Spatialized Life Cycle Assessment of Fluid Milk Production and Consumption in the United States
Abstract
1. Introduction
Objectives
- Quantify impacts of fluid milk production and consumption, across life cycle stages, focusing on (a) water-related impacts including scarcity-weighted water consumption, (b) eutrophication of marine and freshwater systems, (c) land use, (d) human toxicity and ecotoxicity, (e) climate change;
- Analyze the spatialized distributions of milk production impacts across the U.S., accounting for locations of both feed and on-farm activities, and considering both production quantity and local impact intensity in areas (states or, for water-driven impacts, watersheds);
- Analyze the magnitude of impact associated with overall consumption of fluid milk, compared to overall impacts in the U.S., and analyze tradeoffs between impact categories and between areas.
2. Methods
2.1. Functional Unit
2.2. Matrix Approach to Spatial Inventory and Impacts
2.2.1. Overall Impacts at Farm Gate
- R (kg feed consumed/kg FPCMfarm) is the diagonal matrix of the ration for a given feed, expressing the kg feed consumed in each location i per kg milk produced. R is kept as a diagonal matrix rather than a vector to keep information on feed provenance in subsequent calculations.
- FTfeed (kg feed produced/kg feed consumed) is the feed trade matrix, expressing the kg feed produced in location j per kg feed consumed in location i.
- Bfeed (e.g., kg NO3 to water/kg feedproduced) is the inventory matrix for given a feed, expressing the emission or resource extraction in location k from production of 1 kg DM feed in location j.
- Bfarm (e.g., kg NO3 to water/kg FPCMfarm) is the inventory matrix for emission and extractions from dairy cow activities at farm (such as water consumption or pesticide applied to cow housing), expressing the emission or resource extraction in location k from production of 1 kg milk in location i.
- (dimensionless) is the milk-beef allocation factor matrix calculated from the biophysical approach [23].
- CF (e.g., marine eutrophication impact/kg NO3 to water) is the characterization factor matrix, expressing the impact in location l per unit inventory flow in location k. Because CF is a matrix, the location of both emissions and impacts is tracked.
2.2.2. National Spatial Inventory and Impact of Milk
- (e.g., marine eutrophication impact/) is the impact of national milk production, with each matrix element expressing impacts received by location l (row) due to milk production in location i (column).
- (unitless) is the production matrix (kept as a diagonal matrix rather than a vector to trace both induced and received impact by location), expressing fraction of national milk production at the level of analysis (state or watershed).
2.2.3. Overall Impacts of Fluid Milk Consumption over Life Cycle Stages
2.3. Inventory Data and Methods
2.4. Impact Assessment Methods
3. Results and Discussion
3.1. Inventory
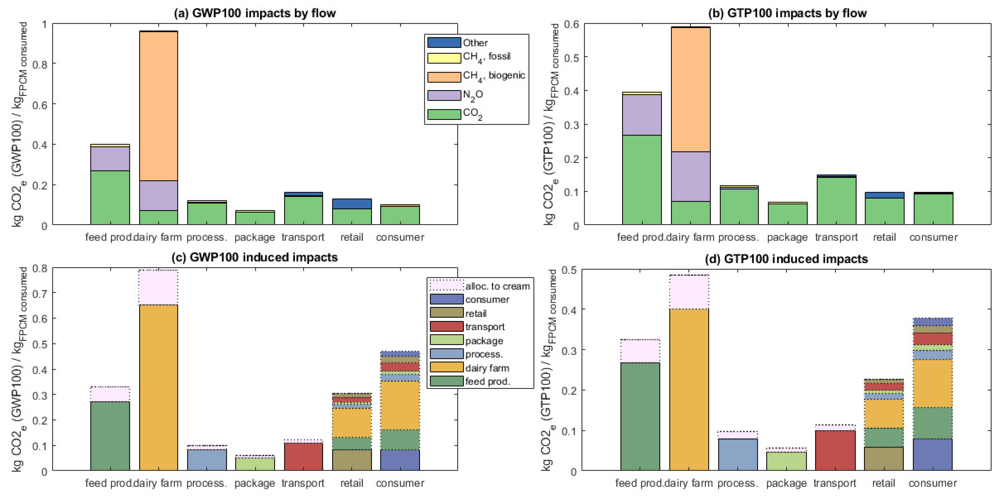
3.2. Greenhouse Gas Impacts of Milk Production and Fluid Milk Consumption
3.3. Water Consumption Impacts
3.4. Freshwater and Marine Eutrophication
3.5. Land Use
3.6. Ecotoxicity and Human Health Impacts
3.7. Damage Impacts across Impact Categories and Normalized Results
3.8. Water Footprint and Eutrophication
3.9. Comparison with Other Impact Assessment Methods and Different Products
3.10. Limitations and Further Needs
4. Conclusions
Supplementary Materials
Author Contributions
Funding
Institutional Review Board Statement
Informed Consent Statement
Data Availability Statement
Acknowledgments
Conflicts of Interest
References
- Janzen, H. What place for livestock on a re-greening earth? Anim. Feed. Sci. Technol. 2011, 166–167, 783–796. [Google Scholar] [CrossRef]
- Hallström, E.; Carlsson-Kanyama, A.; Börjesson, P. Environmental impact of dietary change: A systematic review. J. Clean. Prod. 2015, 91, 1–11. [Google Scholar] [CrossRef]
- Willett, W.; Rockström, J.; Loken, B.; Springmann, M.; Lang, T.; Vermeulen, S.; Garnett, T.; Tilman, D.; DeClerck, F.; Wood, A.; et al. Food in the Anthropocene: The EAT–Lancet Commission on healthy diets from sustainable food systems. Lancet 2019, 393, 447–492. [Google Scholar] [CrossRef]
- Casey, J.W.; Holden, N.M. Analysis of greenhouse gas emissions from the average Irish milk production system. Agric. Syst. 2005, 86, 97–114. [Google Scholar] [CrossRef]
- Kristensen, T.; Mogensen, L.; Knudsen, M.T.; Hermansen, J.E. Effect of production system and farming strategy on greenhouse gas emissions from commercial dairy farms in a life cycle approach. Livest. Sci. 2011, 140, 136–148. [Google Scholar] [CrossRef]
- Jayasundara, S.; Worden, D.; Weersink, A.; Wright, T.; VanderZaag, A.; Gordon, R.; Wagner-Riddle, C. Improving farm profitability also reduces the carbon footprint of milk production in intensive dairy production systems. J. Clean. Prod. 2019, 229, 1018–1028. [Google Scholar] [CrossRef]
- Heller, M.C.; Keoleian, G.A. Life Cycle Energy and Greenhouse Gas Analysis of a Large-Scale Vertically Integrated Organic Dairy in the United States. Environ. Sci. Technol. 2011, 45, 1903–1910. [Google Scholar] [CrossRef]
- Rotz, C.A.; Montes, F.; Chianese, D.S. The carbon footprint of dairy production systems through partial life cycle assessment. J. Dairy Sci. 2010, 93, 1266–1282. [Google Scholar] [CrossRef]
- Thoma, G.; Popp, J.; Shonnard, D.; Nutter, D.; Matlock, M.; Ulrich, R.; Kellogg, W.; Kim, D.S.; Neiderman, Z.; Kemper, N.; et al. Regional analysis of greenhouse gas emissions from USA dairy farms: A cradle to farm-gate assessment of the American dairy industry circa 2008. Int. Dairy J. 2013, 31, S29–S40. [Google Scholar] [CrossRef]
- FAO. Greenhouse Gas Emissions from the Dairy Sector: A Life Cycle Assessment; Food and Agriculture Organization of the United Nations, Animal Production and Health Division: Rome, Italy, 2010. [Google Scholar]
- Capper, J.L.; Cady, R.A.; Bauman, D.E. The environmental impact of dairy production: 1944 compared with 2007. J. Anim. Sci. 2009, 87, 2160–2167. [Google Scholar] [CrossRef]
- Capper, J.L.; Cady, R.A. The effects of improved performance in the U.S. dairy cattle industry on environmental impacts between 2007 and 2017. J. Anim. Sci. 2020, 98, skz291. [Google Scholar] [CrossRef] [PubMed]
- Yan, M.-J.; Humphreys, J.; Holden, N.M. An evaluation of life cycle assessment of European milk production. J. Environ. Manag. 2011, 92, 372–379. [Google Scholar] [CrossRef] [PubMed]
- Baldini, C.; Gardoni, D.; Guarino, M. A critical review of the recent evolution of Life Cycle Assessment applied to milk production. J. Clean. Prod. 2017, 140, 421–435. [Google Scholar] [CrossRef]
- Cederberg, C.; Mattsson, B. Life cycle assessment of milk production—A comparison of conventional and organic farming. J. Clean. Prod. 2000, 8, 49–60. [Google Scholar] [CrossRef]
- Fantin, V.; Buttol, P.; Pergreffi, R.; Masoni, P. Life cycle assessment of Italian high quality milk production. A comparison with an EPD study. J. Clean. Prod. 2012, 28, 150–159. [Google Scholar] [CrossRef]
- Høgaas Eide, M. Life cycle assessment (LCA) of industrial milk production. Int. J. Life Cycle Assess. 2002, 7, 115–126. [Google Scholar] [CrossRef]
- Hospido, A.; Moreira, M.; Feijoo, G. Simplified life cycle assessment of galician milk production. Int. Dairy J. 2003, 13, 783–796. [Google Scholar] [CrossRef]
- Sonesson, U.; Berlin, J. Environmental impact of future milk supply chains in Sweden: A scenario study. J. Clean. Prod. 2003, 11, 253–266. [Google Scholar] [CrossRef]
- Liao, X.; Gerichhausen, M.J.W.; Bengoa, X.; Rigarlsford, G.; Beverloo, R.H.; Bruggeman, Y.; Rossi, V. Large-scale regionalised LCA shows that plant-based fat spreads have a lower climate, land occupation and water scarcity impact than dairy butter. Int. J. Life Cycle Assess. 2020, 25, 1043–1058. [Google Scholar] [CrossRef]
- Henderson, A.D.; Asselin-Balençon, A.C.; Heller, M.; Lessard, L.; Vionnet, S.; Jolliet, O. Spatial Variability and Uncertainty of Water Use Impacts from U.S. Feed and Milk Production. Environ. Sci. Technol. 2017, 51, 2382–2391. [Google Scholar] [CrossRef]
- Guerci, M.; Knudsen Trydeman, M.; Bava, L.; Zucali, M.; Schönbach, P.; Kristensen, T. Parameters affecting the environmental impact of a range of dairy farming systems in Denmark, Germany and Italy. J. Clean. Prod. 2013, 54, 133–141. [Google Scholar] [CrossRef]
- Thoma, G.; Popp, J.; Nutter, D.; Shonnard, D.; Ulrich, R.; Matlock, M.; Kim, D.S.; Neiderman, Z.; Kemper, N.; East, C.; et al. Greenhouse gas emissions from milk production and consumption in the United States: A cradle-to-grave life cycle assessment circa 2008. Int. Dairy J. 2013, 31, S3–S14. [Google Scholar] [CrossRef]
- Eshel, G.; Shepon, A.; Makov, T.; Milo, R. Land, irrigation water, greenhouse gas, and reactive nitrogen burdens of meat, eggs, and dairy production in the United States. Proc. Natl. Acad. Sci. USA 2014, 111, 11996–12001. [Google Scholar] [CrossRef] [PubMed]
- Rotz, C.A.; Stout, R.C.; Holly, M.A.; Kleinman, P.J. Regional environmental assessment of dairy farms. J. Dairy Sci. 2020, 103, 3275–3288. [Google Scholar] [CrossRef] [PubMed]
- Rotz, A.; Stout, R.; Leytem, A.; Feyereisen, G.; Waldrip, H.; Thoma, G.; Holly, M.; Bjorneberg, D.; Baker, J.; Vadas, P.; et al. Environmental assessment of United States dairy farms. J. Clean. Prod. 2021, 315, 128153. [Google Scholar] [CrossRef]
- Ross, S.A.; Topp, C.; Ennos, R.A.; Chagunda, M.G.G. Relative emissions intensity of dairy production systems: Employing different functional units in life-cycle assessment. Animal 2017, 11, 1381–1388. [Google Scholar] [CrossRef]
- USDA ERS. Food Availability (Per Capita) Data System (Includes Loss-Adjusted Food Availability, LAFA); United States Department of Agriculture, Economic Research Service: Washington, DC, USA, 2021.
- USDA NASS. USDA/NASS—Data and Statistics—QuickStats 2.0; United States Department of Agriculture, National Agricultural Statistics Service: Washington, DC, USA, 2010.
- Fruin, J.E.; Halbach, D.W.; Hill, L.D.; Allan, A.J. U.S. Corn Movements, 1985: A Preliminary Report of Data; Department of Agricultural and Applied Economics—University of Minnesota: St. Paul, MN, USA, 1989. [Google Scholar]
- Larson, D.W.; Smith, T.R.; Baldwin, E.D. Soybean Movements in the United States: Interregional Flow Patterns and Transportation Requirements in 1985; Agriculture Experiment Station, University of Illinois: Urbana-Champaign, IL, USA, 1990. [Google Scholar]
- USDA NASS. 2007 Census of Agriculture. In Farm and Ranch Irrigation Survey: Volume 3 Special Studies Part 1; AC-07-SS-1; United States Department of Agriculture: Washington, DC, USA, 2010. [Google Scholar]
- Thoma, G.; Popp, J.; Shonnard, D.; Nutter, D.; Ulrich, R.; Matlock, M.D.; Kim, D.S.; Neiderman, Z.; Kemper, N.; East, C.; et al. Greenhouse Gas Emissions from Production of Fluid Milk in the US; University of Arkansas & Michigan Technological University: Fayetteville, AR, USA, 2010. [Google Scholar]
- NRC Subcommittee on Dairy Cattle. Nutrient Requirements of Dairy Cattle, 7th ed.; National Academies Press: Washington, DC, USA, 2001. [Google Scholar]
- Rotz, C.A.; Corson, M.S.; Chianese, D.S.; Coiner, C.U. The Integrated Farm System Model (IFSM): Reference Manual Version 3.4; Pasture Systems and Watershed Management Research Unit—Agricultural Research Service—United States Department of Agriculture: Washington, DC, USA, 2011.
- ASAE. D384-2: Manure Production and Characteristics; American Society of Agricultural Engineers: St. Joseph, MI, USA, 2005. [Google Scholar]
- IPCC. IPCC Guidelines for National Greenhouse Gas Inventories; IPCC National Greenhouse Gas Inventories Programme, Global Environmental Strategies (IGES): Hayama, Japan, 2006. [Google Scholar]
- Pinder, R.W.; Strader, R.; Davidson, C.I.; Adams, P.J. A temporally and spatially resolved ammonia emission inventory for dairy cows in the United States. Atmos. Environ. 2004, 38, 3747–3756. [Google Scholar] [CrossRef]
- Weidema, B.P.; Bauer, C.; Hischier, R.; Mutel, C.L.; Nemecek, T.; Vadenbo, C.O.; Wernet, G. Over-View and Methodology: Data Quality Guideline for the Ecoinvent Database Version 3 (Final Draft_Revision 1); Ecoinvent: St. Gallen, Switzerland, 2011. [Google Scholar]
- Frischknecht, R.; Jungbluth, N.; Althaus, H.-J.; Doka, G.; Dones, R.; Heck, T.; Hellweg, S.; Hischier, R.; Nemecek, T.; Rebitzer, G.; et al. The Ecoinvent Database: Overview and Methodological Framework. Int. J. Life Cycle Assess. 2005, 10, 3–9. [Google Scholar] [CrossRef]
- Looper, M.L.; Waldner, D.N. Water for Dairy Cattle, Guide D-107; Cooperative Extension Service, New Mexico State University: Las Cruces, NM, USA, 2002. [Google Scholar]
- Humbert, S.; Rossi, V.; Margni, M.; Jolliet, O.; Loerincik, Y. Life cycle assessment of two baby food packaging alternatives: Glass jars vs. plastic pots. Int. J. Life Cycle Assess. 2009, 14, 95–106. [Google Scholar] [CrossRef]
- Potter, S.R.; Andrews, S.; Atwood, J.D.; Kellogg, R.L.; Lemunyon, J.; Norfleet, L.; Oman, D. Model Simulation of Soil Loss, Nutrient Loss, and Change in Soil Organic Carbon Associated with Crop Production; US Department of Agriculture, Natural Resources Conservation Service, Conservation Effects Assessment Project (CEAP): Temple, TX, USA, 2006; p. 262.
- Aulenbach, B.T.; Buxton, H.T.; Battaglin, W.A.; Coupe, R.H. Streamflow and Nutrient Fluxes of the Mississippi-Atchafalaya River Basin and Subbasins for the Period of Record Through 2005; United States Geological Survey: Reston, VI, USA, 2007.
- USGS Annual Nutrient Flux and Concurrent Streamflow–Updated through Water Year 2010. Available online: http://toxics.usgs.gov/hypoxia/mississippi/flux_ests/delivery/index.html (accessed on 2 April 2012).
- Scavia, D.; Evans, M.A. Chesapeake Bay Hypoxic Volume Forecasts and Results; University of Michigan: Ann Arbor, MI, USA, 2011. [Google Scholar]
- USDA ERS. USDA/ERS Data Sets; USDA ERS: Washington, DC, USA, 2010.
- US Census Bureau. National Intercensal Datasets: 2000–2010; US Census Bureau: Washington, DC, USA, 2020.
- Lautier, A.; Rosenbaum, R.K.; Margni, M.; Bare, J.; Roy, P.-O.; Deschênes, L. Development of normalization factors for Canada and the United States and comparison with European factors. Sci. Total Environ. 2010, 409, 33–42. [Google Scholar] [CrossRef]
- Rosenbaum, R.K.; Bachmann, T.M.; Gold, L.S.; Huijbregts, M.A.; Jolliet, O.; Juraske, R.; Koehler, A.; Larsen, H.F.; MacLeod, M.; Margni, M.; et al. USEtox—The UNEP-SETAC toxicity model: Recommended characterisation factors for human toxicity and freshwater ecotoxicity in life cycle impact assessment. Int. J. Life Cycle Assess. 2008, 13, 532–546. [Google Scholar] [CrossRef]
- Shaked, S. Multi-Continental Multimedia Model of Pollutant Intake and Application to Impacts of Global Emissions and Globally Traded Goods. Ph.D. Dissertation, University of Michigan, Ann Arbor, MI, USA, 2011. [Google Scholar]
- Weidema, B.P. Using the budget constraint to monetarise impact assessment results. Ecol. Econ. 2009, 68, 1591–1598. [Google Scholar] [CrossRef]
- USGS. National Hydrography Dataset: Watershed Boundary Dataset (WBD); United States Geographical Survey: Washington, DC, USA, 2013.
- Asselin-Balençon, A.C.; Popp, J.; Henderson, A.; Heller, M.; Thoma, G.; Jolliet, O. Dairy farm greenhouse gas impacts: A parsimonious model for a farmer’s decision support tool. Int. Dairy J. 2013, 31, S65–S77. [Google Scholar] [CrossRef]
- Thomassen, M.; van Calker, K.; Smits, M.; Iepema, G.; de Boer, I. Life cycle assessment of conventional and organic milk production in the Netherlands. Agric. Syst. 2008, 96, 95–107. [Google Scholar] [CrossRef]
- Castanheira, É.G.; Dias, A.C.; Arroja, L.; Amaro, R. The environmental performance of milk production on a typical Portuguese dairy farm. Agric. Syst. 2010, 103, 498–507. [Google Scholar] [CrossRef]
- Texas AgriLife Research. National Nutrient Loss and Soil Carbon Database (NNLSC) Database; Texas AgriLife Blackland Research and Extension Center: College Station, TX, USA, 2010. [Google Scholar]
- Williams, J.R.; Wang, E.; Meinardus, A.; Harman, W.L.; Siemers, M.; Atwood, J.D. EPIC Users Guide v.0509; Texas AgriLife Research and Extension Center: Temple, TX, USA, 2006. [Google Scholar]
- USDA AMS. Pesticide Data Program: Annual Summary Calendar Year 2005. In Pesticide Data Program; United States Department of Agriculture, Agricultural Marketing Service: Washington, DC, USA, 2006. [Google Scholar]
- Jolliet, O.; Antón, A.; Boulay, A.-M.; Cherubini, F.; Fantke, P.; Levasseur, A.; McKone, T.E.; Michelsen, O.; i Canals, L.M.; Motoshita, M.; et al. Global guidance on environmental life cycle impact assessment indicators: Impacts of climate change, fine particulate matter formation, water consumption and land use. Int. J. Life Cycle Assess. 2018, 23, 2189–2207. [Google Scholar] [CrossRef]
- Pfister, S.; Boulay, A.-M.; Berger, M.; Hadjikakou, M.; Motoshita, M.; Hess, T.; Ridoutt, B.; Weinzettel, J.; Scherer, L.; Döll, P.; et al. Understanding the LCA and ISO water footprint: A response to Hoekstra (2016) “A critique on the water-scarcity weighted water footprint in LCA”. Ecol. Indic. 2017, 72, 352–359. [Google Scholar] [CrossRef]
- Ciroth, A.; Muller, S.; Weidema, B.; Lesage, P. Empirically based uncertainty factors for the pedigree matrix in ecoinvent. Int. J. Life Cycle Assess. 2016, 21, 1338–1348. [Google Scholar] [CrossRef]
- Jolliet, O.; Margni, M.; Charles, R.; Humbert, S.; Payet, J.; Rebitzer, G.; Rosenbaum, R. IMPACT 2002+: A new life cycle impact assessment methodology. Int. J. Life Cycle Assess. 2003, 8, 324–330. [Google Scholar] [CrossRef]
- Goedkoop, M.J.; Heijungs, R.; Huijbregts, M.A.J.; De Schryver, A.; Struijs, J.; van Zelm, R. ReCiPe 2008: A Life Cycle Impact Assessment Method Which Comprises Harmonised Category Indicators at the Midpoint and the End-Point Level; Report 1: Characterisation, 1st ed.; Ministry of Housing, Spatial Planning, and Environment (VROM): Amsterdam, The Netherlands, 2009. [Google Scholar]
- Bare, J.C.; Norris, G.A.; Pennington, D.W.; McKone, T.E. TRACI: The tool for the reduction and assessment of chemical and other environmental impacts. J. Ind. Ecol. 2003, 6, 49–78. [Google Scholar] [CrossRef]
- Frischknecht, R.; Jolliet, O. Global Guidance for lifE Cycle Impact Assessment Indicators: Volume 1; UNEP/SETAC Life Cycle Initiative, United Nations Environment Program/Society for Environmental Toxicology and Chemistry Life Cycle Initiative: Paris, France, 2016. [Google Scholar]
- Bulle, C.; Margni, M.; Patouillard, L.; Boulay, A.-M.; Bourgault, G.; De Bruille, V.; Cao, V.; Hauschild, M.; Henderson, A.; Humbert, S.; et al. IMPACT World+: A globally regionalized life cycle impact assessment method. Int. J. Life Cycle Assess. 2019, 24, 1653–1674. [Google Scholar] [CrossRef]
- Boulay, A.-M.; Bare, J.; Benini, L.; Berger, M.; Lathuillière, M.J.; Manzardo, A.; Margni, M.; Motoshita, M.; Nunez, M.; Pastor, A.V.; et al. The WULCA consensus characterization model for water scarcity footprints: Assessing impacts of water consumption based on available water remaining (AWARE). Int. J. Life Cycle Assess. 2018, 23, 368–378. [Google Scholar] [CrossRef]
- Boulay, A.-M.; Lenoir, L. Sub-national regionalisation of the AWARE indicator for water scarcity footprint calculations. Ecol. Indic. 2020, 111, 106017. [Google Scholar] [CrossRef]
- Forin, S.; Berger, M.; Finkbeiner, M. Comment to “Marginal and non-marginal approaches in characterization: How context and scale affect the selection of an adequate characterization factor. The AWARE model example”. Int. J. Life Cycle Assess. 2020, 25, 663–666. [Google Scholar] [CrossRef]
- Pfister, S.; Koehler, A.; Hellweg, S. Assessing the Environmental Impacts of Freshwater Consumption in LCA. Environ. Sci. Technol. 2009, 43, 4098–4104. [Google Scholar] [CrossRef] [PubMed]
- Helmes, R.J.K.; Huijbregts, M.A.J.; Henderson, A.D.; Jolliet, O. Spatially explicit fate factors of phosphorous emissions to freshwater at the global scale. Int. J. Life Cycle Assess. 2012, 17, 646–654. [Google Scholar] [CrossRef]
- US EPA. National Lakes Assessment: A Collaborative Survey of the Nation’s Lakes, EPA 841-R-09-001; Office of Wetlands, Oceans, and Watersheds, United States Environmental Protection Agency: Washington, DC, USA, 2010.
- US EPA. Monitoring: Great Lakes Environmental Database (GLENDA). In Great Lakes; 2012. Available online: http://www.epa.gov/greatlakes/monitoring/data_proj/glenda/index.html (accessed on 26 October 2012).
- Payet, J. Novel Methods for Integrated Risk Assessment of Cumulative Stressors in Europe (NOMIRACLE). In Report Describing a Method for the Quantification of Impacts on Aquatic Freshwater Ecosystems Resulting from Different Stressors (e.g., Toxic Substances, Eutrophication, etc), 003956; École Polytechnique Fédérale de Lausanne: Lausanne, Switzerland, 2006. [Google Scholar]
- Pfister, S.; Curran, M.A.; Koehler, A.; Hellweg, S. Trade-offs between land and water use: Regionalized impacts of energy crops. In Proceedings of the 7th International Conference on LCA in the Agri-Food Sector, Bari, Italy, 22–24 September 2010. [Google Scholar]
- Chaudhary, A.; Pfister, S.; Hellweg, S. Spatially Explicit Analysis of Biodiversity Loss Due to Global Agriculture, Pasture and Forest Land Use from a Producer and Consumer Perspective. Environ. Sci. Technol. 2016, 50, 3928–3936. [Google Scholar] [CrossRef]
- Chaudhary, A.; Brooks, T.M. Land Use Intensity-Specific Global Characterization Factors to Assess Product Biodiversity Footprints. Environ. Sci. Technol. 2018, 52, 5094–5104. [Google Scholar] [CrossRef]
- Kenny, J.F.; Barber, N.L.; Hutson, S.S.; Linsey, K.S.; Lovelace, J.K.; Maupin, M.A. Estimated Use of Water in the United States in 2005; United States Geological Survey, U.S. Geological Survey Circular: Reston, VA, USA, 2009.
- Henderson, A.D.; Asselin-Balençon, A.C.; Heller, M.C.; Vionnet, S.; Lessard, L.; Humbert, S.; Saad, R.; Margni, M. Comprehensive LCA of Fluid Milk Production in the United States; University of Michigan, Dairy Research Institute: Ann Arbor, MI, USA; Chicago, IL, USA, 2013. [Google Scholar]
- Stylianou, K.; McDonald, E.; Iii, V.F.; Jolliet, O. Standardized Recipes and Their Influence on the Environmental Impact Assessment of Mixed Dishes: A Case Study on Pizza. Sustainability 2020, 12, 9466. [Google Scholar] [CrossRef]
- USDA NASS. Geographic Area Series. In USDA/NASS—2007 Census of Agriculture; Cen V1 (2-09); United States Department of Agriculture: Washington, DC, USA, 2009. [Google Scholar]
- Nickerson, C.; Ebel, R.; Borchers, A.; Carriazo, F. Major Uses of Land in the United States, 2007; EIB-89; United States Department of Agriculture, Economic Research Service: Washington, DC, USA, 2011.
- Stylianou, K.S.; Heller, M.C.; Fulgoni, V.L.; Ernstoff, A.S.; Keoleian, G.A.; Jolliet, O. A life cycle assessment framework combining nutritional and environmental health impacts of diet: A case study on milk. Int. J. Life Cycle Assess. 2015, 21, 734–746. [Google Scholar] [CrossRef]






| per kg FPCMfarm (Farm Gate) | per kg FPCMconsumed (Consumer) | ||||||||
|---|---|---|---|---|---|---|---|---|---|
| Unit | Feed Product. | Milk Product. | Total | State Spatial Variability (10th to 90th %tile) a | Feed Product. | Milk Product. | Post Farm Gate | Total | |
| (a) Inventory Flows | |||||||||
| Land use | m2 | 1.29 | 1.72 × 10−3 | 1.29 | 1.2–2.1 | 1.56 | 2.08 × 10−3 | 0.0653 | 1.62 |
| Water consumption | m3 water | 0.174 | 6.66 × 10−3 | 0.181 | 0.01–0.39 | 0.21 | 8.04 × 10−3 | 6.48 × 10−3 | 0.225 |
| Phosphorus (to water) | kg P | 3.28 × 10−4 | 3.06 × 10−7 | 3.28 × 10−4 | 1.6 × 10−4–6.9 × 10−4 | 3.95 × 10−4 | 3.69 × 10−7 | 3.29 × 10−5 | 4.28 × 10−4 |
| Ammonia (to air) | kg NH3-N | 2.41 × 10−3 | 3.07 × 10−3 | 5.49 × 10−3 | 4.7 × 10−3–7.9 × 10−3 | 2.91 × 10−3 | 3.71 × 10−3 | 5.16 × 10−5 | 6.67 × 10−3 |
| Nitrate (to water) | kg NO3-N | 1.71 × 10−3 | 1.16 × 10−3 | 2.87 × 10−3 | 2.1 × 10−3–6.4 × 10−3 | 2.06∙10−3 | 1.39 × 10−3 | 9.49 × 10−6 | 3.47 × 10−3 |
| Nitrogen (other) | kg N | 3.63 × 10−4 | 1.20 × 10−4 | 4.83 × 10−4 | - | 4.37 × 10−4 | 1.45 × 10−4 | 8.29 × 10−4 | 1.41 × 10−3 |
| CO2 (fossil) | kg CO2 | 0.221 | 0.0585 | 0.279 | - | 0.266 | 0.0706 | 0.484 | 0.821 |
| CH4 (biogenic) | kg CH4 | 1.46 × 10−6 | 0.0278 | 0.0278 | - | 1.77 × 10−6 | 0.0335 | 3.00 × 10−4 | 0.0338 |
| N2O | kg N2O | 3.38 × 10−4 | 4.11 × 10−4 | 7.49 × 10−4 | - | 4.08 × 10−4 | 4.95 × 10−4 | 2.28 × 10−5 | 9.26 × 10−4 |
| (b) Midpoint indicators | |||||||||
| Water consumption—AWARE | m3 world avg (m3 max. deprivation) | 8.4 (0.084) | 0.15 (0.0015) | 8.55 (0.0855) | 0.01–18 (0.0001–0.18) | 10.1 (0.101) | 0.18 (1.8∙10−3) | 0.215 (2.15 × 10−3) | 10.5 (0.105) |
| Water consumption—WSI | m3 in competition | 0.118 | 2.71 × 10−3 | 0.121 | 5.0 × 10−4–0.25 | 0.143 | 3.27 × 10−3 | 2.96 × 10−4 | 0.146 |
| Global warming GWP100 shorter term (IPCC 2007) | kgCO2 eq. shorter term | 0.332 | 0.879 | 1.21 | - | 0.401 | 1.06 | 0.582 | 2.04 |
| Global warming GWP100 shorter term (IPCC 2013) | kgCO2 eq. shorter term | 0.337 | 1.13 | 1.47 | - | 0.406 | 1.36 | 0.602 | 2.37 |
| Global warming—GTP100 long term (IPCC 2013) | kgCO2 eq. long term | 0.327 | 0.488 | 0.815 | - | 0.394 | 0.588 | 0.526 | 1.51 |
| Area of Protection | Impact Category | Unit | Impact per kg FPCMfarm | Spatially-Modeled State Variability (10th–90th Percentile) a | Impact per kg FPCMconsumed |
|---|---|---|---|---|---|
| Human health | Carcinogens | µDALY b | 2.1 × 10−2 | 8.0 × 10−4–1.8 × 10−3 | 9.6 × 10−2 |
| Human health | Non-carcinogens | µDALY | 4.1 × 10−2 | (combined with carcinogens) | 7.3 × 10−2 |
| Human health | Fine particulate | µDALY | 0.75 | - | 1.2 |
| Human health | Ionizing radiation | µDALY | 7.1 × 10−4 | - | 2.9 × 10−3 |
| Human health | Ozone layer | µDALY | 3.1 × 10−5 | - | 7.4 × 10−4 |
| Human health | Photochemical oxidant formation | DALY | 2.8 × 10−3 | - | 3.7 × 10−3 |
| Human health | Water consumption | µDALY | 5.7 × 10−4 | 2.9 × 10−6–1.5 × 10−3 | 6.9 × 10−4 |
| Human health | Climate change shorter term (0–100 yr) | µDALY | 1.2 | - | 1.9 |
| Human health | Climate change long term (>100 yr) | µDALY | 1.0 | - | 2.1 |
| Human health | Total | µDALY | 3.02 (0.69%) c | - | 5.45 (0.26%) c |
| Ecosystem Quality | Climate change shorter term (0–100 yr) | PDF∙m2∙yr d | 0.26 | - | 0.42 |
| Ecosystem Quality | Climate change long term (>100 yr) | PDF∙m2∙yr | 0.23 | - | 0.49 |
| Ecosystem Quality | Land use biodiversity | PDF∙m2∙yr | 1.1 | 0.87–2.3 | 1.4 |
| Ecosystem Quality | Terrestrial acidification/nutrification | PDF∙m2∙yr | 0.11 | - | 0.15 |
| Ecosystem Quality | Aquatic ecotoxicity | PDF∙m2∙yr | 3.1 × 10−3 | 2.3 × 10−4–7.1 × 10−4 | 7.0 × 10−3 |
| Ecosystem Quality | Freshwater eutrophication (Total) | PDF∙m2∙yr | 0.15 | 0.02–0.11 | 0.21 |
| Ecosystem Quality | Marine eutrophication | PDF∙m2∙yr | 4.7 × 10−2 | 2.7 × 10−3–7.6 × 10−3 | 5.8 × 10−2 |
| Ecosystem Quality | Water consumption | PDF∙m2∙yr | 0.40 | 1.6 × 10−3–0.32 | 0.50 |
| Ecosystem Quality | Total | PDF∙m2∙yr | 2.3 (2.9%) c | - | 3.2 (0.8%) c |
| Resources | Water consumption | MJ primary e | 0.59 | - | 0.71 |
| Resources | Non-renewable energy | MJ primary | 4.4 | - | 15 |
| Resources | Mineral extraction | MJ primary | 2.0 × 10−3 | - | 5.1 × 10−3 |
| Resources | Total | MJ primary | 5.0 (0.48%) c | - | 15.7 (0.31%) c |
Disclaimer/Publisher’s Note: The statements, opinions and data contained in all publications are solely those of the individual author(s) and contributor(s) and not of MDPI and/or the editor(s). MDPI and/or the editor(s) disclaim responsibility for any injury to people or property resulting from any ideas, methods, instructions or products referred to in the content. |
© 2023 by the authors. Licensee MDPI, Basel, Switzerland. This article is an open access article distributed under the terms and conditions of the Creative Commons Attribution (CC BY) license (https://creativecommons.org/licenses/by/4.0/).
Share and Cite
Henderson, A.D.; Asselin-Balençon, A.; Heller, M.C.; Burek, J.; Kim, D.; Lessard, L.; Margni, M.; Saad, R.; Matlock, M.D.; Thoma, G.; et al. Spatialized Life Cycle Assessment of Fluid Milk Production and Consumption in the United States. Sustainability 2023, 15, 1890. https://doi.org/10.3390/su15031890
Henderson AD, Asselin-Balençon A, Heller MC, Burek J, Kim D, Lessard L, Margni M, Saad R, Matlock MD, Thoma G, et al. Spatialized Life Cycle Assessment of Fluid Milk Production and Consumption in the United States. Sustainability. 2023; 15(3):1890. https://doi.org/10.3390/su15031890
Chicago/Turabian StyleHenderson, Andrew D., Anne Asselin-Balençon, Martin C. Heller, Jasmina Burek, Daesoo Kim, Lindsay Lessard, Manuele Margni, Rosie Saad, Marty D. Matlock, Greg Thoma, and et al. 2023. "Spatialized Life Cycle Assessment of Fluid Milk Production and Consumption in the United States" Sustainability 15, no. 3: 1890. https://doi.org/10.3390/su15031890
APA StyleHenderson, A. D., Asselin-Balençon, A., Heller, M. C., Burek, J., Kim, D., Lessard, L., Margni, M., Saad, R., Matlock, M. D., Thoma, G., Wang, Y., & Jolliet, O. (2023). Spatialized Life Cycle Assessment of Fluid Milk Production and Consumption in the United States. Sustainability, 15(3), 1890. https://doi.org/10.3390/su15031890

