A Behavior Change Mining Method Based on Complete Logs with Hidden Transitions and Their Applications in Disaster Chain Risk Analysis
Abstract
1. Introduction
1.1. Problem Statement and Research Questions
1.2. Contributions and Research Method
- The concepts of the log minimum successor relation and log-weighted coefficient are proposed to quantify the occurrence dependencies of pairs of activities in logs.
- The behavioral relations of pairs of activities are quantitatively analyzed by calculating the log behavioral profiles and the log minimum successor relations. Additionally, the behavioral relations of pairs of activities are further refined.
- A change-mining method based on hidden transitions is proposed to mine different kinds of hidden transitions and solve the problem of searching for behavioral relation changes with hidden transitions in event logs.
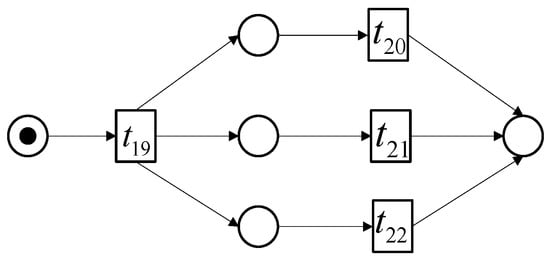
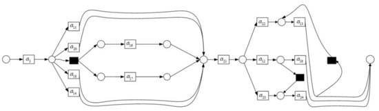
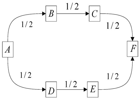
2. Motivating Example
3. Preliminaries of Models and Methods
- (1)
- The strict order relation , if ;
- (2)
- The interleaving order relation , if .
4. Change-Mining Methods for Models with Hidden Transitions Based on Complete Logs
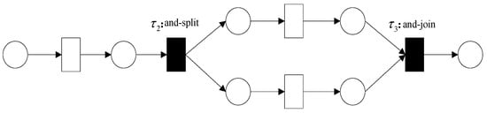
4.1. Classification Rules of Hidden Transitions
4.2. Constructing Change-Mining Methods
| Algorithm 1 Behavior-Relation-Change-Mining Algorithm Considering Hidden Transitions (BRCM algorithm) |
| Input: Output: . |
| Mining strict hidden transitions: . hold, hold, , and the hidden transition is a strict transition. |
| Mining and-split hidden transitions: . hold, . . |
| Mining skip hidden transitions: hold, , . hold, in the actual log. . The hidden transition is a skip transition. |
| Mining loop hidden transitions: hold, , hold. . , and the hidden transition is a loop transition. |
| Mining switch hidden transitions: hold, , . , . The hidden transition is a switch transition. |
4.3. Examples
, ,
, and .- (1)
- Strict order relation interleaving order relation ;
- (2)
- Interleaving order relation strict order relation ;
- (3)
- or ;
- (4)
- or .
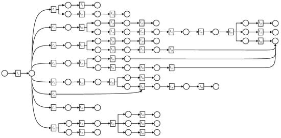
5. Experimental Evaluation
- (1)
- are present. Similarly, are present because . Additionally, we obtain and . It is inferred from Algorithm 1 (5–8) that the hidden transition contained in the actual log is an and-split transition, and the changed behavioral relation is .
- (2)
- The following are present: , , , , and . It is inferred from Algorithm 1 (15–18) that the hidden transition is a loop transition, and the changed behavioral relation is .
- (3)
- satisfies and such that we obtain . However, and hold. is obtained from Definition 5. It is inferred from Algorithm 1 (19–23) that the hidden transition is a switch transition, and the changed behavioral relation is .
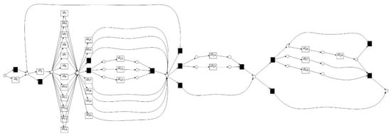
6. Case Study
6.1. Basic Types of Disaster Chains
6.2. Application of the Method
7. Conclusions
Author Contributions
Funding
Institutional Review Board Statement
Informed Consent Statement
Data Availability Statement
Conflicts of Interest
References
- Choueiri, A.C.; Santos, E.A.P. Discovery of path-attribute dependency in manufacturing environments: A process mining approach. J. Manuf. Syst. 2021, 61, 54–65. [Google Scholar] [CrossRef]
- Ko, J.; Comuzzi, M. Detecting anomalies in business process event logs using statistical leverage. Inf. Sci. 2021, 549, 53–67. [Google Scholar] [CrossRef]
- Fang, X.W.; Yan, Y.; Liu, X. An Analysis Method about Change Region of Business Process Model Based On Action Pattern. Int. J. Multimed. Eng. 2014, 5, 251–262. [Google Scholar] [CrossRef]
- Weidmann, M.; Alvi, M.; Koetter, F. Business process change management based on process model synchronization of multiple abstraction levels. In Proceedings of the IEEE International Conference on Service-Oriented Computing and Applications, Irvine, CA, USA, 12–14 December 2011. [Google Scholar]
- Weidlich, M.; Mendling, J.; Weske, M. Propagating change between aligned process models. J. Syst. Software 2012, 85, 1885–1898. [Google Scholar] [CrossRef]
- Fang, X.W.; Liu, L.; Liu, X.W. Analyzing method of change region in BPM based on modules of Petri net. ITJ 2013, 12, 1655–1659. [Google Scholar] [CrossRef]
- Dam, H.K.; Michael, W. An Agent-Oriented Approach to Change Propagation in Software Maintenance. Auton. Agent. Multi-Ag. 2011, 23, 384–452. [Google Scholar] [CrossRef]
- Assy, N.; Gaaloul, W.; Defude, B. Mining Confgurable Process Fragments for Business Process Design. In Proceedings of the 9th International Conference on Design Science Research in Information Systems and Technology, Miami, FL, USA, 22 May 2014. [Google Scholar]
- Gao, X.; Chen, Y.; Ding, Z.Z. Process Model Fragmentization, Clustering and Merging: An Empirical Study. In Proceedings of the 11th International Conference on Business Process Management, Beijing, China, 26–30 August 2013. [Google Scholar]
- Pourmasoumi, A.; Kahani, M.; Bagheri, E. Mining variable fragments from process event logs. Inform. Syst. Front. 2017, 19, 1423–1443. [Google Scholar] [CrossRef]
- Fang, H.; Sun, S.Y.; Fang, X.W. Behavior change mining methods based on incomplete logs conjoint occurrence relation. CIMS 2020, 26, 1887–1895. (In Chinese) [Google Scholar]
- Nolle, T.; Luettgen, S.; Seeliger, A. BINet: Multi-perspective business process anomaly classifcation. Inform. Syst. 2022, 103, 101458. [Google Scholar] [CrossRef]
- Fang, H.; Zhang, Y.; Wu, Q.L. A log induced change mining method for fault diagnosis using structure causality in BPMSs. Control. Theor. Technol. 2018, 35, 1167–1176. [Google Scholar]
- Nolle, T.; Luettgen, S.; Seeliger, A. Analyzing business process anomalies using autoencoders. J. Mach. Learn. 2018, 107, 1875–1893. [Google Scholar] [CrossRef]
- Weinzierl, S.; Wolf, V.; Pauli, T. Detecting temporal workarounds in business processes–A deep-learning-based method for analysing event log data. J. J. Bus. Anal. 2022, 5, 76–100. [Google Scholar] [CrossRef]
- Harl, M.; Weinzierl, S.; Stierle, M. Explainable predictive business process monitoring using gated graph neural networks. J. Decis. Syst. 2020, 29, 312–327. [Google Scholar] [CrossRef]
- Liu, B.; Hsu, W.; Han, H.S. Mining changes for real-life applications. In Proceedings of the International Conference on Data Warehousing and Knowledge Discovery, London, UK, 4–6 September 2000. [Google Scholar]
- Luna, R.; Balakrishnan, N.; Dagli, C.H. Postearthquake recovery of a water distribution system: Discrete event simulation using colored petri nets. J. Infrastruct. Syst. 2011, 17, 25–34. [Google Scholar] [CrossRef]
- Zhang, Y.; Huang, S.H.; Dang, D.; Ruan, H. Evaluation of Natural Disaster Emergency Response Procedure Based on Petri Net. Appl. Mech. Mater 2013, 339, 236–241. [Google Scholar] [CrossRef]
- Qi, C.; Luo, L.J. Analysis of Flood Disaster Case Based on Event Chain and Generalized Stochastic Petri Nets. J. Wuhan. Univ. Technol. 2017, 39, 130–134. [Google Scholar]
- Zhao, Q.; Wang, J. Disaster Chain Scenarios Evolutionary Analysis and Simulation Based on Fuzzy Petri Net: A Case Study on Marine Oil Spill Disaster. IEEE Access. 2019, 99, 183010–183023. [Google Scholar] [CrossRef]
- Ko, J.; Comuzz, M. Keeping our rivers clean: Information-theoretic online anomaly detection for streaming business process events. Inform. Syst. 2021, 104, 101894. [Google Scholar] [CrossRef]
- Wu, Z.H. Introduction to Petri; Machinery Industry Press: Beijing, China, 2006; pp. 1–3. (In Chinese) [Google Scholar]
- Van der Aalst, W. Process Discovery: Capturing the Invisible. IEEE. Comput. Intell. M. 2010, 5, 28–41. [Google Scholar] [CrossRef]
- Weidlich, M.; Polyvyanyy, A.; Desai, N. Process Compliance Measurement Based on Behavioural Profles. Inform. Syst. 2011, 36, 1009–1025. [Google Scholar] [CrossRef]
- Kunze, M.; Weidlich, M.; Weske, M. Querying process models by behavior inclusion. Softw. Syst. Model. 2015, 14, 1105–1125. [Google Scholar] [CrossRef]
- Lin, Z.; Zhang, B.; Guo, J. Analysis of a Water-Inrush Disaster Caused by Coal Seam Subsidence Karst Collapse Column under the Action of Multi-Field Coupling in Taoyuan Coal Mine. Cmes-Comp. Model. Eng. 2021, 126, 311–330. [Google Scholar]

















| A | B | C | D | |
| A | ||||
| B | ||||
| C | ||||
| D |
| A | B | C | D | |
| A | ||||
| B | ![]() | |||
| C | ![]() | |||
| D |
| Symbol | Trace |
|---|---|
| Symbol | Trace |
|---|---|
| (1) | (2) | (1) | (2) | (3) | ||
| (1) | (2) | |||||
| (1) | ||||||
| (1) | (2) | |||||
| (1) | ||||||
| E | ||||||
| (1) | (3) | (1) | (3) | (5) | ||
| (1) | ||(1) | (1) | (4) | |||
| ||(1) | (3) | |||||
| ||(1) | (1) | (1) | (2) | |||
| ||(1) | (1) | |||||
| Symbol | Trace |
|---|---|
| A | B | C | |
| (1) | (2) | ||
| (1) | |||
| A | B | C | |
| (1) | (1) | ||
| (1) | |||
| Symbol | Trace |
|---|---|
| Symbol | Trace |
|---|---|
| (1) | (2) | (3) | ||
| (1) | (2) | |||
| (1) | ||||
| (1) | (2) | (3) | ||
| (2) | ||(1) | (2) | ||
| ||(1) | (2) | (1) | ||
| (1) | (2) | (3) | (2) | (3) | (4) | ||
| (1) | (2) | (1) | (2) | (3) | |||
| (1) | (2) | ||||||
| (1) | |||||||
| (1) | (2) | ||||||
| (1) | |||||||
| (1) | (2) | (3) | (2) | (3) | (4) | ||
| (1) | (2) | (1) | (2) | (3) | |||
| (1) | (1) | (2) | |||||
| (1) | |||||||
| (1) | (2) | ||||||
| (1) | |||||||
| Symbol | Trace | Symbol | Trace |
|---|---|---|---|
| (3) | (4) | (1) | (1) | (1) | (1) | (1) | (4) | (1) | (2) | (3) | (3) | (4) | ||
| (1) | ||||||||||||||
| (2) | (3) | (3) | (1) | (2) | (2) | (3) | ||||||||
| (2) | (3) | (3) | (1) | (2) | (2) | (3) | ||||||||
| (2) | (3) | (3) | (1) | (2) | (2) | (3) | ||||||||
| (2) | (3) | (3) | (1) | (2) | (2) | (3) | ||||||||
| (2) | (3) | (3) | (1) | (2) | (2) | (3) | ||||||||
| (2) | (3) | (3) | (1) | (2) | (2) | (3) | ||||||||
| (1) | (2) | (2) | (1) | (1) | (2) | |||||||||
| (1) | ||||||||||||||
| (1) | ||||||||||||||
| Symbol | Trace | Symbol | Trace |
|---|---|---|---|
| (3) | (4) | (1) | (1) | (1) | (1) | (1) | (4) | (1) | (2) | (3) | (3) | (4) | ||
| (1) | (1) | |||||||||||||
| (1) | ||||||||||||||
| (2) | (3) | (3) | (1) | (2) | (2) | (3) | ||||||||
| (2) | (3) | (3) | (1) | (2) | (2) | (3) | ||||||||
| (2) | (3) | (1) | (3) | (1) | (2) | (2) | (3) | |||||||
| (2) | (3) | (1) | (3) | (1) | (2) | (2) | (3) | |||||||
| (2) | (3) | (3) | (1) | (2) | (2) | (3) | ||||||||
| (2) | (3) | (3) | (1) | (2) | (2) | (3) | ||||||||
| (1) | (2) | (2) | (1) | (1) | (2) | |||||||||
| (1) | ||||||||||||||
| (1) | ||||||||||||||
| Symbol | Semantic | Symbol | Semantic | Symbol | Semantic |
|---|---|---|---|---|---|
| Oil spill | Aquatic death | Injury and death | |||
| Nature reserve | Inflow into the market | Negative network public opinion | |||
| Amount of oil spill | Food contamination | Maritime traffic disruption | |||
| Volatility of oil | Negative network public opinion | Unconditional trigger | |||
| Flammability of oil | Market fluctuation | Freight break | |||
| Maritime traffic area | Unsalted aquatic products | Tourism damage | |||
| Scenic area | Social mass incidents | Unconditional trigger | |||
| Controversial area | Air pollution | Service industry damage | |||
| Shoreline | Oil spill responders | Foreign-related events | |||
| Ecological destruction | Coastal residential area | Shore beach pollution | |||
| Wildlife death | responder poisoning | Coastal industrial area | |||
| Animal epidemic event | Mass poisoning event | Industrial production damage | |||
| Water pollution | Negative network public opinion | School suspension | |||
| Urban water supply area | Hazardous chemicals explosion | Transport industry damage | |||
| Aquaculture | Negative network public opinion | Soil pollution | |||
| Urban water supply interruption | Human existence |
Disclaimer/Publisher’s Note: The statements, opinions and data contained in all publications are solely those of the individual author(s) and contributor(s) and not of MDPI and/or the editor(s). MDPI and/or the editor(s) disclaim responsibility for any injury to people or property resulting from any ideas, methods, instructions or products referred to in the content. |
© 2023 by the authors. Licensee MDPI, Basel, Switzerland. This article is an open access article distributed under the terms and conditions of the Creative Commons Attribution (CC BY) license (https://creativecommons.org/licenses/by/4.0/).
Share and Cite
Sun, S.; Li, Q. A Behavior Change Mining Method Based on Complete Logs with Hidden Transitions and Their Applications in Disaster Chain Risk Analysis. Sustainability 2023, 15, 1655. https://doi.org/10.3390/su15021655
Sun S, Li Q. A Behavior Change Mining Method Based on Complete Logs with Hidden Transitions and Their Applications in Disaster Chain Risk Analysis. Sustainability. 2023; 15(2):1655. https://doi.org/10.3390/su15021655
Chicago/Turabian StyleSun, Shuya, and Qingsheng Li. 2023. "A Behavior Change Mining Method Based on Complete Logs with Hidden Transitions and Their Applications in Disaster Chain Risk Analysis" Sustainability 15, no. 2: 1655. https://doi.org/10.3390/su15021655
APA StyleSun, S., & Li, Q. (2023). A Behavior Change Mining Method Based on Complete Logs with Hidden Transitions and Their Applications in Disaster Chain Risk Analysis. Sustainability, 15(2), 1655. https://doi.org/10.3390/su15021655

