Optimization of the Well Start-Up Procedure and Operating Parameters for ESP Gas Well Dewatering
Abstract
1. Introduction
2. Materials and Methods-Situation of Gas Reservoir, Wells, and ESP Systems
3. Results and Discussion
3.1. Case 1: Optimization of The Well Start-Up Procedure
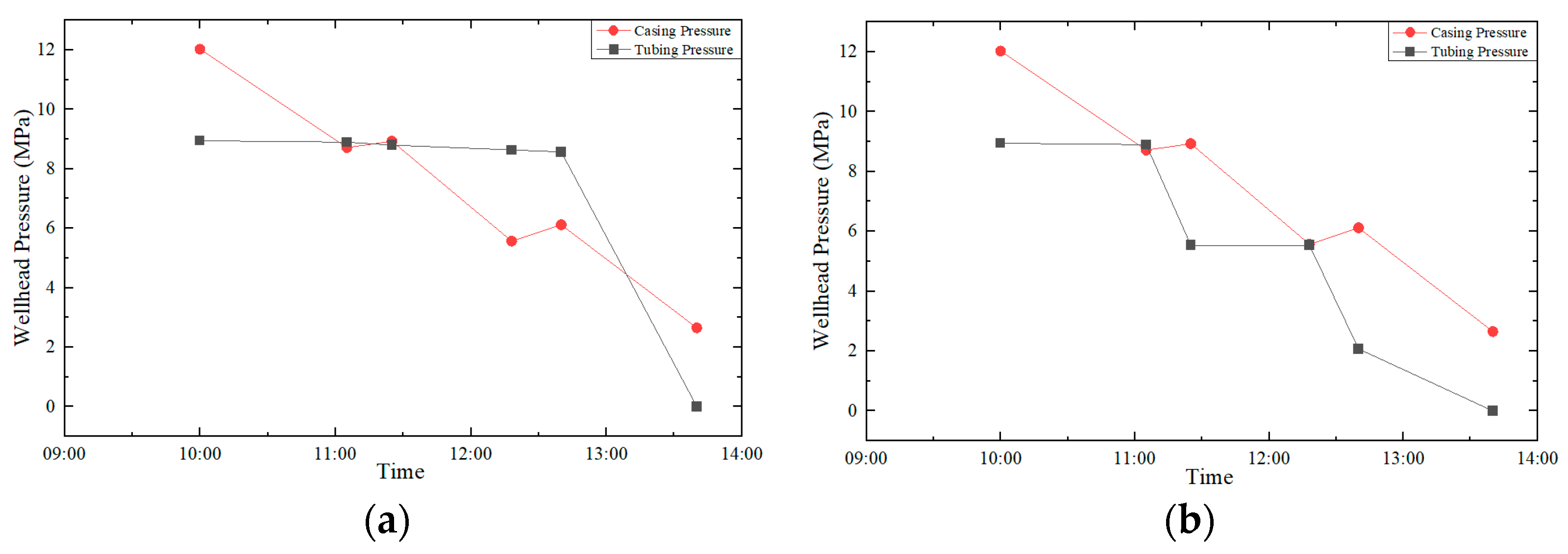
3.1.1. Challenge Overview-Fail to Start the ESP
3.1.2. Analysis of the Reasons
3.1.3. Optimization Methods
3.1.4. Estimation of Tubing Pressure Bleed-Off Speed
- (a)
- Pressure below the check valve
- (b)
- Pressure above the check valve
- (c)
- Tubing pressure bleed-off rate
3.1.5. Optimized Well Start-Up Procedure
- Record the parameters such as the wellhead tubing pressure, casing pressure, and intake pressure.
- Perform the TCA bleed-off process for 1 h at a design rate (3–4 MPa/h).
- Carry out the tubing bleed-off process, and the bleeding rate should be Rpt. Pay attention to the reading of Pi: significant fluctuation of Pi indicates that the check valve has been opened. Then, shut down the tubing choke.
- Repeat Steps 1–3 until the casing pressure was bled to the target value.
- To prevent the gas from entering the pump again, start up the ESP as soon as possible.
3.2. Case 2: Optimization of ESP Operating Parameters
3.2.1. Challenge Overview—Changes in Well Conditions
3.2.2. Nodal Analysis Method for ESP
3.2.3. Optimization of Operating Parameters to Maximize the Pump Efficiency
- Set the pump as the analysis node, calculate the discharge pressure (VLP curve) and intake pressure (IPR curve) under various flow rates, and calculate the difference between the discharge pressure and intake pressure under various flow rates (VLP-IPR curve).
- Spot the BEP of the ESP under the nameplate frequency and calculate the BEP under different frequencies.
- Combine the VLP-IPR curve with the BEP curve, and the intersection of the two curves will become the desired working point where the pump efficiency is maximized.
4. Conclusions
- For the ESP system with a check valve, ESP start-up failures often occur in gassy wells. Based on the working record during the well start-up process, the failure was considered the result of some gas entering the pump through the pump intake and being sealed in the pump by the check valve. This gas column caused the gas locking of the centrifugal pump.
- A new well start-up procedure for ESP dewatering gas wells with a check valve was also proposed. The new procedure could bleed the gas column trapped in the centrifugal pump through the check valve by alternately bleeding off the pressure in tubing and TCA. By virtue of this procedure, the ESP start-up failure can be avoided without the need for workover operations, thereby saving time, manpower, and cost for the operators.
- The nodal analysis method was introduced to optimize the operating parameters of an ESP system. Combined with the affinity laws of the ESP system, either the working status can be calculated based on a given frequency, or the optimized working frequency can be calculated in accordance with a working case.
- Based on the nodal analysis method, an optimization method for production rate and ESP working frequency was introduced. Unlike traditional methods, the optimization objective of this method is to maximize the pump efficiency. Additionally, this method can optimize the flow rate based on the pump efficiency data of a given ESP system, and the working frequency of the ESP can be calculated as well.
- The ESP operating parameters optimizing method was applied to a well. The hydraulic fracturing operation was performed on the well to enhance the production capacity and the original ESP system should also be installed into the well. The flow rate and the ESP operating frequency were successfully calculated using this new method. Besides, the calculation results indicate that the best pump efficiency can be reached, and it will be 12.2–33% higher than before
Author Contributions
Funding
Institutional Review Board Statement
Informed Consent Statement
Data Availability Statement
Conflicts of Interest
References
- Chai, J.; Liang, T.; Zhou, X.; Ye, Y.; Xing, L.; Lai, K.K. Natural Gas Consumption of Emerging Economies in the Industrialization Process. Sustainability 2016, 8, 1089. [Google Scholar] [CrossRef]
- Xiong, W.; Yan, L.; Wang, T.; Gao, Y. Substitution Effect of Natural Gas and the Energy Consumption Structure Transition in China. Sustainability 2020, 12, 7853. [Google Scholar] [CrossRef]
- Lu, J.; Luo, Z.; Zou, H.; Li, Y.; Hu, Z.; Zhou, Z.; Zhu, J.; Han, M.; Zhao, L.; Lin, Z. Geochemical characteristics, origin, and mechanism of differential accumulation of natural gas in the carboniferous kelameili gas field in Junggar basin, China. J. Pet. Sci. Eng. 2021, 203, 108658. [Google Scholar] [CrossRef]
- Peng, Y.; Liao, T.; Kang, Y.; Zhu, Q.; Li, C. Unlock the Liquid Loaded Gas Wells with ESP Technology: The Successful ESP Dewatering Application in China Sichuan Gas Field. In Proceedings of the International Petroleum Technology Conference, Bangkok, Thailand, 14–16 November 2016. [Google Scholar] [CrossRef]
- Lea, J.F.; Lynn, R. Gas Well Deliquification; Gulf Professional Publishing: Houston, TX, USA, 2019; pp. 7–23. [Google Scholar]
- Veeken, C.; Dawood, A.K. Selecting artificial lift or deliquification measures for deep gas wells in the sultanate of Oman. In Proceedings of the SPE Kuwait Oil & Gas Show and Conference, Mishref, Kuwait, 13-–16 October 2019. [Google Scholar] [CrossRef]
- Yang, P.; Chen, J.; Wu, L.; Li, S. Fault Identification of Electric Submersible Pumps Based on Unsupervised and Multi-Source Transfer Learning Integration. Sustainability 2022, 14, 9870. [Google Scholar] [CrossRef]
- Heinze, L.R.; Herald, W.; Winkler; James, F.L. Decision Tree for selection of Artificial Lift method. In Proceedings of the SPE Production Operations Symposium, Oklahoma City, Oklahoma, 2–4 April 1995. [Google Scholar] [CrossRef]
- Bassett, L. Guidelines to successful dewatering of CBM wells. In Proceedings of the SPE Eastern Regional Meeting, Canton, OH, USA, 11–13 October 2006. [Google Scholar] [CrossRef]
- Khamehchi, E.; Mahdi, K.; Hassan, A. A case study to optimum selection of deliquification method for gas condensate well design: South Pars gas field. Ain Shams Eng. J. 2016, 7, 847–853. [Google Scholar] [CrossRef]
- Crnogorac, M.; Tanasijević, M.; Danilović, D. Selection of Artificial Lift Methods: A Brief Review and New Model Based on Fuzzy Logic. Energies 2020, 13, 1758. [Google Scholar] [CrossRef]
- Peter, O.O.; James, F.L. Artificial Lift Selection Strategy for the Life of a Gas Well with Some Liquid Production. In Proceedings of the SPE Annual Technical Conference and Exhibition, Denver, CO, USA, 21–24 September 2008. [Google Scholar] [CrossRef]
- Ma, H.; Han, G.; Peng, L.; Zhu, L.; Shu, J. Rock Thin Sections Identification Based on Improved Squeeze-and-Excitation Networks Model. Comput. Geosci. 2021, 152, 104780. [Google Scholar] [CrossRef]
- Bassett, L. Successful Strategies for Dewatering Wells Using ESP’s. In Proceedings of the SPE Eastern Regional Meeting, Charleston, WV, USA, 23–25 September 2009. [Google Scholar] [CrossRef]
- Peng, Y.; Ye, C.; Sun, F.; Wang, X.; Zhu, P.; Zhu, Q.; Wang, W. Drainage gas recovery technology for high-sulfur gas wells by a canned ESP system. Nat. Gas Ind. B 2018, 5, 452–458. [Google Scholar] [CrossRef]
- Veeken, C.; Ahmed, A.R.; Ahmed, A.H. Gas Well Deliquification Strategy in Sultanate Of Oman. In Proceedings of the SPE Conference at Oman Petroleum & Energy Show, Muscat, Oman, 21–23 March 2022. [Google Scholar] [CrossRef]
- Agus, Y.; Natasya, P. New Way of Method to Deal with ESP Problem. In Proceedings of the SPE Annual Caspian Technical Conference and Exhibition, Astana, Kazakhstan, 12–14 November 2014. [Google Scholar] [CrossRef]
- Hou, X.; Sun, Q.; Zhao, Q.; Zhu, L. Adjust the Position of the Check Valve to Reduce the Gas Lock Phenomenon of the Electrical Submersible Pump. China Pet. Chem. Stand. Qual. 2018, 93–94. [Google Scholar] [CrossRef]
- API. RP 11S4, Recommended Practice for Sizing and Selection of Electric Submersible Pump Installations, 3rd ed.; American Petroleum Institute: Washington, DC, USA, 2002. [Google Scholar]
- Knudsen, B.R.; Foss, B. Shut-in based production optimization of shale-gas systems. Comput. Chem. Eng. 2013, 58, 54–67. [Google Scholar] [CrossRef]
- Alquwizani, S.A.; Shepler, R.A.; Zoraia, G.H.; Mohammed, N.K. Managing Tubing-Casing-Annulus in ESP Completions for Enhanced Wellbore Integrity and Improved ESP Runlife. In Proceedings of the SPE Middle East Artificial Lift Conference and Exhibition, Manama, Bahrain, 26–27 November 2014. [Google Scholar] [CrossRef]
- Xiao, J.J.; Roth, B.; Lastra, R.; Aramco, S.; Sarawaq, Y.; John, M. Cable Concept Evaluation for ESP Rigless Deployment. In Proceedings of the SPE Middle East Artificial Lift Conference and Exhibition, Manama, Kingdom of Bahrain, 30 November–1 December 2016. [Google Scholar] [CrossRef]
- Takacs, G. Electrical Submersible Pumps Manual, 2nd ed.; Gulf professional publishing: Cambridge, MA, USA, 2018; pp. 11–53. [Google Scholar]
- Williams, A.J. Use of New Design Tool Improves ESP Design Across the Life of Well in Unconventional Applications. In Proceedings of the SPE Gulf Coast Section Electric Submersible Pumps Symposium, The Woodlands, TX, USA, 13–17 May 2019. [Google Scholar] [CrossRef]
- Bruijnen, P.M. Nodal analysis by use of ESP intake and discharge pressure gauges. SPE Prod. Oper. 2016, 31, 76–84. [Google Scholar] [CrossRef]
- Iranzi, J.; Son, H.; Lee, Y.; Wang, J. A Nodal Analysis Based Monitoring of an Electric Submersible Pump Operation in Multiphase Flow. Appl. Sci. 2022, 12, 2825. [Google Scholar] [CrossRef]
- Powers, M.L. Special considerations for electric submersible pump applications in underpressured reservoirs. SPE Prod. Eng. 1992, 7, 301–306. [Google Scholar] [CrossRef]
- Mukati, K.; Wilson, O.; Morales, M.; Arias, B.; Clinton, T. Optimization of Well Start-Up Using Integrated Well and Electrical Submersible Pump Modeling. In Proceedings of the Offshore Technology Conference, Houston, TX, USA, 6–9 May 2019. [Google Scholar] [CrossRef]










| Parameters | Well D4 | Well D8 | |
|---|---|---|---|
| PVT | Water Gravity (Kg/m3) | 1020 | 1014 |
| Gas Specific Gravity | 0.603 | 0.655 | |
| BHT (Deg C) | 107.6 | 113.3 | |
| GLR (sm3/m3) | 82.1 | 85.9 | |
| Inflow Characteristics | Reservoir Pressure (MPa) | 31.1 | 31.5 |
| PI (sm3/d/MPa) | 0.87 | 1.9 | |
| Well structure | Tubing ID (mm) | 62 | 62 |
| Tubing OD (mm) | 73 | 73 | |
| Casing ID (mm) | 121.36 | 121.36 | |
| ESP Intake Depth (m TVD) | 3102 | 3098 | |
| Reservoir Depth (m TVD) | 3562–3644 | 3577–3621 | |
| Model | Nameplate Frequency | Nameplate Voltage | Nameplate Current | Nameplate Rate | Nameplate Head |
|---|---|---|---|---|---|
| QYDB116-30/3200C | 50 Hz | 1420 V | 38.2 A | 30 m3/d | 3200 m |
Disclaimer/Publisher’s Note: The statements, opinions and data contained in all publications are solely those of the individual author(s) and contributor(s) and not of MDPI and/or the editor(s). MDPI and/or the editor(s) disclaim responsibility for any injury to people or property resulting from any ideas, methods, instructions or products referred to in the content. |
© 2023 by the authors. Licensee MDPI, Basel, Switzerland. This article is an open access article distributed under the terms and conditions of the Creative Commons Attribution (CC BY) license (https://creativecommons.org/licenses/by/4.0/).
Share and Cite
Wang, X.; Feng, X.; Liu, J.; Hong, J.; Yao, J.; Liu, H.; Liu, Z.; Han, G. Optimization of the Well Start-Up Procedure and Operating Parameters for ESP Gas Well Dewatering. Sustainability 2023, 15, 1498. https://doi.org/10.3390/su15021498
Wang X, Feng X, Liu J, Hong J, Yao J, Liu H, Liu Z, Han G. Optimization of the Well Start-Up Procedure and Operating Parameters for ESP Gas Well Dewatering. Sustainability. 2023; 15(2):1498. https://doi.org/10.3390/su15021498
Chicago/Turabian StyleWang, Xiaolei, Xuezhang Feng, Jinbo Liu, Jiangling Hong, Jinsong Yao, Honglei Liu, Zelin Liu, and Guoqing Han. 2023. "Optimization of the Well Start-Up Procedure and Operating Parameters for ESP Gas Well Dewatering" Sustainability 15, no. 2: 1498. https://doi.org/10.3390/su15021498
APA StyleWang, X., Feng, X., Liu, J., Hong, J., Yao, J., Liu, H., Liu, Z., & Han, G. (2023). Optimization of the Well Start-Up Procedure and Operating Parameters for ESP Gas Well Dewatering. Sustainability, 15(2), 1498. https://doi.org/10.3390/su15021498
