Enhancing Meteorological Drought Modeling Accuracy Using Hybrid Boost Regression Models: A Case Study from the Aegean Region, Türkiye
Abstract
1. Introduction
2. Materials and Methods
2.1. Study Area and Data
2.2. Standard Precipitation Index (SPI)
2.3. Extreme Gradient Boosting (XgBoost) Regression
2.4. Adaptive Boosting (AdaBoost) Regression
2.5. Gradient Boosting (GradBoost) Regression
2.6. Weighted Mean of Vectors Optimization (INFO)
2.7. The Proposed Hyperparameter Optimization with INFO
2.8. Performance Metrics
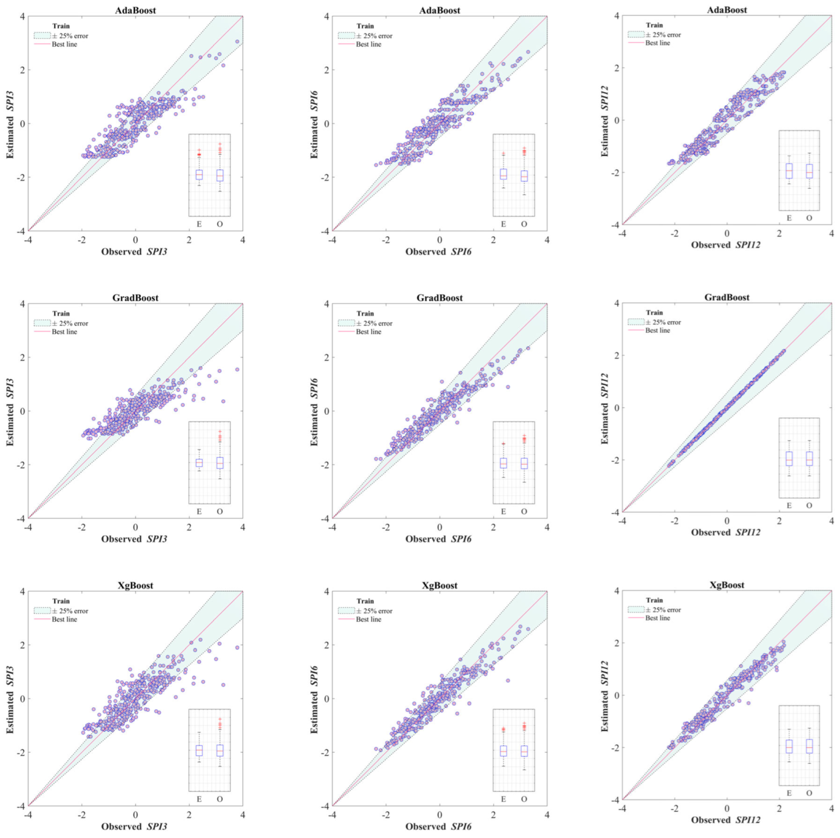
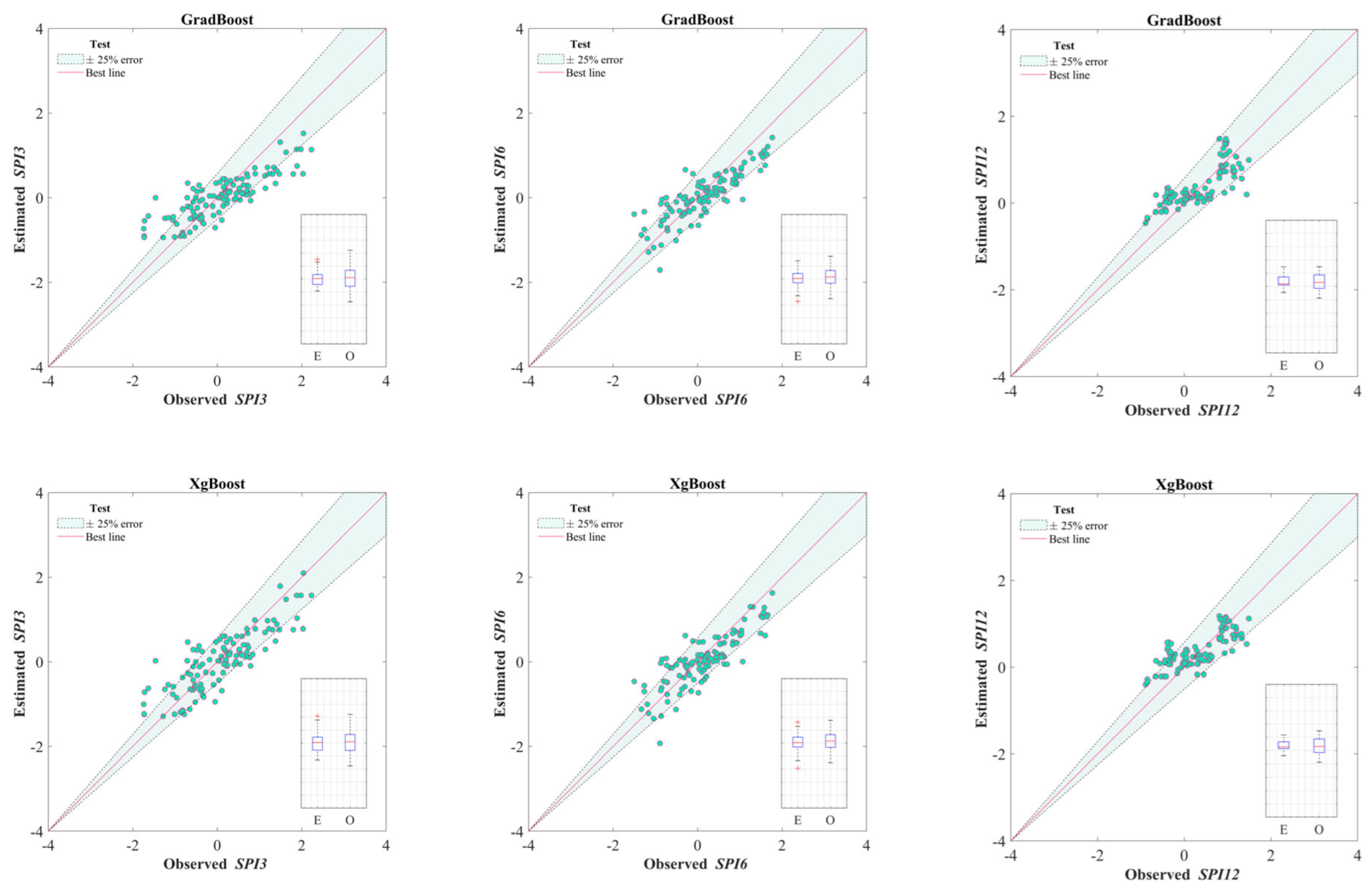
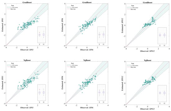
3. Results
4. Discussion
5. Conclusions
- XgBoost–INFO offers a fast convergence speed and can efficiently reach its optimal solution effectively.
- A pointwise multi-station drought prediction method can be employed to develop a road map and enhance resilience in water resource management.
- The Kucuk Menderes Basin and the city of Izmir are susceptible to future droughts, emphasizing the need for concerted action.
Author Contributions
Funding
Institutional Review Board Statement
Informed Consent Statement
Data Availability Statement
Acknowledgments
Conflicts of Interest
References
- Yihdego, Y.; Vaheddoost, B.; Al-Weshah, R.A. Drought indices and indicators revisited. Arab. J. Geosci. 2019, 12, 69. [Google Scholar] [CrossRef]
- Vaheddoost, B.; Safari, M.J.S. Application of signal processing in tracking meteorological drought in a mountainous region. Pure Appl. Geophys. 2021, 178, 1943–1957. [Google Scholar] [CrossRef]
- Dabanlı, İ.; Mishra, A.K.; Şen, Z. Long-term spatio-temporal drought variability in Turkey. J. Hydrol. 2017, 552, 779–792. [Google Scholar] [CrossRef]
- Dai, A. Characteristics and trends in various forms of the Palmer Drought Severity Index during 1900–2008. J. Geophys. Res. Atmos. 2011, 116, D12115. [Google Scholar] [CrossRef]
- Das, S.; Das, J.; Umamahesh, N.V. Identification of future meteorological drought hotspots over Indian region: A study based on NEX-GDDP data. Int. J. Climatol. 2021, 41, 5644–5662. [Google Scholar] [CrossRef]
- Das, S.; Das, J.; Umamahesh, N.V. Investigating the propagation of droughts under the influence of large-scale climate indices in India. J. Hydrol. 2022, 610, 127900. [Google Scholar] [CrossRef]
- Rashad, M.; Hafez, M.; Popov, A.I. Humic substances composition and properties as an environmentally sustainable system: A review and way forward to soil conservation. J. Plant Nutr. 2022, 45, 1072–1122. [Google Scholar] [CrossRef]
- Hafez, M.; Popov, A.I.; Rashad, M. Evaluation of the effects of new environmental additives compared to mineral fertilizers on the leaching characteristics of some anions and cations under greenhouse plant growth of saline-sodic soils. Open Agric. J. 2020, 14, 246–256. [Google Scholar] [CrossRef]
- Das, S.; Das, J.; Umamahesh, N.V. Copula-based drought risk analysis on rainfed agriculture under stationary and non-stationary settings. Hydrol. Sci. J. 2022, 67, 1683–1701. [Google Scholar] [CrossRef]
- Tsakiris, G.; Vangelis, H. Establishing a drought index incorporating evapotranspiration. Eur. Water 2005, 9, 3–11. [Google Scholar]
- Morid, S.; Smakhtin, V.; Moghaddasi, M. Comparison of seven meteorological indices for drought monitoring in Iran. Int. J. Climatol. J. R. Meteorol. Soc. 2006, 26, 971–985. [Google Scholar] [CrossRef]
- Tsakiris, G.; Vangelis, H. Towards a drought watch system based on spatial SPI. Water Resour. Manag. 2004, 18, 1–12. [Google Scholar] [CrossRef]
- Tsakiris, G.; Pangalou, D.; Vangelis, H. Regional drought assessment based on the Reconnaissance Drought Index (RDI). Water Resour. Manag. 2007, 21, 821–833. [Google Scholar] [CrossRef]
- Nalbantis, I.; Tsakiris, G. Assessment of hydrological drought revisited. Water Resour. Manag. 2009, 23, 881–897. [Google Scholar] [CrossRef]
- Karavitis, C.A.; Alexandris, S.; Tsesmelis, D.E.; Athanasopoulos, G. Application of the standardized precipitation index (SPI) in Greece. Water 2011, 3, 787–805. [Google Scholar] [CrossRef]
- Spiliotis, M.; Papadopoulos, C.; Angelidis, P.; Papadopoulos, B. Classifying hydrological drought through fuzzy sets. Eur. Water 2020, 71, 41–61. [Google Scholar]
- Dehghani, M.; Saghafian, B.; Nasiri Saleh, F.; Farokhnia, A.; Noori, R. Uncertainty analysis of streamflow drought forecast using artificial neural networks and Monte-Carlo simulation. Int. J. Climatol. 2014, 34, 1169–1180. [Google Scholar] [CrossRef]
- Barua, S.; Ng, A.W.M.; Perera, B.J.C. Artificial neural network–based drought forecasting using a nonlinear aggregated drought index. J. Hydrol. Eng. 2012, 17, 1408–1413. [Google Scholar] [CrossRef]
- Bacanli, U.G.; Firat, M.; Dikbas, F. Adaptive neuro-fuzzy inference system for drought forecasting. Stoch. Environ. Res. Risk Assess. 2009, 23, 1143–1154. [Google Scholar] [CrossRef]
- Nourani, V.; Baghanam, A.H.; Adamowski, J.; Kisi, O. Applications of hybrid wavelet–artificial intelligence models in hydrology: A review. J. Hydrol. 2014, 514, 358–377. [Google Scholar] [CrossRef]
- Mishra, A.K.; Desai, V.R.; Singh, V.P. Drought forecasting using a hybrid stochastic and neural network model. J. Hydrol. Eng. 2007, 12, 626–638. [Google Scholar] [CrossRef]
- Mehr, A.D.; Vaheddoost, B.; Mohammadi, B. ENN-SA: A novel neuro-annealing model for multi-station drought prediction. Comput. Geosci. 2020, 145, 104622. [Google Scholar] [CrossRef]
- Babajide Mustapha, I.; Saeed, F. Bioactive molecule prediction using extreme gradient boosting. Molecules 2016, 21, 983. [Google Scholar] [CrossRef]
- Chen, T.; Guestrin, C. Xgboost: A scalable tree boosting system. In Proceedings of the 22nd ACM SIGKDD International Conference on Knowledge Discovery and Data Mining, San Francisco, CA, USA, 13–17 August 2016; pp. 785–794. [Google Scholar]
- Fan, J.; Wang, X.; Wu, L.; Zhou, H.; Zhang, F.; Yu, X.; Lu, X.; Xiang, Y. Comparison of Support Vector Machine and Extreme Gradient Boosting for predicting daily global solar radiation using temperature and precipitation in humid subtropical climates: A case study in China. Energy Convers. Manag. 2018, 164, 102–111. [Google Scholar] [CrossRef]
- Carmona, P.; Climent, F.; Momparler, A. Predicting failure in the US banking sector: An extreme gradient boosting approach. Int. Rev. Econ. Financ. 2019, 61, 304–323. [Google Scholar] [CrossRef]
- Zhang, R.; Chen, Z.-Y.; Xu, L.-J.; Ou, C.-Q. Meteorological drought forecasting based on a statistical model with machine learning techniques in Shaanxi province, China. Sci. Total Environ. 2019, 665, 338–346. [Google Scholar] [CrossRef]
- Danandeh Mehr, A.; Tur, R.; Alee, M.M.; Gul, E.; Nourani, V.; Shoaei, S.; Mohammadi, B. Optimizing Extreme Learning Machine for Drought Forecasting: Water Cycle vs. Bacterial Foraging. Sustainability 2023, 15, 3923. [Google Scholar] [CrossRef]
- Janizadeh, S.; Vafakhah, M.; Kapelan, Z.; Mobarghaee Dinan, N. Hybrid XGboost model with various Bayesian hyperparameter optimization algorithms for flood hazard susceptibility modeling. Geocarto Int. 2022, 37, 8273–8292. [Google Scholar] [CrossRef]
- Mersin, D.; Gulmez, A.; Safari, M.J.S.; Vaheddoost, B.; Tayfur, G. Drought Assessment in the Aegean Region of Turkey. Pure Appl. Geophys. 2022, 179, 3035–3053. [Google Scholar] [CrossRef]
- McKee, T.B.; Doesken, N.J.; Kleist, J. The relationship of drought frequency and duration to time scales. In Proceedings of the 8th Conference on Applied Climatology, Anaheim, CA, USA, 17–22 January 1993; pp. 179–183. [Google Scholar]
- McKee, T.B. Drought monitoring with multiple time scales. In Proceedings of the 9th Conference on Applied Climatology, Dallas, TX, USA, 15–20 January 1995. [Google Scholar]
- Wu, H.; Hayes, M.J.; Wilhite, D.A.; Svoboda, M.D. The effect of the length of record on the standardized precipitation index calculation. Int. J. Climatol. J. R. Meteorol. Soc. 2005, 25, 505–520. [Google Scholar] [CrossRef]
- Pandey, M.; Karbasi, M.; Jamei, M.; Malik, A.; Pu, J.H. A Comprehensive Experimental and Computational Investigation on Estimation of Scour Depth at Bridge Abutment: Emerging Ensemble Intelligent Systems. Water Resour. Manag. 2023, 37, 3745–3767. [Google Scholar] [CrossRef]
- Ma, M.; Zhao, G.; He, B.; Li, Q.; Dong, H.; Wang, S.; Wang, Z. XGBoost-based method for flash flood risk assessment. J. Hydrol. 2021, 598, 126382. [Google Scholar] [CrossRef]
- Margineantu, D.D.; Dietterich, T.G. Pruning adaptive boosting. In Proceedings of the Fourteenth International Conference on Machine Learning (ICML 1997), Nashville, TN, USA, 8–12 July 1997; pp. 211–218. [Google Scholar]
- Feng, D.-C.; Liu, Z.-T.; Wang, X.-D.; Chen, Y.; Chang, J.-Q.; Wei, D.-F.; Jiang, Z.-M. Machine learning-based compressive strength prediction for concrete: An adaptive boosting approach. Constr. Build. Mater. 2020, 230, 117000. [Google Scholar] [CrossRef]
- Singh, U.K.; Jamei, M.; Karbasi, M.; Malik, A.; Pandey, M. Application of a modern multi-level ensemble approach for the estimation of critical shear stress in cohesive sediment mixture. J. Hydrol. 2022, 607, 127549. [Google Scholar] [CrossRef]
- Di Persio, L.; Fraccarolo, N. Energy Consumption Forecasts by Gradient Boosting Regression Trees. Mathematics 2023, 11, 1068. [Google Scholar] [CrossRef]
- Nie, P.; Roccotelli, M.; Fanti, M.P.; Ming, Z.; Li, Z. Prediction of home energy consumption based on gradient boosting regression tree. Energy Rep. 2021, 7, 1246–1255. [Google Scholar] [CrossRef]
- Natekin, A.; Knoll, A. Gradient boosting machines, a tutorial. Front. Neurorobot. 2013, 7, 21. [Google Scholar] [CrossRef]
- Ahmadianfar, I.; Heidari, A.A.; Noshadian, S.; Chen, H.; Gandomi, A.H. INFO: An efficient optimization algorithm based on weighted mean of vectors. Expert Syst. Appl. 2022, 195, 116516. [Google Scholar] [CrossRef]
- Ikram, R.M.A.; Mostafa, R.R.; Chen, Z.; Parmar, K.S.; Kisi, O.; Zounemat-Kermani, M. Water temperature prediction using improved deep learning methods through reptile search algorithm and weighted mean of vectors optimizer. J. Mar. Sci. Eng. 2023, 11, 259. [Google Scholar] [CrossRef]
- Pan, S.; Zheng, Z.; Guo, Z.; Luo, H. An optimized XGBoost method for predicting reservoir porosity using petrophysical logs. J. Pet. Sci. Eng. 2022, 208, 109520. [Google Scholar] [CrossRef]
- Belayneh, A.; Adamowski, J.; Khalil, B.; Ozga-Zielinski, B. Long-term SPI drought forecasting in the Awash River Basin in Ethiopia using wavelet neural network and wavelet support vector regression models. J. Hydrol. 2014, 508, 418–429. [Google Scholar] [CrossRef]
- Laimighofer, J.; Laaha, G. How standard are standardized drought indices? Uncertainty components for the SPI & SPEI case. J. Hydrol. 2022, 613, 128385. [Google Scholar]
- Carbone, G.J.; Lu, J.; Brunetti, M.J.I.J.o.C. Estimating uncertainty associated with the standardized precipitation index. Int. J. Climatol. 2018, 38, e607–e616. [Google Scholar] [CrossRef]
- AghaKouchak, A.; Pan, B.; Mazdiyasni, O.; Sadegh, M.; Jiwa, S.; Zhang, W.; Love, C.A.; Madadgar, S.; Papalexiou, S.M.; Davis, S.J. Status and prospects for drought forecasting: Opportunities in artificial intelligence and hybrid physical–statistical forecasting. Philos. Trans. R. Soc. A 2022, 380, 20210288. [Google Scholar] [CrossRef]
- Mishra, A.K.; Singh, V.P. Drought modeling—A review. J. Hydrol. 2011, 403, 157–175. [Google Scholar] [CrossRef]
- Vaheddoost, B.; Aksoy, H.; Abghari, H. Prediction of water level using monthly lagged data in Lake Urmia, Iran. Water Resour. Manag. 2016, 30, 4951–4967. [Google Scholar] [CrossRef]
- Saadatnejadgharahassanlou, H.; Zeynali, R.I.; Vaheddoost, B.; Gharehbaghi, A. Parametric and nonparametric regression models in study of the length of hydraulic jump after a multi-segment sharp-crested V-notch weir. Water Supply 2020, 20, 809–818. [Google Scholar] [CrossRef]






| Hyperparameters | Models | Range | Data Type |
|---|---|---|---|
| Number of the gradient boosted trees (n_estimators) | XgBoost, AdaBoost, GradBoost | 50–700 | integer |
| Learning rate (learning_rate) | XgBoost, AdaBoost, GradBoost | 0.01–0.1 | float |
| Maximum depth of a tree | XgBoost, GradBoost | 1–3 | integer |
| Regular term of weight L2 (lambda) | XgBoost | 0.01–0.1 | float |
| Regular term of weight L1 (alpha) | XgBoost, GradBoost | 0.01–0.1 | float |
| Minimum loss reduction needed for partitioning a leaf node of a tree (gamma) | XgBoost | 0.01–0.1 | float |
| Minimum sum of the instance weights contained in child nodes (min_child_weight) | XgBoost | 0.01–0.1 | İnteger |
| Loss function | AdaBoost |
| Station | Range | Kurtosis | Skewness | Mean | Standard Deviation |
|---|---|---|---|---|---|
| Seferihisar | −2.71~2.86 | 0.41 | −0.30 | 0.22 | 0.90 |
| Cesme | −3.17~2.93 | 0.53 | −0.30 | 0.17 | 0.90 |
| Kusadasi | −3.38~3.41 | 0.91 | −0.08 | 0.04 | 0.91 |
| Manisa | −3.57~3.64 | 0.76 | −0.27 | 0.20 | 0.94 |
| Selcuk | 1.02~−0.253 | 1.02 | −0.10 | 0.23 | 0.92 |
| Izmir | −2.9~2.73 | 0.39 | −0.25 | 0.11 | 0.91 |
| Stage | RMSE | MAE | MAPE | R2 | WI | Model | Month |
|---|---|---|---|---|---|---|---|
| Train | 0.494 | 0.398 | 1.501 | 0.757 | 0.917 | AdaBoost | SPI3 |
| Test | 0.546 | 0.422 | 1.408 | 0.634 | 0.871 | ||
| Validation | 0.671 | 0.544 | 1.104 | 0.644 | 0.871 | ||
| Train | 0.523 | 0.393 | 1.387 | 0.723 | 0.905 | XgBoost | |
| Test | 0.496 | 0.401 | 1.241 | 0.704 | 0.899 | ||
| Validation | 0.695 | 0.551 | 1.110 | 0.622 | 0.858 | ||
| Train | 0.586 | 0.442 | 1.169 | 0.725 | 0.849 | GradBoost | |
| Test | 0.548 | 0.432 | 1.054 | 0.704 | 0.842 | ||
| Validation | 0.756 | 0.602 | 0.966 | 0.612 | 0.789 | ||
| Train | 0.402 | 0.338 | 1.220 | 0.855 | 0.954 | AdaBoost | SPI6 |
| Test | 0.437 | 0.331 | 1.319 | 0.681 | 0.899 | ||
| Validation | 0.579 | 0.471 | 1.842 | 0.718 | 0.910 | ||
| Train | 0.325 | 0.229 | 0.867 | 0.906 | 0.971 | XgBoost | |
| Test | 0.429 | 0.351 | 1.490 | 0.714 | 0.901 | ||
| Validation | 0.599 | 0.481 | 2.146 | 0.704 | 0.908 | ||
| Train | 0.356 | 0.265 | 0.897 | 0.904 | 0.962 | GradBoost | |
| Test | 0.426 | 0.349 | 1.503 | 0.731 | 0.895 | ||
| Validation | 0.594 | 0.485 | 2.091 | 0.709 | 0.902 | ||
| Train | 0.319 | 0.269 | 0.850 | 0.912 | 0.976 | AdaBoost | SPI12 |
| Test | 0.347 | 0.265 | 1.038 | 0.706 | 0.863 | ||
| Validation | 0.655 | 0.527 | 1.118 | 0.627 | 0.886 | ||
| Train | 0.232 | 0.172 | 0.574 | 0.954 | 0.987 | XgBoost | |
| Test | 0.389 | 0.310 | 1.356 | 0.573 | 0.825 | ||
| Validation | 0.731 | 0.577 | 1.204 | 0.550 | 0.859 | ||
| Train | 0.023 | 0.019 | 0.063 | 1.000 | 1.000 | GradBoost | |
| Test | 0.377 | 0.309 | 1.114 | 0.586 | 0.849 | ||
| Validation | 0.682 | 0.549 | 1.119 | 0.601 | 0.878 |
Disclaimer/Publisher’s Note: The statements, opinions and data contained in all publications are solely those of the individual author(s) and contributor(s) and not of MDPI and/or the editor(s). MDPI and/or the editor(s) disclaim responsibility for any injury to people or property resulting from any ideas, methods, instructions or products referred to in the content. |
© 2023 by the authors. Licensee MDPI, Basel, Switzerland. This article is an open access article distributed under the terms and conditions of the Creative Commons Attribution (CC BY) license (https://creativecommons.org/licenses/by/4.0/).
Share and Cite
Gul, E.; Staiou, E.; Safari, M.J.S.; Vaheddoost, B. Enhancing Meteorological Drought Modeling Accuracy Using Hybrid Boost Regression Models: A Case Study from the Aegean Region, Türkiye. Sustainability 2023, 15, 11568. https://doi.org/10.3390/su151511568
Gul E, Staiou E, Safari MJS, Vaheddoost B. Enhancing Meteorological Drought Modeling Accuracy Using Hybrid Boost Regression Models: A Case Study from the Aegean Region, Türkiye. Sustainability. 2023; 15(15):11568. https://doi.org/10.3390/su151511568
Chicago/Turabian StyleGul, Enes, Efthymia Staiou, Mir Jafar Sadegh Safari, and Babak Vaheddoost. 2023. "Enhancing Meteorological Drought Modeling Accuracy Using Hybrid Boost Regression Models: A Case Study from the Aegean Region, Türkiye" Sustainability 15, no. 15: 11568. https://doi.org/10.3390/su151511568
APA StyleGul, E., Staiou, E., Safari, M. J. S., & Vaheddoost, B. (2023). Enhancing Meteorological Drought Modeling Accuracy Using Hybrid Boost Regression Models: A Case Study from the Aegean Region, Türkiye. Sustainability, 15(15), 11568. https://doi.org/10.3390/su151511568

