Abstract
Sprinkler cooling is a common heat abatement method in dairy cows and uses huge quantities of groundwater. Sprinkler flow rate and timing affect cow cooling and water use efficiency, but little is known about how these strategies may influence dairy cow performance under heat stress conditions in Pakistan. The objective of this study was to evaluate the cooling efficiency of different sprinkler cycles and flow rates in Holstein Friesian cows under semi-arid summer conditions in Pakistan. Thirty (30) lactating cows were subjected to 2 sprinkler flow rates and 3 sprinkler cycle strategies in a crossover design. Flow rates were 1.25 and 2 L/min, and the sprinkler cycles (water on|off) were: 3 min on|3 min off, 3 on|6 off, and 3 on|9 off. Results showed that the 1.25 L/min flow rate had a similar performance to the 2.0 L/min group in terms of milk yield and behavior, despite using 37.2% less water. The respiration rate was lowest in the 3|3 sprinkler cycle (SC) group, followed by the 3|6 and the 3|9 SC groups, respectively. Milk yield in the 3|3 group was 2 kg/d higher than the 3|9 group. In conclusion, these findings suggest that the 3|3 sprinkler cycle and 1.25 L/min flow rate may be a more efficient option in terms of water use while maintaining cow performance in semi-arid heat stress conditions.
1. Introduction
Water application is the most effective method to cool dairy cows during heat stress, which negatively impacts their productive, reproductive, and health performance [1,2]. Climate change has further increased the intensity and duration of heat stress [3], leading to increased utilization of resources such as water, energy, and housing infrastructure. Effective cooling systems are among the important adaptation strategies to combat the negative impacts of heat stress in dairy cows [4]. The use of sprinkler systems installed at the feed bunk or holding areas is a common method for cooling cows during summer. This approach utilizes a substantial amount of water. A typical dairy farm of Holstein cows can use up to 850 L of groundwater per cow during the semi-arid summer [5]. When considering the drinking water requirements, which are about 100 L per cow [6,7], the water needs for heat abatement become the primary determinant of water usage on dairy farms in semi-arid areas [5]. In light of the increasing water scarcity caused by climate change [8], it is imperative to use water in an efficient manner to ensure sustainable dairy production.
The amount of water used for cooling is influenced by factors such as sprinkler flow rate, spray timing, and the ratio of nozzles to cows [9]. Some studies have shown that flow rates of 1.3 L per minute or higher have a similar effect on cow cooling [10]. A recent study research suggests that flow rates of 2 L per minute or 1.25 L per minute produce a similar effect on cow performance [11]. Spray frequency (cycles) also plays a role in cooling efficiency, as it depends on the duration of the spray (i.e., time water on) and the interval between sprays when the coat is allowed to dry (time off). During “time on,” dripping water helps to remove heat from a cow’s body, while the cow cools down during “time off” as liquid water is converted into vapors [12]. Different cooling cycles have been reported in studies, ranging from 0.5, 1.5, 3, and 13 min of ‘time on’ to 3, 4.5, 6, 9, and 12 min of ‘time off’ [13,14,15,16,17]. With longer spray durations and shorter time-off intervals, water utilization increases with varying levels of cooling efficiencies. Some recent studies have suggested that, regardless of spray duration, physiological responses to heat stress increase when the water is turned off [14]. However, a combination of water spray and continuous airflow has a great impact on the cooling efficiency of cows [18]. Most of these studies have been conducted in relatively less severe heat stress conditions with a temperature humidity index (THI) range of 74–79. This information provides an opportunity to evaluate water use efficiency using different sprinkler timings in relatively severe semi-arid summer conditions in Pakistan.
The objective of the current study was to evaluate the cooling efficiency of different sprinkler timings and flow rates under semi-arid conditions of heat stress. The study was based on the hypothesis that different spray timings and flow rates will affect the efficiency of water use for cooling cows during summer in Pakistan. The results suggest that the 3-min on and 3-min off sprinkler cycle and the 1.25 L/min flow rate can be more efficient in terms of water use while still maintaining cow performance during heat stress conditions. This information provides dairy farmers in semi-arid regions with useful information to make informed decisions on heat abatement strategies that balance water use efficiency with cow performance. The study highlights the importance of considering sprinkler flow rate and timing as crucial factors in optimizing water use and cow performance, filling a gap in current knowledge in this area.
2. Materials and Methods
2.1. Study Site, Animals, and Housing
This research was conducted at the Holstein unit of the Dairy Animals Training and Research Center, University of Veterinary and Animal Sciences (UVAS), Lahore, Ravi Campus, Pattoki, Pakistan (31°03′43.9″ N 73°52′36.1″ E) during the summer (May to June 2021). All experimental procedures were undertaken according to the Institutional Guidelines of the Ethical Review Committee of UVAS.
Thirty (30) Holstein Friesian lactating cows with DIM, parity, and milk yield; 180 ± 26.94, 2 ± 1.30, and 20 ± 3.67 (mean ± SD), respectively, were enrolled for the study. The cows were divided into 3 groups, with 10 cows in each group, balanced for milk yield. The animals were kept in a naturally ventilated freestall shed (Figure 1) measuring 50 m long and 30 m wide with steel roofing at a height of 6.71 m (at the sides of the shed). The partitioned cows had direct access to the feed bunks, sand-bedded freestall, and a water trough. Rubber matting was provided adjacent to the feed bunk to promote cow comfort and minimize the tendency of lameness due to prolonged standing whilst feeding, showering, or both. The shower line with brass nozzles was fitted above the feeding area. Each nozzle had a valve to control the flow rate. The nozzles were fitted at an angle that soaked the cows’ backs from withers to loin when feeding, reaching up to 1.8 m away from the feed bunk. Cows were given a total mixed ration ad libitum twice a day at each milking time. Each treatment group was allotted industrial fans (Model FS-75, Bilal Electronics, Lahore, Pakistan; blade length 60 cm, width 15 cm): 2 over the feeding line, and 2 over the freestall, all positioned about 3 m above the ground level. All the fans were blowing in the east-west direction towards the cows. Milking was done twice daily (0500 and 1700 h) in a 6 × 6 herringbone milking parlor (GEA Farm Technologies GmbH-Westfalia surge D-59199 Bönen; Germany). Cleaning of the shed was done twice a day whilst milking to give the animals a clean environment upon each return from milking.
Figure 1.
The experimental freestall shed (A), where the cows are positioned at a feed bunk with their backs facing the shower line ((B,C): yellow arrows).
2.2. Experimental Design and Treatments
To investigate the combined effect of 03 sprinkler cycles and 02 flow rates, the enrolled animals (n = 30) were divided into 3 groups (10 cows/group) balanced by milk yield and subjected to a double replicated crossover design. The sprinkler cycles (water on|off) were of three categories: 3|3, in which the sprinklers sprayed water for 3 min then stopped for 3 min in a 6 min cycle; 3|6 (3 min water on and 6 min off in a 9 min cycle); and 3|9 (3 min water on and 9 min off in a 12 min cycle). These sprinkler cycles were continuously applied from 800 to 1700 h daily. The duration of daytime sprinkler cooling was chosen based on the traditional practices in the area and to avoid excessive water use in 24 h of continuous showering. The water flow rate from the sprinkler nozzles was of two categories: 1.25 and 2 L/min. In the first crossover round, a 1.25 L/min flow rate was used, and it was subsequently 2 L/min. Each crossover round was 21 d divided into 3 periods of 7 d each. The sprinkler cycle treatments were randomly assigned to the groups of cows in period 1 and then applied in a crossover design, as shown in Table 1. The first 4 days of each period were used for adaptation, and data were recorded for the remaining 3 days. To prevent water vapor exchange between the treatment groups, a distance of at least 5 m was maintained between the sprinkler nozzles of adjacent groups by disabling nozzle points. The sprinkler cycles were regulated using an automated valve installed in the showering line for respective groups and powered by a programmable logic control panel (Wecam Technology; Model: Levi 2070D; Version: VI.2.4.1.7.2.0).
Table 1.
Treatment application arrangement in a double replicated crossover design (n = 30) 1.
2.3. Climate Measures
The environmental measures were recorded every 10 min using a portable weather station (Kestrel 5400 Cattle Heat Stress Tracker: 0854AGLVCHVG) placed approximately 20 m away from the shed in an open area. These measures included air temperature (T, °C), humidity %, temperature humidity index (THI), black globe temperature, heat load index, and wind speed.
2.4. Physiological Measures
The core body temperature (CBT) was recorded using intravaginal data loggers (Thermochron iButton: model DS1921H-F5, temperature range 15.0–46.0 °C, iButtonLink, Llc., Whitewater, WI, USA) administered using an inert CIDR device. The data loggers were administered to a subset of 3 cows in each treatment group per period. These cows were randomly selected and used for all periods. Respiration rate (RR) was recorded by counting flank movement based on the determined number of seconds for each animal using a stopwatch and converted to breaths per minute. The RR was recorded at 5 different time points during the day, at 0400, 0800, 1100, 1300, 1400, and 1600 h. Body surface temperature was measured twice daily at 0800 and 1400 h from different parts of the body (shoulder, flank, rump, and udder) during water on and off phases in a sprinkler cycle using a thermal camera (model: FLIR C3-X compact thermal camera, thermal sensitivity < 70 mK; FLIR Systems, Inc., Wilsonville, OR, USA). The surface temperature was recorded as a proxy indicator of the microclimate of the cows and the heat load from the environment [15].
2.5. Behavioral Measures
The Nedap CowControl system (NEDAP, Groenlo, The Netherlands) was used to measure the behavioral recordings, including lying time, eating time, and standing times on three consecutive recording days in each treatment period. Neck collars were affixed around the neck of cows to record the eating and rumination time, while leg data loggers were fastened with straps on left hind legs to estimate standing and lying times. These technologies have been validated in previous studies [19,20].
2.6. Production Measures
To Feed (in the form of total mixed rations) was offered twice daily at 0500 h and at 1700 h. The total mixed rations consisted of 58% oat silage and 42% concentrate. The concentrate consisted of 64% maize grain, 15% rapeseed meal, 7.5% corn gluten meal, 7.5% molasses, 1% sodium bicarbonate, 3% premix, and 2.0% lime. The group-level intake data were measured during each recording day. The leftover from the morning feed was collected and weighed before offering the evening feed, and that of the evening feed supplied was collected and weighed in the morning before offering the morning feed. The quantity of feed supplied each day was adjusted to have at least 10% leftover. The dry matter content of the feed was estimated weekly from feed samples collected during each period using the beam balance for weighing samples before and after heating in the hot air oven (UN260-Memmert, Schwabach, Germany) for 3 h at 105 °C. This dry matter content was multiplied by the total feed consumed to calculate the daily dry matter intake. Milk yield and milk component yield were recorded for individual animals of each treatment group on the recording days using a portable milk analyzer (model: Lactoscan Standard, Milktronic Ltd., Nova Zagora, Bulgaria). Feed and water intake data were collected for group level.
2.7. Statistical Analysis
All the statistical analyses were carried out using SAS (SAS for Academics: SAS Institute Inc., Cary, NC, USA). The data collected on individual cows on 03 recording days during each period were averaged to obtain the period means. These averages were assessed for normality according to the Shapiro-Wilk test and then subjected to ANOVA in a double-replicated crossover design using a Mixed Procedure of SAS according to the following model:
where Yijkl = the dependent variable; μ = the overall mean; Ti = the fixed effect of treatment (sprinkler cycles) i, where i = 3|3, 3|6, or 3|9 sprinkler cycles; Fj = the fixed effect of flow rate j, where j = 1.25 or 2.0 L/min; Pk:j = the fixed effect of period k within flow rate j, where k = 1, 2, or 3, three periods; Cl = the random effect of cow l, where l = 1,…, n; and eijkl = the random error. The data that were not normally distributed were log10-scale transformed and subjected to statistical analysis to determine treatment effects. The means and SEM were back-transformed for presentation. The Least square means were separated using Tukey’s adjusted p-values. The differences were considered significant at p ≤ 0.05 and a trend at a p value between 0.05 and 0.1.
Yijkl = µ + Ti + Fj + Pk:j + Cl + eijkl,
3. Results
3.1. Water Spread Characteristics
The water spread characteristics are presented in Table 2. The average water spread from a sprinkler nozzle along and away from the feed bunk across the cycles was 2.9 ± 0.1 and 2.2 ± 0.1 m, respectively (mean ± SD). The average area covered by a single sprinkler nozzle was 6.4 ± 0.1 m2 (mean ± SD). The nozzle height on the shower line was the same across all treatment cycles (2.3 m).
Table 2.
Water spread characteristics of different showering cycles.
3.2. Climate Measures
The temperature, relative humidity, and temperature humidity index are summarized in Table 3. The average temperature and THI during the daytime were 3.4 °C and 3 points higher compared to the 24 h average, respectively. The extreme THI values were up to 93. The heat load index was 8 points higher during the daytime compared to the 24 h data. The average black globe temperature values were 7.3 °C higher than the air temperature during the daytime when showering was applied. The extreme values reached 56.5 °C. The average RH was 43.1% during the daytime.
Table 3.
Summary of daily climate measures on experimental days during May and June 2021.
3.3. Physiological Responses
The 24 h hourly core body temperature (CBT) values are presented in Figure 2 and Figure 3. The different sprinkler cycles did not influence the CBT (Figure 2). CBT values were quite high (≥40 °C) during the late evening hours (from 1900 to 2300 h). During this period, the cows under the 3|9 cycle had significantly lower CBT compared to the other treatment groups (Figure 2; p < 0.05). The water flow rate significantly influenced CBT values, especially during afternoon hours (Figure 3). During these hours, the CBT in cows cooled with the 2.0 L/min flow rate was lower as compared to the cows under the 1.25 L/min flow rate. There was no interaction between the flow rate and the sprinkler cycle.
Figure 2.
Mean hourly core body temperature (°C) of lactating Holstein cows subjected to three sprinkler cycles (n = 9 animals per treatment, 9 d of recording/animal, 24 h/day). These cycles (water on|off) were of three categories: 3|3, in which the sprinklers sprayed water for 3 min then stopped for 3 min in a 6 min cycle; 3|6 (3 min water on and 6 min off in a 9 min cycle); and 3|9 (3 min water on and 9 min off in a 12 min cycle). The shaded region represents the sprinkler application time. Error bars represent SE. Treatment by time interaction, p = 0.015.
Figure 3.
Mean hourly body temperature of lactating Holstein cows cooled with 1.25 L/min (solid line with solid circle) or 2.0 L/min flow rate (dashed line with open circle; n = 9 animals per treatment, 9 d of recording/animal, 24 h/day). The shaded region represents the showering application time. Error bars represent SE. Flow rate by time interaction, p < 0.001. There was no interaction between the flow rate and the sprinkler cycle.
The duration of CBT of cows at various temperature levels is presented in Table 4. The treatment did not influence the duration of CBT for a given temperature range. The cows had a CBT above 38.9 and 40 °C for about 22.4 ± 0.49 and 9.8 ± 1.36 h/d, respectively. On average, for only 0.4 ± 0.2 h/d, the cows had CBT ≤ 38.6 °C.
Table 4.
Core body temperature (CBT) duration in response to sprinkler cycle and flow rate, LS Means ± SEM.
Respiration rate (RR) was significantly lower in cows under the 3|3 sprinkler cycle compared to the cows in the 3|9 and 3|6 cycle groups (Figure 4). The RR was low during the early morning hours, and it increased during the daytime having peak values during the afternoon hours. The flow rate influenced the RR: cows cooled with a flow rate of 2.0 L/min had lower respiration rates than those under the 1.25 L/min flow rate (Figure 5).
Figure 4.
Mean respiration rate of Holstein cows taken at different time points of a day subjected to three sprinkler cycles (n = 30 animals per treatment, 9 d of recording/animal, 5 times/day). These cycles (water on|off) were of three categories: 3|3, in which the sprinklers sprayed water for 3 min then stopped for 3 min in a 6 min cycle; 3|6 (3 min water on and 6 min off in a 9 min cycle); and 3|9 (3 min water on and 9 min off in a 12 min cycle). The shaded region represents the sprinkler application time. Error bars represent SE.
Figure 5.
Mean respiration rate of Holstein cows taken at different time points of a day cooled with 1.25 L/min (solid line with solid circle) or 2.0 L/min flow rate (n = 30 animals per treatment, 9 d of recording/animal, 5 times/day). The shaded region represents the sprinkler application time. Error bars represent SE. There was no interaction between the flow rate and the sprinkler cycle.
3.4. Behavioral Responses
The sprinkler cycle significantly influenced the total feeding time in cows (Table 4). The daily feeding time was highest in the 3|3 group (6.5 h) and lowest in the 3|9 group (5.8 h) (p < 0.01; Table 5). However, the cows in the 3|6 group had similar feeding times to that of the 3|3 group (6.3 vs. 6.5 h/d, respectively; SE = 0.20; p > 0.05). Similarly, the feeding bout duration was also highest in the 3|3 group (15 min) and lowest in the 3|6 group (12 min) (p < 0.01; Table 5). The flow rate did not affect the feeding behavior (Table 2). There was no interaction between the flow rate and the sprinkler cycle.
Table 5.
Effect of sprinkler cycle and flow rate on cow behavior under heat stress presented as LS Means ± SE.
In this research, the sprinkler cycles, flow rates, and interaction of cycle × flow rate had significant effects on the total lying time (h/d); p < 0.001, p = 0.01, and p = 0.05, respectively. The cows in the 2.0 L/min flow rate group had 0.4 h/d of more lying time than the cows in the 1.25 L/min group (p < 0.001; Table 2). Total lying time in the 3|9 group was 1.0 and 0.7 h/d lower than in the 3|6 and the 3|3 groups (p < 0.01; Table 4). However, the cows in the 3|3 and the 3|6 groups had similar total lying time yields (8.7 vs. 9.0 h/d, respectively; SE = 0.32; p > 0.05). The duration of each lying bout in the 3|3 group was 14 and 11 min longer than in the 3|6 and the 3|9 groups (p < 0.01; Table 5). However, the cows in the 3|6 and the 3|9 groups had similar lying bout duration (49 vs. 52 min, respectively; SE = 2.19; p > 0.05).
The sprinkler cycle and flow rate had significant effects on the standing behavior. The cows in the 2.0 L/min flow rate group had 0.5 h/d less standing time than the cows in the 1.25 L/min group (p = 0.001; Table 5). Total standing time in the 3|9 group was 0.8 and 0.9 h/d greater than in the 3|3 and the 3|6 groups, respectively (p < 0.01; Table 5). However, the cows in the 3|3 and 3|6 groups had similar total standing time yield (15.1 vs. 15.0 h/d, respectively; SE = 0.31; p > 0.05).
3.5. Milk Yield
The sprinkler flow rate did not impact the milk yield. Cows in the 1.25 and 2.0 L/min sprinkler flow rate groups produced similar milk. However, the sprinkler cycle had significant effects on the milk yield (p < 0.001; Table 6). Cows in the 3|3 group produced 1.7 kg/d more milk than the 3|9 group (16.2 vs. 14.5 kg/d; SE = 0.58). Similarly, cows in the 3|3 sprinkler cycle treatment produced more daily milk solids than the cows in the 3|9 group. Overall, the flow rate and cycle × flow rate interaction had no effects on the milk yield and milk composition (Table 6).
Table 6.
Effect of sprinkler cycle and flow rate on milk yield and milk components of Holstein cows during summer, presented as LS Means ± SE.
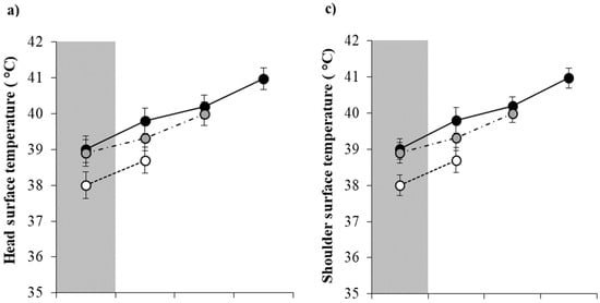
3.6. Body Surface Temperature
The surface temperature of different body parts (head, rump, shoulder, and udder) has been presented in Figure 6. The average surface temperature (°C) of all the body parts was lowest during the water on phase in each sprinkler cycle. However, the 3|3 cycle group had significantly lower surface temperature compared to the 3|6 and 3|9 groups for all body parts except the udder. The surface temperature increased during the water off duration in each cycle.

Figure 6.
The mean surface temperature of different body parts of lactating Holstein cows subjected to three sprinkler cycles (n = 30 animals per treatment, 9 d of recording/animal, 2 times/day). These cycles (water on|off) were of three categories: 3|3, in which the sprinklers sprayed water for 3 min then stopped for 3 min in a 6 min cycle; 3|6 (3 min water on and 6 min off in a 9 min cycle); and 3|9 (3 min water on and 9 min off in a 12 min cycle). The shaded region represents the sprinkler application time. Error bars represent SE. The four panels (labeled (a), (b), (c), and (d)) in the figure show the average increase in surface temperature, during a cycle for the treatment groups, of the head, rump, shoulder, and udder, respectively.
3.7. Water Use Efficiency
The volume of water delivered was higher in the 2.0 L/min flow rate treatment group compared to the 1.25 group, irrespective of the sprinkler cycles. On average, the 1.25 L/min flow rate used 37.3% less groundwater compared to the 2.0 L/min flow rate group without compromising the productive performance (Table 7). The amount of water used for cooling cows was highest in the 3|3 SC, followed by the 3|6 and 3|9 SC groups. The 3|9 SC group used less water, but these cows produced less milk. Increasing the ratio of cows to nozzles from two to three per nozzle resulted in a 34% increase in water efficiency.
Table 7.
Water use efficiency of different sprinkler cycles and flow rates to cool dairy cows during semi-arid summer.
4. Discussion
The findings of the study suggest that reducing the flow rate of sprinklers and optimizing the timing of the spray can lead to improved water use efficiency in dairy farming operations under heat-stress conditions in Pakistan. The 1.25 L/min flow rate was effective in cooling cows and maintaining comparable levels of respiration and milk production as the 2.0 L/min group, but with a 37.2% decrease in water usage. The 3|3 sprinkler cycle was found to be effective in improving cow performance, with lower respiration rates and higher milk yields, although it used more water compared to the other cycles. On the other hand, the 3|9 cycle used less water but did not achieve optimal cooling efficiency. The results suggest that cooling cows with more frequent sprays using a reduced flow rate is the optimal option for water use efficiency without compromising cow
4.1. Climate Measures
The observed climate measures in the current study showed that the elevated environmental temperature in the summer of Pakistan is challenging for dairy cows. Maximum air temperatures of the daytime and 24 h periods (45.6 vs. 46.4 °C) were well above the upper thermoneutral zone of Holstein cows [21]. The minimum air temperature of the 24 h period (21.0 °C) was within the comfort zone of dairy animals, providing some cushion for cows to dissipate heat during the hours of low ambient temperature.
Temperature humidity index (THI) is a value of heat load intensity on animals estimated from the ambient temperature and relative humidity. The threshold THI for dairy cows at which they start experiencing heat stress ranged between 68–74 depending upon the production capacity [22]. The average THI values (>80) in the current study showed that the cows were under severe heat stress. The minimum THI during the daytime period (72) exceeded the threshold for heat stress in taurine dairy cows.
The current study was conducted in a semi-arid climate with high levels of heat stress, characterized by a high average temperature humidity index (THI) of more than 85. This contrasts with previous studies, which were conducted under relatively less heat stress, with THI levels ranging from 74 to 79 [13,14,15,16,17]. The significance of this difference lies in the fact that the findings of the current study are more representative of dairy operations facing heat stress in subtropical areas. The results of this study provide important insights into water-efficient cooling strategies that can be effective in such conditions.
4.2. Physiological Responses
The core body temperature (CBT) of the cows across all cycles and flow rate strategies in this study was higher than that reported in other studies, ranging between 38.0 and 39.0 °C [16]. The CBT was lower in the early morning hours due to the low environmental temperature. In the evening hours, the animals’ CBT was higher because of the steady increase in the heat load on the animals throughout the daytime and the withdrawal of the showering application. Furthermore, the emission of thermal radiation stored in soil and farm structures might have increased the CBT of cows in the early nighttime.
The comparatively lower CBT in the 3|9 group, despite having less water-on time for cooling, could be explained by the increased RR in this group. The increased RR dissipates heat by evaporative cooling of the lungs [10]. The inhaled cool air is warmed and removes the heat load in the form of vaporized moisture from the lungs [23]. The higher amount of water dripping from the body of cows under the 2 L/min water flow rate could explain the relatively lower CBT of these compared to the 1.25 group. This agrees with the findings of Tresoldi et al. [16], who suggested that higher flow rates (4.9 vs. 3.3 L/min) markedly reduced CBT when water was flushing.
The RR was about 20% lower in the 3|3 group compared to the 3|9 group. This could be related to the shorter duration of the showering-off period, lowering the heat load during water flow. A relatively lower average RR across the cycles was seen in the early morning hours, which indicated that the environment had a critical influence on the respiration of cows. The highest respiration rate was recorded at around 1400 h across all sprinkler cycles. The heat load is usually highest during the afternoon hours.
4.3. Behavioral Responses
The data on behavioral responses indicated that the amount of sprayed water (flow rate) was not as critical in cooling cows as the rational distribution of sprayed water in the form of cycles across the specified showering periods. However, the 3|3 cycle—with shorter water off period (3 min) and higher sprayed water volume because of more frequent showering—showed longer feeding times (6.5 h/d) and a longer duration of feeding bout (15 min/bout).
The lying duration is a good indicator of cow comfort [24,25]. The interaction of the flow rate and sprinkler cycle signified that the flow rate was important, but the most critical factor in optimizing water use and its efficiency was the cycles and the interaction of those cycles with flow rates. It also agrees with the findings of Chen et al. [10], who observed that 1.3 and 4.5 L/min flow rates had similar heat abatement in lactating Holstein cows. The similar lying about number and duration in 1.25 and 2.0 L/min flow rates revealed that there should be a trade-off between 2.0 L/min and 1.25 L/min flow rates for prudent use of water, as no significant difference was found between the two flow rates. Lying bouts in this study were in consonance with that of Allen et al. [26], who suggested lying bouts of 48 to 60 min/bout under conditions of mild to moderate heat stress.
The longer standing time in the 3|9 cycle may be due to the longer water-off duration in a sprinkler cycle. The lesser amount of sprayed water during a given time might explain the difference. A lower step count in the 3|3 cycle relative to the others (500 steps/d less than the 3|6 cycle; and 200 less than that of the 3|9 cycle group) is indicative of better cow comfort, which also increased lying bout length. Heat abatement has an inverse relationship with the number of steps and cow comfort. Cows in the 3|3 cycle with higher or repeated frequency of showering recorded the lowest step counts, highest lying bout duration, and highest total feeding time, which are indicators of better heat abatement and greater cow comfort.
4.4. Body Surface Temperature
The highest average temperature after the initiation of cooling was recorded in 9.5 min in the 3|9 group. This indicated that the surface temperature was lowest when the animal was under-showering. Immediately after showering ended, the surface temperature started to rise and continued to rise steadily. Furthermore, the overall lower surface temperature in the 3|3 sprinkler cycle showed that the shorter duration of water off was effective in reducing heat load. The present study showed that surface temperatures from various parts of the body increased when showering was withdrawn. The average highest surface temperature at 9.5 min from the start of each sprinkler cycle indicated that the surface temperature continued to rise progressively on the withdrawal of water during the 3|9 cycle. It is believed that, in a sprinkler cycle, the water off duration is meant to provide evaporative cooling to reduce heat load from the body of the animals. In the current study, water flushing on the body appeared to be more effective in cooling the surface compared to evaporative cooling. The lower average rump surface temperature relative to the other parts of the body could be explained by the standing orientation of the animals. The cows prefer presenting their back and rump area directly to the shower line rather than their heads [27].
The average minimum and maximum udder surface temperatures were higher than those obtained from all the other body parts. It could be because the udder cannot directly benefit from sprayed water. The udder can only get access to sprayed water if it drips from the flank and other body parts. It is possible that very little water was dripping through, and furthermore, the temperature of the dripping water might have been raised by heat from other body parts. The higher surface temperature could also have implications for udder health and might be explored in future studies.
4.5. Milk Yield
No effect of sprinkler flow rate on milk yield indicates that both the flow rates (1.25 and 2.0 L/min) were equally effective in lowering the heat load. This agrees with the previous findings [11,28]. On the other hand, reducing the water-off interval, as in the case of the 3|3 sprinkler cycle group, increased milk yield. The sprinkler cycles are indicative of water on and off duration. The 3|3 sprinkler cycle had the shortest water-off duration (3 min) compared to the other groups and provided a higher degree of cooling for these cows. Although the 3|3 cycle did not lower the CBT, it did reduce the respiration rate and hence lowered the maintenance requirements, which promoted higher milk production. Furthermore, the cows under the 3|3 cycle showed greater lying time, higher feed intake, and lower respiration, explaining the higher milk yield. The findings of this study align with previous research that suggests that increasing the frequency of spray cooling can reduce the heat load of cows [18]. Contrary to the current findings, Tresoldi et al. [16] reported that the spray frequency did not affect milk production. The variation in climate zones and the severity of heat stress might explain this difference. Cows in the present study were in mid to late lactation and had low milk yield. Additionally, the study was conducted in a semi-arid climate. These factors could be a potential limitation to extrapolating the current findings to high-yielding cows and other climate zones. Further research on high-producing and early lactation cows could help address the issue of optimal water usage at dairy farms, especially in semi-arid and arid climates where water availability is a major challenge.
4.6. Groundwater Use Efficiency
The 1.25 L/min flow rate group used 37.2% less water compared to the 2.0 L/min group while maintaining the cow performance. This indicated that reducing the flow rate can be a successful approach for improving water use efficiency in dairy farming operations under heat-stress conditions. Additionally, by increasing the cows to nozzle ratio, the absolute quantity of water used per cow can be reduced, further improving the water use efficiency. A 2.9 m water spread along the feed bunk in both flow rates can easily accommodate 3 cows per nozzle, which would result in less water usage per cow.
On the other hand, the study found that the timing of the spray, or the sprinkler cycle, had a significant impact on cow welfare and productivity. The 3|3 sprinkler cycle was effective in cooling cows, but it also used twice as much water compared to the 3|9 group. This indicates that there may be a trade-off between water use efficiency and cooling efficiency. This highlights the challenge of developing sustainable heat abatement strategies for dairy cows in semi-arid regions. Striking a balance between water use efficiency and cooling efficiency is crucial, considering the limited water resources and the need to maintain cow productivity. The study results suggest that the 3|3 sprinkler cycle may be a suitable option in terms of cooling efficiency, while the 1.25 L/min flow rate may be a good choice for water use efficiency. The increasing use of water in sprinkler cooling systems is likely to result in higher energy consumption. However, due to the limited expertise and resources available, the exact relationship between water and energy consumption was not quantified in the current study.
4.7. Opportunities for Alternative Cooling Methods
It is important to consider alternative heat abatement methods for dairy cows in semi-arid regions to balance the trade-off between cooling efficiency and water use efficiency. Drwencke et al. [17] compared different cooling methods for dairy cows, including sprinkler cooling with different frequencies, cooling mats, and cooling air at the feed bunk and freestalls. They found that the cooling mats were less effective in lowing body temperature and respiration rate compared to sprinkler cooling. However, the cooling air treatment group targeted at feed bunks and freestalls was efficient in water use, but it used the highest energy. This information can help dairy farmers choose the best cooling strategy for their operation, considering factors such as water availability, cost, and cow comfort. The targeted cooling air strategy can be further explored in semi-arid areas where solar energy is abundant and can be harnessed to power the cooling systems.
5. Conclusions
In conclusion, the study suggests that reducing the flow rate during sprinkler cooling can be an effective strategy for improving water use efficiency in dairy farming operations under heat-stress conditions in semi-arid regions. The 1.25 L/min flow rate group showed similar performance to the 2.0 L/min group in terms of cow respiration rates and milk yields while using 37.2% less water. Additionally, the 3|3 sprinkler cycle was effective in improving cow performance compared to the other cycles. The results suggest that cooling cows with more frequent sprays using a reduced flow rate is the optimal option for water use efficiency without compromising cow welfare and productivity.
It is important to note that these results may not necessarily be generalizable to other types of cows or different climatic conditions. Further research may be necessary to confirm these findings and to determine the optimal options for water use efficiency in sprinkler cooling under different circumstances.
Author Contributions
Conceptualization, M.Q.S. and A.M.; methodology, M.Q.S., A.M. and H.R.; formal analysis, M.Q.S. and M.A.R.; resources M.Q.S. and H.R.; data curation, A.M.; writing—original draft preparation, M.Q.S. and A.M.; writing—review and editing, M.Q.S., H.R. and M.A.R.; supervision, M.Q.S. All authors have read and agreed to the published version of the manuscript.
Funding
This research was funded by Pakistan Science Foundation, grant number ‘PSF/NSLP/P-UVAS-840’; awarded to M.Q.S.
Institutional Review Board Statement
All the experimental procedures were undertaken in compliance with the Institutional Guidelines of the Ethical Review Committee and approved by the Advanced Studies and Research Board of the University of Veterinary and Animal Sciences, Lahore, Pakistan (das/1963 dated 11 November 2021).
Informed Consent Statement
Not applicable.
Data Availability Statement
The data presented in this study are available on request from the corresponding author.
Acknowledgments
The authors are grateful for the support of farm staff at the Dairy Animals Training and Research Center, University of Veterinary and Animal Sciences, Lahore. The authors also thank Israr Hussain for his assistance in data collection.
Conflicts of Interest
The authors declare no conflict of interest.
References
- Polsky, L.; von Keyserlingk, M.A.G. Invited Review: Effects of Heat Stress on Dairy Cattle Welfare. J. Dairy Sci. 2017, 100, 8645–8657. [Google Scholar] [CrossRef] [PubMed]
- Wolfenson, D.; Roth, Z. Impact of Heat Stress on Cow Reproduction and Fertility. Anim. Front. 2018, 9, 32–38. [Google Scholar] [CrossRef] [PubMed]
- Hempel, S.; Menz, C.; Pinto, S.; Galán, E.; Janke, D.; Estellés, F.; Müschner-Siemens, T.; Wang, X.; Heinicke, J.; Zhang, G.; et al. Heat Stress Risk in European Dairy Cattle Husbandry under Different Climate Change Scenarios—Uncertainties and Potential Impacts. Earth Syst. Dyn. 2019, 10, 859–884. [Google Scholar] [CrossRef]
- Thornton, P.; Nelson, G.; Mayberry, D.; Herrero, M. Impacts of Heat Stress on Global Cattle Production during the 21st Century: A Modelling Study. Lancet Planet. Health 2022, 6, e192–e201. [Google Scholar] [CrossRef] [PubMed]
- Farooq, M.H.; Shahid, M.Q. Quantification of on-farm groundwater use under different dairy production systems in Pakistan. PLoS Water 2023, 2, e0000078. [Google Scholar] [CrossRef]
- Al-Bahouh, M.; Osborne, V.; Wright, T.; Dixon, M.; VanderZaag, A.; Gordon, R. Blue Water Footprints of Ontario Dairy Farms. Water 2021, 13, 2230. [Google Scholar] [CrossRef]
- Le Riche, E.L.; VanderZaag, A.C.; Burtt, S.; Lapen, D.; Gordon, R. Water use and conservation on a free-stall dairy farm. Water 2017, 9, 977. [Google Scholar] [CrossRef]
- Gosling, S.N.; Arnell, N.W. A Global Assessment of the Impact of Climate Change on Water Scarcity. Clim. Chang. 2013, 134, 371–385. [Google Scholar] [CrossRef]
- Tresoldi, G.; Schütz, K.E.; Tucker, C.B. Cow cooling on commercial dry lot dairies: A description of 10 farms in California. Calif. Agric. 2017, 71, 249–255. [Google Scholar] [CrossRef]
- Chen, J.M.; Schütz, K.E.; Tucker, C.B. Cooling cows efficiently with sprinklers: Physiological responses to water spray. J. Dairy Sci. 2015, 98, 6925–6938. [Google Scholar] [CrossRef]
- Bah, M.; Javed, K.; Pasha, T.N.; Shahid, M.Q. Sprinkler flow rate affects physiological, behavioural and production responses of Holstein cows during heat stress. S. Afr. J. Anim. Sci. 2021, 51, 560–565. [Google Scholar] [CrossRef]
- Gebremedhin, K.G.; Wu, B. Simulation of Sensible and Latent Heat Losses from Wet-Skin Surface and Fur Layer. J. Therm. Bio. 2002, 27, 291–297. [Google Scholar] [CrossRef]
- Chen, J.M.; Schütz, K.E.; Tucker, C.B. Dairy cows use and prefer feed bunks fitted with sprinklers. J. Dairy Sci. 2013, 96, 5035–5045. [Google Scholar] [CrossRef] [PubMed]
- Tresoldi, G.; Schütz, K.E.; Tucker, C.B. Cooling cows with sprinklers: Spray duration affects physiological responses to heat load. J. Dairy Sci. 2018, 101, 4412–4423. [Google Scholar] [CrossRef] [PubMed]
- Tresoldi, G.; Schütz, K.E.; Tucker, C.B. Cooling cows with sprinklers: Timing strategy affects physiological responses to heat load. J. Dairy Sci. 2018, 101, 11237–11246. [Google Scholar] [CrossRef] [PubMed]
- Tresoldi, G.; Schütz, K.E.; Tucker, C.B. Cooling cows with sprinklers: Effects of soaker flow rate and timing on behavioral and physiological responses to heat load and production. J. Dairy Sci. 2019, 102, 528–538. [Google Scholar] [CrossRef] [PubMed]
- Drwencke, A.M.; Tresoldi, G.; Stevens, M.M.; Narayanan, V.; Carrazco, A.V.; Mitloehner, F.M.; Pistochini, T.E.; Tucker, C.B. Innovative cooling strategies: Dairy cow responses and water and energy use. J. Dairy Sci. 2020, 103, 5440–5454. [Google Scholar] [CrossRef] [PubMed]
- Brouk, M.J.; Smith, J.F.; Harner, J.P. Effect of sprinkling frequency and airflow on respiration rate, body surface temperature and body temperature of heat stressed dairy cattle. In Proceedings of the Fifth International Dairy Housing, Fort Worth, TX, USA, 29–31 January 2003; American Society of Agricultural and Biological Engineers: St. Joseph, MI, USA, 2003; pp. 263–268. [Google Scholar]
- Van Erp-Van der Kooj, E.; Van de Brug, M.; Roelofs, J.B. Validation of Nedap Smarttag leg and neck to assess behavioural activity level in dairy cattle. In Proc. Precision Dairy Farming; Wageningen Academic Publishers: Wageningen, The Netherlands, 2016; pp. 321–326. [Google Scholar]
- Borchers, M.R.; Gavigan, S.; Harbers, A.; Bewley, J. An evaluation of a novel device for measuring eating, rumination, and inactive behaviors in lactating Holstein dairy cattle. Animal 2021, 15, 100008. [Google Scholar] [CrossRef]
- Kadzere, C.T.; Murphy, M.R.; Silanikove, N.; Maltz, E. Heat Stress in Lactating Dairy Cows: A Review. Livest. Prod. Sci. 2002, 77, 59–91. [Google Scholar] [CrossRef]
- De Rensis, F.; Garcia-Ispierto, I.; López-Gatius, F. Seasonal Heat Stress: Clinical Implications and Hormone Treatments for the Fertility of Dairy Cows. Theriogenology 2015, 84, 659–666. [Google Scholar] [CrossRef]
- Gebremedhin, K.G.; Hillman, P.E.; Lee, C.N.; Collier, R.J.; Willard, S.T.; Arthington, J.D.; Brown-Brandl, T.M. Sweating rates of dairy cows and beef heifers in hot conditions. Trans. ASABE 2008, 51, 2167–2178. [Google Scholar] [CrossRef]
- Haley, D.B.; Rushen, J.; Passillé, A.M.d. Behavioural Indicators of Cow Comfort: Activity and Resting Behaviour of Dairy Cows in Two Types of Housing. Can. J. Anim. Sci. 2000, 80, 257–263. [Google Scholar] [CrossRef]
- Berman, A. Extending the potential of evaporative cooling for heat-stress relief. J. Dairy Sci. 2006, 89, 3817–3825. [Google Scholar] [CrossRef]
- Allen, J.D.; Hall, L.W.; Collier, R.J.; Smith, J.F. Effect of core body temperature, time of day, and climate conditions on behavioral patterns of lactating dairy cows experiencing mild to moderate heat stress. J. Dairy Sci. 2015, 98, 118–127. [Google Scholar] [CrossRef]
- Legrand, A.; Schütz, K.E.; Tucker, C.B. Using Water to Cool Cattle: Behavioral and Physiological Changes Associated with Voluntary Use of Cow Showers. J. Dairy Sci. 2011, 94, 3376–3386. [Google Scholar] [CrossRef] [PubMed]
- Chen, J.M.; Schütz, K.E.; Tucker, C.B. Cooling cows efficiently with water spray: Behavioral, physiological, and production responses to sprinklers at the feed bunk. J. Dairy Sci. 2016, 99, 4607–4618. [Google Scholar] [CrossRef] [PubMed]
Disclaimer/Publisher’s Note: The statements, opinions and data contained in all publications are solely those of the individual author(s) and contributor(s) and not of MDPI and/or the editor(s). MDPI and/or the editor(s) disclaim responsibility for any injury to people or property resulting from any ideas, methods, instructions or products referred to in the content. |
© 2023 by the authors. Licensee MDPI, Basel, Switzerland. This article is an open access article distributed under the terms and conditions of the Creative Commons Attribution (CC BY) license (https://creativecommons.org/licenses/by/4.0/).






