Robust Fuzzy Logic MPPT Using Gradient-Based Optimization for PEMFC Power System
Abstract
:1. Introduction
1.1. Overview
1.2. Literature Review
1.3. Paper Contribution
- An enhanced design approach is suggested for maximizing the power point tracking (MPPT) control of PEMFCs through the utilization of FLC.
- The proposed method uses adaptive variable duty cycle MPPT control to ensure rapid MPPT during transient conditions and to minimize fluctuations during steady-state operations.
- An optimized approach is introduced for determining the parameters of FLC systems in order to maximize their flexibility and effectiveness using the gradient-based optimizer (GBO) algorithm.
- The GBO algorithm provides the optimized FLC parameters to accurately and swiftly track the desired outcomes. Thence, the overall performance is significantly enhanced, resulting in improved accuracy and speed.
- Performance comparisons are presented between the GBO algorithm and several other featured algorithms from the literature.
- Furthermore, statistical tests are employed in this study to guarantee a fair and objective comparison of the various metaheuristic algorithms used.
2. Model of PEMFC
3. Parameter Identification Process
- Fuzzification stage:In this stage, the MFs are calculated for the inputs of the FLC. The calculation of these MFs depends on the selected shape and type of MFs for each input. In the proposed method, triangular MFs are chosen and designed for the inputs. The purpose of this stage is to convert the physically measured electrical signals into a suitable form for the FLC method.
- Fuzzy-rule based evaluation stage:In this step, a set of fuzzy rules is applied to evaluate the calculations obtained from the previous fuzzification stage.
- Defuzzification stage:In this stage, the output of the fuzzy rule-based evaluation is inputted to the defuzzification step. Afterward, it outputs the MF for the converter duty cycle by utilizing the calculated values and increments for the duty cycle.

4. Brief Overview of Optimization Algorithms Adopted
4.1. Gradient-Based Optimizer
4.2. Osprey Optimization Algorithm
4.3. Sine Cosine Algorithm
4.4. Salp Swarm Algorithm (SSA)
4.5. Whale Optimization Algorithm
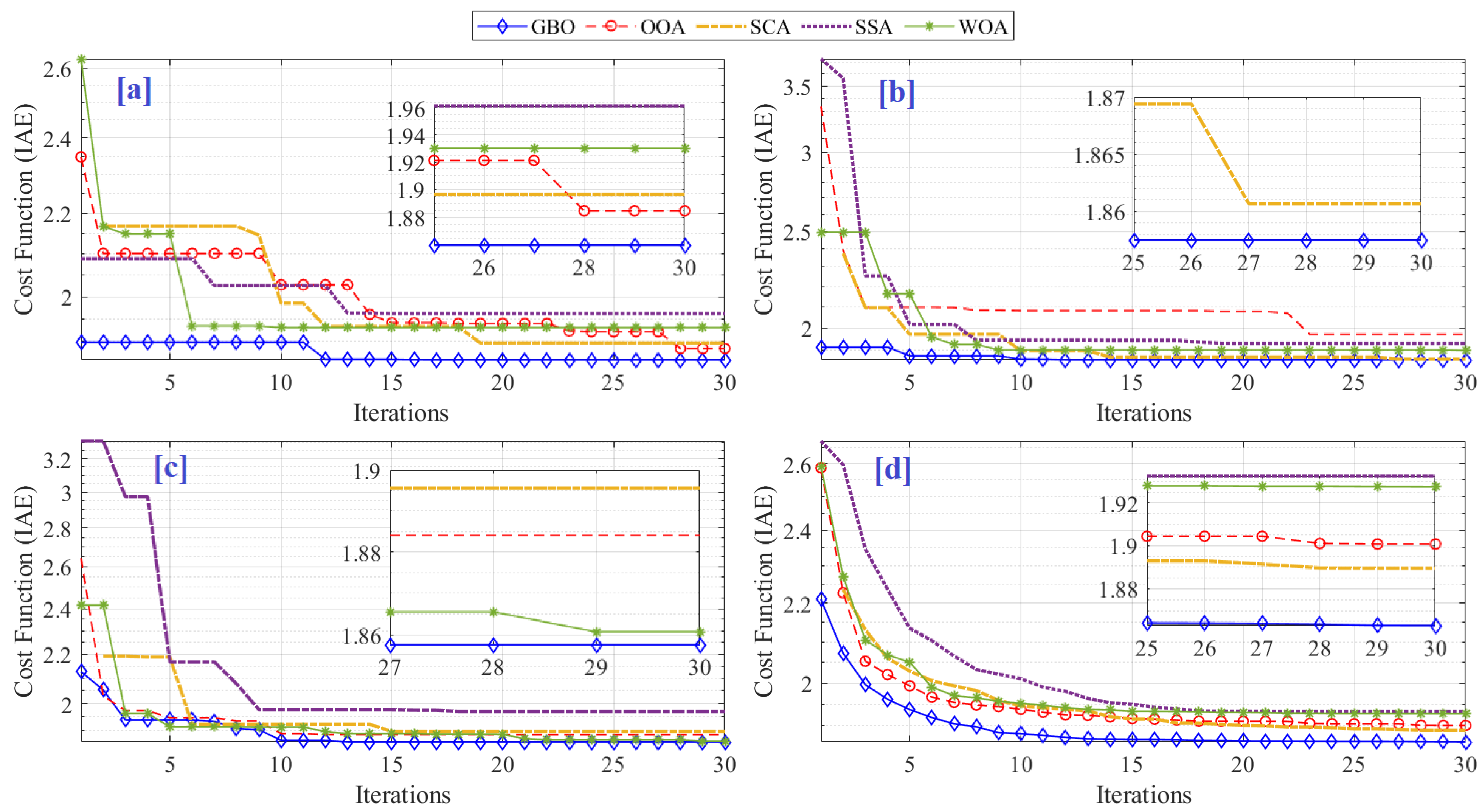
5. Results
6. Conclusions
Author Contributions
Funding
Institutional Review Board Statement
Informed Consent Statement
Data Availability Statement
Acknowledgments
Conflicts of Interest
References
- Obaideen, K.; Olabi, A.G.; Al Swailmeen, Y.; Shehata, N.; Abdelkareem, M.A.; Alami, A.H.; Rodriguez, C.; Sayed, E.T. Solar Energy: Applications, Trends Analysis, Bibliometric Analysis and Research Contribution to Sustainable Development Goals (SDGs). Sustainability 2023, 15, 1418. [Google Scholar] [CrossRef]
- Rezk, H.; Mukhametzyanov, I.Z.; Abdelkareem, M.A.; Salameh, T.; Sayed, E.T.; Maghrabie, H.M.; Radwan, A.; Wilberforce, T.; Elsaid, K.; Olabi, A.G. Multi-Criteria Decision Making for Different Concentrated Solar Thermal Power Technologies. Sustain. Energy Technol. Assess. 2022, 52, 102118. [Google Scholar] [CrossRef]
- Alharbi, S.J.; Alaboodi, A.S. A Review on Techno-Economic Study for Supporting Building with PV-Grid-Connected Systems under Saudi Regulations. Energies 2023, 16, 1531. [Google Scholar] [CrossRef]
- Alahmer, A.; Alsaqoor, S. Energy Efficient of Using Chilled Water System for Sustainable Health Care Facility Operating by Solar Photovoltaic Technology. Energy Procedia 2019, 156, 65–71. [Google Scholar] [CrossRef]
- Azni, M.A.; Md Khalid, R.; Hasran, U.A.; Kamarudin, S.K. Review of the Effects of Fossil Fuels and the Need for a Hydrogen Fuel Cell Policy in Malaysia. Sustainability 2023, 15, 4033. [Google Scholar] [CrossRef]
- Nikolaidis, P. Pulsed-Supplied Water Electrolysis via Two-Switch Converter for PV Capacity Firming. Electricity 2022, 3, 131–144. [Google Scholar] [CrossRef]
- Alahmer, A.; Ajib, S.; Wang, X. Comprehensive Strategies for Performance Improvement of Adsorption Air Conditioning Systems: A Review. Renew. Sustain. Energy Rev. 2019, 99, 138–158. [Google Scholar] [CrossRef]
- Nikolaidis, P.; Poullikkas, A. Increasing the photovoltaic hosting capacity in autonomous grids and microgrids via enhanced priority-list schemes and storage. Green Energy Sustain. 2021, 1, 1–21. [Google Scholar] [CrossRef]
- Salameh, T.; Olabi, A.G.; Abdelkareem, M.A.; Masdar, M.S.; Kamarudin, S.K.; Sayed, E.T. Integrated Energy System Powered a Building in Sharjah Emirates in the United Arab Emirates. Energies 2023, 16, 769. [Google Scholar] [CrossRef]
- Rezk, H.; Olabi, A.G.; Abdelkareem, M.A.; Alahmer, A.; Sayed, E.T. Maximizing Green Hydrogen Production from Water Electrocatalysis: Modeling and Optimization. J. Mar. Sci. Eng. 2023, 11, 617. [Google Scholar] [CrossRef]
- Aminudin, M.A.; Kamarudin, S.K.; Lim, B.H.; Majilan, E.H.; Masdar, M.S.; Shaari, N. An Overview: Current Progress on Hydrogen Fuel Cell Vehicles. Int. J. Hydrogen Energy 2023, 48, 4371–4388. [Google Scholar] [CrossRef]
- Fadzillah, D.M.; Kamarudin, S.K.; Zainoodin, A.M. Design and Simulation for Improved Performance via Pump-less Direct Ethanol Fuel Cell for Mobile Application. Int. J. Energy Res. 2022, 46, 15683–15695. [Google Scholar] [CrossRef]
- Wilberforce, T.; Olabi, A.G.; Muhammad, I.; Alaswad, A.; Sayed, E.T.; Abo-Khalil, A.G.; Maghrabie, H.M.; Elsaid, K.; Abdelkareem, M.A. Recovery of Waste Heat from Proton Exchange Membrane Fuel Cells—A Review. Int. J. Hydrogen Energy 2022, in press. [Google Scholar] [CrossRef]
- Abdullah, S.; Kamarudin, S.K.; Hasran, U.A.; Masdar, M.S.; Aziz, A.S.A.; Hashim, N. Parametric Investigation and Optimization of Passive Direct Ethanol Alkaline Fuel Cells. Mater. Today Proc. 2021, 42, 259–264. [Google Scholar] [CrossRef]
- Shaari, N.; Kamarudin, S.K.; Bahru, R. Carbon and Graphene Quantum Dots in Fuel Cell Application: An Overview. Int. J. Energy Res. 2021, 45, 1396–1424. [Google Scholar] [CrossRef]
- Smadi, A.A.; Khoucha, F.; Amirat, Y.; Benrabah, A.; Benbouzid, M. Active Disturbance Rejection Control of an Interleaved High Gain DC-DC Boost Converter for Fuel Cell Applications. Energies 2023, 16, 1019. [Google Scholar] [CrossRef]
- Hu, D.; Wang, Y.; Li, J.; Yang, Q.; Wang, J. Investigation of Optimal Operating Temperature for the PEMFC and Its Tracking Control for Energy Saving in Vehicle Applications. Energy Convers. Manag. 2021, 249, 114842. [Google Scholar] [CrossRef]
- Nikolaidis, P.; Poullikkas, A. Power-to-hydrogen concepts for 100% renewable and sustainable energy systems. In Hydrogen Economy; Academic Press: Cambridge, MA, USA, 2023; pp. 595–627. [Google Scholar]
- Nikolaidis, P.; Poullikkas, A. A comparative overview of hydrogen production processes. Renew. Sustain. Energy Rev. 2017, 67, 597–611. [Google Scholar] [CrossRef]
- Chen, X.; Xu, J.; Liu, Q.; Chen, Y.; Wang, X.; Li, W.; Ding, Y.; Wan, Z. Active Disturbance Rejection Control Strategy Applied to Cathode Humidity Control in PEMFC System. Energy Convers. Manag. 2020, 224, 113389. [Google Scholar] [CrossRef]
- Wang, B.; Lin, R.; Liu, D.; Xu, J.; Feng, B. Investigation of the Effect of Humidity at Both Electrode on the Performance of PEMFC Using Orthogonal Test Method. Int. J. Hydrogen Energy 2019, 44, 13737–13743. [Google Scholar] [CrossRef]
- Rezk, H.; Fathy, A. Performance Improvement of PEM Fuel Cell Using Variable Step-Size Incremental Resistance MPPT Technique. Sustainability 2020, 12, 5601. [Google Scholar] [CrossRef]
- Beirami, H.; Shabestari, A.Z.; Zerafat, M.M. Optimal PID plus Fuzzy Controller Design for a PEM Fuel Cell Air Feed System Using the Self-Adaptive Differential Evolution Algorithm. Int. J. Hydrogen Energy 2015, 40, 9422–9434. [Google Scholar] [CrossRef]
- Naseri, N.; El Hani, S.; Aghmadi, A.; El Harouri, K.; Heyine, M.S.; Mediouni, H. Proton Exchange Membrane Fuel Cell Modelling and Power Control by P&O Algorithm. In Proceedings of the 2018 6th International Renewable and Sustainable Energy Conference (IRSEC), Rabat, Morocco, 5–8 December 2018; pp. 1–5. [Google Scholar]
- Chen, P.-Y.; Yu, K.-N.; Yau, H.-T.; Li, J.-T.; Liao, C.-K. A Novel Variable Step Size Fractional Order Incremental Conductance Algorithm to Maximize Power Tracking of Fuel Cells. Appl. Math. Model. 2017, 45, 1067–1075. [Google Scholar] [CrossRef]
- Harrag, A.; Messalti, S. Variable Step Size IC MPPT Controller for PEMFC Power System Improving Static and Dynamic Performances. Fuel Cells 2017, 17, 816–824. [Google Scholar] [CrossRef]
- Aly, M.; Ahmed, E.M.; Rezk, H.; Mohamed, E.A. Marine Predators Algorithm Optimized Reduced Sensor Fuzzy-Logic Based Maximum Power Point Tracking of Fuel Cell-Battery Standalone Applications. IEEE Access 2021, 9, 27987–28000. [Google Scholar] [CrossRef]
- Alrbai, M.; Alahmer, H.; Alahmer, A.; Al-Rbaihat, R.; Aldalow, A.; Al-Dahidi, S.; Hayajneh, H. Retrofitting Conventional Chilled-Water System to a Solar-Assisted Absorption Cooling System: Modeling, Polynomial Regression, and Grasshopper Optimization. J. Energy Storage 2023, 65, 107276. [Google Scholar] [CrossRef]
- Fathy, A.; Abdelkareem, M.A.; Olabi, A.G.; Rezk, H. A Novel Strategy Based on Salp Swarm Algorithm for Extracting the Maximum Power of Proton Exchange Membrane Fuel Cell. Int. J. Hydrogen Energy 2021, 46, 6087–6099. [Google Scholar] [CrossRef]
- Kumar, S.; Shaw, B. Design of Off-Grid Fuel Cell by Implementing ALO Optimized PID-Based MPPT Controller. In Soft Computing in Data Analytics: Proceedings of International Conference on SCDA 2018; Springer: Singapore, 2019; pp. 83–93. [Google Scholar]
- Nasiri Avanaki, I.; Sarvi, M. A New Maximum Power Point Tracking Method for PEM Fuel Cells Based on Water Cycle Algorithm. J. Renew. Energy Environ. 2016, 3, 35–42. [Google Scholar]
- İnci, M.; Caliskan, A. Performance Enhancement of Energy Extraction Capability for Fuel Cell Implementations with Improved Cuckoo Search Algorithm. Int. J. Hydrogen Energy 2020, 45, 11309–11320. [Google Scholar] [CrossRef]
- Zhong, Z.; Huo, H.; Zhu, X.; Cao, G.; Ren, Y. Adaptive Maximum Power Point Tracking Control of Fuel Cell Power Plants. J. Power Sources 2008, 176, 259–269. [Google Scholar] [CrossRef]
- Reddy, K.J.; Sudhakar, N. High Voltage Gain Interleaved Boost Converter with Neural Network Based MPPT Controller for Fuel Cell Based Electric Vehicle Applications. IEEE Access 2018, 6, 3899–3908. [Google Scholar] [CrossRef]
- Harrag, A.; Bahri, H. Novel Neural Network IC-Based Variable Step Size Fuel Cell MPPT Controller: Performance, Efficiency and Lifetime Improvement. Int. J. Hydrogen Energy 2017, 42, 3549–3563. [Google Scholar] [CrossRef]
- Raj, A.; Lekhaj, P. An ANFIS Based MPPT Controller for Fuel Cell Powered Induction Motor Drive. In Proceedings of the 2018 International Conference on Smart Grid and Clean Energy Technologies (ICSGCE), Kajang, Malaysia, 29 May–1 June 2018; pp. 201–205. [Google Scholar]
- Luta, D.N.; Raji, A.K. Comparing Fuzzy Rule-Based MPPT Techniques for Fuel Cell Stack Applications. Energy Procedia 2019, 156, 177–182. [Google Scholar] [CrossRef]
- Luta, D.N.; Raji, A.K. Fuzzy Rule-Based and Particle Swarm Optimisation MPPT Techniques for a Fuel Cell Stack. Energies 2019, 12, 936. [Google Scholar] [CrossRef]
- Priyadarshi, N.; Sharma, A.K.; Azam, F. A Hybrid Firefly-Asymmetrical Fuzzy Logic Controller Based MPPT for PV-Wind-Fuel Grid Integration. Int. J. Renew. Energy Res. 2017, 7, 1546–1560. [Google Scholar]
- Bayat, P.; Baghramian, A. A Novel Self-Tuning Type-2 Fuzzy Maximum Power Point Tracking Technique for Efficiency Enhancement of Fuel Cell Based Battery Chargers. Int. J. Hydrogen Energy 2020, 45, 23275–23293. [Google Scholar] [CrossRef]
- Li, Y.; Samad, S.; Ahmed, F.W.; Abdulkareem, S.S.; Hao, S.; Rezvani, A. Analysis and Enhancement of PV Efficiency with Hybrid MSFLA–FLC MPPT Method under Different Environmental Conditions. J. Clean. Prod. 2020, 271, 122195. [Google Scholar] [CrossRef]
- Ge, X.; Ahmed, F.W.; Rezvani, A.; Aljojo, N.; Samad, S.; Foong, L.K. Implementation of a Novel Hybrid BAT-Fuzzy Controller Based MPPT for Grid-Connected PV-Battery System. Control Eng. Pract. 2020, 98, 104380. [Google Scholar] [CrossRef]
- Ismaeel, A.A.; Houssein, E.H.; Oliva, D.; Said, M. Gradient-based optimizer for parameter extraction in photovoltaic models. IEEE Access 2021, 9, 13403–13416. [Google Scholar] [CrossRef]
- Deb, S.; Abdelminaam, D.S.; Said, M.; Houssein, E.H. Recent methodology-based gradient-based optimizer for economic load dispatch problem. IEEE Access 2021, 9, 44322–44338. [Google Scholar] [CrossRef]
- Altbawi, S.M.A.; Mokhtar, A.S.B.; Jumani, T.A.; Khan, I.; Hamadneh, N.N.; Khan, A. Optimal design of Fractional order PID controller based Automatic voltage regulator system using gradient-based optimization algorithm. J. King Saud Univ.-Eng. Sci. 2021, in press. [Google Scholar] [CrossRef]
- Ypma, T.J. Historical Development of the Newton–Raphson Method. SIAM Rev. 1995, 37, 531–551. [Google Scholar] [CrossRef]
- Pal, P.K.; Deep, K.; Nagar, A.K. Performance of Sine–Cosine Algorithm on Large-Scale Optimization Problems. In Decision Science in Action; Theory and Applications of Modern Decision Analytic Optimisation; Springer: Singapore, 2019; pp. 139–154. [Google Scholar]
- Mirjalili, S.M.; Mirjalili, S.Z.; Saremi, S.; Mirjalili, S. Sine Cosine Algorithm: Theory, Literature Review, and Application in Designing Bend Photonic Crystal Waveguides. In Nature-Inspired Optimizers; Theories, Literature Reviews and Applications; Springer: Cham, Switzerland, 2020; pp. 201–217. [Google Scholar]
- Mirjalili, S. SCA: A Sine Cosine Algorithm for Solving Optimization Problems. Knowl.-Based Syst. 2016, 96, 120–133. [Google Scholar] [CrossRef]
- Mirjalili, S.; Gandomi, A.H.; Mirjalili, S.Z.; Saremi, S.; Faris, H.; Mirjalili, S.M. Salp Swarm Algorithm: A Bio-Inspired Optimizer for Engineering Design Problems. Adv. Eng. Softw. 2017, 114, 163–191. [Google Scholar] [CrossRef]
- Sayed, G.I.; Khoriba, G.; Haggag, M.H. A Novel Chaotic Salp Swarm Algorithm for Global Optimization and Feature Selection. Appl. Intell. 2018, 48, 3462–3481. [Google Scholar] [CrossRef]
- Luo, X.; Deng, J.; Liu, J.; Wang, W.; Ban, X.; Wang, J.-H. A Quantized Kernel Least Mean Square Scheme with Entropy-Guided Learning for Intelligent Data Analysis. China Commun. 2017, 14, 1–10. [Google Scholar] [CrossRef]
- Mirjalili, S.; Lewis, A. The Whale Optimization Algorithm. Adv. Eng. Softw. 2016, 95, 51–67. [Google Scholar] [CrossRef]
- Alahmer, H.; Alahmer, A.; Alkhazaleh, R.; Alrbai, M. Exhaust Emission Reduction of a SI Engine Using Acetone–Gasoline Fuel Blends: Modeling, Prediction, and Whale Optimization Algorithm. Energy Rep. 2023, 9, 77–86. [Google Scholar] [CrossRef]










| Input MFs | ΔE | |||||||
|---|---|---|---|---|---|---|---|---|
| NSL3 | NSL2 | NSL1 | ZSL0 | PSL1 | PSL2 | PSL3 | ||
| E | NSL3 | NSL3 | NSL3 | NSL3 | NSL3 | NSL2 | NSL1 | ZSL0 |
| NSL2 | NSL3 | NSL3 | NSL3 | NSL2 | NSL1 | ZSL0 | PSL1 | |
| NSL1 | NSL3 | NSL3 | NSL2 | NSL1 | ZSL0 | PSL1 | PSL2 | |
| ZSL0 | NSL3 | NSL2 | NSL1 | ZSL0 | PSL1 | PSL2 | PSL3 | |
| PSL1 | NSL2 | NSL1 | ZSL0 | PSL1 | PSL2 | PSL3 | PSL3 | |
| PSL2 | NSL1 | ZSL0 | PSL1 | PSL2 | PSL3 | PSL3 | PSL3 | |
| PSL3 | ZSL0 | PSL1 | PSL2 | PSL3 | PSL3 | PSL3 | PSL3 | |
| Parameter | Value | Unit | Parameter | Value | Unit |
|---|---|---|---|---|---|
| A | 232 | cm2 | NFC | 35 | - |
| l | 0.0178 | cm | ξ1 | 0.944 | - |
| Imax | 2.00 | A/cm2 | ξ2 | 0.00354 | - |
| T | 343 | K | ξ3 | 7.8 × 10−8 | - |
| n | 2 | - | ξ4 | −1.96 × 10−4 | - |
| R | 8.31447 | J (mol K)−1 | F | 96,484,600 | C (kmol)−1 |
| kO2 | 2.11 × 10−5 | kmol (atom S)−1 | qH2in | 10 × 10−5 | (kmol (S)−1) |
| kH2 | 4.22 × 10−5 | kmol (atom S)−1 | qO2in | 5 × 10−5 | (kmol (S)−1) |
| GBO | OOA | SCA | SSA | WOA | |
|---|---|---|---|---|---|
| MF11 | 1.14988 | 0.90819 | 1.5 | 1.06597 | 1.47164 |
| MF12 | 1.00452 | 0.7888 | 0.77638 | 1.19924 | 1.1768 |
| MF1U | 899.35528 | 464.1454 | 880.92117 | 1078.99711 | 1965.51729 |
| MF21 | 0.99945 | 0.90819 | 0.9 | 1.26012 | 1.47164 |
| MF22 | 0.75383 | 0.7888 | 0.97143 | 0.92453 | 1.17965 |
| MF2U | 162.30635 | 177.19702 | 153.88178 | 220.35592 | 219.36654 |
| MF31 | 1.34852 | 0.90819 | 1.29706 | 0.95742 | 1.12571 |
| MF32 | 1.17279 | 0.7888 | 1.1812 | 1.17098 | 1.1768 |
| GBO | OOA | SCA | SSA | WOA | |
|---|---|---|---|---|---|
| Best | 1.85736 | 1.85716 | 1.86017 | 1.85768 | 1.85751 |
| Worst | 1.91456 | 2.13843 | 1.92361 | 2.03591 | 2.34069 |
| Mean | 1.86315 | 1.90068 | 1.88947 | 1.93269 | 1.92757 |
| StD | 0.01152 | 0.05881 | 0.01831 | 0.04934 | 0.13314 |
| Variance | 0.00013 | 0.00346 | 0.00034 | 0.00243 | 0.01773 |
| Median | 1.86015 | 1.88402 | 1.89466 | 1.92177 | 1.86077 |
| Run | GBO | OOA | SCA | SSA | WOA | Run | GBO | OOA | SCA | SSA | WOA |
|---|---|---|---|---|---|---|---|---|---|---|---|
| 1 | 1.91456 | 1.88635 | 1.87459 | 2.02962 | 2.05613 | 16 | 1.85736 | 1.88941 | 1.89889 | 1.93571 | 2.29235 |
| 2 | 1.85768 | 1.85768 | 1.91875 | 1.92471 | 1.86077 | 17 | 1.86022 | 1.88598 | 1.86017 | 1.91452 | 1.86077 |
| 3 | 1.86017 | 1.88506 | 1.90145 | 1.96071 | 1.86015 | 18 | 1.8577 | 1.87743 | 1.91107 | 1.91605 | 2.34069 |
| 4 | 1.85768 | 1.86022 | 1.86351 | 2.03591 | 1.86015 | 19 | 1.86015 | 1.88464 | 1.89637 | 1.88307 | 1.91447 |
| 5 | 1.86015 | 1.88457 | 1.89635 | 1.9615 | 1.93018 | 20 | 1.8773 | 1.95246 | 1.89226 | 1.91189 | 1.86077 |
| 6 | 1.86015 | 1.96856 | 1.86977 | 1.87156 | 1.8577 | 21 | 1.87202 | 1.86022 | 1.87995 | 1.86028 | 1.86077 |
| 7 | 1.86313 | 1.86015 | 1.87733 | 1.91452 | 1.85768 | 22 | 1.85767 | 1.85716 | 1.87743 | 1.94017 | 1.86015 |
| 8 | 1.85736 | 1.88464 | 1.89917 | 1.86034 | 1.86077 | 23 | 1.8575 | 1.88399 | 1.92035 | 2.03369 | 1.86015 |
| 9 | 1.86015 | 1.87718 | 1.90503 | 1.9615 | 1.85751 | 24 | 1.86015 | 1.86062 | 1.86055 | 1.90088 | 1.86115 |
| 10 | 1.85768 | 1.8577 | 1.87113 | 1.91882 | 1.8577 | 25 | 1.86015 | 1.88403 | 1.8973 | 1.93018 | 1.88307 |
| 11 | 1.86015 | 1.87948 | 1.87895 | 1.85768 | 2.02266 | 26 | 1.885 | 2.13843 | 1.89387 | 1.91452 | 1.90088 |
| 12 | 1.86077 | 1.92118 | 1.89316 | 1.91189 | 1.86077 | 27 | 1.85736 | 1.86022 | 1.90102 | 1.89228 | 1.96982 |
| 13 | 1.87203 | 1.96817 | 1.90727 | 2.03553 | 2.26229 | 28 | 1.85751 | 1.87479 | 1.89546 | 1.93018 | 1.85995 |
| 14 | 1.86028 | 1.86313 | 1.92361 | 1.91505 | 1.87755 | 29 | 1.85736 | 2.00238 | 1.86313 | 1.95836 | 1.86077 |
| 15 | 1.8575 | 1.97045 | 1.86067 | 1.92974 | 1.8985 | 30 | 1.85767 | 1.88401 | 1.89554 | 1.96983 | 1.86077 |
| Source | df | SS | MS | F | Prob |
|---|---|---|---|---|---|
| Columns | 4 | 0.098 | 0.024 | 4.91 | 0.001 |
| Error | 45 | 0.723 | 0.005 | ||
| Total | 49 | 0.820 |
Disclaimer/Publisher’s Note: The statements, opinions and data contained in all publications are solely those of the individual author(s) and contributor(s) and not of MDPI and/or the editor(s). MDPI and/or the editor(s) disclaim responsibility for any injury to people or property resulting from any ideas, methods, instructions or products referred to in the content. |
© 2023 by the authors. Licensee MDPI, Basel, Switzerland. This article is an open access article distributed under the terms and conditions of the Creative Commons Attribution (CC BY) license (https://creativecommons.org/licenses/by/4.0/).
Share and Cite
Rezk, H.; Aly, M.; Ghoniem, R.M. Robust Fuzzy Logic MPPT Using Gradient-Based Optimization for PEMFC Power System. Sustainability 2023, 15, 13368. https://doi.org/10.3390/su151813368
Rezk H, Aly M, Ghoniem RM. Robust Fuzzy Logic MPPT Using Gradient-Based Optimization for PEMFC Power System. Sustainability. 2023; 15(18):13368. https://doi.org/10.3390/su151813368
Chicago/Turabian StyleRezk, Hegazy, Mokhtar Aly, and Rania M. Ghoniem. 2023. "Robust Fuzzy Logic MPPT Using Gradient-Based Optimization for PEMFC Power System" Sustainability 15, no. 18: 13368. https://doi.org/10.3390/su151813368
APA StyleRezk, H., Aly, M., & Ghoniem, R. M. (2023). Robust Fuzzy Logic MPPT Using Gradient-Based Optimization for PEMFC Power System. Sustainability, 15(18), 13368. https://doi.org/10.3390/su151813368

