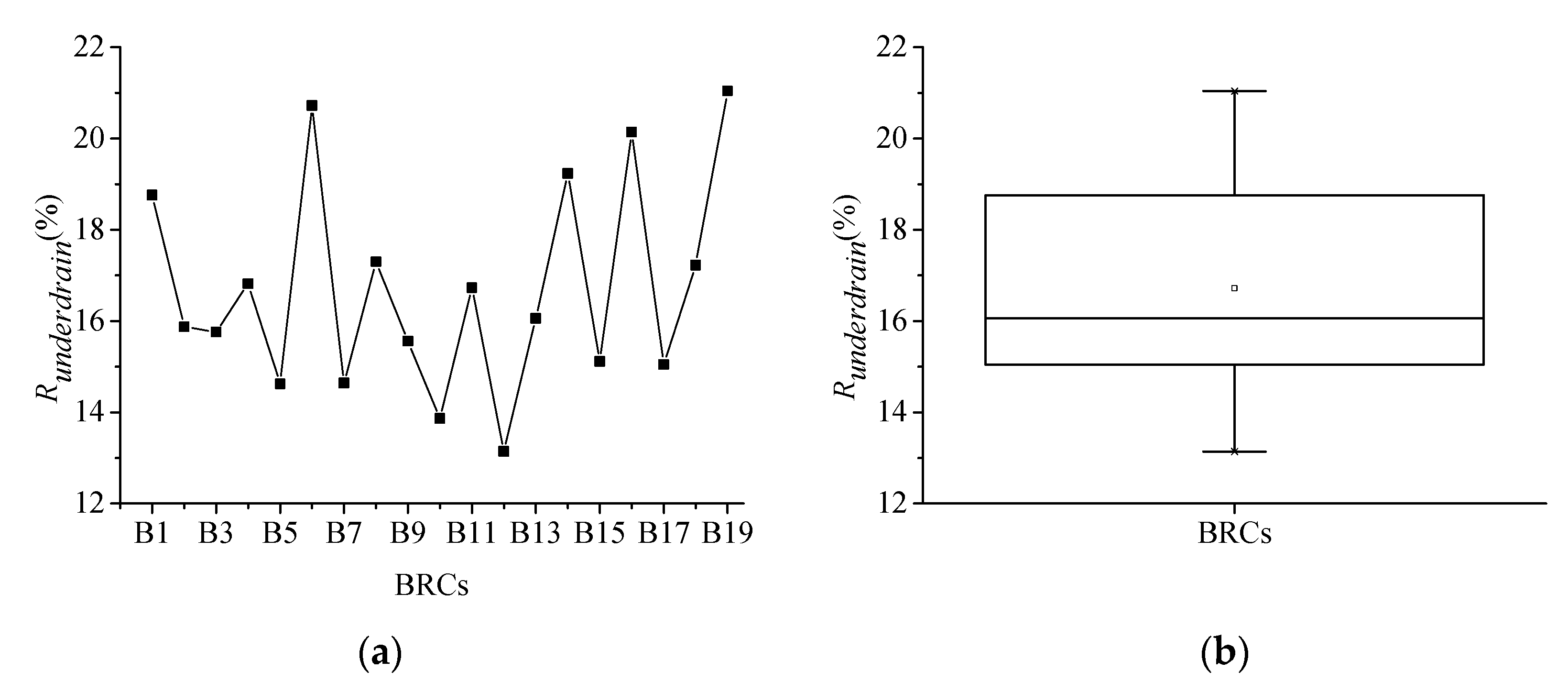
3.1. Runoff Mitigation and Water Quality Improvement
3.2. Peak Flow Frequency Exceedance Curve
3.3. Flow Duration Curve
3.4. T0.5
4. Discussion
4.1. Runoff Volume Control Performances
4.2. Peak Discharge Reduction, Flow Duration Curve and T0.5
5. Conclusions
Author Contributions
Funding
Institutional Review Board Statement
Informed Consent Statement
Data Availability Statement
Conflicts of Interest
References
- Barco, J.; Hogue, T.S.; Curto, V.; Rademacher, L. Linking hydrology and stream geochemistry in urban fringe watersheds. J. Hydrol. 2008, 360, 31–47. [Google Scholar] [CrossRef]
- Chen, W.J.; Huang, G.R.; Zhang, H. Urban stormwater inundation simulation based on SWMM and diffusive overland-flow model. Water Sci. Technol. 2017, 76, 3392–3403. [Google Scholar] [CrossRef]
- Fletcher, T.D.; Andrieu, H.; Hamel, P. Understanding, management and modelling of urban hydrology and its consequences for receiving waters: A state of the art. Adv. Water Resour. 2013, 51, 261–279. [Google Scholar] [CrossRef]
- Poff, N.L.; Allan, J.D.; Bain, M.B.; Karr, J.R.; Prestegaard, K.L.; Richter, B.D.; Sparks, R.E.; Stromberg, J.C. The natural flow regime: A paradigm for river conservation and restoration. BioScience 1997, 47, 769–784. [Google Scholar] [CrossRef]
- Walsh, C.J.; Fletcher, T.D.; Ladson, A.R. Stream restoration in urban catchments through redesigning stormwater systems: Looking to the catchment to save the stream. J. N. Am. Benthol. Soc. 2005, 24, 690–705. [Google Scholar] [CrossRef]
- Poff, N.L.; Zimmerman, J.K.H. Ecological responses to altered flow regimes: A literature review to inform the science and management of environmental flows. Freshw. Biol. 2010, 55, 194–205. [Google Scholar] [CrossRef]
- Hamel, P.; Daly, E.; Fletcher, T.D. Source-control stormwater management for mitigating the impacts of urbanisation on baseflow: A review. J. Hydrol. 2013, 485, 201–211. [Google Scholar] [CrossRef]
- U.S. Environmental Protection Agency (USEPA). Low Impact Development: A Literature Review; Office of Water: Washington, DC, USA, 2000; EPA-841-B-00-005. [Google Scholar]
- Zhu, Z.; Chen, Z.; Chen, X.; Yu, G. An Assessment of the Hydrologic Effectiveness of Low Impact Development (LID) Practices for Managing Runoff with Different Objectives. J. Environ. Manag. 2019, 231, 504–514. [Google Scholar] [CrossRef]
- Hsieh, C.H.; Davis, A.P. Multiple-event study of bioretention for treatment of urban storm water runoff. Water Sci. Technol. 2005, 51, 177–181. [Google Scholar] [CrossRef]
- Aiyelokun, O.; Pham, Q.B.; Aiyelokun, O.; Malik, A.; Adarsh, S.; Mohammadi, B.; Linh, N.T.T.; Zakwan, M. Credibility of Design Rainfall Estimates for Drainage Infrastructures: Extent of Disregard in Nigeria and Proposed Framework for Practice. Nat. Hazards 2021, 109, 1557–1588. [Google Scholar] [CrossRef]
- Abduljaleel, Y.; Demissie, Y. Identifying Cost-Effective Low-Impact Development (LID) under Climate Change: A Multi-Objective Optimization Approach. Water 2022, 14, 3017. [Google Scholar] [CrossRef]
- Davis, A.P.; Hunt, W.F.; Traver, R.G.; Clar, M. Bioretention technology: Overview of current practice and future needs. J. Environ. Eng. 2009, 135, 109–117. [Google Scholar] [CrossRef]
- Jaber, F.H.; Guzik, E.R. Improving water quality and reducing the volume of urban stormwater runoff with a bioretention area. In Proceedings of the American Society of Agricultural and Biological Engineers Annual International Meeting, ASABE, Reno, NV, USA, 21 June 2009. [Google Scholar]
- Brown, R.J.; Hunt, W.F. Impacts of maintenance and (1m) properly sizing bioretention on hydrologic and water quality performance. In Proceedings of the World Environmental and Water Recources Congress, Providence, RI, USA, 16–20 May 2010. [Google Scholar]
- Dietz, M.E.; Clausen, J.C. A field evaluation of rain garden flow and pollutant treatment. Water Air Soil Pollut. 2005, 167, 123–138. [Google Scholar] [CrossRef]
- Davis, A.P. Field performance of bioretention: Water quality. Environ. Eng. Sci. 2007, 24, 1048–1064. [Google Scholar] [CrossRef]
- Lisenbee, W.A.; Hathaway, J.M.; Winston, R.J. Modeling Bioretention Hydrology: Quantifying the Performance of DRAINMOD-Urban and the SWMM LID Module. J. Hydrol. 2022, 612, 128179. [Google Scholar] [CrossRef]
- Passeport, E.; Hunt, W.F.; Line, D.E.; Smith, R.A.; Brown, R.A. Field study of the ability of two grassed bioretention cells to reduce stormwater runoff pollution. J. Irrig. Drain. Eng. 2009, 135, 505–510. [Google Scholar] [CrossRef]
- Chapman, C.; Horner, R.R. Performance assessment of a street-drainage BRCs system. Water Environ. Res. 2010, 82, 109–119. [Google Scholar] [CrossRef]
- Chen, X.L.; Peltier, E.; Sturm, B.S.M.; Young, C.B. Nitrogen removal and nitrifying and denitrifying bacteria quantification in a water BRCs system. Water Res. 2013, 47, 1691–1700. [Google Scholar] [CrossRef]
- Davis, A.P. Field performance of bioretention: Hydrology impacts. J. Hydrol. Eng. 2008, 13, 90–95. [Google Scholar] [CrossRef]
- DeBusk, K.M.; Wynn, T.M. Strom-water Bioretention for runoff quality and quantity mitigation. J. Environ. Eng. 2011, 137, 800–808. [Google Scholar] [CrossRef]
- Jia, H.F.; Wang, X.W.; Ti, C.P.; Zhai, Y.Y.; Field, R.; Tafuri, A.N.; Cai, H.H.; Yu, S.L. Field monitoring of a LID-BMP treatment train system in China. Environ. Monit. Assess. 2005, 187, 373–390. [Google Scholar] [CrossRef]
- Jones, P.S.; Davis, A.P. Spatial accumulation and strength of affiliation of heavy metals in BRCs media. J. Environ. Eng. 2013, 139, 479–487. [Google Scholar] [CrossRef]
- Hunt, W.F.; Davis, A.P.; Traver, R. Meeting hydrologic and water quality goals through targeted BRCs design. J. Environ. Eng. 2012, 138, 698–707. [Google Scholar] [CrossRef]
- Li, J.K.; Davis, A.P. A unified look at phosphorus treatment using bioretention. Water Res. 2016, 90, 141–155. [Google Scholar] [CrossRef]
- Lucas, B. Design of integrated bioinfiltration-detention urban retrofits with continuous simulation methods. In Proceedings of the World Environment & Water Resources Congress, ASCE, Kansas City, MO, USA, 17–21 May 2009. [Google Scholar]
- Morris, Z.B.; Malone, S.M.; Cohen, A.R.; Weissburg, M.J.; Bras, B. Impact of Low-Impact Development Technologies from an Ecological Perspective in Different Residential Zones of the City of Atlanta, Georgia. Engineering 2018, 4, 194–199. [Google Scholar] [CrossRef]
- Gregory, M. Flow duration hydrograph analyses for assessing LID performance. J. Water Manag. Model. 2015, 23, 1–6. [Google Scholar] [CrossRef]
- Asleson, B.C.; Nestingen, R.S.; Gulliver, J.S.; Hozalski, R.M.; Nieber, J.L. Performance assessment of rain gardens. JAWRA J. Am. Water Resour. Assoc. 2009, 45, 1019–1031. [Google Scholar] [CrossRef]
- Heasom, W.; Traver, R.G.; Welker, A. Hydrologic modeling of a bioinfiltration best management practice. JAWRA J. Am. Water Resour. Assoc. 2006, 42, 1329–1347. [Google Scholar] [CrossRef]
- Bosley, E.K.; Kem, E. Hydrologic Evaluation of Low Impact Development Using a Continuous, Spatially-Distributed Model. Masters Thesis, Virginia Polytechnic Institute and State University, Blacksburg, VA, USA, 2008. [Google Scholar]
- Platz, M.; Simon, M.; Tryby, M. Testing of the Storm Water Management Model Low Impact Development Modules. JAWRA J. Am. Water Resour. Assoc. 2020, 56, 283–296. [Google Scholar] [CrossRef]
- Sun, Y.; Pomeroy, C.; Li, Q.; Xu, C. Impacts of Rainfall and Catchment Characteristics on Bioretention Cell Performance. Water Sci. Eng. 2019, 12, 98–107. [Google Scholar] [CrossRef]
- Pomeroy, C.A. Evaluating the Impacts of Urbanization and Stormwater Management Practices on Stream Response. Ph.D. Dissertation, Colorado State University, Fort Collins, CO, USA, 2007. [Google Scholar]
- Sun, Y.-W.; Wei, X.-M.; Pomeroy, C.A. Global Analysis of Sensitivity of Bioretention Cell Design Elements to Hydrologic Performance. Water Sci. Eng. 2011, 4, 246–257. [Google Scholar] [CrossRef]
- Palhegyi, G.E. Modeling and sizing bioretention using flow duration control. J. Hydrol. Eng. 2010, 15, 417–425. [Google Scholar] [CrossRef]
- Li, H.; Sharkey, L.J.; Hunt, W.F.; Davis, A.P. Mitigation of impervious surface hydrology using bioretention in North Carolina and Maryland. J. Hydrol. Eng. 2009, 14, 407–415. [Google Scholar] [CrossRef]
- Brander, K.E.; Owen, K.E.; Potter, K.W. Modeled impacts of development type on runoff volume and infiltration performance. JAWRA J. Am. Water Resour. Assoc. 2004, 40, 961–969. [Google Scholar] [CrossRef]
- Williams, E.S.; Wise, W.R. Economic impacts of alternative approaches to storm water management and land development. J. Water Resour. Plan. Manag. 2009, 135, 537–546. [Google Scholar] [CrossRef]
- Muthanna, T.M.; Viklander, M.; Thorolfsson, S.T. An evaluation of applying existing BRCs sizing methods to cold climates with snow storage conditions. Water Sci. Technol. 2007, 56, 73–81. [Google Scholar] [CrossRef]









| Month | Jan | Feb | Mar | Apr | May | Jun | Jul | Aug | Sep | Oct | Nov | Dec |
|---|---|---|---|---|---|---|---|---|---|---|---|---|
| Evaporation (cm/day) | 0.10 | 0.08 | 0.13 | 0.13 | 0.30 | 0.51 | 0.71 | 0.94 | 0.97 | 0.69 | 0.66 | 0.43 |
| Parameters | Parameters Description | Value | Unit |
|---|---|---|---|
| Slope | Slope | 2.8 | % |
| N-Imperv | Manning’s n of depression storage in the pervious area | 0.05 | / |
| N-Perv | Manning’s n of depression storage in the pervious area | 0.1 | / |
| Destore-Imperv | Depth of depression storage in the impervious area | 5.1 | cm |
| Desore-Perv | Depth of depression storage in the pervious area | 1.7 | cm |
| Max.Infil.Rate | Maximum infiltration rate | 10.26 | cm/h |
| Min.Infil.Rate | Minimum infiltration rate | 0.64 | cm/h |
| Decay Constant | Decay constant of Horton infiltration model | 4.14 | , |
| BRC | Vinflow (1000 m3) | Voverflow (1000 m3) | Vunderdrain (1000 m3) | Rreduction(%) | Roverflow (%) | Runderdrain (%) |
|---|---|---|---|---|---|---|
| B1 | 33.1 | 12.75 | 6.21 | 42.7 | 38.53 | 18.76 |
| B2 | 54.54 | 21.52 | 8.66 | 43.64 | 39.47 | 15.88 |
| B3 | 60.16 | 21.59 | 9.48 | 48.33 | 36.89 | 15.76 |
| B4 | 46.03 | 18.18 | 7.74 | 43.65 | 39.51 | 16.82 |
| B5 | 72.41 | 26.12 | 10.59 | 49.34 | 36.05 | 14.63 |
| B6 | 10.52 | 3.91 | 2.18 | 42.05 | 37.18 | 20.72 |
| B7 | 34.01 | 11.38 | 4.98 | 51.91 | 33.46 | 14.64 |
| B8 | 54.8 | 16.84 | 9.48 | 51.96 | 30.75 | 17.30 |
| B9 | 132.7 | 36.14 | 20.65 | 57.23 | 27.22 | 15.56 |
| B10 | 90.03 | 27.08 | 12.48 | 56.05 | 30.08 | 13.86 |
| B11 | 114.53 | 32.11 | 19.16 | 55.24 | 28.04 | 16.73 |
| B12 | 99.01 | 30.29 | 13.01 | 56.28 | 30.59 | 13.14 |
| B13 | 124.25 | 33.71 | 19.95 | 56.8 | 27.13 | 16.06 |
| B14 | 44.56 | 12.04 | 8.57 | 53.75 | 27.02 | 19.23 |
| B15 | 71.38 | 21.84 | 10.79 | 53.27 | 30.61 | 15.12 |
| B16 | 39.42 | 10.67 | 7.94 | 52.79 | 27.06 | 20.14 |
| B17 | 77.29 | 22.75 | 11.63 | 55.53 | 29.43 | 15.05 |
| B18 | 57.42 | 16.54 | 9.89 | 53.96 | 28.81 | 17.22 |
| S19 | 66.26 | 16.35 | 13.94 | 53.28 | 24.68 | 21.04 |
| Sum | 1282.48 | 391.83 | 207.35 | 53.28 | 30.55 | 16.17 |
| Subcatchments | Runoff Coefficients Results | ||
|---|---|---|---|
| Scenario 1 Pre-Developed | Scenario 2 Developed | Scenario 3 Developed with BRCs | |
| S1 | 0.07 | 0.188 | 0.108 |
| S2 | 0.067 | 0.185 | 0.102 |
| S3 | 0.069 | 0.241 | 0.125 |
| S4 | 0.069 | 0.187 | 0.105 |
| S5 | 0.066 | 0.239 | 0.121 |
| S6 | 0.077 | 0.209 | 0.121 |
| S7 | 0.072 | 0.343 | 0.165 |
| S8 | 0.07 | 0.387 | 0.186 |
| S9 | 0.073 | 0.716 | 0.306 |
| S10 | 0.064 | 0.501 | 0.22 |
| S11 | 0.077 | 0.729 | 0.326 |
| S12 | 0.072 | 0.509 | 0.223 |
| S13 | 0.07 | 0.698 | 0.302 |
| S14 | 0.08 | 0.575 | 0.266 |
| S15 | 0.058 | 0.347 | 0.159 |
| S16 | 0.076 | 0.535 | 0.253 |
| S17 | 0.072 | 0.532 | 0.237 |
| S18 | 0.073 | 0.502 | 0.231 |
| S19 | 0.073 | 0.724 | 0.331 |
| Overall | 0.081 | 0.358 | 0.165 |
| Threshold (m3/s) | Pre-Developed | Developed | Developed with BRCs |
|---|---|---|---|
| 0.11 | 0.838 | 0.045 | 0.226 |
| 0.17 | 1.00 | 0.069 | 0.328 |
| 0.23 | 1.00 | 0.101 | 0.432 |
Disclaimer/Publisher’s Note: The statements, opinions and data contained in all publications are solely those of the individual author(s) and contributor(s) and not of MDPI and/or the editor(s). MDPI and/or the editor(s) disclaim responsibility for any injury to people or property resulting from any ideas, methods, instructions or products referred to in the content. |
© 2023 by the authors. Licensee MDPI, Basel, Switzerland. This article is an open access article distributed under the terms and conditions of the Creative Commons Attribution (CC BY) license (https://creativecommons.org/licenses/by/4.0/).
Share and Cite
Sun, Y.; Li, Q.; Yu, F.; Ma, M.; Xu, C. Assessing Hydrological Performances of Bioretention Cells to Meet the LID Goals. Sustainability 2023, 15, 4204. https://doi.org/10.3390/su15054204
Sun Y, Li Q, Yu F, Ma M, Xu C. Assessing Hydrological Performances of Bioretention Cells to Meet the LID Goals. Sustainability. 2023; 15(5):4204. https://doi.org/10.3390/su15054204
Chicago/Turabian StyleSun, Yanwei, Qingyun Li, Furong Yu, Mingwei Ma, and Cundong Xu. 2023. "Assessing Hydrological Performances of Bioretention Cells to Meet the LID Goals" Sustainability 15, no. 5: 4204. https://doi.org/10.3390/su15054204
APA StyleSun, Y., Li, Q., Yu, F., Ma, M., & Xu, C. (2023). Assessing Hydrological Performances of Bioretention Cells to Meet the LID Goals. Sustainability, 15(5), 4204. https://doi.org/10.3390/su15054204

