Modification Mechanism and Technical Performance of Recycled PE-Modified Asphalt
Abstract
1. Introduction
2. Materials and Experimental Methods
2.1. Asphalt Cementing Material
2.2. LDPE and RPE
2.3. Stabilizer
2.4. Production of PE-Modified Asphalt
2.5. Experimental Methods
2.5.1. FTIR Test
2.5.2. FM Test
2.5.3. Physical Performance Test Method
2.5.4. DSR Test
2.5.5. BBR Test
2.5.6. MSCR Test
2.5.7. Storage Stability Tests of Modified Asphalt
2.6. Technical Route
3. Result and Discussions
3.1. Modification Mechanism of PE-Modified Asphalt
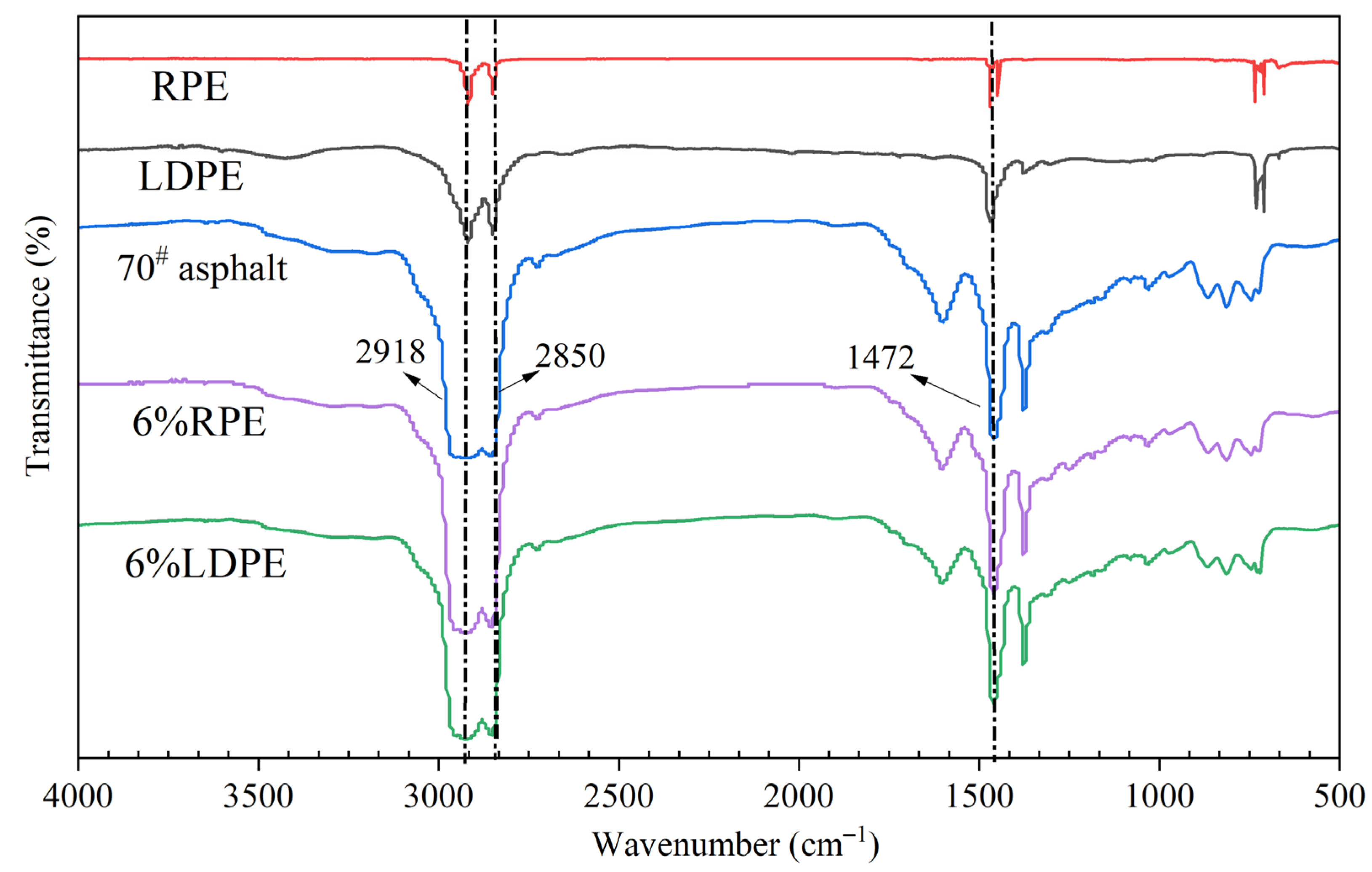
3.1.1. Chemical Structure Analysis of PE and Asphalt
3.1.2. Distribution of RPE in Asphalt
3.2. Effect of PE on Physical Properties of Asphalt
3.3. Effect of PE on Rheological Properties of Asphalt
3.3.1. Effect of PE on High-Temperature Rheological Properties of Asphalt
3.3.2. Effect of PE on the Low-Temperature Rheological Behavior of Asphalt
3.3.3. Impact of PE on the Creep Characteristics of Asphalt
3.4. Stability Improvement Method for PE-Modified Asphalt
4. Conclusions
Author Contributions
Funding
Institutional Review Board Statement
Informed Consent Statement
Data Availability Statement
Acknowledgments
Conflicts of Interest
References
- Chen, A.; Deng, Q.; Li, Y.; Bai, T.; Chen, Z.; Li, J.; Feng, J.; Wu, F.; Wu, S.; Liu, Q.; et al. Harmless treatment and environmentally friendly application of waste tires—TPCB/TPO composite-modified bitumen. Constr. Build. Mater. 2022, 325, 126785. [Google Scholar] [CrossRef]
- Polacco, G.; Filippi, S.; Merusi, F.; Stastna, G. A review of the fundamentals of polymer-modified asphalts: Asphalt/polymer interactions and principles of compatibility. Adv. Colloid Interface Sci. 2015, 224, 72–112. [Google Scholar] [CrossRef]
- Zhang, X.; Han, C.; Otto, F.; Zhang, F. Evaluation of Properties and Mechanisms of Waste Plastic/Rubber-Modified Asphalt. Coatings 2021, 11, 1365. [Google Scholar] [CrossRef]
- Li, Y.; Li, J.; Li, C.; Chen, A.; Bai, T.; Tang, S.; Wu, S.; Gao, Y.; Zhu, H.; Feng, J. Strength formation mechanism and performance of steel slag self-compacting epoxy resin concrete. Constr. Build. Mater. 2022, 359, 129525. [Google Scholar] [CrossRef]
- Xiao, S.; Dong, H.; Geng, Y.; Brander, M. An overview of China’s recyclable waste recycling and recommendations for integrated solutions, Resources. Conserv. Recycl. 2018, 134, 112–120. [Google Scholar] [CrossRef]
- Fang, C.; Zhang, M.; Zhang, Z.; Zhou, S. UV-Aging Resistance of Packaging Waste PE Modified Asphalts. Polym.-Plast. Technol. Eng. 2009, 48, 945–949. [Google Scholar] [CrossRef]
- Zhao, Z.; Xiao, F.; Amirkhanian, S. Recent applications of waste solid materials in pavement engineering. Waste Manag. 2020, 108, 78–105. [Google Scholar] [CrossRef]
- Zhao, Z.; Wang, Z.; Wu, S.; Xie, J.; Yang, C.; Li, N.; Cui, P. Road performance, VOCs emission and economic benefit evaluation of asphalt mixture by incorporating steel slag and SBS/CR composite modified asphalt. J. Case Stud. Constr. Mater. 2023, 18, e01929. [Google Scholar] [CrossRef]
- Xing, C.; Li, M.; Liu, L.; Lu, R.; Liu, N.; Wu, W.; Yuan, D. A comprehensive review on the blending condition between virgin and RAP asphalt binders in hot recycled asphalt mixtures: Mechanisms, evaluation methods, and influencing factors. J. Clean. Prod. 2023, 398, 136515. [Google Scholar] [CrossRef]
- Jew, P.; Shimizu, J.A.; Svazic, M.; Woodhams, R.T. Polyethlene-modified bitumen for paving applications. J. Appl. Polym. Sci. 1986, 31, 2685–2704. [Google Scholar] [CrossRef]
- Fang, C.; Hu, J.; Zhou, S.; Wang, H.; Zhang, M.; Zhang, Y. Comparative Study of Asphalts Modified by Packaging Waste EPS and Waste PE. Polym.-Plast. Technol. Eng. 2011, 50, 220–224. [Google Scholar] [CrossRef]
- Padhan, R.K.; Sreeram, A. Enhancement of storage stability and rheological properties of polyethylene (PE) modified asphalt using cross linking and reactive polymer based additives. Constr. Build. Mater. 2018, 188, 772–780. [Google Scholar] [CrossRef]
- Chen, A.; Qiu, Y.; Wang, X.; Li, Y.; Wu, S.; Liu, Q.; Wu, F.; Feng, J.; Lin, Z. Mechanism and Performance of Bituminous Mixture Using 100% Content RAP with Bio-Rejuvenated Additive (BRA). Materials 2022, 15, 723. [Google Scholar] [CrossRef]
- Gibreil, H.A.A.; Feng, C.P. Effects of high-density polyethylene and crumb rubber powder as modifiers on properties of hot mix asphalt. Constr. Build. Mater. 2017, 142, 101–108. [Google Scholar] [CrossRef]
- Alghrafy, Y.M.; Alla, E.-S.M.A.; El-Badawy, S.M. Rheological properties and aging performance of sulfur extended asphalt modified with recycled polyethylene waste. Constr. Build. Mater. 2021, 273, 121771. [Google Scholar] [CrossRef]
- Kumar, P.; Garg, R. Rheology of waste plastic fibre-modified bitumen. Int. J. Pavement Eng. 2011, 12, 449–459. [Google Scholar] [CrossRef]
- Xin, X.; Yao, Z.; Shi, J.; Liang, M.; Jiang, H.; Zhang, J.; Zhang, X.; Yao, K. Rheological properties, microstructure and aging resistance of asphalt modified with CNTs/PE composites. Constr. Build. Mater. 2020, 262, 120100. [Google Scholar] [CrossRef]
- Desidery, L.; Lanotte, M. Effect of Waste Polyethylene and Wax-Based Additives on Bitumen Performance. Polymers 2021, 13, 3733. [Google Scholar] [CrossRef]
- Mushtaq, F.; Huang, Z.; Shah, S.A.R.; Zhang, Y.; Gao, Y.; Azab, M.; Hussain, S.; Anwar, M.K. Performance Optimization Approach of Polymer Modified Asphalt Mixtures with PET and PE Wastes: A Safety Study for Utilizing Eco-Friendly Circular Economy-Based SDGs Concepts. Polymers 2022, 14, 2493. [Google Scholar] [CrossRef]
- Yao, Z.; Zhang, J.; Gao, F.; Liu, S.; Yu, T. Integrated utilization of recycled crumb rubber and polyethylene for enhancing the performance of modified bitumen. Constr. Build. Mater. 2018, 170, 217–224. [Google Scholar] [CrossRef]
- Kakar, M.R.; Mikhailenko, P.; Piao, Z.; Bueno, M.; Poulikakos, L. Analysis of waste polyethylene (PE) and its by-products in asphalt binder. Constr. Build. Mater. 2021, 280, 122492. [Google Scholar] [CrossRef]
- Du, Z.; Jiang, C.; Yuan, J.; Xiao, F.; Wang, J. Low temperature performance characteristics of polyethylene modified asphalts—A review. Constr. Build. Mater. 2020, 264, 120704. [Google Scholar] [CrossRef]
- Xu, F.; Zhao, Y.; Li, K. Using Waste Plastics as Asphalt Modifier: A Review. Materials 2021, 15, 110. [Google Scholar] [CrossRef]
- Nizamuddin, S.; Jamal, M.; Biligiri, K.P.; Giustozzi, F. Effect of Various Compatibilizers on the Storage Stability, Thermochemical and Rheological Properties of Recycled Plastic-Modified Bitumen. Int. J. Pavement Res. Technol. 2023, 1–14. [Google Scholar] [CrossRef]
- Muise, I.; Adams, M.; Côté, R.; Price, G.W. Attitudes to the recovery and recycling of agricultural plastics waste: A case study of Nova Scotia, Canada. Resour. Conserv. Recycl. 2016, 109, 137–145. [Google Scholar] [CrossRef]
- Li, J.; Xiao, F.; Zhang, L.; Amirkhanian, S.N. Life cycle assessment and life cycle cost analysis of recycled solid waste materials in highway pavement: A review. J. Clean. Prod. 2019, 233, 1182–1206. [Google Scholar] [CrossRef]
- Chen, Y.; Hu, K.; Yu, C.; Yuan, D.; Ban, X. Study of the Microscopic Mechanism of Natural Rubber (Cis-1, 4-Polyisoprene, NR)/Polyethylene (PE) Modified Asphalt from the Perspective of Simulation. Polymers 2022, 14, 4087. [Google Scholar] [CrossRef]
- Wagner, K.C.; Byrd, G.D. Evaluating the effectiveness of clinical medical librarian programs: A systematic review of the literature. J. Med. Libr. Assoc. 2004, 92, 14–33. [Google Scholar]
- Yan, K.; Xu, H.; You, L. Rheological properties of asphalts modified by waste tire rubber and reclaimed low density polyethylene. Constr. Build. Mater. 2015, 83, 143–149. [Google Scholar] [CrossRef]
- Liu, S.; Zhou, S.B.; Peng, A.; Xuan, W.; Li, W. Analysis of the performance and mechanism of desulfurized rubber and low-density polyethylene compound-modified asphalt. J. Appl. Polym. Sci. 2019, 136, 48194. [Google Scholar] [CrossRef]
- Dalhat, M.A.; Al-Adham, K.; Adesina, A.Y. High-Temperature Performance of Recycled Low-Density Polyethylene-Modified Asphalt Binder Reinforced with Thermally Treated Polyacrylonitrile Fiber. Arab. J. Sci. Eng. 2020, 45, 4257–4272. [Google Scholar] [CrossRef]
- Modarres, A.; Hamedi, H. Effect of waste plastic bottles on the stiffness and fatigue properties of modified asphalt mixes. Mater. Des. 2014, 61, 8–15. [Google Scholar] [CrossRef]
- Fuentes-Audén, C.; Sandoval, J.A.; Jerez, A.; Navarro, F.J.; Martínez-Boza, F.J.; Partal, P.; Gallegos, C. Evaluation of thermal and mechanical properties of recycled polyethylene modified bitumen. Polym. Test. 2008, 27, 1005–1012. [Google Scholar] [CrossRef]
- Fernandes, S.; Costa, L.; Silva, H.; Oliveira, J. Effect of incorporating different waste materials in bitumen. Ciência Tecnol. Dos Mater. 2017, 29, e204–e209. [Google Scholar] [CrossRef]
- Karmakar, S.; Roy, T.K. Effect of Waste Plastic and Waste Tires Ash on Mechanical Behavior of Bitumen. J. Mater. Civ. Eng. 2016, 28, 4016006. [Google Scholar] [CrossRef]
- Holkar, C.; Pinjari, D.; D’Melo, D.; Bhattacharya, S. The effect of asphaltene concentration on polymer modification of bitumen with SBS copolymers. Mater. Struct. 2023, 56, 16. [Google Scholar] [CrossRef]
- Geckil, T.; Ahmedzade, P.; Alatas, T. Effect of Carbon Black on the High and Low Temperature Properties of Bitumen. Int. J. Civ. Eng. 2016, 16, 207–218. [Google Scholar] [CrossRef]
- El-Shafie, M.; Ibrahim, I.M.; Abd El Rahman, A.M.M. The addition effects of macro and nano clay on the performance of asphalt binder. Egypt. J. Pet. 2012, 21, 149–154. [Google Scholar] [CrossRef]
- Dai, M.; Chen, C.-M.; Wang, Z.; Pan, W.-H.; Sun, X.-W.; Tang, N.; Wu, L.-M. Microscopic investigation on blending of montmorillonite modified bitumen and reclaimed asphalt binder. Mater. Res. Express 2022, 9, 65304. [Google Scholar] [CrossRef]
- Chen, A.; Airey, G.D.; Thom, N.; Li, Y. Characterisation of fatigue damage in asphalt mixtures using X-ray computed tomography. Road Mater. Pavement Des. 2022, 24, 653–671. [Google Scholar] [CrossRef]
- Wang, S.F.; Zhang, Y.; Zhang, Y.X. SBS/carbon black compounds give asphalts with improved high-temperature storage stability. Polym. Polym. Compos. 2003, 11, 477–485. [Google Scholar] [CrossRef]
- Yu, J.; Ren, Z.; Yu, H.; Wang, D.; Svetlana, S.; Korolev, E.; Gao, Z.; Guo, F. Modification of Asphalt Rubber with Nanoclay towards Enhanced Storage Stability. Materials 2018, 11, 2093. [Google Scholar] [CrossRef]
- Ren, Z.; Zhu, Y.; Wu, Q.; Zhu, M.; Guo, F.; Yu, H.; Yu, J. Enhanced Storage Stability of Different Polymer Modified Asphalt Binders through Nano-montmorillonite Modification. Nanomaterials 2020, 10, 641. [Google Scholar] [CrossRef]
- Fang, C.; Zhang, Y.; Yu, R.; Liu, X.; Hu, J.; Zhang, M. Effect of organic montmorillonite on the hot storage stability of asphalt modified by waste packaging polyethylene. J. Vinyl Addit. Technol. 2015, 21, 89–93. [Google Scholar] [CrossRef]
- Liu, W.; Xu, Y.; Wang, H.; Shu, B.; Barbieri, D.M.; Norambuena-Contreras, J. Enhanced Storage Stability and Rheological Properties of Asphalt Modified by Activated Waste Rubber Powder. Materials 2021, 14, 2693. [Google Scholar] [CrossRef]
- Kong, P.; Xu, G.; Yang, J.; Chen, X.; Zhu, Y. Study on Storage Stability of Activated Reclaimed Rubber Powder Modified Asphalt. Materials 2021, 14, 4684. [Google Scholar] [CrossRef]
- Sienkiewicz, M.; Borzędowska-Labuda, K.; Wojtkiewicz, A.; Janik, H. Development of methods improving storage stability of bitumen modified with ground tire rubber: A review. Fuel Process. Technol. 2017, 159, 272–279. [Google Scholar] [CrossRef]
- Zou, Y.; Pang, L.; Chen, S.; Xu, S.; Wu, S.; Amirkhanian, S.; Xu, H.; Zhao, Z. Evaluation of the Physicochemical Properties and Antiaging Properties of Bitumen Mastic Modified by Layered Double Hydroxides. Sustainability 2023, 15, 1546. [Google Scholar] [CrossRef]
- Gigli, S.; Landi, D.; Germani, M. Cost-benefit analysis of a circular economy project: A study on a recycling system for end-of-life tyres. J. Clean. Prod. 2019, 229, 680–694. [Google Scholar] [CrossRef]
- Xu, X.; Leng, Z.; Lan, J.; Wang, W.; Yu, J.; Bai, Y.; Sreeram, A.; Hu, J. Sustainable Practice in Pavement Engineering through Value-Added Collective Recycling of Waste Plastic and Waste Tyre Rubber. Engineering 2021, 7, 857–867. [Google Scholar] [CrossRef]
- Fang, C.; Zhang, Y.; Yu, Q.; Zhou, X.; Guo, D.; Yu, R.; Zhang, M. Preparation, Characterization and Hot Storage Stability of Asphalt Modified by Waste Polyethylene Packaging. J. Mater. Sci. Technol. 2013, 29, 434–438. [Google Scholar] [CrossRef]
- Yan, L.; Li, M.; Li, Q.; Li, H. Modified asphalt based on polyethylene with broad molecular weight distribution. Constr. Build. Mater. 2020, 260, 119707. [Google Scholar] [CrossRef]
- Li, J.; Chen, Z.; Xiao, F.; Amirkhanian, S.N. Surface activation of scrap tire crumb rubber to improve compatibility of rubberized asphalt, Resources. Conserv. Recycl. 2021, 169, 105518. [Google Scholar] [CrossRef]
















| Performance | Units | Value | Experimental Method |
|---|---|---|---|
| 5 °C Ductility | cm | 48.6 | T0605 |
| 15 °C Ductility | cm | >100 | T0605 |
| Softening point | °C | 48.5 | T0606 |
| Penetration | 0.1 mm | 70.7 | T0604 |
| PE | Appearance | 25 °C Density (g/cm3) | Melting Temperature/(°C) | Ash Content (%) | Haze (%) |
|---|---|---|---|---|---|
| LDPE | White particle | 0.928–0.939 | 135 | 8.7 | - |
| RPE | White slice | 0.918–0.925 | 121 | - | 4.4 |
| Technical Indexes | Appearance | 25 °C Density (g/cm3) | Melting Point (°C) | Ignition Point (°C) | Boiling Point (°C) | Solubility | Ash Content (%) |
|---|---|---|---|---|---|---|---|
| Test results | Yellow powder | 1.99 | 115 | 260 | 450 | Insoluble water | 0.002 |
| Modifier | Parameter | Dosage (%) | ||||
|---|---|---|---|---|---|---|
| 0 | 2 | 4 | 6 | 8 | ||
| RPE | Failure temperature (°C) | 54.7 | 70.2 | 73.2 | 75.2 | 76.7 |
| High-temperature PG grade (°C) | 52 | 70 | 70 | 70 | 76 | |
| LDPE | Failure temperature (°C) | 54.7 | 55.6 | 59.2 | 60.6 | 62.8 |
| High-temperature PG grade (°C) | 52 | 52 | 58 | 58 | 58 | |
| Modifier | Parameter | Dosage (%) | ||||
|---|---|---|---|---|---|---|
| 0 | 2 | 4 | 6 | 8 | ||
| RPE | Low-temperature failure temperature (°C) | −16.1 | −15.4 | −15.1 | −15.0 | −14.7 |
| Low-temperature PG grade (°C) | −18 | −16 | −16 | −16 | −16 | |
| LDPE | Low-temperature failure temperature (°C) | −16.1 | −15.2 | −15.1 | −14.8 | −14.8 |
| Low-temperature PG grade (°C) | −18 | −16 | −16 | −16 | −16 | |
Disclaimer/Publisher’s Note: The statements, opinions and data contained in all publications are solely those of the individual author(s) and contributor(s) and not of MDPI and/or the editor(s). MDPI and/or the editor(s) disclaim responsibility for any injury to people or property resulting from any ideas, methods, instructions or products referred to in the content. |
© 2023 by the authors. Licensee MDPI, Basel, Switzerland. This article is an open access article distributed under the terms and conditions of the Creative Commons Attribution (CC BY) license (https://creativecommons.org/licenses/by/4.0/).
Share and Cite
Yu, H.; Wu, S.; Chen, A.; Li, Y. Modification Mechanism and Technical Performance of Recycled PE-Modified Asphalt. Sustainability 2023, 15, 12273. https://doi.org/10.3390/su151612273
Yu H, Wu S, Chen A, Li Y. Modification Mechanism and Technical Performance of Recycled PE-Modified Asphalt. Sustainability. 2023; 15(16):12273. https://doi.org/10.3390/su151612273
Chicago/Turabian StyleYu, Haiyang, Shaopeng Wu, Anqi Chen, and Yuanyuan Li. 2023. "Modification Mechanism and Technical Performance of Recycled PE-Modified Asphalt" Sustainability 15, no. 16: 12273. https://doi.org/10.3390/su151612273
APA StyleYu, H., Wu, S., Chen, A., & Li, Y. (2023). Modification Mechanism and Technical Performance of Recycled PE-Modified Asphalt. Sustainability, 15(16), 12273. https://doi.org/10.3390/su151612273

