Change Characteristics of Soil Organic Carbon and Soil Available Nutrients and Their Relationship in the Subalpine Shrub Zone of Qilian Mountains in China
Abstract
:1. Introduction
2. Data and Research Methods
2.1. Description of the Study Area
2.2. Sample Collection
2.3. Sample Measurement
2.4. Research Methods
3. Results
3.1. Temporal Variation in SOC and Soil Available Nutrients
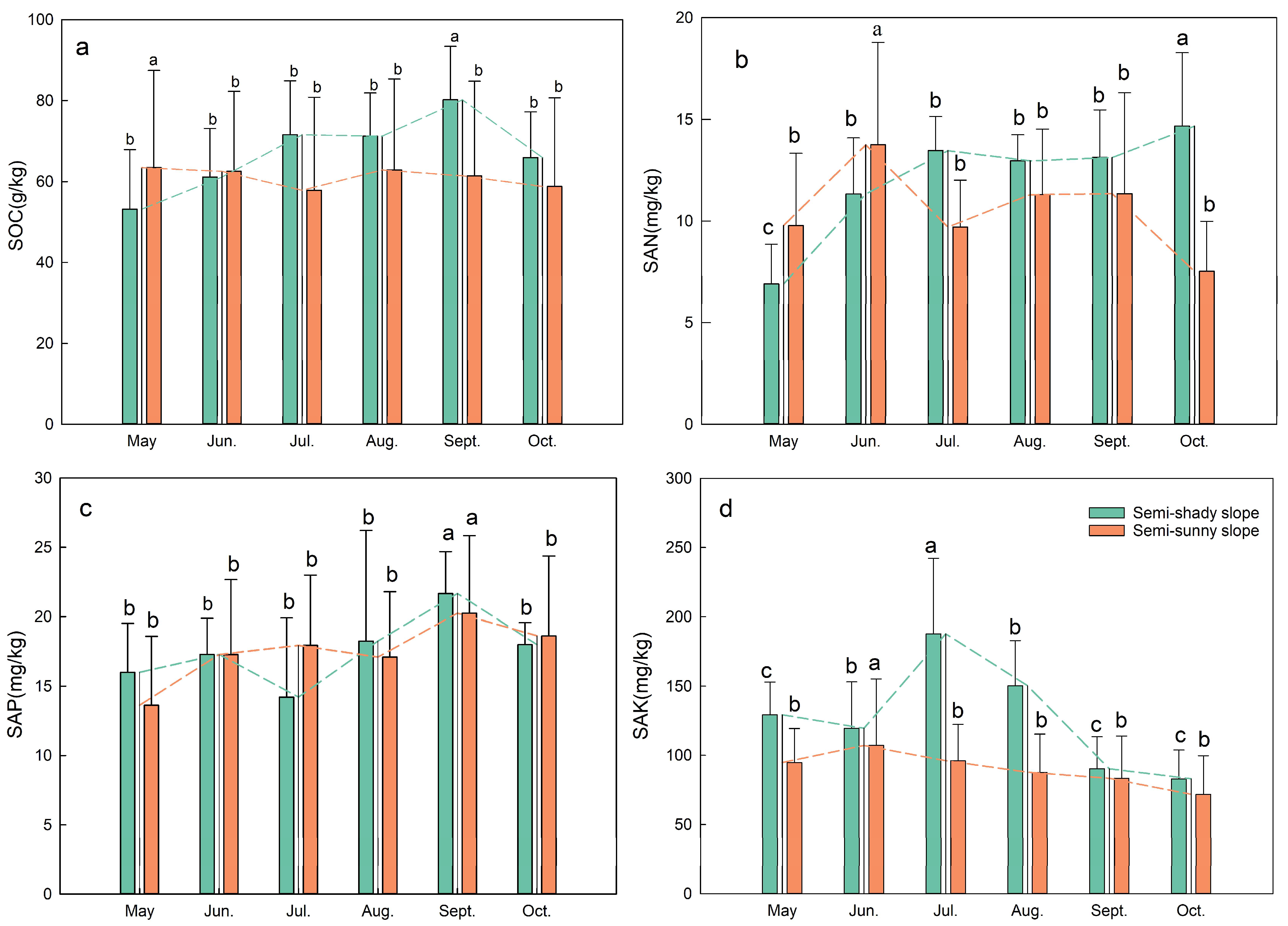
3.1.1. Temporal Variation of SOC
3.1.2. Temporal Variation of Soil Available Nutrients
3.2. Spatial Variation of SOC and Soil Available Nutrients
3.2.1. Spatial Variability of SOC
3.2.2. Spatial Variability of Soil Available Nutrients
3.3. The Relationship between SOC and Soil Available Nutrients
3.3.1. The Relationship between SOC and SAN
3.3.2. The Relationship between SOC and SAP
3.3.3. The Relationship between SOC and SAK
4. Discussions
4.1. Impact of Slope Orientation and Soil Layer Depth on the SOC and Soil Available Nutrient
4.2. Impact of Slope Orientation and Soil Layer Depth on the Relationship between SOC and Soil Available Nutrient
5. Conclusions
Author Contributions
Funding
Institutional Review Board Statement
Informed Consent Statement
Data Availability Statement
Acknowledgments
Conflicts of Interest
References
- Wan, Q.; Zhu, G.; Guo, H.; Zhang, Y.; Pan, H.; Yong, L.; Ma, H. Influence of vegetation coverage and climate environment on soil organic carbon in the Qilian Mountains. Sci. Rep. 2019, 9, 17623. [Google Scholar] [CrossRef]
- Tian, L.M.; Zhao, L.; Wu, X.D.; Fang, H.B.; Zhao, Y.H.; Yue, G.Y.; Liu, G.M.; Chen, H. Vertical patterns and controls of soil nutrients in alpine grassland: Implications for nutrient uptake. Sci. Total Environ. 2017, 607–608, 855–864. [Google Scholar] [CrossRef]
- Chen, L.F.; He, Z.B.; Du, J.; Zhang, J.J.; Zhu, X. Patterns and environmental controls of soil organic carbon and total nitrogen in alpine ecosystems of northwestern China. Catena 2016, 137, 37–43. [Google Scholar] [CrossRef]
- Jobbágy, E.G.; Jackson, R.B. The vertical distribution of soil organic carbon and its relation to climate and vegetation. Ecol. Appl. 2000, 10, 423–436. [Google Scholar] [CrossRef]
- Wei, J.B.; Xiao, D.N.; Zhang, X.Y.; Li, X.Y. Topography and land use effects on the spatial variation of soil organic carbon: A case study in a typical small watershed of the black soil region in northeast China. Eurasian Soil Sci. 2008, 41, 39–47. [Google Scholar] [CrossRef]
- Bennie, J.; Huntley, B.; Wiltshire, A.; Hill, M.O.; Baxter, R. Slope, aspect and climate: Spatially explicit and implicit models of topographic microclimate in chalk grassland. Ecol. Modell. 2008, 216, 47–59. [Google Scholar] [CrossRef]
- Huang, Y.M.; Liu, D.; An, S.S. Effects of slope aspect on soil nitrogen and microbial properties in the Chinese Loess region. Catena 2015, 125, 135–145. [Google Scholar] [CrossRef]
- Xu, X.; Zhou, Y.; Ruan, H.; Luo, Y.; Wang, J. Temperature sensitivity increases with soil organic carbon recalcitrance along an elevational gradient in the Wuyi Mountains, China. Soil Biol. Biochem. 2010, 42, 1811–1815. [Google Scholar] [CrossRef]
- Post, W.M.; Emanuel, W.R.; Zinke, P.J.; Stangenberger, A.G. Soil carbon pools and world life zones. Nature 1982, 298, 156–159. [Google Scholar] [CrossRef]
- Nie, X.; Peng, Y.; Li, F.; Yang, L.C.; Xiong, F.; Li, C.B.; Zhou, G.Y. Distribution and controlling factors of soil organic carbon storage in the northeast Tibetan shrublands. J. Soils Sediment 2019, 19, 322–331. [Google Scholar] [CrossRef]
- Makarov, M.I.; Malysheva, T.I.; Menyailo, O.V. Isotopic composition of nitrogen and transformation of nitrogen compounds in meadow-alpine soils. Eurasian Soil Sci. 2019, 52, 1028–1037. [Google Scholar] [CrossRef]
- Makarov, M.I.; Glaser, B.; Zech, W.; Malysheva, T.I.; Bulatnikova, I.V.; Volkov, A.V. Nitrogen dynamics in alpine ecosystems of the northern Caucasus. Plant Soil 2003, 256, 389–402. [Google Scholar] [CrossRef]
- Oduor, C.O.; Karanja, N.K.; Onwonga, R.N.; Mureithi, S.M.; Pelster, D.; Nyberg, G. Enhancing soil organic carbon, particulate organic carbon and microbial biomass in semi-arid rangeland using pasture enclosures. BMC Ecol. 2018, 18, 45. [Google Scholar] [CrossRef] [PubMed]
- Tudi, M.; Li, H.Y.; Li, H.; Wang, L.; Yang, L.; Tong, S.M.; Yu, Q.M.; Ruan, H.D. Evaluation of soil nutrient characteristics in Tianshan Mountains, North-western China. Ecol. Indic. 2022, 143, 10943. [Google Scholar] [CrossRef]
- Shao, W.; Wang, Q.; Guan, Q.; Luo, H.; Ma, Y.; Zhang, J. Distribution of soil available nutrients and their response to environmental factors based on path analysis model in arid and semi-arid area of northwest China. Sci. Total Environ. 2022, 827, 154254. [Google Scholar] [CrossRef]
- Liu, L.; Wang, H.; Dai, W.; Lei, X.; Yang, X.; Li, X. Spatial variability of soil organic carbon in the forestlands of northeast China. J. For. Res. 2014, 25, 867–876. [Google Scholar] [CrossRef]
- Wang, H.; Li, J.; Zhang, Q.; Liu, J.; Yi, B.; Li, Y.; Wen, J.; Di, H. Grazing and enclosure alter the vertical distribution of organic nitrogen pools and bacterial communities in semiarid grassland soils. Plant Soil 2019, 439, 525–539. [Google Scholar] [CrossRef]
- He, Z.; Zhao, W.; Zhang, L.; Liu, H. Response of tree recruitment to climatic variability in the alpine treeline ecotone of the Qilian Mountains, northwestern China. Forest Sci. 2013, 59, 118–126. [Google Scholar] [CrossRef]
- Tan, D.; Jin, J.; Jiang, L.; Huang, S.; Liu, Z. Potassium assessment of grain-producing soils in North China. Agric. Ecosyst. Environ. 2012, 148, 65–71. [Google Scholar] [CrossRef]
- Li, T.; Liang, J.; Chen, X.; Wang, H.; Zhang, S.; Pu, Y.; Xu, X.; Li, H.; Po, X.; Liu, X. The interacting roles and relative importance of climate, topography, soil properties and mineralogical composition on soil potassium variations at a national scale in China. Catena 2021, 196, 104875. [Google Scholar] [CrossRef]
- Wang, J.L.; Ou, Y.H.; Wang, Z.H.; Chang, T.J.; Li, P.; Shen, Z.X.; Zhong, Z.M. Influential factors and distribution characteristics of topsoil organic carbon in alpine grassland ecosystem in the south slope of Gunga South Mountain-La Ruigangri Mountain. Chin. J. Soil Sci. 2010, 41, 346–350. [Google Scholar]
- Cong, S.; Zhou, D.; Li, Q.; Huang, Y. Effects of Fencing on Vegetation and Soil Nutrients of the Temperate Steppe Grasslands in Inner Mongolia. Agronomy 2021, 11, 1546. [Google Scholar] [CrossRef]
- Wu, X.; Wang, L.; An, J.; Wang, Y.; Song, H.; Wu, Y.; Liu, Q. Relationship between Soil Organic Carbon, Soil Nutrients, and Land Use in Linyi City (East China). Sustainability 2022, 14, 13585. [Google Scholar] [CrossRef]
- Yang, L.; Jia, W.; Shi, Y.; Zhang, Z.Y.; Xiong, H.; Zhu, G.F. Spatiotemporal Differentiation of Soil Organic Carbon of Grassland and Its Relationship with Soil Physicochemical Properties on the Northern Slope of Qilian Mountains, China. Sustainability 2020, 12, 9396. [Google Scholar] [CrossRef]
- Qin, Y.; Feng, Q.; Holden, N.M.; Cao, J. Variation in soil organic carbon by slope aspect in the middle of the Qilian Mountains in the upper Heihe River Basin, China. Catena 2016, 147, 308–314. [Google Scholar] [CrossRef]
- Zhu, M.; Feng, Q.; Qin, Y.; Cao, J.; Zhang, M.; Liu, W.; Deo, R.C.; Zhang, C.; Li, R.; Li, B. The role of topography in shaping the spatial patterns of soil organic carbon. Catena 2019, 176, 296–305. [Google Scholar] [CrossRef]
- Yang, R.; Su, Y.; Wang, M.; Wang, T.; Yang, X.; Fan, G.; Wu, T. Spatial pattern of soil organic carbon in desert grasslands of the diluvial-alluvial plains of northern Qilian Mountains. J. Arid Land 2014, 6, 136–144. [Google Scholar] [CrossRef]
- Zhou, J.; Xue, D.; Lei, L.; Wang, L.; Zhong, G.; Liu, C.; Xiang, J.; Huang, M.; Feng, W.; Li, Q. Impacts of Climate and Land Cover on Soil Organic Carbon in the Eastern Qilian Mountains, China. Sustainability 2019, 11, 5790. [Google Scholar] [CrossRef]
- Zhu, G.; Liu, Y.; Wang, L.; Sang, L.; Zhao, K.; Zhang, Z.; Lin, X.; Qiu, D. The isotopes of precipitation have climate change signal in arid Central Asia. Glob. Planet Change 2023, 225, 104103. [Google Scholar] [CrossRef]
- Cao, B. Changes in Modern Glaciation at Lenglongling in the Eastern Part of the Qilian Mountains. Master’s Thesis, Lanzhou University, Gansu, China, 2013. [Google Scholar]
- Wang, X.L. A Study on Mountain Climate in the Basin of Xiying River at the East Section of Qilian Mountains. Master’s Thesis, Lanzhou University, Gansu, China, 2008. [Google Scholar]
- International Union of Soil Sciences (IUSS) Working Group WRB. World reference base for soil resources 2014, update 2015. In International Soil Classification System for the Designation of Soils and the Creation of Symbols for Soil Maps; Reports on World Soil Resources No. 106; FAO: Rome, Italy, 2015. [Google Scholar]
- Lei, C.Y.; Li, W.; Yin, X.K.; Yuan, H.Y.; Wu, J.L. Study on the Relationship between Process of Critical Zone and Natural Ecological Restoration in the Qilian Mountains. Bul. Min. Petrol. Geochem. 2020, 39, 741–753. [Google Scholar]
- Zhu, M.; Feng, Q.; Qin, Y.; Cao, J.; Li, H.; Zhao, Y. Soil organic carbon as functions of slope aspects and soil depths in a semiarid alpine region of Northwest China. Catena 2017, 152, 94–102. [Google Scholar] [CrossRef]
- Xiao, Y.; Zhao, Y.; Tu, Z.D.; Qian, B.; Chang, R.M. Topology checking method for low voltage distribution network based on improved Pearson correlation coefficient. Power Syst. Prot. Control 2019, 47, 37–43. [Google Scholar]
- Verma, T.P.; Moharana, P.C.; Naitam, R.K.; Meena, R.L.; Kumar, S.; Singh, R.; Tailor, B.L.; Singh, R.S.; Singh, S.K. Impact of cropping intensity on soil properties and plant available nutrients in hot arid environment of North-Western India. J. Plant Nutr. 2017, 40, 2872–2888. [Google Scholar] [CrossRef]
- Li, Q.; Wang, L.; Fu, Y.; Lin, D.; Hou, M.; Li, X.; Hu, D.; Wang, Z. Transformation of soil organic matter subjected to environmental disturbance and preservation of organic matter bound to soil minerals: A review. J. Soils Sediments 2023, 23, 1485–1500. [Google Scholar] [CrossRef]
- Zhang, F.H.; Jia, W.X.; Zhu, G.F.; Zhang, Z.Y.; Shi, Y.; Yang, L.; Xiong, H.; Zhang, M.M. Using stable isotopes to investigate differences of plant water sources in subalpine habitats. Hydrol. Process. 2022, 36, e14518. [Google Scholar] [CrossRef]
- McDowell, R.W.; Nash, D.M.; Robertson, F. Sources of phosphorus lost from a grazed pasture receiving simulated rainfall. J. Environ. Qual. 2007, 36, 1281–1288. [Google Scholar] [CrossRef] [PubMed]
- Wang, B.; Liu, D.; Yang, J.; Zhu, Z.; Darboux, F.; Jiao, J.; An, S. Effects of forest floor characteristics on soil labile carbon as varied by topography and vegetation type in the Chinese Loess Plateau. Catena 2021, 196, 104825. [Google Scholar] [CrossRef]
- Okada, K.I.; Aiba, S.I.; Kitayama, K. Influence of temperature and soil nitrogen and phosphorus availabilities on fine-root productivity in tropical rainforests on Mount Kinabalu, Borneo. Ecol. Res. 2017, 32, 145–156. [Google Scholar] [CrossRef]
- Chen, C.; Fang, X.; Xiang, W.; Lei, P.F.; Ouyang, S.; Kuzyakov, Y. Soil-plant co-stimulation during forest vegetation restoration in a subtropical area of southern China. For. Ecosyst. 2020, 7, 32. [Google Scholar] [CrossRef]
- He, Y.; Sun, J.; Xiong, J.; Shang, H.; Wang, X. Patterns, Dynamics, and Drivers of Soil Available Nitrogen and Phosphorus in Alpine Grasslands across the QingZang Plateau. Remote Sens. 2022, 14, 4929. [Google Scholar] [CrossRef]
- Yuan, L.; Gabriel, Y.K.M.; Timothy, J.C.; David, W. Organic matter contributions to nitrous oxide emissions following nitrate addition are not proportional to substrate-induced soil carbon priming. Sci. Total Environ. 2022, 851, 158274. [Google Scholar]
- Sistla, S.A.; Asao, S.; Schimel, J.P. Detecting microbial N-limitation in tussock tundra soil: Implications for Arctic soil organic carbon cycling. Soil Biol. Biochem. 2012, 55, 78–84. [Google Scholar] [CrossRef]
- Augusto, L.; Achat, D.L.; Jonard, M.; Vidal, D.; Ringeval, B. Soil parent material—A major driver of plant nutrient limitations in terrestrial ecosystems. Glob. Chang. Biol 2017, 23, 3808–3824. [Google Scholar] [CrossRef] [PubMed]
- Tian, L.; Zhao, L.; Wu, X.; Hu, G.; Fang, H.; Zhao, Y.; Sheng, Y.; Chen, J.; Wu, J.C.; Li, W.P.; et al. Variations in soil nutrient availability across Tibetan grassland from the 1980s to 2010s. Geoderma 2019, 338, 197–205. [Google Scholar] [CrossRef]
- Li, T.; Zhang, S.R.; Zhang, L.; Li, Y.; Gan, W.Z. Influence of soil potassium in zoology fragile areas of the northern Transverse Mountains. J. Soil Water Conserv. 2006, 20, 102–105. [Google Scholar]









| Soil Depth (cm) | Soil Texture | Bulk Density (g/cm3) | Soil Moisture Content (%) | SOC (g/kg) | SAN (mg/kg) | SAP (mg/kg) | SAK (mg/kg) | |||
|---|---|---|---|---|---|---|---|---|---|---|
| Clay (%) | Silt (%) | Sand (%) | ||||||||
| Semi-shady slope | 0–10 | 8.88 | 56.31 | 34.83 | 0.98 | 96.92 | 81.81 | 14.15 | 19.35 | 167.60 |
| 10–20 | 9.74 | 62.43 | 27.86 | 1.02 | 82.93 | 73.14 | 13.68 | 19.45 | 144.90 | |
| 20–30 | 11.26 | 57.20 | 31.55 | 1.02 | 76.60 | 73.40 | 13.28 | 18.15 | 141.25 | |
| 30–40 | 7.04 | 48.27 | 44.13 | 1.06 | 62.30 | 63.09 | 10.85 | 14.15 | 107.35 | |
| 40–50 | 6.12 | 32.38 | 60.70 | 1.07 | 59.32 | 60.93 | 11.13 | 16.90 | 111.05 | |
| 50–60 | 8.58 | 57.98 | 33.44 | 1.08 | 44.92 | 60.01 | 10.92 | 18.10 | 112.60 | |
| 0–60 | 8.60 | 52.43 | 38.75 | 1.04 | 70.50 | 68.73 | 12.33 | 17.68 | 130.79 | |
| Semi-sunny slope | 0–10 | 9.68 | 62.52 | 27.83 | 0.93 | 97.10 | 93.96 | 13.38 | 20.15 | 149.65 |
| 10–20 | 10.20 | 62.40 | 27.35 | 0.97 | 91.01 | 85.29 | 14.23 | 15.30 | 120.15 | |
| 20–30 | 9.54 | 62.82 | 27.65 | 1.01 | 79.64 | 74.26 | 12.25 | 17.80 | 93.40 | |
| 30–40 | 9.59 | 61.84 | 28.56 | 1.04 | 69.51 | 67.31 | 11.93 | 18.30 | 78.15 | |
| 40–50 | 10.72 | 63.58 | 25.70 | 1.50 | 62.25 | 56.44 | 9.95 | 17.05 | 63.05 | |
| 50–60 | 9.41 | 61.13 | 29.46 | 1.48 | 55.90 | 46.99 | 9.13 | 18.90 | 72.25 | |
| 60–70 | 9.04 | 62.63 | 28.33 | 1.45 | 44.04 | 35.80 | 9.05 | 18.00 | 77.70 | |
| 70–80 | 10.79 | 58.82 | 30.42 | 1.42 | 28.66 | 29.17 | 7.70 | 16.40 | 77.65 | |
| 0–80 | 9.87 | 61.97 | 28.16 | 1.23 | 66.01 | 61.15 | 10.95 | 17.74 | 91.50 | |
Disclaimer/Publisher’s Note: The statements, opinions and data contained in all publications are solely those of the individual author(s) and contributor(s) and not of MDPI and/or the editor(s). MDPI and/or the editor(s) disclaim responsibility for any injury to people or property resulting from any ideas, methods, instructions or products referred to in the content. |
© 2023 by the authors. Licensee MDPI, Basel, Switzerland. This article is an open access article distributed under the terms and conditions of the Creative Commons Attribution (CC BY) license (https://creativecommons.org/licenses/by/4.0/).
Share and Cite
Zhang, Y.; Jia, W.; Yang, L.; Zhu, G.; Lan, X.; Luo, H.; Yu, Z. Change Characteristics of Soil Organic Carbon and Soil Available Nutrients and Their Relationship in the Subalpine Shrub Zone of Qilian Mountains in China. Sustainability 2023, 15, 13028. https://doi.org/10.3390/su151713028
Zhang Y, Jia W, Yang L, Zhu G, Lan X, Luo H, Yu Z. Change Characteristics of Soil Organic Carbon and Soil Available Nutrients and Their Relationship in the Subalpine Shrub Zone of Qilian Mountains in China. Sustainability. 2023; 15(17):13028. https://doi.org/10.3390/su151713028
Chicago/Turabian StyleZhang, Yue, Wenxiong Jia, Le Yang, Guofeng Zhu, Xin Lan, Huifang Luo, and Zhijie Yu. 2023. "Change Characteristics of Soil Organic Carbon and Soil Available Nutrients and Their Relationship in the Subalpine Shrub Zone of Qilian Mountains in China" Sustainability 15, no. 17: 13028. https://doi.org/10.3390/su151713028
APA StyleZhang, Y., Jia, W., Yang, L., Zhu, G., Lan, X., Luo, H., & Yu, Z. (2023). Change Characteristics of Soil Organic Carbon and Soil Available Nutrients and Their Relationship in the Subalpine Shrub Zone of Qilian Mountains in China. Sustainability, 15(17), 13028. https://doi.org/10.3390/su151713028
